Advancing Open Science
Supporting academic communities
since 1996
 
Due to scheduled maintenance work on our servers, there may be short service disruptions on this website between 11:00 and 12:00 CEST on March 28th.
31 pages, 4487 KB  
Article
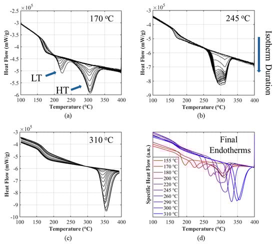
Modeling of PEEK Crystallization Kinetics Under Transient Thermal Conditions
by Shahil Hamid, To Yu Troy Su, Soroush Azhdari, Abdullah Al Faysal, Patrick C. Lee and Sergii G. Kravchenko
Polymers 2026, 18(7), 825; https://doi.org/10.3390/polym18070825 (registering DOI) - 27 Mar 2026
Abstract
This study develops a kinetic model that captures poly-ether-ether-ketone (PEEK) crystallization over a temperature T window from glass transition (Tg) to melting (Tm) temperature, and across cooling rates from 5 to ~103 °C/min. The framework is [...] Read more.
This study develops a kinetic model that captures poly-ether-ether-ketone (PEEK) crystallization over a temperature T window from glass transition (Tg) to melting (Tm) temperature, and across cooling rates from 5 to ~103 °C/min. The framework is a parallel dual-Nakamura formulation whose isokinetic parameters {kiT,ni,wiT} are obtained from a bi-level non-linear regression of isothermal crystallization tests conducted using a flash-differential scanning calorimeter (FSC). The weight wiT partitions the faster primary and slower secondary crystallization and is represented by a physics-based analytical function that captures its dome-shaped temperature dependence. A maximum isothermally achievable enthalpy function is introduced so that the model predicts enthalpy ΔH(t) natively under arbitrary thermal profiles. To extend this isothermal backbone to non-isothermal conditions, two explicit cooling-rate-dependent scalars are introduced, ωT˙ and χT˙, which shift wiT and limit attainable crystallinity at high cooling rates respectively. Finally, a rate-dependent induction time relation is added to adjust the onset of crystallization. Calibrating these rate functions against non-isothermal experiments, while keeping the isokinetic parameters fixed, yields a single isothermal–non-isothermal model that predicts ΔH(t) under arbitrary T(t) profiles. Model performance is validated using an interrupted FSC experiment with a multi-segment cooling program that mimics a local transient thermal history of PEEK during additive manufacturing. The sample is cooled through successive constant-rate segments with intermittent quench–remelt cycles to probe the accumulated crystallinity along the path. Without additional fitting, the model predicts the measured enthalpy evolution with R2 ≈ 0.95. The framework thus provides a practical route for predicting polymer crystallinity under processing-relevant thermal histories. Full article
(This article belongs to the Section Polymer Analysis and Characterization)
Show Figures

Graphical abstract

14 pages, 839 KB  
Article
Emergency Ventral Hernia Management in Older Adults: A Retrospective Cohort Study and Structured Review of the Literature
by Ivan Tomasi, Jeremy Samuel, Eimante Raupelyte, Antonia Elizabeth Loizou, Angela Wang Yihui, Lilian Chioma Ujunwa Nwosu, Sneha Mehrotra, Mariia Druziagina, Kenneth Wing Ngai Law and Magda Sbai
Geriatrics 2026, 11(2), 36; https://doi.org/10.3390/geriatrics11020036 (registering DOI) - 27 Mar 2026
Abstract
Background/Objectives: Older adults frequently present with emergency ventral hernias, a situation that carries significant physiological risks and often requires challenging clinical decisions. Despite the prevalence of these cases, there is a lack of robust evidence to inform emergency care in this demographic, [...] Read more.
Background/Objectives: Older adults frequently present with emergency ventral hernias, a situation that carries significant physiological risks and often requires challenging clinical decisions. Despite the prevalence of these cases, there is a lack of robust evidence to inform emergency care in this demographic, as most existing research centres on short-term mortality rates and operative variables. Key aspects such as the impact of frailty and the course of recovery following surgery are insufficiently addressed in the literature. This study aimed to describe management strategies, frailty burden and postoperative outcomes in older adults presenting with emergency ventral hernias. Methods: This study retrospectively examined patients aged 65 and older who were admitted to a UK tertiary centre with emergency ventral hernias from February 2016 to July 2024. Data, including patient demographics, comorbid conditions, frailty status (as measured by the Clinical Frailty Scale), management approach, healthcare resource use, and clinical outcomes, were analysed descriptively. Additionally, a structured literature review was conducted in accordance with PRISMA guidelines to identify research on emergency ventral hernia treatment outcomes in adults aged 60 years and older. Results: A total of 67 patients met the inclusion criteria for the cohort. High rates of frailty and multiple coexisting health conditions were observed. While surgical intervention was the predominant management strategy, a subset of patients received conservative or palliative care. Greater degrees of frailty correlated with longer hospital stays and an increased need for critical care, even though six-month mortality remained comparatively low. Traditional risk assessment tools tended to overpredict mortality risk and failed to reflect the true postoperative burden or the recovery process. The systematic review yielded 7 studies, most of which documented mortality and complication rates, but few addressed frailty or provided detailed postoperative recovery data. Conclusions: The management of emergency ventral hernias in older adults is highly variable, with a significant postoperative impact that extends beyond mortality statistics. Assessing frailty appears to provide additional information that may support clinical decision-making and help anticipate recovery after surgery. Integrating frailty evaluation into emergency hernia care could enhance multidisciplinary collaboration and help ensure that treatment plans are better tailored to patient vulnerability and individual care goals. Full article
Show Figures

Graphical abstract

33 pages, 1730 KB  
Review
Label-Free Target Discovery Strategy for Natural Active Products
by Lei Shan, Yujia Chen, Xiuling Cao, Xuejiao Jin and Beidong Liu
Biomolecules 2026, 16(4), 507; https://doi.org/10.3390/biom16040507 (registering DOI) - 27 Mar 2026
Abstract
The growing interest in harnessing natural compounds for health and medical applications underscores the necessity for innovative approaches to decipher their mechanisms of action. Among diverse strategies, non-probe-based methods for identifying the molecular targets of compounds represent one of the frontiers in drug [...] Read more.
The growing interest in harnessing natural compounds for health and medical applications underscores the necessity for innovative approaches to decipher their mechanisms of action. Among diverse strategies, non-probe-based methods for identifying the molecular targets of compounds represent one of the frontiers in drug discovery. This review focuses on an array of non-probe techniques for unveiling interactions between natural molecules and biological targets. The advantages and limitations of label-free protein target identification schemes suitable for lysed cells and living cells are analyzed. High-throughput target screening methods and their role in facilitating a holistic understanding of compound–target interactions are summarized. Based on comprehensive evaluation and comparison, this review aims to provide guidelines for selecting appropriate non-probe strategies to accelerate the characterization of the therapeutic potential of natural compounds. Full article
(This article belongs to the Section Natural and Bio-derived Molecules)
Show Figures

Figure 1

24 pages, 405 KB  
Article
Erdélyi-Type Integrals for FK Function and Their q-Analogues
by Liang-Jia Guo and Min-Jie Luo
Fractal Fract. 2026, 10(4), 225; https://doi.org/10.3390/fractalfract10040225 (registering DOI) - 27 Mar 2026
Abstract
In this paper, we revisit the recent result of Luo, Xu, and Raina on an Erdélyi-type integral for Saran’s three-variable hypergeometric function FK. We provide a new proof of this integral and derive an attractive new integral related to Appell’s function [...] Read more.
In this paper, we revisit the recent result of Luo, Xu, and Raina on an Erdélyi-type integral for Saran’s three-variable hypergeometric function FK. We provide a new proof of this integral and derive an attractive new integral related to Appell’s function F2. A further extension on the L-variable FK function, which appears in physics, is also discussed. Furthermore, we prove various q-Erdélyi-type integrals for the q-analogue of the FK-function. An interesting discrete analogue is also included. We also provide a valuable compilation of the sources for known Erdélyi-type integrals of many different hypergeometric functions. Full article
(This article belongs to the Section General Mathematics, Analysis)
40 pages, 6016 KB  
Review
Advanced Technologies to Treat Manure Generated on Dairy Farms: Overview and Perspectives for Intensifying Australian Systems
by Sharon R. Aarons, José A. D. López-Coronado, Scott McDonald and Rachael Campbell
Agriculture 2026, 16(7), 747; https://doi.org/10.3390/agriculture16070747 (registering DOI) - 27 Mar 2026
Abstract
Livestock production systems are considered some of the most environmentally degrading due to greenhouse gas (GHG) emissions and their contribution to poor air, soil and water quality, amongst other impacts. Advanced manure treatment technologies are required in response to intensification of dairy production [...] Read more.
Livestock production systems are considered some of the most environmentally degrading due to greenhouse gas (GHG) emissions and their contribution to poor air, soil and water quality, amongst other impacts. Advanced manure treatment technologies are required in response to intensification of dairy production worldwide, and the considerably greater volumes of manure generated that require collection and management. Similarly, in Australian dairy systems cows spend more time off pasture, with increased collection of larger manure volumes from a range of contained housing facilities. Adoption of advanced treatment is required to capture nutrients at risk of loss, and ideally to valorise manure to support uptake of these technologies. This review describes the generation of manure and the manure sources found in commercial Australian systems, including grazing-based and intensive dairy farms, supporting zero grazing. The review draws on manure data from pasture-based industries elsewhere and summarises their properties for comparison with Australian systems. Manure treatments that recover and retain nutrients, water and energy are reviewed. These include additives, mechanical/chemical/membrane separation, thermochemical and biological treatments which produce organic and inorganic soil amendments, clarified or potable water, gases (N2, H2), biofuels and energy. The review describes the technical and operational details of the technologies, and where there are opportunities for the Australian dairy industry. Treatment technologies need to be validated for Australian systems based on the collated data of local manure properties, as differences with international manure data have been observed. The relative costs, technological maturity, and the benefits and challenges associated with adoption are discussed. Many advanced technologies are ready for adoption, but others are experimental or at pilot stage and relative costs range from low to very high. However, to accurately assess feasibility of manure treatments, environmental, and production benefits should be balanced against capital and operating expenses and account for costs associated with current management. For large intensive farms, implementing advanced manure technologies may be required to ensure approval to operate/expand and to meet regulatory compliance. Future research for the Australian industry should investigate nutrient retention and further develop separation treatments incorporating chemical and mechanical technologies. Bioconversion of manure through insect composting as well as investigating co-digestion opportunities to enhance biogas production would support famers currently using these systems. Full article
Show Figures

Graphical abstract

25 pages, 4209 KB  
Article
Experimental Investigation of the Effect of Evaporator and Heat Exchanger Types on Heat Pump Performance Using the Taguchi Method
by Fadime Şimşek and Mehmet Akkoca
Processes 2026, 14(7), 1090; https://doi.org/10.3390/pr14071090 (registering DOI) - 27 Mar 2026
Abstract
In this study, a modified heat pump system has been designed for heating applications in cold climate regions, enabling the replacement of system components such as the evaporator and heat exchanger within the same system. In this modified heat pump system, which uses [...] Read more.
In this study, a modified heat pump system has been designed for heating applications in cold climate regions, enabling the replacement of system components such as the evaporator and heat exchanger within the same system. In this modified heat pump system, which uses R407C and R417A refrigerants instead of the restricted R22 refrigerant, the optimal system conditions that provide the best performance were determined using the Taguchi experimental method, prepared using five different parameters. As a result of the experiments, the optimum operating conditions of the system were determined from the analysis of variance table obtained by considering the COP and exergetic efficiency values. As a result, it was determined that the COP and exergetic efficiency values were higher in the case of using the 8 mm lamella spacing evaporator type and horizontal heat exchanger type. Full article
Show Figures

Graphical abstract

19 pages, 3143 KB  
Article
Characterization and Contaminant Assessment of Waste Tire Char Produced in an Industrial-Scale Auger Reactor
by Magdalena Joka Yildiz, Ewa Szatyłowicz, Izabela B. Zgłobicka, Güray Yildiz and Krzysztof J. Kurzydłowski
Sustainability 2026, 18(7), 3294; https://doi.org/10.3390/su18073294 (registering DOI) - 27 Mar 2026
Abstract
This work investigates the physicochemical characteristics of waste tire pyrolysis char (WTP-char) produced at 500 °C in an industrial-scale auger reactor. The study uniquely combines material profiling with environmental safety assessment, specifically targeting organic contaminants and polymer stabilizers, evaluating WTP-char’s potential for circular [...] Read more.
This work investigates the physicochemical characteristics of waste tire pyrolysis char (WTP-char) produced at 500 °C in an industrial-scale auger reactor. The study uniquely combines material profiling with environmental safety assessment, specifically targeting organic contaminants and polymer stabilizers, evaluating WTP-char’s potential for circular economy applications. The samples underwent comprehensive analysis, including GC-MS, TGA, SEM-EDS, TXRF, and BET surface area measurements. The results revealed a high volatile matter content (13 wt.%), attributed to the thermal inertia typical of industrial-scale units. The organic fraction was dominated by n-alkanes (48.3%) and a significant concentration (6.97%) of the stabilizer Tris(2,4-di-tert-butylphenyl) phosphate (bDtBPP), posing potential environmental risks due to its cytotoxicity. Polycyclic aromatic hydrocarbon (PAH) analysis showed a prevalence of high-molecular-weight (HMW) compounds (79.7%), indicating high chemical stability. Although the specific surface area was low (28.9 m2/g), suggesting the need for activation, the material exhibits potential as a low-cost semi-reinforcing filler or solid fuel. By moving beyond laboratory-scale experiments to real industrial production, this study establishes a practical framework for evaluating both the performance and environmental safety of waste tire pyrolysis char. Full article
Show Figures

Figure 1

16 pages, 1862 KB  
Article
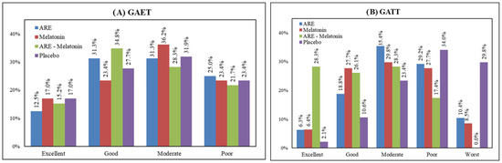
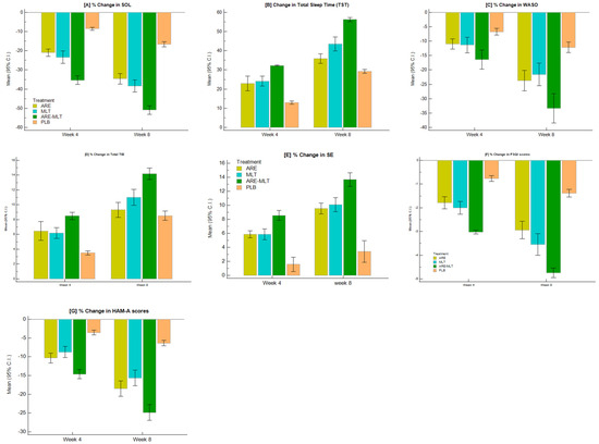
Comparative Evaluation of Ashwagandha (Withania somnifera) Root Extract and Melatonin for Improving Sleep Quality in Adults: A Prospective, Randomized, Double-Blind, Placebo-Controlled Study
by Navya Movva, Jaising Salve, Kalpana Wankhede, Vaishali Thakare and Deepak Langade
Clocks & Sleep 2026, 8(2), 15; https://doi.org/10.3390/clockssleep8020015 (registering DOI) - 27 Mar 2026
Abstract
Ashwagandha, a revered herb in Ayurvedic medicine for over 3000 years, is recognized for its potential benefits in regulating sleep and supporting overall vitality. This study evaluated the comparative effects of Ashwagandha root extract (ARE) and melatonin (MLT) on sleep quality in adults. [...] Read more.
Ashwagandha, a revered herb in Ayurvedic medicine for over 3000 years, is recognized for its potential benefits in regulating sleep and supporting overall vitality. This study evaluated the comparative effects of Ashwagandha root extract (ARE) and melatonin (MLT) on sleep quality in adults. In this prospective, randomized, double-blind, placebo-controlled trial, 200 men and women aged 18–50 years were randomized to receive ARE (300 mg twice daily; n = 50), MLT (3 mg/day; n = 50), a combination of ARE (600 mg/day) and MLT (3 mg/day; n = 50), or placebo (n = 50) for eight weeks. The primary outcome was the change in sleep onset latency (SOL) from baseline to week eight, measured by actigraphy. Secondary outcomes included actigraphy-based changes in total sleep time (TST), wake after sleep onset (WASO), and sleep efficiency (SE), as well as subjective measures such as the Pittsburgh Sleep Quality Index (PSQI) and the Hamilton Anxiety Scale (HAM-A). At week eight, SOL was significantly reduced across treatment groups, with the ARE–MLT (p < 0.0001) combination showing the greatest improvement. The combination group also demonstrated significant improvements in TST (p < 0.0001), WASO (p < 0.0001), and SE (p < 0.0001), whereas ARE and MLT monotherapy produced moderate but comparable benefits. Inferential analyses confirmed statistically significant improvements in objective and subjective sleep measures (p < 0.0001). Safety analyses indicated that mild adverse events occurred across all groups, with no clinically significant between-group differences. Overall, both Ashwagandha and melatonin improved sleep disturbances in adults, with combination therapy producing the most consistent and pronounced benefits. Full article
(This article belongs to the Section Human Basic Research & Neuroimaging)
Show Figures

Figure 1

19 pages, 13877 KB  
Article
Seasonal Characteristics and Influencing Factors of Soil Carbon Flux in the Vadose Zone of Sandy Land
by Huanlong Zhao, Yaowei Gao and Ce Zheng
Atmosphere 2026, 17(4), 340; https://doi.org/10.3390/atmos17040340 (registering DOI) - 27 Mar 2026
Abstract
Soil CO2 emissions are critical for predicting terrestrial ecosystem feedbacks to climate change, yet significant knowledge gaps persist regarding carbon flux dynamics within the deep vadose zone and during freeze–thaw processes. In this study, the Mu Us Sandy Land, a representative seasonally [...] Read more.
Soil CO2 emissions are critical for predicting terrestrial ecosystem feedbacks to climate change, yet significant knowledge gaps persist regarding carbon flux dynamics within the deep vadose zone and during freeze–thaw processes. In this study, the Mu Us Sandy Land, a representative seasonally frozen and semi-arid region in Northwestern China, was selected as the research site. Based on in situ observation data and the XGBoost algorithm, the spatiotemporal variations of soil carbon flux and its environmental drivers were investigated. Results revealed distinct depth-dependent patterns, where carbon release reached its maximum flux in the 100–200 cm layer and carbon sequestration dominated the soil layers below 200 cm. Soil temperature and moisture were the primary controlling factors, but their impacts exhibited significant depth and seasonal heterogeneity. Notably, in the 20–50 cm soil layer, soil water content provided the highest explanatory power, reaching 55.3% and 47.8% in winter and summer, respectively. Furthermore, carbon fluxes exhibited distinct response thresholds to environmental factors, and their spatiotemporal variations were fundamentally regulated by an atmosphere-driven coupled water–vapor–heat–carbon process. These findings elucidate the complex relationship between soil carbon fluxes and the environment at different depths, providing theoretical support for deepening the understanding of regional carbon cycling. Full article
13 pages, 485 KB  
Article
Determinants of Influenza Vaccination Uptake Among Elderly Residents in Nursing Homes: A Cross-Sectional Analysis of Barriers and Strategic Implications
by Ye Qiu, Hui Qiao, Yanting Yang, Tingting Jiang, Jin Zhang and Yuanping Wang
Vaccines 2026, 14(4), 302; https://doi.org/10.3390/vaccines14040302 (registering DOI) - 27 Mar 2026
Abstract
Background: Nursing homes are congregate settings for elderly individuals where infectious diseases can easily spread. The elderly are at high risk of contracting and dying from influenza, and the most effective way to prevent this is to receive the influenza vaccine. Methods: This [...] Read more.
Background: Nursing homes are congregate settings for elderly individuals where infectious diseases can easily spread. The elderly are at high risk of contracting and dying from influenza, and the most effective way to prevent this is to receive the influenza vaccine. Methods: This study conducted a cross-sectional survey of elderly people in nursing homes to investigate the occurrence of influenza symptoms during the 2024–2025 flu season, as well as vaccination status and reasons for receiving or not receiving the vaccine. Bivariate logistic regression was used to determine the factors influencing the vaccination rate. Results: Of the 1024 elderly people who participated in the survey, 25.39% reported experiencing flu-related symptoms in the previous flu season. While 16.21% of the elderly expressed willingness to receive vaccination, only 5.57% actually received it. Influenza vaccination was positively correlated with educational attainment (aOR 3.800, 95% CI 1.480–9.758 for middle school; aOR 5.138, 95% CI 1.738–15.191 for high school), monthly household income (aOR 0.216, 95% CI 0.072–0.644 for >8000), ability for self-care (aOR 0.269, 95% CI 0.123–0.591), and the scale of the nursing home (aOR 9.033, 95% CI 1.531–53.305 for 151–299; aOR 2.629, 95% CI 1.359–5.084 for ≥300). Willingness to receive the influenza vaccination was positively correlated with an unhealthy health status (aOR 0.398, 95% CI 0.204–0.779), symptoms of influenza (aOR 2.730, 95% CI 1.861–4.007), nursing home location (aOR 1.537, 95% CI 1.099–2.941 for outer suburbs), and the scale of the nursing home (aOR 1.991, 95% CI 1.154–3.435 for 151–299; aOR 2.158, 95% CI 1.374–3.390 for ≥300). Most elderly people who received the vaccine believed that vaccination could effectively prevent flu and that it could reduce the risk of complications, the rest were not vaccinated due to concerns about adverse reactions, mobility issues, or the distance to vaccination sites. Conclusions: Low awareness of flu vaccines and physical inability to travel to vaccination sites may be potential barriers to receiving the flu vaccine. It is worrying that the influenza vaccination rate is low among the elderly in nursing homes in Shanghai. As a result, it is crucial to prioritize targeted monitoring and intervention strategies for vulnerable populations living in collective institutions. Full article
(This article belongs to the Section Epidemiology and Vaccination)
Show Figures

Figure 1

33 pages, 794 KB  
Review
Plant-Derived Functional Ingredients in Pet Nutrition: Phytochemical Classification, Mechanisms, Efficacy, and Application in Dogs and Cats
by Atcharawan Srisa, Pitiya Kamonpatana, Khwanchat Promhuad, Phanwipa Wongphan, Anusorn Seubsai, Phatthranit Klinmalai and Nathdanai Harnkarnsujarit
Animals 2026, 16(7), 1034; https://doi.org/10.3390/ani16071034 (registering DOI) - 27 Mar 2026
Abstract
This review classifies plant-derived functional ingredients in pet food according to phytochemical groups and application forms, including direct oral supplementation and incorporation into complete diets. Polyphenols and plant extracts exert prominent antioxidant (singular), anti-inflammatory, immunomodulatory, and microbiome-regulating effects. Microalgae and omega-3 sources support [...] Read more.
This review classifies plant-derived functional ingredients in pet food according to phytochemical groups and application forms, including direct oral supplementation and incorporation into complete diets. Polyphenols and plant extracts exert prominent antioxidant (singular), anti-inflammatory, immunomodulatory, and microbiome-regulating effects. Microalgae and omega-3 sources support lipid metabolism, cardiovascular function, and skin integrity. Cannabinoids demonstrate dose-dependent responses in dogs, while cats generally tolerate long-term administration and exhibit notable benefits in chronic pain management. Combinations of botanical extracts with complementary bioactives and fermented botanical preparations exhibit multi-target functionality, with dogs showing pronounced biochemical and microbiome modulation, whereas cats display more behavioral and functional improvements. Phytochemicals operate through integrated multi-level regulation, including activation of antioxidant enzymes, modulation of inflammatory cytokines and T-lymphocyte ratios, microbial metabolic shifts toward short-chain fatty acid production, and regulation of lipid metabolism. Dogs demonstrate marked effects on hepatic function, reproductive resilience, microbiome diversity, CD4+/CD8+ balance, and cholesterol control. In contrast, cats show greater benefits in inflammation reduction, pain relief, intestinal integrity, and long-term safety. These species-specific responses underscore the importance of precision formulation and highlight the emergence of plant-based “pharma-pet nutrition” integrating nutritional and biochemical strategies for targeted health promotion. Full article
(This article belongs to the Special Issue Pet Nutrition and Health)
20 pages, 2044 KB  
Article
Determination of the Local Roughness Coefficient in a Laboratory Sewer Pipe for Flow Velocities Lower than the Self-Cleansing Velocity
by Elena-Maria Iatan, Radu Mircea Damian, Angel Dogeanu, Ion Sota and Alexandru-Mircea Iatan
Water 2026, 18(7), 806; https://doi.org/10.3390/w18070806 (registering DOI) - 27 Mar 2026
Abstract
Sewerage systems are a main element of a city’s infrastructure. Roughness coefficients are fundamental parameters for sewage system operation. The intermittent nature of the flow leads to the appearance of deposits that become an integral part of the sewerage systems. Deposited material not [...] Read more.
Sewerage systems are a main element of a city’s infrastructure. Roughness coefficients are fundamental parameters for sewage system operation. The intermittent nature of the flow leads to the appearance of deposits that become an integral part of the sewerage systems. Deposited material not only leads to the loss of hydraulic capacity and decreases the concentration of dissolved oxygen (which is found in direct relation to all quality parameters), but it also results in more transported particles being intercepted. In the design calculations, the roughness coefficient is estimated rather than calculated. It has been demonstrated that the estimation of stress within and above roughness elements improves the predictive capability for the concentration of suspended sediment. In this study, we focused on a local evaluation of the roughness coefficient when the flow velocity is below the minimum self-cleansing velocity. Some authors consider the selection of the most reliable method for estimating bed shear stress to be the main challenge. Other authors have suggested that all possible methods should be applied simultaneously to achieve a reliable bed shear stress estimation, knowing that the roughness coefficient can be determined through the shear boundary stress. We calculate the local roughness coefficient in Manning’s equation using a laboratory model, considering clear water flowing over a solid boundary with consolidated deposits, represented by artificial roughness elements (calibrated hemispheres). The European standard EN 752:2017 specifies a minimum average cross-sectional velocity of 0.7 m/s for pipe self-cleansing. This study established the range of possible roughness coefficient values when the minimum velocity design criterion is not met. The second criterion was to consider acceptable a sediment deposit occupying between 1% and 2% of the collector diameter. Velocity distributions around artificial roughness and statistical parameters of the turbulent flow were obtained using a PIV system. Five methods were implemented and the range of roughness coefficient values varied between 0.007 and 0.023. This variation is closely related to sewer performance. We selected the dissipation method as the primary reference for this study, as it is most closely aligned with the underlying physics of flow over roughness elements. This approach allows for robust validation by correlating multiple characteristic mechanisms of the turbulent cascade. Full article
24 pages, 2997 KB  
Article
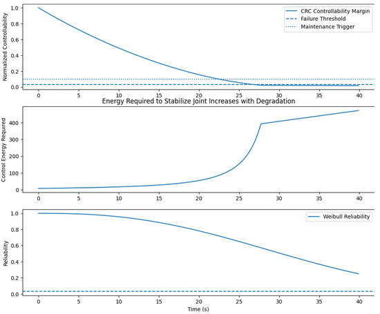
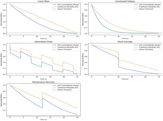
A Controllability-Based Reliability Framework for Mechanical Systems with Scenario-Driven Performance Evaluation
by Daniel Osezua Aikhuele and Shahryar Sorooshian
Appl. Syst. Innov. 2026, 9(4), 72; https://doi.org/10.3390/asi9040072 (registering DOI) - 27 Mar 2026
Abstract
In classical reliability engineering, failure is a probabilistic structural failure based on lifetime distributions of Weibull models. However, in the control-critical mechanical systems, it is possible that functional failure of the system happens before material failure occurs as a result of control power [...] Read more.
In classical reliability engineering, failure is a probabilistic structural failure based on lifetime distributions of Weibull models. However, in the control-critical mechanical systems, it is possible that functional failure of the system happens before material failure occurs as a result of control power loss. This paper proposes a Controllability–Reliability Coupling (CRC) model, which redefines the concept of reliability as the stabilizability in the face of progressive degradation. The actuators’ deterioration is modeled using the time-varying input effectiveness factor α(t), and the actuator is said to be in failure when the minimum singular value of the finite-horizon controllability Gramian becomes less than a stabilizability threshold ε. The performance of the simulation indicates that the functional failure is a precursor of structural failure in several degradation conditions. A baseline comparison shows that the CRC metric forecasts loss of controllability at TCRC=17.0 s, but the classical Weibull reliability never attains the structural failure threshold even in the time horizon of 20 s. The system retains margins of Lyapunov stability and H infinity robustness are not lost, and it is still stable and attenuates disturbances even when control authority is lost. In practical degradation scenarios, the forecasted CRC failure times are 21.5 s (linear wear), 13.1 s (accelerated fatigue), 23.7 s (intermittent faults), and 24.4 s (shock damage), whereas maintenance recovery abated functional failure completely. In a case study of an industrial robotic joint, at 27.0 s, functional collapse occurred, and at the same time, structural reliability was still above the failure threshold. The findings support the hypothesis that structural survival and functional controllability are distinct concepts. The proposed CRC framework is an approach to control-conscious reliability measure, which can detect early failures and offer proactive maintenance advice in the context of a cyber–physical system. Full article
Show Figures

Figure 1

27 pages, 8012 KB  
Article
Evaluation of the Resistance of Concrete to Freezing and Thawing Containing Recycled Steel Fibers and Waste Aluminum Aggregates
by Paywand M. Othman and Bengin M. A. Herki
J. Compos. Sci. 2026, 10(4), 183; https://doi.org/10.3390/jcs10040183 (registering DOI) - 27 Mar 2026
Abstract
The research undertaken examines the impact of recycled tire steel fiber (RTSF) and waste aluminum (WAL) on the mechanical properties and freeze–thaw durability of sustainable fiber-reinforced concrete (FRC). RTSF (0.5%, 1.25%, and 2%) and WAL (10%) were added on their own and as [...] Read more.
The research undertaken examines the impact of recycled tire steel fiber (RTSF) and waste aluminum (WAL) on the mechanical properties and freeze–thaw durability of sustainable fiber-reinforced concrete (FRC). RTSF (0.5%, 1.25%, and 2%) and WAL (10%) were added on their own and as hybrids. Findings revealed that 1.25% RTSF was the optimum content to use, as it enhanced compressive strength by 12.8% with high durability. Tensile and flexural strengths also increased for higher fiber contents with the help of good crack bridging and increased post-crack ductility; maximal gains of 52.6% and 11.8% were obtained at 2% RTSF. In contrast, the increase in porosity and the decrease in strength were demonstrated with WAL, whereas hybrid mixes delivered a balanced performance. Microstructural analysis ensured that there was an enhanced bonding between the fibers and the matrix, coupled with a refinement in the pore at the optimal fiber content. This study establishes the structural viability, durability improvement, and sustainability prospect of hybrid recycled material concrete as a construction material with eco-efficient and resilient applications. Full article
(This article belongs to the Section Composites Applications)
Show Figures

Figure 1

24 pages, 5376 KB  
Article
Experimental Study on Hydrodynamic Responses of Multi-Body Floating Systems Under Combined Wind, Wave, and Current Loads
by Lin Song, Jianxing Yu, Hanxu Tian, Ruilong Gao, Jiandong Ma and Zihang Jin
J. Mar. Sci. Eng. 2026, 14(7), 625; https://doi.org/10.3390/jmse14070625 (registering DOI) - 27 Mar 2026
Abstract
As the development of the ocean extends to the deep and open seas, the application of multi-hull floating systems is becoming increasingly widespread, covering offshore oil and gas transfer and material replenishment operations. In multi-body floating systems, the hydrodynamic interactions between adjacent floating [...] Read more.
As the development of the ocean extends to the deep and open seas, the application of multi-hull floating systems is becoming increasingly widespread, covering offshore oil and gas transfer and material replenishment operations. In multi-body floating systems, the hydrodynamic interactions between adjacent floating bodies significantly affect the overall motion response and load distribution. However, there is currently a lack of systematic experimental research on systems involving three or more units under the combined action of wind, waves, and currents. This study presents a 1:50 scale model experiment on a five-body offshore replenishment station, comprising a central transfer platform and four surrounding vessels. Absolute six-degree-of-freedom motions and relative displacements between the transfer platform and neighboring vessels were measured. The results indicate distinct differences among the units. The peripheral vessels have greater horizontal and yaw motions, while the central units are more restricted. The relative motions are substantially increased for beam and oblique wave conditions, implying increased interaction effects in the gaps between neighboring bodies. Moreover, the combined oblique environmental loading and asymmetric mooring stiffness result in increased global drift and yaw motions. These findings provide benchmark data for numerical validation and practical guidance for the design and operation of multi-body floating systems. Full article
(This article belongs to the Section Ocean Engineering)
10 pages, 226 KB  
Article
Physical vs. Behavioral Clinical Signs in Horses with Squamous and Glandular Gastric Ulcers
by José Pimenta, Bruna Martins, Alexandre Mexedo, Rita Campilho, Filipe Silva and Mário Cotovio
Vet. Sci. 2026, 13(4), 328; https://doi.org/10.3390/vetsci13040328 (registering DOI) - 27 Mar 2026
Abstract
Equine Gastric Ulcer Syndrome is a highly prevalent condition, yet its clinical diagnosis remains challenging due to the nonspecific nature of many associated signs. The relationship between the anatomical location of gastric ulcers and clinical presentation is still poorly defined. This retrospective study [...] Read more.
Equine Gastric Ulcer Syndrome is a highly prevalent condition, yet its clinical diagnosis remains challenging due to the nonspecific nature of many associated signs. The relationship between the anatomical location of gastric ulcers and clinical presentation is still poorly defined. This retrospective study aimed to evaluate the association between gastric ulcer location and the clinical signs observed in horses. Medical records of 52 horses diagnosed with gastric ulcers by gastroscopy were retrospectively reviewed. Clinical signs were classified as physical, behavioral, or mixed, and ulcer localization was categorized as Equine Squamous Gastric Disease (ESGD), Equine Glandular Gastric Disease (EGGD), or mixed. Associations between variables were analyzed using chi-square or Fisher’s exact tests, with p < 0.05 considered significant. A significant association was identified between the type of clinical signs and ulcer location (p < 0.001). Physical clinical signs were predominantly associated with ESGD, whereas behavioral and mixed signs were more frequently observed in horses with EGGD or mixed ulceration. Furthermore, both the type of clinical signs and ulcer location were associated with the horse’s sport activity. No association was found between ulcer severity and clinical signs nor between ulcer location and sex. These findings suggest that gastric ulcer location influences clinical presentation, indicating that ESGD and EGGD may be associated with different clinical sign patterns. Full article
(This article belongs to the Special Issue Diagnostics and Medical Therapies in Equine Health)
21 pages, 5948 KB  
Article
Integrating Sentinel-2 and MODIS BRDF Imagery to Invert Canopy Fractional Vegetation Cover for Forests and Analyze the Corresponding Spatio-Temporal Evolution
by Zhujun Gu, Jia Liu, Qinghua Fu, Xiaofeng Yue, Guanghui Liao, Jiasheng Wu, Yanzi He, Xianzhi Mai, Qiuyin He and Quanman Lin
Forests 2026, 17(4), 426; https://doi.org/10.3390/f17040426 (registering DOI) - 27 Mar 2026
Abstract
Canopy fractional vegetation cover (FVCc) is a critical indicator for evaluating the effectiveness of ecological restoration, and its accurate estimation provides valuable data for regional ecological management. In this study, Sentinel-2 and MODIS data were integrated to develop an angular relationship model for [...] Read more.
Canopy fractional vegetation cover (FVCc) is a critical indicator for evaluating the effectiveness of ecological restoration, and its accurate estimation provides valuable data for regional ecological management. In this study, Sentinel-2 and MODIS data were integrated to develop an angular relationship model for MODIS reflectance, which was then used to estimate Sentinel-2 reflectance at a 45° viewing angle. Background reflectance at a 10 m spatial resolution was derived using a four-scale model, and total and shrub-herb fractional vegetation cover were estimated using a pixel dichotomy model. Finally, an empirical model tailored to the characteristics of the study area was developed to retrieve FVCc. Cross-validation results demonstrated that the multi-angle retrieval method proposed in this study achieved higher accuracy than the single-angle approach. The spatial distribution of FVCc in Changting County is characterized by higher values in peripheral areas and lower values in the central region. Temporal transitions among fractional vegetation cover classes were predominantly upward, indicating an overall trend of continuous improvement. These findings provide important technical support and a scientific basis for estimating and monitoring dynamic changes in forest canopy fractional vegetation cover. Full article
(This article belongs to the Section Forest Inventory, Modeling and Remote Sensing)
Show Figures

Figure 1

16 pages, 308 KB  
Article
Energy Literacy of Prospective Primary School Teachers: A Comparative Study in a Portuguese University
by Laurinda Leite, Luís Dourado, Sofia Morgado, Ana Sofia Afonso, Francisco Macedo and Mário R. Pereira
Educ. Sci. 2026, 16(4), 535; https://doi.org/10.3390/educsci16040535 (registering DOI) - 27 Mar 2026
Abstract
The word “energy” is one of the most used in our daily language. People are constantly reminded to save energy, use it efficiently, and increase the use of renewable energy, which is much more environmentally friendly than non-renewable energy. Citizens need to develop [...] Read more.
The word “energy” is one of the most used in our daily language. People are constantly reminded to save energy, use it efficiently, and increase the use of renewable energy, which is much more environmentally friendly than non-renewable energy. Citizens need to develop a good level of energy literacy, that is, a general predisposition, and, at the same time, a competence for engaging in desirable behaviours in the area of energy consumption. Teachers are a key element in promoting energy literacy. This article aims to compare the energy literacy of first- and third-year students enrolled in the 3 year long Basic Education undergraduate programme of a Portuguese university, who will become primary school teachers. To attain the research objective, 203 prospective teachers (first year: 98; third year: 105) were invited to answer a questionnaire on knowledge about energy (cognitive dimension), behaviour (behavioural dimension) concerning energy, and attitudes (affective dimension) toward energy. Concerning the cognitive dimension, statistically significant differences were obtained between first and third year groups and between third year rural and urban participants; differences between participants with parents with diverse levels of education are not statistically significant. The same applies to comparisons within the affective and the behavioural dimensions. Even though participants seem to believe that they know more than they do, the undergraduate programme in Basic Education seems to cause a small improvement, which is not enough for prospective teachers to reach a good level of energy literacy. Therefore, more attention should be paid to the development, in the Basic Education programme, of energy literacy, considering its diverse dimensions. Full article
(This article belongs to the Section STEM Education)
17 pages, 867 KB  
Article
Pro-Inflammatory Activation Promotes Atherogenic Endothelial Phenotype in Male and Female Human Umbilical Endothelial Vein Cells (HUVECs)
by Mario Lorenz, Riwka Palant, Edith Oscherowa, Weam Karmid-Haj Hamoud, Jennifer A. Kirwan, Sarah Trajkovski, Janine Wiebach, Raphaela Fritsche-Guenther, Haiyan Wu, Natalie Haritonow, Angelika Vietzke, Elena Kaschina, Wolfgang Henrich, Julia Temp and Maria Luisa Barcena
Int. J. Mol. Sci. 2026, 27(7), 3079; https://doi.org/10.3390/ijms27073079 (registering DOI) - 27 Mar 2026
Abstract
Atherosclerosis, the leading global cause of death, is a chronic inflammatory vascular disease with higher prevalence and earlier onset in men than in women. This study aims to investigate sex differences in the atherogenic endothelial phenotype during early atherosclerosis processes by providing the [...] Read more.
Atherosclerosis, the leading global cause of death, is a chronic inflammatory vascular disease with higher prevalence and earlier onset in men than in women. This study aims to investigate sex differences in the atherogenic endothelial phenotype during early atherosclerosis processes by providing the first comprehensive analysis of hormone-independent responses in human umbilical vein endothelial cells (HUVECs) from opposite-sex twins. HUVECs underwent pro-inflammatory stimulation with TNF-α and supernatant from activated pro-inflammatory THP-1 cells, revealing distinct sex-specific patterns: mRNA expression of focal adhesion proteins talin-I, vinculin, FAK, and α1-actinin increased significantly only in male cells, while paxillin showed elevated mRNA and protein levels in both sexes. Male HUVECs exhibited stronger induction of cell adhesion molecule VCAM-1, pro-inflammatory cytokine IL-1β, and proangiogenic factors Flt-3L, G-CSF, and PDGF-AA, whereas IL-22 secretion was exclusively upregulated in female cells. These sex differences in levels of focal adhesion, adhesion molecules, and cytokine profiles uncover the mechanistic backgrounds of the atherogenic endothelial phenotype, independent of systemic hormones. The findings emphasize cellular sex as a critical biological variable in early atherosclerosis and vascular inflammation. Full article
(This article belongs to the Special Issue Metabolic Signaling and Inflammation in Cardiac Pathophysiology)
51 pages, 1921 KB  
Review
Federated Retrieval-Augmented Generation for Cybersecurity in Resource-Constrained IoT and Edge Environments: A Deployment-Oriented Scoping Review
by Hangyu He, Xin Yuan, Kai Wu and Wei Ni
Electronics 2026, 15(7), 1409; https://doi.org/10.3390/electronics15071409 (registering DOI) - 27 Mar 2026
Abstract
Cybersecurity operations in IoT and edge environments require fast, evidence-grounded decisions under strict resource and trust constraints. While large language models can support triage and incident analysis, their parametric knowledge may be outdated and prone to hallucination. Retrieval-augmented generation (RAG) improves grounding by [...] Read more.
Cybersecurity operations in IoT and edge environments require fast, evidence-grounded decisions under strict resource and trust constraints. While large language models can support triage and incident analysis, their parametric knowledge may be outdated and prone to hallucination. Retrieval-augmented generation (RAG) improves grounding by conditioning responses on retrieved evidence, but also introduces new risks such as knowledge-base poisoning, indirect prompt injection, and embedding leakage. Federated learning enables collaborative adaptation without centralizing sensitive data, motivating federated RAG (FedRAG) architectures for distributed cybersecurity deployments. This study presents a deployment-oriented scoping review of FedRAG for cybersecurity. The review follows PRISMA-ScR reporting guidance and synthesizes 82 studies published between 2020 and 2026, identified through keyword search and citation snowballing over OpenAlex, arXiv, and Crossref. We develop a taxonomy that clarifies the components of federated systems, deployment locations, trust boundaries, and protected assets. We further map the combined RAG+FL attack surface, summarize practical defenses and system patterns, and distill actionable guidance for secure, privacy-preserving, and efficient FedRAG deployment in real-world IoT and edge scenarios. Our synthesis highlights recurring trade-offs among robustness, privacy, latency, communication overhead, and maintainability, and identifies open research priorities in benchmark design, governance mechanisms, and cross-silo evaluation protocols for practical deployment. Full article
(This article belongs to the Special Issue Novel Approaches for Deep Learning in Cybersecurity)
21 pages, 1435 KB  
Article
Growth Differentiation Factor 15 as a Biomarker of Cardiovascular Burden and Mortality in a Population-Based Cohort
by Beatriz Martín-Carro, Leticia Nieto-García, Clara Sánchez-Pablo, Alfonso Romero, Candelas Pérez del Villar, José Carlos Moyano-Maza, José María de Dios, David Cembrero-Fuciños, Estefanía Iglesias-Colino, Paz Muriel, Sara Cascón, Amalia Martín-Gallego, Baltasara Blázquez, Inmaculada Santolino, Lydia González-González, María Concepción Ledesma, Javier Maillo-Seco, Jesús Rodríguez-Nieto, Luis M. Rincón, María Isidoro-García and Pedro L Sánchezadd Show full author list remove Hide full author list
Int. J. Mol. Sci. 2026, 27(7), 3078; https://doi.org/10.3390/ijms27073078 (registering DOI) - 27 Mar 2026
Abstract
Growth differentiation factor 15 (GDF15) is a stress-responsive cytokine strongly associated with aging, multimorbidity, and cardiovascular disease. Although prior studies have established its prognostic value in high-risk populations, its role in the general population remains less defined. The aim of this study was [...] Read more.
Growth differentiation factor 15 (GDF15) is a stress-responsive cytokine strongly associated with aging, multimorbidity, and cardiovascular disease. Although prior studies have established its prognostic value in high-risk populations, its role in the general population remains less defined. The aim of this study was to determine if there is an association between plasma GDF15 levels, heart disease and mortality in a representative population-based cohort. We analyzed 1532 participants (mean age 55 years; 54.6% women) with available baseline plasma GDF15 concentrations. Participants were stratified according to an optimal cutoff of 1081 pg/mL, derived from ROC curve analysis for mortality. Associations with prevalent heart disease were assessed using multivariable logistic regression models adjusted for cardiovascular risk factors and NT-proBNP. Mortality was analyzed using Cox proportional hazards models, with model performance evaluated by C-index and time-dependent ROC curves. Individuals with GDF15 > 1081 pg/mL were older and exhibited a more adverse cardiometabolic profile with higher prevalence of comorbidities. Elevated GDF15 was independently associated with ischemic cardiomyopathy (OR 3.34, 95% CI: 1.38–8.11), particularly in men (OR 4.26, 95% CI: 1.40–12.96), but not in women. No independent associations were observed with arrhythmias, valvulopathy, or heart failure after adjustment for NT-proBNP. During a median follow-up of 6.2 years, 51 deaths occurred. Elevated GDF15 independently predicted all-cause mortality (HR 2.47, 95% CI: 1.19–5.13), though the effect was attenuated after adjustment for NT-proBNP. GDF15 improved model discrimination (ΔC-index = +0.01; LRT p = 0.011) and showed robust time-dependent predictive ability, with AUCs of 0.76, 0.82, and 0.85 at 2, 4, and 6 years, respectively. In this population-based cohort, elevated GDF15 identified individuals with an adverse health profile, was independently associated with ischemic cardiomyopathy in men, and predicted mortality. Although its incremental predictive value over NT-proBNP was modest, GDF15 could provide complementary biological information and may enhance multimarker strategies for cardiovascular risk stratification in the general population. Full article
17 pages, 5172 KB  
Article
Depth-Dependent Performance of Residual Networks for Low-Count PET Image Restoration Using a Dedicated 3D-Printed Striatum Phantom
by Chanrok Park, Min-Gwan Lee and Sun Young Chae
Bioengineering 2026, 13(4), 392; https://doi.org/10.3390/bioengineering13040392 (registering DOI) - 27 Mar 2026
Abstract
Low-count positron emission tomography (PET) is inherently affected by Poisson-dominated noise, which degrades image contrast, structural delineation, and quantitative reliability. This study systematically evaluated residual learning-based deep neural networks to investigate the influence of residual block depth on PET image restoration performance under [...] Read more.
Low-count positron emission tomography (PET) is inherently affected by Poisson-dominated noise, which degrades image contrast, structural delineation, and quantitative reliability. This study systematically evaluated residual learning-based deep neural networks to investigate the influence of residual block depth on PET image restoration performance under low-count conditions. We employed a physically controlled striatum phantom, fabricated using 3D printing technology, to ensure reproducible acquisition conditions and controlled physical variability. PET images were acquired using a clinical PET/computed tomography (CT) system with list-mode acquisition. Low-count images reconstructed from short-duration acquisition were paired with high-count reference images reconstructed from extended acquisitions. We compared conventional filtering techniques, including median, Wiener, and modified median Wiener filters, with residual network (ResNet)-based models incorporating 8, 16, and 32 residual blocks. Image quality was quantitatively assessed using contrast-to-noise ratio (CNR), coefficient of variation (COV), line profile analysis, universal quality index (UQI), and perceptual image patch similarity (LPIPS). The results demonstrated that ResNet-based restorations substantially outperformed conventional filtering techniques in contrast recovery, signal stability, and structural preservation. The ResNet-16 model achieved the most balanced performance, yielding the highest CNR (9.02) and lowest COV (0.105), while also demonstrating superior structural and perceptual similarity, as indicated by UQI (0.9224) and LPIPS (0.0174), relative to the high-count reference images. Deeper network configurations exhibited diminishing returns and reduced structural consistencies. These findings indicate that an intermediate residual block depth is optimal for low-count PET image restoration and highlight the importance of architectural optimization in deep learning-based PET image enhancement with phantom-based evaluation frameworks. Full article
(This article belongs to the Special Issue Artificial Intelligence-Based Medical Imaging Processing)
45 pages, 3443 KB  
Article
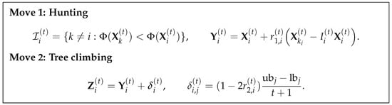
Novel Hybrid Nature-Inspired Metaheuristic Algorithm for Global and Engineering Design Optimization
by Hasan Kanaker, Osama Al Sayaydeh, Essam Alhroob, Nader Abdel Karim, Sami Smadi and Nurul Halimatul Asmak Ismail
Computers 2026, 15(4), 211; https://doi.org/10.3390/computers15040211 (registering DOI) - 27 Mar 2026
Abstract
Metaheuristic algorithms have become indispensable for solving high-dimensional, non-convex, and constrained optimization problems arising in science and engineering. However, no single method can simultaneously provide strong global exploration, accurate local exploitation, and robust performance across diverse problem classes. This paper proposes JADEFLO, a [...] Read more.
Metaheuristic algorithms have become indispensable for solving high-dimensional, non-convex, and constrained optimization problems arising in science and engineering. However, no single method can simultaneously provide strong global exploration, accurate local exploitation, and robust performance across diverse problem classes. This paper proposes JADEFLO, a new hybrid nature-inspired metaheuristic that couples Adaptive Differential Evolution with Optional External Archive (JADE) and Frilled Lizard Optimization (FLO) in a two-stage search framework. In the first stage, JADE drives global exploration using p-best mutation, an external archive, and adaptive control of the mutation factor and crossover rate to maintain population diversity. In the second stage, FLO performs intensive local refinement by mimicking the hunting and tree-climbing behaviors of frilled lizards through dedicated exploration and exploitation moves. The resulting algorithm has linear time complexity with respect to the population size, dimensionality, and number of iterations. JADEFLO is evaluated on the IEEE CEC 2022 single-objective benchmark suite (F1–F12) and three constrained engineering design problems (Pressure Vessel, tension/compression spring, and speed reducer), using 30 independent runs and comparisons against more than thirty state-of-the-art metaheuristics, including GA, PSO, DE variants, GWO, WOA, MFO, and FLO. The results show that JADEFLO attains the best overall rank on the CEC functions, delivers faster convergence and higher accuracy on most test cases, and matches or improves the best-known designs with markedly reduced variance. These findings indicate that JADEFLO is a promising general-purpose optimizer and a flexible foundation for future extensions to multi-objective and large-scale optimization. Full article
(This article belongs to the Special Issue Operations Research: Trends and Applications)
Show Figures

Figure 1

17 pages, 784 KB  
Review
Extracellular Vesicles in B-Cell Non-Hodgkin Lymphomas: Pathogenesis, Therapeutic Implications, and Biomarker Potential
by Tingjun Zhu and Jingcheng Zhang
Biomedicines 2026, 14(4), 767; https://doi.org/10.3390/biomedicines14040767 (registering DOI) - 27 Mar 2026
Abstract
Extracellular vesicles (EVs), as key mediators of intercellular communication, play multifaceted roles in the pathogenesis, treatment, drug resistance, and monitoring of B-cell non-Hodgkin lymphomas (B-NHLs), including diffuse large B-cell lymphoma (DLBCL), Burkitt lymphoma (BL), follicular lymphoma (FL), and mantle cell lymphoma (MCL). EVs [...] Read more.
Extracellular vesicles (EVs), as key mediators of intercellular communication, play multifaceted roles in the pathogenesis, treatment, drug resistance, and monitoring of B-cell non-Hodgkin lymphomas (B-NHLs), including diffuse large B-cell lymphoma (DLBCL), Burkitt lymphoma (BL), follicular lymphoma (FL), and mantle cell lymphoma (MCL). EVs derived from lymphoma cells or tumor microenvironment cells carry diverse cargoes such as proteins, microRNAs (miRNAs), and viral oncoproteins, which regulate tumor progression by modulating signaling pathways related to cell proliferation, invasion, apoptosis, autophagy, and immune suppression. In terms of treatment, accumulating evidence suggests that EVs may be associated with the efficacy of classical regimens such as R-CHOP, and they also hold potential as therapeutic targets and drug delivery vehicles for B-NHL. They contribute to drug resistance by altering the expression of key molecules or reshaping the tumor niche. Additionally, EV-derived biomarkers enable non-invasive diagnosis and monitoring of treatment response and prognosis. This review summarizes the latest research progress on the roles of EVs in major B-NHL subtypes, aiming to provide new insights for the development of innovative diagnostic and therapeutic strategies for B-NHL. Full article
16 pages, 2588 KB  
Article
Associations of Poincaré Plot-Derived Parameters with Heart Rate Variability and Autonomic Reflex Testing in a Real-World Clinical Population
by Branislav Milovanović, Nikola Marković, Maša Petrović, Aleksa Korugić and Milovan Bojić
Diagnostics 2026, 16(7), 1016; https://doi.org/10.3390/diagnostics16071016 (registering DOI) - 27 Mar 2026
Abstract
Background/Objectives: Poincaré plot analysis represents a nonlinear approach to heart rate variability (HRV) assessment, but the physiological meaning of several derived parameters remains unclear. This study aimed to evaluate associations between selected Poincaré plot-derived parameters, conventional HRV indices, and cardiovascular autonomic reflex tests [...] Read more.
Background/Objectives: Poincaré plot analysis represents a nonlinear approach to heart rate variability (HRV) assessment, but the physiological meaning of several derived parameters remains unclear. This study aimed to evaluate associations between selected Poincaré plot-derived parameters, conventional HRV indices, and cardiovascular autonomic reflex tests in a real-world clinical population. Methods: This observational study included 269 adult patients referred for evaluation of suspected autonomic dysfunction. All participants underwent short-term resting ECG, cardiovascular autonomic reflex testing, and 24 h Holter ECG monitoring. Poincaré plot-derived parameters were analyzed in relation to short- and long-term HRV measures using the Spearman correlation with false discovery rate correction, and group comparisons were performed based on reflex test results. Results: Several Poincaré plot-derived parameters showed strong correlations with long-term HRV indices. VLI and LA were primarily associated with global and long-term autonomic variability, whereas VAI and SA were more closely related to parasympathetic modulation. Associations with short-term HRV were generally weak. Lower values of selected parameters were observed in patients with abnormal parasympathetic reflex tests, while no significant differences were found in relation to orthostatic hypotension. Conclusions: Poincaré plot-derived parameters capture complementary aspects of autonomic regulation beyond conventional HRV indices and may enhance autonomic phenotyping in clinical settings. Full article
Show Figures

Figure 1

23 pages, 909 KB  
Review
Linker Engineering in Stapled Peptides for Enhanced Membrane Permeability: Screening and Optimization Strategies
by Min Zhao, Baojian Li, Ying Gao, Rui Zhang, Subinur Ahmattohti, Jie Li and Xinbo Shi
Int. J. Mol. Sci. 2026, 27(7), 3077; https://doi.org/10.3390/ijms27073077 (registering DOI) - 27 Mar 2026
Abstract
The optimization of membrane permeability is a pivotal approach for mitigating late-stage failures in peptide drug development. By leveraging linker chemical diversity, stapled peptides utilize linker engineering to precisely modulate key physicochemical parameters—such as lipophilicity and conformational constraints—to overcome the desolvation energy penalty. [...] Read more.
The optimization of membrane permeability is a pivotal approach for mitigating late-stage failures in peptide drug development. By leveraging linker chemical diversity, stapled peptides utilize linker engineering to precisely modulate key physicochemical parameters—such as lipophilicity and conformational constraints—to overcome the desolvation energy penalty. This review systematically evaluates linker-based strategies for enhancing the permeability of stapled peptides, categorized into two primary dimensions: (1) high-throughput screening (HTS) compatibility, focusing on the integration of functionalized linkers into mRNA display, phage display, and DNA-encoded libraries (DELs) to identify lead scaffolds with inherent permeability potential during early discovery; and (2) post-screening structural refinement, covering rational design strategies including intramolecular hydrogen-bond (IMHB) shielding, “chameleonic” adaptations, and stimuli-responsive reversible stapling. Furthermore, we analyze the paradigm shift in assessment methodologies from qualitative imaging to quantitative cytosolic delivery assays, which have deepened our understanding of mechanisms such as the charge/lipophilicity threshold balance and metabolism-driven trapping. Overall, linker engineering provides a robust technical roadmap for developing the next generation of cell-permeable stapled peptide therapeutics. Full article
(This article belongs to the Special Issue New Progress in Peptide Drugs)

Open Access Journals

Browse by Indexing Browse by Subject Selected Journals
Back to TopTop