Journal Description
Healthcare
Healthcare
is an international, scientific, peer-reviewed, open access journal on health care systems, industry, technology, policy, and regulation, and is published semimonthly online by MDPI. The European Medical Association (EMA), Ocular Wellness & Nutrition Society (OWNS) and Italian Society of Nephrology Nurses (SIAN) are affiliated with Healthcare and their members receive discounts on the article processing charges.
- Open Access— free for readers, with article processing charges (APC) paid by authors or their institutions.
- High Visibility: indexed within Scopus, SCIE and SSCI (Web of Science), PubMed, PMC, and other databases.
- Journal Rank: JCR - Q2 (Health Policy and Services) / CiteScore - Q1 (Leadership and Management)
- Rapid Publication: manuscripts are peer-reviewed and a first decision is provided to authors approximately 22.4 days after submission; acceptance to publication is undertaken in 2.9 days (median values for papers published in this journal in the second half of 2025).
- Recognition of Reviewers: reviewers who provide timely, thorough peer-review reports receive vouchers entitling them to a discount on the APC of their next publication in any MDPI journal, in appreciation of the work done.
- Companion journals for Healthcare include: Trauma Care and European Burn Journal.
- Journal Cluster of Healthcare Sciences and Services: Geriatrics, Journal of Ageing and Longevity, Healthcare, Hospitals, Hygiene, International Journal of Environmental Research and Public Health and Nursing Reports.
Impact Factor:
2.7 (2024);
5-Year Impact Factor:
2.8 (2024)
Latest Articles
Between Lived Experience and Professionalisation: Can Personal Assistance Redefine Peer Support in Mental Health?
Healthcare 2026, 14(3), 346; https://doi.org/10.3390/healthcare14030346 - 29 Jan 2026
Abstract
Background/Objectives: The incorporation of peer support within mental health services has shown benefits for service users’ recovery and engagement, yet implementation is often hindered by role ambiguity and limited institutional recognition. The aim of this study is to explore the experiences of workers
[...] Read more.
Background/Objectives: The incorporation of peer support within mental health services has shown benefits for service users’ recovery and engagement, yet implementation is often hindered by role ambiguity and limited institutional recognition. The aim of this study is to explore the experiences of workers in a programme that provides peer support within a personal assistance model. The focus is on how they perceive the shaping of their professional role and their integration within care teams, rather than on evaluating service outcomes or effectiveness. Methods: An interpretive qualitative methodology with an exploratory approach was used. The study was conducted in a single organisational setting and focused on the self-reported experiences of personal assistants. Fieldwork was conducted in 2025 with ten personal assistants. Data were obtained through individual semi-structured interviews and one focus group with the same participants. A thematic content analysis combining inductive and deductive coding strategies was conducted using MAXQDA (version 24.11). Results: Findings indicate that the Personal Assistant role was perceived as reducing some of the ambiguity commonly associated with peer support, due to a clearer contractual framework and a more explicit delineation of functions. However, tensions persisted in relation to its hybrid professional identity, experiences of task overload, and ongoing gaps in coordination with traditional professional roles. Key facilitators included institutional support, accessible coordination, a supportive culture of care, and informal peer networks. Perceived benefits were reported for service users, including increased trust, hope, and autonomy, as well as for assistants, who described enhanced professional purpose and progress in their own recovery, alongside risks of emotional strain. Conclusions: Analysing the perspective of participants, the personal assistance model may represent a promising framework for the professionalisation of peer support through functional clarity, continuous supervision, and recognition of experiential knowledge. Further progress requires strengthening internal communication, expanding training opportunities, and enhancing the structural participation of personal assistants in decision-making. The study contributes an exploratory qualitative perspective to the growing literature on integrating lived-experience professionals into mental health services.
Full article
(This article belongs to the Section Mental Health and Psychosocial Well-being)
Open AccessArticle
Prevalence and Factors Associated with GLP-1 Receptor Agonist Use for Weight Management Among Overweight and Obese Adults in the Eastern Province of Saudi Arabia
by
Khalid Alhussain, Zainab Alshakhs, Layla Albaqshi, Fawatim Alshaqaqiq, Mohammed Alrabiah and Rina Tripathi
Healthcare 2026, 14(3), 345; https://doi.org/10.3390/healthcare14030345 - 29 Jan 2026
Abstract
Objectives: This study aimed to assess the prevalence and patterns of GLP-1 receptor agonist (GLP-1 RA) use for weight loss and to identify factors associated with their use among overweight and obese adults in the Eastern Province of Saudi Arabia. Methods:
[...] Read more.
Objectives: This study aimed to assess the prevalence and patterns of GLP-1 receptor agonist (GLP-1 RA) use for weight loss and to identify factors associated with their use among overweight and obese adults in the Eastern Province of Saudi Arabia. Methods: A cross-sectional study was conducted among overweight and obese adults aged 18 years and older residing in the Eastern Province. Data were collected in December 2024 using an online, self-administered questionnaire. Descriptive statistics were used to assess the prevalence of GLP-1 RA use, while chi-square tests and logistic regression analyses were performed to examine associations between GLP-1 RA use and relevant independent variables. Results: A total of 1264 participants were included. The lifetime prevalence of GLP-1 RA use was 18.2%, with 14.2% reporting current use. Injectable semaglutide (Ozempic) was the most commonly used medication (73.9%). Most individuals reported initiating treatment based on a doctor’s recommendation (70.4%), although 36.5% began use based on personal decision. Multivariable logistic regression identified several factors significantly associated with GLP-1 RA use, including obesity status, diabetes, prior weight-loss attempts, having family members or friends who use GLP-1 RAs, and studying or working in a health-related field. Conclusions: GLP-1 RA use is substantial among overweight and obese adults in the Eastern Province. In addition to medical conditions, social influences and involvement in health-related fields appear to shape use. These findings emphasize the need for awareness initiatives promoting appropriate GLP-1 RA use and stricter adherence to prescription guidelines.
Full article
(This article belongs to the Special Issue Obesity and Overweight: Prevention, Causes and Treatment)
►▼
Show Figures

Figure 1
Open AccessArticle
Knowledge, Beliefs, and Behaviors Regarding Colorectal Cancer Screening Among Koreans
by
Shin-Young Lee
Healthcare 2026, 14(3), 344; https://doi.org/10.3390/healthcare14030344 - 29 Jan 2026
Abstract
Background/Objectives: Colorectal cancer (CRC) is a major health concern in South Korea, where incidence and mortality rates remain high despite the National Cancer Screening Program. Understanding the factors associated with CRC screening behaviors is essential for developing effective interventions. The purpose of
[...] Read more.
Background/Objectives: Colorectal cancer (CRC) is a major health concern in South Korea, where incidence and mortality rates remain high despite the National Cancer Screening Program. Understanding the factors associated with CRC screening behaviors is essential for developing effective interventions. The purpose of this study was to examine the associations of sociodemographic characteristics, access to health care, knowledge, health beliefs, and cultural beliefs with CRC screening behaviors among Koreans. Methods: A cross-sectional survey was conducted with 648 Koreans aged 50 years and older at average risk for CRC. Participants completed questionnaires assessing sociodemographic characteristics, access to health care, knowledge, health beliefs, cultural beliefs, and CRC screening behaviors. Data were analyzed using descriptive statistics, bivariate logistic regression, and multivariate logistic regression with stepwise procedures. Results: Physician recommendation and perceived barriers were the strongest predictors of fecal occult blood test (FOBT) adherence, while physician recommendation, a usual source of health care, perceived benefits, and perceived barriers significantly predicted colonoscopy use. Perceived barriers reduced the likelihood of adhering to both, FOBT or colonoscopy (OR = 0.431, 95% CI = 0.316–0.588) or colonoscopy (OR = 0.432, 95% CI = 0.313–0.596), respectively, by 57%, whereas higher perceived benefits doubled the odds of colonoscopy participation (OR = 1.871, 95% CI = 1.331–2.631). Knowledge gaps were evident regarding CRC seriousness and the need for screening beginning at age 50 without symptoms. Conclusions: CRC screening participation among Koreans is associated primarily with access to care and health belief components. Encouraging physician recommendation and reducing perceived barriers are essential for improving screening rates. Culturally informed education and consideration of expanding colonoscopy services within the national cancer screening program is needed to further enhance CRC screening adherence.
Full article
Open AccessArticle
Sleep Habits, Physical Exercise, and Social Media Use and Their Influence on Perceptions of Physical and Mental Health—Case Study at a Higher Education Institution in Portugal
by
Ana Paula Oliveira, Joana Nobre, Francisco Monteiro, Carlos Rodrigues, Olga Louro, Nelson Valente, Luís Branquinho, Nuno Carrajola and Bruno Morgado
Healthcare 2026, 14(3), 343; https://doi.org/10.3390/healthcare14030343 - 29 Jan 2026
Abstract
►▼
Show Figures
Background/Objectives: The transition to higher education is often accompanied by lifestyle changes that may influence sleep habits, physical activity, and social media use, with potential consequences for physical and mental health. Methods: A quantitative, cross-sectional, descriptive, and correlational study was conducted using an
[...] Read more.
Background/Objectives: The transition to higher education is often accompanied by lifestyle changes that may influence sleep habits, physical activity, and social media use, with potential consequences for physical and mental health. Methods: A quantitative, cross-sectional, descriptive, and correlational study was conducted using an online questionnaire administered between April and May 2024. The sample included 201 participants (123 students and 78 teaching/non-teaching staff). Data were collected using the Mental Health Inventory-5 (MHI-5), Social Media Addiction Scale (SMAS), Global Physical Activity Questionnaire (GPAQ), and Pittsburgh Sleep Quality Index (PSQI). Descriptive statistics and Spearman correlation analyses were performed. Results: Students presented lower mental health scores compared to staff members. Sleep quality indicators, particularly reduced sleep efficiency and increased use of sleep medication, were significantly associated with poorer mental health. Correlations between physical activity, social media use, sleep quality, and mental health were generally weak, suggesting that these domains contribute independently to perceived well-being. Staff members showed slightly higher levels of social media addictive behaviors, while students reported shorter sleep duration and greater emotional variability. Conclusions: The findings indicate that students presented lower mental health scores and poorer sleep indicators compared to staff members. Sleep quality—particularly sleep duration, efficiency, and use of sleep medication—showed the most consistent associations with mental health, while physical activity and social media use demonstrated weaker relationships. These results highlight the relevance of targeted sleep-focused interventions within higher education settings, especially for students in low-density regions.
Full article

Figure 1
Open AccessArticle
Perceived Fatigue and Associated Psychological Factors in Patients with Myasthenia Gravis
by
Weronika Jung-Plath, Marcelina Skrzypek-Czerko, Agata Zdun-Ryżewska, Małgorzata Bilińska and Wioletta Mędrzycka-Dąbrowska
Healthcare 2026, 14(3), 342; https://doi.org/10.3390/healthcare14030342 - 29 Jan 2026
Abstract
Introduction: Myasthenia gravis (MG) is a chronic autoimmune disorder in which fatigue represents one of the most burdensome symptoms. This multidimensional manifestation extends beyond neuromuscular fatigability and has a substantial impact on daily functioning, mental health, and quality of life. The present study
[...] Read more.
Introduction: Myasthenia gravis (MG) is a chronic autoimmune disorder in which fatigue represents one of the most burdensome symptoms. This multidimensional manifestation extends beyond neuromuscular fatigability and has a substantial impact on daily functioning, mental health, and quality of life. The present study aimed to evaluate the perception of fatigue in patients with MG, with particular emphasis on its interference with everyday activities and the extent to which it is understood by others. Methods: The study included 67 MG patients (61.2% women, mean age 53 years) treated at the Neurology Outpatient Department of the University Clinical Center in Gdańsk. Data were collected using an author-developed survey and standardized instruments: Chalder Fatigue Scale (CFQ), MG-ADL, MG-QoL15, HADS-M, Mini-COPE, and ACDS. Results: More than 70% of patients reported constant or frequent fatigue. Higher fatigue severity was positively associated with functional impairment (MG-ADL) and lower quality of life (MG-QoL15). More than 70% of patients reported constant or frequent fatigue. Higher fatigue severity was moderately associated with greater functional impairment and poorer quality of life. The extent to which fatigue interfered with daily life was associated with higher levels of depressive symptoms, poorer self-rated health, and less favorable disease-related perceptions (acceptance and influence). In contrast, perceiving fatigue as being better understood by others was associated with lower anxiety and depression and more favorable disease-related perceptions (acceptance, control, understanding), while it was not significantly related to fatigue severity, functional status, or quality of life. Conclusions: Fatigue in myasthenia gravis is a prevalent symptom, closely related to functional impairment and reduced quality of life. Different aspects of fatigue perception show distinct psychosocial correlates, highlighting the importance of considering subjective and social dimensions of fatigue alongside its severity. These findings support the relevance of psychosocial factors in the comprehensive care of patients with MG.
Full article
(This article belongs to the Special Issue Challenges in Health and Nursing Care Within the Community-Based Integrated Care System)
Open AccessArticle
Predicting 2-Year Early Allograft Failure After Kidney Transplant: A Perioperative Risk Model from the MOVER Cohort
by
Thomas Renfrew, Peyton J. Murin, Madison L. Schanz, Hamed Sadeghipour and Yuri Chaves Martins
Healthcare 2026, 14(3), 341; https://doi.org/10.3390/healthcare14030341 - 29 Jan 2026
Abstract
Background: Allograft failure after kidney transplantation remains common despite improving long-term outcomes and persistent organ scarcity. We aimed to develop and internally validate a perioperative risk model for kidney allograft failure within 2 years of transplantation. Methods: We conducted a single-center retrospective cohort
[...] Read more.
Background: Allograft failure after kidney transplantation remains common despite improving long-term outcomes and persistent organ scarcity. We aimed to develop and internally validate a perioperative risk model for kidney allograft failure within 2 years of transplantation. Methods: We conducted a single-center retrospective cohort study using the Medical Informatics Operating Room Vitals and Events Repository. Adult patients (≥18 years) undergoing kidney transplantation between January 2018 and July 2023 with at least 2 years of follow-up were included. The primary outcome was allograft failure within 2 years, defined as return to dialysis, pre-emptive re-transplantation, or death. Candidate predictors included demographic characteristics, comorbidities, preoperative laboratory values, and intraoperative variables. After univariate screening and variable selection with LASSO-penalized regression, we estimated relative risks using modified Poisson regression and assessed internal validity with 200 bootstrap resamples. Results: Among 319 recipients, 53 (16.6%) experienced early allograft failure. In the final multivariable model, obesity (relative risk [RR] 4.76; bootstrap 95% CI 2.88–9.31) and thrombocytopenia (RR 1.96; bootstrap 95% CI 1.18–3.38) were independently associated with increased risk. Anemia (RR 0.22; bootstrap 95% CI 0.13–0.37), preoperative clonidine use (RR 0.33; bootstrap 95% CI 0.00–0.85), and female sex (RR 0.55; bootstrap 95% CI 0.26–0.83) were associated with reduced risk. Model performance was modest (pseudo-R2 0.21) but identified clinically distinct risk strata. Conclusions: A five-variable perioperative model based on obesity, thrombocytopenia, anemia, preoperative clonidine use, and female sex identified kidney transplant recipients at differing risk of allograft failure within 2 years. These associations highlight potentially modifiable targets that warrant further study and external validation before clinical use.
Full article
(This article belongs to the Section Clinical Care)
►▼
Show Figures

Figure 1
Open AccessSystematic Review
Increasing Truck Drivers’ Compliance, Retention, and Long-Term Engagement with e-Health & Mobile Applications: A PRISMA Systematic Review
by
Rocel Tadina, Hélène Dirix, Veerle Ross, Muhammad Wisal Khattak, An Neven, Brent Peters and Kris Brijs
Healthcare 2026, 14(3), 340; https://doi.org/10.3390/healthcare14030340 - 29 Jan 2026
Abstract
Background: Truck drivers constitute a high-risk occupational group due to irregular schedules, prolonged sedentary work, fatigue, and limited access to healthcare, contributing to adverse physical and mental health outcomes. Although mobile health (mHealth) tools offer potential to support driver health, sustained engagement remains
[...] Read more.
Background: Truck drivers constitute a high-risk occupational group due to irregular schedules, prolonged sedentary work, fatigue, and limited access to healthcare, contributing to adverse physical and mental health outcomes. Although mobile health (mHealth) tools offer potential to support driver health, sustained engagement remains a persistent challenge. Objectives: This systematic review aimed to identify behavioural, technological, and contextual determinants influencing truck drivers’ compliance, retention, and long-term engagement with digital health interventions. Methods: Following the PRISMA 2020 guidelines, six eligible studies were identified and thematically synthesised across technology acceptance, behaviour change, and persuasive system design perspectives. Results: Across studies, sustained engagement was facilitated by self-monitoring, real-time feedback, goal-setting, coaching support, and simple, flexible system design. In contrast, technological complexity, high interaction demands, limited digital literacy, privacy concerns, misalignment with irregular schedules, and fatigue consistently undermined engagement and retention. Autonomy, trust, and voluntary participation emerged as cross-cutting determinants supporting continued use. Based on the synthesis, an integrative framework was developed to explain how behavioural, technological, and contextual factors interact to shape truck drivers’ compliance, engagement, and retention with mHealth. Despite generally moderate to high study quality, the evidence base remains fragmented and dominated by short-term evaluations. Conclusions: The findings highlight the importance of context-sensitive, user-centred design to support effective digital health interventions in the trucking sector.
Full article
Open AccessArticle
Mental Health Symptoms Among Chinese College Students Following the Lifting of COVID-19 Restrictions: A Serial Cross-Sectional Study in Guangdong Province, China
by
Zijie Ma, Yujing Chen, Yishuai Deng and Jingbo Zhao
Healthcare 2026, 14(3), 339; https://doi.org/10.3390/healthcare14030339 - 29 Jan 2026
Abstract
►▼
Show Figures
Background/Objectives: To assess the mental health of Chinese college students following the lifting of COVID-19 restrictions in December 2022. Methods: A three-wave cross-sectional study was conducted among students from 22 colleges in Guangdong, China, at three time points: Onset of COVID-19 (February 2020;
[...] Read more.
Background/Objectives: To assess the mental health of Chinese college students following the lifting of COVID-19 restrictions in December 2022. Methods: A three-wave cross-sectional study was conducted among students from 22 colleges in Guangdong, China, at three time points: Onset of COVID-19 (February 2020; T1; initial survey wave), during restrictions (June 2021; T2), and after restrictions (March to April 2023; T3). Participants at each wave were 164,101, 86,767, and 130,285, respectively. The standardized prevalence rates of depression, suicidal ideation (SI), anxiety, insomnia, acute stress, and fear of COVID-19 after restrictions were compared with those from the initial survey wave and restriction periods. Multivariate logistic regression was used to identify associated risk factors. Results: After restrictions were lifted, standardized prevalence rates of mental symptoms were as follows: anxiety (13.5%), depression (19.9%), insomnia (11.8%), acute stress (19.7%), fear of COVID-19 (16.2%), and suicidal ideation (31.8%). The standardized prevalence rates at T3 were higher than those at T1, with absolute increases of 10.9% for anxiety, 13.9% for depression, 9.1% for insomnia, and 23.5% for suicidal ideation. Acute stress showed a V-shaped pattern, with lower prevalence during the restriction period compared to T1, followed by an increase at T3. Fear of COVID-19 declined after the initial phase and remained stable. Students with a history of infection, those perceiving greater pandemic impact, and those who either neglected or excessively engaged in protective behaviors were at elevated risk for mental health symptoms. Conclusions: Our findings highlight the long-term adverse effects of the pandemic at the population level on Chinese college students’ mental health. Continuous monitoring, early prevention, and accessible mental health care should be prioritized in the coming years.
Full article

Figure 1
Open AccessArticle
Linking mHealth Engagement to Depression, Anxiety, and Stress Through Perceived Health Competence
by
Iliana-Carmen Bușneag, Alina Chiracu, Marilena Cojocaru, Adin Marian Cojocaru, Germina-Alina Cosma and Marian-Alexandru Cosma
Healthcare 2026, 14(3), 338; https://doi.org/10.3390/healthcare14030338 - 29 Jan 2026
Abstract
Background: Mobile health (mHealth) applications are widely used for lifestyle monitoring and health promotion; however, their psychological impact on mental health outcomes remains insufficiently understood. Beyond usage frequency, the perceived usefulness of mHealth tools and underlying psychological mechanisms play a critical role
[...] Read more.
Background: Mobile health (mHealth) applications are widely used for lifestyle monitoring and health promotion; however, their psychological impact on mental health outcomes remains insufficiently understood. Beyond usage frequency, the perceived usefulness of mHealth tools and underlying psychological mechanisms play a critical role in explaining their association with psychological distress. The present study examined perceived health competence as a potential mediator linking mHealth use to symptoms of depression, anxiety, and stress. Methods: This cross-sectional study included 255 adult participants who completed an online survey assessing frequency of mHealth use, perceived usefulness of mHealth applications, perceived health competence (PHCS), and psychological distress (DASS-21). Separate mediation models were tested for depression, anxiety, and stress, with perceived health competence specified as the mediator. Analyses were conducted using bootstrapped mediation procedures. Results: Perceived usefulness of mHealth applications was strongly and positively associated with perceived health competence, which in turn was consistently associated with lower levels of depression, anxiety, and stress. Mediation analyses indicated significant indirect effects of perceived usefulness on all three distress outcomes through perceived health competence. In contrast, frequency of mHealth use showed weaker and less consistent associations, with primarily small direct effects and no significant indirect effects through perceived health competence. Conclusions: The findings indicate perceived health competence is a plausible explanatory pathway statistically consistent with the association between perceived usefulness and psychological distress. The psychological benefits of mHealth applications appear to depend less on how frequently they are used and more on whether users perceive them as useful and empowering. These results underscore the importance of incorporating psychological process indicators into the design and evaluation of mHealth interventions.
Full article
(This article belongs to the Special Issue Digital Health in Symptom Science Research)
Open AccessArticle
Retrospective Study of Perpetrators of Workplace Violence in a Large Urban Emergency Department in the United States
by
Marla C. Doehring, Megan Palmer, Bruck Mulat, Marilyn Ives, Ashley Satorius, Andrew Beckman, Tabitha Vaughn and Benton R. Hunter
Healthcare 2026, 14(3), 337; https://doi.org/10.3390/healthcare14030337 - 29 Jan 2026
Abstract
Background/Objectives: Data on the perpetrators of workplace violence (WPV) in healthcare settings are lacking. We sought to identify characteristics of perpetrators of WPV in a United States emergency department (ED) and explore associations between patient demographics and acute visit features. Methods: This is
[...] Read more.
Background/Objectives: Data on the perpetrators of workplace violence (WPV) in healthcare settings are lacking. We sought to identify characteristics of perpetrators of WPV in a United States emergency department (ED) and explore associations between patient demographics and acute visit features. Methods: This is a retrospective descriptive study of the perpetrators of WPV against ED healthcare workers (HCWs) identified in a previous prospective study. Perpetrator demographics and visit features are described. Regression analyses were performed to assess for associations between perpetrator demographics and visit features with physical violence (PV) and restraint use. Results: 91 WPV encounters were included. The average age was 44.8 years. Most patients (n = 48; 53%) did not have an active psychiatric complaint and were not intoxicated, but 71 (78%) had a history of psychiatric illness. Twenty-four events (26%) involved PV, which was more common among patients on an emergency detention (RR 2.18; 95% CI 1.12–4.23) but was not associated with any patient demographics after adjustment. Restraints were ordered in 33 (36%) patients. Age, sex, PV, and intoxication or active psychiatric complaints were associated with restraint use, but in adjusted analysis, only PV (RR 1.89; 95% CI 1.13–3.16) and active psychiatric complaint or intoxication (RR 2.26; 95% CI 1.21–4.22) remained associated with restraint use. Conclusions: Half of perpetrators in this study were neither intoxicated nor had an active psychiatric complaint. PV was more common among patients on emergency detention. Restraint use was more likely in PV events and patients who were intoxicated or had psychiatric complaints.
Full article
(This article belongs to the Special Issue Patient Safety and Psychosocial Risk in the Workplace)
►▼
Show Figures

Figure 1
Open AccessArticle
Perceived Social Support and Well-Being: Mediation and Buffering of the Stress–Depression Link in Rural Older Adults
by
Paul Alan Arkin Alvarado-García, Taniht Lisseth Cubas Romero, Lis Paola Reyes Sánchez, Valeria Alexxandra Sandoval Bocanegra and Marilú Roxana Soto-Vásquez
Healthcare 2026, 14(3), 336; https://doi.org/10.3390/healthcare14030336 - 29 Jan 2026
Abstract
Background/Objectives: Rural older adults are exposed to multiple chronic stressors that may heighten depressive symptoms, and these effects can be intensified by social disconnection, particularly in resource-constrained settings. This study examined whether global and dimension-specific perceived social support—an indicator of perceived social connection—mediates
[...] Read more.
Background/Objectives: Rural older adults are exposed to multiple chronic stressors that may heighten depressive symptoms, and these effects can be intensified by social disconnection, particularly in resource-constrained settings. This study examined whether global and dimension-specific perceived social support—an indicator of perceived social connection—mediates and/or buffers the association between perceived stress and depressive symptoms in rural older adults from northern Peru. Methods: A cross-sectional survey was conducted with 166 community-dwelling adults aged ≥60 years in a rural coastal district. Perceived stress (PSS-4), depressive symptoms (GDS-15), and perceived social support (MOS-SSS) were assessed. Regression-based mediation and moderation models with bootstrapped confidence intervals were estimated, adjusting for age, sex, marital status, education, income category, and chronic medical conditions. Results: Higher perceived stress was associated with greater depressive symptoms. Greater overall social support was associated with lower perceived stress and fewer depressive symptoms. Indirect effects supported a stress-process pathway for overall support, particularly socioemotional dimensions (positive social interaction and affectionate support). No buffering effect was observed for overall support; however, tangible (instrumental) support attenuated the association between stress and depressive symptoms. Conclusions: Mediation analyses supported an indirect pathway linking perceived stress to depressive symptoms via socioemotional support, whereas tangible (instrumental) support moderated the stress–depression association. Interventions that strengthen social connectedness and practical assistance may help protect mental health in rural older adults.
Full article
(This article belongs to the Special Issue Impact of Social Connections on Well-Being of Older Adults)
►▼
Show Figures

Figure 1
Open AccessArticle
CareConnect: An Implementation Pilot Study of a Participatory Telecare Model in Long-Term Care Facilities
by
Miriam Hertwig, Franziska Göttgens, Susanne Rademacher, Manfred Vieweg, Torsten Nyhsen, Johanna Dorn, Sandra Dohmen, Tim-Philipp Simon, Patrick Jansen, Andreas Braun, Joanna Müller-Funogea, David Kluwig, Amir Yazdi and Jörg Christian Brokmann
Healthcare 2026, 14(3), 335; https://doi.org/10.3390/healthcare14030335 - 28 Jan 2026
Abstract
Background: Digital transformation in healthcare has advanced rapidly in hospitals and primary care, while long-term care facilities have often lagged behind. In nursing homes, nurses play a central role in coordinating care and accessing medical expertise, yet digital tools to support these
[...] Read more.
Background: Digital transformation in healthcare has advanced rapidly in hospitals and primary care, while long-term care facilities have often lagged behind. In nursing homes, nurses play a central role in coordinating care and accessing medical expertise, yet digital tools to support these tasks remain inconsistently implemented. The CareConnect study, funded under the German Model Program for Telecare (§ 125a SGB XI), aimed to develop and implement a multiprofessional telecare system tailored to nursing home care. Objective: This implementation study examined the feasibility, acceptability, and early adoption of a multiprofessional telecare system in nursing homes, focusing on implementation processes, contextual influences, and facilitators and barriers to integration into routine nursing workflows. Methods: A participatory implementation design was employed over 15 months (June 2024–August 2025), involving a university hospital, two nursing homes (NHs), and four medical practices in an urban region in Germany. The telecare intervention consisted of scheduled video-based teleconsultations and interdisciplinary case discussions supported by diagnostic devices (e.g., otoscopes, dermatoscopes, ECGs). The implementation strategy followed the Standards for Reporting Implementation Studies (StaRI) and was informed by the Consolidated Framework for Implementation Research (CFIR). Data sources included telecare documentation, nurse surveys, researcher observations, and structured feedback discussions. Quantitative and qualitative data were analyzed descriptively and triangulated to assess implementation outcomes and mechanisms. Results: A total of 152 documented telecare contacts were conducted with 69 participating residents. Most interactions occurred with general practitioners (48.7%) and dermatologists (23%). Across all contacts, in 79% of cases, there was no need for an in-person visit or transportation. Physicians rated most cases as suitable for digital management, as indicated by a mean of 4.09 (SD = 1.00) on a 5-point Likert scale. Nurses reported improved communication, time savings, and enhanced technical and diagnostic skills. Key challenges included delayed technical integration, interoperability issues, and varying interpretations of data protection requirements across facilities. Conclusions: This pilot study suggests that telecare can be feasibly introduced and accepted in nursing home settings when implemented through context-sensitive, participatory strategies. Implementation science approaches are essential for understanding how telecare can be sustainably embedded into routine nursing home practice.
Full article
(This article belongs to the Special Issue Patient Experience and the Quality of Health Care)
►▼
Show Figures

Figure 1
Open AccessBrief Report
Diabetic Retinopathy Screening in Primary Care Real Practice: Study Procedures and Baseline Characteristics from the RETINAvalid Project
by
Víctor-Miguel López-Lifante, Maria Palau-Antoja, Noemí Lamonja-Vicente, Cecilia Herrero-Alonso, Josefina Sala-Leal, Rosa García-Sierra, Adrià Prior-Rovira, Marina Alventosa-Zaidin, Meritxell Carmona-Cervelló, Erik Isusquiza Garcia, Idoia Besada and Pere Torán-Monserrat
Healthcare 2026, 14(3), 334; https://doi.org/10.3390/healthcare14030334 - 28 Jan 2026
Abstract
Background/Objectives: With rising diabetes rates, early detection of complications such as diabetic retinopathy (DR), a leading cause of visual impairment, is crucial. Incorporating DR screening into primary care has shown positive results, and integrating technological advances and artificial intelligence (AI) into these
[...] Read more.
Background/Objectives: With rising diabetes rates, early detection of complications such as diabetic retinopathy (DR), a leading cause of visual impairment, is crucial. Incorporating DR screening into primary care has shown positive results, and integrating technological advances and artificial intelligence (AI) into these processes offers promising potential. The overall study aims to evaluate the agreement between primary care physicians, ophthalmologists, and an AI system in DR screening and referral decisions within a real-world primary care setting. Methods: In this brief report, we present the study protocol and provide an initial overview and description of our sample. A total of 1517 retinographies, obtained by a non-mydriatic retinal camera, were retrospectively collected from 301 patients with diabetes. Results: Primary care physicians referred 34.5% of the patients to ophthalmology, primarily due to opacification, suspicion of DR, or other retinal diseases. Overall, 13.62% of the participants were suspected of having DR, with 9.63% having a definitive diagnosis. Conclusions: These initial descriptive findings will be further explored in the next phase of the study through the analysis of concordance between primary care physicians, the AI-based software, and ophthalmology specialists. Future results are expected to provide valuable insights into the reliability of DR screening across different evaluators and support the integration of effective DR screening strategies into real-world clinical practice.
Full article
(This article belongs to the Special Issue The Latest Advances in Visual Health)
Open AccessArticle
Fat Mass Is Associated with Aging Rather than Menopausal Transition
by
Carmen Gabriela Barbu, Irina Manuela Nistor, Alice Albu, Sorina Carmen Martin, Theodor Eugen Oprea, Anca Elena Sirbu, Adelina Vlad and Simona Fica
Healthcare 2026, 14(3), 333; https://doi.org/10.3390/healthcare14030333 - 28 Jan 2026
Abstract
Background/Objectives: Midlife is associated with changes in body weight and fat distribution in women; however, it remains unclear whether these changes can be attributed to chronological aging, menopause, or associated lifestyle changes. The objective of this study was to compare the possible
[...] Read more.
Background/Objectives: Midlife is associated with changes in body weight and fat distribution in women; however, it remains unclear whether these changes can be attributed to chronological aging, menopause, or associated lifestyle changes. The objective of this study was to compare the possible differences in body fat distribution parameters measured by regional Lunar osteodensitometry scans (DXA) between clinically healthy, BMI-matched pre- and postmenopausal women. Methods: A cross-sectional analysis of body composition parameters, such as total body, android, and gynoid fat percentage, was performed using DXA hip and lumbar scans in 171 women aged 45–55 years. Comparisons were made across 50 premenopausal (median age 47.9 (4.5) years) and 121 postmenopausal women (median age 51.7 (3.7) years), matched for median BMI (25.8 (6.7) vs. 25.6 (7.8) kg/m2). Associations between body fat outcomes and predictors were examined using multivariable linear regression. Results: No significant differences were observed between study groups in body composition parameters, including android fat percentage (%), gynoid fat%, total body fat%, or android/gynoid ratio. Unlike age, menopausal status, or years since menopause, BMI was the only significant predictor of body fat distribution. In the entire cohort, total body fat percentage showed a modest but significant positive correlation with age (ρ = 0.200, 95%CI [0.043, 0.345], p = 0.009), while the menopause onset age was positively correlated with BMI (ρ = 0.195, 95%CI [0.002, 0.369], p = 0.032). Among postmenopausal women within the first two years of menopause, the android/gynoid ratio showed a positive correlation with years of estrogen deprivation (ρ = 0.451, 95%CI [0.144, 0.707], p = 0.007). Conclusions: Age was correlated with higher total body fat %; neither age nor menopausal status was correlated with BMI. In early postmenopause, the android/gynoid ratio increased with years since menopause. The median age at menopause observed in our study was 48 years, which is lower than in other Caucasian studies.
Full article
(This article belongs to the Special Issue Menopause Transition and Postmenopausal Health)
►▼
Show Figures

Figure 1
Open AccessArticle
The Relationship Between Psychotic Experiences and Sexual Risky Behaviors: Moderating Effects of Childhood Trauma and Depression in Population-Based Young Adults from Tunisia
by
Feten Fekih-Romdhane, Emna Maalej, Majda Cheour, Frederic Harb and Souheil Hallit
Healthcare 2026, 14(3), 332; https://doi.org/10.3390/healthcare14030332 - 28 Jan 2026
Abstract
Background/Objectives: There is still limited understanding of how psychotic symptoms and sexual risky behaviors (SRBs) are related to each other. Gaining more knowledge of the mechanisms involved in this relationship could inform interventions to reduce or prevent SRBs. This study aims to
[...] Read more.
Background/Objectives: There is still limited understanding of how psychotic symptoms and sexual risky behaviors (SRBs) are related to each other. Gaining more knowledge of the mechanisms involved in this relationship could inform interventions to reduce or prevent SRBs. This study aims to deepen comprehension of the relationship between psychotic experiences (PEs) and SRBs by examining the moderating effects of depression and childhood trauma. Methods: A web-based survey and a cross-sectional design were adopted to collect data from 466 young general population adults (aged 18–35 years) from Tunisia during the period January–March 2024. The snowball sampling technique was used to recruit participants. Results: Moderation analyses were adjusted over age, sex, household crowding index, marital status, and living situation. The interaction PEs by childhood trauma was significantly associated with SRB scores. At high and moderate levels of child abuse, higher PEs were significantly linked to higher SRBs. Furthermore, the interaction PEs by depression was significantly associated with SRB scores. At high, moderate, and low levels of depression, higher PEs were significantly associated with higher SRBs. Conclusions: Clinicians should consider including assessment of childhood trauma and depression in young adults with PEs who are engaged in sexual risk-taking behaviors. Findings may imply that strategies addressing these two factors can be effective in mitigating the association between PEs and SRBs.
Full article
(This article belongs to the Section Mental Health and Psychosocial Well-being)
►▼
Show Figures

Figure 1
Open AccessArticle
National Trends in Telehealth Utilization, 2020–2023: Post-Pandemic Trends from the Medical Expenditure Panel Survey
by
Jaewhan Kim, Elise V. Bailey, Steven Hayworth, Chathuri Illapperuma-Wood, Rachel Weir, Aaron Fischer and Peter Weir
Healthcare 2026, 14(3), 331; https://doi.org/10.3390/healthcare14030331 - 28 Jan 2026
Abstract
Background/Objectives: U.S. telehealth utilization increased substantially during the COVID-19 pandemic; however, post-pandemic utilization patterns and associated characteristics remain unclear. This study examined national trends in telehealth use and identified factors associated with its utilization from 2020 to 2023. Methods: Data from the Medical
[...] Read more.
Background/Objectives: U.S. telehealth utilization increased substantially during the COVID-19 pandemic; however, post-pandemic utilization patterns and associated characteristics remain unclear. This study examined national trends in telehealth use and identified factors associated with its utilization from 2020 to 2023. Methods: Data from the Medical Expenditure Panel Survey (2020–2023) Office-Based Medical Provider Visits and Outpatient Visits files were used to identify national telehealth use. Descriptive statistics and generalized linear regression were used to examine telehealth utilization, visit type, service type, and potential predictors of utilization. Results: The proportion of U.S. health care visits made via telehealth increased sharply from 2020 (1.84%; 95% CI, 1.67–2.01) to 2021 (4.53%; 95% CI, 4.11–4.94) and then stabilized through 2023. The proportion of the U.S. population with at least one telehealth visit followed a similar trend (7.15% in 2020; 12.09% in 2021; 12.05% in 2022; 12.12% in 2023). Telehealth visits were primarily for outpatient care and were most commonly used for mental health services (4.20% in 2021; 4.13% in 2022; and 4.18% in 2023). Sex, health insurance status, age, and family income were significant predictors of telehealth utilization. Conclusions: Pandemic-related increases in telehealth use have persisted beyond the COVID-19 period. Continued support from health care systems and policymakers is necessary to sustain and expand access to telehealth services.
Full article
Open AccessSystematic Review
Effectiveness of School-Based Psychoeducational Program in Reducing Bullying and Improving Self-Esteem: A Systematic Review
by
Malena Barba Muñoz, José Antonio Zafra-Agea, Eva Martí Marco, Martín Flores-Saldaña, Enrique J. Vera-Remartínez, Aurora Esteve-Clavero and Maria Pilar Molés-Julio
Healthcare 2026, 14(3), 330; https://doi.org/10.3390/healthcare14030330 - 28 Jan 2026
Abstract
►▼
Show Figures
Background/Objectives: Bullying refers to a specific form of mistreatment that occurs in the school setting and is characterized by intentionality and persistence over time. It should be noted that some elements, such as low self-esteem and lack of social skills, are usually
[...] Read more.
Background/Objectives: Bullying refers to a specific form of mistreatment that occurs in the school setting and is characterized by intentionality and persistence over time. It should be noted that some elements, such as low self-esteem and lack of social skills, are usually present in both victims and aggressors, so interfering in these aspects can lead to a decrease in the incidence. Thereby, being a victim of bullying is a key factor in the development of multiple mental health issues, such as depression or even suicide. Consequently, mental health nurses play a fundamental role in health education in order to be able to act when necessary and to prevent these types of unfavorable circumstances that can lead to psychiatric disorders. This systematic review aimed primarily to evaluate the effectiveness of psychoeducational programs in reducing school bullying and, secondarily, to analyze their influence on children’s self-esteem. Methods: Data were obtained through a comprehensive search of PubMed, Cochrane, and Scielo, following PRISMA guidelines. Studies evaluating evidence-based interventions, including the Olweus Bullying Prevention Program (OBPP), the KiVa Anti-Bullying Program (KiVa), Positive Behavioral Support systems, and standardized social–emotional learning programs, were eligible for inclusion. Results: Findings revealed that most interventions showed a positive impact on bullying reduction and self-esteem improvement. However, effectiveness differed depending on contextual factors, such as the educational stage, school climate, cultural setting, and the degree of family involvement, as well as the extent to which each program was adapted to the specific needs of each school environment. Conclusions: Psychoeducational programs demonstrate overall effectiveness in reducing bullying behaviors and enhancing self-esteem in children. Nevertheless, outcomes differ depending on school characteristics, cultural context, and the level of family participation, highlighting the need for interventions tailored to each educational setting.
Full article

Figure 1
Open AccessReview
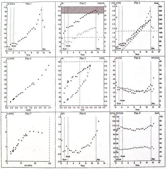
Integrating Cardiopulmonary Exercise Testing in the Assessment of Aortic Stenosis: A Comprehensive Review
by
Peter Luke, Helen Banks and Christopher Eggett
Healthcare 2026, 14(3), 329; https://doi.org/10.3390/healthcare14030329 - 28 Jan 2026
Abstract
Aortic stenosis is a progressive and insidious form of valve disease with a high mortality if left untreated. While cardiopulmonary exercise testing is recognised as a safe and effective strategy to aid in the management and timing of valvular intervention, it is often
[...] Read more.
Aortic stenosis is a progressive and insidious form of valve disease with a high mortality if left untreated. While cardiopulmonary exercise testing is recognised as a safe and effective strategy to aid in the management and timing of valvular intervention, it is often underused due to patient frailty and concomitant comorbidities. This study discusses the pathophysiology of aortic stenosis and current evidence supporting the use of cardiopulmonary exercise testing for the risk stratification and management of aortic stenosis.
Full article
(This article belongs to the Special Issue Cardiopulmonary Exercise Testing: A Key Player in Cardiovascular Disease Management)
►▼
Show Figures

Figure 1
Open AccessArticle
Does the Association Between Healthy Lifestyle and Cardiometabolic Variables in Adolescents Depend on Obesity and Its Distribution?
by
Tiago Rodrigues de Lima, Mateus Augusto Bim, Andreia Pelegrini and Diego Augusto Santos Silva
Healthcare 2026, 14(3), 328; https://doi.org/10.3390/healthcare14030328 - 28 Jan 2026
Abstract
►▼
Show Figures
Background/Objectives: The present study aimed to examine how obesity and its distribution influence the relationship between healthy lifestyle habits and cardiometabolic health indicators in adolescents. Methods: This cross-sectional study included 340 adolescents (54.8% female; mean age, 16.6 ± 1.0 years) from
[...] Read more.
Background/Objectives: The present study aimed to examine how obesity and its distribution influence the relationship between healthy lifestyle habits and cardiometabolic health indicators in adolescents. Methods: This cross-sectional study included 340 adolescents (54.8% female; mean age, 16.6 ± 1.0 years) from Brazil. The cardiometabolic variables included systolic (SBP) and diastolic blood pressure (DBP), high-sensitivity C-reactive protein (CRP), and markers of lipid and glucose metabolism. Information on regular physical activity, healthy diet, reduced alcohol consumption, and non-smoking was collected via a self-reported questionnaire. Body mass index, waist circumference, and skinfold measurements were assessed to determine general obesity, abdominal obesity, and excess body fat, respectively. Multiple linear regression, adjusted for confounding factors, was employed for the analysis. Results: The adoption of ≥3 healthy lifestyle habits was directly associated with high-density lipoprotein cholesterol (up to 1.2 mg/dL) and inversely associated with triglycerides (up to −0.11 p.p.). Engaging in multiple healthy lifestyle habits was inversely associated with SBP among adolescents with general (p = 0.018) and central obesity (p = 0.004). Furthermore, the adoption of multiple healthy lifestyle habits was inversely associated with CRP in adolescents with central obesity (p = 0.037). Conclusions: Even in adolescents with obesity, it is speculated that the adoption of healthy habits may contribute to a reduction in cardiometabolic risk, given the inverse association with SBP in those with general and central obesity and the inverse association with CRP in adolescents with central obesity.
Full article

Figure 1
Open AccessArticle
Urological Injuries Following Gynecologic and Obstetric Surgery: Incidence, Diagnosis, and Outcomes from a 10-Year Retrospective Cohort
by
Eser Ördek, Ahmet Beyazıt, Sadık Görür, Kenan Dolapçıoğlu, Fatih Gökalp and Nezih Tamkaç
Healthcare 2026, 14(3), 327; https://doi.org/10.3390/healthcare14030327 - 28 Jan 2026
Abstract
Background/Objectives: Gynecological and obstetric surgeries carry a risk of iatrogenic urinary tract injuries; however, comparative data on injury patterns, diagnostic timing, and management across different surgical indications remain limited. This study aimed to evaluate the incidence, characteristics, diagnostic timing, and outcomes of urological
[...] Read more.
Background/Objectives: Gynecological and obstetric surgeries carry a risk of iatrogenic urinary tract injuries; however, comparative data on injury patterns, diagnostic timing, and management across different surgical indications remain limited. This study aimed to evaluate the incidence, characteristics, diagnostic timing, and outcomes of urological injuries following gynecologic and obstetric surgeries in a high-volume tertiary referral center over a 10-year period. Methods: This retrospective single-center cohort study included adult female patients who sustained intraoperative or postoperative urological injuries during gynecologic or obstetric procedures between January 2014 and December 2024. Urological injury was defined as bladder, ureteral, or genitourinary fistula injury requiring urological intervention. Patients with prophylactic or temporary ureteral stenting were excluded. Cases were classified into malignant gynecologic, obstetric, and benign gynecologic surgery groups. Injury type, timing of diagnosis, management strategies, and clinical outcomes were analyzed. Results: Among 16,100 procedures, 223 urological injuries were identified (incidence: 1.3%). Bladder injuries were the most common (62.3%) and were predominantly associated with obstetric procedures, whereas ureteral injuries (28.7%) occurred more frequently during malignant gynecologic surgeries (p < 0.05). Intraoperative recognition rates varied significantly by injury type, being highest for bladder injuries (98.6%) and lowest for fistulas (5.0%) (p < 0.001). Conclusions: Surgical indication significantly influences the pattern and timing of urological injuries. Bladder injuries are usually detected intraoperatively, whereas ureteral and fistulous injuries are more often diagnosed postoperatively, particularly in malignant and complex procedures, highlighting the need for targeted intraoperative vigilance and multidisciplinary management in high-risk cases.
Full article
(This article belongs to the Special Issue Women’s Health Care: State of the Art and New Challenges)
►▼
Show Figures

Figure 1
Journal Menu
► ▼ Journal Menu-
- Healthcare Home
- Aims & Scope
- Editorial Board
- Reviewer Board
- Topical Advisory Panel
- Instructions for Authors
- Special Issues
- Topics
- Sections & Collections
- Article Processing Charge
- Indexing & Archiving
- Editor’s Choice Articles
- Most Cited & Viewed
- Journal Statistics
- Journal History
- Journal Awards
- Society Collaborations
- Conferences
- Editorial Office
Journal Browser
► ▼ Journal BrowserHighly Accessed Articles
Latest Books
E-Mail Alert
News
Topics
Topic in
Brain Sciences, IJERPH, JAL, Nursing Reports, Nutrients, Healthcare
Healthy, Safe and Active Aging, 2nd EditionTopic Editors: Antonella Lopez, Andrea Bosco, Alessandro Oronzo Caffò, Elisabetta Ricciardi, Giuseppina Spano, Luigi TinellaDeadline: 28 February 2026
Topic in
JFMK, Medicina, Therapeutics, Healthcare, JCM, Rheumato
New Trends in Physiotherapy Care: Improvements in Functionality, Pain Management, and Quality of Life
Topic Editors: Carlos Bernal-Utrera, Ernesto Anarte-Lazo, Juan José González GerezDeadline: 3 March 2026
Topic in
AI, Applied Sciences, Bioengineering, Healthcare, IJERPH, JCM, Clinics and Practice, J. Imaging
Artificial Intelligence in Public Health: Current Trends and Future Possibilities, 2nd EditionTopic Editors: Daniele Giansanti, Giovanni CostantiniDeadline: 15 March 2026
Topic in
AI, Applied Sciences, Systems, JTAER, Healthcare
Data Science and Intelligent Management
Topic Editors: Dongxiao Gu, Jiantong Zhang, Jia LiDeadline: 30 April 2026
Conferences
Special Issues
Special Issue in
Healthcare
Advancing Care for Spinal Conditions and Deformities in Both Young and Old People: Cutting-Edge Rehabilitation Solutions
Guest Editors: Josette Bettany-Saltikov, Kandasamy GokDeadline: 30 January 2026
Special Issue in
Healthcare
Exercise Biomechanics: Pathways to Improve Health
Guest Editors: Pedro Miguel Forte, José Eduardo TeixeiraDeadline: 30 January 2026
Special Issue in
Healthcare
Holistic Approaches to Aging in Place: Health, Safety, and Community
Guest Editors: Lufei Young, Carolyn HorneDeadline: 31 January 2026
Special Issue in
Healthcare
Prehospital Care in Emergency Cases
Guest Editors: Robert Gałązkowski, Katarzyna Naylor, Patryk RzońcaDeadline: 31 January 2026
Topical Collections
Topical Collection in
Healthcare
Health Care and Services for Elderly Population
Collection Editor: Hideki Nakano
Topical Collection in
Healthcare
Current Nursing Practice and Education
Collection Editor: Florin Oprescu
Topical Collection in
Healthcare
Aging and Chronic Disease: Experiences, Holisitic Care and Quality of Life
Collection Editor: Jose Granero-Molina
Topical Collection in
Healthcare
Health Economics & Finance and Global Public Health
Collection Editor: Mustafa Z. Younis




