-
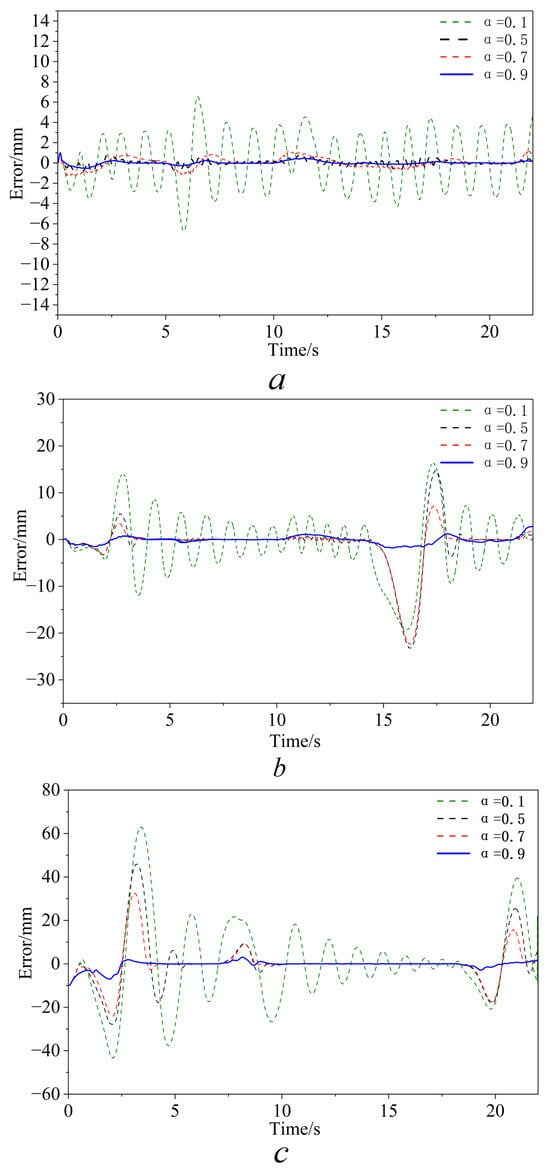
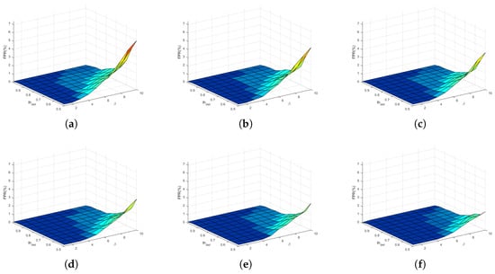
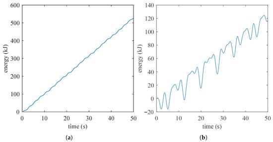
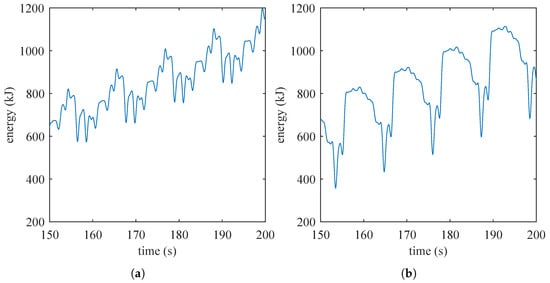
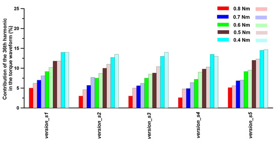
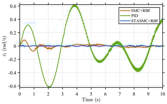
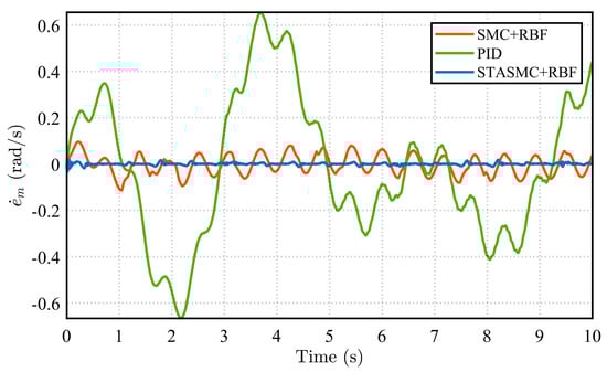
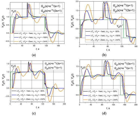
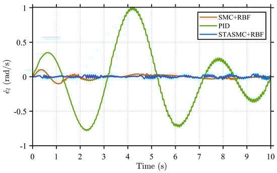
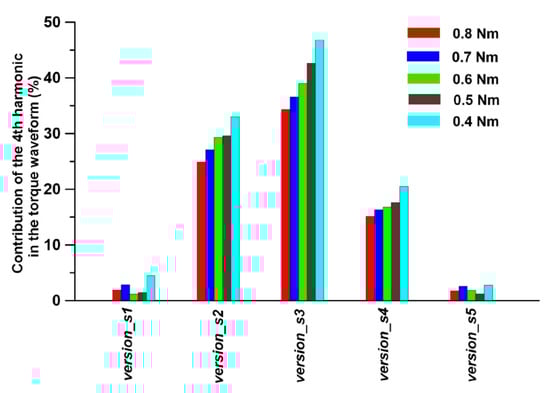
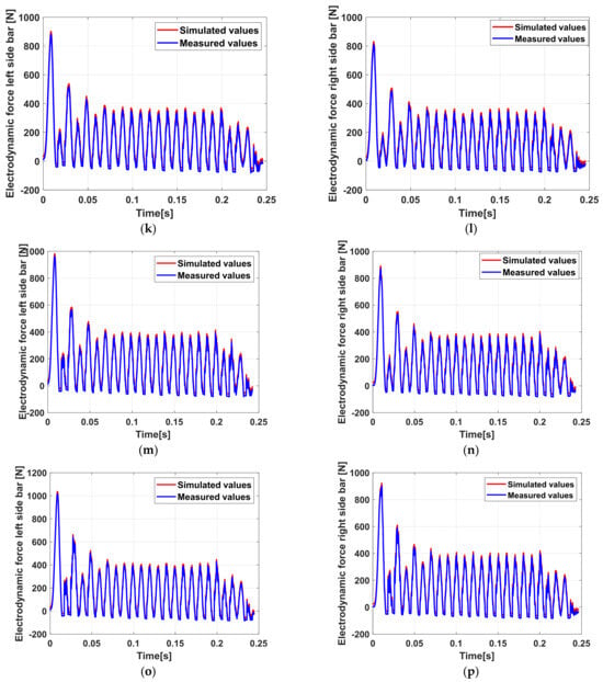
Effect of Weighting Factors in Energy Efficiency of Predictive Control of Multi-Phase Drives -
The Effect of In Vitro Gastrointestinal Digestion on the Biological Activity of a Sea Cucumber (Holothuria forskali) Hydrolysate Encapsulated in Chitosan Nanoparticles and Rapeseed Lecithin Liposomes -
A Simple Aridity Index to Monitor Vineyard Health: Evaluating the De Martonne Index in the Iberian Peninsula -
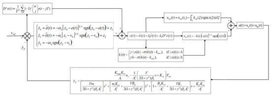
Recent Advances on the VAN Method -
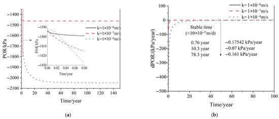
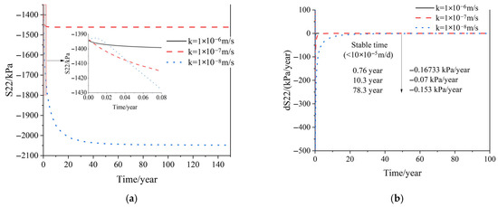
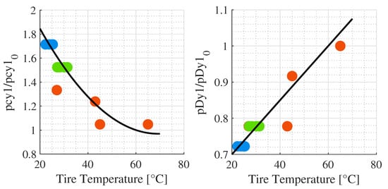
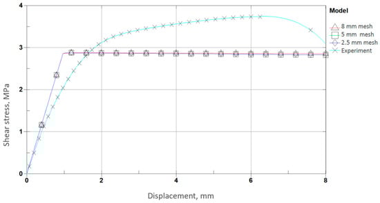
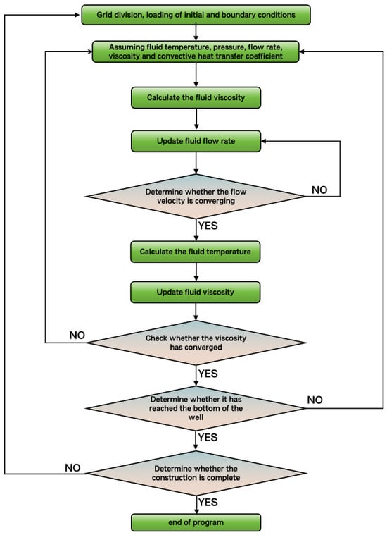
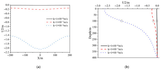
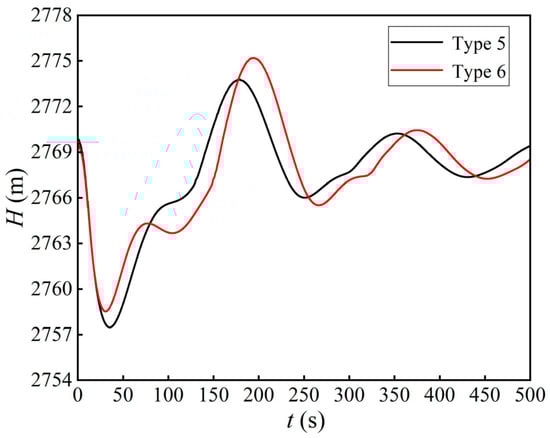
Modelling Magnetisation and Transport AC Loss of HTS Tapes near Ferromagnetic Materials Using an Integral Equation Method
Journal Description
Applied Sciences
- Open Access— free for readers, with article processing charges (APC) paid by authors or their institutions.
- High Visibility: indexed within Scopus, SCIE (Web of Science), Ei Compendex, Inspec, CAPlus / SciFinder, and other databases.
- Journal Rank: JCR - Q2 (Engineering, Multidisciplinary) / CiteScore - Q1 (General Engineering )
- Rapid Publication: manuscripts are peer-reviewed and a first decision is provided to authors approximately 16 days after submission; acceptance to publication is undertaken in 2.6 days (median values for papers published in this journal in the second half of 2025).
- Recognition of Reviewers: reviewers who provide timely, thorough peer-review reports receive vouchers entitling them to a discount on the APC of their next publication in any MDPI journal, in appreciation of the work done.
- Testimonials: See what our authors say about Applied Sciences.
- Companion journals for Applied Sciences include: Applied Nano, AppliedChem, Applied Biosciences, Virtual Worlds, Spectroscopy Journal, JETA and AI in Medicine.
Latest Articles
E-Mail Alert
News
MDPI Launches the Michele Parrinello Award for Pioneering Contributions in Computational Physical Science
Meet Us at the 3rd International Conference on AI Sensors and Transducers, 2–7 August 2026, Jeju, South Korea
Topics
Deadline: 20 January 2026
Deadline: 25 February 2026
Deadline: 15 March 2026
Deadline: 31 March 2026
Conferences
Special Issues
Deadline: 18 January 2026
Deadline: 20 January 2026
Deadline: 20 January 2026
Deadline: 20 January 2026









