- Article
Optical Characteristics-Guided Asymmetric Dual Encoder Feature Fusion Cloud Detection Algorithm
- Jing Zhang,
- Qi Lang and
- Yunsong Li
- + 2 authors
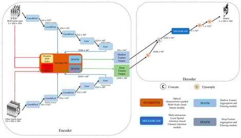
The rapid development of remote sensing satellite technology has enabled remote sensing images to be widely used in agriculture, meteorology, environmental monitoring and other fields. However, the presence of clouds in these images can lead to blurred and incomplete observations of the Earth’s surface, limiting the quality and applicability of the data. Current cloud detection networks usually adopt a single encoder–decoder structure that uniformly processes all spectral features without distinguishing between various spectral bands. To overcome this limitation, this paper proposes an Optical characteristics-guided Asymmetric Dual Encoder Feature Fusion cloud detection algorithm (OADEF2). The algorithm adopts an asymmetric dual encoder framework to divide the spectral bands of Sentinel-2A into two groups: RGB visible light bands and infrared/atmospheric correction bands, which are subsequently input into two different encoder branches. This method utilizes the unique physical characteristics of different spectral bands to improve the accuracy of cloud detection. In order to direct the focus of the network to cloud-related optical characteristics, an Optical characteristics-guided Multi-Scale cloud feature module (OCGMSCFM) based on Dynamic HOT Index and Full-Band Cloud Index is introduced. This module effectively solves the problem of insufficient representation of cloud features. In order to improve the efficiency of feature fusion, a Feature Aggregation and Filtering module (FAFM) is proposed. This module uses aggregation and techniques to filter basic features, thereby improving the accuracy of cloud detection. In order to overcome the limitations of feature modeling, a dual attention module that fuses Multi-interaction Local Spatial Attention mixed Channel Attention (MILSAMCAM) is added to the decoder. The experimental results validated the effectiveness of this algorithm in cloud detection tasks, achieving an F1-score of 97.30% on the S2-CMC dataset.
24 February 2026









