Sign in to use this feature.

Years

Between: -

Subjects

remove_circle_outline
remove_circle_outline
remove_circle_outline
remove_circle_outline
remove_circle_outline
remove_circle_outline
remove_circle_outline
remove_circle_outline
remove_circle_outline

Journals

remove_circle_outline
remove_circle_outline
remove_circle_outline
remove_circle_outline
remove_circle_outline
remove_circle_outline
remove_circle_outline
remove_circle_outline
remove_circle_outline
remove_circle_outline
remove_circle_outline
remove_circle_outline
remove_circle_outline
remove_circle_outline

Article Types

Countries / Regions

remove_circle_outline
remove_circle_outline
remove_circle_outline
remove_circle_outline
remove_circle_outline
remove_circle_outline

Search Results (1,779)

Search Parameters:
Keywords = switch cost

Order results
Result details
Results per page
Select all
Export citation of selected articles as:
21 pages, 2841 KB  
Article
Robust Optimal Reinsurance and Investment Problem Under Markov Switching via Actor–Critic Reinforcement Learning
by Fang Jin, Kangyong Cheng, Xiaoliang Xie and Shubo Chen
Mathematics 2025, 13(21), 3502; https://doi.org/10.3390/math13213502 (registering DOI) - 2 Nov 2025
Abstract
This paper investigates a robust optimal reinsurance and investment problem for an insurance company operating in a Markov-modulated financial market. The insurer’s surplus process is modeled by a diffusion process with jumps, which is correlated with financial risky assets through a common shock [...] Read more.
This paper investigates a robust optimal reinsurance and investment problem for an insurance company operating in a Markov-modulated financial market. The insurer’s surplus process is modeled by a diffusion process with jumps, which is correlated with financial risky assets through a common shock structure. The economic regime switches according to a continuous-time Markov chain. To address model uncertainty concerning both diffusion and jump components, we formulate the problem within a robust optimal control framework. By applying the Girsanov theorem for semimartingales, we derive the dynamics of the wealth process under an equivalent martingale measure. We then establish the associated Hamilton–Jacobi–Bellman (HJB) equation, which constitutes a coupled system of nonlinear second-order integro-differential equations. An explicit form of the relative entropy penalty function is provided to quantify the cost of deviating from the reference model. The theoretical results furnish a foundation for numerical solutions using actor–critic reinforcement learning algorithms. Full article
Show Figures

Figure 1

23 pages, 917 KB  
Article
Smart Farming Technology, Scale Economies and Carbon Efficiency: Evidence from Chinese Dairy Farms
by Xiuyi Shi and Chenyang Liu
Agriculture 2025, 15(21), 2281; https://doi.org/10.3390/agriculture15212281 (registering DOI) - 1 Nov 2025
Abstract
Carbon emissions from dairy farms have significantly hindered the advancement of sustainable agriculture, and improving carbon efficiency is a key pathway to mitigate these emissions. As a critical technological innovation, smart farming technology exerts a substantial impact on boosting carbon efficiency in dairy [...] Read more.
Carbon emissions from dairy farms have significantly hindered the advancement of sustainable agriculture, and improving carbon efficiency is a key pathway to mitigate these emissions. As a critical technological innovation, smart farming technology exerts a substantial impact on boosting carbon efficiency in dairy farms. Based on field survey data collected from Chinese dairy farms, this study employs an integrated empirical approach, including endogenous switching regression, two-stage least squares, and propensity score matching, to rigorously evaluate the impact of smart farming technology on economies of scale. A mediation analysis is further conducted to examine the interrelationships among smart farming technology, economies of scale, and carbon efficiency, while the moderating role of government regulation is also empirically tested. The findings reveal three key results: (1) Smart farming technology exerts a direct and positive influence on the economies of scale in dairy farms, with this effect becoming more pronounced as farm size increases. (2) Economies of scale serve as a partial mediator in the relationship between smart farming technology and carbon efficiency. This indicates that smart farming technology not only directly enhances carbon efficiency but also does so indirectly by facilitating the expansion of production scale and reducing unit costs. (3) Government regulation positively moderates this mediating pathway. Specifically, through standardizing production practices, offering policy incentives, and guiding the application of technology, government interventions strengthen the ability of smart farming technology to foster economies of scale. These insights underscore the importance of steering dairy farms toward the adoption of smart farming technologies to simultaneously improve scale efficiency and carbon performance, thereby supporting the transition toward low-carbon and sustainable agricultural development. Finally, this study proposes three policy implications: strengthening institutional support for the adoption of smart farming technologies in dairy production systems, significantly enhancing training programs related to these technologies, and systematically guiding dairy farms toward smart technology adoption to simultaneously improve economies of scale and carbon efficiency. Full article
(This article belongs to the Section Agricultural Economics, Policies and Rural Management)
16 pages, 808 KB  
Review
CAR-T Cell Therapy in Autoimmune Diseases: Promise, Progress, and Pitfalls
by Alessandro Conforti, Carlos Cifuentes-González, Alarico Ariani, Alberto Lo Gullo and Rupesh Agrawal
Rheumato 2025, 5(4), 15; https://doi.org/10.3390/rheumato5040015 (registering DOI) - 31 Oct 2025
Abstract
Background: Chimeric Antigen Receptor T-cell (CAR-T) cell therapy has revolutionized cancer treatment and is now being explored as a novel approach to treat refractory autoimmune diseases by targeting autoreactive immune components, especially B cells. Objective: Our aim was to provide a narrative review [...] Read more.
Background: Chimeric Antigen Receptor T-cell (CAR-T) cell therapy has revolutionized cancer treatment and is now being explored as a novel approach to treat refractory autoimmune diseases by targeting autoreactive immune components, especially B cells. Objective: Our aim was to provide a narrative review of the current evidence, mechanisms, efficacy, safety, and future directions of CAR-T cell therapy in autoimmune diseases. Methods: A structured literature search was conducted in MEDLINE via PubMed using keywords such as “CAR-T”, “chimeric antigen receptor T-cell”, “autoimmune diseases”, “lupus”, “rheumatoid arthritis”, “multiple sclerosis”, and “vasculitis”. Studies on CAR-T mechanisms, efficacy, safety, and clinical outcomes were included. Results: CAR-T cell therapies, especially CD19-directed constructs, demonstrated sustained drug-free remission in all patients across early SLE case series (n = 5–7), with normalization of serological markers and improved renal outcomes. Emerging preclinical and early clinical data in rheumatoid arthritis, multiple sclerosis, ANCA-associated vasculitis, juvenile autoimmune diseases, and idiopathic inflammatory myopathies also report clinical improvement and biomarker normalization. Reported adverse events in autoimmune cohorts were limited to mild cytokine release syndrome in a minority of cases, with no severe neurotoxicity or life-threatening infections, suggesting a more favorable safety profile compared to oncology settings. In parallel, next-generation innovations—including dual-target CARs, CAR-Tregs, and molecular safety switches—are advancing toward clinical translation. Conclusions: CAR-T cell therapy is emerging as a transformative strategy for autoimmune disease management, especially in refractory cases. Although initial outcomes are promising, long-term safety, cost-effectiveness, and broader accessibility remain key challenges. Future research should focus on optimizing cell targets, minimizing off-target effects, and improving affordability. Full article
19 pages, 412 KB  
Article
Predicting Factors of Cognitive Flexibility in Chinese–English Bilinguals: Insights from Mouse Tracking Task Switching
by Wenting Ye, Mengyan Zhu, Ting Li and Jiang Qiu
Behav. Sci. 2025, 15(11), 1481; https://doi.org/10.3390/bs15111481 - 30 Oct 2025
Viewed by 77
Abstract
This study investigated factors predicting cognitive flexibility in Chinese–English bilinguals, with a comprehensive focus on demographic and language-related variables. Cognitive flexibility was assessed using reaction times (RTs) and maximum absolute deviation (MAD) in a mouse-tracking nonverbal task-switching paradigm, capturing both mix and switch [...] Read more.
This study investigated factors predicting cognitive flexibility in Chinese–English bilinguals, with a comprehensive focus on demographic and language-related variables. Cognitive flexibility was assessed using reaction times (RTs) and maximum absolute deviation (MAD) in a mouse-tracking nonverbal task-switching paradigm, capturing both mix and switch costs. Regression analyses revealed that bilingual experience explained a larger proportion of variance in mix costs than in switch costs, with stronger effects for MAD than RTs. Higher composite factor scores (CFS) were positively associated with mix costs, whereas balanced language use across life stages, activities, and interlocutors predicted smaller mix costs, suggesting a move to multi-dimensional, experience-based approaches. In contrast, switch costs were largely unrelated to CFS, but balanced language use across situational contexts, which predicted reduced switch costs in MAD, indicating enhanced reactive control. Moreover, bilingual experiences in the home environment appeared to be positively associated with cognitive flexibility. These findings highlight the multidimensional nature of bilingual experience and underscore the value of movement trajectory measures in capturing subtle effects on sustained and transient cognitive control. Full article
(This article belongs to the Section Cognition)
17 pages, 3898 KB  
Article
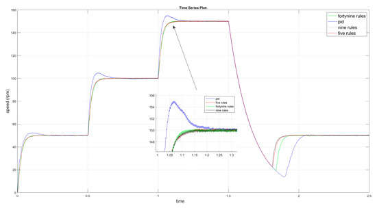
Zone-Based Simplification of Fuzzy Logic Controllers for Switched Reluctance Motor Drives
by Abbas Uğurenver and Ahmed Ibrahim Khudhur Khudhur
Electronics 2025, 14(21), 4248; https://doi.org/10.3390/electronics14214248 - 30 Oct 2025
Viewed by 158
Abstract
In the context of fuzzy logic speed control for switching reluctance motor (SRM) applications, the objective of this work is to propose a unique zone-based simplification technique. Using the procedure that has been outlined, it is made easier to reduce membership functions as [...] Read more.
In the context of fuzzy logic speed control for switching reluctance motor (SRM) applications, the objective of this work is to propose a unique zone-based simplification technique. Using the procedure that has been outlined, it is made easier to reduce membership functions as well as rule sets in a logical manner. This is accomplished by splitting the error–change-of-error plane into discrete decision zones. This method is separate from heuristic or adaptive reduction strategies since it employs a systematic framework that reduces the number of rules from 49 in the standard design to 9 and 5 without compromising the accuracy of the control. This is accomplished without adversely affecting the performance of the control. The simplified controller that was produced as a consequence of this study decreases the amount of overshoot, enhances the speed at which a dynamic response happens, and makes it simpler to use on digital platforms that are affordable. All of these capabilities were achieved by the controller. Based on simulations and testing carried out in the real world, it has been determined that the zone-based simplified fuzzy controller that was proposed has a superior performance to traditional PID and full-rule fuzzy systems in terms of reaction time, stability, and energy efficiency. Taking all of this into consideration, it is evident that it has the potential to be useful in real-world applications for SRM drives that demand a high level of speed while maintaining a low cost factor. Full article
Show Figures

Figure 1

25 pages, 2304 KB  
Article
Reliability Study of Low-Voltage Electrical Appliances in Transport Vehicles Under Variable-Load Conditions
by Lin Long, Shu Cheng, Wei Zhang and Min Yue
Actuators 2025, 14(11), 522; https://doi.org/10.3390/act14110522 - 27 Oct 2025
Viewed by 139
Abstract
Low-voltage electrical appliances, represented by circuit breakers, contactors, and proximity switches, are widely used in various electrical control systems in transportation vehicles. During vehicle operation, engine vibrations, poor workplace balance, constantly changing operating directions, unbalanced transmission systems, emergency braking, and other factors can [...] Read more.
Low-voltage electrical appliances, represented by circuit breakers, contactors, and proximity switches, are widely used in various electrical control systems in transportation vehicles. During vehicle operation, engine vibrations, poor workplace balance, constantly changing operating directions, unbalanced transmission systems, emergency braking, and other factors can all cause variable loads. These variable loads may decrease the effectiveness of low-voltage electrical contacts; the failure rate of the low-voltage electrical appliances used in transportation vehicles is three times that of normal indoor low-voltage electrical appliances. This study analyzes the failure mechanism of low-voltage electrical appliances used in transportation vehicles and establishes a model for their reliability evaluation and prediction based on a variable-load data-driven approach. This variable-load data comes from the constructed simulated vehicle operation test platform. Nonlinear variable-load test data generated by simulation is collected through the test platform and is then processed. An evaluation feature dataset is constructed and input into the reliability evaluation and prediction model to obtain the remaining life of low-voltage electrical appliances. The analysis and verification of the predicted evaluation values and the real values detected through platform equipment showed that the accuracy of this model for these appliances based on the variable-load data-driven approach reached 94%, meeting the requirements of practical applications. This method used in this study to derive the model can provide a theoretical basis for online evaluation and prediction of low-voltage electrical appliance reliability for transportation vehicles. This can not only prevent vehicle failures and avoid sudden accidents, but also fully utilize the remaining life of low-voltage electrical appliances and reduce the cost of replacing them. Full article
(This article belongs to the Section Actuators for Surface Vehicles)
Show Figures

Figure 1

15 pages, 2438 KB  
Article
A Three-Terminal Modular-Multilevel-Converter-Based Power Electronic Transformer with Reduced Voltage Stress for Meshed DC Systems
by Haiqing Cai, Jiajie Zang, Haohan Gu, Guohui Zeng, Wencong Wu, Wei Chen and Chunyang Zhai
Electronics 2025, 14(21), 4192; https://doi.org/10.3390/electronics14214192 - 27 Oct 2025
Viewed by 270
Abstract
The traditional DC distribution grid is evolving into a meshed structure to create additional energy exchange paths and integrate the rapidly growing renewable energy sources. However, existing converter stations lack sufficient power flow controllability, necessitating the development of multiport power electronic transformers to [...] Read more.
The traditional DC distribution grid is evolving into a meshed structure to create additional energy exchange paths and integrate the rapidly growing renewable energy sources. However, existing converter stations lack sufficient power flow controllability, necessitating the development of multiport power electronic transformers to address potential power flow congestion and high loss issues. This paper proposes a compact multi-terminal modular-multilevel-converter-based power electronic transformer (M3C-PET). This device enables flexible power flow regulation of the connected feeders through adopting two small-capacity power flow control modules (PFCMs). The simple structure and reduced switching count make the proposed PET more competitive and prominent and more cost-effective. Furthermore, this paper elaborates on the operational principle of the proposed device and presents a multilayer power balancing control strategy along with a power flow control scheme. These control strategies are designed based on the internal and external energy distribution mechanism of the proposed PET. The feasibility and effectiveness of the proposed topology and control schemes are rigorously validated through both a MATLAB/Simulink simulation model and a scaled-down experimental prototype. Full article
Show Figures

Figure 1

19 pages, 65499 KB  
Article
Variable Control Period Model Predictive Current Control with Current Hysteresis for Permanent Magnet Synchronous Motor Drives
by Yuhao Guo, Fuxi Jiang, Siqi Wang, Shanmei Cheng and Zuoqi Hu
Actuators 2025, 14(11), 517; https://doi.org/10.3390/act14110517 - 25 Oct 2025
Viewed by 389
Abstract
Conventional finite control set model predictive control (FCS-MPC) for permanent magnet synchronous motor (PMSM) drives suffers from a fundamental trade-off: shortening the control period improves current tracking but increases switching frequency and losses. This paper proposes a hysteresis-based variable control period MPC (HBVCP-MPC) [...] Read more.
Conventional finite control set model predictive control (FCS-MPC) for permanent magnet synchronous motor (PMSM) drives suffers from a fundamental trade-off: shortening the control period improves current tracking but increases switching frequency and losses. This paper proposes a hysteresis-based variable control period MPC (HBVCP-MPC) to break this compromise. Unlike methods like direct torque control (DTC) and model predictive direct torque control (MPDTC) that use hysteresis to select voltage vectors (VV), our approach first selects the optimal VV via a cost function that balances current tracking accuracy and switching frequency. Hysteresis on the dq-axis currents is then employed solely to dynamically determine the application time of this pre-selected VV, which defines the variable control period. This grants continuous adjustment over the VV duration, enabling superior current tracking without a proportional rise in switching frequency. Experimental results confirm that the proposed method achieves enhanced steady-state performance at a comparable switching frequency. Full article
Show Figures

Figure 1

30 pages, 5764 KB  
Article
Control and Modeling Framework for Balanced Operation and Electro-Thermal Analysis in Three-Level T-Type Neutral Point Clamped Inverters
by Ahmed H. Okilly, Cheolgyu Kim, Do-Wan Kim and Jeihoon Baek
Energies 2025, 18(21), 5587; https://doi.org/10.3390/en18215587 - 24 Oct 2025
Viewed by 192
Abstract
Reliable multilevel inverter IGBT modules require precise loss and heat management, particularly in severe traction applications. This paper presents a comprehensive modeling framework for three-level T-type neutral-point clamped (TNPC) inverters using a high-power Insulated Gate Bipolar Transistor (IGBT) module that combines model predictive [...] Read more.
Reliable multilevel inverter IGBT modules require precise loss and heat management, particularly in severe traction applications. This paper presents a comprehensive modeling framework for three-level T-type neutral-point clamped (TNPC) inverters using a high-power Insulated Gate Bipolar Transistor (IGBT) module that combines model predictive control (MPC) with space vector pulse width modulation (SVPWM). The particle swarm optimization (PSO) algorithm is used to methodically tune the MPC cost function weights for minimization, while achieving a balance between output current tracking, stabilization of the neutral-point voltage, and, consequently, a uniform distribution of thermal stress. The proposed SVPWM-MPC algorithm selects optimal switching states, which are then utilized in a chip-level loss model coupled with a Cauer RC thermal network to predict transient chip-level junction temperatures dynamically. The proposed framework is executed in MATLAB R2024b and validated with experiments, and the SemiSel industrial thermal simulation tool, demonstrating both control effectiveness and accuracy of the electro-thermal model. The results demonstrate that the proposed control method can sustain neutral-point voltage imbalance of less than 0.45% when operating at 25% load and approximately 1% under full load working conditions, while accomplishing a uniform junction temperature profile in all inverter legs across different working conditions. Moreover, the results indicate that the proposed control and modeling structure is an effective and common-sense way to perform coordinated electrical and thermal management, effectively allowing for predesign and reliability testing of high-power TNPC inverters. Full article
(This article belongs to the Special Issue Power Electronics Technology and Application)
Show Figures

Figure 1

27 pages, 1973 KB  
Article
An Analysis of Blockchain Adoption Strategies in a Technology-Supported Supply Chain Considering Government Subsidy
by Xujin Pu, Yukun Jiang and Wen Zhang
Systems 2025, 13(11), 931; https://doi.org/10.3390/systems13110931 - 22 Oct 2025
Viewed by 209
Abstract
This study explores the impact of government subsidy on blockchain traceability leadership (manufacturer vs. retailer) in a technology-supported supply chain including a manufacturer, a retailer, and a technical service firm. Methodology: We built Stackelberg game models for different scenarios (non-blockchain, manufacturer/retailer-led blockchain, and [...] Read more.
This study explores the impact of government subsidy on blockchain traceability leadership (manufacturer vs. retailer) in a technology-supported supply chain including a manufacturer, a retailer, and a technical service firm. Methodology: We built Stackelberg game models for different scenarios (non-blockchain, manufacturer/retailer-led blockchain, and subsidized blockchain) to derive equilibria. Results: First, blockchain adoption is not always optimal unless consumers exhibit low acceptance of non-blockchain products and construction costs are low. Second, a party (manufacturer/retailer) tends to lead blockchain construction if the technical service firm shares more of its costs than the other party. Finally, government subsidies benefit the manufacturer and the retailer, but the technical service firm does not always benefit from subsidies. With suitable rates and lower costs, the manufacturer or the retailer prefers to lead the construction, potentially creating a win–win scenario in the supply chain. Novelty: We quantified leadership-switching conditions via the technical service firm’s cost sharing and took its decision-making licensing fees into account, addressing gaps in multi-stakeholder blockchain adoption research. Full article
Show Figures

Figure 1

27 pages, 1171 KB  
Article
Coordinated Optimization of Distributed Energy Resources Based on Spatio-Temporal Transformer and Multi-Agent Reinforcement Learning
by Jingtao Zhao, Na Chen, Xianhe Han, Yuan Li, Shu Zheng and Suyang Zhou
Processes 2025, 13(10), 3372; https://doi.org/10.3390/pr13103372 - 21 Oct 2025
Viewed by 343
Abstract
The rapid growth of Distributed Energy Resources (DERs) exerts significant pressure on distribution network margins, requiring predictive and safe coordination. This paper presents a closed-loop framework combining a topology-aware Spatio-Temporal Transformer (STT) for multi-horizon forecasting, a cooperative multi-agent reinforcement learning (MARL) controller under [...] Read more.
The rapid growth of Distributed Energy Resources (DERs) exerts significant pressure on distribution network margins, requiring predictive and safe coordination. This paper presents a closed-loop framework combining a topology-aware Spatio-Temporal Transformer (STT) for multi-horizon forecasting, a cooperative multi-agent reinforcement learning (MARL) controller under Centralized Training and Decentralized Execution (CTDE), and a real-time safety layer that enforces feeder limits via sensitivity-based quadratic programming. Evaluations on three SimBench feeders, with OLTC/capacitor hybrid control and a stress protocol amplifying peak demand and mid-day PV generation, show that the method reduces tail violations by 31% and 56% at the 99th percentile voltage deviation, and lowers branch overload rates by 71% and 90% compared to baselines. It mitigates tail violations and discrete switching while ensuring real-time feasibility and cost efficiency, outperforming rule-based, optimization, MPC, and learning baselines. Stress maps reveal robustness envelopes and identify MV–LV bottlenecks; ablation studies show that diffusion-based priors and coordination contribute to performance gains. The paper also provides convergence analysis and a suboptimality decomposition, offering a practical pathway to scalable, safe, and interpretable DER coordination. Full article
(This article belongs to the Section Energy Systems)
Show Figures

Figure 1

19 pages, 3339 KB  
Article
Sensorless Control of Permanent Magnet Synchronous Motor in Low-Speed Range Based on Improved ESO Phase-Locked Loop
by Minghao Lv, Bo Wang, Xia Zhang and Pengwei Li
Processes 2025, 13(10), 3366; https://doi.org/10.3390/pr13103366 - 21 Oct 2025
Viewed by 393
Abstract
Aiming at the speed chattering problem caused by high-frequency square wave injection in permanent magnet synchronous motors (PMSMs) during low-speed operation (200–500 r/min), this study intends to improve the rotor position estimation accuracy of sensorless control systems as well as the system’s ability [...] Read more.
Aiming at the speed chattering problem caused by high-frequency square wave injection in permanent magnet synchronous motors (PMSMs) during low-speed operation (200–500 r/min), this study intends to improve the rotor position estimation accuracy of sensorless control systems as well as the system’s ability to resist harmonic interference and sudden load changes. The goal is to enhance the control performance of traditional control schemes in this scenario and meet the requirement of stable low-speed operation of the motor. First, the study analyzes the harmonic error propagation mechanism of high-frequency square wave injection and finds that the traditional PI phase-locked loop (PI-PLL) is susceptible to high-order harmonic interference during demodulation, which in turn leads to position estimation errors and periodic speed fluctuations. Therefore, the extended state observer phase-locked loop (ESO-PLL) is adopted to replace the traditional PI-PLL. A third-order extended state observer (ESO) is used to uniformly regard the system’s unmodeled dynamics, external load disturbances, and harmonic interference as “total disturbances”, realizing real-time estimation and compensation of disturbances, and quickly suppressing the impacts of harmonic errors and sudden load changes. Meanwhile, a dynamic pole placement strategy for the speed loop is designed to adaptively adjust the controller’s damping ratio and bandwidth parameters according to the motor’s operating states (loaded/unloaded, steady-state/transient): large poles are used in the start-up phase to accelerate response, small poles are switched in the steady-state phase to reduce errors, and a smooth attenuation function is used in the transition phase to achieve stable parameter transition, balancing the system’s dynamic response and steady-state accuracy. In addition, high-frequency square wave voltage signals are injected into the dq axes of the rotating coordinate system, and effective rotor position information is extracted by combining signal demodulation with ESO-PLL to realize decoupling of high-frequency response currents. Verification through MATLAB/Simulink simulation experiments shows that the improved strategy exhibits significant advantages in the low-speed range of 200–300 r/min: in the scenario where the speed transitions from 200 r/min to 300 r/min with sudden load changes, the position estimation curve of ESO-PLL basically overlaps with the actual curve, while the PI-PLL shows obvious deviations; in the start-up and speed switching phases, dynamic pole placement enables the motor to respond quickly without overshoot and no obvious speed fluctuations, whereas the traditional fixed-pole PI control has problems of response lag or overshoot. In conclusion, the “ESO-PLL + dynamic pole placement” cooperative control strategy proposed in this study effectively solves the problems of harmonic interference and load disturbance caused by high-frequency square wave injection in the low-speed range and significantly improves the accuracy and robustness of PMSM sensorless control. This strategy requires no additional hardware cost and achieves performance improvement only through algorithm optimization. It can be directly applied to PMSM control systems that require stable low-speed operation, providing a reliable solution for the promotion of sensorless control technology in low-speed precision fields. Full article
Show Figures

Figure 1

11 pages, 207 KB  
Article
Perception of Generic Drugs Among Pharmacists in Poland: The Role of Sociodemographic Factors in Shaping Professional Attitudes and Practices
by Marcin Lewandowski, Urszula Religioni, Dariusz Świetlik, Adam Kobayashi, Marcin Czech, Piotr Wierzbiński, Daniel Śliż, Waldemar Wierzba, Katarzyna Plagens-Rotman and Piotr Merks
Healthcare 2025, 13(20), 2629; https://doi.org/10.3390/healthcare13202629 - 20 Oct 2025
Viewed by 493
Abstract
Background: Pharmacists’ perceptions and practices shape the real-world uptake of generic medicines. From a health-economics perspective, wider generic substitution reduces patient out-of-pocket spending and creates headroom in payer budgets for high-value interventions. We assessed attitudes toward the efficacy, safety, and use of generics [...] Read more.
Background: Pharmacists’ perceptions and practices shape the real-world uptake of generic medicines. From a health-economics perspective, wider generic substitution reduces patient out-of-pocket spending and creates headroom in payer budgets for high-value interventions. We assessed attitudes toward the efficacy, safety, and use of generics and examined sociodemographic correlates among Polish pharmacists. Methods: Analytical cross-sectional survey of licensed pharmacists in Poland was used (June–August 2025). The questionnaire covered reasons for recommending generics in long-term and single-use therapy; doubts about efficacy; views on bioequivalence testing; patient-reported experiences; and Likert-scale opinions on innovation, safety, efficacy, access, and payer savings. Associations were tested with χ2 and Mann–Whitney U (α = 0.05). Results: Of 342 respondents (67.5% women; 74.9% community pharmacists), cost was the leading reason to recommend generics in long-term therapy (91.0%), followed by efficacy (53.0%) and safety (51.5%); for single-use prescriptions, cost remained central (76.2%), with lower emphasis on efficacy (47.5%) and safety (45.0%). Pharmacists who never recommend generics were older and more experienced (p = 0.006; p = 0.012). Doubts about generic efficacy were reported by 36.2% overall and more often among women, hospital pharmacists, and those with a specialization; 53.5% of those with doubts would advise switching even to a costlier option. Nearly half supported conducting bioequivalence studies between generics (49.6%). Positive perceptions predominated: 82.9% agreed generics are as effective and 84.6% as safe as originators. Most endorsed system benefits, including payer savings enabling list expansion (73.6%) and improved patient access (92.5%); agreement on access was higher among community pharmacists (p = 0.004). Conclusions: Polish pharmacists largely view generics as clinically equivalent and system-enhancing, with cost the dominant driver of recommendation. Targeted education—especially for hospital settings and specialized pharmacists—and attention to patient-reported experiences may further strengthen confidence and appropriate use of generics. Full article
19 pages, 2000 KB  
Article
Techno-Economic Optimization of Hybrid Renewable Energy Systems (HRESs) and Feasibility Study on Replacing Diesel and Photovoltaic Systems with Hydrogen for Electrical and Small Deferrable Loads: Case Study of Cameroon
by Tabitha Christie Vartan Messana M’oboun, Nasser Yimen, Jorelle Larissa Meli’i, Andre Michel Pouth Nkoma and Philippe Njandjock Nouck
Hydrogen 2025, 6(4), 90; https://doi.org/10.3390/hydrogen6040090 - 19 Oct 2025
Viewed by 309
Abstract
To reduce the amount of harmful gases produced by fossil fuels, more environmentally friendly and sustainable alternatives are being proposed around the world. As a result, technologies for manufacturing hydrogen fuel cells and producing green hydrogen are becoming more widespread, with an impact [...] Read more.
To reduce the amount of harmful gases produced by fossil fuels, more environmentally friendly and sustainable alternatives are being proposed around the world. As a result, technologies for manufacturing hydrogen fuel cells and producing green hydrogen are becoming more widespread, with an impact on energy production and environmental protection. In many countries around the world, and in Africa in particular, leaders, scientists, and populations are considering switching from fossil fuels to so-called green energies. Hydrogen is therefore an interesting alternative that deserves to be explored, especially since both rural and urban populations have shown an interest in using it in the near future, which would reduce pollution and the proliferation of greenhouse gases, thereby mitigating global warming. The aim of this paper is to determine the hybrid energy system best suited to addressing the energy problem in the study area, and then to make successive substitutions of different energy sources, starting with the most polluting, in order to assess the possibilities for transitioning the energy used in the area to green hydrogen. To this end, this study began with a technical and economic analysis which, based on climatic parameters, led to the proposal of a PV/DG-BATTery system configuration, with a Net Present Cost (NPC) of USD 19,267 and an average Cost Of Energy (COE) of USD 0.4, and with a high proportion of CO2 emissions compared with the PV/H2GEN-BATT and H2GEN systems. The results of replacing fossil fuel generators with hydrogen generators are beneficial in terms of environmental protection and lead to a reduction in energy-related expenses of around 2.1 times the cost of diesel and a reduction in mass of around 2.7 times the mass of diesel. The integration of H2GEN, at high duty percentages, increases the Cost Of Energy, whether in a hybrid PV/H2GEN system or an H2GEN system. This shows the interest in the study country in using favorable duty proportions to make the use of hydrogen profitable. Full article
Show Figures

Figure 1

17 pages, 5189 KB  
Article
Total Solution-Processed Zr: HfO2 Flexible Memristor with Tactile Sensitivity: From Material Synthesis to Application in Wearable Electronics
by Luqi Yao and Yunfang Jia
Sensors 2025, 25(20), 6429; https://doi.org/10.3390/s25206429 - 17 Oct 2025
Viewed by 423
Abstract
In the pursuit of advanced non-volatile memory technologies, ferroelectric memristors have attracted great attention. However, traditional perovskite ferroelectric materials are hampered by environmental pollution, limited applicability, and the complexity and high cost of conventional vacuum deposition methods. This has spurred the exploration of [...] Read more.
In the pursuit of advanced non-volatile memory technologies, ferroelectric memristors have attracted great attention. However, traditional perovskite ferroelectric materials are hampered by environmental pollution, limited applicability, and the complexity and high cost of conventional vacuum deposition methods. This has spurred the exploration of alternative materials and fabrication strategies. Herein, a flexible Pt/Zr: HfO2 (HZO)/graphene oxide (GO)/mica memristor is successfully fabricated using the total solution-processed method. The interfacial oxygen competition mechanism between the HZO layer and the GO bottom electrode facilitates the formation of the HZO ferroelectric phase. The as-prepared device exhibits a switching ratio of approximately 150 and can maintain eight distinct resistance levels, and it can also effectively simulate neural responses. By integrating the ferroelectric polarization principle and the piezoelectric effect of HZO, along with the influence of GO, the performance variations of the as-prepared device under mechanical and thermal influences are further explored. Notably, Morse code recognition is achieved by utilizing the device’s pressure properties and setting specific press rules. The as-prepared device can accurately convert and store information, opening new avenues for non-volatile memory applications in silent communication and promoting the development of wearable electronics. Full article
(This article belongs to the Section Wearables)
Show Figures

Figure 1

Back to TopTop