Journal Description
Clean Technologies
Clean Technologies
is a peer-reviewed, open access journal of scientific research on technology development aiming to reduce the environmental impact of human activities, and is published quarterly online by MDPI.
- Open Access— free for readers, with article processing charges (APC) paid by authors or their institutions.
- High Visibility: indexed within Scopus, ESCI (Web of Science), Inspec, AGRIS, RePEc, and other databases.
- Rapid Publication: manuscripts are peer-reviewed and a first decision is provided to authors approximately 21 days after submission; acceptance to publication is undertaken in 6.2 days (median values for papers published in this journal in the second half of 2022).
- Recognition of Reviewers: APC discount vouchers, optional signed peer review, and reviewer names published annually in the journal.
Latest Articles
Torrefaction of Pine Using a Pilot-Scale Rotary Reactor: Experimentation, Kinetics, and Process Simulation Using Aspen Plus™
Clean Technol. 2023, 5(2), 675-695; https://doi.org/10.3390/cleantechnol5020034 - 17 May 2023
Abstract
Biomass is an excellent sustainable carbon neutral energy source, however its use as a coal/petroleum coke substitute in thermal applications poses several challenges. Several inherent properties of biomass including higher heating value (HHV), bulk density, and its hydrophilic and fibrous nature, all contribute
[...] Read more.
Biomass is an excellent sustainable carbon neutral energy source, however its use as a coal/petroleum coke substitute in thermal applications poses several challenges. Several inherent properties of biomass including higher heating value (HHV), bulk density, and its hydrophilic and fibrous nature, all contribute to challenges for it to be used as a solid fuel. Torrefaction or mild pyrolysis is a well-accepted thermal pretreatment technology that solves most of the above-mentioned challenges and results in a product with superior coal-like properties. Torrefaction involves the heating of biomass to moderate temperatures typically between 200 °C and 300 °C in a non-oxidizing atmosphere. This study focused on evaluating the influence of torrefaction operating temperature (204–304 °C) and residence time (10–40 min) on properties of pine. Tests were performed on a continuous 0.3 ton/day indirectly heated rotary reactor. The influence of torrefaction operational conditions on pine was evaluated in terms of the composition of torrefied solids, mass yield, energy yield, and HHV using a simulated model developed in Aspen Plus™ software. A kinetic model was established based on the experimental data generated. An increase in torrefaction severity (increasing temperature and residence time) resulted in an increase in carbon content, accompanied with a decrease in oxygen and hydrogen. Results from the simulated model suggest that the solid and energy yields decreased with an increase in temperature and residence time. Solid yield varied from 80% at 204 °C to 68% at 304 °C, and energy yield varied from 99% at 204 °C to 70% at 304 °C, respectively. On the other hand, HHV improved from 22.8 to 25.1 MJ/kg with an increase in temperature at 20 min residence time. Over the range of 10 to 40 min residence time at 260 °C, solid and energy yields varied from 77% to 59% and 79% to 63%, respectively; however the HHV increased by only 3%. Solid yield, energy yield, and HHV simulated data were within the 5% error margin when compared to the experimental data. Validation of the simulation parameters was achieved by the conformance of the experimental and simulation data obtained under the same testing conditions. These simulated parameters can be utilized to study other operating conditions fundamental for the commercialization of these processes. Desirable torrefaction temperature to achieve the highest solid fuel yield can be determined using the energy yield and mass loss data.
Full article
(This article belongs to the Special Issue Valorization of Industrial and Agro Waste)
►
Show Figures
Open AccessArticle
Material Flow Cost Accounting as a Resource-Saving Tool for Emerging Recycling Technologies
Clean Technol. 2023, 5(2), 652-674; https://doi.org/10.3390/cleantechnol5020033 - 17 May 2023
Abstract
Material Flow Cost Accounting (MFCA) is an environmental management accounting method that allocates costs to material and energy flows through a process, thereby enabling a simultaneous reduction in environmental impacts alongside an improvement in business and economic efficiency. This study illustrates the versatility
[...] Read more.
Material Flow Cost Accounting (MFCA) is an environmental management accounting method that allocates costs to material and energy flows through a process, thereby enabling a simultaneous reduction in environmental impacts alongside an improvement in business and economic efficiency. This study illustrates the versatility of MFCA beyond its usual application to existing production and manufacturing processes. In this paper, MFCA is used to assess the financial viability of two emerging recycling technologies, IRETA2 (Development and Evaluation of Recycling Routes to Recover Tantalum from Electronic Waste) and ReComp (Development of an Innovative, Economically and Ecologically Sensible Recycling Method for Metallised ABS and PC/ABS Composite Waste). These two projects differ in their process structure. Whilst IRETA2 is a strictly linear recycling process, ReComp consists of two process streams, split according to the treatment of its two material fractions. For both projects, the lab-scale experimental results were used to develop an MFCA model of the recycling process scaled at each project partner’s facilities. MFCA was utilised to calculate the projects’ overall profit or loss, the impact of the final products’ market conditions and processing rate (in the case of IRETA2), or machinery capacity (for ReComp) on the overall results. The results show that neither IRETA2 nor ReComp are financially viable based on the current output products’ market value and quantity produced. However, through a sensitivity analysis, it is demonstrated that IRETA2 could become financially viable if the processing rate or market conditions were to improve. Additionally, ReComp could become financially viable if there was an increase in machine capacity. Finally, this paper also explores possible implications of MFCA when applied to emerging recycling technologies on EU policy and strategy, particularly those related to the EU Green Deal, such as extended producer responsibility and supply chain acts.
Full article
(This article belongs to the Collection Brilliant Young Researchers in Clean Technologies)
►▼
Show Figures

Figure 1
Open AccessArticle
Cyanobacteria Arthospira platensis as an Effective Tool for Gadolinium Removal from Wastewater
by
, , , , and
Clean Technol. 2023, 5(2), 638-651; https://doi.org/10.3390/cleantechnol5020032 - 17 May 2023
Abstract
►▼
Show Figures
The biosorption and bioaccumulation of gadolinium by Arthospira platensis in batch experiments was examined. In biosorption experiments, the influence of pH, gadolinium concentration, time of contact and temperature on Arthospira platensis sorption capacity was investigated. The maximum biosorption capacity of 101 mg/g was
[...] Read more.
The biosorption and bioaccumulation of gadolinium by Arthospira platensis in batch experiments was examined. In biosorption experiments, the influence of pH, gadolinium concentration, time of contact and temperature on Arthospira platensis sorption capacity was investigated. The maximum biosorption capacity of 101 mg/g was attained at a pH of 3.0 and temperature of 20 °C. A pseudo-first-order model was applicable to describe the kinetics of the biosorption and the Freundlich model to explain the equilibrium of the process. In bioaccumulation experiments, besides the examination of the gadolinium uptake by Arthospira platensis, its effect on biomass productivity as well as the content of proteins, lipids, carbohydrates and pigments was assessed. The addition of gadolinium in the cultivation medium resulted in the increase in biomass productivity and the content of MDA and, at the same time, in the reduction in the amount of proteins and carbohydrates. The content of other monitored parameters did not change significantly. The water extracts obtained from Arthospira platensis showed a higher antiradical activity against the ABTS cation radical in comparison with ethanolic extracts. Arthospira platensis is of interest for the development of the technology of gadolinium-contaminated wastewater remediation.
Full article

Figure 1
Open AccessReview
Carbon Capture, Utilization, and Storage in Saline Aquifers: Subsurface Policies, Development Plans, Well Control Strategies and Optimization Approaches—A Review
by
and
Clean Technol. 2023, 5(2), 609-637; https://doi.org/10.3390/cleantechnol5020031 - 15 May 2023
Abstract
To mitigate dangerous climate change effects, the 195 countries that signed the 2015 Paris Agreement agreed to “keep the increase in average global surface temperature below 2 °C and limit the increase to 1.5 °C” by reducing carbon emissions. One promising option for
[...] Read more.
To mitigate dangerous climate change effects, the 195 countries that signed the 2015 Paris Agreement agreed to “keep the increase in average global surface temperature below 2 °C and limit the increase to 1.5 °C” by reducing carbon emissions. One promising option for reducing carbon emissions is the deployment of carbon capture, utilization, and storage technologies (CCUS) to achieve climate goals. However, for large-scale deployment of underground carbon storage, it is essential to develop technically sound, safe, and cost-effective CO2 injection and well control strategies. This involves sophisticated balancing of various factors such as subsurface engineering policies, technical constraints, and economic trade-offs. Optimization techniques are the best tools to manage this complexity and ensure that CCUS projects are economically viable while maintaining safety and environmental standards. This work reviews thoroughly and critically carbon storage studies, along with the optimization of CO2 injection and well control strategies in saline aquifers. The result of this review provides the foundation for carbon storage by outlining the key subsurface policies and the application of these policies in carbon storage development plans. It also focusses on examining applied optimization techniques to develop CO2 injection and well control strategies in saline aquifers, providing insights for future work and commercial CCUS applications.
Full article
(This article belongs to the Collection Review Papers in Clean Technologies)
►▼
Show Figures

Figure 1
Open AccessReview
Vapor Compression Cycle: A State-of-the-Art Review on Cycle Improvements, Water and Other Natural Refrigerants
Clean Technol. 2023, 5(2), 584-608; https://doi.org/10.3390/cleantechnol5020030 - 05 May 2023
Abstract
Air conditioning and refrigeration have become necessary in modern life, accounting for more than 7.8% of greenhouse gases (GHG) emitted globally. Reducing the environmental impact of these systems is crucial for meeting the global GHG emission targets. Two principal directions must be considered
[...] Read more.
Air conditioning and refrigeration have become necessary in modern life, accounting for more than 7.8% of greenhouse gases (GHG) emitted globally. Reducing the environmental impact of these systems is crucial for meeting the global GHG emission targets. Two principal directions must be considered to reduce the environmental impact of air conditioning systems. Firstly, reducing the direct effect by looking at less harmful refrigerants and secondly, reducing the indirect effect by searching for options to improve the system efficiency. This study presents the latest developments in the vapor compression cycle and natural refrigerants, focusing on water as a refrigerant. Natural refrigerants, and especially water, could be the ultimate solution for the environmental problems associated with the operation of vapor compression cycle (VCC) cooling systems, including ozone depletion (OD) and global warming (GW). Reducing the environmental impact of building cooling systems is essential, and the recent system improvements made to enhance the system coefficient of performance (COP) are thoroughly discussed in this paper. Though the cycle improvements discussed in this work are essential and could increase the system efficiency, they still need to solve the direct environmental impact of refrigerants. Accordingly, this paper suggests that natural refrigerants, including water, are the most suitable strategic choice to replace the current refrigerants in the refrigeration and air conditioning industry. Finally, this study reviews the latest VCC system improvements and natural refrigerants in order to guide interested researchers with solutions that may reduce the environmental impact of VCC systems and suggest future research areas.
Full article
(This article belongs to the Collection Review Papers in Clean Technologies)
►▼
Show Figures

Figure 1
Open AccessArticle
Use of Propyl Gallate in Cardoon Biodiesel to Keep Its Main Properties during Oxidation
by
, , and
Clean Technol. 2023, 5(2), 569-583; https://doi.org/10.3390/cleantechnol5020029 - 02 May 2023
Abstract
The use of alternatives for petroleum-based products is becoming more and more important, especially considering the new and constantly changing geopolitical context, where excessive energy dependence is not desirable. Thus, biodiesel could play an important role in contributing to the implementation of biorefineries,
[...] Read more.
The use of alternatives for petroleum-based products is becoming more and more important, especially considering the new and constantly changing geopolitical context, where excessive energy dependence is not desirable. Thus, biodiesel could play an important role in contributing to the implementation of biorefineries, which represent desirable goals in terms of sustainability, green chemistry and the circular economy. However, one challenge related to biodiesel based on vegetable oils is its low oxidative stability, which can alter the properties of these products during storage. To avoid this problem, interesting antioxidants, such as propyl gallate (PG), could be added to biodiesel to allow it to keep its main properties during oxidation. Additionally, monitoring PG content during oxidation is interesting, and the use of voltammetry could be suitable for this purpose. The aim of this work was to assess the effectiveness of PG during cardoon biodiesel oxidation, while monitoring the process through cyclic voltammetry (CV). As a result, it was proven that PG was highly effective, increasing the length of oxidative stability to more than 10 h at low concentrations (600 mg·L−1) and retaining its main properties (viscosity and acidity) during oxidation. Regarding CV, this technique was successfully optimized to determine PG concentration in cardoon biodiesel during oxidation.
Full article
(This article belongs to the Collection Bioenergy Technologies)
►▼
Show Figures

Figure 1
Open AccessReview
Investigation of Hydrogen Production System-Based PEM EL: PEM EL Modeling, DC/DC Power Converter, and Controller Design Approaches
by
, , , , , , and
Clean Technol. 2023, 5(2), 531-568; https://doi.org/10.3390/cleantechnol5020028 - 23 Apr 2023
Abstract
The main component of the hydrogen production system is the electrolyzer (EL), which is used to convert electrical energy and water into hydrogen and oxygen. The power converter supplies the EL, and the controller is used to ensure the global stability and safety
[...] Read more.
The main component of the hydrogen production system is the electrolyzer (EL), which is used to convert electrical energy and water into hydrogen and oxygen. The power converter supplies the EL, and the controller is used to ensure the global stability and safety of the overall system. This review aims to investigate and analyze each one of these components: Proton Exchange Membrane Electrolyzer (PEM EL) electrical modeling, DC/DC power converters, and control approaches. To achieve this desired result, a review of the literature survey and an investigation of the PEM EL electrical modeling of the empirical and semi-empirical, including the static and dynamic models, are carried out. In addition, other sub-models used to predict the temperature, gas flow rates (H2 and O2), hydrogen pressure, and energy efficiency for PEM EL are covered. DC/DC power converters suitable for PEM EL are discussed in terms of efficiency, current ripple, voltage ratio, and their ability to operate in the case of power switch failure. This review involves analysis and investigation of PEM EL control strategies and approaches previously used to achieve control objectives, robustness, and reliability in studying the DC/DC converter-PEM electrolyzer system. The paper also highlights the online parameter identification of the PEM electrolyzer model and adaptive control issues. Finally, a discussion of the results is developed to emphasize the strengths, weaknesses, and imperfections of the literature on this subject as well as proposing ideas and challenges for future work.
Full article
(This article belongs to the Collection Review Papers in Clean Technologies)
►▼
Show Figures

Figure 1
Open AccessArticle
Membrane Filtration Applied to the Purification of Sugarcane Bagasse Mild Alkaline Extracts
by
, , , and
Clean Technol. 2023, 5(2), 518-530; https://doi.org/10.3390/cleantechnol5020027 - 23 Apr 2023
Abstract
Sugarcane bagasse (SCB), a by-product of the sugar industry, is composed mainly of cellulose, hemicelluloses, and lignin, and can be used to replace petrochemical polymers in various applications. In this work, SCB was treated under mild alkaline conditions with 1.5% NaOH (m:v) and
[...] Read more.
Sugarcane bagasse (SCB), a by-product of the sugar industry, is composed mainly of cellulose, hemicelluloses, and lignin, and can be used to replace petrochemical polymers in various applications. In this work, SCB was treated under mild alkaline conditions with 1.5% NaOH (m:v) and a solid:liquid ratio of 1:20 (m:v) at 60 °C, during 6 h. A 10 kDa polysulfone hollow fiber membrane was used for the purification of the extract in different filtration modes, namely concentration and diafiltration, and a combination of both modes. Permeate fluxes and rejection rates were evaluated at different transmembrane pressure (TMP) at the shear rate of 10,187 s–1, at 40 °C. In concentration mode, increasing the volume reduction factor up to 6.1 led to a significant increase in the retention rates of acid-soluble lignin (ASL) and xylan, and a decrease in inorganic salt content in the retentate. In diafiltration mode, after 2.9 diavolumes, the acid-insoluble lignin (AIL) and xylan rejection rates drastically increased, as did the rejection rates of ash.
Full article
(This article belongs to the Special Issue Membrane Technology in Decentralized Applications)
►▼
Show Figures

Figure 1
Open AccessSystematic Review
Machine Learning Applications in Renewable Energy (MLARE) Research: A Publication Trend and Bibliometric Analysis Study (2012–2021)
by
, , , and
Clean Technol. 2023, 5(2), 497-517; https://doi.org/10.3390/cleantechnol5020026 - 19 Apr 2023
Abstract
This study examines the research climate on machine learning applications in renewable energy (MLARE). Therefore, the publication trends (PT) and bibliometric analysis (BA) on MLARE research published and indexed in the Elsevier Scopus database between 2012 and 2021 were examined. The PT was
[...] Read more.
This study examines the research climate on machine learning applications in renewable energy (MLARE). Therefore, the publication trends (PT) and bibliometric analysis (BA) on MLARE research published and indexed in the Elsevier Scopus database between 2012 and 2021 were examined. The PT was adopted to deduce the major stakeholders, top-cited publications, and funding organizations on MLARE, whereas BA elucidated critical insights into the research landscape, scientific developments, and technological growth. The PT revealed 1218 published documents comprising 46.9% articles, 39.7% conference papers, and 6.0% reviews on the topic. Subject area analysis revealed MLARE research spans the areas of science, technology, engineering, and mathematics among others, which indicates it is a broad, multidisciplinary, and impactful research topic. The most prolific researcher, affiliations, country, and funder are Ravinesh C. Deo, National Renewable Energy Laboratory, United States, and the National Natural Science Foundation of China, respectively. The most prominent journals on the top are Applied Energy and Energies, which indicates that journal reputation and open access are critical considerations for the author’s choice of publication outlet. The high productivity of the major stakeholders in MLARE is due to collaborations and research funding support. The keyword co-occurrence analysis identified four (4) clusters or thematic areas on MLARE, which broadly describe the systems, technologies, tools/technologies, and socio-technical dynamics of MLARE research. Overall, the study showed that ML is critical to the prediction, operation, and optimization of renewable energy technologies (RET) along with the design and development of RE-related materials.
Full article
(This article belongs to the Collection Review Papers in Clean Technologies)
►▼
Show Figures

Figure 1
Open AccessArticle
Reduced Mechanism for Combustion of Ammonia and Natural Gas Mixtures
Clean Technol. 2023, 5(2), 484-496; https://doi.org/10.3390/cleantechnol5020025 - 12 Apr 2023
Abstract
A fuel mixture of ammonia and natural gas as a low-carbon alternative for future power generation and transportation is an attractive option. In this work, a 50-species reduced mechanism, NH3NG, suitable for computational fluid dynamics simulations (CFD), is developed for ammonia–natural
[...] Read more.
A fuel mixture of ammonia and natural gas as a low-carbon alternative for future power generation and transportation is an attractive option. In this work, a 50-species reduced mechanism, NH3NG, suitable for computational fluid dynamics simulations (CFD), is developed for ammonia–natural gas cofiring while addressing important emission issues, such as the formation of nitrogen oxides (NOx), soot, carbon monoxide, and unburnt methane/ammonia. The adoption of reduced mechanisms is imperative not only for saving computer storage and running time but also for numerical convergence for practical applications. The NH3NG reduced mechanism can predict soot emission because it includes soot precursor species. Further, it can handle heavier components in natural gas, such as ethane and propane. The absolute error is 5% for predicting NOx and CO emissions compared to the full Modified Konnov mechanism. Validation with key performance parameters (ignition delay, laminar flame speed, adiabatic temperature, and NOx and CO emissions) indicates that the predictions of the reduced mechanism NH3NG are in good agreement with published experimental data. The average prediction error of 13% for ignition delay is within typical experimental data uncertainties of 10–20%. The predicted adiabatic temperatures are within 1 °C. For laminar flame speed, the R2 between prediction and data is 0.985. NH3NG over-predicts NOx and CO emissions, similar to all other literature methods, but the NOx predictions are closer to the experimental data.
Full article
(This article belongs to the Special Issue Green and Sustainable Chemistry for Energy Application)
►▼
Show Figures

Figure 1
Open AccessArticle
Efficient Adsorption and Catalytic Reduction of Phenol Red Dye by Glutaraldehyde Cross-Linked Chitosan and Its Ag-Loaded Catalysts: Materials Synthesis, Characterization and Application
by
, , , and
Clean Technol. 2023, 5(2), 466-483; https://doi.org/10.3390/cleantechnol5020024 - 06 Apr 2023
Abstract
In this study, glutaraldehyde cross-linked chitosan support, as well as the catalysts obtained after loading Ag metal (Ag/Chitosan), were synthesised and applied for adsorption and reduction of phenol red dye in an aqueous solution. The Ag/chitosan catalysts were characterised by X-ray diffraction (XRD),
[...] Read more.
In this study, glutaraldehyde cross-linked chitosan support, as well as the catalysts obtained after loading Ag metal (Ag/Chitosan), were synthesised and applied for adsorption and reduction of phenol red dye in an aqueous solution. The Ag/chitosan catalysts were characterised by X-ray diffraction (XRD), scanning electron microscopy (SEM), Fourier transform infrared spectroscopy (FT-IR) and inductively coupled plasma-optical emission spectrometry (ICP-OES) analysis techniques. The catalytic reduction and adsorption performance of phenol red dye with Ag/chitosan and cross-linked chitosan, respectively, was performed at ambient reaction conditions. The reduction of dye was carried out using sodium borohydride (NaBH4) as the reducing agent, while the progress of adsorption and reduction study was monitored with ultraviolet-visible (UV-vis) spectrophotometry technique. The reduction of the phenol red dye varied with the amount of catalyst, the concentration of NaBH4, Ag metal loading, reaction temperature, phenol red dye concentration and initial pH of the dye solution. The dye solution with a nearly-neutral pH (6.4) allowed efficient adsorption of the dye, while acidic (pH = 4) and alkaline (pH = 8, 11, 13.8) solutions showed incomplete or no adsorption of dye. The reusability of the Ag/chitosan catalyst was applied for the complete reduction of the dye, where no significant loss of catalytic activity was observed. Hence, the applicability of cross-linked chitosan and Ag/catalyst was thus proven for both adsorption and reduction of phenol red dye in an aqueous solution and can be applied for industrial wastewater treatment.
Full article
(This article belongs to the Collection Water and Wastewater Treatment Technologies)
►▼
Show Figures

Figure 1
Open AccessArticle
Bio Ethanol Production from Rice Straw Saccharification via Avicelase Gene in E. coli Recombinant Strain
by
, , , , and
Clean Technol. 2023, 5(2), 451-465; https://doi.org/10.3390/cleantechnol5020023 - 03 Apr 2023
Abstract
►▼
Show Figures
The most abundant organic carbon source on Earth is cellulosic materials. Its main resources are crop straws which are not commonly used and produce environmental pollution. These resources can be a site of biological hydrolysis to primary sugars by cellulase enzymes, in which
[...] Read more.
The most abundant organic carbon source on Earth is cellulosic materials. Its main resources are crop straws which are not commonly used and produce environmental pollution. These resources can be a site of biological hydrolysis to primary sugars by cellulase enzymes, in which avicelase is the most efficient enzyme in the cellulase family. This work aimed to clone the avicelase gene, transfer it to E. coli, optimize its expression, saccharify rice straw to its primary sugars, and ferment it to bioethanol. The avicelase gene was cloned from the Bacillus subtilis strain and cloned into two E. coli (i.e., DH5α and Bl21) strains. The optimized avicelase activity was described by testing the effect of different media and growth conditions including different carbon and nitrogen sources, as well as pHs and shaking or static conditions. Avicelase enzyme was extracted and used to saccharify rice straw. The obtained glucose was subjected to fermentation by Saccharomyces cerevisiae F.307 under an aerobic condition growth for the production of bioethanol. The ethanol yield was 5.26% (v/v), and the fermentation efficiency was 86%. This study showed the ability to clone one of the cellulolytic genes (i.e., avicelase) for the valorization of rice straw for producing renewable energy and bioethanol from cellulolytic wastes such as rice straw.
Full article

Figure 1
Open AccessArticle
Public Acceptance and Willingness to Pay for Carbon Capture and Utilisation Products
Clean Technol. 2023, 5(1), 436-450; https://doi.org/10.3390/cleantechnol5010022 - 13 Mar 2023
Abstract
Although the significance of the social science agenda reflecting and affecting the carbon capture and utilisation (CCU) value chain has been acknowledged, there is still a scarcity of research about it. This work contributes in developing an understanding of public perceptions regarding the
[...] Read more.
Although the significance of the social science agenda reflecting and affecting the carbon capture and utilisation (CCU) value chain has been acknowledged, there is still a scarcity of research about it. This work contributes in developing an understanding of public perceptions regarding the acceptance, use, and purchasing of carbon dioxide (CO2)-derived products through an online quantitative survey. Our research suggests the awareness and acceptance of such products are relatively high. Respondents were in favour of CO2-derived product promotion by policy makers and the industry, approved the funding of such schemes by government, and supported companies that use captured CO2 in their products. The product category seems to influence the willingness of people to use and buy CO2-derived products, with our respondents being more willing to use CO2-derived fuels than food or beverages, showing a caution toward health-related risks. Respondents were also more willing to buy a CO2-derived product if it was cheaper or better for the environment. Male respondents were in general less willing to pay for CCU-based products, while people aged 25 to 29 were more positive toward them. We conclude that the public will be in favour of CCU-based products and willing to buy them if the involved stakeholders do their part in delivering a safe product at a comparable quality and price to existing ones. Better information provision can also support this cause.
Full article
Open AccessArticle
Unsupervised Machine Learning to Detect Impending Anomalies in Testing of Fuel Economy and Emissions of Light-Duty Vehicles
by
, , , , , , and
Clean Technol. 2023, 5(1), 418-435; https://doi.org/10.3390/cleantechnol5010021 - 13 Mar 2023
Abstract
►▼
Show Figures
This work focused on demonstrating the capability of unsupervised machine learning techniques in detecting impending anomalies by extracting hidden trends in the datasets of fuel economy and emissions of light-duty vehicles (LDVs), which consist of cars and light-duty trucks. This case study used
[...] Read more.
This work focused on demonstrating the capability of unsupervised machine learning techniques in detecting impending anomalies by extracting hidden trends in the datasets of fuel economy and emissions of light-duty vehicles (LDVs), which consist of cars and light-duty trucks. This case study used the vehicles’ fuel economy and emissions testing datasets for vehicle model years 2015 to 2023 with a total of 34,602 data samples on LDVs of major vehicle manufacturers. Three unsupervised techniques were used: principal components analysis (PCA), K-Means clustering, and self-organizing maps (SOM). Results show that there are clusters of data that exhibit trends not represented by the dataset as a whole. Fuel CO vs. Fuel Economy has a negative correlation in the whole dataset (r = −0.355 for LDVs model year 2022), but it has positive correlations in certain sample clusters (e.g., LDVs model year 2022: r = +0.62 in a K-Means cluster where the slope is around 0.347 g−CO/mi/MPG). A time series analysis of the results of clustering indicates that Test Procedure and Fuel Type, specifically Test Procedure 11 and Fuel Type 26 as defined by the US EPA, could be the contributors to the positive correlation of CO and Fuel Economy. This detected peculiar trend of CO-vs.-Fuel Economy is an impending anomaly, as the use of Fuel 26 in emissions testing with Test Procedure 11 of US-EPA has been increasing through the years. With the finding that the clustered data samples with positive CO-vs.-Fuel Economy correlation all came from vehicle manufacturers that independently conduct the standard testing procedures and not data from US-EPA testing centers, it was concluded that the chemistry of using Fuel 26 in performing Test Procedure 11 should be re-evaluated by US-EPA.
Full article

Figure 1
Open AccessArticle
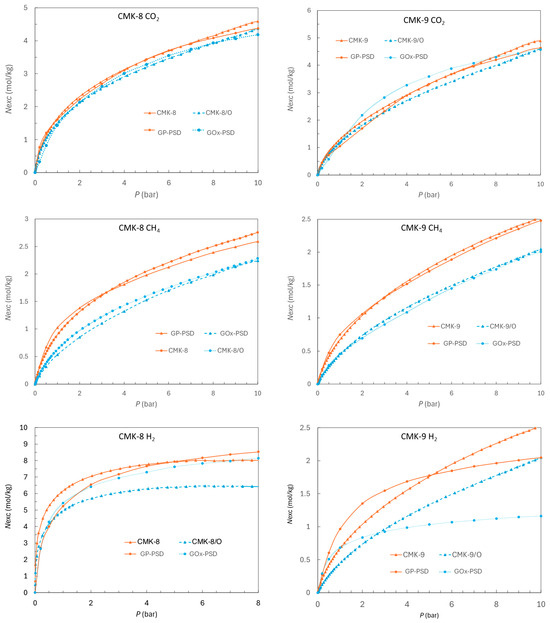
Graphene Embedded with Transition Metals for Capturing Carbon Dioxide: Gas Detection Study Using QM Methods
by
and
Clean Technol. 2023, 5(1), 403-417; https://doi.org/10.3390/cleantechnol5010020 - 09 Mar 2023
Cited by 3
Abstract
Carbon dioxide (CO2) adsorption on decorated graphene (GR) sheets with transition metals (TMs) including iron, nickel and zinc was investigated for removing this hazardous gas from the environment. TM-doped GR results in higher activity toward gas detecting than pristine graphene nanosheets.
[...] Read more.
Carbon dioxide (CO2) adsorption on decorated graphene (GR) sheets with transition metals (TMs) including iron, nickel and zinc was investigated for removing this hazardous gas from the environment. TM-doped GR results in higher activity toward gas detecting than pristine graphene nanosheets. TM embedding restrains hydrogen evolution on the C sites, leaving more available sites for a CO2 decrease. The Langmuir adsorption model with ONIOM using CAM-B3LYP functional and LANL2DZ and 6-31+G (d,p) basis sets due to Gaussian 16 revision C.01 program on the complexes of CO2→(Fe, Ni, Zn) embedded on the GR was accomplished. The changes of charge density illustrated a more considerable charge transfer for Zn-embedded GR. The thermodynamic results from IR spectroscopy indicated that has the notable gap of Gibbs free energy adsorption with a dipole moment which defines the alterations between the Gibbs free energy of the initial compounds ( and ) and product compound ( ) through polarizability. Frontier molecular orbital and band energy gaps accompanying some chemical reactivity parameters represented the behavior of molecular electrical transport of the (Fe, Ni, Zn) embedding of GR for the adsorption of CO2 gas molecules. Our results have provided a favorable understanding of the interaction between TM-embedded graphene nanosheets and CO2.
Full article
(This article belongs to the Special Issue Application of Porous Materials in CO2 Capture)
►▼
Show Figures

Figure 1
Open AccessReview
Arsenic Removal by Adsorbents from Water for Small Communities’ Decentralized Systems: Performance, Characterization, and Effective Parameters
by
, , , , , and
Clean Technol. 2023, 5(1), 352-402; https://doi.org/10.3390/cleantechnol5010019 - 06 Mar 2023
Abstract
Arsenic (As), a poisonous and carcinogenic heavy metal, affects human health and the environment. Numerous technologies can remove As from drinking water. Adsorption is the most appealing option for decentralized water treatment systems (DWTS) for small communities and household applications because it is
[...] Read more.
Arsenic (As), a poisonous and carcinogenic heavy metal, affects human health and the environment. Numerous technologies can remove As from drinking water. Adsorption is the most appealing option for decentralized water treatment systems (DWTS) for small communities and household applications because it is reliable, affordable, and environmentally acceptable. Sustainable low-cost adsorbents make adsorption more appealing for DWTS to address some of the small communities’ water-related issues. This review contains in-depth information on the classification and toxicity of As species and different treatment options, including ion exchange, membrane technologies, coagulation-flocculation, oxidation, and adsorption, and their effectiveness under various process parameters. Specifically, different kinetic and isotherm models were compared for As adsorption. The characterization techniques that determine various adsorbents’ chemical and physical characteristics were investigated. This review discusses the parameters that impact adsorption, such as solution pH, temperature, initial As concentration, adsorbent dosage, and contact time. Finally, low-cost adsorbents application for the removal of As was discussed. Adsorption was found to be a suitable, cost-effective, and reliable technology for DWTS for small and isolated communities. New locally developed and low-cost adsorbents are promising and could support sustainable adsorption applications.
Full article
(This article belongs to the Special Issue Decentralised Water Treatment Technologies)
►▼
Show Figures

Figure 1
Open AccessFeature PaperArticle
Model-Based Predictive Control of a Solar Hybrid Thermochemical Reactor for High-Temperature Steam Gasification of Biomass
by
, , , , , , and
Clean Technol. 2023, 5(1), 329-351; https://doi.org/10.3390/cleantechnol5010018 - 02 Mar 2023
Abstract
►▼
Show Figures
The present paper deals with both the modeling and the dynamic control of a solar hybrid thermochemical reactor designed to produce syngas through the high-temperature steam gasification of biomass. First, a model of the reactor based on the thermodynamic equilibrium is presented. The
[...] Read more.
The present paper deals with both the modeling and the dynamic control of a solar hybrid thermochemical reactor designed to produce syngas through the high-temperature steam gasification of biomass. First, a model of the reactor based on the thermodynamic equilibrium is presented. The Cantera toolbox is used. Then, a model-based predictive controller (MPC) is proposed with the aim of maintaining the reactor’s temperature at its nominal value, thus preserving the reactor’s stability. This is completed by adjusting the mirrors’ defocusing factor or burning a part of the biomass to compensate for variations of direct normal irradiance (DNI) round the clock. This controller is compared to a reference controller, which is defined as a combination of a rule-based controller and an adaptive proportional–integral–derivative (PID) controller with optimized gains. The robustness of the MPC controller to forecast errors is also studied by testing different DNI forecasts: perfect forecasts, smart persistence forecasts and image-based forecasts. Because of a high optimization time, the Cantera function is replaced with a 2D interpolation function. The results show that (1) the developed MPC controller outperforms the reference controller, (2) the integration of image-based DNI forecasts produces lower root mean squared error (RMSE) values, and (3) the optimization time is significantly reduced thanks to the proposed interpolation function.
Full article

Figure 1
Open AccessArticle
Design-Based Approach to Support Sorting Behavior of Food Packaging
Clean Technol. 2023, 5(1), 297-328; https://doi.org/10.3390/cleantechnol5010017 - 28 Feb 2023
Abstract
►▼
Show Figures
It is widely acknowledged that environmental impacts from packaging waste depend on how consumers sort this waste fraction. In this research, “design for sustainable behavior” (DfSB) strategies are used to improve a cream packaging design that can support proper sorting of packaging waste
[...] Read more.
It is widely acknowledged that environmental impacts from packaging waste depend on how consumers sort this waste fraction. In this research, “design for sustainable behavior” (DfSB) strategies are used to improve a cream packaging design that can support proper sorting of packaging waste as a sustainable behavior. The application of three DfSB strategies—“match”, “steer”, and “force”—was examined through circular interviews and practical experience with two groups of participants in Karlskrona, Sweden. Prototyping was used to provide a more realistic experiment and enhance communication during the interviews. The results show that consumer-packaging interaction during the usage phase is important to enhance proper sorting behavior. The results also show the potential of a user-centered design-based approach to study consumer-packaging interaction and to understand the challenges faced by users when sorting packaging waste. It also shows the possibility of packaging design to script consumer behavior and reveals details that are important when designing packaging that was not known. In this vein, packaging form, color, and haptic attributes are the most influential design attributes that can support packaging functionalities and script consumer sorting behavior.
Full article

Figure 1
Open AccessReview
Membranes and Integrated Membrane Operations as Clean Technologies in the Leather Industry
by
and
Clean Technol. 2023, 5(1), 274-296; https://doi.org/10.3390/cleantechnol5010016 - 16 Feb 2023
Abstract
The leather industry is characterized by the production of a huge amount of wastewater with a high organic/inorganic charge, causing widespread water and soil pollution. Pressure-driven membrane operations and membrane bioreactors have long been proven to be a valid approach for the treatment
[...] Read more.
The leather industry is characterized by the production of a huge amount of wastewater with a high organic/inorganic charge, causing widespread water and soil pollution. Pressure-driven membrane operations and membrane bioreactors have long been proven to be a valid approach for the treatment of tanning wastewaters aimed at the recovery of raw materials as well as for the removal of toxic and environmentally harmful substances. Such processes, opportunely integrated among themselves and/or with conventional physical-chemical and biological treatments, also provide useful protocols for the treatment of global wastewaters with significant advantages in terms of environmental protection, decrease of disposal costs, simplification of cleaning-up processes and saving of water and chemicals. This paper, as the state of the art, attempts to revise the potential and perspectives of membrane-based technologies in the leather industry with related applications in beamhouse, tanning and post-tanning operations as well as in the treatment of global wastewaters.
Full article
(This article belongs to the Collection Review Papers in Clean Technologies)
►▼
Show Figures

Figure 1
Open AccessArticle
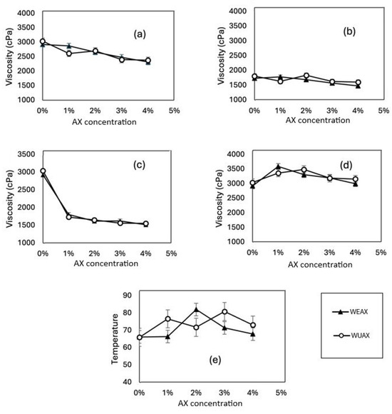
Rheological Behavior and Characterization of Drinking Water Treatment Sludge from Morocco
by
, , , , and
Clean Technol. 2023, 5(1), 259-273; https://doi.org/10.3390/cleantechnol5010015 - 16 Feb 2023
Abstract
►▼
Show Figures
Drinking water treatment generates a high amount of pasty by-product known as drinking water treatment sludge (DWTS). The chemical composition, microstructure and rheological behavior of DWTS are of utmost importance in the calculation, design, optimization, commissioning and control of its treatment processes. The
[...] Read more.
Drinking water treatment generates a high amount of pasty by-product known as drinking water treatment sludge (DWTS). The chemical composition, microstructure and rheological behavior of DWTS are of utmost importance in the calculation, design, optimization, commissioning and control of its treatment processes. The purpose of this research was to characterize the DWTS from the drinking water treatment plant of Marrakech (Morocco), aiming to help future researchers and engineers in predicting its hydrodynamic behavior. The first part of this study was devoted to the physical structure and the chemical composition of sludge. The second part was oriented towards the study of the mechanical properties; a penetration test and a rotational rheology test were performed. For the first test, a force–length penetration diagram was plotted in order to calculate the hardness, the cohesiveness and the adhesiveness of DWTS. For the second test, the shear stress and the apparent viscosity were plotted and fitted to five rheological models, as function of the shear rate, aiming to describe the rheological behavior of samples. The obtained results reveal that the drinking water treatment sludge from Marrakech is a porous, amorphous and highly adhesive material, with a shear-thinning (pseudoplastic) rheological behavior that can be described according to the Herschel–Bulkley model (better in low-rate stresses, R² = 0.98) or the Windhad model (better in high shear rates, R² = 0.96) and is mainly composed of silica, aluminum and iron oxides.
Full article

Figure 1
Journal Menu
► ▼ Journal Menu-
- Clean Technol. Home
- Aims & Scope
- Editorial Board
- Reviewer Board
- Topical Advisory Panel
- Instructions for Authors
- Special Issues
- Topics
- Sections & Collections
- Article Processing Charge
- Indexing & Archiving
- Most Cited & Viewed
- Journal Statistics
- Journal History
- Journal Awards
- Conferences
- Editorial Office
Journal Browser
► ▼ Journal BrowserHighly Accessed Articles
Latest Books
E-Mail Alert
News
Topics
Topic in
ChemEngineering, Clean Technol., Energies, Fuels, Applied Sciences
Fuel Combustion Chemistry
Topic Editors: Olivier Mathieu, Eric PetersenDeadline: 31 May 2023
Topic in
C, Clean Technol., Energies, Environments, Sustainability
Low-Carbon Power and Energy Systems
Topic Editors: Hongjun Gao, Ningyi Dai, Xiandong Xu, Yujian Ye, Haifeng Qiu, Shuaijia HeDeadline: 31 October 2023
Topic in
Applied Sciences, Clean Technol., Energies, JMSE, Wind
Advances in Wind Energy Technology
Topic Editors: Galih Bangga, Martin Otto Laver HansenDeadline: 31 December 2023
Topic in
Energies, Processes, Bioengineering, ChemEngineering, Clean Technol.
Chemical and Biochemical Processes for Energy Sources
Topic Editors: Venko N. Beschkov, Konstantin PetrovDeadline: 31 January 2024
Conferences
Special Issues
Special Issue in
Clean Technol.
Transition towards a Circular Economy in the Buildings and Infrastructure Sector
Guest Editors: Dario Cottafava, Zahra Shams Esfandabadi, Laura CorazzaDeadline: 31 May 2023
Special Issue in
Clean Technol.
Recent Advances in Wind Energy
Guest Editor: Davide AstolfiDeadline: 15 June 2023
Special Issue in
Clean Technol.
Decentralised Water Treatment Technologies
Guest Editors: Diganta B. Das, Kashyap Kumar Dubey, Lipika DekaDeadline: 20 June 2023
Special Issue in
Clean Technol.
Membrane Technology in Decentralized Applications
Guest Editor: Patricia LuisDeadline: 21 July 2023
Topical Collections
Topical Collection in
Clean Technol.
Brilliant Young Researchers in Clean Technologies
Collection Editor: Patricia Luis
Topical Collection in
Clean Technol.
Water and Wastewater Treatment Technologies
Collection Editor: Susana Rodriguez-Couto
Topical Collection in
Clean Technol.
Clean Catalytic Technologies
Collection Editor: Dmitry Yu. Murzin




