A Nonlinear-Model-Based High-Bandwidth Current Sensor Design for Switching Current Measurement of Wide Bandgap Devices
Abstract
:1. Introduction
- (1)
 - Bandwidth higher than 50 MHz: WBG devices have a faster switching speed compared with traditional silicon-based devices, which leads to faster rising and falling edges of the current waveform during switching transients. To accurately measure these fast-changing currents, a high-bandwidth current sensor is required. To illustrate this point, the SiC MOSFET SCT3120AL is tested, and the switching transient current is measured as shown in Figure 1. The bandwidth of a waveform is mainly determined by the slew rate as well as any oscillations or resonances that may be present in the signal. To capture the fast-rising time tr 18.8 ns, the minimum required bandwidth can be estimated according to (1) [9,10,28,29,30,31], which is 18.6 MHz, and in practice, it is recommended to have a bandwidth that is three to five times higher than the highest frequency [28,29,30,31] in order to ensure sufficient accuracy and avoid signal distortion, which is 55.85 MHz to 93 MHz. The current oscillation is caused by the output capacitance Coss of SiC devices and power loop inductance Lloop. The oscillating frequency fo can be calculated by (2) [31,32]. Typically, Coss ranges from 50 pF to 200 pF and Lloop is around 100 nH, thus leading to a minimum oscillation frequency of 10 MHz. Therefore, to measure the switching current accurately, the required bandwidth should be above 50 MHz.
 
- (2)
 - Small size suitable for TO-237 package of discrete devices or integration within the power modules: the preference for a smaller size in current sensor design is driven not only by the trend towards high power density in power electronics applications, but also by the growing focus on integration within the power modules or with discrete devices with the TO-237 package [31,33,34,35]. Additionally, in high-frequency operation, the parasitic effects can become significant and cause unintended oscillations and voltage spikes, which can potentially damage the power devices and degrade the overall system performance [35,36]. A smaller current sensor can reduce the effects of parasitic inductance and capacitance in the circuit.
 - (3)
 - Galvanic insulation capability up to 10 kV: with the trend towards a higher operating voltage 10~15 kV for WBG devices [37,38,39], the electrical stress on the power devices and components in the system also increases, which leads to a higher risk of insulation degradation and breakdown. Therefore, galvanic insulation is necessary to provide a barrier between the power side and controller side. This helps to protect against electrical faults and improve the overall safety and reliability of the system.
 - (4)
 - Low cost: for high-power, high-voltage applications in power electronics, a series of converter topologies, including modular multilevel converters (MMCs), cascaded H-bridge converters (CHBs), and neutral-point-clamped (NPC) converters [40,41,42], usually contain more than 50 switch units. To measure the switching current, the same number of current transformers is required, bringing a significant extra cost for the system. Therefore, devising a low-cost current measurement solution is necessary to make the switching current measurement economically feasible.
 
2. Working Principle and Nonlinear Modeling
2.1. Accuracy Issues
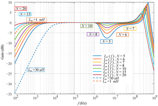
2.2. Nonlinear Modeling Analysis
- Nonlinear feature of magnetizing branch.
 
- Nonlinear behavioral modeling of Lm.
 
- High-frequency response of a current transformer.
 
2.3. Saturation Analysis
3. High-Voltage Insulation Design
3.1. Comparison of Insulation Methods
3.2. Parasitic Effects of Different Insulation Methods
3.3. Optimization of the Insulation Process
4. Experimental Evaluation
4.1. Design Process of the Current Transformer
4.2. Droop Phenomenon Evaluation
4.3. Saturation Phenomenon
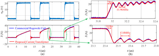
4.4. Bandwidth Evaluation
4.5. Error Evaluation
5. Discussion
6. Conclusions
Author Contributions
Funding
Institutional Review Board Statement
Informed Consent Statement
Data Availability Statement
Acknowledgments
Conflicts of Interest
References
- Han, D.; Noppakunkajorn, J.; Sarlioglu, B. Comprehensive efficiency, weight, and volume comparison of SiC and Si-based bidirectional DC–DC converters for hybrid electric vehicles. IEEE Trans. Veh. Technol. 2014, 63, 3001–3010. [Google Scholar] [CrossRef]
 - Hamada, K.; Nagao, M.; Ajioka, M.; Kawai, F. SiC—Emerging power device technology for next-generation electrically powered environmentally friendly vehicles. IEEE Trans. Electron Devices 2015, 62, 278–285. [Google Scholar] [CrossRef]
 - Lu, J.; Zhu, L.; Liu, G.; Bai, H. Device and system-level transient analysis in a modular designed sub-MW EV fast charging station using hybrid GaN HEMTs + Si MOSFETs. IEEE J. Emerg. Sel. Top. Power Electron. 2019, 7, 143–156. [Google Scholar] [CrossRef]
 - Zeng, J.; Ning, J.; Du, X.; Kim, T.; Yang, Z.; Winstead, V. A four-port DC–DC converter for a standalone wind and solar energy system. IEEE Trans. Ind. Appl. 2020, 56, 446–454. [Google Scholar] [CrossRef]
 - Zeng, J.; Du, X.; Yang, Z. A multiport bidirectional DC–DC converter for hybrid renewable energy system integration. IEEE Trans. Power Electron. 2021, 36, 12281–12291. [Google Scholar] [CrossRef]
 - Bindra, A. Wide-Bandgap-Based Power Devices: Reshaping the power electronics landscape. IEEE Power Electron. Mag. 2015, 2, 42–47. [Google Scholar] [CrossRef]
 - Bosshard, R.; Kolar, J.W. All-SiC 9.5 kW/dm3 on-board power electronics for 50 kW/85 kHz automotive IPT system. IEEE J. Emerg. Sel. Top. Power Electron. 2017, 5, 419–431. [Google Scholar] [CrossRef]
 - Mantooth, H.A.; Glover, M.D.; Shepherd, P. Wide bandgap technologies and their implications on miniaturizing power electronic systems. IEEE Trans. Emerg. Sel. 2014, 2, 374–385. [Google Scholar] [CrossRef]
 - Witcher, J.B. Methodology for Switching Characterization of Power Devices and Modules. Master’s Thesis, Virginia Polytechnic Institute and State University, Blacksburg, VA, USA, 2003. [Google Scholar]
 - Zhen, C. Characterization and Modeling of High-Switching-Speed Behavior of SiC Active Devices. Master’s Thesis, Virginia Polytechnic Institute and State University, Blacksburg, VA, USA, 2009. [Google Scholar]
 - Lautner, J.; Piepenbreier, B. Impact of current measurement on switching characterization of GaN transistors. In Proceedings of the IEEE Workshop on Wide Bandgap Power Devices and Applications (WiPDA), Knoxville, TN, USA, 13–15 October 2014; pp. 98–102. [Google Scholar]
 - Kumar, V.; Reddy, S.; Narayanan, G. Measurement of IGBT switching characteristics and loss using coaxial current transformer. In Proceedings of the 2012 IEEE 5th India International Conference on Power Electronics, Delhi, India, 6–8 December 2012; pp. 1–6. [Google Scholar]
 - Li, H.; Beczkowski, S.; Munk-Nielsen, S.; Lu, K.; Wu, Q. Current measurement method for characterization of fast switching power semiconductors with Silicon Steel Current Transformer. In Proceedings of the 2015 IEEE Applied Power Electronics Conference and Exposition (APEC), Charlotte, NC, USA, 15–19 March 2015. [Google Scholar]
 - Zhang, Z.; Guo, B.; Wang, F.F.; Jones, E.A.; Tolbert, L.M.; Blalock, B.J. Methodology for wide band-gap device dynamic characterization. IEEE Trans. Power Electron. 2017, 32, 9307–9318. [Google Scholar] [CrossRef]
 - Zeng, Z.; Wang, J.; Wang, L.; Yu, Y.; Ou, K. Inaccurate switching loss measurement of SiC MOSFET caused by probes: Modelization, characterization, and validation. IEEE Trans. Instrum. Meas. 2021, 70, 1–14. [Google Scholar] [CrossRef]
 - Awwad, A.E.; Dieckerhoff, S. Short-circuit evaluation and overcurrent protection for SiC power MOSFETs. In Proceedings of the 2015 17th European Conference on Power Electronics and Applications (EPE’15 ECCE-Europe), Geneva, Switzerland, 8–10 September 2015; pp. 1–9. [Google Scholar]
 - Mocevic, S.; Wang, J.; Burgos, R.; Boroyevich, D.; Stancu, C.; Jaksic, M.; Peaslee, B. Comparison between desaturation sensing and Rogowski coil current sensing for short circuit protection of 1.2 kV, 300A SiC MOSFET module. In Proceedings of the 2018 IEEE Applied Power Electronics Conference and Exposition (APEC), San Antonio, TX, USA, 4–8 March 2018; pp. 2666–2672. [Google Scholar]
 - Zhang, W.; Wang, F.; Zhang, Z.; Holzinger, A.B. Fast wide-bandgap device overcurrent protection with direct current measurement. In Proceedings of the 2019 10th International Conference on Power Electronics and ECCE Asia (ICPE 2019—ECCE Asia), Busan, Republic of Korea, 27–30 May 2019; pp. 1–6. [Google Scholar]
 - Bęczkowski, S.; Jørgensen, A.B.; Li, H.; Uhrenfeldt, C.; Dai, X.; Munk-Nielsen, S. Switching current imbalance mitigation in power modules with parallel connected SiC MOSFETs. In Proceedings of the 2017 19th European Conference on Power Electronics and Applications (EPE’17 ECCE Europe), Warsaw, Poland, 11–14 September 2017; pp. 1–8. [Google Scholar]
 - Lu, S.; Deng, X.; Li, S.; Rong, E. A passive transient current balancing method for multiple paralleled SiC-MOSFET half-bridge modules. In Proceedings of the 2019 IEEE Applied Power Electronics Conference and Exposition (APEC), Anaheim, CA, USA, 17–21 March 2019; pp. 349–353. [Google Scholar]
 - Wen, Y.; Yang, Y.; Gao, Y. Active gate driver for improving current sharing performance of paralleled high-power SiC MOSFET modules. IEEE Trans. Power Electron. 2021, 36, 1491–1505. [Google Scholar] [CrossRef]
 - Du, L.; Wei, Y.; Du, X.; Stratta, A.; Saadatizadeh, Z.; Mantooth, H.A. Digital active gate driving system for paralleled SiC MOSFETs with closed-loop current balancing control. In Proceedings of the IEEE Energy Conversion Congress and Exposition (ECCE), Detroit, MI, USA, 9–13 October 2022. [Google Scholar]
 - Wei, Y.; Du, X.; Woldegiorgis, D.; Mantooth, A. Application of an active gate driver for paralleling operation of Si IGBT and SiC MOSFET. In Proceedings of the IEEE 12th Energy Conversion Congress & Exposition—Asia (ECCE-Asia), Singapore, 24–27 May 2021. [Google Scholar]
 - Yuan, X.; Laird, I.; Walder, S. Opportunities, challenges, and potential solutions in the application of fast switching SiC power devices and converters. IEEE Trans. Power Electron. 2021, 36, 3925–3945. [Google Scholar] [CrossRef]
 - Setera, B.; Christou, A. Challenges of overcoming defects in wide bandgap semiconductor power electronics. Electronics 2022, 11, 10. [Google Scholar] [CrossRef]
 - Shillaber, L.; Ran, L.; Shen, Y.; Long, T. Gigahertz current measurement for wide band-gap devices. In Proceedings of the IEEE Energy Conversion Congress and Exposition (ECCE), Detroit, MI, USA, 11–15 October 2020; pp. 2357–2363. [Google Scholar]
 - Xin, Z.; Li, H.; Liu, Q.; Loh, P.C. A review of megahertz current sensors for megahertz power converters. IEEE Trans. Power Electron. 2022, 37, 6720–6738. [Google Scholar] [CrossRef]
 - Ying, D.; Hall, D.A. Current sensing front ends: A review and design guidance. IEEE Sens. J. 2021, 21, 22329–22346. [Google Scholar] [CrossRef]
 - Wang, K.; Yang, X.; Li, H.; Wang, L.; Jain, P. A high bandwidth integrated current measurement for detecting switching current of fast GaN devices. IEEE Trans. Power Electron. 2018, 33, 6199–6210. [Google Scholar] [CrossRef]
 - ABCs of Probes, Tektronix, Inc. 2022. Available online: https://www.tek.com/en/documents/whitepaper/abcs-probes-primer (accessed on 2 May 2023).
 - Yin, S.; Wu, Y.; Dong, M.; Lin, J.; Li, H. Design of current transformer for in Situ current measurement of discrete SiC power devices. IEEE J. Emerg. Sel. Top. Power Electron. 2022, 3, 1077–1086. [Google Scholar] [CrossRef]
 - Chen, J.; Du, X.; Luo, Q.; Zhang, X.; Sun, P.; Zhou, L. A review of switching oscillations of wide bandgap semiconductor devices. IEEE Trans. Power Electron. 2020, 35, 13182–13199. [Google Scholar] [CrossRef]
 - Stippich, A. Exploiting the Full Potential of Silicon Carbide Devices via Optimized Highly Integrated Power Modules. Ph.D. Thesis, RWTH Aachen University, Aachen, Germany, 2021. [Google Scholar]
 - Funk, T.; Groeger, J.; Wicht, B. An integrated and galvanically isolated DC-to-15.3 MHz hybrid current sensor. In Proceedings of the IEEE Applied Power Electronics Conference and Exposition (APEC), Anaheim, CA, USA, 17–21 March 2019; pp. 1010–1013. [Google Scholar]
 - Wang, J.; Shen, Z.; Burgos, R.; Boroyevich, D. Integrated switch current sensor for short-circuit protection and current control of 1.7-kV SiC MOSFET modules. In Proceedings of the IEEE Energy Conversion Congress and Exposition (ECCE), Milwaukee, WI, USA, 18–22 September 2016; pp. 1–7. [Google Scholar]
 - Gong, X.; Ferreira, J.A. Investigation of conducted EMI in SiC JFET inverters using separated heat sinks. IEEE Trans. Ind. Electron. 2014, 61, 115–125. [Google Scholar] [CrossRef]
 - Casady, J.B.; Van Brunt, E.; Wang, G.-Y.; Richmond, J.; Allen, S.T.; Grider, D. New generation 10 kV SiC power MOSFET and diodes for industrial applications. In Proceedings of the PCIM Europe 2015; International Exhibition and Conference for Power Electronics, Intelligent Motion, Renewable Energy and Energy Management, Nuremberg, Germany, 19–20 May 2015. [Google Scholar]
 - Zhang, X.; Li, H.; Brothers, J.A.; Wang, J.; Fu, L.; Perales, M.; Wu, J. A 15 kVSiCMOSFET gate drive with power over fiber, based isolated power supply and comprehensive protection functions. In Proceedings of the IEEE Applied Power Electronics Conference and Exposition (APEC), Long Beach, CA, USA, 20–24 March 2016; pp. 1967–1973. [Google Scholar]
 - Mouawad, B.; Skuriat, R.; Li, J.; Johnson, C.M.; DiMarino, C. Development of a highly integrated 10 kV SiC MOSFET power module with a direct jet impingement cooling system. In Proceedings of the IEEE 30th International Symposium on Power Semiconductor Devices and ICs (ISPSD), Chicago, IL, USA, 13–17 May 2018; pp. 256–259. [Google Scholar]
 - Dekka, A.; Wu, B.; Fuentes, R.L.; Perez, M.; Zargari, N.R. Evolution of topologies, modeling, control schemes, and applications of modular multilevel monverters. IEEE J. Emerg. Sel. Top. Power Electron. 2017, 5, 1631–1656. [Google Scholar] [CrossRef]
 - Peng, W.; Ni, Q.; Qiu, X.; Ye, Y. Seven-level inverter with self-balanced switched-capacitor and its cascaded extension. IEEE Trans. Power Electron. 2019, 34, 11889–11896. [Google Scholar] [CrossRef]
 - Rodriguez, J.; Bernet, S.; Steimer, P.K.; Lizama, I.E. A survey on neutral-point-clamped inverters. IEEE Trans. Ind. Appl. 2010, 57, 2219–2230. [Google Scholar] [CrossRef]
 - Wide-Band Current Transformers from Pearson Electronics, Model 7713-03. Available online: https://www.pearsonelectronics.com/products/custom-current-monitors#thin (accessed on 2 May 2023).
 - Differential Current Sensing with the 1 MHz Bandwidth ACS733. Available online: https://www.allegromicro.com/en/insights-and-innovations/technical-documents/hall-effect-sensor-ic-publications/an296154-differential-current-sensing (accessed on 2 May 2023).
 - T&M Research. Series SDN-414 Current Viewing Resistors Description and Specification. 2015. Available online: https://www.tandmresearch.com (accessed on 2 May 2023).
 - Zhang, W.; Zhang, Z.; Wang, F.; Brush, E.V.; Forcier, N. High-bandwidth low-inductance current shunt for wide-bandgap devices dynamic characterization. IEEE Trans. Power Electron. 2021, 36, 4522–4531. [Google Scholar] [CrossRef]
 - CWT Mini50HF. 2020. Available online: http://www.pemuk.com/products/cwt-current-probe/cwtmini50hf.aspx (accessed on 2 May 2023).
 - Rothmund, D.; Bortis, D.; Kolar, J.W. Highly compact isolated gate driver with ultrafast overcurrent protection for 10 kV SiC MOSFETs. CPSS Trans. Power Electron. Appl. 2018, 3, 278–291. [Google Scholar] [CrossRef]
 - Chojowski, M.; Baszyński, M.; Sosnowski, R.; Dziadecki, A. High-Frequency current transformers cascade for power electronics measurements. Sensors 2022, 22, 5846. [Google Scholar] [CrossRef]
 - Fritsch, M.; Wolter, M. High-Frequency current transformer design and construction guide. IEEE Trans. Instrum. Meas. 2022, 71, 1–9. [Google Scholar] [CrossRef]
 - Zhang, B.; Ghassemi, M.; Zhang, Y. Insulation materials and systems for power electronics modules: A review identifying challenges and future research needs. IEEE Trans. Dielectr. Electr. Insul. 2021, 28, 290–302. [Google Scholar] [CrossRef]
 - The Classification and Use of Rubber Insulated Wire and Cable. Available online: https://m.zmscable.com/new/The-classification-and-use-of-Rubber-insulated-wire-and-cable (accessed on 2 May 2023).
 - Kapton® Tape Applications. Available online: https://www.dunmore.com/products/polyimide-tape.html (accessed on 2 May 2023).
 - Chen, Y.; Du, X.; Du, L.; Du, X.; Zhao, Y.; Mantooth, H.A. 3.3kV low-inductance half-bridge full SiC power module. In Proceedings of the 2023 IEEE Applied Power Electronics Conference and Exposition (APEC), Orlando, FL, USA, 19–23 March 2023. [Google Scholar]
 - High Performance Casting, Embedding and Encapsulating Compounds DURAPOT™ EPOXIES for Electronic Applications. Available online: https://www.cotronics.com/catalog/20-21%20%20860%20Series.pdf (accessed on 2 May 2023).
 - Solutions for the Semiconductor and Power Electronics Industries. Available online: https://www.wacker.com/h/medias/6883-EN.pdf (accessed on 2 May 2023).
 - Durometer Shore Hardness Scale. Available online: https://www.smooth-on.com/page/durometer-shore-hardness-scale/ (accessed on 2 May 2023).
 - Grandi, G.; Kazimierczuk, M.K.; Massarini, A.; Reggiani, U. Stray capacitances of single-layer air-core inductors for high-frequency applications. In Proceedings of the IEEE Industry Applications Conference Thirty-First IAS Annual Meeting, San Diego, CA, USA, 6–10 October 1996. [Google Scholar]
 






















| Enameled Wires or Rubber Insulated Wire | Kapton Tape [53] | Encapsulation | ||
|---|---|---|---|---|
| Epoxy Resin [55] | Silicone Gel [56] | |||
| Electrical Insulation Dielectric Strength (v/mil)  | ★ 1 (200–500)  | ★★★ (7k)  | ★★ (500)  | ★★ (500)  | 
| Mechanical Robustness Hardness (Shore) [57]  | ★★ (Shore 00–60)  | ★★ -  | ★★★ (Shore D-80)  | ★ (Shore 00–35)  | 
| Temperature Withstand Operation Temp. (°C)  | ★★ (240/105)  | ★★★ (−20 to 350)  | ★★★ (−50 to 315)  | ★★ (−50 to 210)  | 
| Flexibility (Small-gap filling)  | ★ | ★★ | ★★★ | ★★★ | 
| Enameled Wires or Rubber Insulated Wire | Kapton Tape | Encapsulation | ||
|---|---|---|---|---|
| Epoxy Resin | Silicone Gel | |||
| r | 0.4 mm | 0.4 mm | 0.4 mm | 0.4 mm | 
| t | 0.5 mm | 1 mm | 5.4 mm | 5.4 mm | 
| ε0 | 8.854 × 10−12 F/m | |||
| εr | 3 | 3.3 | 4.15 | 2.9 | 
| p | 5.4 mm | |||
| Ceq | 1.37 × 10−11 | 1.68 × 10−11 | 1.12 × 10−11 | 1.26 × 10−11 | 
| Diode Type | Reverse Recovery Time (trr) | Peak Reverse Voltage (Vr) | Forward Current (If) | Product Number | 
|---|---|---|---|---|
| Ultra-fast | 25 ns | 50 V | 3 A | ES3AB-13-F | 
| Fast | 150 ns | 50 V | 3 A | RS3AB-13-F | 
| Slow | 2.5 μs | 50 V | 3 A | S3A-E3/57T | 
| Reference | Bandwidth | Estimated Cost | Insulation | Size (mm) | 
|---|---|---|---|---|
| Commercial products | ||||
| Hall effect sensor [43] | 1 MHz | $10 | Yes | / | 
| Coaxial current shunt [44] | 2 GHz | $290 | No | / | 
| Rogowski coil [46] | 50 MHz | $1800 | 2 kV | 100 mm circumference coil | 
| Current transformer [47] | 250 MHz | $800 | Yes | 34.8 × 20 × 9 | 
| Research work in literature | ||||
| Current transformer cascaded with current probe [31] | 60 MHz | $5200 | Yes | 200 (L) × 16 (W) × 32 (H) | 
| Current transformer cascaded with commercial current transformer [13] | / | $700 | Yes | 38.6 × 12.7 × 16.3 | 
| Two current transformers cascaded [49] | 70 MHz | / | Yes | 27 × 20 × 17 | 
| Proposed current transformer | ||||
| / | 100 MHz | $20 | >5 kV | 22 × 14 × 6 | 
Disclaimer/Publisher’s Note: The statements, opinions and data contained in all publications are solely those of the individual author(s) and contributor(s) and not of MDPI and/or the editor(s). MDPI and/or the editor(s) disclaim responsibility for any injury to people or property resulting from any ideas, methods, instructions or products referred to in the content.  | 
© 2023 by the authors. Licensee MDPI, Basel, Switzerland. This article is an open access article distributed under the terms and conditions of the Creative Commons Attribution (CC BY) license (https://creativecommons.org/licenses/by/4.0/).
Share and Cite
Du, X.; Du, L.; Chen, Y.; Wei, Y.; Stratta, A.; Mantooth, H.A. A Nonlinear-Model-Based High-Bandwidth Current Sensor Design for Switching Current Measurement of Wide Bandgap Devices. Sensors 2023, 23, 4626. https://doi.org/10.3390/s23104626
Du X, Du L, Chen Y, Wei Y, Stratta A, Mantooth HA. A Nonlinear-Model-Based High-Bandwidth Current Sensor Design for Switching Current Measurement of Wide Bandgap Devices. Sensors. 2023; 23(10):4626. https://doi.org/10.3390/s23104626
Chicago/Turabian StyleDu, Xia, Liyang Du, Yuxiang Chen, Yuqi Wei, Andrea Stratta, and Homer Alan Mantooth. 2023. "A Nonlinear-Model-Based High-Bandwidth Current Sensor Design for Switching Current Measurement of Wide Bandgap Devices" Sensors 23, no. 10: 4626. https://doi.org/10.3390/s23104626
APA StyleDu, X., Du, L., Chen, Y., Wei, Y., Stratta, A., & Mantooth, H. A. (2023). A Nonlinear-Model-Based High-Bandwidth Current Sensor Design for Switching Current Measurement of Wide Bandgap Devices. Sensors, 23(10), 4626. https://doi.org/10.3390/s23104626
        
