Sign in to use this feature.

Years

Between: -

Subjects

remove_circle_outline
remove_circle_outline
remove_circle_outline
remove_circle_outline
remove_circle_outline
remove_circle_outline
remove_circle_outline
remove_circle_outline
remove_circle_outline

Journals

remove_circle_outline
remove_circle_outline
remove_circle_outline
remove_circle_outline
remove_circle_outline
remove_circle_outline
remove_circle_outline
remove_circle_outline
remove_circle_outline
remove_circle_outline

Article Types

Countries / Regions

remove_circle_outline
remove_circle_outline
remove_circle_outline
remove_circle_outline
remove_circle_outline

Search Results (1,028)

Search Parameters:
Keywords = tolerance engineering

Order results
Result details
Results per page
Select all
Export citation of selected articles as:
22 pages, 1218 KB  
Review
Integrating Drought Stress Signaling and Smart Breeding for Climate-Resilient Crops: Regulatory Mechanisms and Genetic Strategies
by Mingyu Wang, Yuwei Zhao, Yaqian Huang and Jun Liu
Plants 2025, 14(24), 3714; https://doi.org/10.3390/plants14243714 - 5 Dec 2025
Abstract
The escalating frequency and severity of drought events pose significant threats to agricultural productivity and food security. Drought stress not only restricts crop growth and yields but also destabilizes agricultural ecosystems. Over evolutionary timescales, plants have developed intricate adaptive strategies, encompassing drought escape [...] Read more.
The escalating frequency and severity of drought events pose significant threats to agricultural productivity and food security. Drought stress not only restricts crop growth and yields but also destabilizes agricultural ecosystems. Over evolutionary timescales, plants have developed intricate adaptive strategies, encompassing drought escape (accelerated phenology), avoidance (water-conserving morphology) and tolerance (cellular protection), which involve complex biological mechanisms spanning molecular signaling, metabolic reprogramming and organ morphological remodeling. To mitigate drought risks, breeding drought-tolerant and water-efficient crops is imperative. Currently, drought resistance breeding is undergoing a paradigm shift, transitioning from traditional phenotypic selection toward genomics-assisted selection, molecular design and artificial intelligence (AI)-driven predictive modeling. This review provides a comprehensive analysis of drought stress response mechanisms in crops, integrating three key dimensions: physiological/biochemical adaptations, hormonal signaling networks and morphological/structural modifications. Furthermore, it critically evaluates recent advances in genetic improvement approaches for drought resistance, such as marker-assisted selection, transgenic technology and gene editing. It also explores the integration of multi-omics data and AI to enhance precision molecular breeding and overcome the inherent trade-off between drought resistance and yield potential. By synthesizing advancements in molecular breeding and smart agriculture, this work provides a roadmap for developing climate-resilient crops optimized through synergistic trait engineering and intelligent environmental sensing. Full article
Show Figures

Figure 1

22 pages, 4293 KB  
Article
Immobilized Sinirhodobacter sp. 1C5-22 for Multi-Metal Bioremediation: Molecular Resistance Mechanisms and Operational Validation in Industrial Wastewater Systems
by Yue Qiao, Xiaojun Huang, Si Chen, Zuye Zhang, Ying Xu, Xiaorui Zhang, Runmei Jia, Song Zhang, Wenting Lin, Xian Jiao, Huirong Chen, Zhipeng Guo, Xiao Ye, Zefeng Wu and Zhongmei Lin
Water 2025, 17(24), 3450; https://doi.org/10.3390/w17243450 - 5 Dec 2025
Viewed by 85
Abstract
A novel heavy metal-resistant bacterium with significant bioremediation capabilities, Sinirhodobacter sp. 1C5-22 was isolated from moderately polluted Shenzhen Futian mangrove rhizosphere sediments. This strain showed exceptional tolerance (MIC ≥ 600 mg/L for Cu/Zn; > 500 mg/L for Ni). Analyses revealed distinct metal-specific distribution [...] Read more.
A novel heavy metal-resistant bacterium with significant bioremediation capabilities, Sinirhodobacter sp. 1C5-22 was isolated from moderately polluted Shenzhen Futian mangrove rhizosphere sediments. This strain showed exceptional tolerance (MIC ≥ 600 mg/L for Cu/Zn; > 500 mg/L for Ni). Analyses revealed distinct metal-specific distribution strategies: Cd and Ni were predominantly bound extracellularly (>80%); Cu was bound intracellularly (~60%); and Zn exhibited balanced partitioning. Integrated omics analysis identified a molecular defense mechanism coordinated by the CreB transcriptional regulator. This Adsorption–Sequestration–Efflux (ASE) system integrates extracellular polymer binding, periplasmic sequestration via stable metal-binding proteins, and efflux pump activity, resolving the apparent adsorption-tolerance paradox at elevated concentrations. For bioremediation applications, we developed a polyvinyl alcohol–sodium alginate immobilized consortium (PVA-SA 1C5-22). The engineered agent displayed significantly enhanced biosorption capacity compared to free cells and effectively mitigated heavy metal-induced oxidative damage, evidenced by stabilized malondialdehyde levels. It demonstrated robust reusability, maintaining high metal enrichment across five adsorption–desorption cycles in multi-metal wastewater with efficient HCl-driven desorption (55–70%). Critically, it achieved stable nickel removal performance (~20% adsorption, >50% desorption) from authentic electroplating wastewater (1850 mg/L Ni2+) through successive multiple cycles. Our integrated approach bridges microbial ecology and environmental biotechnology, establishing this immobilized system as a highly sustainable strategy for complex industrial effluent remediation. Full article
Show Figures

Figure 1

12 pages, 1547 KB  
Article
Rational Designing and Stepwise Cascade for Efficient Biosynthesis of Raspberry Ketone
by Yang Yang, Kangkang Shang, Xiaorui Gao, Xingmiao Zhu, Mengying Ling, Pu Zheng, Shichao Xu and Pengcheng Chen
Catalysts 2025, 15(12), 1148; https://doi.org/10.3390/catal15121148 - 5 Dec 2025
Viewed by 91
Abstract
Raspberry ketone (RK) is the primary aromatic compound in raspberry fruit, which is widely utilized in perfume, cosmetics, and food additive industries. Currently, RK is predominantly produced chemically. RK biosynthesis through enzyme or whole cell has garnered significant attention due to the mild [...] Read more.
Raspberry ketone (RK) is the primary aromatic compound in raspberry fruit, which is widely utilized in perfume, cosmetics, and food additive industries. Currently, RK is predominantly produced chemically. RK biosynthesis through enzyme or whole cell has garnered significant attention due to the mild reaction conditions and the process being regarded as ‘natural’. This study proposed a ‘dual-microorganism, two-phase’ stepwise cascade strategy to produce RK from an economical precursor, 4-hydroxybenzaldehyde (4-HBD). An acetone-tolerant deoxyribose-phosphate aldolase DERAEc (S238D) mutant was obtained through a site-specific rigidification strategy for converting 4-HBD to 4-hydroxybenzylaceton (4-HBA). Then, an engineered E. coli co-expressing isocitrate dehydrogenase and raspberry ketone synthase RiRZS1 with a citrate-sodium citrate buffer to recycle nicotinamide adenine dinucleotide phosphate (NADPH) was constructed for the conversion of 4-HBA to RK. The final concentration of RK was 50.00 ± 1.92 mmol·L−1 with a yield of 86.96%. This strategy provides a scalable coenzyme self-recycling and two-phase catalysis platform for high-value phenolic compounds. Full article
(This article belongs to the Section Biocatalysis)
Show Figures

Graphical abstract

26 pages, 2563 KB  
Review
Advances in Strategies for In Vivo Directed Evolution of Targeted Functional Genes
by Hantong Wu, Lang Yin, Jingwen Chen, Xin Wang and Kequan Chen
Catalysts 2025, 15(12), 1127; https://doi.org/10.3390/catal15121127 - 2 Dec 2025
Viewed by 285
Abstract
Enzymes are indispensable in fields such as biotechnology, medicine, and industrial manufacturing due to their high catalytic specificity and efficiency under mild conditions. However, their natural versions often suffer from limitations, including low activity toward non-natural substrates, poor stability under extreme conditions, and [...] Read more.
Enzymes are indispensable in fields such as biotechnology, medicine, and industrial manufacturing due to their high catalytic specificity and efficiency under mild conditions. However, their natural versions often suffer from limitations, including low activity toward non-natural substrates, poor stability under extreme conditions, and narrow substrate spectra. Directed evolution, a key protein engineering strategy that optimizes protein function via genetic diversity introduction and directed selection, has become the primary solution to these limitations. Among its mature methodological systems, in vivo evolution platforms (advanced by synthetic biology) are particularly efficient, as they integrate in-cell mutation, translation, selection, and replication into an automated process, significantly improving experimental efficiency. This review will focus on two core strategies that enhance these platforms: in vivo targeted gene hypermutation and heterologous polymerase-mediated targeted hypermutation. These techniques enable the rapid optimization of enzymes to acquire novel functions, as well as the comprehensive engineering of microbial strains to enhance their performance and stress tolerance. Analyzing these strategies provides a robust technical framework for enzyme engineering and promises to drive future innovations across multiple fields. Full article
Show Figures

Figure 1

25 pages, 3421 KB  
Review
Functional Genetic Frontiers in Plant ABC Transporters: Avenues Toward Cadmium Management
by Deyvid Novaes Marques and Chase M. Mason
Int. J. Mol. Sci. 2025, 26(23), 11662; https://doi.org/10.3390/ijms262311662 - 2 Dec 2025
Viewed by 119
Abstract
Cadmium (Cd) is a pervasive and highly toxic heavy metal that severely threatens environmental integrity, agricultural systems, plant metabolism, ecosystem health, and human food safety. Plants have evolved intricate detoxification mechanisms aimed at mitigating heavy metal toxicity, in which ATP-binding cassette (ABC) transporters [...] Read more.
Cadmium (Cd) is a pervasive and highly toxic heavy metal that severely threatens environmental integrity, agricultural systems, plant metabolism, ecosystem health, and human food safety. Plants have evolved intricate detoxification mechanisms aimed at mitigating heavy metal toxicity, in which ATP-binding cassette (ABC) transporters play pivotal roles. This article contextualizes findings on the functional genetic manipulation of plant ABC transporters in Cd-exposed species, integrating evidence from model plants, crops, and transgenic systems. Key insights reveal how these transporters contribute to Cd distribution through multiple cellular and physiological pathways. We highlight the contribution of ABC transporters both in modulating Cd accumulation in plant tissues for food safety considerations and in regulating Cd-related parameters relevant to environmental cleanup and phytoremediation. Functional studies in different plant species demonstrate differential outcomes depending on transporter specificity and regulatory context. Cross-kingdom engineering further expands the biotechnological toolkit for Cd mitigation. Additionally, we performed a bibliometric analysis that underscores research trends linking ABC transporters with genetic manipulation strategies. The body of evidence highlights the perspective that precise modulation of ABC transporters—through strategies such as multi-gene engineering, tissue-specific expression, or fine-tuned regulatory approaches—offers a promising yet complex route to reconcile scientific and applied Cd management strategies. Full article
Show Figures

Figure 1

23 pages, 3208 KB  
Review
Artificial Intelligence in the Design and Optimization of Laminated FRP Composites: A Review of Methodologies and Applications
by Alaa Elsisi, Said Abdel-Monsef and Hani Salim
J. Compos. Sci. 2025, 9(12), 654; https://doi.org/10.3390/jcs9120654 - 1 Dec 2025
Viewed by 255
Abstract
The growing adoption of laminated fiber-reinforced polymer (FRP) composites in aerospace, automotive, and civil engineering demands advanced design methodologies capable of navigating their complex anisotropic behavior. While traditional design approaches rely heavily on iterative simulations and classical optimization, recent advances in artificial intelligence [...] Read more.
The growing adoption of laminated fiber-reinforced polymer (FRP) composites in aerospace, automotive, and civil engineering demands advanced design methodologies capable of navigating their complex anisotropic behavior. While traditional design approaches rely heavily on iterative simulations and classical optimization, recent advances in artificial intelligence (AI) offer a transformative alternative. This review systematically examines the expanding role of AI in composite design and optimization—highlighting a critical transition from physics-based modeling to data-driven, intelligent frameworks. This paper emphasizes emerging AI paradigms not yet widely covered in the composite literature, including Explainable AI (XAI) for interpretable decision-making and Large Language Models (LLMs) for automating design synthesis and knowledge retrieval. Key findings demonstrate AI’s capacity to efficiently optimize stacking sequences, ply orientations, and manufacturing parameters while satisfying multi-objective constraints such as weight, stiffness, and damage tolerance. Furthermore, we explore AI’s integration across the composite lifecycle—from surrogate-assisted finite element analysis and uncertainty-aware design allowables to in-service structural health monitoring. By bridging the gap between computational intelligence and industrial practicability, this review underscores AI’s potential not as a supplementary tool, but as a foundational technology poised to redefine next-generation composite engineering. Full article
(This article belongs to the Special Issue Carbon Fiber Composites, 4th Edition)
Show Figures

Figure 1

28 pages, 3050 KB  
Review
Safety Engineering for Humanoid Robots in Everyday Life—Scoping Review
by Dávid Kóczi and József Sárosi
Electronics 2025, 14(23), 4734; https://doi.org/10.3390/electronics14234734 - 1 Dec 2025
Viewed by 379
Abstract
As humanoid robots move from controlled industrial environments into everyday human life, their safe integration is essential for societal acceptance and effective human–robot interaction (HRI). This scoping review examines engineering safety frameworks for humanoid robots across four core domains: (1) physical safety in [...] Read more.
As humanoid robots move from controlled industrial environments into everyday human life, their safe integration is essential for societal acceptance and effective human–robot interaction (HRI). This scoping review examines engineering safety frameworks for humanoid robots across four core domains: (1) physical safety in HRI, (2) cybersecurity and software robustness, (3) safety standards and regulatory frameworks, and (4) ethical and societal implications. In the area of physical safety, recent research trends emphasize proactive, multimodal perception-based collision avoidance, the use of compliance mechanisms, and fault-tolerant control to handle hardware failures and falls. In cybersecurity and software robustness, studies increasingly address the full threat landscape, secure real-time communication, and reliability of artificial intelligence (AI)-based control. The analysis of standards and regulations reveals a lag between technological advances and the adaptation of key safety standards in current research. Ethical and societal studies show that safety is also shaped by user trust, perceived safety, and data protection. Within the corpus of 121 peer-reviewed studies published between 2021 and 2025 and included in this review, most work concentrates on physical safety, while cybersecurity, standardization, and socio-ethical aspects are addressed less frequently. These gaps point to the need for more integrated, cross-domain approaches to safety engineering for humanoid robots. Full article
Show Figures

Figure 1

21 pages, 3330 KB  
Article
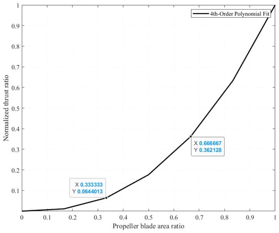
Fault-Tolerant Hovering Control for an ROV Using a Diagnosis-Based Thrust Reallocation Strategy
by Jung Hyeun Park, Mun-Jik Lee, Min-Gyu Kim, Ji-Hong Li, Dongwook Jung and Hyeung-Sik Choi
J. Mar. Sci. Eng. 2025, 13(12), 2266; https://doi.org/10.3390/jmse13122266 - 28 Nov 2025
Viewed by 123
Abstract
This study proposes an integrated Fault Diagnosis (FDD) and Fault-Tolerant Control (FTC) framework aimed at enhancing the operational stability of Remotely Operated Vehicles (ROVs) by addressing thruster faults that compromise mission safety. The proposed methodology utilizes a data-driven FDD system, based on the [...] Read more.
This study proposes an integrated Fault Diagnosis (FDD) and Fault-Tolerant Control (FTC) framework aimed at enhancing the operational stability of Remotely Operated Vehicles (ROVs) by addressing thruster faults that compromise mission safety. The proposed methodology utilizes a data-driven FDD system, based on the Density-Based Spatial Clustering of Applications with Noise (DBSCAN) algorithm, to identify propeller breakage and entanglement faults from thruster current and Revolutions Per Minute (RPM) data. Based on the diagnostic results, an adaptive FTC strategy is activated, applying a ‘Thrust Compensation’ model for breakage faults and an ‘Exclusion and Reallocation’ approach for entanglement faults. The performance of the framework was validated through experiments in an engineering water tank, where results demonstrated a significant improvement in the ROV’s hovering stability and control accuracy under fault conditions. The system successfully restored thrust balance during breakage scenarios and maintained a stable attitude after excluding an entangled thruster. Consequently, the proposed adaptive FDD-FTC framework provides an effective solution for enhancing the operational reliability and safety of ROVs. Full article
(This article belongs to the Section Ocean Engineering)
Show Figures

Figure 1

25 pages, 5018 KB  
Review
Antimicrobial Activity Versus Virulence Potential of Hyaluronic Acid: Balancing Advantages and Disadvantages
by Kamila Korzekwa, Kamil Sobolewski, Miriam Wiciejowska and Daria Augustyniak
Int. J. Mol. Sci. 2025, 26(23), 11549; https://doi.org/10.3390/ijms262311549 - 28 Nov 2025
Viewed by 394
Abstract
Hyaluronic acid (HA) is a ubiquitous glycosaminoglycan essential for maintaining tissue hydration, structural integrity, and immunological homeostasis in vertebrates. Although traditionally regarded as a host-derived molecule, HA is also produced by a range of microorganisms, most notably Streptococcus spp., through specialized hyaluronan synthases [...] Read more.
Hyaluronic acid (HA) is a ubiquitous glycosaminoglycan essential for maintaining tissue hydration, structural integrity, and immunological homeostasis in vertebrates. Although traditionally regarded as a host-derived molecule, HA is also produced by a range of microorganisms, most notably Streptococcus spp., through specialized hyaluronan synthases (HAS). Microbial HA and host-derived HA fragments play key roles not only in tissue physiology but also in infection biology, influencing microbial virulence, biofilm formation, and immune evasion. In bacteria, HA-rich capsules promote adhesion, shield pathogens from complement-mediated opsonization and phagocytosis, and facilitate dissemination through host tissues. Conversely, HA-degrading enzymes and reactive oxygen species generate low-molecular-weight HA fragments that amplify inflammation by activating—toll-like receptor 2 (TLR2)/toll-like receptor 4 (TLR4) signaling, contributing to chronic inflammatory states. Furthermore, microbial HA modulates biofilm organization in both bacterial and fungal pathogens, enhancing persistence and antimicrobial tolerance. Clinically, widespread use of HA-based dermal fillers has generated increasing concern over delayed biofilm-associated infections, diagnostic challenges, and complications arising from microbial contamination and host–microbe interactions. Recent advances in HA engineering, including anti-microbial HA conjugates and receptor-targeted biomaterials, offer promising strategies to mitigate infection risk while expanding therapeutic applications. This review synthesizes current knowledge on HA biosynthesis across biological kingdoms, its dualistic role in health and disease, and its emerging relevance at the interface of microbiology, immunology, and biomedical applications. Full article
Show Figures

Figure 1

26 pages, 8086 KB  
Article
Engineering Saccharomyces cerevisiae to Enhance Fatty Acid Production via Formate Electrolytes
by Yu Hou, Yubo Wang, Tianpeng Ma, Shuobo Shi, Zheng Wang, Chun Shen, Yunming Fang, Fenghui Ye and Zihe Liu
Fermentation 2025, 11(12), 664; https://doi.org/10.3390/fermentation11120664 - 27 Nov 2025
Viewed by 501
Abstract
Fossil fuel overuse drives excessive CO2 emissions, exacerbating environmental degradation and climate change. Coupling electrochemistry with microbial fermentation provides a promising route to convert CO2 into fuels and chemicals. However, microbial electrolytic solution tolerance remains a critical bottleneck, as observed in [...] Read more.
Fossil fuel overuse drives excessive CO2 emissions, exacerbating environmental degradation and climate change. Coupling electrochemistry with microbial fermentation provides a promising route to convert CO2 into fuels and chemicals. However, microbial electrolytic solution tolerance remains a critical bottleneck, as observed in model organisms like Saccharomyces cerevisiae (S. cerevisiae). To address this, we engineered S. cerevisiae to utilize electrochemically derived formate, thereby boosting free fatty acids (FFAs) production. By optimizing culture conditions and heterologously expressing formate dehydrogenase (FDH), we improved formate assimilation efficiency. Additionally, we introduced stress-resistant genes for a better electrolytic solution tolerance to sustain growth and FFAs synthesis under harsh electrolytic conditions (e.g., high formate/salt ion concentrations), eliminating the need to separate formate from the electrolyte post-electrolysis. In the presence of 4 g/L formate electrolytic medium, the engineered strain YB061 achieved a 41.9% increase in biomass and a formate conversion rate exceeding 97.0%. Compared to the parental strain, YB061 enhanced FFAs production by 92.8% by utilizing formate-containing electrolytes, demonstrating great potential for bio-electrochemical manufacturing. However, further work is needed to improve yeast tolerance to high formate concentrations and to enable direct coupling of CO2 electroreduction with microbial cultivation. Full article
(This article belongs to the Special Issue Yeast Fermentation, 2nd Edition)
Show Figures

Figure 1

12 pages, 3177 KB  
Article
High-Precision Centroid Measurement Method Based on 3D Scanning and Hooke’s Law
by Xin He, Zhen Li, Xin Pan and Yong Yang
Sensors 2025, 25(23), 7210; https://doi.org/10.3390/s25237210 - 26 Nov 2025
Viewed by 307
Abstract
The accurate determination of an object’s centroid is a critical requirement in fields such as aerospace engineering and advanced manufacturing, where it is essential for quality control and system performance. Traditional methods, such as multi-point weighing, are often limited by restricted measurement ranges, [...] Read more.
The accurate determination of an object’s centroid is a critical requirement in fields such as aerospace engineering and advanced manufacturing, where it is essential for quality control and system performance. Traditional methods, such as multi-point weighing, are often limited by restricted measurement ranges, inaccuracies from mechanical alignment tolerances, and susceptibility to lateral force interference from uneven platforms, which collectively constrain measurement precision. To address these challenges, a novel measurement framework is proposed that synergizes high-precision 3D scanning with Hooke’s law-based mechanical sensing. This methodology eliminates dependencies on mechanical positioning and offers enhanced compatibility with various object geometries through its non-contact 3D scanning. The system also integrates linear spring-based force transduction for enhanced load adaptability and incorporates active anti-tilt compensation using 3D scanning and motor leveling. Experimental validation demonstrated sub-millimeter accuracy compared to the multi-point weighing method, with measured centroid deviations of 0.01 mm (X-axis), 0.06 mm (Y-axis), and 0.03 mm (Z-axis), achieving a composite spatial precision of 0.07 mm. This methodological innovation not only expands the operational envelope of centroid measurement systems but also provides new theoretical insights and a robust methodology for measuring complex parts and systems. Full article
(This article belongs to the Special Issue Artificial Intelligence and Sensing Technology in Smart Manufacturing)
Show Figures

Figure 1

18 pages, 3757 KB  
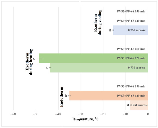
Article
Alginate Hydrogel with Pluronic F-68 Enhances Cryopreservation Efficiency in Peach Germplasm
by Olena Bobrova, Milos Faltus, Viktor Husak, Jiri Zamecnik, Barbora Tunklova, Stanislav Narozhnyi and Alois Bilavcik
Gels 2025, 11(12), 947; https://doi.org/10.3390/gels11120947 - 25 Nov 2025
Viewed by 371
Abstract
The long-term conservation of Prunus persica (peach), a crop of significant agronomic and genetic value, remains challenging due to its recalcitrance to conventional cryopreservation methods. Low tolerance to dehydration and cryoprotectant toxicity often results in poor survival and regrowth, thereby limiting the reliability [...] Read more.
The long-term conservation of Prunus persica (peach), a crop of significant agronomic and genetic value, remains challenging due to its recalcitrance to conventional cryopreservation methods. Low tolerance to dehydration and cryoprotectant toxicity often results in poor survival and regrowth, thereby limiting the reliability of germplasm storage. This study evaluated whether combining an alginate hydrogel matrix with Pluronic F-68 improves vitrification efficiency and post-thaw regeneration of peach shoot tips by enhancing dehydration dynamics and reducing cryo-injury. Shoot tips were immobilized in thin sodium alginate layers on aluminum foil strips, with the hydrogel providing mechanical stabilization and moderating water loss during exposure to PVS3 and subsequent liquid nitrogen immersion. To further mitigate cryoinjury, Pluronic F-68, a non-ionic surfactant with membrane-stabilizing properties, was incorporated into the system. Differential scanning calorimetry revealed that the hydrogel reached complete vitrification after 120 min in PVS3, whereas encapsulated shoot tips required 150 min for full suppression of crystallization. The optimized system achieved 71% post-cryopreservation survival and 40% regrowth, compared with 25% and 9% in non-encapsulated controls. PF-68 accelerated vitrification kinetics, lowered crystallization enthalpies, and improved post-thaw viability. These findings demonstrate that engineered hydrogel–surfactant matrices can stabilize the microenvironment during vitrification and offer a promising approach for the long-term cryopreservation of peach germplasm. Full article
(This article belongs to the Section Gel Chemistry and Physics)
Show Figures

Graphical abstract

16 pages, 850 KB  
Review
Strategies for Protecting Cereals and Other Utility Plants Against Cold and Freezing Conditions—A Mini-Review
by Julia Stachurska and Anna Maksymowicz
Agriculture 2025, 15(23), 2407; https://doi.org/10.3390/agriculture15232407 - 21 Nov 2025
Viewed by 400
Abstract
Low-temperature (LT) stresses (cold and frost) are major abiotic factors limiting plant growth and productivity. LT induces numerous physiological and biochemical changes in plants, changes hormonal balance and photosynthetic efficiency. Stress induced by LT often leads to yield losses in crops. While plants [...] Read more.
Low-temperature (LT) stresses (cold and frost) are major abiotic factors limiting plant growth and productivity. LT induces numerous physiological and biochemical changes in plants, changes hormonal balance and photosynthetic efficiency. Stress induced by LT often leads to yield losses in crops. While plants like maize and cucumber are highly sensitive to cold, winter cereals such as wheat and rye suffer mainly from severe frosts. Ongoing climate change and temperature fluctuations further increase the risk of LT-induced damage. To counteract the problems connected with LT stress, multiple strategies have been developed to enhance plant tolerance. Agrotechnical practices and biochemical treatments involving the application of phytohormones or osmoprotectants are designed to improve plant tolerance to LT. Beneficial plant–microbe interactions also contribute to alleviating LT stress. In addition, genetic engineering offers powerful tools for creating new cultivars that are more tolerant to LT. The CRISPR/Cas system, in particular, enables precise modifications and represents a promising tool for advancing sustainable agriculture. Integrated methods of protection are crucial for securing food supplies, especially under conditions of a changing climate. This mini-review summarises strategies for protecting plants against LT stress, with special attention paid to crop plants. Full article
Show Figures

Figure 1

18 pages, 1746 KB  
Review
Molecular Mechanisms of Cold Stress Response in Strawberry and Breeding Strategies
by Xiang Zhang, Jiajie Yu, Shuang Wang, Rongjia Qiao, Jianjun Shen, Weixiao Li, Fei Zhou and Xiaohong Li
Curr. Issues Mol. Biol. 2025, 47(11), 966; https://doi.org/10.3390/cimb47110966 - 20 Nov 2025
Viewed by 385
Abstract
As a globally popular crop, strawberry is highly susceptible to cold stress, which significantly limits its cultivation and yield. This review synthesizes current knowledge on the morphological, physiological, and molecular responses of strawberry plants to cold stress. Morphologically, cold stress induces chlorosis, necrosis, [...] Read more.
As a globally popular crop, strawberry is highly susceptible to cold stress, which significantly limits its cultivation and yield. This review synthesizes current knowledge on the morphological, physiological, and molecular responses of strawberry plants to cold stress. Morphologically, cold stress induces chlorosis, necrosis, and growth retardation, while physiologically, it impairs photosynthesis and membrane integrity and triggers oxidative stress. At the molecular level, the cold acclimation process in plants is orchestrated by a sophisticated regulatory network centered on the ICE-CBF/DREB signaling pathway and incorporating transcription factors, epigenetic modifications, and non-coding RNAs. The accumulation of protective compounds like proline, anthocyanins, and antioxidants is a key metabolic adaptation. Finally, we discuss integrative management practices and future breeding strategies, including genetic engineering, marker-assisted selection, and the use of plant growth-promoting rhizobacteria to enhance cold tolerance. This comprehensive overview provides valuable insights for developing resilient strawberry varieties in the face of unpredictable climate events. Full article
(This article belongs to the Section Molecular Plant Sciences)
Show Figures

Graphical abstract

31 pages, 3110 KB  
Article
Multi-Objective Pareto Optimization of Hydraulic Shock Absorbers Using a Multi-Domain Modeling Framework
by Piotr Czop and Grzegorz Wszołek
Appl. Sci. 2025, 15(22), 12297; https://doi.org/10.3390/app152212297 - 19 Nov 2025
Viewed by 255
Abstract
This study introduces a comprehensive modeling framework for the evaluation of automotive hydraulic shock absorbers, developed on the basis of an interdisciplinary coupled model that integrates the shock absorber and the servo-hydraulic test-rig subsystems. The coupled formulation captures the key dynamic interactions within [...] Read more.
This study introduces a comprehensive modeling framework for the evaluation of automotive hydraulic shock absorbers, developed on the basis of an interdisciplinary coupled model that integrates the shock absorber and the servo-hydraulic test-rig subsystems. The coupled formulation captures the key dynamic interactions within the damper assembly and establishes a virtual experimental environment for multi-criteria design exploration and optimization. Three interdependent performance objectives are addressed concurrently: (i) ensuring damping-force conformity within specified tolerance limits to maintain vehicle stability and safety, (ii) minimizing vibration amplitudes, quantified by piston-rod acceleration as an NVH (Noise, Vibration, and Harshness) performance indicator, and (iii) evaluating the fatigue life of the shim-stack valve system based on alternating stress analysis and experimentally determined Wöhler material characteristics, to ensure long-term operational durability. A Pareto-frontier-based multi-objective optimization strategy is applied to identify and interpret the trade-offs and synergies among these competing criteria. The resulting set of non-dominated solutions provides engineering insight into optimal configuration selection under conflicting design constraints, thereby supporting early-stage, risk-informed decision-making in the development of advanced suspension systems. Full article
Show Figures

Figure 1

Back to TopTop