Journal Description
Fermentation
Fermentation
is an international, peer-reviewed, open access journal on fermentation process and technology, published monthly online by MDPI.
- Open Access— free for readers, with article processing charges (APC) paid by authors or their institutions.
- High Visibility: indexed within Scopus, SCIE (Web of Science), PubAg, FSTA, Inspec, CAPlus / SciFinder, and other databases.
- Journal Rank: JCR - Q2 (Biotechnology and Applied Microbiology) / CiteScore - Q1 (Plant Science)
- Rapid Publication: manuscripts are peer-reviewed and a first decision is provided to authors approximately 15.5 days after submission; acceptance to publication is undertaken in 3.9 days (median values for papers published in this journal in the first half of 2025).
- Recognition of Reviewers: reviewers who provide timely, thorough peer-review reports receive vouchers entitling them to a discount on the APC of their next publication in any MDPI journal, in appreciation of the work done.
Impact Factor:
3.3 (2024);
5-Year Impact Factor:
3.5 (2024)
Latest Articles
Epipolythiodioxopiperazines: From Chemical Architectures to Biological Activities and Ecological Significance—A Comprehensive Review
Fermentation 2025, 11(12), 700; https://doi.org/10.3390/fermentation11120700 (registering DOI) - 17 Dec 2025
Abstract
Epipolythiodioxopiperazines (ETPs), characterized by a diketopiperazine (DKP) core bridged by disulfide or polysulfide bonds, exhibit exceptional structural diversity and functional adaptability. This review comprehensively explores their multifaceted properties, covering chemical structural characteristics, therapeutic application potential, and ecological functional value. Structural diversity arises from
[...] Read more.
Epipolythiodioxopiperazines (ETPs), characterized by a diketopiperazine (DKP) core bridged by disulfide or polysulfide bonds, exhibit exceptional structural diversity and functional adaptability. This review comprehensively explores their multifaceted properties, covering chemical structural characteristics, therapeutic application potential, and ecological functional value. Structural diversity arises from variations in the core DKP scaffold, sulfur bridge connectivity patterns, and additional modifications. Biosynthesis involves initial DKP assembly, enzyme-catalyzed sulfur incorporation and oxidation to form the signature sulfur bridge of ETPs, diversification by tailoring enzymes, and distinct regulatory mechanisms. ETPs possess diverse biological activities, including cytotoxicity, antitumor activity, antimicrobial properties, and immunomodulatory functions. From an ecological standpoint, ETPs mediate fungal–host interactions and influence competition and symbiosis within fungal communities. Furthermore, this review also addresses the current challenges and outlines future research directions. In summary, as a class of significant compounds spanning the fields of chemistry, biology, medicine, and ecology, ETPs deserve focused attention for their research value and application prospects.
Full article
(This article belongs to the Section Microbial Metabolism, Physiology & Genetics)
►
Show Figures
Open AccessArticle
FTIR Spectroscopy, a New Approach to Evaluating Caseinolytic Activity of Probiotic Lactic Acid Bacteria During Goat Milk Fermentation and Storage
by
Juan José Carol Paz, Ana Yanina Bustos and Ana Estela Ledesma
Fermentation 2025, 11(12), 699; https://doi.org/10.3390/fermentation11120699 (registering DOI) - 17 Dec 2025
Abstract
Goat milk can be a vehicle for beneficial microorganisms, such as probiotic lactic acid bacteria (LAB). During lactic fermentation, the hydrolysis of milk proteins can improve their nutritional properties and sensory attributes and even have beneficial health effects. The objective of this study
[...] Read more.
Goat milk can be a vehicle for beneficial microorganisms, such as probiotic lactic acid bacteria (LAB). During lactic fermentation, the hydrolysis of milk proteins can improve their nutritional properties and sensory attributes and even have beneficial health effects. The objective of this study was to evaluate the caseinolytic activity of LAB strains with probiotic potential and to monitor the changes induced by fermentation and during storage in milk components using Fourier transform infrared (FTIR) spectroscopy. First, the proteolytic activity of 36 LAB strains isolated from dairy products was qualitatively assessed. Then, 17 strains with probiotic potential and moderate to high proteolytic activity were selected for further analysis. Casein proteolysis was found to be strain-dependent, with a decrease in total protein concentration ranging from 28% to 87% and an increase in amino acids ranging from 29% to 88%. Furthermore, a notable difference was observed in the amide bands in the FTIR spectra between the beginning and end of incubation, showing a decrease in the intensities of the bands attributed to proteins. In fermented goat milk, LAB growth resulted in a final count between 0.62 and 2.6 log CFU/mL, a 0.29 to 2.0 drop in pH, and lactic acid production between 0.20 and 1 g/L. FTIR spectra revealed time-dependent modifications in amide I and II bands accompanied by a marked reduction in carbohydrate content and an increase in lactic acid signal. After 21 days of storage, the viability of the strains, pH, and lactic acid in the fermented milks were not substantially modified. These results highlight the potential of lactic fermentation with strains selected for their probiotic potential as an approach to producing value-added goat milk products, as well as the usefulness of FTIR spectroscopy for characterizing complex systems such as goat milk.
Full article
(This article belongs to the Special Issue Advances in Functional Fermented Foods)
►▼
Show Figures

Figure 1
Open AccessArticle
Bioyogurt Enriched with Provitamin A Carotenoids and Fiber: Bioactive Properties and Stability
by
Camila Bernal-Castro, Ángel David Camargo-Herrera, Carolina Gutiérrez-Cortés and Consuelo Díaz-Moreno
Fermentation 2025, 11(12), 698; https://doi.org/10.3390/fermentation11120698 - 16 Dec 2025
Abstract
Recent research has focused on yogurts supplemented with plant-derived and apiculture ingredients to enhance functional properties. This study evaluates the symbiotic potential of provitamin A carotenoids, dietary fiber, and oligosaccharides from carrots, mangoes, and honeydew honey in probiotic-enriched bioyogurt. Formulations were assessed during
[...] Read more.
Recent research has focused on yogurts supplemented with plant-derived and apiculture ingredients to enhance functional properties. This study evaluates the symbiotic potential of provitamin A carotenoids, dietary fiber, and oligosaccharides from carrots, mangoes, and honeydew honey in probiotic-enriched bioyogurt. Formulations were assessed during fermentation (45 °C ± 1 °C for 5 h) and refrigerated storage (4 °C ± 1 °C for 21 days). Probiotic and starter culture viability was determined using pour-plate counts on MRS agar. Physicochemical parameters including pH, titratable acidity, total soluble solids, water-holding capacity, and antioxidant metrics (total phenolics and carotenoids) were analyzed. After 21 days of storage, the probiotic culture (VEGE 092) reached 10.26 log CFU/mL and the starter culture (YOFLEX) achieved 8.66 log CFU/mL, maintaining therapeutic thresholds. Total carotenoid content increased significantly (p < 0.05) from 2.15 to 3.96 µg β-carotene/g, indicating synergistic interactions between lactic acid bacteria and plant-derived bioactive compounds. These findings demonstrate that combining plant-derived carotenoids, prebiotic fibers, and honeydew oligosaccharides effectively maintains probiotic viability and enhances antioxidant stability throughout fermentation and refrigerated storage, supporting the development of functional dairy products with improved nutritional profiles.
Full article
(This article belongs to the Special Issue Lactic Acid Bacteria in Functional Foods: From Microbiology to Health Benefits)
►▼
Show Figures

Graphical abstract
Open AccessArticle
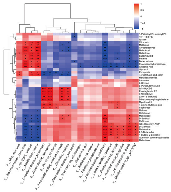
Intraspecific Diversity of Saccharomyces cerevisiae Associated with Traditional Fermented Beverages in Chiapas, Mexico
by
Maritza Tawas-Penagos, Ruth Percino-Daniel, José Alberto Narváez-Zapata, René Quezada-Romero, Anne Christine Gschaedler-Mathis and Alma Gabriela Verdugo-Valdez
Fermentation 2025, 11(12), 697; https://doi.org/10.3390/fermentation11120697 - 16 Dec 2025
Abstract
Traditional fermented beverages from Chiapas, Mexico, represent an important source of microbial diversity, particularly of Saccharomyces cerevisiae. In native strains isolated from traditional fermented beverages, Saccharomyces cerevisiae has been observed to display distinct morphological and physiological traits; therefore, the aim of this
[...] Read more.
Traditional fermented beverages from Chiapas, Mexico, represent an important source of microbial diversity, particularly of Saccharomyces cerevisiae. In native strains isolated from traditional fermented beverages, Saccharomyces cerevisiae has been observed to display distinct morphological and physiological traits; therefore, the aim of this study was to evaluate the population growth and the tolerance of twenty isolates to different stress factors such as temperature, osmotic pressure, and high ethanol concentrations, as well as the genetic variability through interdelta analysis, and to determine whether these physiological and molecular characteristics are associated with the type of beverage and the locality of origin. Differences were observed in tolerance to various factors, including high ethanol concentrations and elevated temperatures, as well as in the production of volatile compounds, with Taberna and Mezcal isolates showing notable performance. These isolates were able to withstand temperatures ranging from 43 to 45 °C and ethanol concentrations of up to 17% in Mezcal and Pox isolates, and 15% in Taberna isolates. High concentrations of isoamyl acetate and higher alcohols such as isoamyl alcohol were detected. In addition, the genetic variability of the isolates was evaluated, and its relationship with the type of beverage and the geographical origin of production was explored, including isolates obtained from Taberna, Mezcal, Pox, and Chicha de Chilacayote. Intraspecific variability was assessed through a retrotransposon-based analysis of the interdelta region using different primer combinations (δ1-δ2, δ12-δ21, and δ12-δ2). The generated banding patterns were analyzed using the Unweighted Pair Group Method with Arithmetic Mean (UPGMA), which enabled the identification of molecular variability patterns among the isolates. Furthermore, a UPGMA analysis was performed using physiological and compound production data, revealing a relationship between these characteristics and the geographical origin of the isolates. The results revealed a high degree of intraspecific variability, which was associated with both the type of beverage and the locality of origin of the isolates.
Full article
(This article belongs to the Special Issue Yeasts as Microbial Cell Factories: Diversity, Biotechnology Potential and Applications)
►▼
Show Figures

Figure 1
Open AccessArticle
Adding Digestive Enzymes to Anaerobic Co-Digestion of Cattle Manure and Industrial Corn Grain Waste
by
Laís Medeiros Cintra, Roberta Passini, Luana Alves Akamine, Kedinna Dias de Sousa, Frank Freire Capuchinho, Sérgio Botelho de Oliveira and Silvia Robles Reis Duarte
Fermentation 2025, 11(12), 696; https://doi.org/10.3390/fermentation11120696 - 16 Dec 2025
Abstract
Brazil is one of the world’s largest producers of grains and cattle, activities that generate a large amount of organic waste, which has high potential for biogas and methane production. Cattle manure (CM) and industrial waste from corn processing are substrates with significant
[...] Read more.
Brazil is one of the world’s largest producers of grains and cattle, activities that generate a large amount of organic waste, which has high potential for biogas and methane production. Cattle manure (CM) and industrial waste from corn processing are substrates with significant potential for biogas and methane generation, particularly through the process of anaerobic co-digestion (AcoD). This study aimed to assess the biogas and methane yield, as well as the stability of the AcoD process involving CM and corn grain residues (CG) derived from a grain processing agroindustry, in conjunction with the application of an enzyme complex. The experiment was conducted in plug-flow biodigesters, with a total volume of 28 L, under a semi-continuous feeding regime (OLR = 0.84 g vs. L d−1) at ambient temperature. The findings indicated increases in daily biogas and methane production for AcoD, without the addition of enzymes, of 52.1% and 44.4%, respectively, in comparison to CM mono-digestion. The incorporation of the enzyme complex did not yield beneficial effects, irrespective of the substrate composition. The utilization of enzymes in semi-continuous biodigesters to enhance methane yields necessitates further investigation to achieve favorable outcomes and validate its efficiency.
Full article
(This article belongs to the Special Issue The Future of Fermentation Technology in the Biorefining Process: 3rd Edition)
►▼
Show Figures

Figure 1
Open AccessReview
Yeast-Derived Biomolecules as Green Nanoplatforms for Sustainable Lignocellulosic Biorefineries
by
Fabio P. Sanchez Vera, Naiara J. Clerici, Gabriela A. Lourenço, Sara B. Santa Rita, Kiara A. Garcia Bustos, Eduardo Florez Martinez, Guilherme O. Silva, Paulo R. Franco Marcelino, Julio César dos Santos and Silvio S. da Silva
Fermentation 2025, 11(12), 695; https://doi.org/10.3390/fermentation11120695 - 16 Dec 2025
Abstract
Yeast-derived biomolecules are redefining the boundaries of green nanotechnology. Biosurfactants, exopolysaccharides, enzymes, pigments, proteins, and organic acids—when sourced from carbohydrate-rich lignocellulosic hydrolysates—offer a molecular toolbox capable of directing, stabilizing, and functionalizing nanoparticles (NPs) with unprecedented precision. Beyond their structural diversity and intrinsic biocompatibility,
[...] Read more.
Yeast-derived biomolecules are redefining the boundaries of green nanotechnology. Biosurfactants, exopolysaccharides, enzymes, pigments, proteins, and organic acids—when sourced from carbohydrate-rich lignocellulosic hydrolysates—offer a molecular toolbox capable of directing, stabilizing, and functionalizing nanoparticles (NPs) with unprecedented precision. Beyond their structural diversity and intrinsic biocompatibility, these biomolecules anchor a paradigm shift: the convergence of biorefineries with nanotechnology to deliver multifunctional materials for the circular bioeconomy. This review explores: (i) the expanding portfolio of metallic and metal oxide NPs synthesized through yeast biomolecules; (ii) molecular-level mechanisms of reduction, capping, and surface tailoring that dictate NP morphology, stability, and reactivity; (iii) synergistic roles in intensifying lignocellulosic processes—from enhanced hydrolysis to catalytic upgrading; and (iv) frontier applications spanning antimicrobial coatings, regenerative packaging, precision agriculture, and environmental remediation. We highlight structure–function relationships, where amphiphilicity, charge distribution, and redox activity govern resilience under saline, acidic, and thermally harsh industrial matrices. Yet, critical bottlenecks remain: inconsistent yields, limited comparative studies, downstream recovery hurdles, and the absence of comprehensive life-cycle and toxicological evaluations. To bridge this gap, we propose a translational roadmap coupling standardized characterization with real hydrolysate testing, molecular libraries linking biomolecule chemistry to NP performance, and integrated techno-economic and environmental assessments. By aligning yeast biotechnology with nanoscience, we argue that yeast-biomolecule-driven nanoplatforms are not merely sustainable alternatives but transformative solutions for next-generation lignocellulosic biorefineries.
Full article
(This article belongs to the Special Issue Yeast Biotechnology in Valorization of Waste and By-Products)
►▼
Show Figures

Figure 1
Open AccessArticle
Use of Pichia manshurica as a Starter Culture for Spontaneous Cocoa Fermentation in Southern Bahia, Brazil
by
Adriana Barros de Cerqueira e Silva, Eric de Lima Silva Marques, Rachel Passos Rezende, Cristiano Santana, Angelina Moreira Freitas, Maria Clara Bessa Souza, Carine Martins dos Santos, Adriana Cristina Reis Ferreira, Marianna Ramos Soares, Alberto Montejo Díaz, Ádanny Maia da Cruz Santos, Luan Melo Andrade, Louise Pereira Ramos, Carla Cristina Romano, João Carlos Teixeira Dias and Sérgio Eduardo Soares
Fermentation 2025, 11(12), 694; https://doi.org/10.3390/fermentation11120694 - 16 Dec 2025
Abstract
To improve cocoa fermentation and the quality of its final products, microbial cultures with potential as starters were investigated. Yeasts were considered a promising option due to their adaptability to biotechnological processes and ease of laboratory manipulation. From 185 strains previously isolated from
[...] Read more.
To improve cocoa fermentation and the quality of its final products, microbial cultures with potential as starters were investigated. Yeasts were considered a promising option due to their adaptability to biotechnological processes and ease of laboratory manipulation. From 185 strains previously isolated from spontaneous cocoa fermentation, those producing protease, amylase, and cellulase were identified. Strain CII87b (Pichia manshurica) exhibited the most favorable results and was evaluated for cytotoxicity using the MTT assay, showing no adverse effects. This culture was subsequently inoculated into freshly harvested cocoa almonds during the secondary (winter) harvest. The inoculum accelerated and increased the average fermentation temperature from 25 to 50 °C, reduced internal mold incidence, decreased defect rates, increased total fermentation, and resulted in a more desirable pH compared to the control. These findings demonstrate that the use of P. manshurica CII87b as a starter culture in winter harvests can improve fermentation efficiency and product quality, offering a biotechnological tool with potential benefits for cocoa producers and the chocolate industry.
Full article
(This article belongs to the Special Issue 10th Anniversary of Fermentation: Feature Papers in the "Fermentation for Food and Beverages" Section)
►▼
Show Figures

Graphical abstract
Open AccessArticle
Evaluation of Plant Essential Oils as Natural Alternatives to Monensin in In Vitro Ruminal Fermentation
by
Amelia Barbosa Lima, Kemmily Lima de Almeida, Bruna Eduarda Teixeira de Lima, Khalid Haddi, Ludmila Couto Gomes Passetti, Gustavo Leão Rosado and Cláudia Braga Pereira Bento
Fermentation 2025, 11(12), 693; https://doi.org/10.3390/fermentation11120693 - 14 Dec 2025
Abstract
Extensive growth promoter use in livestock production has raised concerns about their role in selective pressure on resistant microorganisms, driving interest in natural alternatives such as essential oils (EOs). This study aimed to evaluate the effects of tea tree, holy wood, and citronella
[...] Read more.
Extensive growth promoter use in livestock production has raised concerns about their role in selective pressure on resistant microorganisms, driving interest in natural alternatives such as essential oils (EOs). This study aimed to evaluate the effects of tea tree, holy wood, and citronella EOs on in vitro ruminal fermentation. The study follows a completely randomized design with the following five treatments: control, monensin (5 μM), tea tree EO (50 mg/L), holy wood EO (50 mg/L), and citronella EO (50 mg/L), each conducted in triplicate. Incubations were performed at 39 °C for 48 h in the rumen fluid collected from fistulated cattle fed a 20:80 forage-to-concentrate diet. Notably, EOs exhibited no significant effects on pH, microbial protein production, total volatile fatty acids, or in vitro dry matter digestibility (p > 0.05). Tea tree and holy wood EOs enhanced deamination activity, and all treatments increased ammonia concentration compared with that in the control. Monensin treatment increased acetate concentration and reduced in vitro neutral detergent fiber digestibility; holy wood EO exhibited a similar trend. Altogether, the findings of this study suggest that EOs can selectively modulate the ruminal microbiota, influencing nitrogen metabolism and fermentation patterns without impairing rumen stability.
Full article
(This article belongs to the Special Issue Ruminal Fermentation: 2nd Edition)
Open AccessArticle
In Vitro and In Situ Evaluation of White Mulberry (Morus alba) Pomace and Leaf: Fermentation Kinetics, Digestibility, and Potential as Alternative Ruminant Feed Sources
by
Zekeriya Safa İnanç and Huzur Derya Arik
Fermentation 2025, 11(12), 692; https://doi.org/10.3390/fermentation11120692 - 12 Dec 2025
Abstract
Mulberry (Morus alba) by-products represent underutilized feed resources with potential for ruminant nutrition. This study evaluated the rumen fermentation kinetics and rumen digestibility of dried mulberry pomace (MP) and leaf (ML) to determine optimal inclusion strategies in dairy cattle diets. Mulberry
[...] Read more.
Mulberry (Morus alba) by-products represent underutilized feed resources with potential for ruminant nutrition. This study evaluated the rumen fermentation kinetics and rumen digestibility of dried mulberry pomace (MP) and leaf (ML) to determine optimal inclusion strategies in dairy cattle diets. Mulberry pomace (MP) and mulberry leaf (ML) were sun-dried and incorporated at 50% substitution levels into total mixed rations (TMR) with varying concentrations (30%, 35%, 40%, 45%, and 50%) of neutral detergent fiber (NDF). This created ten treatment groups: 30NP through 50NP (pomace-supplemented, where the number represents basal TMR NDF%) and 30NL through 50NL (leaf-supplemented), plus control groups containing only MP or ML and five basal TMR controls (30N through 50N). Rumen fluid was collected from two non-lactating Holstein cows fitted with ruminal cannulas. Chemical analysis revealed that ML contained 19% crude protein and 27.4% NDF, while MP contained 14.9% crude protein and 35.8% NDF. The highest gas production was observed in the 45NP (43.20 mL) and 50NL (43.50 mL) groups. Results demonstrated that MP achieved optimal fermentation when combined with 40–45% NDF TMR (maximum total volatile fatty acid (VFA): 88.86 mmol/L in 40NP at 48 h), whereas ML performed best with 45% NDF TMR (45NL: 88.03 mmol/L total VFA), indicating these as the most promising treatment combinations for ruminant feeding systems pending in vivo validation. Acetate proportions were higher in ML groups (84–96%), while propionate ratios were elevated in MP groups. Both materials maintained optimal ruminal pH (6.2–6.8). In vitro NDF digestibility was significantly higher for ML, with differences increasing from 2.97% at 2 h to 16.44% at 240 h. In situ degradation of MP was nearly complete at 48 h, while ML reached maximum degradation at 24 h. These findings indicate the potential of MP and ML as valuable alternative feed sources for ruminants, particularly in TMRs containing 40–45% NDF.
Full article
(This article belongs to the Special Issue Ruminal Fermentation: 2nd Edition)
►▼
Show Figures

Graphical abstract
Open AccessArticle
An Intelligent Strategy for Colony De-Replication Using Raman Spectroscopy and Hybrid Clustering
by
Xinli Li, Mingyang Liu, Jiaqi Sun and Su Wang
Fermentation 2025, 11(12), 691; https://doi.org/10.3390/fermentation11120691 - 12 Dec 2025
Abstract
Efficient de-redundant colony picking is essential to accelerating strain screening in fermentation microbiology. Conventional random picking is inefficient, exhibits high redundancy, and often misses low-abundance but valuable strains. To address this, we present a high-efficiency de-redundant selection strategy based on colony Raman spectroscopy
[...] Read more.
Efficient de-redundant colony picking is essential to accelerating strain screening in fermentation microbiology. Conventional random picking is inefficient, exhibits high redundancy, and often misses low-abundance but valuable strains. To address this, we present a high-efficiency de-redundant selection strategy based on colony Raman spectroscopy and a hybrid clustering algorithm. We directly acquire colony Raman spectra and combine the complementary strengths of k-means and hierarchical clustering (HCA) to achieve both balanced global partitioning and sensitivity to low-abundance taxa. Systematic application on pure colonies and complex plate settings shows that, by picking only 12–26% of colonies, the method attains 80–100% species coverage. Relative to manual random picking and image-based feature selection, picking efficiency increased by 116.8% and 44.5%, respectively, substantially shortening the screening cycle and reducing workload. Overall, Raman-guided hybrid clustering substantially reduces redundant picking and improves detection of low-abundance strains. It provides practical support for efficient strain discovery, library construction, and process optimization.
Full article
(This article belongs to the Section Fermentation Process Design)
►▼
Show Figures

Figure 1
Open AccessArticle
Effect of Bulking Agent Particle Size on Garden Waste–Dairy Manure Composting: Relationship Between Microbial Community Dynamics and Physicochemical Factors
by
Qian Liu, Zhike Liu, Shaohan Ma, Le Li, Qing Hao, Shiyu Liu, Mingyi Lu and Yanhua Li
Fermentation 2025, 11(12), 690; https://doi.org/10.3390/fermentation11120690 - 12 Dec 2025
Abstract
Garden waste is a solid waste produced by plant littering or pruning. Improper disposal can easily pollute the environment. The addition of bulking agents (BAs) can improve the efficiency of organic waste composting. In this study, garden waste and dairy manure were used
[...] Read more.
Garden waste is a solid waste produced by plant littering or pruning. Improper disposal can easily pollute the environment. The addition of bulking agents (BAs) can improve the efficiency of organic waste composting. In this study, garden waste and dairy manure were used as raw materials, and easily available and recyclable branches were used as bulking agents to realize the synergistic resource utilization of the two. Three treatments were set up in the experiment, and 10% crushed branches, 1 cm branches, and 3 cm branches were added to the raw materials, respectively. The results showed that compared with the control group (adding crushed branches), the addition of 1 cm branches and 3 cm branches increased the cellulose degradation rate by 13.16–13.33% and the hemicellulose degradation rate by 18.24–23.86%. The monitoring results of CO2 release showed that the cumulative CO2 release of the treatment groups with 1 cm and 3 cm branches was 78.56 L and 102.17 L, respectively, which was significantly higher than that of the crushed branches (67.24 L), indicating that the addition of 1 cm and 3 cm branches increased microbial activity and degradation efficiency. Microbial diversity analysis further showed that in the treatment group with 1 cm branches, the number of nodes in the co-occurrence network increased by 24.11% and 2.84%, respectively, compared with the crushed branches and 3 cm branches, and the number of edges increased by 44.25% and 19.72%, forming the most abundant and complex microbial community, which verified its promotion effect on the composting process from the microbial level. In summary, this study recommends the use of branches with a particle size of 1 cm as BAs for garden waste composting.
Full article
(This article belongs to the Special Issue Resource Recovery and Microbial Transformation of Organic Solid Waste)
►▼
Show Figures

Graphical abstract
Open AccessArticle
Caproate Production from Yellow Water Fermentation: The Decisive Roles of Electron Donors
by
Kai Shen, Xing Chen, Jiasheng Shi, Xuedong Zhang, Yaya Sun, He Liu, Salma Tabassum and Hongbo Liu
Fermentation 2025, 11(12), 689; https://doi.org/10.3390/fermentation11120689 - 12 Dec 2025
Abstract
Caproate is a valuable medium-chain fatty acid (MCFA) that is found to be extensively used in biofuel production, food preservation, and the pharmaceutical industries. Short-chain fatty acids (SCFAs) from waste streams can be upgraded sustainably through their biological synthesis via anaerobic chain elongation.
[...] Read more.
Caproate is a valuable medium-chain fatty acid (MCFA) that is found to be extensively used in biofuel production, food preservation, and the pharmaceutical industries. Short-chain fatty acids (SCFAs) from waste streams can be upgraded sustainably through their biological synthesis via anaerobic chain elongation. However, caproate production is frequently limited in real-world systems due to low carbon conversion efficiency and a lack of electron donors. In this study, we developed a two-stage fermentation strategy employing yellow water—a high-strength organic wastewater from liquor manufacturing—as a novel substrate. During primary fermentation, Lactobacillus provided endogenous electron donors by converting the residual carbohydrates in the yellow water into lactic acid. Nano zero-valent iron (NZVI) was introduced to the secondary fermentation to enhance power reduction and electron flow, further promoting caproate biosynthesis. The caproate production increased significantly due to the synergistic action of lactic acid and NZVI, reaching a maximum concentration of 20.41 g·L−1 and a conversion efficiency of 69.50%. This strategy enhances carbon recovery and electron transport kinetics while lowering dependency on expensive external donors like hydrogen or ethanol. Microbial community analysis using 16S rRNA sequencing revealed enrichment of chain-elongating bacteria such as Clostridium kluyveri. These findings demonstrate the feasibility of employing an integrated fermentation–electron management technique to valorize industrial yellow water into compounds with added value. This study offers a scalable and environmentally sound pathway for MCFA production from waste-derived resources.
Full article
(This article belongs to the Special Issue Fermentation of Organic Waste for High-Value-Added Product Production—2nd Edition)
►▼
Show Figures

Graphical abstract
Open AccessArticle
Low-Cost Production Process of Saccharomyces cerevisiae Yeast for Craft Beer Fermentation
by
Jessica Rodríguez, Domenica Villavicencio, Alys Raza, Fernanda Hernández-Alomía, Carlos Bastidas-Caldes and María Alejandra Cruz
Fermentation 2025, 11(12), 688; https://doi.org/10.3390/fermentation11120688 - 12 Dec 2025
Abstract
The production of craft beer depends on the quality and availability of yeast. However, many small breweries in developing countries face high costs due to their reliance on imported yeast strains. Developing efficient and low-cost propagation methods is therefore essential for sustainable production.
[...] Read more.
The production of craft beer depends on the quality and availability of yeast. However, many small breweries in developing countries face high costs due to their reliance on imported yeast strains. Developing efficient and low-cost propagation methods is therefore essential for sustainable production. A lager-type Saccharomyces cerevisiae strain (SC-Lager2) was propagated using both synthetic and low-cost alternative media. The latter was formulated with malt extract as a carbon source and yeast extract obtained from brewery by-products as a nitrogen source. A Plackett–Burman design identified significant factors influencing growth (p < 0.05), and a full factorial design (24) optimized conditions. Growth kinetics and biomass yield were validated at laboratory (2 L) and pilot (83 L) scales. Maltose, yeast extract, zinc sulfate, and agitation significantly affected cell density and viability (p < 0.05). Under optimized conditions, 100% viability, a maximum cell density of 1.4 × 1010 cells/mL, and a biomass yield of 10 g/L were achieved values that were statistically higher (p < 0.05) than those obtained with the synthetic medium. The maximum specific growth rate (μmax) increased by 52%, while doubling time decreased by 39%. Overall, the use of agro-industrial by-products reduced medium costs by approximately 65% compared to conventional synthetic formulations. The proposed low-cost medium provides a scalable, economical, and sustainable solution for yeast propagation, reducing production costs while maintaining high cell viability and performance. This approach supports the autonomy and competitiveness of the craft beer sector in developing regions.
Full article
(This article belongs to the Special Issue Development and Application of Starter Cultures, 2nd Edition)
►▼
Show Figures

Figure 1
Open AccessArticle
The Influence of Winemaking Processes on the Formation of Biogenic Amines in Wine
by
Karolina Kostelnikova, Mojmir Baron, Michal Kumsta and Jiri Sochor
Fermentation 2025, 11(12), 687; https://doi.org/10.3390/fermentation11120687 - 11 Dec 2025
Abstract
This study investigated the influence of different winemaking processes, particularly fermentation type and must clarification, on the formation of biogenic amines (BA) in Sauvignon wine. The experiment investigated seven methods of vinification combining spontaneous and controlled alcoholic and malolactic fermentation. The concentrations of
[...] Read more.
This study investigated the influence of different winemaking processes, particularly fermentation type and must clarification, on the formation of biogenic amines (BA) in Sauvignon wine. The experiment investigated seven methods of vinification combining spontaneous and controlled alcoholic and malolactic fermentation. The concentrations of six biogenic amines (histamine, tyramine, tryptamine, phenylethylamine, putrescine, and cadaverine) were determined using a HILIC-LC-MS/MS. Statistical evaluation confirmed the significant effect of alcoholic and malolactic fermentation, maturation stage, and must processing on the overall amine profile of the wine (p < 0.001). The total BA content in all the variants was low and well below values considered to pose a health risk. Histamine and tryptamine were only detected in trace amounts (<0.1 mg/L), whereas putrescine and tyramine exhibited the greatest variability. Higher concentrations were recorded in variants that underwent malolactic fermentation, particularly in combination with clarified must. In contrast, whole-mash fermentation produced the lowest BA concentrations, possibly due to factors associated with extended skin and seed contact. These findings indicate that the choice of fermentation strategy significantly affects the formation of biogenic amines in wine.
Full article
(This article belongs to the Special Issue Applications of Microbial Biodiversity in Wine Fermentation)
►▼
Show Figures

Figure 1
Open AccessArticle
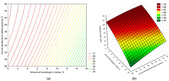
Fermentation of Wheat Bread with Lactiplantibacillus plantarum: Study of Changes in Acrylamide and Microbiological Spoilage During Packaging at Different Temperatures
by
Almas Zhanbolat, Ulbala Tungyshbayeva, Zhanat Iskakova, Maryna Mardar, Raushangul Uazhanova, Maxat Iztileuov, Sholpan Amanova, Bakhytkul Assenova, Raushan Izteliyeva, Sagynysh Aman and Farida Amutova
Fermentation 2025, 11(12), 686; https://doi.org/10.3390/fermentation11120686 - 10 Dec 2025
Abstract
The safety and shelf life of wheat bread depend not only on recipe formulation and fermentation but also on post-baking handling, particularly the packaging stage. This study focused on evaluating the effect of the temperature of the bread crumb at the moment of
[...] Read more.
The safety and shelf life of wheat bread depend not only on recipe formulation and fermentation but also on post-baking handling, particularly the packaging stage. This study focused on evaluating the effect of the temperature of the bread crumb at the moment of packaging (30, 40, and 45 °C) on acrylamide content and microbiological spoilage during storage. Wheat bread samples prepared with 5, 10, and 15% Lactiplantibacillus plantarum sourdough were compared to control bread without sourdough. The results revealed that packaging at elevated temperatures (40–45 °C) led to higher residual acrylamide levels and accelerated mold growth due to condensation and increased humidity inside polyethylene bags. In contrast, packaging at 30 °C significantly reduced acrylamide formation, limited microbial proliferation, and extended the shelf life of bread up to 7 days while maintaining acceptable sensory qualities. The combined effect of sourdough concentration and packaging temperature demonstrated that the optimal conditions for ensuring safety and extending shelf life are the use of 5–10% sourdough and packaging at 30 °C. These findings underline the critical role of sourdough content and packaging temperature in controlling chemical contaminants and microbiological spoilage in bread production.
Full article
(This article belongs to the Section Fermentation for Food and Beverages)
►▼
Show Figures

Figure 1
Open AccessArticle
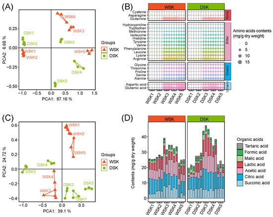
Defatted Soybean Meal-Based Koji Promotes Flavor Development in Deyang Baiwo Soy Sauce: A Comparative Multi-Omics Study
by
Kai-Yao Chen, Na Zhang, Wen-Hu Liu, Cheng Wang, Yong-Qi Hu, Cai-Hong Shen, Li Zeng and Xu Ran
Fermentation 2025, 11(12), 685; https://doi.org/10.3390/fermentation11120685 - 10 Dec 2025
Abstract
Although the influence of raw material composition on soy sauce koji fermentation is well recognized, the differences in microbial succession and metabolic pathways between whole soybean koji (WSK) and defatted soybean–wheat bran koji (DSK) remain unclear. In this study, a multi-omics approach integrating
[...] Read more.
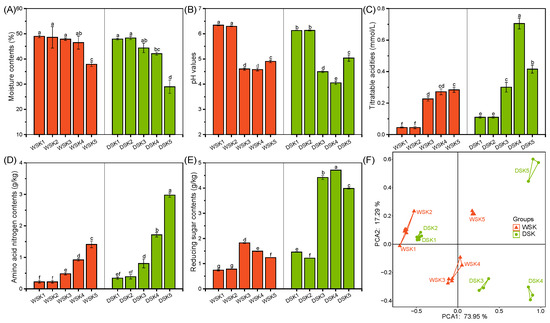
Although the influence of raw material composition on soy sauce koji fermentation is well recognized, the differences in microbial succession and metabolic pathways between whole soybean koji (WSK) and defatted soybean–wheat bran koji (DSK) remain unclear. In this study, a multi-omics approach integrating absolute quantitative PCR and physicochemical analyses was employed to elucidate the mechanisms by which DSK enhances the quality of Deyang Baiwo soy sauce. Compared with WSK, DSK exhibited lower moisture content but higher total acidity, amino nitrogen, and reducing sugar levels, indicating its suitability for high-quality soy sauce production. Volatile analysis revealed greater accumulation of key aroma compounds such as 2-methoxy-4-vinylphenol and 4-vinylguaiacol in DSK, contributing characteristic smoky flavors. At the microbial community level, Aspergillus, Weissella, Enterobacter, and Bacillus were enriched in DSK, promoting the accumulation of flavor and aroma compounds in alignment with industrial koji production objectives. Metabolic pathway analysis indicated that Weissella in DSK was primarily responsible for lactic acid accumulation, whereas Aspergillus dominated early-stage substrate degradation and played a key role in the enrichment of 1-octen-3-ol in WSK. This study provides insights into the “substrate–microbiota–metabolite” regulatory network and offers a theoretical basis for optimizing the use of defatted soybean in traditional soy sauce fermentation.
Full article
(This article belongs to the Section Fermentation for Food and Beverages)
►▼
Show Figures

Figure 1
Open AccessReview
Probiotic-Fermented Foods and Antimicrobial Stewardship: Mechanisms, Evidence, and Translational Pathways Against AMR
by
Karina Teixeira Magalhães
Fermentation 2025, 11(12), 684; https://doi.org/10.3390/fermentation11120684 - 10 Dec 2025
Abstract
Antimicrobial resistance (AMR) remains a critical global challenge, requiring novel complementary strategies beyond antibiotic development. Probiotic-fermented foods (PFFs) offer an emerging, low-cost approach to mitigate AMR risk through ecological, molecular, and immunological mechanisms. This review integrates mechanistic insights, clinical evidence, and translational frameworks
[...] Read more.
Antimicrobial resistance (AMR) remains a critical global challenge, requiring novel complementary strategies beyond antibiotic development. Probiotic-fermented foods (PFFs) offer an emerging, low-cost approach to mitigate AMR risk through ecological, molecular, and immunological mechanisms. This review integrates mechanistic insights, clinical evidence, and translational frameworks linking PFFs to antimicrobial stewardship. Key mechanisms include colonization resistance, nutrient and adhesion-site competition, production of antimicrobial metabolites, such as bacteriocins, hydrogen peroxide, and organic acids and Quorum-quenching-sensing activities that suppress pathogen virulence. Randomized clinical trials indicate that fermented diets and probiotic supplementation can improve microbiome diversity, reduce inflammatory cytokines, and decrease antibiotic-associated diarrhea, though direct AMR outcomes remain underexplored. Evidence from kefir, kombucha, and other microbial consortia suggests potential for in vivo pathogen suppression and reduced infection duration. However, safe translation requires standardized starter-culture genomics, resistome monitoring, and regulatory oversight under QPS/GRAS frameworks. Integrating PFF research with One Health surveillance systems, such as the WHO GLASS platform, will enable tracking of antimicrobial consumption and resistance outcomes. Collectively, these findings position PFFs as promising adjuncts for AMR mitigation, linking sustainable food biotechnology with microbiome-based health and global stewardship policies.
Full article
(This article belongs to the Special Issue Feature Review Papers on Fermentation for Food and Beverages 2025)
►▼
Show Figures

Graphical abstract
Open AccessArticle
Functional Fortification of Tibicos with Lemon Catnip (Nepeta cataria var. citriodora) Hydrolate: Fermentation Kinetics, Health-Promoting Potentials and Sensory Evaluation
by
Ana Tomić, Olja Šovljanski, Milica Aćimović, Luka Tucakov, Anja Vučetić, Aleksandra Ranitović, Snežana Filip, Staniša Latinović, Jasna Čanadanović-Brunet and Dragoljub Cvetković
Fermentation 2025, 11(12), 683; https://doi.org/10.3390/fermentation11120683 - 9 Dec 2025
Abstract
The development of plant-based synbiotic beverages is gaining increasing attention as consumers seek sustainable, functional alternatives to dairy products. This preliminary study investigated the fortification of tibicos (water kefir) with lemon catnip (Nepeta cataria var. citriodora) hydrolate, an aromatic distillation byproduct
[...] Read more.
The development of plant-based synbiotic beverages is gaining increasing attention as consumers seek sustainable, functional alternatives to dairy products. This preliminary study investigated the fortification of tibicos (water kefir) with lemon catnip (Nepeta cataria var. citriodora) hydrolate, an aromatic distillation byproduct rich in bioactive terpenoids. After 72 h-fermentation of tibicos, physicochemical, microbiological, health-promoting and sensory parameters were evaluated. Both control and fortified beverages exhibited typical fermentation kinetics, including a decrease in pH, reduction of soluble solids, and accumulation of organic acids. Lactic acid bacteria count remained stable, while yeast proliferation was slightly reduced in the hydrolate-fortified sample, consistent with the known yeast-sensitive nature of certain hydrolate-derived terpenoids. Importantly, hydrolate fortification significantly enhanced antioxidant capacity (DPPH: +34%; ABTS: +39%; RP: +38%). Enzyme-inhibitory activities also increased significantly in the hydrolate-fortified samples (α-Amylase and α-Glucosidase inhibition rates increased by 9% and 11%, respectively). ACE inhibition similarly increased from 32% to 44%, indicating an enhanced antihypertensive potential. HMG-CoA reductase inhibition increased from 31% to 42%, showing improved hypolipidemic activity. Sensory evaluation indicated improved sensory acceptability, imparting citrus–floral notes that balanced the acidic profile of tibicos. These findings highlight the potential of valorizing lemon catnip hydrolate as a functional fortifier in non-dairy synbiotic beverages.
Full article
(This article belongs to the Special Issue Advances in Fermented Foods and Beverages)
►▼
Show Figures

Figure 1
Open AccessReview
Comprehensive Advances on Probiotic-Fermented Medicine and Food Homology
by
Huijun Dong, Derui Bu, Yutong Cheng, Wen Gao and Fubo Han
Fermentation 2025, 11(12), 682; https://doi.org/10.3390/fermentation11120682 - 8 Dec 2025
Abstract
In China, the concept of Medicine and Food Homology (MFH) is deeply rooted in the ancient practices of Traditional Chinese Medicine (TCM). Nonetheless, challenges persist regarding the low levels of bioactive compounds and limited absorption efficiency associated with MFH, as well as the
[...] Read more.
In China, the concept of Medicine and Food Homology (MFH) is deeply rooted in the ancient practices of Traditional Chinese Medicine (TCM). Nonetheless, challenges persist regarding the low levels of bioactive compounds and limited absorption efficiency associated with MFH, as well as the potential toxic side effects of certain MFH substances. Probiotic fermentation emerges as a promising strategy to address these issues, as it can effectively transform and enhance the active components of MFH through specific metabolic processes. This review provides a comprehensive analysis of the interactions between MFH and probiotics, the pharmacological benefits of probiotic-fermented MFH, the development of efficient probiotic fermentation systems, and the quality control measures necessary for MFH fermentation. Furthermore, the article discusses the challenges and future directions for MFH fermentation. The integration of artificial intelligence (AI) and synthetic biology techniques holds the potential to significantly enhance the efficiency and efficacy of probiotic-fermented MFH. In conclusion, this article offers an in-depth examination of the potential for probiotic-fermented MFH to contribute to the modernization of TCM.
Full article
(This article belongs to the Section Probiotic Strains and Fermentation)
►▼
Show Figures

Figure 1
Open AccessArticle
Enhanced In Vitro System for Predicting Methane Emissions from Ruminant Feed
by
Seongwon Seo and Mingyung Lee
Fermentation 2025, 11(12), 681; https://doi.org/10.3390/fermentation11120681 - 7 Dec 2025
Abstract
Mitigating enteric methane emissions through diet formulation remains a significant challenge in cattle nutrition. This study developed a system to evaluate the methane production potential of feeds, expressed as the effective ruminal methane production rate (eRMR, mL/g dry matter [DM]), using a discontinuous
[...] Read more.
Mitigating enteric methane emissions through diet formulation remains a significant challenge in cattle nutrition. This study developed a system to evaluate the methane production potential of feeds, expressed as the effective ruminal methane production rate (eRMR, mL/g dry matter [DM]), using a discontinuous in vitro ruminal fermentation system using rumen fluid. Sixteen concentrate feeds and two forages were tested, with a reference diet (ryegrass straw:corn:corn gluten feed = 1:1:1) included in each batch to standardize conditions and account for associative effects among feeds. Test feeds were incubated with the reference diet in closed bottles under strictly anaerobic conditions. Methane and total gas production were measured at 2, 4, 6, and 24 h, and true dry matter digestibility was calculated after 6 and 24 h. For each batch, sample feed values were corrected and standardized using those of the reference diet. The eRMR value was calculated by integrating a differential equation with parameters incorporating ruminal digestion and passage dynamics. The test feed eRMR values ranged from 1.2 mL/g DM (soybean meal) to 56.7 mL/g DM (soybean hull), with the reference diet at 14.8 mL/g DM. Evaluation of feed eRMR using data from two in vivo studies demonstrated strong correlations between predicted diet-specific eRMR values and measured methane emissions from Hanwoo steers (r = 0.93 and 0.85). This system, incorporating rumen dynamics with a reduced sampling schedule, provides a precise and practical tool for predicting in vivo enteric methane production and optimizing diet formulations to mitigate methane emissions from cattle.
Full article
(This article belongs to the Special Issue Ruminal Fermentation: 2nd Edition)
►▼
Show Figures

Figure 1
Journal Menu
► ▼ Journal Menu-
- Fermentation Home
- Aims & Scope
- Editorial Board
- Topical Advisory Panel
- Instructions for Authors
- Special Issues
- Topics
- Sections & Collections
- Article Processing Charge
- Indexing & Archiving
- Editor’s Choice Articles
- Most Cited & Viewed
- Journal Statistics
- Journal History
- Journal Awards
- Editorial Office
- 10th Anniversary
Journal Browser
► ▼ Journal BrowserHighly Accessed Articles
Latest Books
E-Mail Alert
News
Topics
Topic in
Applied Microbiology, Fermentation, Foods, Microbiology Research, Microorganisms
Fermented Food: Health and Benefit
Topic Editors: Niel Van Wyk, Alice VilelaDeadline: 31 December 2025
Topic in
Applied Biosciences, Applied Sciences, Fermentation, Marine Drugs, Microorganisms, Phycology
Microalgae: Current Trends in Basic Research and Applications
Topic Editors: Nhuan Nghiem, Tae Hyun KimDeadline: 31 March 2026
Topic in
Applied Biosciences, Applied Microbiology, Fermentation, Marine Drugs, Microorganisms
Microbial Cell Factories for Natural Products
Topic Editors: Carlos Barreiro, Ana Ibáñez, José L. BarredoDeadline: 31 May 2026
Topic in
Fermentation, Membranes, Recycling, Sustainability, Separations, ChemEngineering
Separation Techniques and Circular Economy
Topic Editors: Da-Qi Cao, Qunhui Wang, Yuanyuan Ren, Yangmo ZhuDeadline: 30 June 2026
Special Issues
Special Issue in
Fermentation
Advances in Hydrogen Production: Toward a Sustainable Energy Future
Guest Editor: Malek AlkasrawiDeadline: 20 December 2025
Special Issue in
Fermentation
Feature Review Papers on Fermentation for Food and Beverages 2025
Guest Editor: Antonio MorataDeadline: 30 December 2025
Special Issue in
Fermentation
Innovative Biotechnological Production of Microbial Polysaccharides
Guest Editors: Christine Delbarre-Ladrat, Odile Francesca RestainoDeadline: 30 December 2025
Special Issue in
Fermentation
Applications of Computer Science and AI to Fermented Foods and Beverages
Guest Editor: Bernard ChenDeadline: 31 December 2025
Topical Collections
Topical Collection in
Fermentation
Bioconversion of Lignocellulosic Materials to Value-Added Products
Collection Editors: Alexander Rapoport, Pietro Buzzini


