Sign in to use this feature.

Years

Between: -

Subjects

remove_circle_outline
remove_circle_outline
remove_circle_outline
remove_circle_outline
remove_circle_outline
remove_circle_outline
remove_circle_outline
remove_circle_outline
remove_circle_outline

Journals

remove_circle_outline
remove_circle_outline
remove_circle_outline
remove_circle_outline
remove_circle_outline
remove_circle_outline
remove_circle_outline
remove_circle_outline
remove_circle_outline
remove_circle_outline
remove_circle_outline
remove_circle_outline
remove_circle_outline
remove_circle_outline

Article Types

Countries / Regions

remove_circle_outline
remove_circle_outline
remove_circle_outline
remove_circle_outline

Search Results (327)

Search Parameters:
Keywords = pretreatment protocol

Order results
Result details
Results per page
Select all
Export citation of selected articles as:
13 pages, 1862 KB  
Article
Assessment of Adhesive Protocols on the Repair Bond Strength of Vita Enamic Polymer-Infiltrated Ceramic Network Using Functional Monomer-Containing Universal Adhesives
by Benyapa Korcharoenrat, Tool Sriamporn, Niyom Thamrongananskul, Nantawan Krajangta and Awiruth Klaisiri
Ceramics 2026, 9(3), 32; https://doi.org/10.3390/ceramics9030032 (registering DOI) - 14 Mar 2026
Abstract
The aim of this research was to assess the effects of different adhesive surface treatment protocols using universal adhesives on the shear bond strength (SBS) between a Vita Enamic and resin composite, as well as to analyze the associated failure modes. Eighty Vita [...] Read more.
The aim of this research was to assess the effects of different adhesive surface treatment protocols using universal adhesives on the shear bond strength (SBS) between a Vita Enamic and resin composite, as well as to analyze the associated failure modes. Eighty Vita Enamic ceramics were prepared, thermocycled, and randomly allocated into eight experimental groups following silane coupling agent pretreatment and adhesive system: Single Bond 2 (SB), silane + SB, Scotchbond Universal Plus (SBP), silane + SBP, Beautibond Xtreme (BEX), silane + BEX, Tetric N-Bond Universal (TUB), and silane + TUB. All specimens were etched with 9% hydrofluoric acid prior to adhesive application. Resin composites were bonded to the treated surfaces and subjected to SBS analysis using a universal testing device. Failure modes were performed under a stereomicroscope. Data were statistically determined using one-way ANOVA and Tukey’s post hoc test (α = 0.05). Statistically significant differences in SBS were indicated among the groups (p < 0.05). In the result, the SB (13.96 ± 2.34 MPa) and TUB (12.39 ± 2.91 MPa) groups exhibited the lowest SBS values and exclusively adhesive failure modes. Groups treated with silane and/or silane-containing universal adhesives (Sl + SB; 18.42 ± 3.11 MPa, SBP; 19.01 ± 2.62 MPa, BEX; 19.20 ± 2.96 MPa and Sl + TUB; 18.16 ± 2.82 MPa) demonstrated significantly higher SBS. The highest SBS values were achieved in the silane + SBP (24.53 ± 2.66 MPa) and silane + BEX (25.12 ± 2.74 MPa) groups, which were statistically comparable to each other and superior to all other groups. These groups also showed increased proportions of mixed and cohesive failures, indicating improved interfacial integrity. In conclusion, the SBS between Vita Enamic and the resin composite was significantly influenced by surface pretreatment and adhesive composition. Hydrofluoric acid etching combined with silane coupling agent pretreatment and silane coupling agent-containing universal adhesives provided the highest bond strength, supporting a multimodal strategy for the reliable repair of Vita Enamic restorations. Full article
Show Figures

Figure 1

31 pages, 1497 KB  
Review
Recent Advance in the Sample Pretreatments for Drug Analysis in Zebrafish
by Ting Wang, Chuyu Wang, Mingjing Luo, Xinyu Wang, Yiwen Chen, Zhi Yang, Guang Hu and Weikang Liu
Pharmaceuticals 2026, 19(3), 465; https://doi.org/10.3390/ph19030465 - 12 Mar 2026
Viewed by 59
Abstract
Zebrafish, as an emerging model organism, are widely used in in vivo pharmacodynamic and pharmacokinetic studies. Unlike direct chemical analyses that require no sample preparation, most biological samples must undergo preprocessing steps—procedures that profoundly affect analytical outcomes. This paper systematically summarizes the main [...] Read more.
Zebrafish, as an emerging model organism, are widely used in in vivo pharmacodynamic and pharmacokinetic studies. Unlike direct chemical analyses that require no sample preparation, most biological samples must undergo preprocessing steps—procedures that profoundly affect analytical outcomes. This paper systematically summarizes the main methods and types of zebrafish sample pretreatment currently in use, aiming to provide a reference for future research in zebrafish sample analysis and preparation. A systematic search was conducted across PubMed, Web of Science, and CNKI for studies published between 2014 and 2024 focusing on liquid–liquid extraction (LLE), solid phase extraction (SPE), and related techniques for zebrafish drug analysis. The results indicate that traditional methods, including LLE and protein precipitation, remain prevalent due to their operational simplicity, but are limited by low enrichment efficiency and pronounced matrix effects (MEs). In contrast, advanced SPE techniques, particularly solid phase microextraction (SPME), are increasingly favored for complex biological sample processing, with key trends including technique hyphenation (e.g., SPME–high-performance liquid chromatography (SPME-HPLC), and micro-SPE–mass spectrometry (µSPE-MS)) and the development of novel sorbents. Despite these advances, current challenges persist, such as immature rapid on-site pretreatment protocols, the difficulty of balancing analytical efficiency with operational simplicity, and the lack of standardized procedures across studies. Overall, zebrafish sample pretreatment techniques are evolving toward higher efficiency, selectivity, and automation. Future research efforts should prioritize the development of intelligent, eco-friendly pretreatment methods and the establishment of unified standards to enhance the reproducibility and comparability of zebrafish-based pharmacological studies. Full article
(This article belongs to the Special Issue Application of Zebrafish Model in Pharmacology and Toxicology)
Show Figures

Graphical abstract

18 pages, 3480 KB  
Article
Regulating Iron Carbide Evolution over CNT-Supported Fe Catalysts by Mn Incorporation for Selective CO Hydrogenation to Linear α-Olefins
by Hengxuan Zhang, Zixing Shi, Yan Sun, Qiwen Sun and Jiancheng Wang
Catalysts 2026, 16(3), 244; https://doi.org/10.3390/catal16030244 - 5 Mar 2026
Viewed by 320
Abstract
Linear α-olefins (LAOs) from CO/H2 represent an attractive non-petroleum route, yet their selective formation over Fe catalysts is often limited by CO2 formation via water–gas shift (WGS) reaction and by secondary hydrogenation that consumes terminal olefins. In this work, we demonstrate [...] Read more.
Linear α-olefins (LAOs) from CO/H2 represent an attractive non-petroleum route, yet their selective formation over Fe catalysts is often limited by CO2 formation via water–gas shift (WGS) reaction and by secondary hydrogenation that consumes terminal olefins. In this work, we demonstrate that these competing pathways can be regulated on carbon-nanotube (CNT) supported Fe catalysts by controlling the CNT interfacial oxygen environment through NO treatment or high-temperature annealing and by adjusting the Mn incorporation protocol between co-impregnation and stepwise addition. Under identical reaction conditions at 280 °C and 3.0 MPa with an H2-to-CO ratio of 1, high-temperature treated CNTs improve olefin preservation and LAO retention compared with NO-treated CNTs. Mn promotion further shifts selectivity toward α-olefins and lowers CO2 selectivity. At the same Fe-to-Mn ratio, the Mn introduction sequence produces distinct reducibility and CO-binding behaviors that lead to different steady-state oxide and carbide phases. XPS, H2-TPR, and CO-TPD collectively suggest that CNT pretreatment and the Mn protocol modulate near-surface oxygen speciation, reduction kinetics, and CO adsorption strength. Mössbauer spectroscopy confirms a predominantly χ-Fe5C2 population and indicates the presence of ε-Fe2C in selected samples together with residual oxide and superparamagnetic Fe species. These results highlight the importance of controlling the CNT–metal interface and Mn–Fe proximity to enhance LAO retention under high-temperature CO hydrogenation. Full article
(This article belongs to the Section Catalytic Materials)
Show Figures

Graphical abstract

12 pages, 740 KB  
Article
Effect of Gallic Acid Pretreatment and Application Mode on Dentin Bond Strength of a Universal Adhesive System After Thermal Aging: An In Vitro Study
by Cansu Dağdelen Ahısha and Mine Betül Üçtaşlı
Appl. Sci. 2026, 16(5), 2384; https://doi.org/10.3390/app16052384 - 28 Feb 2026
Viewed by 133
Abstract
Background: This in vitro study evaluated the effects of two different adhesive application approaches (total-etch and self-etch) and gallic acid (GA) pretreatment on the dentin microshear bond strength (μSBS) of a universal adhesive system. Bond strength was assessed both before thermal aging and [...] Read more.
Background: This in vitro study evaluated the effects of two different adhesive application approaches (total-etch and self-etch) and gallic acid (GA) pretreatment on the dentin microshear bond strength (μSBS) of a universal adhesive system. Bond strength was assessed both before thermal aging and following aging procedures simulating approximately 1 and 5 years of clinical service. Materials and Methods: One hundred twenty intact human incisors were allocated to experimental groups according to the adhesive strategy, presence or absence of gallic acid (GA) pretreatment, and thermocycling regimen (0, 10,000, or 50,000 cycles). A universal adhesive system (G-Premio BOND) in combination with a nanohybrid composite resin was applied in accordance with the manufacturers’ instructions. Microshear bond strength (µSBS) was determined using a universal testing device. The obtained data were analyzed by three-way ANOVA and subsequently compared using Tukey’s post hoc test at a significance level of 0.05. Results: In the total-etch approach, pretreatment with gallic acid (GA) resulted in significantly greater µSBS values than those observed in the corresponding untreated specimens under all aging conditions (no thermocycling: 18.53 ± 0.99 vs. 11.33 ± 0.81 MPa; 1-year: 19.86 ± 0.82 vs. 11.60 ± 0.58 MPa; 5-year: 19.04 ± 0.62 vs. 10.28 ± 0.83 MPa; p = 0.001). A comparable trend was noted for the self-etch strategy, where GA application significantly enhanced bond strength compared with the non-treated groups (no thermocycling: 21.70 ± 0.98 vs. 14.19 ± 1.17 MPa; 1-year: 22.60 ± 0.50 vs. 14.94 ± 0.85 MPa; 5-year: 22.32 ± 0.59 vs. 12.94 ± 0.84 MPa; p = 0.001). Across all thermocycling conditions, the self-etch mode consistently produced higher bond strength values than the total-etch mode. Thermal aging did not significantly influence µSBS in the GA-treated groups. In contrast, in the absence of GA pretreatment, thermocycling led to a reduction in bond strength, particularly after the 5-year aging protocol. Conclusions: Gallic acid pretreatment significantly improved dentin bond strength and contributed to the preservation of bond durability after thermal aging. The highest µSBS values were obtained when the self-etch approach was combined with gallic acid (GA) pretreatment, suggesting that GA may serve as a beneficial adjunct for improving the durability and long-term performance of resin–dentin bonds. Full article
(This article belongs to the Section Applied Dentistry and Oral Sciences)
Show Figures

Figure 1

18 pages, 5659 KB  
Article
Efficient Determination of β-Agonists in Environmental Water and Animal-Derived Matrices by NH2-UiO-66 Based d-SPE Coupled with UPLC-MS/MS: Performance, Mechanism and Application
by Chujun Liu, Yuliang Xu, Sihan Wang, Boyan Sun, Zimo Liu, Qian Ran, Jiankang Ren, Zhiyue Feng, Jie Xie and Haiyang Jiang
Agriculture 2026, 16(5), 519; https://doi.org/10.3390/agriculture16050519 - 26 Feb 2026
Viewed by 264
Abstract
β-agonists are prohibited antibiotics that have raised concerns due to their illegal use in the livestock industry, posing potential toxicity risks to human health. For ultra-performance liquid chromatography–tandem mass spectrometry (UPLC-MS/MS) analysis of β-agonists, effective sample pretreatment is a crucial and [...] Read more.
β-agonists are prohibited antibiotics that have raised concerns due to their illegal use in the livestock industry, posing potential toxicity risks to human health. For ultra-performance liquid chromatography–tandem mass spectrometry (UPLC-MS/MS) analysis of β-agonists, effective sample pretreatment is a crucial and challenging process that dictates the overall reliability and sensitivity of the method. Thus, this study developed a reliable method utilizing dispersive solid-phase extraction (d-SPE) with NH2-UiO-66 as a superior adsorbent, coupled with UPLC-MS/MS, to extract and quantify β-agonists in environmental water, swine urine, and milk. The synthesized NH2-UiO-66 exhibited outstanding adsorption capacities (146.06–358.00 mg/g) towards the target analytes. The optimized method demonstrated excellent performance: low matrix effects (−13.10–15.30%), wide linearity (0.1–50 μg/L), low limits of detection (0.04–0.09 μg/L), and satisfactory recoveries (81.48–106.67%) with good precision (intra-day RSDs 1.51–6.24%; inter-day RSDs 2.06–10.96%). Adsorption mechanism studies revealed that the extraction process, which followed the Langmuir isotherm and pseudo-second-order kinetic models, was driven primarily by electrostatic interactions, π-π stacking, and hydrogen bonding. Moreover, the material could be reused up to 10 times, with satisfactory recoveries of 81.30% to 116.10%. The proposed NH2-UiO-66-d-SPE-UPLC-MS/MS protocol is generic and provides a robust and practical solution for monitoring trace β-agonists in animal-derived foods and environmental samples, ensuring food safety and environmental health. Full article
(This article belongs to the Special Issue Antibiotic Detection in Animal-Derived Agricultural Products)
Show Figures

Figure 1

11 pages, 230 KB  
Article
Assessing Seed Vigor for Direct-Seeded Rice: A Novel High-Temperature Germination Protocol for Late-Season Cropping
by Yang Wang, Jie Zhou, Xiaoyang Chen, Yixin Cheng, Xiaohang Jiang, Ruo Qi, Liangquan Jia and Guangwu Zhao
Agriculture 2026, 16(5), 512; https://doi.org/10.3390/agriculture16050512 - 26 Feb 2026
Viewed by 217
Abstract
Rapid and uniform seedling establishment is critical for the productivity of direct-seeded rice, particularly in late-season cropping systems where sowing frequently coincides with high-temperature stress. Current seed quality assessment relies predominantly on the Standard Germination Test (SGT); however, this method, conducted under optimal [...] Read more.
Rapid and uniform seedling establishment is critical for the productivity of direct-seeded rice, particularly in late-season cropping systems where sowing frequently coincides with high-temperature stress. Current seed quality assessment relies predominantly on the Standard Germination Test (SGT); however, this method, conducted under optimal conditions, often fails to predict field performance in thermally stressful environments. To resolve this discrepancy, this study established a High-Temperature Germination (HTG) protocol optimized specifically for late-season rice. Twenty-three diverse rice genotypes—comprising conventional japonica, indica-japonica hybrids, and indica hybrids—were evaluated using SGT and HTG assays at 35 °C, 38 °C, and 41 °C, incorporating a pre-treatment with trichloroisocyanuric acid (TCCA) to standardize initial seed conditions. Validation was conducted through field trials at two distinct locations in Zhejiang, China. The results demonstrated that while SGT indicated high viability (>85%) for most varieties, it exhibited a poor correlation with field emergence (r < 0.31). In contrast, HTG tests conducted at 38 °C and 41 °C showed reliable predictive validity, yielding highly significant correlations with field establishment (r > 0.70, p < 0.001). Significant genotypic variation was observed: hybrid varieties displayed superior thermotolerance and stable germination even at 41 °C, whereas conventional japonica varieties exhibited marked sensitivity to temperatures exceeding 35 °C. These findings highlight the potential of the HTG assay (specifically at 38 °C or 41 °C) as an effective, cost-efficient, and rapid screening tool. By accurately simulating the acute thermal stress of the sowing-to-emergence window, this method facilitates the identification of climate-resilient germplasm and supports reliable stand establishment in direct-seeded rice production. Full article
(This article belongs to the Section Seed Science and Technology)
17 pages, 1759 KB  
Article
Effect of Dentin Surface Pretreatments and Thermocycling on the Shear Bond Strength of Resin Cement: An In Vitro Study
by Pimchanok Thatphet, Wisarut Prawatvatchara, Awiruth Klaisiri, Tool Sriamporn and Niyom Thamrongananskul
J. Compos. Sci. 2026, 10(2), 106; https://doi.org/10.3390/jcs10020106 - 17 Feb 2026
Viewed by 387
Abstract
The objective of this in vitro study was to investigate the effects of dentin pretreatment protocols and thermocycling on the shear bond strength (SBS) of a self-adhesive resin cement (Maxcem elite chroma) on dentin. A total of 168 extracted human third molars were [...] Read more.
The objective of this in vitro study was to investigate the effects of dentin pretreatment protocols and thermocycling on the shear bond strength (SBS) of a self-adhesive resin cement (Maxcem elite chroma) on dentin. A total of 168 extracted human third molars were randomly divided into four main groups according to dentin pretreatment: no treatment, 10% polyacrylic acid, Optibond universal, and Scotchbond universal plus. Half of these were subjected to thermocycling (5000 cycles; 5–55 °C). Composite resin rods were bonded using the self-adhesive resin cement, and SBS was measured with a universal testing machine. Two-way ANOVA showed that dentin pretreatment and thermocycling significantly affected SBS, with significant interaction between factors (p < 0.001). The highest SBS was observed in the Optibond universal group (18.71 ± 0.43 MPa), while the lowest SBS occurred in the 10% polyacrylic acid-treated group after thermocycling (2.69 ± 0.39 MPa). Thermocycling significantly reduced SBS in all groups. These results indicate that pretreatment with a compatible universal adhesive improves bond durability, whereas 10% polyacrylic acid pretreatment adversely affects bonding performance. Full article
(This article belongs to the Section Composites Applications)
Show Figures

Figure 1

29 pages, 3427 KB  
Article
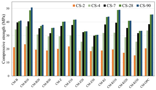
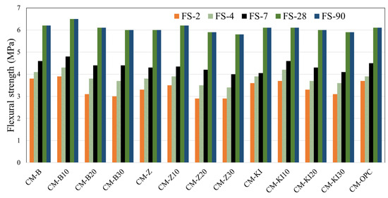
Green Materials for Cement Clinker: Assessing Alternative Raw Material Potential
by Anja Terzić, Jovica Stojanović, Marija Marković, Ivana N. Jelić, Aleksandar Radoje Savić and Dragan Radulović
Materials 2026, 19(4), 741; https://doi.org/10.3390/ma19040741 - 14 Feb 2026
Viewed by 302
Abstract
The production route for cement clinker, including the clinkerization protocol and temperature, is highly dependent on the selection of raw materials. Natural resource reserves used in cement manufacturing are steadily declining due to rapid urbanization and the growing demand for building materials. Consequently, [...] Read more.
The production route for cement clinker, including the clinkerization protocol and temperature, is highly dependent on the selection of raw materials. Natural resource reserves used in cement manufacturing are steadily declining due to rapid urbanization and the growing demand for building materials. Consequently, there is an urgent need to identify alternative resources, potentially from cost-effective primary raw materials or waste products. This study aims to evaluate the feasibility of incorporating recycled concrete as construction and demolition waste (C&DW) with unconventional clayey materials (bentonite and zeolite) into clinker synthesis at a reduced temperature of 1300 °C. The effect of mechanical pretreatment of the clinker raw meal, applied for durations of 10 to 30 min, was investigated. Mix designs combining traditional and alternative raw materials, along with different mechanical pretreatment durations, were systematically tested to assess their impact on raw meal clinkerization and the resulting cement mechanical properties. Despite variations in raw meal composition, the produced clinkers consistently exhibited phase compositions comprising C3S, C2S, C3A, and C4AF, as confirmed by XRD, FTIR, and SEM/EDS analyses. Among the studied raw materials, clayey components played a dominant role in controlling the formation of the main cement minerals, demonstrating that zeolite and bentonite can effectively substitute standard clays. Additionally, C&DW did not impede clinkerization; rather, it functioned as a silica source, replacing quartz sand. Short mechanical pretreatments (10 min) enhanced the content of cement minerals, whereas longer treatments adversely affected clinkerization. This study offers new insights into cement clinker production at reduced temperatures through the use of C&DW combined with unconventional clayey materials. The clinkerization temperature was reduced by approximately 100 °C from the conventional 1400–1450 °C, while still producing cements with mechanical performance comparable to ordinary Portland cement (OPC). The resulting zeolite- and bentonite-based cements, either mechanically untreated or subjected to short pretreatment, are potentially suitable for structural concrete applications, while cements produced with longer mechanical pretreatments may be more appropriate for lower-demand or non-structural uses. Full article
(This article belongs to the Section Construction and Building Materials)
Show Figures

Figure 1

12 pages, 243 KB  
Article
Effect of Music-Based Interventions on Dental Anxiety During Restorative Dental Treatment: A Randomized Controlled Trial
by Merve İşcan Yapar, Neslihan Çelik, Murat Şentürk, Tubanur Çebi Akyüz, Murat Daşhan and Ahmet Kızıltunç
J. Clin. Med. 2026, 15(3), 1256; https://doi.org/10.3390/jcm15031256 - 4 Feb 2026
Viewed by 446
Abstract
Background/Objectives: Dental anxiety is a common clinical problem that negatively affects patient cooperation, treatment acceptance, and physiological stability during dental procedures. This randomized controlled clinical trial study aimed to evaluate the effectiveness of music-based interventions in reducing dental anxiety and stress responses [...] Read more.
Background/Objectives: Dental anxiety is a common clinical problem that negatively affects patient cooperation, treatment acceptance, and physiological stability during dental procedures. This randomized controlled clinical trial study aimed to evaluate the effectiveness of music-based interventions in reducing dental anxiety and stress responses during restorative dental treatment. The null hypothesis was that music exposure would not result in significant differences in anxiety levels or physiological stress parameters compared with standard dental care. Methods: Seventy-five patients with moderate to high pre-treatment dental anxiety (MDAS ≥10) were randomly assigned to three groups: classical music, Turkish music, and control (no music) (n = 25 per group). Anxiety levels were assessed using the Modified Dental Anxiety Scale (MDAS). Restorations were performed using a standardized adhesive protocol. Physiological parameters, including systolic and diastolic blood pressure (SBP, DBP), heart rate (HR), and oxygen saturation (SpO2), as well as salivary cortisol and alpha-amylase levels, were measured before and after restorative treatment. Salivary cortisol and amylase levels were measured using a Human ELISA Kit. Statistical analysis was performed using paired t-tests and one-way ANOVA with Tukey’s post hoc test (p < 0.05). Results: Both music groups showed significant reductions in SBP, DBP, HR, cortisol, amylase, and MDAS scores compared to the control group (p < 0.05). Oxygen saturation increased significantly in the music groups, whereas it decreased significantly in the control group. There were no significant differences between classical and Turkish music regarding their anxiety-reducing effects. Conclusions: Music-based interventions effectively reduce dental anxiety and physiological stress during restorative dental procedures. This study is novel in simultaneously evaluating subjective anxiety scores and multiple physiological and biochemical stress markers in adult patients undergoing restorative treatment, supporting music as a simple and non-invasive adjunct in clinical dentistry. Full article
(This article belongs to the Section Dentistry, Oral Surgery and Oral Medicine)
13 pages, 1485 KB  
Article
In Vitro Evaluation of the Effect of Microabrasion and Resin Infiltration Materials on Enamel Microhardness and Penetration Depth
by Elif Ercan Devrimci, İdil Gönüllü, Hande Kemaloğlu, Murat Türkün and Ayşegül Demirbaş
J. Funct. Biomater. 2026, 17(2), 67; https://doi.org/10.3390/jfb17020067 - 29 Jan 2026
Viewed by 460
Abstract
Background: This in vitro study aimed to evaluate the effect of microabrasion as a surface pretreatment and to compare an experimental resin infiltrant with a commercially available system (ICON) in terms of enamel surface microhardness recovery and resin penetration depth in artificially demineralized [...] Read more.
Background: This in vitro study aimed to evaluate the effect of microabrasion as a surface pretreatment and to compare an experimental resin infiltrant with a commercially available system (ICON) in terms of enamel surface microhardness recovery and resin penetration depth in artificially demineralized enamel lesions. Methods: Forty-eight caries-free human third molars were prepared to obtain standardized enamel specimens, and artificial enamel lesions were created using a pH-cycling model. Specimens were randomly allocated into four groups (n = 12): experimental resin with microabrasion, experimental resin without microabrasion, ICON resin with microabrasion, and ICON resin without microabrasion. When indicated, microabrasion was performed using a 6.6% hydrochloric acid paste for a total application time of 30 s, followed by standard hydrochloric acid etching as part of the infiltration protocol. Enamel surface microhardness was measured at baseline, after demineralization, and after resin infiltration. Resin penetration depth was assessed using confocal laser scanning microscopy, with six specimens per group (n = 6). Data were analyzed using repeated-measures mixed-effects models and one-way ANOVA (p < 0.05). Results: Resin infiltration resulted in a partial recovery of enamel surface microhardness following demineralization; however, baseline hardness values were not fully restored, and no statistically significant differences were observed among the study groups (p > 0.05). These findings indicate surface stabilization rather than complete mechanical or mineral restoration. The ICON resin demonstrated significantly greater penetration depth than the experimental resin. In both resin systems, microabrasion significantly increased penetration depth. Conclusions: Within the limitations of this in vitro study, resin infiltration primarily contributed to the stabilization of demineralized enamel surfaces rather than true remineralization or full mechanical recovery. Although microabrasion enhanced resin penetration depth, this effect should be interpreted with caution due to the potential for cumulative enamel loss. From a clinical perspective, these findings support the selective use of microabrasion to enhance resin infiltration in early enamel lesions with pronounced surface barriers, while emphasizing the need to balance penetration benefits against enamel preservation. Full article
(This article belongs to the Section Dental Biomaterials)
Show Figures

Figure 1

17 pages, 857 KB  
Article
Life Cycle Assessment of Laboratory Analytical Workflows for Microplastics Quantification in Environmental Matrices: Sargassum and Seagrass Approach
by Ramón Fernando Colmenares-Quintero, Laura Stefania Corredor-Muñoz, Juan Carlos Colmenares-Quintero and Sara Piedrahita-Rodriguez
Processes 2026, 14(2), 258; https://doi.org/10.3390/pr14020258 - 12 Jan 2026
Viewed by 562
Abstract
Microplastic quantification in marine vegetated ecosystems remains analytically demanding, yet little is known about the environmental footprint of the laboratory procedures required to isolate and measure these particles. This study applies Life Cycle Assessment (LCA) to laboratory analytical workflows for microplastics quantification, focusing [...] Read more.
Microplastic quantification in marine vegetated ecosystems remains analytically demanding, yet little is known about the environmental footprint of the laboratory procedures required to isolate and measure these particles. This study applies Life Cycle Assessment (LCA) to laboratory analytical workflows for microplastics quantification, focusing exclusively on sample preparation and analytical procedures rather than natural environmental absorption or fate processes, in two ecologically relevant matrices: (i) pelagic algae (Sargassum) and (ii) seagrass biomass. Using the openLCA 2.5 and the ReCiPe Midpoint (H) v1.13 methods, the analysis integrates foreground inventories of digestion, filtration, drying, and spectroscopic identification, combined with background datasets from OzLCI2019, ELCD 3.2 and USDA. Results show substantially higher impacts for the algae scenario, particularly for climate change, human toxicity, ionising radiation and particulate matter formation, largely driven by longer digestion times, increased reagent use and higher energy demand during sample pre-treatment. Conversely, the seagrass scenario exhibited lower burdens per functional unit due to reduced organic complexity and shorter laboratory processing requirements. These findings highlight the importance of matrix-specific methodological choices and the influence of background datasets on impact profiles. This study provides the first benchmark for the environmental performance of microplastic analytical workflows and underscores the need for harmonised, low-impact laboratory protocols to support sustainable monitoring of microplastic pollution in marine ecosystems. Full article
(This article belongs to the Section Environmental and Green Processes)
Show Figures

Figure 1

12 pages, 280 KB  
Article
Use of Heterophilic Blocking Tubes in Suspected Heterophile Antibody Interference Among Pubertal Patients
by Aysun Ekinci, Revsa Evin Canpolat Erkan, Ismail Yildiz, Naile Fevziye Misirlioglu and Hafize Uzun
Medicina 2026, 62(1), 129; https://doi.org/10.3390/medicina62010129 - 8 Jan 2026
Viewed by 520
Abstract
Background and Objectives: Today, immunoassay methods are still widely used in the analysis of hormone tests. Due to the properties of the reagents used in immunoassay analyses and components other than the measured analyte, deviations in clinical results may occur. There are many [...] Read more.
Background and Objectives: Today, immunoassay methods are still widely used in the analysis of hormone tests. Due to the properties of the reagents used in immunoassay analyses and components other than the measured analyte, deviations in clinical results may occur. There are many factors that cause this condition called interference, and one of the most common of these is heterophile antibody (Ab). Puberty is a process that begins between the ages of 8 and 13 in girls and 9 and 14 in boys. Pulsatile luteinizing hormone (LH) release during sleep is the first hormonal change that indicates the approach of puberty. The reliability of the laboratory analysis result is important. In order to determine whether there is a risk of interference in the LH tests we analyzed in our laboratory, 48 serum samples of pediatric patients belonging to the pubertal age group were included in the study. Materials and Methods: In order to evaluate the suspicion of heterophile Ab interference, we measured the samples again by binding the antibodies and removing them from the matrix, as recommended in the Clinical and Laboratory Standards Institute (CLSI) I/LA30 guideline. For this, we used a heterophile blocking tube (HBT). We analyzed the samples with Beckman Coulter UniCel DxI 800 and Roche Cobas e601 immunoassay systems. We aliquoted the supernatants of the samples processed according to the HBT application protocol and measured them on both autoanalyzers. Results: We found a significant difference between the results of the samples measured before and after HBT pretreatment on the Beckman Coulter UniCel DxI 800 autoanalyzer (p = 0.01). LH values after HBT were higher than those before HBT: very high LH values were obtained in 4 patients, while the values showed increases ranging from 2 to 4.64-fold in 5 patients. There was no significant difference between the results evaluated before and after HBT pretreatment on the Roche Cobas e601 autoanalyzer (p = 0.27). Although there was a significant difference between the LH results of the HBT-untreated sera obtained in two different autoanalyzers (p < 0.001), we found that the LH measurements after HBT pretreatment did not create a statistically significant difference between the two devices (p = 0.76). Conclusions: We concluded that while HBTs were ineffective in detecting heterophile antibody interference in LH testing, the study underscores the complexity of interference in pediatric hormone assays and highlights the need for further investigation into alternative methods to ensure reliable test results in this age group. Full article
(This article belongs to the Section Endocrinology)
30 pages, 1055 KB  
Review
Anaerobic Digestion of Flower Waste: A Review on Biomethane Potential, Process Optimization, and Sustainability Perspectives
by Mariana Rodriguez Popich, Miguel Nogueira and Rita Fragoso
Energies 2026, 19(2), 289; https://doi.org/10.3390/en19020289 - 6 Jan 2026
Viewed by 619
Abstract
The global floriculture industry generates massive organic residues that pose environmental risks but offer untapped bioenergy potential. This review evaluates the feasibility of valorizing flower waste through anaerobic digestion (AD) by synthesizing experimental data on substrate characterization, pretreatment efficacy, and reactor performance. Results [...] Read more.
The global floriculture industry generates massive organic residues that pose environmental risks but offer untapped bioenergy potential. This review evaluates the feasibility of valorizing flower waste through anaerobic digestion (AD) by synthesizing experimental data on substrate characterization, pretreatment efficacy, and reactor performance. Results indicate that biochemical methane potentials (BMP) vary significantly, ranging from 89 to 412 mLCH4·g−1VS, depending on plant species and tissue composition. Major bottlenecks include high lignocellulosic recalcitrance (lignin content up to 0.28 g·g−1TS) and the presence of inhibitory phenolic compounds. Analysis reveals that while alkaline pretreatments effectively disrupt lignocellulosic structures, co-digestion strategies are essential to mitigate inhibition and balance nutrient ratios. However, current research is predominantly limited to laboratory-scale batch assays, leaving a critical knowledge gap regarding long-term process stability and inhibition dynamics in continuous systems. To transform this laboratory concept into a scalable technology, future efforts must focus on pilot-scale continuous reactor trials, standardized testing protocols, and comprehensive techno-economic and life cycle assessments. Full article
(This article belongs to the Special Issue Biomass Resources to Bioenergy: 2nd Edition)
Show Figures

Graphical abstract

26 pages, 856 KB  
Systematic Review
Intraperitoneal Chemotherapy Strategies in Pancreatic Ductal Adenocarcinoma: A Systematic Review of Hyperthermic Intraperitoneal Chemotherapy, Normothermic Intraperitoneal Chemotherapy, and Pressurized Intraperitoneal Aerosol Chemotherapy
by Nency Ganatra, Ahmed Abdelhakeem, Pragya Jain, Saivaishnavi Kamatham, Dina Elantably, Oluwatayo Adeoye, Hani M. Babiker, Conor D. O’Donnell and Umair Majeed
Cancers 2026, 18(2), 182; https://doi.org/10.3390/cancers18020182 - 6 Jan 2026
Viewed by 588
Abstract
Background: Peritoneal metastasis represents an aggressive disease pattern in pancreatic ductal adenocarcinoma (PDAC), traditionally associated with poor survival and limited therapeutic options. Emerging intraperitoneal chemotherapy strategies—including hyperthermic intraperitoneal chemotherapy (HIPEC), normothermic intraperitoneal paclitaxel (NIPEC/IP-PTX), and pressurized intraperitoneal aerosol chemotherapy (PIPAC)—have been investigated to [...] Read more.
Background: Peritoneal metastasis represents an aggressive disease pattern in pancreatic ductal adenocarcinoma (PDAC), traditionally associated with poor survival and limited therapeutic options. Emerging intraperitoneal chemotherapy strategies—including hyperthermic intraperitoneal chemotherapy (HIPEC), normothermic intraperitoneal paclitaxel (NIPEC/IP-PTX), and pressurized intraperitoneal aerosol chemotherapy (PIPAC)—have been investigated to improve local tumor control and survival outcomes. Methods: We systematically reviewed published studies evaluating HIPEC, NIPEC/IP-PTX, and PIPAC in PDAC, including adjuvant, cytoreductive, and palliative settings. Study characteristics, feasibility, perioperative outcomes, oncologic outcomes, and risk of bias were analyzed. Results: Across modalities, intraperitoneal treatment strategies demonstrated acceptable feasibility and safety profiles in appropriately selected patients. Adjuvant HIPEC following pancreatectomy showed reduced local–regional recurrence signals in limited cohorts. CRS + HIPEC among patients with isolated peritoneal metastases yielded encouraging multi-year survival in highly selected candidates achieving complete cytoreduction. NIPEC/IP-PTX demonstrated favorable ascites control, symptom relief, and potential conversion to resection in select patients. PIPAC was primarily used in unresectable, heavily pretreated, palliative peritoneal metastasis settings, with goals centered on disease stabilization, histologic regression, and symptom control rather than curative intent. Conclusions: Intraperitoneal chemotherapy strategies in PDAC appear feasible with signals of meaningful clinical benefit in select settings. While CRS + HIPEC may benefit carefully selected metastatic patients, NIPEC/IP-PTX and PIPAC hold value primarily in symptom control and disease stabilization. Larger prospective trials are needed to define patient selection, optimize treatment protocols, and clarify survival benefit. Full article
Show Figures

Graphical abstract

14 pages, 4531 KB  
Review
Quantitative Surface-Enhanced Raman Spectroscopy: Challenges, Strategies, and Prospects
by Zhixuan Lu, Jun Wang and Sen Yan
Molecules 2026, 31(1), 191; https://doi.org/10.3390/molecules31010191 - 5 Jan 2026
Viewed by 854
Abstract
Surface-Enhanced Raman Spectroscopy (SERS) is highly attractive as an analytical technique owing to its high sensitivity, distinctive molecular specificity, and speed of analysis. It offers the potential to match the sensitivity and molecular specificity of established techniques like Gas Chromatography–Mass Spectrometry in a [...] Read more.
Surface-Enhanced Raman Spectroscopy (SERS) is highly attractive as an analytical technique owing to its high sensitivity, distinctive molecular specificity, and speed of analysis. It offers the potential to match the sensitivity and molecular specificity of established techniques like Gas Chromatography–Mass Spectrometry in a more affordable, faster, and portable format, providing unique solutions for challenging analytical problems such as bedside diagnostics and in-field forensic analysis. Despite these benefits, SERS currently remains a specialized technique and has not yet successfully entered the mainstream of analytical chemistry. This transition is hindered primarily by challenges in achieving robust, reliable, and especially quantitative measurements in real-world applications. Achieving quantitative SERS requires addressing core issues arising from the heterogeneous nature of enhancing substrates and the complexity of real-life samples. This perspective summarizes the fundamental challenges associated with signal variability and matrix interference. It then details modern strategies focused on standardizing performance metrics, with particular emphasis on the newly proposed SERS Performance Factor for substrate evaluation, alongside the development of advanced quantification methods (e.g., internal standardization and digital SERS) and rapid sample pretreatment protocols. Finally, emerging prospects, including the deployment of Artificial Intelligence for enhanced analysis and advancements in deep-tissue SERS sensing, are explored as critical drivers for integrating SERS into routine analytical practice. Full article
(This article belongs to the Section Analytical Chemistry)
Show Figures

Figure 1

Back to TopTop