Journal Description
Biosensors
Biosensors
is an international, peer-reviewed, open access journal on the technology and science of biosensors, published monthly online by MDPI.
- Open Access— free for readers, with article processing charges (APC) paid by authors or their institutions.
- High Visibility: indexed within Scopus, SCIE (Web of Science), PubMed, MEDLINE, PMC, Ei Compendex, Embase, CAPlus / SciFinder, Inspec, and other databases.
- Journal Rank: JCR - Q1 (Instruments and Instrumentation) / CiteScore - Q1 (Instrumentation)
- Rapid Publication: manuscripts are peer-reviewed and a first decision is provided to authors approximately 21.8 days after submission; acceptance to publication is undertaken in 2.8 days (median values for papers published in this journal in the first half of 2025).
- Recognition of Reviewers: reviewers who provide timely, thorough peer-review reports receive vouchers entitling them to a discount on the APC of their next publication in any MDPI journal, in appreciation of the work done.
Impact Factor:
5.6 (2024);
5-Year Impact Factor:
5.7 (2024)
Latest Articles
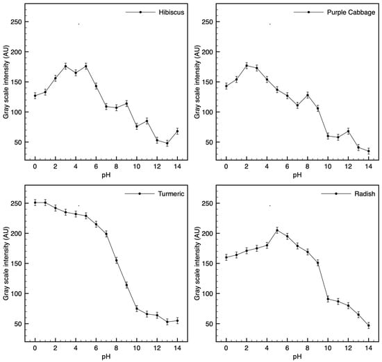
Paper-Based Colorimetric pH Test Strip Using Bio-Derived Dyes
Biosensors 2025, 15(12), 816; https://doi.org/10.3390/bios15120816 - 16 Dec 2025
Abstract
Natural dyes have emerged as a promising alternative to synthetic dyes for industrial applications due to their advantages, namely, easy availability, low cost, and environmental friendliness. In this sense, natural dyes, due to their potential to react over the pH range, could offer
[...] Read more.
Natural dyes have emerged as a promising alternative to synthetic dyes for industrial applications due to their advantages, namely, easy availability, low cost, and environmental friendliness. In this sense, natural dyes, due to their potential to react over the pH range, could offer an alternative to conventional pH measuring techniques for industrial products, such as potentiometers, sensors, or indicator drops. Therefore, this project aims to evaluate the potential of several natural organic dyes in response to changes in pH and develop an indicator for determining pH grades. We extracted and analyzed the pigments of forty natural vegetable species using two extraction methods with a mixture of solvents, specifically 70% MeOH/30% H2O. The results find that pigments of cabbage, hibiscus flower, radish, and turmeric in their dry state exhibit the best reaction over a broad pH range, and color can be easily distinguished according to its level. These findings demonstrate the potential of natural dyes as a novel approach for pH verification, providing a sustainable and cost-effective alternative to conventional techniques.
Full article
(This article belongs to the Section Biosensor Materials)
►
Show Figures
Open AccessArticle
Single-Exosome SERS Detection by Means of a Flexible Metasurface
by
Konstantin Mochalov, Denis Korzhov, Milena Shestopalova, Andrey Ivanov, Konstantin Afanasev, Alexander Smyk, Alexander Shurygin and Andrey K. Sarychev
Biosensors 2025, 15(12), 815; https://doi.org/10.3390/bios15120815 - 15 Dec 2025
Abstract
Single exosomes are detected via surface-enhanced Raman scattering (SERS) due to electromagnetic field accumulation on a specially designed flexible metasurface. This metasurface is a modulated silver nanofilm deposited on a thin, flexible plastic substrate. An explicit Equation for calculating the local electric field
[...] Read more.
Single exosomes are detected via surface-enhanced Raman scattering (SERS) due to electromagnetic field accumulation on a specially designed flexible metasurface. This metasurface is a modulated silver nanofilm deposited on a thin, flexible plastic substrate. An explicit Equation for calculating the local electric field is given. The field reaches extremely high values under plasmon resonance conditions and fills the depressions of the metasurface. The thin, flexible metasurface can be incorporated into automated Lab-On-Chip analytical systems and used for spectroscopic studies of exosomes. We propose a method to distinguish individual exosomes from the HEK293T cell line on the metasurface and then obtain and assign their SERS spectra. An important advantage of the plasmonic metasurface presented in this work is its spatial complementarity to exosomes and other vesicle-like objects. The plasmonic metasurface is fabricated using holographic lithography and further investigated using a correlation approach combining atomic force microscopy, scanning spreading resistance microscopy, and surface-enhanced spectroscopy.
Full article
(This article belongs to the Special Issue Raman Scattering-Based Biosensing)
►▼
Show Figures

Figure 1
Open AccessArticle
Quantitative Detection of Salmonella Typhimurium in Ground Chicken Using a Surface Plasmon Resonance (SPR) Biosensor
by
Sandhya Thapa and Fur-Chi Chen
Biosensors 2025, 15(12), 814; https://doi.org/10.3390/bios15120814 - 15 Dec 2025
Abstract
Regulatory agencies worldwide have implemented stringent measures to monitor and reduce Salmonella contamination in poultry products. Rapid quantitative detection methods enable producers to identify contamination early, implement corrective actions, and enhance food safety. This study aimed to develop and optimize a surface plasmon
[...] Read more.
Regulatory agencies worldwide have implemented stringent measures to monitor and reduce Salmonella contamination in poultry products. Rapid quantitative detection methods enable producers to identify contamination early, implement corrective actions, and enhance food safety. This study aimed to develop and optimize a surface plasmon resonance (SPR) biosensor for the quantitative detection of Salmonella Typhimurium in ground chicken. The sensor surface was functionalized with a well-characterized monoclonal antibody specific to Salmonella flagellin, and an SPR workflow was established for quantitative analysis. Ground chicken samples were inoculated with four S. Typhimurium strains at contamination levels ranging from −0.5 to 3.5 Log CFU/g and enriched at 42 °C for 10 or 12 h prior to SPR analysis. Contamination levels were confirmed using the Most Probable Number (MPN) method. Linear regression analysis indicated that optimal quantification was achieved after 10 h of enrichment (R2 ≥ 0.86), whereas extended enrichment (12 h) did not improve performance. The limit of quantification (LOQ) was below 1 CFU/g. A strong positive correlation (R2 ≥ 0.85) was observed between SPR and MPN results, demonstrating consistency between the two methods. These findings highlight SPR as a rapid, reliable, and cost-effective alternative to conventional methods for Salmonella quantification. By delivering accurate results within a single day, SPR enhances testing efficiency and supports the production of safer poultry products, thereby reducing public health risks associated with Salmonella contamination.
Full article
(This article belongs to the Special Issue Advances in Biosensors for Food Safety, Environmental Monitoring, and Biomedical Applications)
►▼
Show Figures

Figure 1
Open AccessArticle
Click Detect: A Rapid and Sensitive Assay for Shiga Toxin 2 Detection
by
Benjamin M. Thomas, Emma L. Webb, Katherine L. Yan, Alexi M. Fernandez and Zhilei Chen
Biosensors 2025, 15(12), 813; https://doi.org/10.3390/bios15120813 - 14 Dec 2025
Abstract
Shiga toxin-producing Escherichia coli (STEC) is a major foodborne pathogen, responsible for severe gastrointestinal disease and hemolytic uremic syndrome (HUS). Here, we report Click Detect, a novel diagnostic platform that leverages click display to efficiently produce sensing probes for sandwich-style antigen detection. Click
[...] Read more.
Shiga toxin-producing Escherichia coli (STEC) is a major foodborne pathogen, responsible for severe gastrointestinal disease and hemolytic uremic syndrome (HUS). Here, we report Click Detect, a novel diagnostic platform that leverages click display to efficiently produce sensing probes for sandwich-style antigen detection. Click display is an in vitro protein display technology that generates uniform and covalently linked protein–cDNA conjugates in a simple one-pot reaction format within 2 h. The captured sensing probe can be quantified by standard nucleic acid amplification assays. Using click displayed DARPin (D#20) as the sensing probe and a high-affinity nanobody (NG1) as the capture reagent, Click Detect reliably detected Shiga toxin 2 (Stx2) at 600 fM by quantitative PCR (qPCR) and 6 pM by loop-mediated isothermal amplification (LAMP). The assay maintained comparable sensitivity in matrices containing up to 40% public swimming pool water or lettuce extract, highlighting robustness for real-world surveillance applications. Key advantages of Click Detect include simple, rapid, and cost-effective (~USD 0.04 per assay) sensing probe preparation, as well as a versatile plug-and-play probe format for detecting other targets. We believe that Click Detect has great potential as a novel sensing platform for food/environmental monitoring and point-of-care diagnostics, with potentially broad applicability to other toxins and protein targets.
Full article
(This article belongs to the Special Issue Sensors for Detection of Bacteria and Their Toxins)
►▼
Show Figures

Figure 1
Open AccessArticle
Advancing Lateral Flow Detection in CRISPR/Cas12a Systems Through Rational Understanding and Design Strategies of Reporter Interactions
by
Irina V. Safenkova, Maria V. Kamionskaya, Dmitriy V. Sotnikov, Sergey F. Biketov, Anatoly V. Zherdev and Boris B. Dzantiev
Biosensors 2025, 15(12), 812; https://doi.org/10.3390/bios15120812 - 13 Dec 2025
Abstract
CRISPR/Cas12a systems coupled with lateral flow tests (LFTs) are a promising route to rapid, instrument-free nucleic acid diagnostics due to conversion target recognition into a simple visual readout via cleavage of dual-labeled single-stranded DNA reporters. However, the conventional CRISPR/Cas12a–LFT system is constructed in
[...] Read more.
CRISPR/Cas12a systems coupled with lateral flow tests (LFTs) are a promising route to rapid, instrument-free nucleic acid diagnostics due to conversion target recognition into a simple visual readout via cleavage of dual-labeled single-stranded DNA reporters. However, the conventional CRISPR/Cas12a–LFT system is constructed in a format where the intact reporter should block nanoparticle conjugate migration and can produce false-positive signals and shows strong dependence on component stoichiometry and kinetics. Here, we present the first combined experimental and theoretical analysis quantifying these limitations and defining practical solutions. The experimental evaluation included 480 variants of LFT configuration with reporters differing in the concentration of interacting components and the kinetic conditions of the interactions. The most influential factor leading to 100% false-positive results was insufficient interaction time between the components; pre-incubation of the conjugate with the reporter for 5 min eliminated these artifacts. Theoretical analysis of the LFT kinetics based on a mathematical model confirmed kinetic constraints at interaction times below a few minutes, which affect the detectable signal. Reporter concentration and conjugate architecture represented the second major factors: lowering reporter concentration to 20 nM and using smaller gold nanoparticles with multivalent fluorescent reporters markedly improved sensitivity. The difference in sensitivity between various LFT configurations exceeded 50-fold. The combination of identified strategies eliminated false-positive reactions and enabled the detection of up to 20 pM of DNA target (the hisZ gene of Erwinia amylovora, a bacterial phytopathogen). The strategies reported here are general and readily transferable to other DNA targets and CRISPR/Cas12a amplification-free diagnostics.
Full article
(This article belongs to the Special Issue CRISPR/Cas System-Based Biosensors)
►▼
Show Figures

Figure 1
Open AccessSystematic Review
Personal Glucose Meter: Biosensing Platforms for Environmental Toxicants
by
Elena Dorozhko, Anna Solomonenko, Alena Koltsova, Elena Korotkova, Ekaterina Mikhnevich, Mrinal Vashisth, Pradip Kar, Amrit Hui and Muhammad Saqib
Biosensors 2025, 15(12), 811; https://doi.org/10.3390/bios15120811 - 13 Dec 2025
Abstract
The detection of environmental toxicants is transitioning from centralized laboratory methods to decentralized, point-of-care (POC) monitoring. A highly innovative approach in this field is the repurposing of commercially available, low-cost, and portable personal glucose meters (PGMs) as universal biosensing platforms. This strategy leverages
[...] Read more.
The detection of environmental toxicants is transitioning from centralized laboratory methods to decentralized, point-of-care (POC) monitoring. A highly innovative approach in this field is the repurposing of commercially available, low-cost, and portable personal glucose meters (PGMs) as universal biosensing platforms. This strategy leverages the widespread availability and ease of use of PGMs to develop rapid, on-site detection methods for a wide array of non-glucose targets, significantly reducing both cost and development time. This systematic review comprehensively examines the various strategies employed to adapt PGMs for the detection of a wide array of ecotoxicants, including chemical targets (antibiotics, mycotoxins, pesticides, heavy metals, persistent organic pollutants) and biological ones (pathogenic bacteria, and viruses). The systematic review critically evaluates different sensor designs, highlighting that while aptamer-based and non-enzymatic biosensors offer advantages in stability and cost, antibody-based sensors provide high specificity. A significant finding is the persistent trade-off between analytical sensitivity and practical field deployment; many of the most sensitive assays require multi-step procedures, precise temperature control, magnetic separation, centrifugation, and the use of additional equipment, factors that undermine true POC utility. To address this gap, we propose four essential criteria for POC readiness: (i) ambient-temperature operation, (ii) no reliance on magnetic or centrifugal separation, (iii) total assay time, and (iv) robustness in complex environmental matrices. This systematic review confirms the feasibility of this approach across a broad spectrum of targets. However, the key challenge for future research lies in simplifying the assay protocols, eliminating cumbersome sample preparation steps, and enhancing robustness to make these biosensors truly practical for routine, on-site environmental monitoring.
Full article
(This article belongs to the Special Issue Electrochemical Biosensors in Healthcare Services)
►▼
Show Figures

Graphical abstract
Open AccessArticle
Rapid On-Site Detection of Zearalenone in Maize Using a Colloidal Gold Immunochromatographic Strip
by
Mengjiao Wu, Xiaofei Hu, Lu Fan, Bo Wan, Yaning Sun, Yunrui Xing, Lianjun Song, Xianqing Huang, Mei Hu and Gaiping Zhang
Biosensors 2025, 15(12), 810; https://doi.org/10.3390/bios15120810 (registering DOI) - 12 Dec 2025
Abstract
Zearalenone (ZEN), a stable mycotoxin with estrogenic activity produced by various Fusarium species, poses a serious food safety risk. To facilitate the rapid, sensitive, on-site detection of ZEN in maize and ensure consumer dietary safety, a colloidal gold immunochromatographic assay (CG-ICA) based on
[...] Read more.
Zearalenone (ZEN), a stable mycotoxin with estrogenic activity produced by various Fusarium species, poses a serious food safety risk. To facilitate the rapid, sensitive, on-site detection of ZEN in maize and ensure consumer dietary safety, a colloidal gold immunochromatographic assay (CG-ICA) based on a monoclonal antibody was established. ZEN was converted via oxime derivatization into hapten ZAN-O, which was conjugated to a carrier protein to prepare an immunogen for producing a highly specific and sensitive monoclonal antibody. Then, the antibody was conjugated into colloidal gold nanoparticles (AuNPs) and used as capture bioprobes of the CG-ICA test strip. The highly sensitive and specific detection platform was established through systematic optimization of pH value, coating antigen concentration, antibody-labeling dosage, incubation time, and strip assembly conditions. Under optimized conditions, the strip exhibited a detection limit of 11.79 pg/mL and an IC50 of 99.06 pg/mL, with a linear detection range of 13.40–732.48 pg/mL. In addition, the anti-interference capability assay demonstrated that the developed test strip possessed excellent specificity. In spiked maize samples, the CG-ICA test strip demonstrated recoveries ranging from 85.36% to 98.86%, with relative standard deviations (RSDs) below 10%. Thus, the CG-ICA strip provides a rapid, sensitive, and robust on-site tool for ZEN screening in maize, and can be adapted to other hazards by simply switching the antibody.
Full article
(This article belongs to the Section Biosensor and Bioelectronic Devices)
►▼
Show Figures

Figure 1
Open AccessReview
Nanoparticle Detection in Biology and Medicine: A Review
by
Olga A. Kolesnikova, Dmitry A. Shikvin, Arina O. Antonova, Anna M. Iureva, Elena N. Komedchikova, Anastasiia S. Obozina, Valeryia S. Kachan, Anna V. Svetlakova, Ilya D. Kukushkin and Victoria O. Shipunova
Biosensors 2025, 15(12), 809; https://doi.org/10.3390/bios15120809 - 11 Dec 2025
Abstract
Background/Objectives: Nanoparticles have emerged as indispensable tools in modern biomedicine, enabling precise diagnostics, targeted therapy, and controlled drug delivery. Despite their rapid progress, the translation of nanoparticle-based systems critically depends on the ability to detect, quantify, and track them across complex biological environments.
[...] Read more.
Background/Objectives: Nanoparticles have emerged as indispensable tools in modern biomedicine, enabling precise diagnostics, targeted therapy, and controlled drug delivery. Despite their rapid progress, the translation of nanoparticle-based systems critically depends on the ability to detect, quantify, and track them across complex biological environments. Over the past two decades, a wide spectrum of detection modalities has been developed, encompassing optical, magnetic, acoustic, nuclear, cytometric, and mass spectrometric principles. Yet, no comprehensive framework has been established to compare these methods in terms of sensitivity, spatial resolution, and clinical applicability. Methods: Here we show a systematic analysis of all broadly applicable nanoparticle detection strategies, outlining their mechanisms, advantages, and drawbacks, and providing illustrative examples of practical applications. Results: This comparison reveals that each modality occupies a distinct niche: optical methods offer high sensitivity but limited penetration depth; magnetic and acoustic modalities enable repeated non-invasive tracking; nuclear imaging ensures quantitative, whole-body visualization; and invasive biochemical or histological assays achieve ultimate detection limits at the cost of tissue integrity. These findings redefine how each technique contributes to nanoparticle biodistribution and mechanistic studies, clarifying which are best suited for translational and clinical use. Conclusions: Placed in a broader context, this review bridges fundamental nanotechnology with biomedical applications, outlining a unified methodological framework that will guide the rational design, validation, and clinical implementation of nanoparticle-based therapeutics and diagnostics. By synthesizing the field into a single comparative framework, it also provides an accessible entry point for newcomers in nanotechnology and related biomedical sciences.
Full article
(This article belongs to the Section Biosensors and Healthcare)
►▼
Show Figures

Figure 1
Open AccessReview
Polymer-Mediated Signal Amplification Mechanisms for Bioelectronic Detection: Recent Advances and Future Perspectives
by
Ying Sun and Dan Gao
Biosensors 2025, 15(12), 808; https://doi.org/10.3390/bios15120808 - 11 Dec 2025
Abstract
In recent years, polymer-mediated signal amplification has drawn wide attention in bioelectronic sensing. With the rapid progress of biosensing and flexible electronics, polymers with excellent electron–ion transport properties, tunable molecular structures, and good biocompatibility have become essential materials for enhancing detection sensitivity and
[...] Read more.
In recent years, polymer-mediated signal amplification has drawn wide attention in bioelectronic sensing. With the rapid progress of biosensing and flexible electronics, polymers with excellent electron–ion transport properties, tunable molecular structures, and good biocompatibility have become essential materials for enhancing detection sensitivity and interfacial stability. However, current sensing systems still face challenges such as signal attenuation, surface fouling, and multi-component interference in complex biological environments, limiting their use in medical diagnosis and environmental monitoring. This review summarizes the progress of conductive polymers, molecularly imprinted polymers, hydrogels, and composite polymers in medical diagnosis, food safety, and environmental monitoring, focusing on their signal amplification mechanisms and structural optimization strategies in electronic transport regulation, molecular recognition enhancement, and antifouling interface design. Overall, polymers improve detection performance through interfacial electronic reconstruction and multidimensional synergistic amplification, offering new ideas for developing highly sensitive, stable, and intelligent biosensors. In the future, polymer-based amplification systems are expected to expand in multi-parameter integrated detection, long-term wearable monitoring, and in situ analysis of complex samples, providing new approaches to precision medicine and sustainable environmental health monitoring.
Full article
(This article belongs to the Special Issue Polymers-Based Biosensors and Bioelectronics: Designs and Applications)
►▼
Show Figures

Graphical abstract
Open AccessArticle
A Novel Diagnostic Tool for West Nile Virus Lineage 1a and 2 Using a CRISPR-Cas12a System
by
Soo Bin Hwang, Yoon-Jae Song and Pil-Gu Park
Biosensors 2025, 15(12), 807; https://doi.org/10.3390/bios15120807 - 10 Dec 2025
Abstract
The West Nile Virus (WNV), transmitted by Culex mosquitoes as a major vector, has been reported worldwide. Also, West Nile neuroinvasive disease (WNND) caused by WNV lineage 1a and 2 neuroinvasive infections has been constantly reported with high fatality rates. Nevertheless, there are
[...] Read more.
The West Nile Virus (WNV), transmitted by Culex mosquitoes as a major vector, has been reported worldwide. Also, West Nile neuroinvasive disease (WNND) caused by WNV lineage 1a and 2 neuroinvasive infections has been constantly reported with high fatality rates. Nevertheless, there are no treatments and vaccinations, so diagnosis in the early stages is important. Recently, a molecular diagnostic technique using DNA endonuclease-targeted CRISPR trans reporter (DETECTR) with the CRISPR-Cas12a system integrated with isothermal nucleic acid amplification has newly emerged. In this study, we designed a 2-Step WNV DETECTR with reverse transcription–recombinase polymerase amplification (RT-RPA) for rapid and sensitive WNV diagnosis. It successfully detected down to 1.0 × 102 RNA copies for both WNV lineage 1a and 2 with demonstrating similar sensitivity to qRT-PCR without cross-reactivity to other viruses. Additionally, we designed a 1-Step WNV DETECTR, incorporating all processing steps into a single tube, capable of detecting down to 1.0 × 103 RNA copies for both lineages. Furthermore, we developed a more streamlined method, the 1-Step with Filter WNV DETECTR, which achieved detection limits comparable to the 2-Step method, while reducing the processing time by 5 min. This study also explored the potential of the Punch-it™ NA-Sample Kit as an efficient alternative lysis method by comparing the detection differences across various lysis methods. Through this method, we achieved rapid and simple amplification and detection processes suitable for field diagnostics with high specificity and sufficient sensitivity. Therefore, DETECTR methods presented themselves as promising alternatives to conventional diagnostic tools, potentially overcoming financial and technical constraints in diverse medical settings.
Full article
(This article belongs to the Section Biosensors and Healthcare)
►▼
Show Figures

Figure 1
Open AccessArticle
Electrochemical Detection of Aβ42 and Aβ40 at Attomolar Scale via Optimised Antibody Loading on Pyr-NHS-Functionalised 3D Graphene Foam Electrodes
by
Muhsin Dogan, Sophia Nazir, David Jenkins, Yinghui Wei and Genhua Pan
Biosensors 2025, 15(12), 806; https://doi.org/10.3390/bios15120806 - 10 Dec 2025
Abstract
Alzheimer’s Disease (AD) is one of the most commonly seen neurodegenerative disorders, where early detection of its biomarkers is crucial for effective management. Conventional diagnostic methods are often expensive, time-consuming, and highly complex, which highlights an urgent need for point-of-care biosensing technology. In
[...] Read more.
Alzheimer’s Disease (AD) is one of the most commonly seen neurodegenerative disorders, where early detection of its biomarkers is crucial for effective management. Conventional diagnostic methods are often expensive, time-consuming, and highly complex, which highlights an urgent need for point-of-care biosensing technology. In this work, we developed assays on three-dimensional (3D) graphene foam electrodes by functionalising them with a 1-Pyrenebutyric acid N-hydroxysuccinimide ester (Pyr-NHS) to enable effective antibody immobilisation for the detection of amyloid beta peptides (Aβ42 and Aβ40), key biomarkers for AD. Pyr-NHS linkers were used for stable functionalisation, followed by binding with Aβ42 and Aβ40 antibodies, and then bovine serum albumin (BSA) was employed as a blocking agent to minimise non-specific bindings on the electrode surface. Differential Pulse Voltammetry (DPV) measurements showed satisfactory stability over 12 days (RDS upper limit was <10%) and highly sensitive and specific detection of Aβ42 and Aβ40, with insignificant interference of tau217 protein. The biosensor exhibited a low limit of detection (LOD) with 252 aM for Aβ42 and 395 aM for Aβ40, covering 0.125 fM–1 nM and 0.125 fM–100 pM linear ranges, respectively. Further validation was conducted on spiked-diluted human plasma. This excellent analytical performance was attributed to the stable Pyr-NHS functionalisation, the 3D graphene foam enabling superior conductivity and a larger surface area on the working electrode, and the optimisation of antibody concentration for immobilisation. These promising results suggest that 3D graphene foam-based biosensors have considerable potential for early detection of AD biomarkers and developing cost-effective, portable, and reliable point-of-care devices.
Full article
(This article belongs to the Section Biosensor and Bioelectronic Devices)
►▼
Show Figures

Figure 1
Open AccessArticle
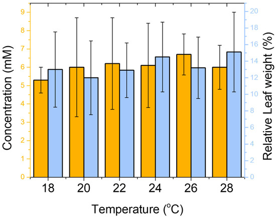
Transparent PEDOT:PSS/PDMS Leaf Tattoos for Multiplexed Plant Health Monitoring and Energy Harvesting
by
Antonio Ruiz-Gonzalez, Harriet Kempson and Jim Haseloff
Biosensors 2025, 15(12), 805; https://doi.org/10.3390/bios15120805 - 9 Dec 2025
Abstract
The development of non-invasive sensors for individualised plant monitoring has become essential in smart farming to increase crop production. However current approaches are focused on the measurement of soil parameters instead, which cannot provide direct information about plant health. Moreover, equipment used for
[...] Read more.
The development of non-invasive sensors for individualised plant monitoring has become essential in smart farming to increase crop production. However current approaches are focused on the measurement of soil parameters instead, which cannot provide direct information about plant health. Moreover, equipment used for the direct monitoring of plant health are costly with complex operation, hindering their use by the wider community of farmers. This work reports for the first time the development of a flexible and highly transparent sensor, based on thin conductive PEDOT:PSS/PDMS hybrid films directly deposited onto leaves. The films were fabricated by aerosol deposition and could operate under two different modes. The first mode is used for the determination of plant dryness and concentration of ions. The second mode is used as a triboelectric generator to generate up to 7.2 µW cm−2 electrical power through the friction of the sensors with a leaf. The device was assembled using a low-cost (GBP < 70) microcontroller incorporating environmental sensors, and an intuitive interface was designed for operation. The final sensor could determine the ionic strength at the millimolar level by means of the impedance of electrodes. This performance allowed the study of differences in ionic content and water availability in tomato leaves during day–night cycles. The high stability of the sensors also allowed the long-term monitoring of plant health. Using this technology, a decrease in the leaf ionic strength due to the lack of electrolytes was observed after watering with deionised water for 2 days. Upon supplementation with fertiliser, the recorded ionic strength and leaf water content were similar to the original values prior to the use of DI water, demonstrating the applicability of the device in the early detection of stress factors that could decrease crop production.
Full article
(This article belongs to the Section Environmental Biosensors and Biosensing)
►▼
Show Figures

Figure 1
Open AccessReview
Recent Advances in MXene-Based Screen-Printed Electrochemical Sensors for Point-of-Care Biomarker Detections
by
Thao Thi Nguyen, Liang Zhou, Jinming Kong, Aiqin Luo, Zikai Hao and Jiangjiang Zhang
Biosensors 2025, 15(12), 804; https://doi.org/10.3390/bios15120804 - 8 Dec 2025
Abstract
Contemporary biomedical diagnostics increasingly demand high sensitivity for pathogen detection and real-time health monitoring. In response to these requirements, screen-printed electrochemical sensors (SPEs) have emerged as a practical analytical platform owing to their low cost, portability, and compatibility with point-of-care and wearable systems.
[...] Read more.
Contemporary biomedical diagnostics increasingly demand high sensitivity for pathogen detection and real-time health monitoring. In response to these requirements, screen-printed electrochemical sensors (SPEs) have emerged as a practical analytical platform owing to their low cost, portability, and compatibility with point-of-care and wearable systems. In the recent past, nanomaterials in two-dimensional format, especially MXenes, have gained much interest due to their high electrical conductivity, controllable surface chemistry, and biocompatibility, which can improve the performance and applicability of SPEs. The current review concentrates on the latest developments between 2020 and 2025, providing a critical assessment of research employing MXene-based nanomaterials for the modification and development of screen-printed electrode platforms. We provide an overview of fabrication techniques, printing methods, and surface modification methods, and proceed with an analysis of the electrochemical performance of MXenes and MXene-based heterostructures. Lastly, contemporary issues are considered, and opinions are suggested to facilitate the translation of MXene-functionalized SPEs to real biomedical diagnosis solutions.
Full article
(This article belongs to the Special Issue Point-of-Care Testing Using Biochemical Sensors for Health and Safety)
►▼
Show Figures

Graphical abstract
Open AccessArticle
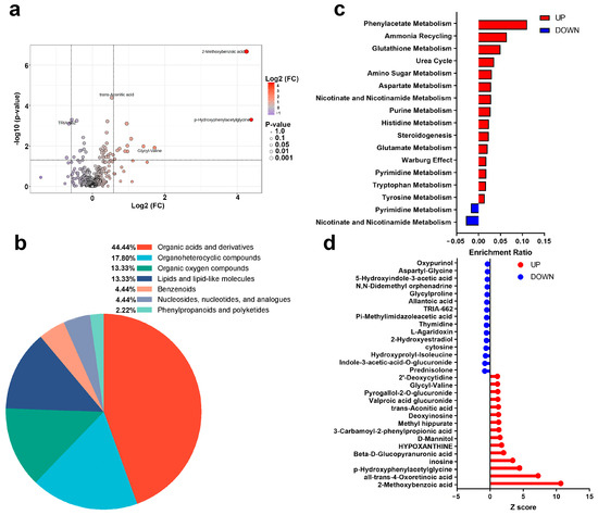
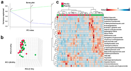
Urinary Metabolomic Changes and Potential Exercise-Induced Muscle Damage Biomarkers Identification in Trained Young Males Following Acute Intermittent Rowing Training
by
Yang Cheng, Yue Yi, Xuefeng Shi and Shumin Bo
Biosensors 2025, 15(12), 803; https://doi.org/10.3390/bios15120803 - 8 Dec 2025
Abstract
(1) Background: This study aims to explore the changes in urinary metabolomic profile among trained young males following acute intermittent rowing training (AIRT), and to identify potential urinary biomarkers associated with exercise-induced muscle damage (EIMD). (2) Methods: 22 trained young males were recruited
[...] Read more.
(1) Background: This study aims to explore the changes in urinary metabolomic profile among trained young males following acute intermittent rowing training (AIRT), and to identify potential urinary biomarkers associated with exercise-induced muscle damage (EIMD). (2) Methods: 22 trained young males were recruited to perform AIRT. The changes in blood biochemical indexes associated with EIMD were analyzed. EIMD occurrence was evaluated using blood biochemical indexes, muscle function, and pain assessment. The changes in urinary metabolites were determined using untargeted metabolomic analysis. (3) Results: Four blood biochemical indices, including creatine kinase, lactate dehydrogenase, creatine kinase-MB, and hydroxybutyrate dehydrogenase, were significantly elevated immediately after AIRT. Furthermore, an obvious immune response appeared, and countermovement jump performance significantly decreased. Among 384 urinary metabolites, 33 were significantly upregulated, and 12 were downregulated immediately after AIRT. Upregulated metabolites were mainly involved in phenylacetate metabolism, ammonia recycling, the urea cycle, and glutathione metabolism. Four potential urinary biomarkers were identified, including 2′-Deoxycytidine, cytosine, Phenylacetaldehyde, and Pyridoxamine. (4) Conclusions: AIRT induced EIMD in all participants and significantly altered urinary metabolite profiles. The changes in urinary metabolites and pathways were due to the metabolic adaptation to oxidative stress, inflammatory responses, and ammonia metabolism imbalance. The selected four potential urinary biomarkers provide important evidence for the further development of a non-invasive, urine-based method for the immediate assessment of EIMD.
Full article
(This article belongs to the Special Issue Point-of-Care Testing Using Biochemical Sensors for Health and Safety)
►▼
Show Figures

Figure 1
Open AccessArticle
An Improved Dengue Virus Serotype-Specific Non-Structural Protein 1 Capture Immunochromatography Method with Reduced Sample Volume
by
Warisara Sretapunya, Thitiya Buranachat, Montita Prasomthong, Rittichai Tantikorn, Areerat Sa-ngarsang, Sirirat Naemkhunthot, Laddawan Meephaendee, Pattara Wongjaroen, Chika Tanaka, Yoriko Shimadzu, Katsuya Ogata, Kunihiro Kaihatsu, Ryo Morita, Michinori Shirano, Juthamas Phadungsombat, Tadahiro Sasaki, Ritsuko Kubota-Koketsu, Yoshihiro Samune, Emi E. Nakayama and Tatsuo Shioda
Biosensors 2025, 15(12), 802; https://doi.org/10.3390/bios15120802 - 7 Dec 2025
Abstract
The four serotypes of dengue virus (DENV), types 1 to 4 (DENV-1 to DENV-4), exhibit approximately 60% identity in the encoded amino acid residues of viral proteins. Reverse transcription of RNA extracted from patient serum specimens followed by PCR amplification with serotype-specific probes
[...] Read more.
The four serotypes of dengue virus (DENV), types 1 to 4 (DENV-1 to DENV-4), exhibit approximately 60% identity in the encoded amino acid residues of viral proteins. Reverse transcription of RNA extracted from patient serum specimens followed by PCR amplification with serotype-specific probes is the current standard technique for DENV serotyping. However, this method is time- and cost-consuming, and rapid detection systems with low cost are desirable. Previously, we developed a prototype serotype-specific immunochromatography system. That system was composed of four strips with four corresponding distinct sample buffers, each specifically detecting a single DENV serotype. In the present study, we improved this system by combining pairs of strips into one lateral-flow cassette each, providing DENV-1 and DENV-2 detection in one device and DENV-3 and DENV-4 detection in a second device; this strategy successfully reduced the required sample volume. Furthermore, we were able to adjust the composition of the sample buffers such that a single sample buffer sufficed for all four DENV serotype detection reactions, allowing much easier handling of the devices. Evaluation of this new device against laboratory and clinical DENV isolates and clinical specimens from DENV-infected individuals showed sensitivity that was comparable to that of our previous version, yielding serotype specificity of 100%. These new devices are expected to be of use in the clinical setting, accelerating both prospective and retrospective epidemiological studies.
Full article
(This article belongs to the Special Issue Biosensors for Healthcare and Environment: Current and Future Perspectives)
►▼
Show Figures

Figure 1
Open AccessArticle
The Role of Surfactants in Stabilizing Fluorescence Anisotropy for Protein–Aptamer Binding Affinity Measurements
by
Bhagya R. Samarakoon, Susan L. Bilderback and Rebecca J. Whelan
Biosensors 2025, 15(12), 801; https://doi.org/10.3390/bios15120801 - 6 Dec 2025
Abstract
Fluorescence Anisotropy (FA) is a sensitive and efficient technique for quantifying biomolecular interactions, offering advantages such as minimal sample requirements and elimination of separation of bound from unbound species. Thus, it is well suited for aptamer–protein binding affinity studies. However, accurately determining equilibrium
[...] Read more.
Fluorescence Anisotropy (FA) is a sensitive and efficient technique for quantifying biomolecular interactions, offering advantages such as minimal sample requirements and elimination of separation of bound from unbound species. Thus, it is well suited for aptamer–protein binding affinity studies. However, accurately determining equilibrium dissociation constants (KD) in FA requires low concentrations of fluorescently labeled aptamers to prevent ligand depletion. A significant challenge arises at low aptamer concentrations due to an unexpected and physically nonmeaningful increase in apparent anisotropy, which impairs accurate data fitting. This anomalous increase in apparent anisotropy may arise from non-specific adsorption of aptamers to surfaces. In this study, we investigated the use of non-ionic surfactants to mitigate these effects and stabilize the anisotropy signal at low aptamer concentrations using the thrombin aptamer as a model system. We evaluated the impact of varying concentrations of two surfactants (Tween 20 and Triton X-100) on plots of anisotropy as a function of aptamer concentration and determined aptamer–protein binding affinities. Addition of 0.1% Tween 20 corrects the anomalous increase in anisotropy at low aptamer concentrations, enabling the use of aptamer concentrations as low as 5 nM in binding assays. Triton X-100 was less effective. By incorporating optimized concentrations of Tween 20, we demonstrated improved assay reproducibility and accuracy in KD determination, expanding the dynamic range of usable aptamer concentrations in FA-based binding affinity studies. Similar benefits were observed with the clinically relevant aptamer s10yh2 and human serum albumin. These findings provide a practical strategy for enhancing the robustness of FA measurements and may be applicable to other aptamer–target systems and high-throughput assay formats.
Full article
(This article belongs to the Special Issue Aptamer-Based Sensing: Designs and Applications)
►▼
Show Figures

Figure 1
Open AccessArticle
Features of Chaperone Induction by 9-Aminoacridine and Acridine Orange
by
Vadim V. Fomin, Svetlana V. Smirnova, Sergey V. Bazhenov, Aminat G. Kurkieva, Nikolay A. Bondarev, Daria M. Egorenkova, Daniil I. Sakharov, Ilya V. Manukhov and Serikbai K. Abilev
Biosensors 2025, 15(12), 800; https://doi.org/10.3390/bios15120800 - 6 Dec 2025
Abstract
The fluorescent dyes 9-aminoacridine (9-AA) and acridine orange (AO) are known mutagens that induce frameshift mutations in cells by intercalating between DNA bases. However, these chemicals can also affect other cellular components, such as proteins. In this study, we tested the ability of
[...] Read more.
The fluorescent dyes 9-aminoacridine (9-AA) and acridine orange (AO) are known mutagens that induce frameshift mutations in cells by intercalating between DNA bases. However, these chemicals can also affect other cellular components, such as proteins. In this study, we tested the ability of 9-AA and AO to induce heat shock in bacteria using the following methods: lux-biosensors based on Escherichia coli cells with the luxCDABE genes transcriptionally fused to heat shock-specific inducible promoters, RT-qPCR, and nanoDSF. We demonstrated that acridine dyes not only induce mutagenesis but also cause heat shock in bacterial cells. AO significantly reduced the melting temperature of proteins and strongly activated σE- and σ32-dependent promoters, but not PluxC, which is activated by elevated temperatures via a different mechanism. In contrast, 9-AA weakly denatured the proteins and induced the σE-dependent promoter; however, it activated the σ32-dependent promoters and PluxC, supporting the hypothesis that the σ32 heat shock response system is activated via hairpin RNA denaturation by 9-AA. The study on the application of lux-biosensors was hampered by the high general toxicity and luminescence shielding effect of AO, and RT-qPCR’s sensitivity was insufficient for detection of the response to 9-AA. Thus, methodologically, it is justified to conduct a comprehensive study of substances that cause heat shock or affect bioluminescence by both RT-qPCR and lux-biosensors.
Full article
(This article belongs to the Section Environmental Biosensors and Biosensing)
►▼
Show Figures

Figure 1
Open AccessReview
Smart Nucleic Acid Hydrogel-Based Biosensors: From Molecular Recognition and Responsive Mechanisms to Applications
by
Lu Xu, Longjiao Zhu, Xiaoyu Wang, Wenqiang Zhang, Xiaoyun He, Yangzi Zhang and Wentao Xu
Biosensors 2025, 15(12), 799; https://doi.org/10.3390/bios15120799 - 5 Dec 2025
Abstract
Smart nucleic acid hydrogels (SNAHs), endowed with stimulus responsiveness, function as programmable molecular switches that can perceive diverse external stimuli and undergo rapid, reversible, and highly specific conformational or performance changes. These dynamic properties have enabled the rational design of biosensors with bionic
[...] Read more.
Smart nucleic acid hydrogels (SNAHs), endowed with stimulus responsiveness, function as programmable molecular switches that can perceive diverse external stimuli and undergo rapid, reversible, and highly specific conformational or performance changes. These dynamic properties have enabled the rational design of biosensors with bionic behaviors, facilitating cascaded “recognition–decision–execution” processes that support advanced biological analysis. Consequently, SNAHs are recognized as a core breakthrough for the next generation of intelligent biosensing units. However, a systematic mapping between SNAH design strategies, specific stimuli, and application fields remains lacking. This review mainly analyzes advances in SNAH-based biosensors over the past five years, proposing flexible and feasible design strategies and key trends in customization. Firstly, we systematically summarize molecular recognition modules involved in the construction of SNAHs, including aptamers, DNAzymes, antibodies, and specific binding peptides. Subsequently, we elaborate on the responses of these modules to external stimuli, so as to further facilitate the signal transduction of signals derived from physical, chemical, and biological sources involving temperature, light, magnetic fields, pH, nucleic acids, proteins, other biomolecules, and pathogens. Additionally, the review outlines the research progress of SNAHs in environmental monitoring, food safety, and medical diagnostics. Finally, we provide an integrated perspective on future opportunities and challenges, highlighting the innovative framework for designing SNAH-based biosensors and offering a practical roadmap for next-generation intelligent sensing applications.
Full article
(This article belongs to the Special Issue Polymers-Based Biosensors and Bioelectronics: Designs and Applications)
►▼
Show Figures

Figure 1
Open AccessArticle
Machine Learning-Based Toothbrushing Region Recognition Using Smart Toothbrush Holder and Wearable Sensors
by
Hsuan-Chih Wang, Ju-Hsuan Li, Yen-Chen Lin, Che-Yu Lin, Chien-Pin Liu, Tzu-Han Lin, Chia-Tai Chan and Chia-Yeh Hsieh
Biosensors 2025, 15(12), 798; https://doi.org/10.3390/bios15120798 - 5 Dec 2025
Abstract
Oral health is a critical factor in maintaining overall health, and its association with systemic diseases, including cardiovascular disease and diabetes mellitus, has been extensively investigated. Effective plaque removal through proper toothbrushing techniques is fundamental for preventing dental caries and periodontal diseases. Despite
[...] Read more.
Oral health is a critical factor in maintaining overall health, and its association with systemic diseases, including cardiovascular disease and diabetes mellitus, has been extensively investigated. Effective plaque removal through proper toothbrushing techniques is fundamental for preventing dental caries and periodontal diseases. Despite standardized guidelines, many individuals fail to adhere to correct brushing techniques, thereby increasing the risk of oral diseases. To address this issue, this study proposes a fine-grained toothbrushing region recognition approach incorporating six machine learning classifiers and two inertial measurement units (IMUs), which are embedded in the toothbrush holder and mounted on the right wrist of the participant, respectively. By analyzing the continuous motion signals, the proposed hierarchical approach is capable of identifying brushing and transition activities and subsequently recognizing specific toothbrushing regions based on the predicted brushing activities. To further improve recognition reliability, post-processing strategies such as contextual smoothing and majority voting are applied. Experimental results demonstrate that random forest achieves the highest recognition accuracy of 96.13%, sensitivity of 96.10%, precision of 95.51%, and F1-score of 95.60%. The results indicate that the proposed approach is both effective and feasible for providing fine-grained toothbrushing region recognition in toothbrushing monitoring.
Full article
(This article belongs to the Special Issue Wearable Biosensors and Health Monitoring)
►▼
Show Figures

Figure 1
Open AccessArticle
Cellular Distribution and Motion of Essential Magnetosome Proteins Expressed in Mammalian Cells
by
Qin Sun, Cécile Fradin, Moeiz Ahmed, R. Terry Thompson, Frank S. Prato and Donna E. Goldhawk
Biosensors 2025, 15(12), 797; https://doi.org/10.3390/bios15120797 - 4 Dec 2025
Abstract
Magnetosomes are organelle-like structures within magnetotactic bacteria that store iron biominerals in membrane-bound vesicles. In bacteria, formation of these structures is highly regulated by approximately 30 genes, which are conserved throughout different species. To compartmentalize iron in mammalian cells and provide gene-based contrast
[...] Read more.
Magnetosomes are organelle-like structures within magnetotactic bacteria that store iron biominerals in membrane-bound vesicles. In bacteria, formation of these structures is highly regulated by approximately 30 genes, which are conserved throughout different species. To compartmentalize iron in mammalian cells and provide gene-based contrast for magnetic resonance imaging, we introduced key magnetosome proteins. The expression of essential magnetosome genes mamI and mamL as fluorescent fusion proteins in a human melanoma cell line confirmed their co-localization and interaction. Here, we investigate the expression of two more essential magnetosome genes, mamB and mamE, using confocal microscopy to describe fluorescent fusion protein expression patterns and analyze the observed intracellular mobility. Custom software was developed to characterize fluorescent particle trajectories. In mammalian cells, essential magnetosome proteins display different diffusive behaviours. However, all magnetosome proteins travelled at similar velocities when interacting with mammalian mobile elements, suggesting that MamL, MamL + MamI, MamB, and MamE interact with similar molecular motor proteins. These results confirm that localization and interaction of essential magnetosome proteins are feasible within the mammalian intracellular compartment.
Full article
(This article belongs to the Special Issue Fluorescent Probes: Design and Biological Applications)
►▼
Show Figures

Graphical abstract
Journal Menu
► ▼ Journal Menu-
- Biosensors Home
- Aims & Scope
- Editorial Board
- Reviewer Board
- Topical Advisory Panel
- Instructions for Authors
- Special Issues
- Topics
- Sections & Collections
- Article Processing Charge
- Indexing & Archiving
- Editor’s Choice Articles
- Most Cited & Viewed
- Journal Statistics
- Journal History
- Journal Awards
- Conferences
- Editorial Office
Journal Browser
► ▼ Journal BrowserHighly Accessed Articles
Latest Books
E-Mail Alert
News
Topics
Topic in
Applied Sciences, Biosensors, Designs, Electronics, Materials, Micromachines, Applied Biosciences
Wearable Bioelectronics: The Next Generation of Health Insights
Topic Editors: Shuo Gao, Yu Wu, Wenyu WangDeadline: 31 March 2026
Topic in
Applied Nano, Biosensors, Materials, Nanomaterials, Chemosensors, Applied Biosciences, Laboratories
Applications of Nanomaterials in Biosensing: Current Trends and Future Prospects
Topic Editors: Kundan Sivashanmugan, Xianming KongDeadline: 30 April 2026
Topic in
Analytica, Biosensors, Foods, Molecules, Pharmaceuticals, Separations, Environments, Chemosensors
Innovative Analytical Approaches for Natural Products and Pharmaceuticals in Complex Matrices
Topic Editors: Rosanna Ciriello, Filomena Lelario, Carmen TesoroDeadline: 30 June 2027
Topic in
Biosensors, IJMS, Applied Nano, Biophysica, Nanomaterials
Nanomaterials or Bioreceptors Involved in Biosensing Technologies
Topic Editors: Robert Ziółkowski, Seyed R. TabaeiDeadline: 31 August 2027
Conferences
Special Issues
Special Issue in
Biosensors
Biosensing and Diagnosis—2nd Edition
Guest Editor: Jiyang LiuDeadline: 20 December 2025
Special Issue in
Biosensors
Aptamer-Based Nanosensing Strategy and Applications
Guest Editors: Li Gao, Jingjie CuiDeadline: 25 December 2025
Special Issue in
Biosensors
Molecularly Imprinted Polymers in Biosensors: Assembly, Characterization and Applications
Guest Editors: Maria Goreti Ferreira Sales, Jordi Riu, Manuela F. FrascoDeadline: 25 December 2025
Special Issue in
Biosensors
New Progress in Optical Fiber-Based Biosensors—2nd Edition
Guest Editors: Arnaldo Leal-Junior, Camilo A.R. DíazDeadline: 25 December 2025
Topical Collections
Topical Collection in
Biosensors
Microsystems for Cell Cultures
Collection Editors: Iordania Constantinou, Thomas E. Winkler





