Sign in to use this feature.

Years

Between: -

Subjects

remove_circle_outline
remove_circle_outline
remove_circle_outline
remove_circle_outline
remove_circle_outline
remove_circle_outline
remove_circle_outline
remove_circle_outline
remove_circle_outline

Journals

Article Types

Countries / Regions

Search Results (58)

Search Parameters:
Keywords = ART toolbox

Order results
Result details
Results per page
Select all
Export citation of selected articles as:
25 pages, 6031 KB  
Article
Sparse Transform and Compressed Sensing Methods to Improve Efficiency and Quality in Magnetic Resonance Medical Imaging
by Santiago Villota and Esteban Inga
Sensors 2025, 25(16), 5137; https://doi.org/10.3390/s25165137 - 19 Aug 2025
Viewed by 1873
Abstract
This paper explores the application of transform-domain sparsification and compressed sensing (CS) techniques to improve the efficiency and quality of magnetic resonance imaging (MRI). We implement and evaluate three sparsifying methods—discrete wavelet transform (DWT), fast Fourier transform (FFT), and discrete cosine transform (DCT)—which [...] Read more.
This paper explores the application of transform-domain sparsification and compressed sensing (CS) techniques to improve the efficiency and quality of magnetic resonance imaging (MRI). We implement and evaluate three sparsifying methods—discrete wavelet transform (DWT), fast Fourier transform (FFT), and discrete cosine transform (DCT)—which are used to simulate subsampled reconstruction via inverse transforms. Additionally, one accurate CS reconstruction algorithm, basis pursuit (BP), using the L1-MAGIC toolbox, is implemented as a benchmark based on convex optimization with L1-norm minimization. Emphasis is placed on basis pursuit (BP), which satisfies the formal requirements of CS theory, including incoherent sampling and sparse recovery via nonlinear reconstruction. Each method is assessed in MATLAB R2024b using standardized DICOM images and varying sampling rates. The evaluation metrics include peak signal-to-noise ratio (PSNR), root mean square error (RMSE), structural similarity index measure (SSIM), execution time, memory usage, and compression efficiency. The results show that although discrete cosine transform (DCT) outperforms the others under simulation in terms of PSNR and SSIM, it is inconsistent with the physics of MRI acquisition. Conversely, basis pursuit (BP) offers a theoretically grounded reconstruction approach with acceptable accuracy and clinical relevance. Despite the limitations of a controlled experimental setup, this study establishes a reproducible benchmarking framework and highlights the trade-offs between the quality of transform-based reconstruction and computational complexity. Future work will extend this study by incorporating clinically validated CS algorithms with L0 and nonconvex Lp (0 < p < 1) regularization to align with state-of-the-art MRI reconstruction practices. Full article
(This article belongs to the Section Industrial Sensors)
Show Figures

Figure 1

24 pages, 1542 KB  
Review
Genome-Editing Tools for Lactic Acid Bacteria: Past Achievements, Current Platforms, and Future Directions
by Leonid A. Shaposhnikov, Aleksei S. Rozanov and Alexey E. Sazonov
Int. J. Mol. Sci. 2025, 26(15), 7483; https://doi.org/10.3390/ijms26157483 - 2 Aug 2025
Cited by 5 | Viewed by 2465
Abstract
Lactic acid bacteria (LAB) are central to food, feed, and health biotechnology, yet their genomes have long resisted rapid, precise manipulation. This review charts the evolution of LAB genome-editing strategies from labor-intensive RecA-dependent double-crossovers to state-of-the-art CRISPR and CRISPR-associated transposase systems. Native homologous [...] Read more.
Lactic acid bacteria (LAB) are central to food, feed, and health biotechnology, yet their genomes have long resisted rapid, precise manipulation. This review charts the evolution of LAB genome-editing strategies from labor-intensive RecA-dependent double-crossovers to state-of-the-art CRISPR and CRISPR-associated transposase systems. Native homologous recombination, transposon mutagenesis, and phage-derived recombineering opened the door to targeted gene disruption, but low efficiencies and marker footprints limited throughput. Recent phage RecT/RecE-mediated recombineering and CRISPR/Cas counter-selection now enable scar-less point edits, seamless deletions, and multi-kilobase insertions at efficiencies approaching model organisms. Endogenous Cas9 systems, dCas-based CRISPR interference, and CRISPR-guided transposases further extend the toolbox, allowing multiplex knockouts, precise single-base mutations, conditional knockdowns, and payloads up to 10 kb. The remaining hurdles include strain-specific barriers, reliance on selection markers for large edits, and the limited host-range of recombinases. Nevertheless, convergence of phage enzymes, CRISPR counter-selection and high-throughput oligo recombineering is rapidly transforming LAB into versatile chassis for cell-factory and therapeutic applications. Full article
(This article belongs to the Special Issue Probiotics in Health and Disease)
Show Figures

Figure 1

23 pages, 8624 KB  
Article
Method for Using Functional Near-Infrared Spectroscopy (fNIRS) to Explore Music-Induced Brain Activation in Orchestral Musicians in Concert
by Steffen Maude Fagerland, Andreas Løve, Tord K. Helliesen, Ørjan Grøttem Martinsen, Mona-Elisabeth Revheim and Tor Endestad
Sensors 2025, 25(6), 1807; https://doi.org/10.3390/s25061807 - 14 Mar 2025
Viewed by 3719
Abstract
The act of performing music may induce a specific state of mind, musicians potentially becoming immersed and detached from the rest of the world. May this be measured? Does this state of mind change based on repetition? In collaboration with Stavanger Symphony Orchestra [...] Read more.
The act of performing music may induce a specific state of mind, musicians potentially becoming immersed and detached from the rest of the world. May this be measured? Does this state of mind change based on repetition? In collaboration with Stavanger Symphony Orchestra (SSO), we developed protocols to investigate ongoing changes in the brain activation of a first violinist and a second violinist in real time during seven sequential, public concerts using functional near-infrared spectroscopy (fNIRS). Using wireless fNIRS systems (Brite MKII) from Artinis, we measured ongoing hemodynamic changes and projected the brain activation to the audience through the software OxySoft 3.5.15.2. We subsequently developed protocols for further analyses through the Matlab toolboxes Brainstorm and Homer2/Homer3. Our developed protocols demonstrate how one may use “functional dissection” to imply how the state of mind of musicians may alter while performing their art. We focused on a subset of cortical regions in the right hemisphere, but the current study demonstrates how fNIRS may be used to shed light on brain dynamics related to producing art in ecological and natural contexts on a general level, neither restricted to the use of musical instrument nor art form. Full article
Show Figures

Figure 1

25 pages, 3314 KB  
Article
KISS—Keep It Static SLAMMOT—The Cost of Integrating Moving Object Tracking into an EKF-SLAM Algorithm
by Nicolas Mandel, Nils Kompe, Moritz Gerwin and Floris Ernst
Sensors 2024, 24(17), 5764; https://doi.org/10.3390/s24175764 - 4 Sep 2024
Viewed by 1812
Abstract
The treatment of moving objects in simultaneous localization and mapping (SLAM) is a key challenge in contemporary robotics. In this paper, we propose an extension of the EKF-SLAM algorithm that incorporates moving objects into the estimation process, which we term KISS. We have [...] Read more.
The treatment of moving objects in simultaneous localization and mapping (SLAM) is a key challenge in contemporary robotics. In this paper, we propose an extension of the EKF-SLAM algorithm that incorporates moving objects into the estimation process, which we term KISS. We have extended the robotic vision toolbox to analyze the influence of moving objects in simulations. Two linear and one nonlinear motion models are used to represent the moving objects. The observation model remains the same for all objects. The proposed model is evaluated against an implementation of the state-of-the-art formulation for moving object tracking, DATMO. We investigate increasing numbers of static landmarks and dynamic objects to demonstrate the impact on the algorithm and compare it with cases where a moving object is mistakenly integrated as a static landmark (false negative) and a static landmark as a moving object (false positive). In practice, distances to dynamic objects are important, and we propose the safety–distance–error metric to evaluate the difference between the true and estimated distances to a dynamic object. The results show that false positives have a negligible impact on map distortion and ATE with increasing static landmarks, while false negatives significantly distort maps and degrade performance metrics. Explicitly modeling dynamic objects not only performs comparably in terms of map distortion and ATE but also enables more accurate tracking of dynamic objects with a lower safety–distance–error than DATMO. We recommend that researchers model objects with uncertain motion using a simple constant position model, hence we name our contribution Keep it Static SLAMMOT. We hope this work will provide valuable data points and insights for future research into integrating moving objects into SLAM algorithms. Full article
(This article belongs to the Special Issue Sensor Fusion Applications for Navigation and Indoor Positioning)
Show Figures

Figure 1

20 pages, 2457 KB  
Article
Formal Modeling and Verification of Lycklama and Hadzilacos’s Mutual Exclusion Algorithm
by Libero Nigro
Mathematics 2024, 12(16), 2443; https://doi.org/10.3390/math12162443 - 6 Aug 2024
Cited by 3 | Viewed by 1303
Abstract
This study describes our thorough experience of formal modeling and exhaustive verification of concurrent systems, particularly mutual exclusion algorithms. The experience focuses on Lycklama and Hadzilacos’s (LH) mutual exclusion algorithm. LH rests on the reduced size of the shared state, contains a mechanism [...] Read more.
This study describes our thorough experience of formal modeling and exhaustive verification of concurrent systems, particularly mutual exclusion algorithms. The experience focuses on Lycklama and Hadzilacos’s (LH) mutual exclusion algorithm. LH rests on the reduced size of the shared state, contains a mechanism that tries to enforce an FCFS order to processes entering their critical section, and embodies Burns and Lamport’s (BL) mutual exclusion algorithm. The modeling methodology is based on timed automata and the model checker of the popular Uppaal toolbox. The effectiveness of the modeling and analysis approach is first demonstrated by studying the BL’s solution and retrieving all its properties, including, in general, its unbounded overtaking, which is the non-limited number of by-passes a process can suffer before accessing its critical section. Then, the LH algorithm is investigated in depth by showing it fulfills all the mutual exclusion properties when it operates with atomic memory. However, as this study demonstrates, LH is not free of deadlocks when used with non-atomic memory. Finally, a state-of-the-art mutual exclusion solution is proposed, which relies on a stripped-down LH version for processes, which is used as the arbitration unit in a tournament tree (TT) organization. This study documents that LH’s TT-based algorithm satisfies all the mutual exclusion properties, with a linear overtaking, both using atomic and non-atomic memory. Full article
Show Figures

Figure 1

13 pages, 4380 KB  
Article
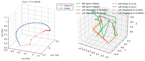
A Novel Cost Calculation Method for Manipulator Trajectory Planning
by Leiyang Fu and Shaowen Li
Sensors 2024, 24(13), 4096; https://doi.org/10.3390/s24134096 - 24 Jun 2024
Viewed by 1459
Abstract
It is worthwhile to calculate the execution cost of a manipulator for selecting a planning algorithm to generate trajectories, especially for an agricultural robot. Although there are various off-the-shelf trajectory planning methods, such as pursuing the shortest stroke or the smallest time cost, [...] Read more.
It is worthwhile to calculate the execution cost of a manipulator for selecting a planning algorithm to generate trajectories, especially for an agricultural robot. Although there are various off-the-shelf trajectory planning methods, such as pursuing the shortest stroke or the smallest time cost, they often do not consider factors synthetically. This paper uses the state-of-the-art Python version of the Robotics Toolbox for manipulator trajectory planning instead of the traditional D–H method. We propose a cost function with mass, iteration, and residual to assess the effort of a manipulator. We realized three inverse kinematics methods (NR, GN, and LM with variants) and verified our cost function’s feasibility and effectiveness. Furthermore, we compared it with state-of-the-art methods such as Double A* and MoveIt. Results show that our method is valid and stable. Moreover, we applied LM (Chan λ = 0.1) in mobile operation on our agricultural robot platform. Full article
(This article belongs to the Section Smart Agriculture)
Show Figures

Figure 1

15 pages, 6901 KB  
Article
Covalent Molecular Anchoring of Metal-Free Porphyrin on Graphitic Surfaces toward Improved Electrocatalytic Activities in Acidic Medium
by Thi Mien Trung Huynh and Thanh Hai Phan
Coatings 2024, 14(6), 745; https://doi.org/10.3390/coatings14060745 - 12 Jun 2024
Cited by 2 | Viewed by 2265
Abstract
Robust engineering of two-dimensional (2D) materials via covalent grafting of organic molecules has been a great strategy for permanently tuningtheir physicochemical behaviors toward electrochemical energy applications. Herein, we demonstrated that a covalent functionalization approach of graphitic surfaces including graphene by a graftable porphyrin [...] Read more.
Robust engineering of two-dimensional (2D) materials via covalent grafting of organic molecules has been a great strategy for permanently tuningtheir physicochemical behaviors toward electrochemical energy applications. Herein, we demonstrated that a covalent functionalization approach of graphitic surfaces including graphene by a graftable porphyrin (g-Por) derivative, abbreviated as g-Por/HOPG or g-Por/G, is realizable. The efficiency of this approach is determined at both the molecular and global scales by using a state-of-the-art toolbox including cyclic voltammetry (CV), X-ray photoelectron spectroscopy (XPS), Raman spectroscopy, atomic force microscopy (AFM), and scanning tunneling microscopy (STM). Consequently, g-Por molecules were proven to covalently graft on graphitic surfaces via C-C bonds, resulting in the formation of a robust novel hybrid 2D material visualized by AFM and STM imaging. Interestingly, the resulting robust molecular material was elucidated as a novel bifunctional catalyst for both the oxygen evolution (OER) and the hydrogen evolution reactions (HER) in acidic medium with highly catalytic stability and examined at the molecular level. These findings contribute to an in-depth understanding at the molecular level ofthe contribution of the synergetic effects of molecular structures toward the water-splitting process. Full article
Show Figures

Figure 1

17 pages, 14201 KB  
Article
Multi-Dimensional Data Analysis Platform (MuDAP): A Cognitive Science Data Toolbox
by Xinlin Li, Yiming Wang, Xiaoyu Bi, Yalu Xu, Haojiang Ying and Yiyang Chen
Symmetry 2024, 16(4), 503; https://doi.org/10.3390/sym16040503 - 22 Apr 2024
Viewed by 2368
Abstract
Researchers in cognitive science have long been interested in modeling human perception using statistical methods. This requires maneuvers because these multiple dimensional data are always intertwined with complex inner structures. The previous studies in cognitive sciences commonly applied principal component analysis (PCA) to [...] Read more.
Researchers in cognitive science have long been interested in modeling human perception using statistical methods. This requires maneuvers because these multiple dimensional data are always intertwined with complex inner structures. The previous studies in cognitive sciences commonly applied principal component analysis (PCA) to truncate data dimensions when dealing with data with multiple dimensions. This is not necessarily because of its merit in terms of mathematical algorithm, but partly because it is easy to conduct with commonly accessible statistical software. On the other hand, dimension reduction might not be the best analysis when modeling data with no more than 20 dimensions. Using state-of-the-art techniques, researchers in various research disciplines (e.g., computer vision) classified data with more than hundreds of dimensions with neural networks and revealed the inner structure of the data. Therefore, it might be more sophisticated to process human perception data directly with neural networks. In this paper, we introduce the multi-dimensional data analysis platform (MuDAP), a powerful toolbox for data analysis in cognitive science. It utilizes artificial intelligence as well as network analysis, an analysis method that takes advantage of data symmetry. With the graphic user interface, a researcher, with or without previous experience, could analyze multiple dimensional data with great ease. Full article
(This article belongs to the Section Computer)
Show Figures

Figure 1

28 pages, 4312 KB  
Article
Application of Convolutional Neural Network for Decoding of 12-Lead Electrocardiogram from a Frequency-Modulated Audio Stream (Sonified ECG)
by Vessela Krasteva, Ivo Iliev and Serafim Tabakov
Sensors 2024, 24(6), 1883; https://doi.org/10.3390/s24061883 - 15 Mar 2024
Cited by 2 | Viewed by 3605
Abstract
Research of novel biosignal modalities with application to remote patient monitoring is a subject of state-of-the-art developments. This study is focused on sonified ECG modality, which can be transmitted as an acoustic wave and received by GSM (Global System for Mobile Communications) microphones. [...] Read more.
Research of novel biosignal modalities with application to remote patient monitoring is a subject of state-of-the-art developments. This study is focused on sonified ECG modality, which can be transmitted as an acoustic wave and received by GSM (Global System for Mobile Communications) microphones. Thus, the wireless connection between the patient module and the cloud server can be provided over an audio channel, such as a standard telephone call or audio message. Patients, especially the elderly or visually impaired, can benefit from ECG sonification because the wireless interface is readily available, facilitating the communication and transmission of secure ECG data from the patient monitoring device to the remote server. The aim of this study is to develop an AI-driven algorithm for 12-lead ECG sonification to support diagnostic reliability in the signal processing chain of the audio ECG stream. Our methods present the design of two algorithms: (1) a transformer (ECG-to-Audio) based on the frequency modulation (FM) of eight independent ECG leads in the very low frequency band (300–2700 Hz); and (2) a transformer (Audio-to-ECG) based on a four-layer 1D convolutional neural network (CNN) to decode the audio ECG stream (10 s @ 11 kHz) to the original eight-lead ECG (10 s @ 250 Hz). The CNN model is trained in unsupervised regression mode, searching for the minimum error between the transformed and original ECG signals. The results are reported using the PTB-XL 12-lead ECG database (21,837 recordings), split 50:50 for training and test. The quality of FM-modulated ECG audio is monitored by short-time Fourier transform, and examples are illustrated in this paper and supplementary audio files. The errors of the reconstructed ECG are estimated by a popular ECG diagnostic toolbox. They are substantially low in all ECG leads: amplitude error (quartile range RMSE = 3–7 μV, PRD = 2–5.2%), QRS detector (Se, PPV > 99.7%), P-QRS-T fiducial points’ time deviation (<2 ms). Low errors generalized across diverse patients and arrhythmias are a testament to the efficacy of the developments. They support 12-lead ECG sonification as a wireless interface to provide reliable data for diagnostic measurements by automated tools or medical experts. Full article
(This article belongs to the Special Issue Advances in ECG/EEG Monitoring)
Show Figures

Figure 1

22 pages, 4197 KB  
Article
LiMOX—A Point Cloud Lidar Model Toolbox Based on NVIDIA OptiX Ray Tracing Engine
by Relindis Rott, David J. Ritter, Stefan Ladstätter, Oliver Nikolić and Marcus E. Hennecke
Sensors 2024, 24(6), 1846; https://doi.org/10.3390/s24061846 - 13 Mar 2024
Cited by 3 | Viewed by 3099
Abstract
Virtual testing and validation are building blocks in the development of autonomous systems, in particular autonomous driving. Perception sensor models gained more attention to cover the entire tool chain of the sense–plan–act cycle, in a realistic test setup. In the literature or state-of-the-art [...] Read more.
Virtual testing and validation are building blocks in the development of autonomous systems, in particular autonomous driving. Perception sensor models gained more attention to cover the entire tool chain of the sense–plan–act cycle, in a realistic test setup. In the literature or state-of-the-art software tools various kinds of lidar sensor models are available. We present a point cloud lidar sensor model, based on ray tracing, developed for a modular software architecture, which can be used stand-alone. The model is highly parametrizable and designed as a toolbox to simulate different kinds of lidar sensors. It is linked to an infrared material database to incorporate physical sensor effects introduced by the ray–surface interaction. The maximum detectable range depends on the material reflectivity, which can be covered with this approach. The angular dependence and maximum range for different Lambertian target materials are studied. Point clouds from a scene in an urban street environment are compared for different sensor parameters. Full article
(This article belongs to the Special Issue LiDAR Sensors Applied in Intelligent Transportation Systems)
Show Figures

Graphical abstract

16 pages, 2337 KB  
Article
Robustness and Transferability of Adversarial Attacks on Different Image Classification Neural Networks
by Kamilya Smagulova, Lina Bacha, Mohammed E. Fouda, Rouwaida Kanj and Ahmed Eltawil
Electronics 2024, 13(3), 592; https://doi.org/10.3390/electronics13030592 - 31 Jan 2024
Cited by 4 | Viewed by 3218
Abstract
Recent works demonstrated that imperceptible perturbations to input data, known as adversarial examples, can mislead neural networks’ output. Moreover, the same adversarial sample can be transferable and used to fool different neural models. Such vulnerabilities impede the use of neural networks in mission-critical [...] Read more.
Recent works demonstrated that imperceptible perturbations to input data, known as adversarial examples, can mislead neural networks’ output. Moreover, the same adversarial sample can be transferable and used to fool different neural models. Such vulnerabilities impede the use of neural networks in mission-critical tasks. To the best of our knowledge, this is the first paper that evaluates the robustness of emerging CNN- and transformer-inspired image classifier models such as SpinalNet and Compact Convolutional Transformer (CCT) against popular white- and black-box adversarial attacks imported from the Adversarial Robustness Toolbox (ART). In addition, the adversarial transferability of the generated samples across given models was studied. The tests were carried out on the CIFAR-10 dataset, and the obtained results show that the level of susceptibility of SpinalNet against the same attacks is similar to that of the traditional VGG model, whereas CCT demonstrates better generalization and robustness. The results of this work can be used as a reference for further studies, such as the development of new attacks and defense mechanisms. Full article
Show Figures

Figure 1

15 pages, 718 KB  
Review
Understanding Naturalistic Facial Expressions with Deep Learning and Multimodal Large Language Models
by Yifan Bian, Dennis Küster, Hui Liu and Eva G. Krumhuber
Sensors 2024, 24(1), 126; https://doi.org/10.3390/s24010126 - 26 Dec 2023
Cited by 13 | Viewed by 7582
Abstract
This paper provides a comprehensive overview of affective computing systems for facial expression recognition (FER) research in naturalistic contexts. The first section presents an updated account of user-friendly FER toolboxes incorporating state-of-the-art deep learning models and elaborates on their neural architectures, datasets, and [...] Read more.
This paper provides a comprehensive overview of affective computing systems for facial expression recognition (FER) research in naturalistic contexts. The first section presents an updated account of user-friendly FER toolboxes incorporating state-of-the-art deep learning models and elaborates on their neural architectures, datasets, and performances across domains. These sophisticated FER toolboxes can robustly address a variety of challenges encountered in the wild such as variations in illumination and head pose, which may otherwise impact recognition accuracy. The second section of this paper discusses multimodal large language models (MLLMs) and their potential applications in affective science. MLLMs exhibit human-level capabilities for FER and enable the quantification of various contextual variables to provide context-aware emotion inferences. These advancements have the potential to revolutionize current methodological approaches for studying the contextual influences on emotions, leading to the development of contextualized emotion models. Full article
(This article belongs to the Special Issue Sensors for Human Activity Recognition II)
Show Figures

Figure 1

36 pages, 4543 KB  
Review
Multi-Omics Pipeline and Omics-Integration Approach to Decipher Plant’s Abiotic Stress Tolerance Responses
by Rajib Roychowdhury, Soumya Prakash Das, Amber Gupta, Parul Parihar, Kottakota Chandrasekhar, Umakanta Sarker, Ajay Kumar, Devade Pandurang Ramrao and Chinta Sudhakar
Genes 2023, 14(6), 1281; https://doi.org/10.3390/genes14061281 - 16 Jun 2023
Cited by 147 | Viewed by 16905
Abstract
The present day’s ongoing global warming and climate change adversely affect plants through imposing environmental (abiotic) stresses and disease pressure. The major abiotic factors such as drought, heat, cold, salinity, etc., hamper a plant’s innate growth and development, resulting in reduced yield and [...] Read more.
The present day’s ongoing global warming and climate change adversely affect plants through imposing environmental (abiotic) stresses and disease pressure. The major abiotic factors such as drought, heat, cold, salinity, etc., hamper a plant’s innate growth and development, resulting in reduced yield and quality, with the possibility of undesired traits. In the 21st century, the advent of high-throughput sequencing tools, state-of-the-art biotechnological techniques and bioinformatic analyzing pipelines led to the easy characterization of plant traits for abiotic stress response and tolerance mechanisms by applying the ‘omics’ toolbox. Panomics pipeline including genomics, transcriptomics, proteomics, metabolomics, epigenomics, proteogenomics, interactomics, ionomics, phenomics, etc., have become very handy nowadays. This is important to produce climate-smart future crops with a proper understanding of the molecular mechanisms of abiotic stress responses by the plant’s genes, transcripts, proteins, epigenome, cellular metabolic circuits and resultant phenotype. Instead of mono-omics, two or more (hence ‘multi-omics’) integrated-omics approaches can decipher the plant’s abiotic stress tolerance response very well. Multi-omics-characterized plants can be used as potent genetic resources to incorporate into the future breeding program. For the practical utility of crop improvement, multi-omics approaches for particular abiotic stress tolerance can be combined with genome-assisted breeding (GAB) by being pyramided with improved crop yield, food quality and associated agronomic traits and can open a new era of omics-assisted breeding. Thus, multi-omics pipelines together are able to decipher molecular processes, biomarkers, targets for genetic engineering, regulatory networks and precision agriculture solutions for a crop’s variable abiotic stress tolerance to ensure food security under changing environmental circumstances. Full article
(This article belongs to the Special Issue Abiotic Stress in Plants: Present and Future)
Show Figures

Figure 1

43 pages, 3374 KB  
Review
From Model-Based Optimization Algorithms to Deep Learning Models for Clustering Hyperspectral Images
by Shaoguang Huang, Hongyan Zhang, Haijin Zeng and Aleksandra Pižurica
Remote Sens. 2023, 15(11), 2832; https://doi.org/10.3390/rs15112832 - 29 May 2023
Cited by 9 | Viewed by 5378
Abstract
Hyperspectral images (HSIs), captured by different Earth observation airborne and space-borne systems, provide rich spectral information in hundreds of bands, enabling far better discrimination between ground materials that are often indistinguishable in visible and multi-spectral images. Clustering of HSIs, which aims to unveil [...] Read more.
Hyperspectral images (HSIs), captured by different Earth observation airborne and space-borne systems, provide rich spectral information in hundreds of bands, enabling far better discrimination between ground materials that are often indistinguishable in visible and multi-spectral images. Clustering of HSIs, which aims to unveil class patterns in an unsupervised way, is highly important in the interpretation of HSI, especially when labelled data are not available. A number of HSI clustering methods have been proposed. Among them, model-based optimization algorithms, which learn the cluster structure of data by solving convex/non-convex optimization problems, have achieved the current state-of-the-art performance. Recent works extend the model-based algorithms to deep versions with deep neural networks, obtaining huge breakthroughs in clustering performance. However, a systematic survey on the topic is absent. This article provides a comprehensive overview of clustering methods of HSI and tracked the latest techniques and breakthroughs in the domain, including the traditional model-based optimization algorithms and the emerging deep learning based clustering methods. With a new taxonomy, we elaborated on the main ideas, technical details, advantages, and disadvantages of different types of clustering methods of HSIs. We provided a systematic performance comparison between different clustering methods by conducting extensive experiments on real HSIs. Unsolved problems and future research trends in the domain are pointed out. Moreover, we provided a toolbox that contains implementations of representative clustering algorithms to help researchers to develop their own models. Full article
(This article belongs to the Special Issue Advances in Hyperspectral Remote Sensing Image Processing)
Show Figures

Figure 1

48 pages, 6997 KB  
Article
AiTLAS: Artificial Intelligence Toolbox for Earth Observation
by Ivica Dimitrovski, Ivan Kitanovski, Panče Panov, Ana Kostovska, Nikola Simidjievski and Dragi Kocev
Remote Sens. 2023, 15(9), 2343; https://doi.org/10.3390/rs15092343 - 28 Apr 2023
Cited by 9 | Viewed by 6329
Abstract
We propose AiTLAS—an open-source, state-of-the-art toolbox for exploratory and predictive analysis of satellite imagery. It implements a range of deep-learning architectures and models tailored for the EO tasks illustrated in this case. The versatility and applicability of the toolbox are showcased in a [...] Read more.
We propose AiTLAS—an open-source, state-of-the-art toolbox for exploratory and predictive analysis of satellite imagery. It implements a range of deep-learning architectures and models tailored for the EO tasks illustrated in this case. The versatility and applicability of the toolbox are showcased in a variety of EO tasks, including image scene classification, semantic image segmentation, object detection, and crop type prediction. These use cases demonstrate the potential of the toolbox to support the complete data analysis pipeline starting from data preparation and understanding, through learning novel models or fine-tuning existing ones, using models for making predictions on unseen images, and up to analysis and understanding of the predictions and the predictive performance yielded by the models. AiTLAS brings the AI and EO communities together by facilitating the use of EO data in the AI community and accelerating the uptake of (advanced) machine-learning methods and approaches by EO experts. It achieves this by providing: (1) user-friendly, accessible, and interoperable resources for data analysis through easily configurable and readily usable pipelines; (2) standardized, verifiable, and reusable data handling, wrangling, and pre-processing approaches for constructing AI-ready data; (3) modular and configurable modeling approaches and (pre-trained) models; and (4) standardized and reproducible benchmark protocols including data and models. Full article
(This article belongs to the Special Issue Deep Learning and Computer Vision in Remote Sensing-II)
Show Figures

Graphical abstract

Back to TopTop