Fixed Point Iteration Based Algorithm for Asynchronous TOA-Based Source Localization
Abstract
:1. Introduction
2. Localization with Accurate Sensor Positions
| Algorithm 1: Localization with scenario 1: accurate sensor position. |
![]() |
3. Localization with Non-Accurate Sensor Positions
| Algorithm 2: Localization with scenario 2: non-accurate sensor positions. |
![]() |
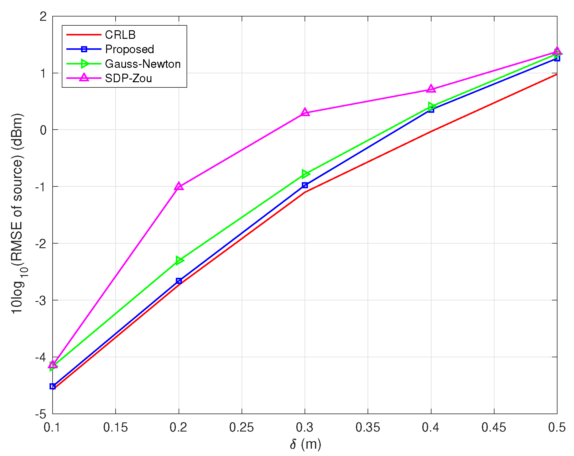
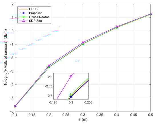
4. Simulation Results
5. Conclusions
Author Contributions
Funding
Institutional Review Board Statement
Informed Consent Statement
Data Availability Statement
Conflicts of Interest
Sample Availability
Abbreviations
| TOA | Time-of-arrival |
| 2SWLS | Two-step weighted least squares |
| MLE | Maximum likelihood |
| PFI | Fixed point iteration |
| TDOA | Time-difference-of-arrival |
| TD | Time delay |
| RSS | Received signal strength |
| AOA | angle-of-arrival |
| ATOA | Asynchronous TOA |
| SDP | Semidefinite programming |
| SOCP | Second-order cone programming |
| WLS | Weighted least squares |
| CRLB | Cramer-Rao lower bound |
| RMSE | Root mean-square error |
Appendix A. Gauss–Newton Method for Scenario 1
Appendix B. Gauss–Newton Method for Scenario 2
References
- Zafari, F.; Gkelias, A.; Leung, K. A survey of indoor localization systems and technologies. IEEE Commun. Surv. Tutor. 2019, 21, 2568–2599. [Google Scholar] [CrossRef]
- Zou, Y.; Liu, H. A simple and efficient iterative method for TOA localization. In Proceedings of the IEEE International Conference of Acoustics, Speech, and Signal Processing, Barcelona, Spain, 4–8 May 2020; pp. 4881–4884. [Google Scholar]
- Liang, J.; Chen, Y.; So, H.; Yang, J. Circular/hyperbolic/elliptic localization via euclidean norm elimination. Signal Process. 2018, 148, 102–113. [Google Scholar] [CrossRef]
- Zou, Y.; Liu, H. RSS-based target localization with unknown model parameters and sensor position errors. IEEE Trans. Veh. Technol. 2021, 70, 6969–6982. [Google Scholar] [CrossRef]
- Zhang, Y.; Ho, K. Multistatic localization in the absence of transmitter position. IEEE Trans. Signal Process. 2019, 67, 4745–4760. [Google Scholar] [CrossRef]
- Luo, J.; Shao, X.; Peng, D.; Zhang, X. A novel subspace approach for bearing-only target localization. IEEE Sens. J. 2019, 19, 8174–8182. [Google Scholar] [CrossRef]
- Yin, J.; Wan, Q.; Yang, S.; Ho, K. A simple and accurate TDOA-AOA localization method using two stations. IEEE Signal Process. Lett. 2016, 23, 144–148. [Google Scholar] [CrossRef]
- Amiri, R.; Behnia, F.; Zamani, H. Efficient 3-D positioning using time-delay and aoa measurements in MIMO radar systems. IEEE Commun. Lett. 2017, 21, 2614–2617. [Google Scholar] [CrossRef]
- Zou, Y.; Liu, H.; Wan, Q. Joint synchronization and localization in wireless sensor networks using semidefinite programming. IEEE Internet Things J. 2018, 5, 199–205. [Google Scholar] [CrossRef]
- Xu, E.; Ding, Z.; Dasgupta, S. Source localization in wireless sensor networks from signal time-of-arrival measurements. IEEE Trans. Signal Process. 2011, 59, 2887–2897. [Google Scholar] [CrossRef]
- Vaghefi, R.; Buehrer, R. Asynchronous time-of-arrival-based source localization. In Proceedings of the IEEE International Conference of Acoustics, Speech, and Signal Processing, Vancouver, BC, Canada, 26–31 May 2013; pp. 4086–4090. [Google Scholar]
- Wang, G.; Cai, S.; Li, Y.; Jin, M. Second-order cone relaxation for TOA-based source localization with unknown start transmission time. IEEE Trans. Veh. Technol. 2014, 63, 2973–2977. [Google Scholar] [CrossRef]
- Mekonnen, Z.; Wittneben, A. Robust TOA based localization for wireless sensor networks with anchor position uncertainties. In Proceedings of the IEEE International Symposium on Personal, Indoor, Mobile Radio Communication, Washington, DC, USA, 2–5 September 2014; pp. 2029–2033. [Google Scholar]
- Zou, Y.; Wan, Q. Asynchronous time-of-arrival-based source localization with sensor position uncertainties. IEEE Commun. Lett. 2016, 20, 1860–1863. [Google Scholar] [CrossRef]
- Yan, Y.; Yang, G.; Wang, H.; Shen, X. Semidefinite relaxation for source localization with quantized TOA measurements and transmission uncertainty in sensor networks. IEEE Trans. Commun. 2021, 69, 1201–1213. [Google Scholar] [CrossRef]
- Yang, G.; Yan, Y.; Wang, H.; Shen, X. Improved robust TOA-based source localization with individual constraint of sensor location uncertainty. Signal Process. 2022, 196, 108504. [Google Scholar] [CrossRef]
- Ma, X.; Hao, B.; Zhang, H.; Wan, P. Semidefinite relaxation for source localization by TOA in unsynchronized networks. IEEE Signal Process. Lett. 2022, 29, 622–626. [Google Scholar] [CrossRef]
- Huang, J.; Xue, Y.; Yang, L. An efficient closed-form solution for joint synchronization and localization using TOA. Future Gener. Comput. Syst. 2013, 29, 776–781. [Google Scholar] [CrossRef]
- CVX: Matlab Software for Disciplined Convex Programming, Version 1.21. 2010. Available online: http://cvxr.com/cvx (accessed on 31 August 2022).
- Ho, K.; Lu, X.; Kovavisaruch, L. Source localization using TDOA and FDOA measurements in the presence of receiver location errors: Analysis and solution. IEEE Trans. Signal Process. 2007, 55, 684–696. [Google Scholar] [CrossRef]
- Jia, T.; Ho, K.C.; Wang, H.; Shen, X. Localization of a moving object with sensors in motion by time delays and Doppler shifts. IEEE Trans. Signal Process. 2020, 68, 5824–5841. [Google Scholar] [CrossRef]
- Gao, W.; Goldfarb, D. Quasi-Newton methods: superlinear convergence without line searches for self-concordant functions. Optim. Methods Softw. 2018, 34, 194–217. [Google Scholar] [CrossRef]
- Ho, K.; Yang, L. On the use of a calibration emitter for source localization in the presence of sensor position uncertainty. IEEE Trans. Signal Process. 2008, 56, 5758–5772. [Google Scholar] [CrossRef]
- Sturm, J. Using SeDuMi 1.02, a MATLAB toolbox for optimization over symmetric cones. Optim. Methods Softw. 1999, 11, 625–653. [Google Scholar] [CrossRef]
- Lin, L.; So, H.; Chan, F.; Chan, Y.; Ho, K. A new constrained weighted least squares algorithm for TDOA-based localization. Signal Process. 2013, 93, 2872–2878. [Google Scholar] [CrossRef]



| Scenarios | 1 | 2 | |
|---|---|---|---|
| Algorithms | |||
| 2SWLS | 0.19 | * | |
| Proposed-Multi | 8.6 | * | |
| Gauss–Newton-Multi | 0.94 | * | |
| Proposed-Mid | 5.3 | * | |
| Gauss–Newton-Mid | 0.67 | * | |
| SDP–Ma | 412 | * | |
| SDP–Zou | 1773 | 1861 | |
| Proposed | * | 28.6 | |
| Gauss–Newton | * | 2.6 | |
Publisher’s Note: MDPI stays neutral with regard to jurisdictional claims in published maps and institutional affiliations. |
© 2022 by the authors. Licensee MDPI, Basel, Switzerland. This article is an open access article distributed under the terms and conditions of the Creative Commons Attribution (CC BY) license (https://creativecommons.org/licenses/by/4.0/).
Share and Cite
Zou, Y.; Fan, J.; Wu, L.; Liu, H. Fixed Point Iteration Based Algorithm for Asynchronous TOA-Based Source Localization. Sensors 2022, 22, 6871. https://doi.org/10.3390/s22186871
Zou Y, Fan J, Wu L, Liu H. Fixed Point Iteration Based Algorithm for Asynchronous TOA-Based Source Localization. Sensors. 2022; 22(18):6871. https://doi.org/10.3390/s22186871
Chicago/Turabian StyleZou, Yanbin, Jingna Fan, Liehu Wu, and Huaping Liu. 2022. "Fixed Point Iteration Based Algorithm for Asynchronous TOA-Based Source Localization" Sensors 22, no. 18: 6871. https://doi.org/10.3390/s22186871
APA StyleZou, Y., Fan, J., Wu, L., & Liu, H. (2022). Fixed Point Iteration Based Algorithm for Asynchronous TOA-Based Source Localization. Sensors, 22(18), 6871. https://doi.org/10.3390/s22186871



