-
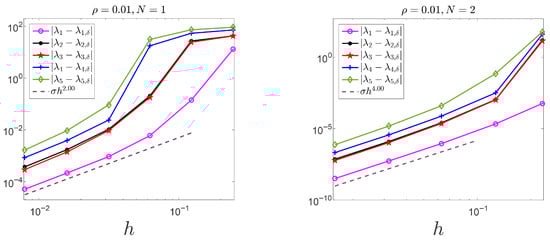
An Eneström–Kakeya Theorem with Monotonicity Conditions on the Even- and Odd-Indexed Coefficients of a Polynomial -
Approximation by Power Series of Functions -
Mitigating the Drawbacks of the L0 Norm and the Total Variation Norm -
Integrability Methods for the Variable Coefficients Geophysical KdV Model -
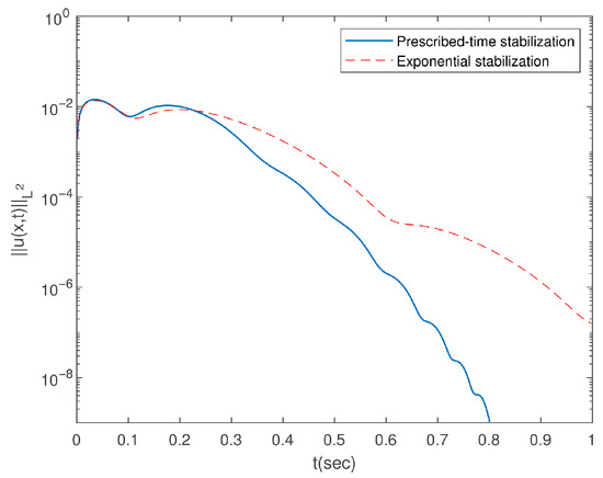
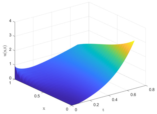
The Characterization of the Mechanical Harmonic Oscillator Extremum Envelope Shape According to Different Friction Types
Journal Description
Axioms
- Open Access— free for readers, with article processing charges (APC) paid by authors or their institutions.
- High visibility: indexed within SCIE (Web of Science), dblp, and other databases.
- Journal Rank: JCR - Q2 (Mathematics, Applied)
- Rapid Publication: manuscripts are peer-reviewed and a first decision is provided to authors approximately 21.6 days after submission; acceptance to publication is undertaken in 2.8 days (median values for papers published in this journal in the first half of 2025).
- Recognition of Reviewers: reviewers who provide timely, thorough peer-review reports receive vouchers entitling them to a discount on the APC of their next publication in any MDPI journal, in appreciation of the work done.
- Companion journal: Logics.
- Journal Cluster of Mathematics and Its Applications: AppliedMath, Axioms, Computation, Fractal and Fractional, Geometry, International Journal of Topology, Logics, Mathematics and Symmetry.
Latest Articles
Highly Accessed Articles
Latest Books
E-Mail Alert
News
Topics
Deadline: 31 December 2025
Deadline: 28 February 2026
Deadline: 30 May 2026
Deadline: 30 June 2026
Conferences
Special Issues
Deadline: 20 December 2025
Deadline: 20 December 2025
Deadline: 29 December 2025
Deadline: 29 December 2025


















