Journal Description
Biomimetics
Biomimetics
is an international, peer-reviewed, open access journal on biomimicry and bionics, published monthly online by MDPI. The International Society of Bionic Engineering (ISBE) is affiliated with Biomimetics.
- Open Access— free for readers, with article processing charges (APC) paid by authors or their institutions.
- High Visibility: indexed within Scopus, SCIE (Web of Science), PubMed, PMC, Ei Compendex, CAPlus / SciFinder, and other databases.
- Journal Rank: JCR - Q1 (Engineering, Multidisciplinary) / CiteScore - Q2 (Biomedical Engineering)
- Rapid Publication: manuscripts are peer-reviewed and a first decision is provided to authors approximately 17.1 days after submission; acceptance to publication is undertaken in 2.8 days (median values for papers published in this journal in the first half of 2025).
- Recognition of Reviewers: reviewers who provide timely, thorough peer-review reports receive vouchers entitling them to a discount on the APC of their next publication in any MDPI journal, in appreciation of the work done.
Impact Factor:
3.9 (2024);
5-Year Impact Factor:
4.0 (2024)
Latest Articles
The Vibrational Signature of Alzheimer’s Disease: A Computational Approach Based on Sonification, Laser Projection, and Computer Vision Analysis
Biomimetics 2025, 10(12), 792; https://doi.org/10.3390/biomimetics10120792 (registering DOI) - 21 Nov 2025
Abstract
Alzheimer’s disease (AD) is the most prevalent form of dementia, and accessible biomarkers for early detection remain limited. This study introduces a biomimetic approach in which brain electrical activity is transformed into sound and vibration, emulating natural sensory encoding mechanisms. Resting-state EEG recordings
[...] Read more.
Alzheimer’s disease (AD) is the most prevalent form of dementia, and accessible biomarkers for early detection remain limited. This study introduces a biomimetic approach in which brain electrical activity is transformed into sound and vibration, emulating natural sensory encoding mechanisms. Resting-state EEG recordings from 36 AD patients and 29 healthy controls were averaged by group, directly sonified, and used to drive a membrane–laser system that projected dynamic vibrational patterns. This transformation mirrors how biological systems convert electrical signals into sensory representations, offering a novel bridge between neural dynamics and physical patterns. The resulting videos were processed through adaptive binarization, morphological filtering, and contour-based masking. Quantitative descriptors such as active area, spatial entropy, fractal dimension, and centroid dynamics were extracted, capturing group-specific differences. A Random Forest classifier trained on these features achieved an accuracy of 0.85 and an AUC of 0.93 in distinguishing AD from controls. These findings suggest that EEG sonification combined with vibrational projection provides not only a novel non-invasive biomarker candidate but also a biomimetic framework inspired by the brain’s own capacity to encode and represent complex signals.
Full article
(This article belongs to the Special Issue New Biomimetic Advances in Signal and Image Processing for Biomedical Applications 2025)
►
Show Figures
Open AccessReview
Recent Advances and Retrospective Review in Bioinspired Structures for Fog Water Collection
by
Shizhang Dong, Guangze Li, Shaobo Jin, Hong Hu and Guoyong Ye
Biomimetics 2025, 10(12), 791; https://doi.org/10.3390/biomimetics10120791 (registering DOI) - 21 Nov 2025
Abstract
Fog water collection, as a sustainable approach to alleviating water scarcity, has attracted considerable attention due to its low energy consumption and environmental friendliness. Various organisms in nature have evolved unique biological structures that efficiently capture and direct fog water. The fog water
[...] Read more.
Fog water collection, as a sustainable approach to alleviating water scarcity, has attracted considerable attention due to its low energy consumption and environmental friendliness. Various organisms in nature have evolved unique biological structures that efficiently capture and direct fog water. The fog water collection structures (FWCSs) and physical mechanisms of these organisms provide valuable inspiration for innovations in fog water collection technologies. This review systematically summarizes biomimetic structures designed for fog water collection, with a focus on representative natural examples such as the Namib desert beetle, cactus spines, spider silk, and Nepenthes mirabilis, highlighting how they achieve efficient fog water capture, coalescence, and transport through special surface textures, wettability regulation, and structural design. The underlying physical mechanisms are discussed in depth, including droplet behavior on micro/nanostructured surfaces, surface energy gradients, and Laplace pressure gradients in directional droplet transport. On this basis, the current challenges in bioinspired FWCSs design are outlined, and future perspectives are proposed. Future research may focus on the multiscale structural optimization of bioinspired FWCSs, the development of dynamically tunable designs, and the use of efficient and sustainable materials to further enhance fog water collection efficiency and ensure the long-term stability of FWCSs. Ultimately, by integrating modern manufacturing technologies and stimuli-responsive materials, bioinspired FWCSs hold great potential for applications in extreme environments, agricultural irrigation, and energy-efficient architecture, offering innovative solutions to the global water crisis.
Full article
(This article belongs to the Special Issue Design of Natural and Biomimetic Flexible Biological Structures)
►▼
Show Figures

Figure 1
Open AccessArticle
Fabrication and Characterization of Semi-Resorbable Bioactive Membrane Derived from Silk Fiber Sheet for Guided Bone Regeneration
by
Kanokporn Santavalimp, Jirut Meesane, Juthakarn Thonglam, Kawintip Prasongyuenyong and Prisana Pripatnanont
Biomimetics 2025, 10(11), 790; https://doi.org/10.3390/biomimetics10110790 - 20 Nov 2025
Abstract
The barrier membrane is a key component in guided bone regeneration (GBR); however, there is no current commercially available membrane universally suitable for all clinical situations. The semi-resorbable bioactive barrier membrane derived from a silk fiber sheet (SF), polyvinyl alcohol (PVA), and biphasic
[...] Read more.
The barrier membrane is a key component in guided bone regeneration (GBR); however, there is no current commercially available membrane universally suitable for all clinical situations. The semi-resorbable bioactive barrier membrane derived from a silk fiber sheet (SF), polyvinyl alcohol (PVA), and biphasic calcium phosphate (BCP) was fabricated to provide improved physical, mechanical, and bioactive properties. There were four experimental groups: PVA/SF, 1BCP/PVA/SF, 3BCP/PVA/SF, and 5BCP/PVA/SF. All fabricated membranes appeared white in color with a smooth texture; however, SEM images revealed a rougher top surface compared to the bottom surface. FTIR and DSC validated the presence of the SF and PVA with or without BCP. All membranes displayed high hydrophilicity, except the PVA/SF group, which remained hydrophobic on the bottom surface. The water uptake of all groups reached the plateau phase within 10 min. The degradation rate fell within the range of 5–20% over a three-month period. Both fibroblastic and osteoblastic cells attached and survived on the BCP-incorporated membranes, comparable to those observed in the commercially available ossifying collagen membrane. Among the fabricated membranes, the 3BCP/PVA/SF formulation demonstrated the most favorable physical, mechanical, and biological properties for GBR applications.
Full article
(This article belongs to the Special Issue Advances in Bioceramics for Bone Regeneration: 2nd Edition)
►▼
Show Figures

Graphical abstract
Open AccessArticle
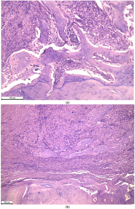
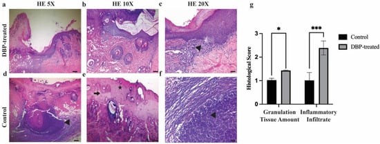
An Evaluation of Osseointegration Outcomes Around Trabecular Metal Implants in Human Maxillaries Reconstructed with Allograft and Platelet-Rich Fibrin
by
Sana Imani Oroumieh, Hana Shah, Andrew Nordlund, Luis Ignacio De Bellis Tulle, Bruno Martins de Souza, Anshumi Desai, Vasudev Vivekanand Nayak, Juan Carlos Carvajal Herrera, Lukasz Witek and Paulo G. Coelho
Biomimetics 2025, 10(11), 789; https://doi.org/10.3390/biomimetics10110789 - 20 Nov 2025
Abstract
Trabecular MetalTM (TM) dental implants comprise a tantalum (Ta)-based biomimetic open-cell structure designed to replicate the structural, functional, and physiological properties of cancellous bone. Yet, the current literature primarily focuses on the evaluation of osseointegration outcomes surrounding TM implants in uncompromised bone
[...] Read more.
Trabecular MetalTM (TM) dental implants comprise a tantalum (Ta)-based biomimetic open-cell structure designed to replicate the structural, functional, and physiological properties of cancellous bone. Yet, the current literature primarily focuses on the evaluation of osseointegration outcomes surrounding TM implants in uncompromised bone environments and/or brief periods of observation in pre-clinical models. In addition, the performance of TM implants in bony defect environments reconstructed with allogenic grafts and bioactive molecules, such as platelet-rich fibrin (PRF), has not been thoroughly investigated. This longitudinal, randomized clinical trial comprised patients presenting with completely edentulous maxillaries. Guided Bone Regeneration (GBR) was performed using a cortico-cancellous allograft/PRF agglomerate. After 26 weeks, bone biopsies were obtained, followed by the insertion of a TM implant, after which patients were allowed to heal for 52 weeks for assessment of osseointegration. Qualitatively, histomicrographs at 26 weeks confirmed the presence of newly formed bone extending from the periphery of defects and along the direct surface of the allograft. TM implant biopsies at 52 weeks demonstrated osseointegration with bone ongrowth and ingrowth at the interconnected, porous trabecular region. These histological characteristics were consistent across all patients. No metal debris was detected, and the TM implants maintained their porous structure throughout the study period. TM implants placed in PRF-augmented allograft-reconstructed maxillae fostered a conducive environment for osseointegration. By leveraging the open-cell Ta structure, robust new bone formation was achieved without signs of adverse tissue reactions.
Full article
(This article belongs to the Special Issue Biomimetic Approach to Dental Implants: Third Edition)
►▼
Show Figures

Figure 1
Open AccessArticle
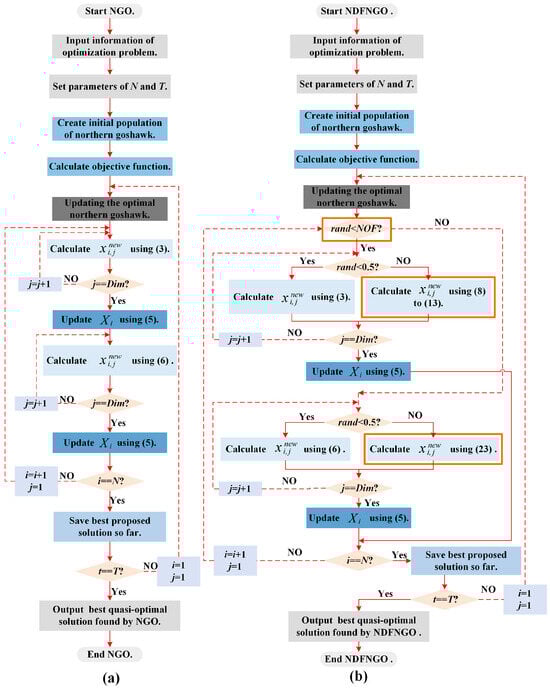
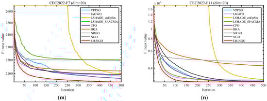
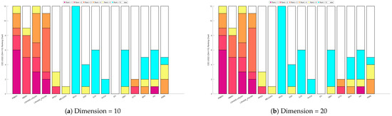
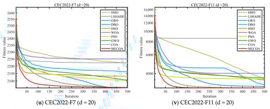
An Improved Red-Billed Blue Magpie Algorithm and Its Application to Constrained Optimization Problems
by
Ying Qiao, Zhixin Han, Hongxin Fu and Yuelin Gao
Biomimetics 2025, 10(11), 788; https://doi.org/10.3390/biomimetics10110788 - 20 Nov 2025
Abstract
The Red-Billed Blue Magpie Optimization (RBMO) algorithm is a metaheuristic method inspired by the foraging behavior of red-billed blue magpies. However, the conventional RBMO often suffers from premature convergence and performance degradation when solving high-dimensional constrained optimization problems due to its over-reliance on
[...] Read more.
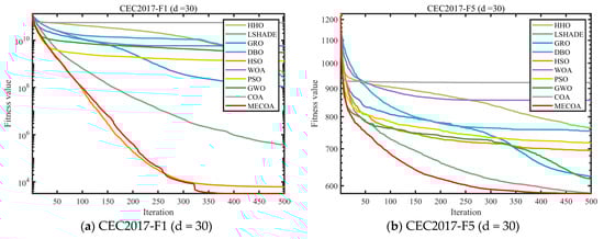
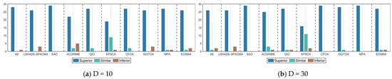
The Red-Billed Blue Magpie Optimization (RBMO) algorithm is a metaheuristic method inspired by the foraging behavior of red-billed blue magpies. However, the conventional RBMO often suffers from premature convergence and performance degradation when solving high-dimensional constrained optimization problems due to its over-reliance on population mean vectors. To address these limitations, this study proposes an Improved Red-Billed Blue Magpie Optimization (IRBMO) algorithm through a multi-strategy fusion framework. IRBMO enhances population diversity through Logistic-Tent chaotic mapping, coordinates global and local search capabilities via a dynamic balance factor, and integrates a dual-mode perturbation mechanism that synergizes Jacobi curve strategies with Lévy flight strategies to balance exploration and exploitation. To validate IRBMO’s efficacy, comprehensive comparisons with 16 algorithms were conducted on the CEC-2017 (30D, 50D, 100D) and CEC-2022 (10D, 20D) benchmark suites. Subsequently, IRBMO was rigorously evaluated against ten additional competing algorithms across four constrained engineering design problems to validate its practical effectiveness and robustness in real-world optimization scenarios. Finally, IRBMO was applied to 3D UAV path planning, successfully avoiding hazardous zones while outperforming 15 alternative algorithms. Experimental results confirm that IRBMO exhibits statistically significant improvements in robustness, convergence accuracy, and speed compared to classical RBMO and other peers, offering an efficient solution for complex optimization challenges.
Full article
(This article belongs to the Section Biological Optimisation and Management)
►▼
Show Figures

Figure 1
Open AccessArticle
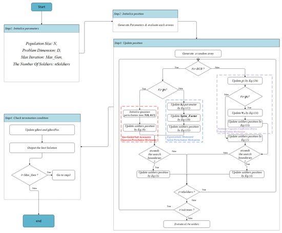
FBCA: Flexible Besiege and Conquer Algorithm for Multi-Layer Perceptron Optimization Problems
by
Shuxin Guo, Chenxu Guo and Jianhua Jiang
Biomimetics 2025, 10(11), 787; https://doi.org/10.3390/biomimetics10110787 - 19 Nov 2025
Abstract
A Multi-Layer Perceptron (MLP), as the basic structure of neural networks, is an important component of various deep learning models such as CNNs, RNNs, and Transformers. Nevertheless, MLP training faces significant challenges, with a large number of saddle points and local minima in
[...] Read more.
A Multi-Layer Perceptron (MLP), as the basic structure of neural networks, is an important component of various deep learning models such as CNNs, RNNs, and Transformers. Nevertheless, MLP training faces significant challenges, with a large number of saddle points and local minima in its non-convex optimization space, which can easily lead to gradient vanishing and premature convergence. Compared with traditional heuristic algorithms relying on a population-based parallel search, such as GA, GWO, DE, etc., the Besiege and Conquer Algorithm (BCA) employs a one-spot update strategy that provides a certain level of global optimization capability but exhibits clear limitations in search flexibility. Specifically, it lacks fast detection, fast adaptation, and fast convergence. First, the fixed sinusoidal amplitude limits the accuracy of fast detection in complex regions. Second, the combination of a random location and fixed perturbation range limits the fast adaptation of global convergence. Finally, the lack of a hierarchical adjustment under a single parameter (BCB) hinders the dynamic transition from exploration to exploitation, resulting in slow convergence. To address these limitations, this paper proposes a Flexible Besiege and Conquer Algorithm (FBCA), which improves search flexibility and convergence capability through three new mechanisms: (1) the sine-guided soft asymmetric Gaussian perturbation mechanism enhances local micro-exploration, thereby achieving a fast detection response near the global optimum; (2) the exponentially modulated spiral perturbation mechanism adopts an exponential spiral factor for fast adaptation of global convergence; and (3) the nonlinear cognitive coefficient-driven velocity update mechanism improves the convergence performance, realizing a more balanced exploration–exploitation process. In the IEEE CEC 2017 benchmark function test, FBCA ranked first in the comprehensive comparison with 12 state-of-the-art algorithms, with a win rate of 62% over BCA in 100-dimensional problems. It also achieved the best performance in six MLP optimization problems, showing excellent convergence accuracy and robustness, proving its excellent global optimization ability in complex nonlinear MLP optimization training. It demonstrates its application value and potential in optimizing neural networks and deep learning models.
Full article
(This article belongs to the Special Issue Exploration of Bio-Inspired Computing: 2nd Edition)
►▼
Show Figures

Figure 1
Open AccessArticle
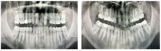
Duration-Dependent Caries Risk During Clear Aligner Therapy: A Retrospective Analysis
by
Abdurrahman Yalçın and Nursezen Kavasoğlu
Biomimetics 2025, 10(11), 786; https://doi.org/10.3390/biomimetics10110786 - 19 Nov 2025
Abstract
Background: Clear aligner therapy (CAT) represents a biomimetic orthodontic approach that uses flexible thermoplastic materials to reproduce the physiological tooth movement and mechanical load distribution of natural tissues. While these materials promote oral hygiene and aesthetic comfort, their long-term biological impact on the
[...] Read more.
Background: Clear aligner therapy (CAT) represents a biomimetic orthodontic approach that uses flexible thermoplastic materials to reproduce the physiological tooth movement and mechanical load distribution of natural tissues. While these materials promote oral hygiene and aesthetic comfort, their long-term biological impact on the caries process remains uncertain. This retrospective study aimed to evaluate changes in the number of decayed teeth (ΔD) before and after clear aligner treatment and to identify duration-dependent risk factors. Methods: This retrospective study included 362 patients (279 females, 83 males) treated with Invisalign® aligners between 2020 and 2024. Baseline and post-treatment panoramic radiographs were analyzed to determine decayed tooth counts. Age, sex, and total aligner count were recorded. Non-parametric tests, multivariable regression, and ROC analysis were used to assess predictors of ΔD. Results: The mean number of decayed teeth increased slightly from 3.54 ± 2.76 to 3.83 ± 2.93 (p < 0.001). Longer treatment duration was independently associated with caries progression (β = +0.0088 per tray, p = 0.0037), and each 10-tray increment increased the odds of new decay by 55% (OR = 1.55, 95% CI: 1.26–1.90). ROC analysis identified ≥42 trays as a clinically relevant threshold (AUC = 0.67). Conclusions: Clear aligner therapy demonstrated a statistically significant yet clinically small increase in caries incidence, primarily related to treatment duration. As a biomimetic orthodontic approach that integrates mechanical and biological dynamics, extended clear aligner use may alter biofilm–surface interactions and salivary conditions over time. Therefore, preventive strategies–such as professional fluoride applications, strict cleaning protocols, and shorter recall intervals–should be emphasized for long-duration treatments to preserve the biological benefits of this biomimetic system.
Full article
(This article belongs to the Special Issue Functional Biomimetic Materials and Devices for Biomedical Applications: 4th Edition)
►▼
Show Figures

Graphical abstract
Open AccessArticle
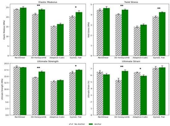
Three-Dimensional Printing Parameter Assessment of Elastomers for Tendon Graft Applications
by
Trent Lau, Ashley Talwar, Bijan Abar and Samuel B. Adams
Biomimetics 2025, 10(11), 785; https://doi.org/10.3390/biomimetics10110785 - 19 Nov 2025
Abstract
Additive manufacturing has significantly advanced patient-specific medical devices, particularly for hard tissue repair, yet applications in soft tissue remain limited. Existing approaches for 3D-printed soft tissue devices employ mainly biogels and bioinks for regenerative purposes, while synthetic grafts for tendons and ligaments remain
[...] Read more.
Additive manufacturing has significantly advanced patient-specific medical devices, particularly for hard tissue repair, yet applications in soft tissue remain limited. Existing approaches for 3D-printed soft tissue devices employ mainly biogels and bioinks for regenerative purposes, while synthetic grafts for tendons and ligaments remain non-customizable in shape and mechanics. This study investigates the mechanical performance of 3D-printed thermoplastic polyurethane (TPU) elastomers as a function of printing parameters, informing customizable connective tissue graft designs. Type C dogbone specimens (n = 180) of three replicates each of parameter combinations from material shore hardness, presence of anchoring within the lattice, infill patterns, and infill density were printed and tested following modified ASTM D412 standards for vulcanized rubber and elastomers. The measured mechanical properties are elastic modulus, tensile yield stress, yield strain, ultimate tensile strength, and ultimate strain. Results show that shore hardness and infill density are the strongest predictors of mechanical properties, with positive but modest effects from anchor presence. Infill pattern is only significant through interactions, and its effects depend on other parameters. While all groups underperformed compared to manufacturer-reported TPU strengths and were well below in vitro tendon failure loads, findings highlight material selection and density optimization as critical early considerations for future patient-specific elastomeric graft design.
Full article
(This article belongs to the Special Issue 3D Bio-Printing for Regenerative Medicine Applications)
►▼
Show Figures

Graphical abstract
Open AccessArticle
Are Ecosystem Services Replaceable by Technology Yet? Bio-Inspired Technologies for Ecosystem Services: Challenges and Opportunities
by
Shoshanah Jacobs, Jindong Zhang, Emily Wolf, Elizabeth Porter, Shelby J. Bohn, Adam Maxwell Sparks, Marjan Eggermont, Mindi Summers, Claudia I. Rivera Cárdenas, Heather Clitheroe, Daniel Gillis, M. Alex Smith, Karina Benessaiah, Andria Jones, Adam Davies, Michael Helms, Dawn Bazely, Mark Lipton, David Dowhaniuk, Nyssa van Vierssen Trip, Nikoleta Zampaki, Peggy Karpouzou and Kristina Wanieckadd
Show full author list
remove
Hide full author list
Biomimetics 2025, 10(11), 784; https://doi.org/10.3390/biomimetics10110784 - 19 Nov 2025
Abstract
As ecological collapse accelerates under the pressures of anthropogenic climate change, adaptation strategies increasingly include technological proxies for nature’s functions. But can ecosystem services (ES) be meaningfully replaced by technology? Revisiting this urgent question first posed by Fitter (2013), we assess the extent
[...] Read more.
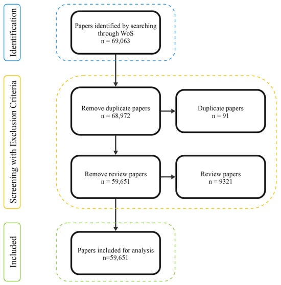
As ecological collapse accelerates under the pressures of anthropogenic climate change, adaptation strategies increasingly include technological proxies for nature’s functions. But can ecosystem services (ES) be meaningfully replaced by technology? Revisiting this urgent question first posed by Fitter (2013), we assess the extent to which bio-inspired design—particularly biomimetics—has advanced the capacity to support, enhance, or replace natural ES. We convened an interdisciplinary team to synthesize and refine a comprehensive list of 22 ecosystem services, integrating often-overlooked cultural and relational dimensions. Using this framework, we conducted a large-scale analysis of over 68,000 peer-reviewed publications from the biomimetics and bio-inspired design literature between 2004 and 2025, applying AI-assisted classification to evaluate whether, and how, these technologies map onto specific ES functions and benefits. Our findings reveal both promise and profound limitations. Bio-inspired research engages with 20 of the 22 ES, but over 78% of this work concentrates on five technologically tractable functions—biochemicals, disease regulation, waste treatment, fibre/hide/wood, and fuel. Foundational supporting and regulating services such as pollination, soil formation, and nutrient cycling are almost entirely absent. Moreover, only 3% of technologies described in the academic literature aim to support existing systems; the overwhelming emphasis on enhancement (39%) and replacement (58%) suggests a design paradigm skewed toward substitution rather than coexistence. Intangible, co-produced services—particularly those related to culture, identity, and meaning—remain outside the current reach of biomimetic design. This skew reveals a dangerous imbalance: while certain ES can be technologically approximated, the relational, emergent, and systemic qualities of ecosystems elude replication. Technological replacement must not become a substitute for preservation. Instead, bio-inspired design should be mobilized as a tool for adaptation that amplifies and protects the living systems on which human and more-than-human futures depend.
Full article
(This article belongs to the Special Issue Bio-Inspired Technologies for Ecosystem Service Support, Enhancement or Replacement)
►▼
Show Figures

Figure 1
Open AccessArticle
A Two-Stage Reinforcement Learning Framework for Humanoid Robot Sitting and Standing-Up
by
Xisheng Jiang, Shihai Zhao, Yudi Zhu, Qingdu Li and Jianwei Zhang
Biomimetics 2025, 10(11), 783; https://doi.org/10.3390/biomimetics10110783 - 17 Nov 2025
Abstract
In human daily-life scenarios, humanoid robots need not only to stand up smoothly but also to autonomously sit down for rest, energy management, and interaction. This capability is crucial for enhancing their autonomy and practicality. However, both sitting and standing involve complex dynamics
[...] Read more.
In human daily-life scenarios, humanoid robots need not only to stand up smoothly but also to autonomously sit down for rest, energy management, and interaction. This capability is crucial for enhancing their autonomy and practicality. However, both sitting and standing involve complex dynamics constraints, diverse initial postures, and unstructured terrains, which make traditional hand-crafted controllers insufficient for multi-scenario demands. Reinforcement Learning (RL), with its generalization ability across high-dimensional state spaces and complex tasks, offers a promising solution for automatically generating motion control policies. Nevertheless, policies trained directly with RL often produce abrupt motions, making it difficult to balance smoothness and stability. To address these challenges, we propose a two-stage reinforcement learning framework: In the first stage, we focus on exploration and train initial policies for both sitting and standing, with relatively weak constraints on smoothness and joint safety, and without introducing noise. In the second stage, we refine the policies by tracking the motion trajectories obtained in the first stage, aiming for smoother transitions. We model the tracking problem as a bi-level optimization, where the tracking precision is dynamically adjusted based on the current tracking error, forming an adaptive curriculum mechanism. We apply this framework to a 1.7 m adult-scale humanoid robot, achieving stable execution in two representative real-world scenarios: sitting down onto a chair, stand up from a chair. Our approach provides a new perspective for the practical deployment of humanoid robots in real-world scenarios.
Full article
(This article belongs to the Special Issue Recent Advances in Bioinspired Robot and Intelligent Systems)
►▼
Show Figures

Figure 1
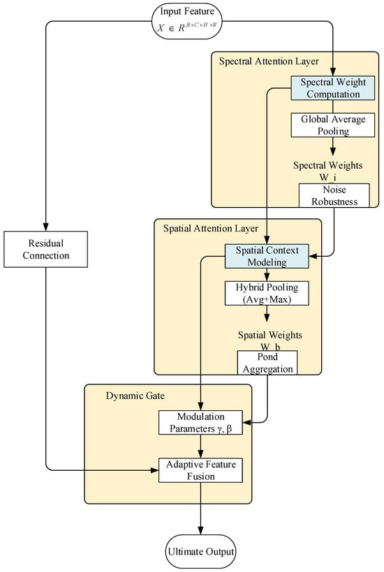
Open AccessArticle
IBKA-MSM: A Novel Multimodal Fake News Detection Model Based on Improved Swarm Intelligence Optimization Algorithm, Loop-Verified Semantic Alignment and Confidence-Aware Fusion
by
Guangyu Mu, Jiaxiu Dai, Chengguo Li and Jiaxue Li
Biomimetics 2025, 10(11), 782; https://doi.org/10.3390/biomimetics10110782 - 17 Nov 2025
Abstract
With the proliferation of social media platforms, misinformation has evolved toward more diverse modalities and complex cross-semantic correlations. Accurately detecting such content, particularly under conditions of semantic inconsistency and uneven modality dependency, remains a critical challenge. To address this issue, we propose a
[...] Read more.
With the proliferation of social media platforms, misinformation has evolved toward more diverse modalities and complex cross-semantic correlations. Accurately detecting such content, particularly under conditions of semantic inconsistency and uneven modality dependency, remains a critical challenge. To address this issue, we propose a multimodal semantic representation framework named IBKA-MSM, which integrates swarm-intelligence-based optimization with deep neural modeling. The framework first employs an Improved Black-Winged Kite Algorithm (IBKA) for discriminative feature selection, incorporating adaptive step-size control, an elite-memory mechanism enhanced by opposition perturbation, Gaussian-based local exploitation, and population diversity regulation through reinitialization. In addition, a Modality-Generated Loop Verification (MGLV) mechanism is designed to enhance semantic alignment, and a Semantic Confidence Matrix with Modality-Coupled Interaction (SCM-MCI) is introduced to achieve adaptive multimodal fusion. Experimental results demonstrate that IBKA-MSM achieves an accuracy of 95.80%, outperforming mainstream hybrid models. The F1 score is improved by approximately 2.8% compared to PSO and by 1.6% compared to BKA, validating the robustness and strong capability of the proposed framework in maintaining multimodal semantic consistency for fake news detection.
Full article
(This article belongs to the Special Issue Advances in Biological and Bio-Inspired Algorithms)
►▼
Show Figures

Figure 1
Open AccessArticle
Ensemble Deep Learning for Real–Bogus Classification with Sky Survey Images
by
Pakpoom Prommool, Sirikan Chucherd, Natthakan Iam-On and Tossapon Boongoen
Biomimetics 2025, 10(11), 781; https://doi.org/10.3390/biomimetics10110781 - 17 Nov 2025
Abstract
►▼
Show Figures
The discovery of the fifth gravitational wave, GW170817, and its electromagnetic counterpart, resulting from the merger of neutron stars by the LIGO and Virgo teams, marked a major milestone in astronomy. It was the first time that gravitational waves and light from the
[...] Read more.
The discovery of the fifth gravitational wave, GW170817, and its electromagnetic counterpart, resulting from the merger of neutron stars by the LIGO and Virgo teams, marked a major milestone in astronomy. It was the first time that gravitational waves and light from the same cosmic event were observed simultaneously. The LIGO detectors in the United States recorded the signal for 100 s, longer than in previous detections. The merging of neutron stars emits both gravitational and electromagnetic waves across all frequencies—from radio to gamma rays. However, pinpointing the exact source remains difficult, requiring rapid sky scanning to locate it. To address this challenge, the Gravitational-Wave Optical Transient Observer (GOTO) project was established. It is specifically designed to detect optical light from transient events associated with gravitational waves, enabling faster follow-up observations and a deeper study of these short-lived astronomical phenomena, which appear and disappear quickly in the universe. In astrophysics, it has become more important to find astronomical transient events like supernovae, gamma-ray bursts, and stellar flares because they are linked to extreme cosmic processes. However, finding these short-lived events in huge sky survey datasets, like those from the GOTO project, is very hard for traditional analysis methods. This study suggests a deep learning methodology employing Convolutional Neural Networks (CNNs) to enhance transient classification. CNNs are based on how biological vision systems work and how they are structured. They mimic how animal brains hierarchically process visual information, making it possible to automatically find complex spatial patterns in astronomical images. Transfer learning and fine-tuning on pretrained ImageNet models are utilized to emulate adaptive learning observed in biological organisms, enabling swift adaptation to new tasks with minimal data. Data augmentation methods like rotation, flipping, and noise injection mimic changes in the environment to improve model generalization. Dropout and different batch sizes are used to stop overfitting, which is similar to how biological systems use redundancy and noise tolerance. Ensemble learning strategies, such as Soft Voting and Weighted Voting, draw inspiration from collective intelligence in biological systems, integrating multiple CNN models to enhance decision-making robustness. Our findings indicate that this bio-inspired framework substantially improves the precision and dependability of transient detection, providing a scalable solution for real-time applications in extensive sky surveys such as GOTO.
Full article

Figure 1
Open AccessArticle
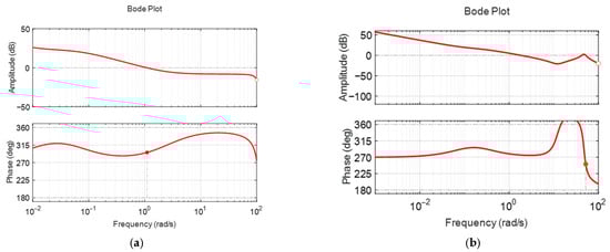
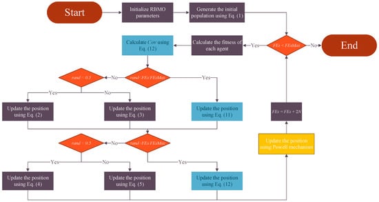
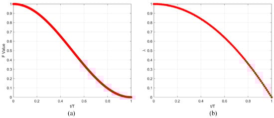
An Enhanced Red-Billed Blue Magpie Optimizer Based on Superior Data Driven for Numerical Optimization Problems
by
Siyan Li and Lei Kou
Biomimetics 2025, 10(11), 780; https://doi.org/10.3390/biomimetics10110780 - 16 Nov 2025
Abstract
The Red-Billed Blue Magpie Optimizer (RBMO) is a recently introduced swarm-based meta-heuristic that has shown strong potential in engineering optimization but remains under-explored. To address its inherent limitations, this paper proposes an Enhanced RBMO (ERBMO) that synergistically incorporates two key strategies: a dominant-group-based
[...] Read more.
The Red-Billed Blue Magpie Optimizer (RBMO) is a recently introduced swarm-based meta-heuristic that has shown strong potential in engineering optimization but remains under-explored. To address its inherent limitations, this paper proposes an Enhanced RBMO (ERBMO) that synergistically incorporates two key strategies: a dominant-group-based two-stage covariance-driven strategy that captures evolutionary trends to improve population quality while reinforcing global exploration, and a Powell mechanism (PM) that eliminates dimensional stagnation and markedly strengthens convergence. Extensive experiments on the CEC 2017 benchmark suite demonstrate that ERBMO outperforms ten basic and improved algorithms in global exploration, local convergence accuracy and robustness, attaining Friedman ranks of 1.931, 1.621, 1.345 and 1.276 at 10D, 30D, 50D and 100D, respectively. Furthermore, empirical studies on practical engineering design problems confirm the algorithm’s capability to consistently deliver high-quality solutions, highlighting its broad applicability to real-world constrained optimization tasks. In future work, we will deploy the algorithm for real-world tasks such as UAV path-planning and resource-scheduling problems.
Full article
(This article belongs to the Special Issue Advances in Biological and Bio-Inspired Algorithms)
►▼
Show Figures

Figure 1
Open AccessArticle
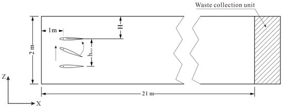
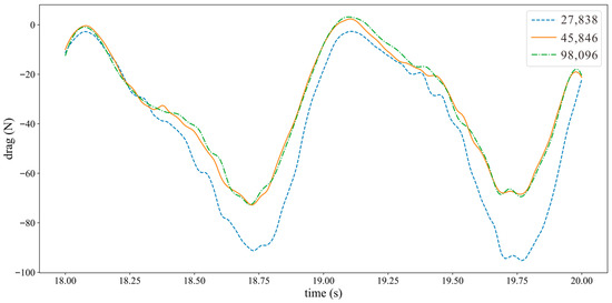
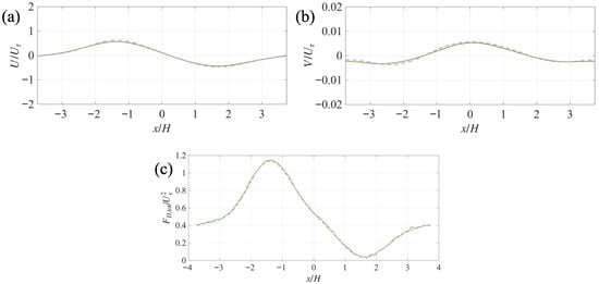
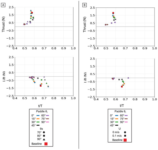
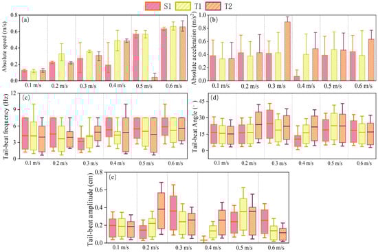
Contrasting Flexible and Rigid Bioinspired Flapping Hydrofoils for Suspended Particles Discharge in Raceway Aquaculture
by
Fangwei Xu, Ertian Hua and Mingwang Xiang
Biomimetics 2025, 10(11), 779; https://doi.org/10.3390/biomimetics10110779 - 16 Nov 2025
Abstract
To investigate the impact of flexible versus rigid bioinspired flapping hydrofoils on the discharge characteristics of suspended particles in raceway aquaculture, this study established a two-way fluid–structure coupling model of a flapping hydrofoil device based on ANSYS Fluent and Transient Structural modules. The
[...] Read more.
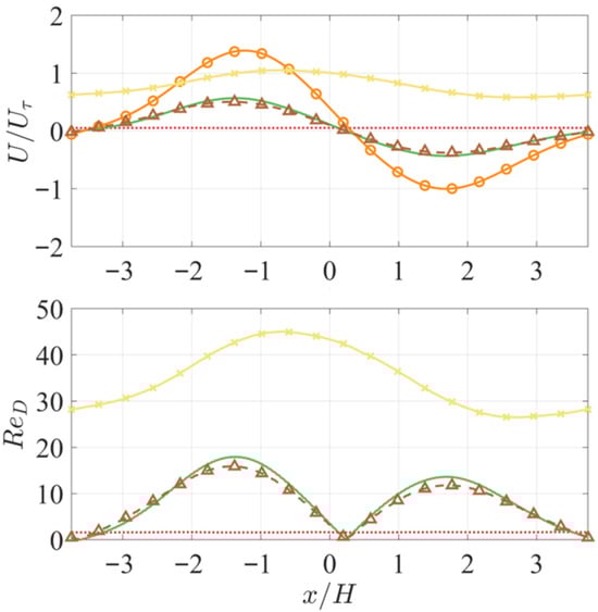
To investigate the impact of flexible versus rigid bioinspired flapping hydrofoils on the discharge characteristics of suspended particles in raceway aquaculture, this study established a two-way fluid–structure coupling model of a flapping hydrofoil device based on ANSYS Fluent and Transient Structural modules. The research compares the discharge characteristics of hydrofoils with different elastic moduli. The results show that, within a certain range of elastic moduli adjustment, flexible bioinspired hydrofoils exhibit greater surface deformation compared to rigid ones, effectively delaying tail vortex shedding and extending its duration, thus prolonging the range of high flow velocities. During the middle stage of discharge, the escape rate of suspended particles under the influence of flexible bioinspired hydrofoils with 0.05 GPa elastic modulus was 3–4% higher than that of rigid hydrofoils. However, in terms of achieving maximum discharge efficiency and effectiveness, both reached approximately 97.8% with little difference between them. This study highlights the bioinspired principles in hydrofoil design and provides a reference for optimizing flexible hydrofoil discharge characteristics in future research.
Full article
(This article belongs to the Special Issue Bioinspired Aerodynamic-Fluidic Design)
►▼
Show Figures

Figure 1
Open AccessArticle
Biomechanical and Bio-Inspired Perspectives on Root Amputation in Maxillary Molars: An FEA Study
by
Öznur Küçük Keleş and Öznur Eraslan
Biomimetics 2025, 10(11), 778; https://doi.org/10.3390/biomimetics10110778 - 15 Nov 2025
Abstract
This study aimed to evaluate the biomechanics of maxillary first molar teeth following palatal, disto-buccal, and mesio-buccal root amputation. An intact maxillary molar underwent root canal treatment using Reciproc R25 files (VDW, Munich, Germany). The canals were obturated with gutta-percha (DiaDent, Seoul, Republic
[...] Read more.
This study aimed to evaluate the biomechanics of maxillary first molar teeth following palatal, disto-buccal, and mesio-buccal root amputation. An intact maxillary molar underwent root canal treatment using Reciproc R25 files (VDW, Munich, Germany). The canals were obturated with gutta-percha (DiaDent, Seoul, Republic of Korea) and 2Seal sealer (VDW, Munich, Germany), and the access cavity was restored with composite resin. A high-resolution CBCT scan of an intact maxillary first molar was obtained using a Planmeca Promax 3D Max system (Planmeca Oy, Helsinki, Finland) at 75 kVp and 10 mA. The acquired data were processed in 3D Slicer software (v5.8.0, BSD license, Boston, MA, USA) to segment enamel, dentin, and pulp based on pixel density variations using the three-point cloud method. A baseline intact model and three root-resected models (palatal, disto-buccal, mesio-buccal) were reconstructed in SolidWorks 2021, with resected roots simulated as being sealed with MTA. Finite element analysis was conducted in CosmosWorks to evaluate von Mises stress distribution under a 300 N static occlusal load. Maximum von Mises stresses were detected at occlusal force application sites. Among root dentin tissues, stress values ranked highest after palatal root resection, followed by the mesio-buccal, disto-buccal, and non-resected models. Conclusions: Palatal root amputation of maxillary first molars generated the highest von Mises stresses in root dentin, suggesting a higher biomechanical risk than disto-buccal or mesio-buccal resections.
Full article
(This article belongs to the Section Development of Biomimetic Methodology)
►▼
Show Figures

Graphical abstract
Open AccessArticle
Development of Acellular Hepatic Scaffolds Through a Low-Cost Gravity-Assisted Perfusion Decellularization Method
by
María Fernanda Duarte-Ortega, Luis Bernardo Enríquez-Sánchez, Manuel David Pérez-Ruiz, Alfredo Nevárez-Rascón, María Alejandra Favila-Pérez, Alva Rocío Castillo-González, Celia María Quiñonez-Flores, Luis Carlos Hinojos-Gallardo, Víctor Adolfo Ríos-Barrera and Carlos Arzate-Quintana
Biomimetics 2025, 10(11), 777; https://doi.org/10.3390/biomimetics10110777 - 15 Nov 2025
Abstract
Background: Developing reliable and cost-effective decellularization methods is critical for advancing tissue engineering and regenerative medicine, particularly in regions with limited access to specialized perfusion systems. Methods: This study standardized a gravity-assisted perfusion protocol for rat liver decellularization, designed to operate without pumps
[...] Read more.
Background: Developing reliable and cost-effective decellularization methods is critical for advancing tissue engineering and regenerative medicine, particularly in regions with limited access to specialized perfusion systems. Methods: This study standardized a gravity-assisted perfusion protocol for rat liver decellularization, designed to operate without pumps or pressurized equipment. Adult Wistar rat livers were processed through a gravity-driven vascular flushing method and compared with a conventional immersion-based protocol. The resulting scaffolds were evaluated by macroscopic inspection, histological staining (Masson’s trichrome), and residual DNA quantification. Results: The gravity-assisted perfusion method achieved more efficient cellular removal and superior preservation of extracellular matrix (ECM) integrity compared with immersion. Residual DNA levels were 3.7 ng/mg in perfused samples, 209.47 ng/mg in immersed samples, and 331.97 ng/mg in controls, confirming a statistically significant reduction (p < 0.05). Only the perfused group met the accepted threshold for effective decellularization (<50 ng/mg dry tissue). Histological analysis corroborated these findings, showing the absence of nuclei and the preservation of collagen architecture characteristic of a structurally intact ECM. Conclusions: This low-cost, reproducible, and technically simple system enables the generation of high-quality acellular hepatic scaffolds without mechanical pumps. Its accessibility and scalability make it suitable for laboratories with limited infrastructure and educational settings. Moreover, this gravity-assisted approach provides a foundation for future recellularization and preclinical studies aimed at developing bioengineered liver constructs for regenerative and transplant applications.
Full article
(This article belongs to the Section Biomimetic Processing and Molecular Biomimetics)
►▼
Show Figures

Graphical abstract
Open AccessArticle
Machine Learning Distinguishes Plant Bioelectric Recordings with and Without Nearby Human Movement
by
Peter A. Gloor and Moritz Weinbeer
Biomimetics 2025, 10(11), 776; https://doi.org/10.3390/biomimetics10110776 - 15 Nov 2025
Abstract
Background: Quantitatively detecting whether plants exhibit measurable bioelectric differences in the presence of nearby human movement remains challenging, in part because plant signals are low-amplitude, slow, and easily confounded by environmental factors. Methods: We recorded bioelectric activity from 2978 plant samples
[...] Read more.
Background: Quantitatively detecting whether plants exhibit measurable bioelectric differences in the presence of nearby human movement remains challenging, in part because plant signals are low-amplitude, slow, and easily confounded by environmental factors. Methods: We recorded bioelectric activity from 2978 plant samples across three species (basil, salad, tomato) using differential electrode pairs (leaf and soil electrodes) sampling at 142 Hz. Two trained performers executed three specific eurythmic gestures near experimental plants while control plants remained isolated. Random Forest and Convolutional Neural Network classifiers were applied to distinguish the control from treatment conditions using engineered features including spectral, temporal, wavelet, and frequency domain characteristics. Results: Random Forest classification achieved 62.7% accuracy (AUC = 0.67) distinguishing differences in recordings collected near a moving human from control conditions, representing a statistically significant 12.7 percentage point improvement over chance. Individual performer signatures were detectable with 68.2% accuracy, while plant species classification achieved only 44.5% accuracy, indicating minimal species-specific artifacts. Temporal analysis revealed that the plants with repeated exposure exhibited consistently less negative bioelectric amplitudes compared to single-exposure plants. Innovation: We introduce a data-driven approach that pairs standardized, short-window bioelectric recordings with machine-learning classifiers (Random Forest, CNN) to test, in an exploratory manner, whether plant signals differ between human-moving-nearby and isolation conditions. Conclusions: Plants exhibit modest but statistically detectable bioelectric differences in the presence of nearby human movement. Rather than attributing these differences to eurythmic movement itself, the present design can only demonstrate that plant recordings collected within ~1 m of a moving human differ, modestly but statistically, from recordings taken ≥3 m away. The underlying biophysical pathways and specific contributing factors (airflow, VOCs, thermal plumes, vibration, electromagnetic fields) remain unknown. These results should therefore be interpreted as exploratory correlations, not mechanistic evidence of gesture-specific plant sensing.
Full article
(This article belongs to the Special Issue Biomimetics in Intelligent Sensor: 2nd Edition)
►▼
Show Figures

Figure 1
Open AccessArticle
Research on the Optimization of Uncertain Multi-Stage Production Integrated Decisions Based on an Improved Grey Wolf Optimizer
by
Weifei Gan, Xin Zhou, Wangyu Wu and Chang-An Xu
Biomimetics 2025, 10(11), 775; https://doi.org/10.3390/biomimetics10110775 - 15 Nov 2025
Abstract
Defect-rate uncertainty creates cascading operational challenges in multi-stage production, often driving inefficiency and misallocation of labor, materials, and capacity. To confront this, we develop a multi-stage Production Integrated Decision (MsPID) framework that unifies quality inspection and shop-floor decision-making within a single computational model.
[...] Read more.
Defect-rate uncertainty creates cascading operational challenges in multi-stage production, often driving inefficiency and misallocation of labor, materials, and capacity. To confront this, we develop a multi-stage Production Integrated Decision (MsPID) framework that unifies quality inspection and shop-floor decision-making within a single computational model. The framework couples a two-stage sampling inspection policy—used to statistically learn and control defect-rate uncertainty via estimation and rejection rules—with a multi-process, multi-part production decision model. Optimization is carried out with an Improved Grey Wolf Optimizer (IGWO) enhanced with Latin hypercube sampling (LHS) for uniformly diverse initialization; an evolutionary factor mechanism that blends simulated binary crossover (SBX) among three leadership-guided parents (Alpha, Beta, Delta) to strengthen global exploration in early iterations and focus exploitation later; and a greedy, mutation-assisted opposition learning step applied to the lowest-performing quartile of the population to effect leader-informed local refinement and accept only fitness-improving moves. Experiments show the method identifies minimum-cost policies across six single-stage benchmark cases and yields a total profit of 43,800 units in a representative multi-stage scenario, demonstrating strong performance in uncertain environments. Sensitivity analysis further clarifies how recommended decisions adapt to shifts in estimated defect rates, finished product prices, and swap/changeover losses. These results highlight how bio-inspired intelligence can enable adaptive, efficient, and resilient integrated production management at scale.
Full article
(This article belongs to the Section Biological Optimisation and Management)
►▼
Show Figures

Figure 1
Open AccessArticle
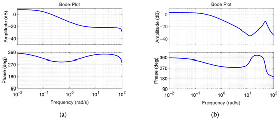
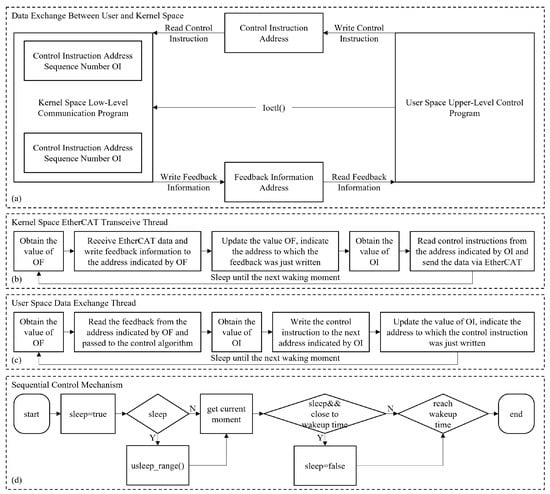
Biomimetic Digital Twin of Future Embodied Internet for Advancing Autonomous Vehicles and Robots
by
Ming Xie and Xiaohui Wang
Biomimetics 2025, 10(11), 774; https://doi.org/10.3390/biomimetics10110774 - 14 Nov 2025
Abstract
Efficient coordination among software modules is essential for biomimetic robotic systems, much like the interaction among organs in a biological organism. However, implementing inter-process or inter-module communication in autonomous systems remains a complex and time-consuming task, particularly for new researchers. Simplifying inter-module communication
[...] Read more.
Efficient coordination among software modules is essential for biomimetic robotic systems, much like the interaction among organs in a biological organism. However, implementing inter-process or inter-module communication in autonomous systems remains a complex and time-consuming task, particularly for new researchers. Simplifying inter-module communication is the central focus of this study. To address this challenge, we propose the DigitalTwinPort framework, a novel communication abstraction inspired by the port-based connectivity of embedded hardware systems. Unlike middleware-dependent solutions such as ROS, the proposed framework provides a lightweight, object-oriented structure that enables unified and scalable communication between software modules and networked devices. The concept is implemented in C++ and validated through an autonomous surface vehicle (ASV) developed for the RobotX Challenge. Results demonstrate that the DigitalTwinPort simplifies the development of distributed systems, reduces configuration overhead, and enhances synchronization between digital and physical components. This work lays the foundation for future digital twin architectures in embodied Internet systems, where software and hardware can interact seamlessly through standardized digital ports.
Full article
(This article belongs to the Special Issue Artificial Intelligence for Autonomous Robots: 4th Edition)
►▼
Show Figures

Figure 1
Open AccessArticle
Biomimicry of Echinocactus grusonii Spines as a Source of Inspiration for Design Principles and Implantation Strategies of Self-Inserting Intraneural Interfaces
by
Pier Nicola Sergi
Biomimetics 2025, 10(11), 773; https://doi.org/10.3390/biomimetics10110773 - 14 Nov 2025
Abstract
Cactaceae are plants equipped with spines and adapted to extremely arid environments. In particular, Echinocactus grusonii spines are almost cylindrical structures, which may occasionally present an enlargement of their proximal cross sectional area. In this work, the spines of Echinocactus grusonii were explored
[...] Read more.
Cactaceae are plants equipped with spines and adapted to extremely arid environments. In particular, Echinocactus grusonii spines are almost cylindrical structures, which may occasionally present an enlargement of their proximal cross sectional area. In this work, the spines of Echinocactus grusonii were explored as a possible source of biomimetic inspiration for the design and the implantation strategies of self-inserting intraneural interfaces. More specifically, the elastic stability of spines was theoretically studied for structures able to puncture the surface of an external object, as well as for structures unable to pierce it. The biomimicry of Echinocactus grusonii spines suggested an improved insertion strategy for self-inserting intraneural interfaces together with structural changes able to increase their elastic stability. The theoretical approach provided in this work was able to predict an increase of the first buckling threshold up to 39% for not puncturing self-inserting neural interfaces, and up to 59% for puncturing ones.
Full article
(This article belongs to the Special Issue Editorial Board Members' Collection Series: Biomimetics of Materials, Functions, Structures and Processes 2025)
►▼
Show Figures

Figure 1
Highly Accessed Articles
Latest Books
E-Mail Alert
News
Topics
Topic in
ASI, Bioengineering, C, Healthcare, Biomimetics, Processes
Biomedical Engineering, Healthcare and Sustainability, 2nd Edition
Topic Editors: Teen-Hang Meen, Chun-Yen Chang, Charles Tijus, Po-Lei Lee, Yi-Chun DuDeadline: 31 May 2026
Topic in
Biomimetics, Electronics, Gels, Robotics, Technologies
Bio-Inspired, Biomedical, Surgical, Social and AI-Integrated Bio-Mechanical Robotics
Topic Editors: Yanen Wang, Chenguang YangDeadline: 31 July 2026
Topic in
Molecules, Biomimetics, Chemosensors, Life, AI, Sci
Recent Advances in Chemical Artificial Intelligence
Topic Editors: Pier Luigi Gentili, Jerzy Górecki, David C Magri, Pasquale StanoDeadline: 15 October 2026
Topic in
Biophysica, Cells, IJMS, Materials, Micro, Biomimetics, Biomolecules
Biofabrication Technologies for Tissue Repair and Regeneration
Topic Editors: Lorenzo Vannozzi, Eugenio Redolfi RivaDeadline: 20 February 2027
Conferences
Special Issues
Special Issue in
Biomimetics
Bio-Inspired Fluid Dynamics
Guest Editors: Chunning Ji, Zhimeng ZhangDeadline: 25 November 2025
Special Issue in
Biomimetics
Design, Actuation, and Fabrication of Bio-Inspired Soft Robotics
Guest Editors: Jianbin Liu, Yinglong ChenDeadline: 25 November 2025
Special Issue in
Biomimetics
Bionic Robotic Fish: 2nd Edition
Guest Editors: Shihan Kong, Jian Wang, Chen WangDeadline: 30 November 2025
Special Issue in
Biomimetics
Biologically Inspired Vision and Image Processing 2025
Guest Editor: Shaobing GaoDeadline: 30 November 2025



