Journal Description
Geosciences
Geosciences
is an international, peer-reviewed open access journal on geoscience, future earth and planetary science, published monthly online by MDPI. The European Federation of Geologists (EFG) is affiliated with Geosciences and its members receive a discount on the article processing charges.
- Open Access— free for readers, with article processing charges (APC) paid by authors or their institutions.
- High Visibility: indexed within Scopus, ESCI (Web of Science), GeoRef, Astrophysics Data System, and other databases.
- Journal Rank: CiteScore - Q1 (General Earth and Planetary Sciences)
- Rapid Publication: manuscripts are peer-reviewed and a first decision is provided to authors approximately 23.6 days after submission; acceptance to publication is undertaken in 4.5 days (median values for papers published in this journal in the second half of 2025).
- Recognition of Reviewers: reviewers who provide timely, thorough peer-review reports receive vouchers entitling them to a discount on the APC of their next publication in any MDPI journal, in appreciation of the work done.
- Journal Cluster of Geospatial and Earth Sciences: Remote Sensing, Geosciences, Quaternary, Earth, Geographies, Geomatics and Fossil Studies.
Impact Factor:
2.1 (2024);
5-Year Impact Factor:
2.5 (2024)
Latest Articles
Topsoil Geochemistry and Land-Use-Related Metal(loid) Risks on Maio Island, Cape Verde
Geosciences 2026, 16(3), 109; https://doi.org/10.3390/geosciences16030109 - 6 Mar 2026
Abstract
Soil provides essential ecosystem services and is pivotal for achieving multiple United Nations (UN) Sustainable Development Goals amid growing population pressures and resource demands. In arid to semi-arid regions such as Maio Island (Cape Verde), nutrient-poor soils and unsustainable land-use practices increase agricultural
[...] Read more.
Soil provides essential ecosystem services and is pivotal for achieving multiple United Nations (UN) Sustainable Development Goals amid growing population pressures and resource demands. In arid to semi-arid regions such as Maio Island (Cape Verde), nutrient-poor soils and unsustainable land-use practices increase agricultural vulnerability, while volcanic geochemistry introduces elements that are not human friendly, further challenging environmental quality and long-term sustainability. Assessing soil (physical–chemical–biological) condition is therefore crucial for informed environmental and land-use planning. Here, Maio’s topsoil was evaluated using protocols adapted from Santiago, the largest Cape Verdean island. Estimated Background Values (EBVs) indicated naturally elevated V, Cr, Ni, Co, and Cu concentrations, consistent with mafic volcanic terrains. Robust Principal Component Analysis (rPCA) revealed geochemical groupings linked to volcanic–sedimentary units, with the dominant component (PC1) defined by Co–V–Cu–Mn–Ni versus As–Cd. Environmental Risk Indices (ERIs) and Multi-Element ERIs (ME–ERIs) quantified elemental enrichment relative to international land-use standards (residential and agricultural) and subsequently to Maio’s EBVs. The highest exceedances were observed for Cr, Co, Ni, V, and Cu, whereas As, Cd, Hg, Pb, and Zn fell within thresholds. The EBV-based assessment identified fewer exceedances than stricter international guidelines, though a few multi-element “hotspots” persist, highlighting potential land-use constraints and the need for preventive management. Overall, the integrated EBV/ERI/ME–ERI framework establishes an environmental geochemical baseline for Maio and offers a screening tool applicable across the entire archipelago.
Full article
(This article belongs to the Special Issue Geosciences, Development and Sustainability: Africa and Europe Together)
►
Show Figures
Open AccessArticle
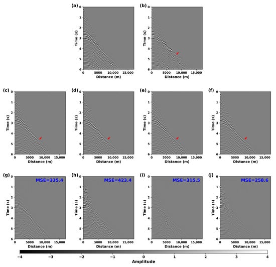
CSFM: A Novel Framework for Stratigraphic Forward Modeling of Clastic Systems
by
Yuangui Zhang, Jingbin Cui, Maoshan Chen, Lei Li, Ruidong Han and Wentao Wang
Geosciences 2026, 16(3), 108; https://doi.org/10.3390/geosciences16030108 - 5 Mar 2026
Abstract
Stratigraphic forward modeling (SFM) is a numerical approach used to reconstruct sedimentary basin evolution by simulating the infilling and tectonic evolution process of strata. The challenge is that existing approaches inevitably require trade-offs among modeling fidelity and computational cost. We present a novel
[...] Read more.
Stratigraphic forward modeling (SFM) is a numerical approach used to reconstruct sedimentary basin evolution by simulating the infilling and tectonic evolution process of strata. The challenge is that existing approaches inevitably require trade-offs among modeling fidelity and computational cost. We present a novel clastic stratigraphic forward modeling (CSFM) approach to reducing computational cost while retaining key flow and transport behaviors relevant to stratigraphic architecture. In CSFM, Lagrangian water particles affect momentum and sediment, while a fixed Eulerian grid stores topographic elevation and lithologic fractions. A simplified form of the Navier–Stokes equations is proposed to compute the trajectories of fluid particles, which can greatly reduce the computational cost. Sediment dynamics are represented by coupled suspended load and bedload modules. To validate CSFM, we constructed a synthetic alluvial fan model and performed stratigraphic forward modeling on it. Five lake-level cycles were imposed and results showed that cyclic sand–clay couplets and isolated channel sand bodies were formed during repeated progradation and backstepping. These results are consistent with established sedimentological knowledge, confirming the geological plausibility of CSFM.
Full article
(This article belongs to the Section Sedimentology, Stratigraphy and Palaeontology)
►▼
Show Figures

Figure 1
Open AccessArticle
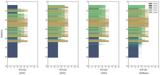
Synergetic Controls of Lithofacies, Mineralogy, and Organic Matter on Sweet Spot Distribution in Shale Gas Reservoir: A Case Study from Permian Shanxi Formation, Eastern Ordos Basin
by
Ke Wang, Jianwu Zhang, Yang Liu, Ziyu Yuan, Weiwei Zhao and Chao Liu
Geosciences 2026, 16(3), 107; https://doi.org/10.3390/geosciences16030107 - 5 Mar 2026
Abstract
The Ordos Basin hosts significant shale gas resources in China, yet its marine-continental transitional sedimentary setting causes intense reservoir heterogeneity that severely hinders accurate sweet spot identification in the Permian Shanxi Formation. This study aims to reveal the synergistic controls of lithofacies, mineralogy,
[...] Read more.
The Ordos Basin hosts significant shale gas resources in China, yet its marine-continental transitional sedimentary setting causes intense reservoir heterogeneity that severely hinders accurate sweet spot identification in the Permian Shanxi Formation. This study aims to reveal the synergistic controls of lithofacies, mineralogy, and organic matter on shale gas sweet spot formation in the southern Yishan Slope of the eastern Ordos Basin. A multi-dimensional characterization approach was adopted, integrating drilling/logging data and systematic core analyses including X-ray diffraction (XRD), organic geochemical testing, porosity/permeability measurement, and on-site gas content desorption, to quantify reservoir heterogeneity across lithofacies, mineralogy, organic geochemistry, and petrophysical properties. The results show that three lithofacies associations are identified in the target interval: mud-wrapped sand, sand-mud interbedding, and sand-wrapped mud, among which sand-mud interbedding and mud-wrapped sand associations exhibit higher total organic carbon (TOC) contents and strong inter/intra-well heterogeneity. The organic matter in the reservoir is dominated by Type III kerogen, with TOC values ranging from 0.04% to 12.15%, and the Shan 2 Member shows significantly higher average TOC (2.55%) than the Shan 1 Member (1.36%). The reservoir is characterized by ultra-low porosity (average of 0.77%) and low permeability (average of 0.26 × 10−3 μm2), with mesopores and macropores contributing over 99% of the total pore volume and showing a significant positive correlation with gas content. Quartz (average of 34.86%) and clay minerals present strong vertical heterogeneity, with the Shan 2 Member being more heterogeneous than the Shan 1 Member due to differences in sedimentary environment evolution. A TOC threshold of 1.5% is determined for sweet spot identification in the study area, and shale gas sweet spots are synergistically controlled by high TOC abundance, moderate brittle mineral content, and 0.1–3 m thick sandy interbeds. This study enriches the theoretical understanding of marine-continental transitional shale reservoirs and provides a scientific basis for sweet spot prediction and development optimization in similar heterogeneous shale gas systems worldwide.
Full article
(This article belongs to the Topic Recent Advances in Diagenesis and Reservoir 3D Modeling)
►▼
Show Figures

Figure 1
Open AccessArticle
Study on Progressive Damage Characteristics of Pre-Cracked Weak Sandstone Under Uniaxial Creep
by
Haotian Fu, Guodong Li, Honglin Liu, Yongqiang Wu, Hongzhi Wang and Zhiqiang Liu
Geosciences 2026, 16(3), 106; https://doi.org/10.3390/geosciences16030106 - 3 Mar 2026
Abstract
Addressing the engineering challenge of creep instability in weakly cemented fractured sandstones within extremely soft coal-bearing formations under long-term loading in western mining areas, using weakly cemented sandstone from a coal mine in Xinjiang as the study subject. This research employs uniaxial graded
[...] Read more.
Addressing the engineering challenge of creep instability in weakly cemented fractured sandstones within extremely soft coal-bearing formations under long-term loading in western mining areas, using weakly cemented sandstone from a coal mine in Xinjiang as the study subject. This research employs uniaxial graded loading creep tests combined with full-information acoustic emission technology and DIC high-speed strain field observation to investigate the creep deformation patterns (The full name of “DIC” is the three-dimensional high-speed dynamic and static stress–strain analysis system of the DIC strain field measurement and analysis system. For the convenience of expression, this system will be uniformly referred to as DIC in the following text), damage evolution characteristics, and failure mechanisms of sandstone under intact, pre-fabricated 30° fractures, and pre-fabricated 60° fractures. Results indicate: Fractures significantly weaken rock strength and long-term stability. Unfractured specimens primarily exhibit columnar splitting tensile failure, while pre-fractured specimens show pronounced shear failure. Shear cracks accounted for 83.67% of failures in 30° pre-fractured specimens and decreased to 63.44% in 60° pre-fractured specimens. Intact specimens exhibited acoustic emission ringing responses during accelerated creep stages, whereas fractured specimens showed ringing responses as early as the first loading stage. During graded loading, ringing counts in pre-fractured specimens continuously accumulated, with cumulative counts significantly exceeding those of intact specimens. Pre-fabricated cracks induced significant stress concentration effects at the ends, causing failure cracks to propagate preferentially along the crack direction and forming a non-uniform deformation field bounded by the crack. The study revealed the micro-macro evolution patterns of progressive damage during creep in extremely weak fractured rock, providing theoretical support for early warning and control technologies against creep instability in tunnel rock masses of weakly cemented strata in western regions.
Full article
(This article belongs to the Topic Advances in Mining and Geotechnical Engineering)
►▼
Show Figures

Figure 1
Open AccessArticle
Rare-Earth Element Geochemistry for the Characterization of Sedimentary Environment and Provenance: A Case Study of the Eocene Liushagang Formation, Weixi’nan Sag, Beibuwan Basin, China
by
Yang Su, Jie Chen and Jiao Wang
Geosciences 2026, 16(3), 105; https://doi.org/10.3390/geosciences16030105 - 3 Mar 2026
Abstract
►▼
Show Figures
This study investigates the rare-earth element (REE) geochemistry of twenty-nine clastic rock samples from the Paleogene Liushagang Formation in the Weixi’nan Sag. The primary objectives were to quantitatively evaluate the depositional paleoenvironment, determine the provenance lithology, and constrain the tectonic setting of the
[...] Read more.
This study investigates the rare-earth element (REE) geochemistry of twenty-nine clastic rock samples from the Paleogene Liushagang Formation in the Weixi’nan Sag. The primary objectives were to quantitatively evaluate the depositional paleoenvironment, determine the provenance lithology, and constrain the tectonic setting of the source area. Results reveal distinct chondrite-normalized REE distribution patterns characterized by light REE (LREE) enrichment, relatively flat heavy REE (HREE) segments, and pronounced negative Eu anomalies. The cerium anomaly index (Ceanom, normalized to the North American Shale Composite) ranges from −0.06 to 0.00, implying broadly suboxic to anoxic-reducing conditions in the water column during deposition. The chondrite-normalized (La/Yb)N ratio, utilized as a proxy for relative depositional residence time, decreases stratigraphically from member 3 to member 1, reflecting a transition to shorter residence times and higher relative sedimentation rates. Laterally, (La/Yb)N increases toward the basin center, accurately recording progressively lower sedimentation rates basinward. Provenance analysis indicates that the sediments were predominantly derived from felsic igneous rocks of the upper continental crust. Spatially, the northern steep-slope belt reflects a uniform source, whereas the southern gentle-slope belt and the Weixi’nan low-uplift periphery record multisource mixed inputs. Finally, tectonic discrimination reveals an “active continental margin” affinity. This geochemical signature represents the inherited tectonic environment of the Mesozoic parent rocks in the surrounding source uplifts, rather than the Cenozoic extensional rift setting of the Weixi’nan Sag itself.
Full article

Figure 1
Open AccessArticle
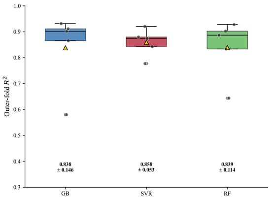
Fusing Deep Learning and Gradient Boosting for Robust Minute-Level Atmospheric Visibility Nowcasting
by
Yuguo Ni, Chenbo Xie, Zichen Zhang and Jianfeng Chen
Geosciences 2026, 16(3), 104; https://doi.org/10.3390/geosciences16030104 - 3 Mar 2026
Abstract
Atmospheric visibility nowcasting is vital for safety-critical operations but remains challenging due to complex atmospheric dynamics. We propose a compact stacking ensemble merging a multilayer perceptron (MLP) and gradient-boosted regression trees (GBRT). The model, trained on seven months of minute-scale resolution data with
[...] Read more.
Atmospheric visibility nowcasting is vital for safety-critical operations but remains challenging due to complex atmospheric dynamics. We propose a compact stacking ensemble merging a multilayer perceptron (MLP) and gradient-boosted regression trees (GBRT). The model, trained on seven months of minute-scale resolution data with a variability-adaptive filter to suppress sensor noise, employs cross-validation. Results demonstrate that the ensemble achieves its peak performance in the operationally critical low-visibility regime (V < 5 km). This range is particularly significant as it encompasses the Category I and II (CAT I/II) operational thresholds defined by the World Meteorological Organization (WMO) for aviation and surface transportation safety. In this regime, the ensemble yields an R2 of 0.82 and an MAE≈385 m, significantly outperforming single learners during rapid weather transitions. Conversely, in the high-visibility regime (V > 20 km), the explanatory power decreases (R2 of 0.46) due to inherent forward-scattering sensor uncertainties and low aerosol concentrations. Despite these range-specific physical limitations, the model maintains high robustness with narrowly centered residuals. This efficient approach, utilizing cost-effective in situ sensors, is highly suitable for airport and road-weather applications and offers strong potential for multi-site scalability.
Full article
(This article belongs to the Section Climate and Environment)
►▼
Show Figures

Figure 1
Open AccessArticle
Drilling Sound Analysis and Its Application in Lithology Identification
by
Aichuan Bai, Xiangyu Fan, Muming Xia, Xiao Zou, Changchun Zou and Panpan Fan
Geosciences 2026, 16(3), 103; https://doi.org/10.3390/geosciences16030103 - 2 Mar 2026
Abstract
Real-time lithology identification while drilling is widely applied in oil and gas exploration, development drilling, geo-steering, unconventional resource extraction, well logging, and environmental monitoring, enhancing efficiency and accuracy in subsurface operations. This study investigates the frequency characteristics of rock-drilling sounds generated during drilling
[...] Read more.
Real-time lithology identification while drilling is widely applied in oil and gas exploration, development drilling, geo-steering, unconventional resource extraction, well logging, and environmental monitoring, enhancing efficiency and accuracy in subsurface operations. This study investigates the frequency characteristics of rock-drilling sounds generated during drilling operations and explores their potential for real-time lithology identification. Experiments were conducted using 8 mm and 14 mm drill bits at both high and low rotational speeds on four types of rock samples: sandstone, limestone, granite, and shaly sandstone. Sound signals were recorded both within the rock and in air using high-fidelity sensors. The results reveal distinct frequency patterns for each rock type, with sandstone exhibiting dominant low-frequency energy, limestone and granite showing broader frequency bands with strong high-frequency components, and shaly sandstone displaying a mix of low- and high-frequency energy. Quadratic polynomial regression models between the Vp or Vs and the peak frequencies of the four distinct rock samples are built, and the corresponding coefficients of determination are 0.9878 and 0.9799. The study also demonstrates that drilling parameters, such as drill bit diameter and revolutions per minute (RPM), significantly influence the frequency distribution of rock-drilling sounds, with larger drill bits and higher RPMs producing broader frequency bands and stronger high-frequency energy. Comparisons between in-rock and in-air recordings show that the latter captures richer high-frequency information, though the overall trends remain consistent. These findings provide an experimental foundation for using rock-breaking sounds as a potential tool for lithology identification during drilling operations. The study highlights the importance of considering rock heterogeneity and drilling conditions when interpreting acoustic data and suggests future work to validate the method in field conditions and integrate advanced data processing techniques.
Full article
(This article belongs to the Topic Advances in Mining and Geotechnical Engineering)
►▼
Show Figures

Figure 1
Open AccessArticle
Application of Sliding Zone Similar Materials in Reservoir Landslide Model Tests Considering Mechanical and Seepage Similarity
by
Qianyun Wang, Dingjian Wang, Pengju An, Qiong Nie, Jianlin Lu and Zhiyuan Cheng
Geosciences 2026, 16(3), 100; https://doi.org/10.3390/geosciences16030100 - 2 Mar 2026
Abstract
Model tests are effective for studying the entire deformation and evolution process of reservoir landslides. The sensitivity of similar materials to seepage effects is crucial to the accuracy of landslide model testing. Based on a fuzzy evaluation of in situ sliding zone soil,
[...] Read more.
Model tests are effective for studying the entire deformation and evolution process of reservoir landslides. The sensitivity of similar materials to seepage effects is crucial to the accuracy of landslide model testing. Based on a fuzzy evaluation of in situ sliding zone soil, this study compared three similar materials, using shear tests and microscopic SEM to assess the similarity. The optimal similar material (sliding zone soil: bentonite: standard sand = 50%: 20%: 30%) with a water content of 13.5% and a permeability coefficient of 3.8 × 10−6 cm/s was identified, simultaneously matching physical–mechanical properties and seepage effects. When the proportion of in situ sliding zone soil exceeds that of bentonite, the in situ sliding zone soil dominates the strength. Cohesion depends on interparticle cementation force and water film viscosity. Bentonite modifies these forces in stages, leading to a trend where cohesion (c′) first increases and then decreases with rising water content, while the internal friction angle (φ’) decreases continuously. Model test results indicate the failure mode of reservoir landslides is a three-stage traction-braking failure, evolving from initial shallow deformation to deep progressive failure and finally to overall large-scale instability. The proposed similar material exhibits reliable physical–mechanical and seepage similarity and can be directly applied in physical model tests of reservoir-induced landslides to reproduce the hydro-mechanical coupling behavior of sliding zones.
Full article
(This article belongs to the Special Issue Mechanical Behavior of Critical Geo-Materials and Landslide Evolution Processes)
►▼
Show Figures

Figure 1
Open AccessArticle
Distinguishing Areas of Cave Collapse: A Case Study Applied to Carter Caves State Resort Park, Kentucky, USA
by
Ethan W. Conley, Eric W. Peterson, Toby J. Dogwiler and John C. Kostelnick
Geosciences 2026, 16(3), 102; https://doi.org/10.3390/geosciences16030102 - 1 Mar 2026
Abstract
While dissolution dominates the genesis of karst systems, physical erosion processes also play a significant role in their development. Lowering of the water table exposes caves to vadose conditions, reducing roof-supporting buoyancy and potentially leading to catastrophic conduit ceiling failure and cave collapse.
[...] Read more.
While dissolution dominates the genesis of karst systems, physical erosion processes also play a significant role in their development. Lowering of the water table exposes caves to vadose conditions, reducing roof-supporting buoyancy and potentially leading to catastrophic conduit ceiling failure and cave collapse. The locations and extents of collapse areas are not always identifiable at the landscape surface. High-resolution topographic data derived from LiDAR were used to develop a digital elevation model (DEM) that isolates areas that may have sustained episodes of cave collapse and improves our understanding of past hydrogeological and geomorphological conditions of the system. Cave level delineation from LiDAR data was used to assign elevations to cave entrances. Spatial susceptibility to past collapse was evaluated using a weighted multi-criteria analysis that integrated terrain slope, proximity to mapped cave entrances, and distance to surface streams. Areas identified as having a high likelihood of collapse spatially coincide with cave level contacts and known karst windows and terraces, indicating that this replicated methodology is effective as an initial survey tool for identifying collapse-prone areas in karst landscapes.
Full article
(This article belongs to the Section Natural Hazards)
►▼
Show Figures

Figure 1
Open AccessArticle
Subduction Zones Beneath Indonesia Imaged by Phase Velocity Tomography
by
Fang Liu, Dongjun Sun, Ting Yang and Yuhang Dai
Geosciences 2026, 16(3), 101; https://doi.org/10.3390/geosciences16030101 - 1 Mar 2026
Abstract
We present a high-resolution 3-D shear-wave velocity model of the Indonesian lithosphere and upper mantle, constructed through a weighted joint inversion of complementary surface wave datasets. Our model integrates teleseismic Rayleigh waves from 387 earthquakes recorded at 31 stations, analyzed using a modified
[...] Read more.
We present a high-resolution 3-D shear-wave velocity model of the Indonesian lithosphere and upper mantle, constructed through a weighted joint inversion of complementary surface wave datasets. Our model integrates teleseismic Rayleigh waves from 387 earthquakes recorded at 31 stations, analyzed using a modified two-plane-wave tomography method, with two years of ambient noise data from 30 stations processed via image transformation techniques. Our results provide new structural constraints on the four principal subduction systems in Indonesia. Along the Sunda–Java Trench, the slab exhibits a systematic along-strike transition from a continuous and well-defined geometry in the west to increasingly disrupted and thickened structures toward the east. This evolution correlates with the subduction of progressively older lithosphere. Beneath the Banda Arc, we image a continuous slab whose dramatic 180° curvature and deep coalescence of distinct segments provide direct evidence for a single-slab rollback and folding origin. In the Molucca Sea region, tomography reveals a shallow low-velocity zone and resolves the complex geometry of an active double-sided subduction system associated with arc–arc collision. Collectively, these findings provide unprecedented constraints on slab segmentation and deformation, highlighting the dominant control of lithospheric age and complex plate interactions on the geodynamic evolution of this exceptional convergent boundary.
Full article
(This article belongs to the Special Issue Earthquake Geology of Plate Margins and Plate Interiors: Integrating Classical Methods with New Approaches)
►▼
Show Figures

Figure 1
Open AccessArticle
Numerical Simulation Analysis of Ground-Penetrating-Radar-Based Advanced Detection Ahead of the Perfect and Irregular Tunnel Face
by
Hao Li, Yanqing Wu and Liang Du
Geosciences 2026, 16(3), 99; https://doi.org/10.3390/geosciences16030099 - 27 Feb 2026
Abstract
When examining ground-penetrating radar (GPR)-based advanced detection ahead of the tunnel face for tunnel constructions, existing numerical forward simulations have not effectively accounted for the actual orientation of the strata and the conditions, limiting their theoretical guidance. In this study, we classify tunnel
[...] Read more.
When examining ground-penetrating radar (GPR)-based advanced detection ahead of the tunnel face for tunnel constructions, existing numerical forward simulations have not effectively accounted for the actual orientation of the strata and the conditions, limiting their theoretical guidance. In this study, we classify tunnel boring through strata attitudes into horizontal, vertical, positively inclined, reverse inclined, and other anomalous structures. We also consider tunnel faces with different planarity (perfectly smooth or irregular). Using the finite-difference time-domain method with a generalized perfectly matched layer, we simulated 21 forward models for GPR-based advanced detection ahead of the tunnel face. The comparative simulation results indicate that the superposition of reflections from different directions at irregular tunnel faces, lithological interfaces, complicated numerical forward models of typical target geological bodies, making it difficult to distinguish the reflection signals of target geological bodies, and the signal strength in numerical forward modeling profiles with antenna touch with tunnel face is significantly stronger than those without such touch. The flatness of the tunnel face and the close proximity between the antenna and tunnel face are the keys to obtain high-quality original data. These research findings will contribute to improving instruments, data processing, and geologic interpretation in future.
Full article
(This article belongs to the Topic Ground Penetrating Radar (GPR) Techniques and Applications, 2nd Edition)
►▼
Show Figures

Figure 1
Open AccessArticle
Astrochronology and Petroleum Implications of the Chang 8 Member in the Longdong Area, Ordos Basin, China
by
Wei Wang, Jihong Li, Xiuqin Deng, Shutong Li, Junlin Chen, Junli Qiu, Xiaoyan Li and Youwei Duan
Geosciences 2026, 16(3), 98; https://doi.org/10.3390/geosciences16030098 - 27 Feb 2026
Abstract
►▼
Show Figures
The Chang 8 Member in the Longdong area of the Ordos Basin hosts significant petroleum resources, demonstrating substantial potential for tight oil exploration and development. Astronomical forcing exerts a discernible influence on the evolution of its petroleum system. To elucidate the impact of
[...] Read more.
The Chang 8 Member in the Longdong area of the Ordos Basin hosts significant petroleum resources, demonstrating substantial potential for tight oil exploration and development. Astronomical forcing exerts a discernible influence on the evolution of its petroleum system. To elucidate the impact of Milankovitch orbital cycles on organic enrichment and the development of source rocks, reservoirs and cap rocks, we conducted a high-resolution cyclostratigraphic analysis of the Chang 8 Member stratigraphy. This study utilized gamma-ray (GR) well log series as the primary dataset. This lacustrine succession preserves distinct Milankovitch cycles, including ~405 ka long eccentricity, ~125 ka short eccentricity, obliquity, and precession periods, with eccentricity cycles showing particularly strong expression. These diagnostic eccentricity signals provided the framework for delineating high-frequency sequences. Subsequent astronomical tuning and base-level reconstruction constrain the depositional age of the Chang 8 Member to 242.22–241.23 ± 1.4 Ma. During this interval, the lacustrine system exhibited a pronounced trend of base-level fall followed by rise, punctuated by higher-frequency fluctuations. Milankovitch cycles govern the development of high-quality reservoirs and cap rocks and organic enrichment by modulating climate and lake-level fluctuations. These orbital forcings drive weathering processes, control fluvial sediment supply and lacustrine accommodation space, and influence biological productivity. Our results demonstrate a pronounced association between the long eccentricity cycle (~405 ka) and enhanced reservoir quality development, while the short eccentricity cycle (~125 ka) exhibits a stronger correlation with organic matter enrichment, cap rocks, and source rock formation. Ultimately, the interplay of eccentricity cycles jointly governs the formation of the hydrocarbon system within the continental Chang 8 Member.
Full article

Figure 1
Open AccessArticle
Characteristics and Geodynamic Evolution of Indosinian Granitoids in South China: A Case Study in the Guangdong Province
by
Jianrong Wang, Zhipeng Xie, Chuandong Xue, Wenchang Li, Lei Dou, Wei Wang and Xingwang Song
Geosciences 2026, 16(3), 97; https://doi.org/10.3390/geosciences16030097 - 27 Feb 2026
Abstract
The Indosinian granitoids of Guangdong Province, South China, record a complex history of crust–mantle interactions during the Triassic assembly of the South China Block (SCB) and Indochina Block (ICB). Integrated zircon U–Pb geochronology, geochemistry, and Sr–Nd–Hf isotopes from these plutons reveal two magmatic
[...] Read more.
The Indosinian granitoids of Guangdong Province, South China, record a complex history of crust–mantle interactions during the Triassic assembly of the South China Block (SCB) and Indochina Block (ICB). Integrated zircon U–Pb geochronology, geochemistry, and Sr–Nd–Hf isotopes from these plutons reveal two magmatic episodes: an Early Indosinian phase (253–230 Ma) of large, west-to-east younging batholiths, and a later scattered phase (230–200 Ma). While most granitoids are peraluminous S-types formed by the melting of the Paleoproterozoic crust with limited mantle input (0–30%), the Taibao pluton and its enclaves are anomalous. They are more mafic and record a substantial mantle contribution (40–65%), pointing to focused, high-heat flux magmatism. This spatial and petrogenetic heterogeneity, coupled with the granitoids’ NE–SW trend orthogonal to the collisional zone, cannot be explained by simple crustal thickening. We propose that these features are the direct result of the slab tearing of the subducting Paleo-Tethys oceanic plate, triggered by an oblique collision between the SCB and ICB. This tearing induced asthenospheric upwelling, providing the thermal engine for widespread crustal anatexis and localized mantle melting. Our findings establish slab tearing as a key catalyst for syn-collisional, high-temperature magmatism, offering a unified framework for interpreting lithospheric processes during continental collisions.
Full article
(This article belongs to the Section Geochemistry)
►▼
Show Figures

Figure 1
Open AccessArticle
Pyrolysis Kinetics of Lacustrine Shales from the Yanchang Formation: Revealing the Role of Kerogen Type in Shaping Hydrocarbon Generation and Expulsion Pattern
by
Lingling Liao, Yifei Zhang, Yan Li and Yinhua Pan
Geosciences 2026, 16(3), 96; https://doi.org/10.3390/geosciences16030096 - 26 Feb 2026
Abstract
The Yanchang Formation in the Ordos Basin is a key target for continental shale oil exploration in China. Due to its complex geological background and diversified organic inputs, the hydrocarbon generation and accumulation in the lacustrine basin remain to be fully understood. Unlike
[...] Read more.
The Yanchang Formation in the Ordos Basin is a key target for continental shale oil exploration in China. Due to its complex geological background and diversified organic inputs, the hydrocarbon generation and accumulation in the lacustrine basin remain to be fully understood. Unlike marine shales rich in Type I kerogen, this lacustrine system is dominated by Type II and III kerogens. In this study, Rock-Eval pyrolysis was performed on lacustrine shales with Type IIa, IIb, and III kerogens to investigate the effect of kerogen type on their hydrocarbon generation and expulsion characteristics. The results reveal that the hydrocarbon generation potential of the Yangchang Formation shale generally follows the order of Type IIa > Type IIb > Type III. Pyrolysis kinetic calculations of the kerogens demonstrate a clear hierarchy of hydrocarbon generation and expulsion among the kerogen types, of which Type II kerogen has better hydrocarbon generation potential, earlier generation timing, and narrower generation window than Type III kerogen. The discrepancy in hydrocarbon generation potential and pyrolysis kinetic behavior is largely attributed to the kerogen components and types, which manifests as a kerogen-type constraint on the hydrocarbon generation and expulsion of shale. Based on the geological mapping of the lacustrine shales in the study area, we propose a “kerogen type-specific” exploration strategy that prioritizes Type IIa-rich intervals in moderate-maturity areas for shale oil exploration, Type IIb as secondary prospects, and Type III in high-maturity areas for shale gas exploration. This study provides a systematic investigation of pyrolysis simulation and hydrocarbon generation and expulsion kinetics on the Yanchang Formation shale, as well as a practical framework for optimizing exploration in analogous lacustrine basins.
Full article
(This article belongs to the Topic Reservoir Genesis and Quality Evolution in Hydrocarbon Systems)
►▼
Show Figures

Figure 1
Open AccessArticle
Structural Insights from Non-Destructive Surveys: Moisture, Roof Structure and Subsoil Variability in Santa Maria del Pi
by
Vega Perez-Gracia, Oriol Caselles, Jose Ramón Gonzalez Drigo, Viviana Sossa and Jaume Clapes
Geosciences 2026, 16(3), 95; https://doi.org/10.3390/geosciences16030095 - 25 Feb 2026
Abstract
Preventive conservation of historic buildings is crucial to avoid extensive damage, yet assessments are often reactive. Following mortar detachment at the Basilica of Santa María del Pi, this paper presents a diagnosis using Non-Destructive Testing (NDT). The study employed Horizontal-to-Vertical Spectral Ratio (HVSR)
[...] Read more.
Preventive conservation of historic buildings is crucial to avoid extensive damage, yet assessments are often reactive. Following mortar detachment at the Basilica of Santa María del Pi, this paper presents a diagnosis using Non-Destructive Testing (NDT). The study employed Horizontal-to-Vertical Spectral Ratio (HVSR) for subsoil analysis and Ground Penetrating Radar (GPR) for superstructure inspection. HVSR analysis differentiated fill material from compacted ground, revealing that most of the basilica rests on infilled soil, except the northern corner, suggesting differential settlement risks. Concurrently, GPR survey of vaults and roofs identified internal structures, specifically zones lightened with hollow ceramics, and mapped high-moisture anomalies via wave amplitude and velocity analysis. The study concludes that these methods are complementary, addressing distinct spatial domains. Integrating subsoil characterization with superstructure analysis provided a comprehensive diagnosis essential for long-term maintenance and preservation.
Full article
(This article belongs to the Topic Ground Penetrating Radar (GPR) Techniques and Applications, 2nd Edition)
►▼
Show Figures

Figure 1
Open AccessArticle
A New Scallop Species, Syncyclonema goyi sp. nov. (Bivalvia, Pectinida, Entoliidae), from the Upper Cenomanian of West Portugal
by
Pedro Miguel Callapez, Fernando Barroso-Barcenilla, Melani Berrocal-Casero, José Manuel Brandão, Maria José Comas-Rengifo, Rúben Domingos, Elsa Gomes, Fernando Carlos Lopes, Mário Miguel Mendes, Senay Ozkaya de Juanas, Hélder José Pereira, Jordi Perez-Cano, Ricardo Jorge Pimentel, Vanda Faria dos Santos and Manuel Segura
Geosciences 2026, 16(3), 94; https://doi.org/10.3390/geosciences16030094 - 24 Feb 2026
Abstract
A new species of pectinid bivalve, Syncyclonema goyi sp. nov., is described in honour of Professor Antonio Goy, one of the leading stratigraphers who shaped Mesozoic studies in Iberia over the past half century. It represents one of the smaller fossil scallops currently
[...] Read more.
A new species of pectinid bivalve, Syncyclonema goyi sp. nov., is described in honour of Professor Antonio Goy, one of the leading stratigraphers who shaped Mesozoic studies in Iberia over the past half century. It represents one of the smaller fossil scallops currently known from the Upper Cretaceous of Europe, alongside a few boreal species previously assigned to the family Entoliidae. The type specimens have orbicular valves, almost smooth, with unequal auricles. The right valve is more convex and bears a well-marked paleal sinus. The sculpture of the shell is weak, exhibiting concentric growth lines and lamellae. However, nearly 90 very small, uniform radial striae are discernible beneath the outer shell layer. This species is frequent in open marine, fine-grained, inner shelf facies of the Tethyan West Portuguese Carbonate Platform, near the main localities of Coimbra, Tentúgal, and Condeixa-a-Nova, in the Baixo Mondego region of West Portugal. It mostly occurs in the upper Cenomanian beds of the Trouxemil Formation, with Euomphaloceras septemseriatum and Vascoceratidae ammonites.
Full article
(This article belongs to the Section Sedimentology, Stratigraphy and Palaeontology)
►▼
Show Figures

Figure 1
Open AccessArticle
The Sedimentary Forward Modeling-Based Lithofacies Paleogeographic Distribution of the Ediacaran Dengying Formation, Northeastern Sichuan Basin
by
Xiang Cheng, Shengqian Liu, Jinxiong Luo, Yan Zhong, Dazhi Zhang and Shan Sun
Geosciences 2026, 16(3), 93; https://doi.org/10.3390/geosciences16030093 - 24 Feb 2026
Abstract
The Sinian (Ediacaran) Dengying Formation in the northeastern Sichuan Basin exhibits a significant exploration potential. Nevertheless, the great burial depth of carbonates in the Dengying Formation and the scarcity of drilling data have imposed constraints on in-depth investigations into the evolution of lithofacies
[...] Read more.
The Sinian (Ediacaran) Dengying Formation in the northeastern Sichuan Basin exhibits a significant exploration potential. Nevertheless, the great burial depth of carbonates in the Dengying Formation and the scarcity of drilling data have imposed constraints on in-depth investigations into the evolution of lithofacies paleogeography as well as the primary controlling mechanisms. Through integrated analysis of field outcrops, core and well logging data, the evolution of the lithofacies and paleogeography of the Dengying Formation in the northeastern Sichuan Basin was reconstructed by using 3D stratigraphic forward modeling. The study area is predominantly characterized by platform margin facies and restricted platform facies, comprising four subfacies including microbial (algal) mound, grain shoal, intershoal sea, and intraplatform depression. The microbial (algal) mound and grain shoal subfacies are primarily developed along the western and eastern platform margins, exhibiting a near north–south trend. Scattered mound–shoal complexes and intershoal sea occur within the platform, with localized intraplatform depression zone. During the depositional stage of the Dengying Formation, three primary paleogeomorphic units were developed including the platform margin topographic high zone, intraplatform gentle slope zone, and intraplatform depression zone. During the Deng-1 and Deng-3 periods, sea level rise increased accommodation space, leading to a gradual decline in carbonate productivity and limited development of the mound–shoal complexes. In contrast, during the Deng-2 and Deng-4 periods, sea level decreased, water depth decreased, and carbonate productivity was enhanced, resulting in extensive development of the mound–shoal complexes. The simulation results indicate that carbonate-producing ecosystems thrive when wind blows from 270° W (80% frequency) or 15° N (60% frequency); with an effective water depth of 10–20 m, the elevated carbonate productivity is conducive to the growth of biogenic calcification. Comprehensive analysis suggests that paleogeomorphology, eustatic fluctuations, and paleowind fields collectively control the distribution and evolution of the lithofacies in the Dengying Formation in the northeastern Sichuan Basin. Paleogeomorphology governs the types and distribution of sedimentary facies belts as well as the spatial arrangement of lithofacies. Eustasy determines the magnitude of mound–shoals and their lateral migration. Three-dimensional stratigraphic forward modeling offers a novel approach for reconstructing paleogeographic evolution of carbonate platforms and analyzing key controlling factors, while also enhancing our ability to predict the distribution patterns of mound–shoal complexes.
Full article
(This article belongs to the Section Sedimentology, Stratigraphy and Palaeontology)
►▼
Show Figures

Figure 1
Open AccessArticle
New Insight into the Presence of Woody Vegetation in the Lateglacial Landscapes of the Eastern Baltic Region: The Results of a Paleoanthracological Analysis of the Kulikovo Section (Kaliningrad Region, Russia)
by
Olga Druzhinina, Kseniya Filippova, Lyudmila Lazukova and Alexandra Golyeva
Geosciences 2026, 16(3), 92; https://doi.org/10.3390/geosciences16030092 - 24 Feb 2026
Abstract
In this paper, we present the results of a paleoanthracological analysis of the Lateglacial Kulikovo section (eastern Baltic, Kaliningrad region). This is proposed as a new methodological approach to studying the presence of woody taxa in Lateglacial vegetation. Woody vegetation is an important
[...] Read more.
In this paper, we present the results of a paleoanthracological analysis of the Lateglacial Kulikovo section (eastern Baltic, Kaliningrad region). This is proposed as a new methodological approach to studying the presence of woody taxa in Lateglacial vegetation. Woody vegetation is an important marker of environmental dynamics in post-glacial areas and one of the most important indicators of climate amelioration. Therefore, establishing the time of the appearance of woody vegetation during the Lateglacial period is essential. Paleoanthracological analysis revealed 22 macrocharcoal morphotypes, among which were the following indicators of woody (coniferous and deciduous) vegetation: wood, punky wood, needles, leaf stems, etc. The results indicate an almost continuous local presence of woody species in the study area since the Older Dryas, 14.0 ka. This conclusion is in good agreement with the available data on the presence of phytoliths of conifers and palynological data, indicating that from the end of the Older Dryas up to approximately 12.5 ka, the percentage of arboreal vegetation did not fall below 50% of terrestrial pollen, and over a significant part of the studied time interval it reached 70–80%. Paleoanthracological analysis can serve as both an independent method of studying the emergence of woody vegetation in a certain area and an important addition to the reconstruction of Lateglacial vegetation based on pollen data.
Full article
(This article belongs to the Special Issue Arctic Geoarchaeology and Environmental Archaeology)
►▼
Show Figures

Figure 1
Open AccessArticle
Plagioclase Zoning and Sr Isotopes Constrain Mush–Magma Mixing in the Late Triassic Xiuyan Granitic Pluton, East China
by
Zisong Zhao, Shengwei Wu, Fucheng Yu, Shanping Li and Zhiyi Zhao
Geosciences 2026, 16(3), 91; https://doi.org/10.3390/geosciences16030091 - 24 Feb 2026
Abstract
Mafic microgranular enclaves (MMEs) are widespread in granitic plutons and provide valuable insights into mush–magma mixing processes in crustal magma reservoirs. In this study, we characterize chemical zoning and Sr isotopic compositions of plagioclase in the MMEs, gabbro and host monzogranite from the
[...] Read more.
Mafic microgranular enclaves (MMEs) are widespread in granitic plutons and provide valuable insights into mush–magma mixing processes in crustal magma reservoirs. In this study, we characterize chemical zoning and Sr isotopic compositions of plagioclase in the MMEs, gabbro and host monzogranite from the Late Triassic Xiuyan pluton in East China, to constrain the origin of MMEs and the role of crystal mushes in magma mixing. The MMEs in the Xiuyan pluton are angular and range from centimeters to several meters in size. They exhibit sharp contacts with the host monzogranite and show diverse disequilibrium textures. Plagioclase in MMEs occurs as fine-grained antecryst with normal zoning (An46–66 in the core and An17–29 in the rim). The cores are commonly characterized by coarse sieve textures, patchy zoning, and resorption surfaces at core–rim boundaries. In situ Sr isotopic compositions show subtle but systematic core–rim variations, with (87Sr/86Sr)i increasing slightly from cores (~0.70639) to rims (~0.70664), and rim values overlapping the whole-rock (87Sr/86Sr)i of MMEs. These features suggest that the rim was crystallized from locally hybridized melts produced by interaction between interstitial melts in a basaltic mush and granitic magma. Plagioclase in the gabbro occurs as medium-grained phenocryst with normal zoning (An46–65 in the core and An18–27 in the rim) but shows nearly homogeneous (87Sr/86Sr)i across individual grains (0.70612–0.70637), comparable to whole-rock gabbro values of 0.70623. The plagioclase cores in gabbro also show coarse sieve texture and patchy zoning with the resorption surface in the margin of the core and rim. We interpret the sieve textures in plagioclase cores from both MMEs and gabbro to record partial dissolution during rapid ascent and decompression of an initially H2O-undersaturated, crystal-bearing basaltic magma, during which increased effective water activity reduced plagioclase stability prior to the growth of the rim. Plagioclase in the host monzogranite is medium- to coarse-grained, compositionally homogeneous, and characterized by low An contents (An12–24) and elevated (87Sr/86Sr)i of ~0.70828. We propose that MMEs in the Xiuyan pluton formed when semi-consolidated mafic mush was mechanically disaggregated into angular fragments and subsequently entrained into coexisting granitic melt. This study reveals that MMEs formed by mechanical disaggregation of a semi-consolidated mafic mush into angular fragments, followed by their entrainment into the granitic melts.
Full article
(This article belongs to the Section Geochemistry)
►▼
Show Figures

Figure 1
Open AccessArticle
A Thermodynamic Closure Model for Titan’s Surface Temperature: Its Long-Term Stability Anchored to Methane’s Triple Point
by
Hsien-Wang Ou
Geosciences 2026, 16(2), 90; https://doi.org/10.3390/geosciences16020090 - 22 Feb 2026
Abstract
We develop a minimal thermodynamic model to predict Titan’s surface temperature based on radiative–convective equilibrium and the principle of maximum entropy production (MEP). The model retains only the essential atmospheric constituents: gaseous methane, which absorbs both longwave and near-infrared radiation, and stratospheric haze,
[...] Read more.
We develop a minimal thermodynamic model to predict Titan’s surface temperature based on radiative–convective equilibrium and the principle of maximum entropy production (MEP). The model retains only the essential atmospheric constituents: gaseous methane, which absorbs both longwave and near-infrared radiation, and stratospheric haze, which scatters and absorbs solar flux. Subject to Clausius–Clapeyron scaling of methane vapor pressure together with energy balances at the surface, tropopause, and stratopause, the model links the convective flux to the surface temperature, which exhibits a pronounced maximum due to competing radiative effects of tropospheric methane. As the surface warms, enhanced greenhouse effect would strengthen the convection, whereas the rising anti-greenhouse effect would suppress convection. The resulting convective peak corresponds to MEP, which thus selects a surface temperature slightly above methane’s triple point. To assess its long-term evolution, we consider a 20% dimmer early Sun and a hypothetical 20% enrichment of the oceanic methane. Even in combination, they only cool the surface by ~2 K, in sharp contrast to the ~20 K cooling inferred in studies that prescribe haze abundance. This study suggests a critical role of self-adjusting haze in providing the internal degree of freedom necessary for MEP closure, thereby stabilizing Titan’s temperature.
Full article
(This article belongs to the Section Climate and Environment)
►▼
Show Figures

Figure 1
Journal Menu
► ▼ Journal Menu-
- Geosciences Home
- Aims & Scope
- Editorial Board
- Topical Advisory Panel
- Instructions for Authors
- Special Issues
- Topics
- Sections & Collections
- Article Processing Charge
- Indexing & Archiving
- Editor’s Choice Articles
- Most Cited & Viewed
- Journal Statistics
- Journal History
- Journal Awards
- Society Collaborations
- Conferences
- Editorial Office
Journal Browser
► ▼ Journal BrowserHighly Accessed Articles
Latest Books
E-Mail Alert
News
Topics
Topic in
Environments, Geosciences, Hydrology, Water, Biosphere, Limnological Review
Geological Processes: A Key to Understand Water Quality Issues
Topic Editors: Weiying Feng, Hao WangDeadline: 20 March 2026
Topic in
Applied Sciences, Energies, Geosciences, JMSE, Minerals
Formation Mechanism and Quantitative Evaluation of Deep to Ultra-Deep High-Quality Reservoirs
Topic Editors: Jianhua He, Andrew D. La Croix, Jim Underschultz, Hucheng Deng, Hao Xu, Ruyue Wang, Rui LiuDeadline: 31 March 2026
Topic in
Energies, Geosciences, Minerals, Resources
Drilling, Completion and Well Engineering for the Natural Energy Resources Extraction, Storage and Sustainable Management, 2nd Edition
Topic Editors: Mofazzal Hossain, Hisham Khaled Ben Mahmud, Md Motiur RahmanDeadline: 15 April 2026
Topic in
Buildings, Geosciences, Materials, Applied Sciences
New Trends in Rock Materials Mechanics and Engineering Geology, 2nd Edition
Topic Editors: Hang Lin, Yanlin Zhao, Yixian Wang, Yu Chen, Rihong CaoDeadline: 30 April 2026
Conferences
19–21 October 2026
The 6th International Electronic Conference on Remote Sensing—Global Perspectives for the Next Generation in Earth Observation

10–12 March 2026
The 3rd International Online Conference on Mineral Science (IOCMS 2026), 10–12 March 2026

Special Issues
Special Issue in
Geosciences
New Trends in Numerical Methods in Rock Mechanics
Guest Editors: Xiangchao Shi, Zetian Zhang, Daobing WangDeadline: 31 March 2026
Special Issue in
Geosciences
Isotope Geochemistry: New Techniques and Applications
Guest Editors: Da Wang, Linda Godfrey, Ryan MathurDeadline: 31 March 2026
Special Issue in
Geosciences
Earthquake Geology of Plate Margins and Plate Interiors: Integrating Classical Methods with New Approaches
Guest Editors: Riccardo Caputo, Chittenipattu P. Rajendran, Tejpal SinghDeadline: 31 March 2026
Special Issue in
Geosciences
Challenges and Research Trends of Geoheritage and Geoconservation
Guest Editors: Eva Pescatore, Salvatore Ivo GianoDeadline: 31 March 2026
Topical Collections
Topical Collection in
Geosciences
Women in Geosciences: Past, Present, and Future
Collection Editor: Suzanne Golding
Topical Collection in
Geosciences
Tsunamis: From the Scientific Challenges to the Social Impact
Collection Editors: Alberto Armigliato, Rachid Omira
Topical Collection in
Geosciences
New Advances in Geotechnical Engineering
Collection Editor: Mohamed Shahin




