Next Issue
Volume 91, IEEE ICACEH 2024
Previous Issue
Volume 89, IEEE ICKII 2024
 
 
engproc-logo

Journal Browser

Journal Browser

Eng. Proc., 2025, EASN 2024

The 14th EASN International Conference on “Innovation in Aviation & Space towards sustainability today & tomorrow”

Thessaloniki, Greece | 8–11 October 2024

Volume Editors:
Spiros Pantelakis, University of Patras, Greece
Andreas Strohmayer, University of Stuttgart, Germany
Nikolaos Michailidis, Aristotle University of Thessaloniki, Greece

Number of Papers: 116
  • Issues are regarded as officially published after their release is announced to the table of contents alert mailing list.
  • You may sign up for e-mail alerts to receive table of contents of newly released issues.
  • PDF is the official format for papers published in both, html and pdf forms. To view the papers in pdf format, click on the "PDF Full-text" link, and use the free Adobe Reader to open them.
Cover Story (view full-size image): The EASN Conference Series is an annual event organized by the European Aerospace Science Network (EASN) that is dedicated to advancing research, innovation, and collaboration in the field of [...] Read more.
Order results
Result details
Select all
Export citation of selected articles as:

Editorial

Jump to: Other

5 pages, 189 KB  
Editorial
Preface of the 14th EASN International Conference on “Innovation in Aviation & Space Towards Sustainability Today & Tomorrow” (EASN 2024)
by Spiros Pantelakis, Andreas Strohmayer and Nikolaos Michailidis
Eng. Proc. 2025, 90(1), 1; https://doi.org/10.3390/engproc2025090001 - 10 Mar 2025
Viewed by 1484
Abstract
The 14th EASN International Conference on “Innovation in Aviation and Space towards sustainability today & tomorrow” was successfully held in the Concert Hall of Thessaloniki, Greece, from 8 to 11 October 2024 [...] Full article
1 pages, 138 KB  
Editorial
Statement of Peer Review
by Spiros Pantelakis, Andreas Strohmayer and Nikolaos Michailidis
Eng. Proc. 2025, 90(1), 116; https://doi.org/10.3390/engproc2025090116 - 30 May 2025
Viewed by 406
Abstract
In submitting conference proceedings to Engineering Proceedings, the Volume Editors of the proceedings would like to certify to the publisher that all papers published in this volume have been subjected to peer review by the designated expert referees and were administered by [...] Read more.
In submitting conference proceedings to Engineering Proceedings, the Volume Editors of the proceedings would like to certify to the publisher that all papers published in this volume have been subjected to peer review by the designated expert referees and were administered by the Volume Editors strictly following the policies announced on the conference website [...] Full article

Other

Jump to: Editorial

9 pages, 2036 KB  
Proceeding Paper
PSO-Based PID Tuning for PMSM-Quadrotor UAV System
by Marco Rinaldi, Morteza Moslehi, Giorgio Guglieri and Stefano Primatesta
Eng. Proc. 2025, 90(1), 2; https://doi.org/10.3390/engproc2025090002 - 7 Mar 2025
Cited by 5 | Viewed by 2231
Abstract
This paper presents the simulation and controller optimization of a quadrotor Unmanned Aerial Vehicle (UAV) system. The quadrotor model is derived adopting the Newton-Euler approach, and is intended to be constituted by four three-phase Permanent Magnet Synchronous Motors (PMSM) controlled with a velocity [...] Read more.
This paper presents the simulation and controller optimization of a quadrotor Unmanned Aerial Vehicle (UAV) system. The quadrotor model is derived adopting the Newton-Euler approach, and is intended to be constituted by four three-phase Permanent Magnet Synchronous Motors (PMSM) controlled with a velocity control loop-based Field Oriented Control (FOC) technique. The Particle Swarm Optimization (PSO) algorithm is used to tune the parameters of the PID controllers of quadrotor height, quadrotor attitude angles, and PMSMs’ rotational speeds, which represent the eight critical parameters of the PMSM-quadrotor UAV system. The PSO algorithm is designed to optimize eight Square Error (SE) cost functions which quantify the error dynamics of the controlled variables. For each stabilization task, the PID tuning is divided in two phases. Firstly, the PSO optimizes the error dynamics of altitude and attitude angles of the quadrotor UAV. Secondly, the desired steady-state rotational speeds of the PMSMs are derived, and the PSO is used to optimize the motors’ dynamics. Finally, the complete PMSM-Quadrotor UAV system is simulated for stabilization during the target task. The study is carried out by means of simulations in MATLAB/Simulink®. Full article
Show Figures

Figure 1

9 pages, 2292 KB  
Proceeding Paper
Noise-Aware UAV Path Planning in Urban Environment with Reinforcement Learning
by Shahin Sarhan, Marco Rinaldi, Stefano Primatesta and Giorgio Guglieri
Eng. Proc. 2025, 90(1), 3; https://doi.org/10.3390/engproc2025090003 - 7 Mar 2025
Cited by 5 | Viewed by 3603
Abstract
This research presents a comprehensive approach for mitigating noise pollution from Unmanned Aerial Vehicles (UAVs) in urban environment by using Reinforcement Learning (RL) for flight path planning. Focusing on the city of Turin, Italy, the study utilizes its diverse urban architecture to develop [...] Read more.
This research presents a comprehensive approach for mitigating noise pollution from Unmanned Aerial Vehicles (UAVs) in urban environment by using Reinforcement Learning (RL) for flight path planning. Focusing on the city of Turin, Italy, the study utilizes its diverse urban architecture to develop a detailed 3D occupancy grid map, and a population density map. A dynamic noise source model adjusts noise emissions based on the UAV velocity, while acoustic ray tracing simulates noise propagation in the environment. The Deep Deterministic Policy Gradient (DDPG) algorithm optimizes flight paths, minimizing the noise impact, and balancing both the path length and the population density located under the UAV path. The simulation results demonstrate significant noise reduction, suggesting scalability and adaptability for global urban environments, contributing to sustainable urban air mobility by addressing noise pollution. Full article
Show Figures

Figure 1

9 pages, 8115 KB  
Proceeding Paper
A Hybrid Propulsion-Based Mission Architecture for the Removal of Debris from Low-Earth Orbit
by Sasi Kiran Palateerdham, Abdul Rahman, Emiliano Ortore and Antonella Ingenito
Eng. Proc. 2025, 90(1), 4; https://doi.org/10.3390/engproc2025090004 - 7 Mar 2025
Viewed by 1502
Abstract
Satellite technology has advanced with rising demand from the service sector, but increased accessibility also raises risks to the orbital environment. Space debris in low-Earth orbit (LEO) poses a major threat to satellite operations and access to space. Potential solutions for debris removal [...] Read more.
Satellite technology has advanced with rising demand from the service sector, but increased accessibility also raises risks to the orbital environment. Space debris in low-Earth orbit (LEO) poses a major threat to satellite operations and access to space. Potential solutions for debris removal include using an onboard propulsion module to deorbit a satellite or employing a robotic arm on a “chaser” satellite to capture and remove debris. This study examines active debris removal from LEO at 2000 km altitude, focusing on a target debris weight of 100 kg and a chaser-satellite mass of 100 kg. The mission’s velocity change was calculated using the Hohmann transfer for different trajectories, and propellant requirements were derived using Tsiolkovsky’s rocket equation: ΔV = Isp × g0 × ln(mf/mi). Several scenarios were considered to assess the mission’s feasibility with respect to debris removal. Full article
Show Figures

Figure 1

7 pages, 3138 KB  
Proceeding Paper
On-Line Process Monitoring for Aero-Space Components Using Different Technologies of Fiber Optic Sensors During Liquid Resin Infusion (LRI) Process
by Cristian Builes Cárdenas, Tania Grandal González, Arántzazu Núñez Cascajero, Mario Román Rodríguez, Rubén Ruiz Lombera and Paula Rodríguez Alonso
Eng. Proc. 2025, 90(1), 5; https://doi.org/10.3390/engproc2025090005 - 7 Mar 2025
Cited by 1 | Viewed by 1056
Abstract
The FLASH-COMP project aims to introduce novel inspection and monitoring technologies to develop a digital solution to predict defects during manufacturing, aiming to reach a zero-waste approach in composites manufacturing. Particularly, it’s studied the integration of two different Fiber Optic Sensor (FOS) technologies: [...] Read more.
The FLASH-COMP project aims to introduce novel inspection and monitoring technologies to develop a digital solution to predict defects during manufacturing, aiming to reach a zero-waste approach in composites manufacturing. Particularly, it’s studied the integration of two different Fiber Optic Sensor (FOS) technologies: Fiber Bragg Grating (FBG) and distributed All Grating Fiber (AGF®), to retrieve relevant data during the preforming stage and later resin infusion process for aero-space materials. During the study, both FOS technologies were introduced into the materials, varying process conditions and the introduction of some artificial defects to evaluate the sensors response to correlate them after with their signals. Both systems can retrieve relevant information during the process such as vacuum, leaks and temperature changes, presence of voids and air bubbles, detection of dry zones, and resin flow monitoring. Further developments have to be focused on the scalability in the implementation, since FOS are fragile to handle and need specific training to use it in a more industrial field. Full article
Show Figures

Figure 1

7 pages, 2659 KB  
Proceeding Paper
Rheological Properties of Functionalized Smart Resins for Transport Applications
by Giorgia De Piano, Raffaele Longo, Liberata Guadagno and Roberto Pantani
Eng. Proc. 2025, 90(1), 6; https://doi.org/10.3390/engproc2025090006 - 7 Mar 2025
Viewed by 1251
Abstract
Hydrogen is a promising alternative to fossil fuels, but its efficient storage presents significant challenges. Polymer composite vessels, especially those made from carbon fiber-reinforced plastic (CFRP), are gaining attention, due to their high strength-to-weight ratio for storing compressed or cryogenic hydrogen. The latest [...] Read more.
Hydrogen is a promising alternative to fossil fuels, but its efficient storage presents significant challenges. Polymer composite vessels, especially those made from carbon fiber-reinforced plastic (CFRP), are gaining attention, due to their high strength-to-weight ratio for storing compressed or cryogenic hydrogen. The latest Type V tanks, which lack internal liners, rely solely on fiber composites for both structural integrity and gas containment, enhancing the storage volume-to-weight ratio and supporting recycling. However, this linerless design faces the challenge of preventing gas permeation. Epoxy resins, widely used in aerospace carbon fiber-reinforced composites (CFRCs), offer excellent processability and load-bearing capabilities. The addition of high-aspect-ratio nanofillers can enhance the gas barrier properties, which are essential for preventing hydrogen leakage, while also improving the mechanical, electrical, and thermal properties of the nanocomposites. This study focuses on epoxy-based composites with expanded graphite, aiming to optimize their physical properties and processing for Type V tanks, using a rheological framework to evaluate their processability and multifunctionality in transport applications. Full article
Show Figures

Figure 1

9 pages, 2335 KB  
Proceeding Paper
The Advanced Real-Time Monitoring of New Welding Processes in the Aircraft Industry
by David Castro, Julio Illade, Noelia Gonzalez, Soralla Pintos and Massimiliano Russello
Eng. Proc. 2025, 90(1), 7; https://doi.org/10.3390/engproc2025090007 - 10 Mar 2025
Cited by 3 | Viewed by 2556
Abstract
While the monitoring techniques employed are well established in other fields, their application to the novel processes of ultrasonic and resistance welding of composites is innovative. This study details the adaptation of these techniques to monitor the essential parameters that influence the quality [...] Read more.
While the monitoring techniques employed are well established in other fields, their application to the novel processes of ultrasonic and resistance welding of composites is innovative. This study details the adaptation of these techniques to monitor the essential parameters that influence the quality of welds in composite materials within the context of the MFFD (Multi-Functional Fuselage Demonstrator) during the WELDER project. This article presents findings from the application of a sophisticated monitoring system to new welding processes for composites, demonstrating significant enhancements in process control, quality assurance, and operational safety. In ultrasonic welding, temperature, speed, power, amplitude, and displacement were monitored, whereas in resistance welding, voltage, load, and temperature were tracked. This comprehensive data collection is crucial due to the sensitivity of composite materials to welding parameters, which directly affect the integrity and performance of the final product. The data transmission utilized the OPC UA protocol, ensuring secure, reliable real-time data flow to visualization interfaces in safe environments. The integration of real-time monitoring and advanced data analysis helps in identifying potential defects during the welding process, thereby enhancing both the reliability and efficiency of composite welding. The results underscore the potential of these technologies to advance the manufacturing practices for high-performance composite materials in the aeronautics field. Full article
Show Figures

Figure 1

9 pages, 2406 KB  
Proceeding Paper
Adaptable MBSE Problem Definition with ARMADE: Perspectives from Firefighting and AAM SoS Environments
by Adrian Chojnacki, Giuseppa Donelli, Luca Boggero, Prajwal S. Prakasha and Björn Nagel
Eng. Proc. 2025, 90(1), 8; https://doi.org/10.3390/engproc2025090008 - 10 Mar 2025
Viewed by 1125
Abstract
Model-based systems engineering (MBSE) offers significant advantages over traditional document-based approaches, particularly in improving the clarity, traceability, and efficiency of requirements engineering (RE). However, MBSE also introduces challenges, particularly in maintaining consistent semantics and handling evolving system models. This paper presents ARMADE, an [...] Read more.
Model-based systems engineering (MBSE) offers significant advantages over traditional document-based approaches, particularly in improving the clarity, traceability, and efficiency of requirements engineering (RE). However, MBSE also introduces challenges, particularly in maintaining consistent semantics and handling evolving system models. This paper presents ARMADE, an agile requirements management and definition environment developed at DLR, which aims to address these challenges. ARMADE enables the flexible, user-friendly modeling of system requirements using a data model that incorporates natural language patterns. The tool supports the dynamic adaptation of metamodels and facilitates collaborative, project-wide requirements management. A case study based on two systems of systems (SoS) from the EU-funded HE COLOSSUS project—firefighting and advanced aerial mobility (AAM)—demonstrates ARMADE’s ability to manage complex, interdisciplinary requirements. The study highlights the tool’s potential to reduce data inconsistencies, improve adaptability, and enhance the overall efficiency of the RE process. By enabling seamless updates and changes to requirements, ARMADE shows promise as a versatile solution for dynamic metamodeling in complex systems, with potential applications extending beyond aeronautics to various industries reliant on intricate requirements management. Full article
Show Figures

Figure 1

9 pages, 2104 KB  
Proceeding Paper
Aerodynamic and Stability Analysis of a Closed-Wing High-Altitude Pseudo-Satellite
by Eleonora Riccio, Chiara Giaquinto, Vincenzo Rosario Baraniello, Giuseppe Persechino and Domenico Coiro
Eng. Proc. 2025, 90(1), 9; https://doi.org/10.3390/engproc2025090009 - 10 Mar 2025
Cited by 2 | Viewed by 1348
Abstract
The Italian Aerospace Research Centre (CIRA) is developing an unmanned stratospheric platform for Earth observation and telecommunications, known as a High-Altitude Pseudo-Satellite (HAPS). This paper presents an aerodynamic and stability analysis of a new closed-wing HAPS configuration. The design uses a hybrid approach, [...] Read more.
The Italian Aerospace Research Centre (CIRA) is developing an unmanned stratospheric platform for Earth observation and telecommunications, known as a High-Altitude Pseudo-Satellite (HAPS). This paper presents an aerodynamic and stability analysis of a new closed-wing HAPS configuration. The design uses a hybrid approach, combining aerodynamic and aerostatic forces to achieve weight balance, with the stability analysis accounting for the buoyancy force applied at the center of volume of the structure. Following the initial design phase, which aims for an altitude of 20 km, a speed of 16 m/s, and a payload capacity of 20 kg, a suitable configuration using a NACA 0018 airfoil is selected. The aircraft lift–drag curve is evaluated using a stationary, incompressible Reynolds-Averaged Navier–Stokes (RANS) analysis with a k-ω SST turbulence model in OpenFoam. A detailed longitudinal and lateral-directional stability analysis is also conducted using OpenFOam and AVL software. Full article
Show Figures

Figure 1

9 pages, 3907 KB  
Proceeding Paper
Numerical Simulation of Dynamic Response of a Composite Battery Housing for Transport Applications
by Aikaterini Fragiadaki and Konstantinos Tserpes
Eng. Proc. 2025, 90(1), 10; https://doi.org/10.3390/engproc2025090010 - 10 Mar 2025
Cited by 2 | Viewed by 2340
Abstract
This study focuses on simulating the dynamic response of a novel battery housing constructed from an innovative thermoplastic composite material using the FE method, implemented in the LS-Dyna software. The composite comprises a thermoplastic matrix (ELIUM MC and Martinal ATH) reinforced by glass [...] Read more.
This study focuses on simulating the dynamic response of a novel battery housing constructed from an innovative thermoplastic composite material using the FE method, implemented in the LS-Dyna software. The composite comprises a thermoplastic matrix (ELIUM MC and Martinal ATH) reinforced by glass fibers. The initial mechanical properties of the composite are characterized through standardized mechanical tests. The housing undergoes analysis under various loading scenarios, including sine-sweep and random vibration, mechanical shock and impact loads. Throughout these analyses, the housing’s structural integrity is thoroughly assessed for potential failures. The numerical results demonstrate that the housing remains resilient against vibration and mechanical shock. Additionally, while low-energy impact induces some damage, it does not impede the battery pack’s normal operation. However, high-energy impact causes substantial damage that compromises the integrity of the battery. Importantly, the FE model of the battery housing serves as a basis for the creation of a digital twin of the battery, offering opportunities for further design and optimization strategies. Full article
Show Figures

Figure 1

10 pages, 1878 KB  
Proceeding Paper
The Transition to True North in Air Navigation from the Avionics Perspective
by Octavian Thor Pleter and Cristian Emil Constantinescu
Eng. Proc. 2025, 90(1), 11; https://doi.org/10.3390/engproc2025090011 - 11 Mar 2025
Viewed by 3607
Abstract
In azimuth sensing, aviation relies on the magnetic compass or magnetic sensors (flux valve, magnetometer) because the azimuth reference is Magnetic North. Maritime navigation completed the transition to True North. In October 2023, ICAO established the True North Advisory Group (True-AG) to consider [...] Read more.
In azimuth sensing, aviation relies on the magnetic compass or magnetic sensors (flux valve, magnetometer) because the azimuth reference is Magnetic North. Maritime navigation completed the transition to True North. In October 2023, ICAO established the True North Advisory Group (True-AG) to consider the possibility of the same transition in aviation, as proposed by the International Association of Institutes of Navigation’s AHRTAG Group. There are significant benefits of this transition (accuracy, stability). Still, there are also some concerns and risks to be mitigated: the transition itself is a major change at the scale of the history of aviation, the need for an inexpensive basic sensor for True North, and other operational aspects. This paper analyses the azimuth sensing technology with a view on the transition to True North. This study comprises both general aviation and commercial aviation and concerns the integrity, accuracy, availability, and continuity of the azimuth flight parameter. The main True North sensors are the inertial reference system and the GNSS receiver. For a basic navigation sensor, the GNSS resilience is essential, and this is currently being challenged in many parts of the world in regions proximate to conflicts. Full article
Show Figures

Figure 1

10 pages, 613 KB  
Proceeding Paper
Novel Control-like Approach for the Robust Integration of Functional Mock-Up Units into Digital Twins
by Raphael Gebhart and Corentin Lepais
Eng. Proc. 2025, 90(1), 12; https://doi.org/10.3390/engproc2025090012 - 11 Mar 2025
Cited by 2 | Viewed by 1232
Abstract
A novel approach for the robust integration of Functional Mock-up Units (FMUs) into Modelica is proposed, which maintains the computational robustness of the Modelica base model and minimizes the simulation time. Using a control-like approach, the base model is retained and mimics the [...] Read more.
A novel approach for the robust integration of Functional Mock-up Units (FMUs) into Modelica is proposed, which maintains the computational robustness of the Modelica base model and minimizes the simulation time. Using a control-like approach, the base model is retained and mimics the FMU outputs. On the one hand, the controller can be interpreted as a numerical tool designed to provide a correct steady-state solution and minimize transient errors. On the other hand, the additional low-pass filter can also be used to represent the inertia of a system. The application of this easy-to-implement approach is demonstrated for a digital twin of the overall thermal management system (TMS) of a future hybrid electrical regional aircraft, which aims at identifying critical conditions and flight cases in advance of hardware tests and virtually demonstrating the behavior of the TMS during complete flight missions. To this end, a base model of the TMS is first set up using the Thermofluid Stream Modelica Library, which focuses on computational robustness, in order to define the boundaries and interfaces of the different subsystems. Then, the subsystems are gradually replaced by validated FMUs to enable virtual demonstrations, where the novel control-like approach proves to be crucial. Full article
Show Figures

Figure 1

9 pages, 11334 KB  
Proceeding Paper
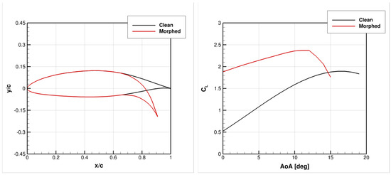
The Aerodynamic Design of a Compliant Morphing Flap for Next-Generation Hybrid Electric Regional Aircraft
by Francesco Antonio D’Aniello, Pietro Catalano, Domenico Quagliarella and Mauro Minervino
Eng. Proc. 2025, 90(1), 13; https://doi.org/10.3390/engproc2025090013 - 11 Mar 2025
Cited by 2 | Viewed by 1313
Abstract
The focus of this paper is on some of the activities performed by CIRA under the framework of the HERWINGT project (Hybrid Electric Regional Wing Integration Novel Wing Technologies) supported by the Clean Aviation Joint Undertaking and funded by the European Union. The [...] Read more.
The focus of this paper is on some of the activities performed by CIRA under the framework of the HERWINGT project (Hybrid Electric Regional Wing Integration Novel Wing Technologies) supported by the Clean Aviation Joint Undertaking and funded by the European Union. The aim of the project is to design an innovative wing suitable for future hybrid electric regional aircraft (HER) that will contribute to the overall target of reducing fuel burn, CO2, and other GHG emissions by improving aerodynamic efficiency and reducing weight. The aerodynamic design of a high-lift system of wings in the form of a compliant morphing flap is presented in this paper. A morphing flap was designed through CIRA’s in-house-developed evolutionary optimization software employing the SU2 open source RANS flow solver. The required performances can be achieved by a configuration equipped with both flap and droop noses, with flow control applied to mitigate the separation occurring over the rear upper region of the wing section. This has become particularly important for landing performances. Analyses were conducted for a 2D wing section. Requirements for the flow control system in terms of mass flow and maximum extension of the separated region were formulated. Full article
Show Figures

Figure 1

9 pages, 2291 KB  
Proceeding Paper
Influence of Automated Fiber Placement (AFP) Parameters over Permeability and Performance for Dry CF Laminates
by Elena Rodríguez Senín, Mario Román Rodríguez, Cristian Builes Cárdenas and Maria Ivette Coto Moretti
Eng. Proc. 2025, 90(1), 14; https://doi.org/10.3390/engproc2025090014 - 11 Mar 2025
Cited by 1 | Viewed by 2224
Abstract
AFP process has the advantage of producing high-performance components and reducing the manufacturing time and defects introduced in the final material thanks to the highly automated process, compared with more traditional methods. Selecting inappropriate AFP process parameters can influence the permeability of the [...] Read more.
AFP process has the advantage of producing high-performance components and reducing the manufacturing time and defects introduced in the final material thanks to the highly automated process, compared with more traditional methods. Selecting inappropriate AFP process parameters can influence the permeability of the preforms being manufactured and the later mechanical performance of the final component. This paper reviews in detail the influence of the main AFP process parameters (deposition velocity, compaction force and temperature) over the adhesion properties between carbon fiber tapes. Later, three parameter combinations are selected to evaluate their influence over preform permeability and the mechanical performance of the composite after the resin injection process (RTM). Full article
Show Figures

Figure 1

9 pages, 358 KB  
Proceeding Paper
Towards More Automated Airport Ground Operations Including Engine-Off Taxiing Techniques Within the Auto-Steer Taxi at AIRport (ASTAIR) Project
by Jérémie Garcia, Dong-Bach Vo, Anke Brock, Vincent Peyruqueou, Alexandre Battut, Mathieu Cousy, Vladimíra Čanádyová, Alexei Sharpanskykh and Gülçin Ermiş
Eng. Proc. 2025, 90(1), 15; https://doi.org/10.3390/engproc2025090015 - 11 Mar 2025
Cited by 1 | Viewed by 2131
Abstract
This paper discusses SESAR’s Auto-Steer Taxi at Airport (ASTAIR) project, which seeks to advance airport ground operations including engine-off taxiing to move towards sustainable airports. The ASTAIR concept integrates human–AI teaming to optimize aircraft movement from gates to runways, with the primary objectives [...] Read more.
This paper discusses SESAR’s Auto-Steer Taxi at Airport (ASTAIR) project, which seeks to advance airport ground operations including engine-off taxiing to move towards sustainable airports. The ASTAIR concept integrates human–AI teaming to optimize aircraft movement from gates to runways, with the primary objectives of improving predictability, efficiency, and environmental sustainability at large airports. Building on previous initiatives such as SESAR’s AEON, ASTAIR brings high-level automation to tasks like autonomous taxiing and vehicle routing. The system assists operators by calculating conflict-free routes for vehicles and dynamically adjusting operations based on real-time data. Based on workshops with several stakeholders, we describe the operational challenges involved in implementing ASTAIR, including managing parking stand availability and adapting to unforeseen events. A significant challenge highlighted is the human–automation partnership, where AI plays a supportive role but humans retain control over critical decisions, particularly in cases of system failure. The need for clear and consistent collaboration between AI and human operators is emphasized to ensure safety, efficiency, and improved compliance with take-off schedules, which in turn facilitates in-flight optimization. Full article
Show Figures

Figure 1

10 pages, 2078 KB  
Proceeding Paper
Development and Evaluation of a LiFi-Transceiver Module for TMTC Intra-Satellite Communication
by Marek Jahnke, Benjamin Palmer and Ulf Kulau
Eng. Proc. 2025, 90(1), 16; https://doi.org/10.3390/engproc2025090016 - 10 Mar 2025
Cited by 2 | Viewed by 1552
Abstract
The use of Light Fidelity (LiFi) can enable the reduction of satellite mass by reducing the wiring harness while avoiding electromagnetic interference. In this paper, a LiFi-transceiver suitable for Telemetry and Telecommand (TMTC) intra-satellite communication is developed and evaluated. The focus of the [...] Read more.
The use of Light Fidelity (LiFi) can enable the reduction of satellite mass by reducing the wiring harness while avoiding electromagnetic interference. In this paper, a LiFi-transceiver suitable for Telemetry and Telecommand (TMTC) intra-satellite communication is developed and evaluated. The focus of the implementation is on miniaturization and energy-efficiency. First test results with a simple Transimpedance-Amplifier and an investigation of the achievable eff. data rate depending on different distances and Error-Correcting-Codes and the energy-consumption of the developed transceiver are presented. The results show that the LiFi-transceiver achieves a payload data rate of 77.6 kbit/s with Error-Correcting-Code protection and thus can be used for a reliable TMTC communication within the satellite bus. Full article
Show Figures

Figure 1

9 pages, 1941 KB  
Proceeding Paper
Conceptual Design of a Metal Hydride System for the Recovery of Gaseous Hydrogen Boil-Off Losses from Liquid Hydrogen Tanks
by Florian Franke and Stefan Kazula
Eng. Proc. 2025, 90(1), 17; https://doi.org/10.3390/engproc2025090017 - 11 Mar 2025
Cited by 2 | Viewed by 1984
Abstract
Liquid hydrogen (LH2) is a promising energy carrier to decrease the climate impact of aviation. However, the inevitable formation of hydrogen boil-off gas (BOG) is a main drawback of LH2. As the venting of BOG reduces the overall efficiency and implies a safety [...] Read more.
Liquid hydrogen (LH2) is a promising energy carrier to decrease the climate impact of aviation. However, the inevitable formation of hydrogen boil-off gas (BOG) is a main drawback of LH2. As the venting of BOG reduces the overall efficiency and implies a safety risk at the airport, means for capturing and re-using should be implemented. Metal hydrides (MHs) offer promising approaches for BOG recovery, as they can directly absorb the BOG at ambient pressures and temperatures. Hence, this study elaborates a design concept for such an MH-based BOG recovery system at hydrogen-ready airports. The conceptual design involves the following process steps: identify the requirements, establish a functional structure, determine working principles and combine the working principles to generate a promising solution. Full article
Show Figures

Figure 1

9 pages, 2253 KB  
Proceeding Paper
Investigating the Impact of Flow Control Devices on the Low-Speed Performance of a Blended-Wing-Body UAV
by Spyridon Antoniou, Konstantinos Antoniou, Pericles Panagiotou and Kyros Yakinthos
Eng. Proc. 2025, 90(1), 18; https://doi.org/10.3390/engproc2025090018 - 11 Mar 2025
Cited by 2 | Viewed by 1192
Abstract
This study investigates the effect of active and passive flow control devices on the aerodynamic behavior and stability of a Blended-Wing-Body (BWB) Unmanned Air Vehicle (UAV), emphasizing the low-speed segments of a typical flight. Vortilons, which are small fins placed on the leading [...] Read more.
This study investigates the effect of active and passive flow control devices on the aerodynamic behavior and stability of a Blended-Wing-Body (BWB) Unmanned Air Vehicle (UAV), emphasizing the low-speed segments of a typical flight. Vortilons, which are small fins placed on the leading edge of the wing, generate vortices that delay the appearance of spanwise flow and consequently the appearance of pitch break. Belly flaps are located on the underside of the UAV and can enhance the lift, while they produce a nose-up pitching moment. Seven different configurations are examined using high-fidelity Computational Fluid Dynamics (CFD) over a range of angles of attack to address the effect of each device on the lift and drag forces and the pitching moment of the UAV. Based on these results, the low-speed performance of the platform is evaluated by calculating the minimum speed, the take-off distance, and the maximum lift to drag ratio, while the elevon deflection required for the take-off rotation of the UAV is also assessed. Full article
Show Figures

Figure 1

9 pages, 2140 KB  
Proceeding Paper
Design of a Light-Weight Vertical Tail for a Hybrid High-Altitude Pseudo-Satellite
by Feliciano Di Biase, Domenico Varricchio, Vincenzo Rosario Baraniello and Giuseppe Persechino
Eng. Proc. 2025, 90(1), 19; https://doi.org/10.3390/engproc2025090019 - 11 Mar 2025
Viewed by 1362
Abstract
The interest in high-altitude pseudo-satellites (HAPSs) has significantly increased in recent years due to the great versatility of these platforms, which allows them to be employed in a wide variety of applications in civilian and military fields. This study focuses on the design [...] Read more.
The interest in high-altitude pseudo-satellites (HAPSs) has significantly increased in recent years due to the great versatility of these platforms, which allows them to be employed in a wide variety of applications in civilian and military fields. This study focuses on the design of an innovative hybrid airship vertical tail. The empennage proposed is internally sustained with a light-weight structure and coated with a thin film, avoiding any leakage that would occur with inflated structural elements. The design of the vertical tail and its structural analysis through a detailed finite element (FE) model are presented to show its overall behavior subjected to the aerodynamic loads. Full article
Show Figures

Figure 1

9 pages, 9820 KB  
Proceeding Paper
Ultrasonic Frequency Analysis of Adhesively Bonded Joints
by H. Patrick Jansen, Benjamin van Elburg, Erik S. van Veen and Derk J. Platenkamp
Eng. Proc. 2025, 90(1), 20; https://doi.org/10.3390/engproc2025090020 - 11 Mar 2025
Cited by 2 | Viewed by 925
Abstract
Bonded joints are commonly used for aircraft construction. The non-destructive testing of these components for debonds can be performed using traditional NDI. However, in the case of weak bonds and “kissing bonds”, inspection becomes more difficult. In this work, we have investigated weak [...] Read more.
Bonded joints are commonly used for aircraft construction. The non-destructive testing of these components for debonds can be performed using traditional NDI. However, in the case of weak bonds and “kissing bonds”, inspection becomes more difficult. In this work, we have investigated weak bonds that have been produced by contaminating the bondline interface with different release agents. By carrying out an analysis of ultrasonic data from the frequency domain, the bondline thickness can be determined. Additionally, indications of the presence of contaminants/weak bonds can be detected at specific frequencies, while the effects of a non-uniform bondline thickness can be suppressed by averaging the power around the selected frequency. Mechanical testing at different locations showed that indications in the frequency domain were able to find one weak bond, while the other indications showed no decrease in lap shear strength. Full article
Show Figures

Figure 1

9 pages, 217 KB  
Proceeding Paper
Aircraft Design Capabilities for a System-of-Systems Approach (eVTOL and Seaplane Design)
by Michele Tuccillo and Manuela Ruocco
Eng. Proc. 2025, 90(1), 21; https://doi.org/10.3390/engproc2025090021 - 11 Mar 2025
Viewed by 1255
Abstract
A System-of-Systems (SoS) approach is characterized by a strong cooperation between multiple constituent systems to achieve the desired objectives; the performance of an SoS will therefore be dependent on the performance of its constituent systems. However, due to the large number of stakeholders [...] Read more.
A System-of-Systems (SoS) approach is characterized by a strong cooperation between multiple constituent systems to achieve the desired objectives; the performance of an SoS will therefore be dependent on the performance of its constituent systems. However, due to the large number of stakeholders involved in a general SoS scenario, it is not the case that designing and optimizing the constituent systems’ performance with respect to their local design variables will lead to the optimal performance of the given SoS. The aim of the present work is to describe how the design and optimization of two aerial platforms, an all-electric Vertical Take-Off and Landing vehicle and a multi-role hybrid-electric seaplane, will be carried out for a multimodal mobility scenario, accounting not only for the performance-based design requirements but also for needs of all the relevant actors identified in the scope of the proposed use case, illustrating their effects on the architecting of the multidisciplinary design process. This research demonstrates how a structured methodology for the integration of needs and requirements from multiple perspectives can improve the efficiency of the design process, strengthening the connection between the vehicle level and the System-of-Systems level. Full article
Show Figures

Figure 1

9 pages, 1446 KB  
Proceeding Paper
Advancing Sustainable Prototyping of Future Aircraft Cabin Designs Through Extended Reality Technologies
by Jessica Herzig, Fabian Reimer, Sebastian Cornelje, Jörn Biedermann and Björn Nagel
Eng. Proc. 2025, 90(1), 22; https://doi.org/10.3390/engproc2025090022 - 11 Mar 2025
Viewed by 1663
Abstract
This paper explores the virtual development of cabin concepts for hydrogen-powered aircraft, emphasizing sustainable, safe, and comfortable transport solutions. It examines how digital technologies can accelerate product development by involving engineers and other experts early in the design process. Specifically, the study focuses [...] Read more.
This paper explores the virtual development of cabin concepts for hydrogen-powered aircraft, emphasizing sustainable, safe, and comfortable transport solutions. It examines how digital technologies can accelerate product development by involving engineers and other experts early in the design process. Specifically, the study focuses on a Virtual Reality (VR) application that allows stakeholders to design, iterate, and evaluate 3D cabin concepts in real time, offering a flexible and scalable alternative to physical prototypes. The findings highlight the effectiveness of user-centered design approaches, such as immersive co-design in Extended Reality (XR), in enhancing collaboration and improving the efficiency and sustainability of integrating innovative design concepts within a virtual environment. Full article
Show Figures

Figure 1

9 pages, 623 KB  
Proceeding Paper
Validity of the Shear Panel Theory as a Reduced Modelling Approach
by Moritz Bäß and Kai-Uwe Schröder
Eng. Proc. 2025, 90(1), 23; https://doi.org/10.3390/engproc2025090023 - 11 Mar 2025
Cited by 2 | Viewed by 1005
Abstract
The increasing complexity of large-scale thin-walled structures can be handled by using a hierarchical modelling approach. However, in structural engineering a true preliminary design phase is frequently skipped, since reduced models are often either unavailable or unsuitable for the necessary degree of complexity. [...] Read more.
The increasing complexity of large-scale thin-walled structures can be handled by using a hierarchical modelling approach. However, in structural engineering a true preliminary design phase is frequently skipped, since reduced models are often either unavailable or unsuitable for the necessary degree of complexity. Before FEM became established, the shear panel theory was used to calculate thin-walled structures efficiently. While numerical finite element formulations of the shear panel theory have been compared to analytical solutions only, there has been limited review of the validity of the underlying assumptions and accuracy of the analytical model itself. The question arises of whether the shear panel theory provides a suitable reduced modelling approach. The aim of this work is to investigate the limitations of the shear panel theory within the preliminary design of thin-walled structures. An extensive parameter study using a detailed FEM model of a plane shear panel was conducted to compare the calculated stiffness and stress state with those of the analytical model. The models show different behaviour in stiffness and stress state for non-rectangular panels. This indicates that the assumptions of the shear panel theory violate the compatibility conditions between the shear panel and the surrounding stiffeners for non-rectangular panels. Full article
Show Figures

Figure 1

9 pages, 4755 KB  
Proceeding Paper
Assessing Uninstalled Hydrogen-Fuelled Retrofitted Turbofan Engine Performance
by Jarief Farabi, Christos Mourouzidis and Pericles Pilidis
Eng. Proc. 2025, 90(1), 24; https://doi.org/10.3390/engproc2025090024 - 12 Mar 2025
Viewed by 960
Abstract
Hydrogen as fuel in civil aviation gas turbines is promising due to its no-carbon content and higher net specific energy. For an entry-level market and cost-saving strategy, it is advisable to consider reusing existing engine components whenever possible and retrofitting existing engines with [...] Read more.
Hydrogen as fuel in civil aviation gas turbines is promising due to its no-carbon content and higher net specific energy. For an entry-level market and cost-saving strategy, it is advisable to consider reusing existing engine components whenever possible and retrofitting existing engines with hydrogen. Feasible strategies of retrofitting state-of-the-art Jet A-1 fuelled turbofan engines with hydrogen while applying minimum changes to hardware are considered in the present study. The findings demonstrate that hydrogen retrofitted engines can deliver advantages in terms of core temperature levels and efficiency. However, the engine operability assessment showed that retrofitting with minimum changes leads to a ~5% increase in the HP spool rotational speed for the same thrust at take-off, which poses an issue in terms of certification for the HP spool rotational speed overspeed margin. Full article
Show Figures

Figure 1

9 pages, 8450 KB  
Proceeding Paper
Non-Contact Non-Destructive Testing Methods for Large-Scale Carbon Fiber-Reinforced Polymer Aircraft Parts
by Daniella B. Deutz, Arnoud F. Bosch, Dion E. Baptista, Erik S. Veen, D. Jacco Platenkamp and H. Patrick Jansen
Eng. Proc. 2025, 90(1), 25; https://doi.org/10.3390/engproc2025090025 - 12 Mar 2025
Cited by 1 | Viewed by 1262
Abstract
Non-contact NDT methods that can provide fast, automated, in-line quality assurance information on the manufacturing and maintenance of large-scale, thin-walled aircraft parts are necessary for the implementation of thermoplastic CFRP in the next generation of aircraft. Infrared thermography (IRT) is a promising method [...] Read more.
Non-contact NDT methods that can provide fast, automated, in-line quality assurance information on the manufacturing and maintenance of large-scale, thin-walled aircraft parts are necessary for the implementation of thermoplastic CFRP in the next generation of aircraft. Infrared thermography (IRT) is a promising method to fill this gap. Here, the detection of flat bottom holes, inclusions, and interlaminar delaminations in fuselage skin is studied for two types of IRT and compared with ultrasound inspection. Unique to this work are three demonstrations of the potential of IRT to deliver a time-effective, automated inspection approach for large-scale, thin-walled thermoplastic CFRP aircraft parts. Full article
Show Figures

Figure 1

9 pages, 6008 KB  
Proceeding Paper
Toward Sustainable Space Exploration: Designing an AI-Powered Modular Toolbox for Future Planetary Exploration
by Wiebke Brinkmann, Moritz Schilling, Priyanka Chowdhury, Jonas Eisenmenger, Jonas Benz, Malte Langosz, Jieying Li, Erik Michelson, Mehmed Yüksel and Frank Kirchner
Eng. Proc. 2025, 90(1), 26; https://doi.org/10.3390/engproc2025090026 - 12 Mar 2025
Cited by 3 | Viewed by 1614
Abstract
The possibilities for using modular space robot systems are constantly growing. To provide individual solutions for the requirements of different missions, modular reconfigurable building blocks can be used. This paper presents the MODKOM toolbox, including both hardware and software, with the intention to [...] Read more.
The possibilities for using modular space robot systems are constantly growing. To provide individual solutions for the requirements of different missions, modular reconfigurable building blocks can be used. This paper presents the MODKOM toolbox, including both hardware and software, with the intention to provide reusable components for use in space applications. It is populated with newly developed hardware and software components and their inter-connections. A semantic graph database was used to build the fundamentals of the toolbox, and it enables ontology-based mission planning and reasoning. Some hardware components of the toolbox have already been successfully used for the construction of two different robot systems. Full article
Show Figures

Figure 1

9 pages, 3114 KB  
Proceeding Paper
Visual Navigation for Lunar Missions Using Sequential Triangulation Technique
by Abdurrahim Muratoglu, Halil Ersin Söken and Ozan Tekinalp
Eng. Proc. 2025, 90(1), 27; https://doi.org/10.3390/engproc2025090027 - 12 Mar 2025
Cited by 1 | Viewed by 1063
Abstract
A vision-aided autonomous navigation system for translunar missions based on celestial triangulation (Earth and Moon) is proposed. Line-of-Sight (LoS) vectors from the spacecraft to celestial bodies, retrieved using ephemeris data from the designed translunar trajectory, are used to simulate camera observations at unknown [...] Read more.
A vision-aided autonomous navigation system for translunar missions based on celestial triangulation (Earth and Moon) is proposed. Line-of-Sight (LoS) vectors from the spacecraft to celestial bodies, retrieved using ephemeris data from the designed translunar trajectory, are used to simulate camera observations at unknown locations. The resection problem of triangulation is employed to calculate the relative position of the spacecraft with respect to the observed bodies along the trajectory. The noisy LoS data are processed using the Extended Kalman Filter (EKF). Simulation results demonstrate that, starting from a random initial location, the proposed navigation system can be used for navigating translunar trajectories with the fast and accurate algorithm employed. Full article
Show Figures

Figure 1

9 pages, 553 KB  
Proceeding Paper
Exploring the Properties of Graphene-Based Transparent Electrodes for Space Solar Cell Application
by Francesco Cipriani, Maksim Shundalau and Patrizia Lamberti
Eng. Proc. 2025, 90(1), 28; https://doi.org/10.3390/engproc2025090028 - 12 Mar 2025
Cited by 4 | Viewed by 1354
Abstract
This review paper explores the properties of graphene-based transparent electrodes for space solar cell applications. The space environment is extreme due to high-energy radiation, high vacuum and alternating temperature, which are responsible for damaging the atomic structure of materials, and so it influences [...] Read more.
This review paper explores the properties of graphene-based transparent electrodes for space solar cell applications. The space environment is extreme due to high-energy radiation, high vacuum and alternating temperature, which are responsible for damaging the atomic structure of materials, and so it influences the performance of a device. In this context, using a physical description of graphene, we analyze its electrical and optical properties, like transmittance and sheet resistance, in order to obtain innovative transparent electrodes that can perform in extreme conditions. In this sense, graphene can be a good candidate for this kind of application. Full article
Show Figures

Figure 1

9 pages, 3998 KB  
Proceeding Paper
Automatic Detection of Defects Using Active Thermography
by Miguel Gómez and David Castro
Eng. Proc. 2025, 90(1), 29; https://doi.org/10.3390/engproc2025090029 - 12 Mar 2025
Cited by 1 | Viewed by 1810
Abstract
The increase in composite material waste from the aviation and wind energy sectors will become a significant environmental challenge in the near future. This escalation is attributed to the enhanced use of new, advanced composite materials, such as Glass Fiber Reinforced Polymer (GFRP). [...] Read more.
The increase in composite material waste from the aviation and wind energy sectors will become a significant environmental challenge in the near future. This escalation is attributed to the enhanced use of new, advanced composite materials, such as Glass Fiber Reinforced Polymer (GFRP). Despite their benefits, the disposal of these materials at their end-of-life poses considerable environmental and logistical challenges. Assessing the condition of these materials is thus pivotal to develop sustainable strategies for their recycling, reusing, or repurposing. This study investigates the use of Non-Destructive Testing (NDT) techniques, with a focus on Active Thermography, to evaluate GFRP components’ suitability for sustainable management without compromising the material integrity. This research highlights the use of Active Thermography for extensive, non-invasive inspections, due to its capability to inspect a large area quickly using external energy heating. It delves into Pulse Phase Thermography (PPT) and Principal Component Thermography (PCT), two advanced signal post-processing techniques, tested on GFRP materials with purposefully induced defects. Finally, an automated method based on the Signal-to-Noise Ratio (SNR) value is implemented for defect detection, with which defects of a 5 mm diameter and a 3 mm depth can be detected. The document elaborates on the theoretical principle of NDT, PPT, and PCT, details the experimental methodology and specimens, and analyzes the outcomes of employing these techniques, drawing comparisons between them. Full article
Show Figures

Figure 1

9 pages, 28507 KB  
Proceeding Paper
The Development of a Test Stand for Electric Fuel-Cell Turbocharger Integrity Testing—Part 2: Results
by Georgios Karakasis, Sebastian Kunze, Georgios Iosifidis and Anestis Kalfas
Eng. Proc. 2025, 90(1), 30; https://doi.org/10.3390/engproc2025090030 - 13 Mar 2025
Cited by 1 | Viewed by 1172
Abstract
This paper presents the results of a testbench regarding the effects of liquid water content in the turbine stage of a fuel-cell charging system. The testbench simulates the exhaust conditions of a PEM fuel cell to evaluate erosion potential in a single-stage aluminum [...] Read more.
This paper presents the results of a testbench regarding the effects of liquid water content in the turbine stage of a fuel-cell charging system. The testbench simulates the exhaust conditions of a PEM fuel cell to evaluate erosion potential in a single-stage aluminum turbine and assess the effectiveness of liquid water separators. Key factors such as changes in turbine geometry and performance were analyzed. Erosion influence to low-cycle fatigue potential is assessed via eigenfrequency measurements. Turbine stage-efficiency measurements are used to calculate the thermodynamic impact of erosion. Three-dimensional scanning, eigenfrequency measurements, and performance map calculations showed a 5.4% crater-to-blade thickness change, <0.6% frequency shift, and finally, a <0.1% change in efficiency, indicating that erosion remained at the incubation stage. Centrifugal separators showed superior performance compared to mesh types. The hardest aspect of the work was to minimize measurement error. Full article
Show Figures

Figure 1

9 pages, 2861 KB  
Proceeding Paper
Application of a Fiber Optic-Based SHM System to a Composite Aircraft Wing and Its Technological Maturity Evaluation
by Gianvito Apuleo, Monica Ciminello, Lorenzo Pellone, Umberto Mercurio and Antonio Concilio
Eng. Proc. 2025, 90(1), 31; https://doi.org/10.3390/engproc2025090031 - 13 Mar 2025
Cited by 3 | Viewed by 1570
Abstract
This paper deals with the application of a novel fiber optic SHM system for bonding lines monitoring of a composite aircraft wing within Clean Sky 2 program framework. With the aim of controlling the structural state of the reference component, several targets may [...] Read more.
This paper deals with the application of a novel fiber optic SHM system for bonding lines monitoring of a composite aircraft wing within Clean Sky 2 program framework. With the aim of controlling the structural state of the reference component, several targets may be addressed, including safety increase through a periodic update of the integrity level, maintenance costs reduction, for instance, by moving to an on-demand from the usual scheduled approach, and even design benefits by envisaging the possibility of modulating the safety coefficients due to an increased knowledge of the intimate structural system behavior. Specifically, an original SHM architecture is herein presented, based on the use of distributed optical fibers, and implementing a proprietary algorithm, to detect bonding lines damage. Ground testing with a full-scale wing box successfully validated the system’s capability to identify damage. To assess maturity, a TRL evaluation has been carried out, whose results are summarized and discussed. Such a process allowed us to highlight specific areas for technological improvement, such as modeling-testing synergy and operational environment definition. The work herein reported is expected to address these aspects while achieving full-scale aircraft integration, paving the way for enhanced structural robustness and operational safety in future aircraft. Full article
Show Figures

Figure 1

9 pages, 2027 KB  
Proceeding Paper
Use of Bayesian Networks to Understand Sustainability Requirements
by Andrea Spinelli and Timoleon Kipouros
Eng. Proc. 2025, 90(1), 32; https://doi.org/10.3390/engproc2025090032 - 13 Mar 2025
Cited by 1 | Viewed by 916
Abstract
Sustainability is a key requirement in contemporary engineering design, but it is difficult to quantify due to its multidimensionality. We propose the application of Bayesian Networks for modeling the cause and effect of engineering systems and their environment. Emphasis is placed on capturing [...] Read more.
Sustainability is a key requirement in contemporary engineering design, but it is difficult to quantify due to its multidimensionality. We propose the application of Bayesian Networks for modeling the cause and effect of engineering systems and their environment. Emphasis is placed on capturing the impact on sustainability indicators of design decisions. These include the performance of the system, its economic viability in terms of cost, and its environmental and societal impacts. The method leverages data from simulation models, enabling the designer to perform assumption-free inferences on the variables at play. Full article
Show Figures

Figure 1

9 pages, 5376 KB  
Proceeding Paper
Extensible Hook System for Rendezvous and Docking of a CubeSat Swarm
by Carlos Pérez-del-Pulgar, Antonio López Palomeque, Jesús Juli and Matteo Madi
Eng. Proc. 2025, 90(1), 33; https://doi.org/10.3390/engproc2025090033 - 13 Mar 2025
Cited by 1 | Viewed by 828
Abstract
Deployment of CubeSat swarms is proposed for various missions necessitating cooperative interactions among satellites. Commonly, the cube swarm requires formation flight and even rendezvous and docking, which are very challenging tasks since they require more energy and the use of advanced guidance, navigation, [...] Read more.
Deployment of CubeSat swarms is proposed for various missions necessitating cooperative interactions among satellites. Commonly, the cube swarm requires formation flight and even rendezvous and docking, which are very challenging tasks since they require more energy and the use of advanced guidance, navigation, and control techniques. In this paper, we propose the use of an extensible hook system and its corresponding GNC architecture to mitigate these drawbacks, i.e., it allows for saving fuel and reduces system complexity by including techniques that have been previously demonstrated on Earth. This system is based on a scissor boom structure, which could reach up to five meters for a 4U CubeSat dimension, including three degrees of freedom to place the end effector at any pose within the system workspace. We simulated the dynamic behavior of a CubeSat with the proposed system, demonstrating that the required power for a 16U CubeSat equipped with one extensible hook system is considered acceptable according to the current state-of-the-art actuators. Full article
Show Figures

Figure 1

9 pages, 4387 KB  
Proceeding Paper
Designing and Testing of HDPE–N2O Hybrid Rocket Engine
by Triyan Pal Arora, Noah Buttrey, Peter Kirman, Sanmukh Khadtare, Eeshaan Kamath, Dario del Gatto and Adriano Isoldi
Eng. Proc. 2025, 90(1), 34; https://doi.org/10.3390/engproc2025090034 - 13 Mar 2025
Cited by 1 | Viewed by 2985
Abstract
Hybrid Rocket Engines (HREs) combine the advantages of solid and liquid propellants, offering thrust control, simplicity, safety, and cost efficiency. Part of the research on this rocket architecture focuses on optimising combustion chamber design to enhance performance, a process traditionally reliant on time-consuming [...] Read more.
Hybrid Rocket Engines (HREs) combine the advantages of solid and liquid propellants, offering thrust control, simplicity, safety, and cost efficiency. Part of the research on this rocket architecture focuses on optimising combustion chamber design to enhance performance, a process traditionally reliant on time-consuming experimental adjustments to chamber lengths. In this study, two configurations of HREs were designed and tested. The tests aimed to study the impact of post-chamber lengths on rocket engine performance by experimental firings on a laid-back test engine. This study focused on designing, manufacturing, and testing a laid-back hybrid engine with two chamber configurations. The engine features a small combustion chamber, an L-shaped mount, a spark ignition, and nitrogen purging. Data acquisition includes thermocouples, pressure transducers, and a load cell for thrust measurement. Our experimental findings provide insights into thrust, temperature gradients, pressure, and plume characteristics. A non-linear regression model derived from the experimental data established an empirical relationship between performance and chamber lengths, offering a foundation for further combustion flow studies. The post-chamber length positively impacted the engine thrust performance by 2.7%. Conversely, the pre-chamber length negatively impacted the performance by 1.3%. Further data collection could assist in refining the empirical relation and identifying key threshold values. Full article
Show Figures

Figure 1

10 pages, 3964 KB  
Proceeding Paper
Thermal Interaction of Mobile Ground Systems with Boulders on the Lunar Surface
by Joel Guetzlaff, Philipp Reiss and Markus Czupalla
Eng. Proc. 2025, 90(1), 35; https://doi.org/10.3390/engproc2025090035 - 13 Mar 2025
Viewed by 684
Abstract
The paper at hand evaluates the necessity of depicting topographic features like boulders on the lunar environment in thermal analyses for a size of up to 6.5 m in diameter. The question regarding the thermal influence becomes relevant when analysing a technical system [...] Read more.
The paper at hand evaluates the necessity of depicting topographic features like boulders on the lunar environment in thermal analyses for a size of up to 6.5 m in diameter. The question regarding the thermal influence becomes relevant when analysing a technical system within the lunar environment. This influence on the thermal behaviour of a test object is investigated in sensitivity studies. It is shown that the local surroundings can significantly alter a system’s net heat flux and can lead to overheating or critically cooling down instead of theoretically surviving when not considering local topographic features. Especially for small and lightweight systems ≤20 kg, like micro rovers, the effect of the surrounding on the system’s temperature becomes critical due to the low thermal capacity. Thus, it is a substantial aspect to be accounted for during the design phase as well as in mission operation. Full article
Show Figures

Figure 1

9 pages, 2536 KB  
Proceeding Paper
Integrated Power and Thermal Management System in a Parallel Hybrid-Electric Aircraft: An Exploration of Passive and Active Cooling and Temperature Control
by Zeyu Ouyang, Theoklis Nikolaidis, Soheil Jafari and Evangelia Pontika
Eng. Proc. 2025, 90(1), 36; https://doi.org/10.3390/engproc2025090036 - 13 Mar 2025
Viewed by 2101
Abstract
Hybrid-electric aircraft (HEAs) represent a promising solution for reducing fuel consumption and emissions. However, the additional heat loads generated by the electrical propulsion systems in HEAs can diminish these benefits. To address this, an integrated power and thermal management system (IPTMS) is essential [...] Read more.
Hybrid-electric aircraft (HEAs) represent a promising solution for reducing fuel consumption and emissions. However, the additional heat loads generated by the electrical propulsion systems in HEAs can diminish these benefits. To address this, an integrated power and thermal management system (IPTMS) is essential to mitigate these challenges by optimizing the interaction between thermal management and power management. This paper presents a preliminary IPTMS design for a parallel HEA operating under International Standard Atmosphere (ISA) conditions. The design includes an evaluation of active cooling, passive cooling, and active temperature control strategies. The IPTMS accounts for heat loads from the engine system, including the generators, shaft bearings, and power gearboxes, as well as from the electrical propulsion system, such as motors, batteries, converters, and the electric bus. This study investigates the impact of battery power (BP) contribution to cooling power on required coolant pump power and induced ram air drag. A comparison of IPTMS performance under 0% and 100% BP conditions revealed that the magnitude of battery power contribution to cooling power does not significantly impact the thermal management system (TMS) performance due to the large disparity between the total battery power (maximum 950 kW) and the required cooling power (maximum 443 W). Additionally, it was determined that the motor-inverter loop accounts for 95% of the pump power and 97% of the ram air drag. These findings suggest that IPTMS optimization should prioritize the thermal domain, particularly the motor-inverter loop. This study provides new insights into IPTMS design for HEAs, paving the way for further exploration of IPTMS performance under various operating conditions and refinement of cooling strategies. Full article
Show Figures

Figure 1

9 pages, 789 KB  
Proceeding Paper
Battery Technologies for Use in Aviation: Classification, Temporal Evolution and Future Prospects
by María Zamarreño Suárez, Francisco Pérez Moreno, Raquel Delgado-Aguilera Jurado, César Gómez Arnaldo and Víctor Fernando Gómez Comendador
Eng. Proc. 2025, 90(1), 37; https://doi.org/10.3390/engproc2025090037 - 13 Mar 2025
Cited by 1 | Viewed by 2574
Abstract
Sustainability is one of the main concerns of the aviation industry nowadays, as it strives to reduce emissions and noise, both from flight operations and in the airport environment. Batteries are a promising technology for meeting these challenges. From a sustainable aviation perspective, [...] Read more.
Sustainability is one of the main concerns of the aviation industry nowadays, as it strives to reduce emissions and noise, both from flight operations and in the airport environment. Batteries are a promising technology for meeting these challenges. From a sustainable aviation perspective, they can be used as the main power source for all-electric aircraft, but also to support other technologies in hybrid-electric aircraft. To scale up this technology, it is of great interest to classify and evaluate the different battery options, not only currently available, but also with a view to future developments. This work presents the main keywords related to the use of batteries in aviation. It then explains the classification of batteries developed in the framework of the Environmentally Friendly Aviation for All Classes of Aircraft (EFACA) project, together with the main results of an analysis of each battery type in terms of its current status and its potential for future development. Full article
Show Figures

Figure 1

9 pages, 3001 KB  
Proceeding Paper
The Weight Minimization of a UAV Wing Component Through Structural Optimization
by Andreas Psarros and Georgios Savaidis
Eng. Proc. 2025, 90(1), 38; https://doi.org/10.3390/engproc2025090038 - 14 Mar 2025
Cited by 1 | Viewed by 2914
Abstract
This study focuses on the structural optimization of a composite wing element for an unmanned aerial vehicle. The finite element method is utilized for sizing, and analysis parameters are chosen to obtain accurate results with a minimum simulation time. Acceleration loads are imposed [...] Read more.
This study focuses on the structural optimization of a composite wing element for an unmanned aerial vehicle. The finite element method is utilized for sizing, and analysis parameters are chosen to obtain accurate results with a minimum simulation time. Acceleration loads are imposed on the model in combination with pressure loads, which are extracted from CFD simulations. At the optimization stage, the thickness and orientation of each critical layer are described as design variables. The main goal is weight minimization, considering both the strength and the stiffness of the structure. Strength is described by the failure index parameter and stiffness is described by critical deflections, which affect the aerodynamic performance of the vehicle. Results include thickness and failure index distribution over the surfaces, as well as the overall deflection of the structure. Full article
Show Figures

Figure 1

9 pages, 887 KB  
Proceeding Paper
Lithium-Based Batteries in Aircraft
by Musab Hammas Khan, Vincenzo Tucci, Patrizia Lamberti, Raffaele Longo and Liberata Guadagno
Eng. Proc. 2025, 90(1), 39; https://doi.org/10.3390/engproc2025090039 - 14 Mar 2025
Cited by 3 | Viewed by 12805
Abstract
This paper delves into the present situation, challenges, and possible prospects of electrical energy storage systems in the aviation industry, specifically focusing on hybrid electric aircraft and their service industries. The use of energy storage systems in the aviation industry has been the [...] Read more.
This paper delves into the present situation, challenges, and possible prospects of electrical energy storage systems in the aviation industry, specifically focusing on hybrid electric aircraft and their service industries. The use of energy storage systems in the aviation industry has been the subject of a thorough literature analysis spanning the last ten years. Moreover, adapting current technological solutions from other transport sectors, such as automotive and naval, to the aviation sector presents a complex challenge, particularly when considering the typical phenomenon of thermal runaway. This study focuses on the promising behavior of lithium-based batteries among various battery technologies in the aircraft sector. Based on data gathered from completed and ongoing electric and hybrid aircraft projects, this study deals with the suitability of many different types of lithium-based batteries for use in airplanes, including lithium–sulfur, lithium–air, lithium-polymer, and lithium-ion batteries. Full article
Show Figures

Figure 1

9 pages, 4843 KB  
Proceeding Paper
Multi-System Modeling Challenges for Integration of Parts for Increased Sustainability of Next Generation Aircraft
by Johan Kos, Marie Moghadasi, Tim Koenis, Bram Noordman, Ozan Erartsin and Ruben Nahuis
Eng. Proc. 2025, 90(1), 40; https://doi.org/10.3390/engproc2025090040 - 14 Mar 2025
Viewed by 723
Abstract
Innovative structures technologies can contribute to increasing the sustainability of next-generation aircraft. Advanced multi-disciplinary physics models, combined with data-based models, are needed to obtain optimized structures with maximum contributions to sustainability throughout the life cycle. Such models are needed for next-generation aircraft products, [...] Read more.
Innovative structures technologies can contribute to increasing the sustainability of next-generation aircraft. Advanced multi-disciplinary physics models, combined with data-based models, are needed to obtain optimized structures with maximum contributions to sustainability throughout the life cycle. Such models are needed for next-generation aircraft products, for better production of their parts, and for representative testing of their innovative systems. Modeling challenges addressed recently will be presented and illustrated in their industrial context. In particular, fast in-line detection of defects in large composite aircraft parts during their high-rate production, induction welding of thermoplastic carbon-fiber reinforced parts, and accurate design of composite fan blades for wind tunnel testing of fuel-efficient Ultra-High Bypass Ratio (UHBR) turbofan engines will be presented. Full article
Show Figures

Figure 1

9 pages, 911 KB  
Proceeding Paper
A Generic Approach for Safety Assessment of Medium-Risk Drones
by Pierre Bieber, Kevin Delmas, Sergio Pizziol, Tatiana Prosvirnova and Christel Seguin
Eng. Proc. 2025, 90(1), 41; https://doi.org/10.3390/engproc2025090041 - 14 Mar 2025
Cited by 2 | Viewed by 1427
Abstract
ONERA developed a generic approach to assess the safety of Medium-Risk drones according to current EU regulations. The approach is based on a four-layer model that describes the safety policy, fault detection and mitigation procedures, and functional and hardware architectures. The layers can [...] Read more.
ONERA developed a generic approach to assess the safety of Medium-Risk drones according to current EU regulations. The approach is based on a four-layer model that describes the safety policy, fault detection and mitigation procedures, and functional and hardware architectures. The layers can be progressively plugged together in order to perform various safety assessments as required by the regulation. The approach is supported by the AltaRica language and associated tools. Full article
Show Figures

Figure 1

9 pages, 228 KB  
Proceeding Paper
Beyond Mitigation: New Metrics for Space Sustainability Assessment
by Sara Qaddoumi, Ernestina Cianca, Mauro De Sanctis, Tommaso Rossi, Kathiravan Thangavel and Marina Ruggieri
Eng. Proc. 2025, 90(1), 42; https://doi.org/10.3390/engproc2025090042 - 14 Mar 2025
Cited by 1 | Viewed by 1210
Abstract
The escalating volume of space operations and the proliferation of satellites underscore the urgent need for a pivotal shift towards sustainable space use. This paper highlights the importance of addressing space sustainability through a holistic framework. Robust international commitments, aligned with the United [...] Read more.
The escalating volume of space operations and the proliferation of satellites underscore the urgent need for a pivotal shift towards sustainable space use. This paper highlights the importance of addressing space sustainability through a holistic framework. Robust international commitments, aligned with the United Nations Sustainable Development Goals (SDGs) 12 (Responsible Consumption and Production) and 13 (Climate Action), alongside the implementation of legislative measures, are essential for fostering responsible and sustainable practices in space activities. Furthermore, innovative technology advancements can potentially convert this space sustainability problem into an opportunity for the space sector. Mitigating the risk of debris is no longer sufficient. This article advocates for prioritizing sustainability in the design phase of the new missions and constellations. To achieve this objective, it is crucial to develop a comprehensive understanding of how various design parameters—such as orbital altitude, the number of satellites, the inclusion or exclusion of inter-satellite links, system interoperability, and reconfigurability—impact the sustainability of space systems. Hence, the investigation suggests creating innovative Key Performance Indicators (KPIs) that specifically target space sustainability. These KPIs would enable the evaluation of specific missions/constellations and the comparison of different design alternatives. The absence of current research on these KPIs requires the creation of new ones. This research introduces a preliminary framework for establishing these novel metrics, which can be vital for governments and companies to develop and oversee a sustainable future in space. By implementing a holistic strategy combining robust policy frameworks with cutting-edge technology solutions, we can guarantee the ongoing, secure, and environmentally responsible space utilization for future generations. Full article
8 pages, 506 KB  
Proceeding Paper
Analysis of Safety Metrics Supporting Air Traffic Management Risk Models
by Angela Errico, Lidia Travascio and Angela Vozella
Eng. Proc. 2025, 90(1), 43; https://doi.org/10.3390/engproc2025090043 - 14 Mar 2025
Cited by 2 | Viewed by 2071
Abstract
This paper provides a study on safety metrics that are used to describe the airspace and identified as important factors influencing and characterizing the safety in airspace considering the traffic of aircraft in different flight phases. Different capabilities, frequently monitored, support the safety [...] Read more.
This paper provides a study on safety metrics that are used to describe the airspace and identified as important factors influencing and characterizing the safety in airspace considering the traffic of aircraft in different flight phases. Different capabilities, frequently monitored, support the safety warning systems for the airspace, where precursory metrics within the barrier model presented by EUROCONTROL indicate the stages in the evolution of a possible barrier violation, triggering actions by Air Traffic Control and collaborative decision-making when airspace is degrading in terms of safety. The identified metrics have been analyzed, taking into account the overall scenario of aircraft evolution in an air traffic sector related to the intrinsic characteristics of airspace. A case study is presented related to separation minima infringements, and it addresses safety metrics based on the different tactic geometries in en-route ATM. Full article
Show Figures

Figure 1

10 pages, 9680 KB  
Proceeding Paper
Prediction-Based Tip-Over Prevention for Planetary Exploration Rovers
by Siddhant Shete, Raúl Domínguez, Ravisankar Selvaraju, Mariela De Lucas Álvarez and Frank Kirchner
Eng. Proc. 2025, 90(1), 44; https://doi.org/10.3390/engproc2025090044 - 14 Mar 2025
Cited by 1 | Viewed by 1258
Abstract
This study presents a deep learning-based prediction system with an elevated approach to prevent tip-over incidents on planetary exploration rovers, enhancing their operational safety and reliability. Planetary rovers, critical for space exploration missions, must navigate through uneven surfaces and terrains with undefined interaction [...] Read more.
This study presents a deep learning-based prediction system with an elevated approach to prevent tip-over incidents on planetary exploration rovers, enhancing their operational safety and reliability. Planetary rovers, critical for space exploration missions, must navigate through uneven surfaces and terrains with undefined interaction properties. Future planetary rovers must navigate harsher terrains, like steep craters and caves, to access critical scientific data, significantly risking tip-over in any state of operational control. The proposed system employs linear accelerations and angular velocities measured by the accelerometer and the gyroscope of the Inertial Measurements Unit (IMU) to monitor the rover’s dynamic behavior and stability while navigating the environment. By leveraging deep learning algorithms, the system evaluates predictions and true measurements in real time to identify potential tip-overs. Additionally, the system provides the possibility to adjust the rover’s motion to prevent failure. The efficacy of this prediction-based approach is validated through simulations and field tests on two robotic platforms, the Asguard v4 and Coyote 3 rovers, demonstrating its capability to reduce the incidence of tip-overs under various challenging conditions. The integration of this system aims to extend the operational lifespan of rovers, optimize mission outcomes, and enhance the overall safety of planetary exploration missions. Full article
Show Figures

Figure 1

10 pages, 2733 KB  
Proceeding Paper
Development of a Heat Transfer Model for a Free Double Piston and Identification of Thermal Management Challenges
by Konstantinos Fotis, Zinon Vlahostergios, Dimitrios Misirlis and Kyros Yakinthos
Eng. Proc. 2025, 90(1), 45; https://doi.org/10.3390/engproc2025090045 - 14 Mar 2025
Cited by 1 | Viewed by 1094
Abstract
The Free Double-Piston Composite Cycle Engine (FDP-CCE) integrates the turbofan engine architecture with the characteristics of piston engines with the aim of improving engine efficiency and decreasing CO2 emissions. The FDP-CCE features a free-piston design, providing a lighter and more compact structure [...] Read more.
The Free Double-Piston Composite Cycle Engine (FDP-CCE) integrates the turbofan engine architecture with the characteristics of piston engines with the aim of improving engine efficiency and decreasing CO2 emissions. The FDP-CCE features a free-piston design, providing a lighter and more compact structure compared to conventional crankshaft-connected piston engines due to the elimination of mechanical transmissions and lubrication systems. Innovations like air lubrication and increased piston velocities contribute to higher cylinder temperatures, underscoring the need for advanced thermal management strategies. For this reason, in the present work, a heat transfer model to address the thermal management challenges in this innovative engine design is developed. More specifically, a novel filling–discharge model for a two-stroke compression ignition engine is developed, dividing the operational cycle into phases handled by the piston engine and the piston compressor. Special emphasis is given to the implementation of various geometric zones for each piston to optimize the heat transfer between the combustion chamber and the cylinder walls and heads. The final step of this research work involves the integration of piston temperatures into the boundary conditions of an equivalent computational domain to conduct a detailed heat transfer and fluid flow analysis around and on the FDP cylinder. By focusing on these critical aspects, this study establishes a fundamental framework for future aeroengine designs, promoting sustainable propulsion solutions with reduced fuel consumption and emissions. Full article
Show Figures

Figure 1

9 pages, 2205 KB  
Proceeding Paper
A Holistic Integral Safety Assurance Approach to Aircraft Digital System Development Process
by Loris Dal Lago and Janet J. Liu
Eng. Proc. 2025, 90(1), 46; https://doi.org/10.3390/engproc2025090046 - 14 Mar 2025
Viewed by 865
Abstract
The maturation of system engineering practices to support the regulatory landscape and handle novel application domains, such as hybrid-electric distribution systems, calls for new ways to support development assurance objectives and end-to-end safety. In this paper, we build on the concept of a [...] Read more.
The maturation of system engineering practices to support the regulatory landscape and handle novel application domains, such as hybrid-electric distribution systems, calls for new ways to support development assurance objectives and end-to-end safety. In this paper, we build on the concept of a knowledge base of safety assurance methods to guide users in framing the problem space and discover existing and novel digital solutions to tackle safety assurance challenges. The proposed approach offers users with different skills, roles, objectives and experience ways to identify relevant use case solutions for traditional and novel aerospace applications. Full article
Show Figures

Figure 1

9 pages, 2621 KB  
Proceeding Paper
A Parametric Comparison of JARUS SORA 2.0 and 2.5 Ground Risk Models
by Alejandro del Estal Herrero, Nathanel Apter and Stefan Hristozov
Eng. Proc. 2025, 90(1), 47; https://doi.org/10.3390/engproc2025090047 - 14 Mar 2025
Cited by 2 | Viewed by 5580
Abstract
This paper provides a comparative analysis of the Joint Authorities for Rulemaking of Unmanned Systems (JARUS)’ Specific Operations Risk Assessment (SORA) ground risk model, between Version 2.0 and Version 2.5, focusing on differences and similarities. SORA, a methodology for risk assessment and conformity [...] Read more.
This paper provides a comparative analysis of the Joint Authorities for Rulemaking of Unmanned Systems (JARUS)’ Specific Operations Risk Assessment (SORA) ground risk model, between Version 2.0 and Version 2.5, focusing on differences and similarities. SORA, a methodology for risk assessment and conformity evaluation developed by JARUS, has been widely adopted across various regions, including Australia, Canada, the European Union, and others. The study delves into the variations in risk assessment outcomes concerning intrinsic and final Ground Risk Class, elucidating their implications for different categories of Unmanned Aircraft Systems (UASs). Key paradigm shifts between SORA 2.0 and 2.5 affecting Ground Risk assessment are outlined, as follows: (1) Introduction of quantitative analysis based on precise population density for determining intrinsic Ground Risk Class. (2) Incorporation of Visual Line of Sight (VLOS) from the remote pilot as a mitigation measure, coupled with a stricter definition of VLOS as visual ground control. (3) Enhanced differentiation among UAS sizes. Furthermore, the paper underscores the implications of these changes on original equipment manufacturers (OEM) and operators. By referencing standard industry operations, the analysis sheds light on how modifications in the SORA methodology impact UAS operations and regulatory compliance. Overall, this comparative analysis provides valuable insights into the evolution of the SORA ground risk model, facilitating a deeper understanding of its application in UAS operations and regulatory frameworks globally. Full article
Show Figures

Figure 1

9 pages, 1074 KB  
Proceeding Paper
Novel Modeling Methodology for Thermal Evaluation of an Electrically Assisted High-Speed Turbomachine
by Georgios S. Arvithis, Georgios Iosifidis, Roberto DeSantis, Martin Rode, Raphael Burgmair and Anestis I. Kalfas
Eng. Proc. 2025, 90(1), 48; https://doi.org/10.3390/engproc2025090048 - 14 Mar 2025
Cited by 1 | Viewed by 1378
Abstract
Hydrogen-based fuel-cell systems are a promising technology for reducing carbon footprint in the portfolio of future propulsion system concepts for small-range and regional aircraft In order to increase efficiency, the application of a turbo-charged air supply, using a compressor stage, a turbine stage, [...] Read more.
Hydrogen-based fuel-cell systems are a promising technology for reducing carbon footprint in the portfolio of future propulsion system concepts for small-range and regional aircraft In order to increase efficiency, the application of a turbo-charged air supply, using a compressor stage, a turbine stage, and an electric motor, has proven to be beneficial. This paper explores the thermal management aspects of a pioneering Electrified Turbo Charger designed for fuel-cell applications. A novel approach employing gas-cooling for the electric machine is investigated through simulation using an adiabatic Computational Fluid Dynamics (CFD) model. Bulk-flow-based Heat Transfer Coefficients (BHTCs) and temperatures are extracted from the CFD Analysis and serve as boundary conditions in a Solid Thermal model. Additionally, a 3D transient electromagnetic analysis is employed to assess losses in various components of the machine, which are then integrated into the 3D Solid Thermal Model. Initial evaluation of the temperature distribution is conducted, and subsequent analysis highlights uncertainties inherent in this methodology. Full article
Show Figures

Figure 1

9 pages, 1645 KB  
Proceeding Paper
Assessing Nacelle Drag Increment: Implications of New Engine Technologies on Aircraft Performance
by Odysseas Ziogas, Spyridon Antoniou, Pericles Panagiotou and Kyros Yakinthos
Eng. Proc. 2025, 90(1), 49; https://doi.org/10.3390/engproc2025090049 - 14 Mar 2025
Cited by 1 | Viewed by 1848
Abstract
Τhe Horizon Europe and UKRI-funded MINIMAL project (no. 101056863) aims to develop climate-friendly Composite Cycle Engine (CCE) designs. This study assesses aerodynamic drag increments from new engine installations and their impact on aircraft performance through the development and the utilization of an analytical [...] Read more.
Τhe Horizon Europe and UKRI-funded MINIMAL project (no. 101056863) aims to develop climate-friendly Composite Cycle Engine (CCE) designs. This study assesses aerodynamic drag increments from new engine installations and their impact on aircraft performance through the development and the utilization of an analytical tool designed to conduct trade studies for estimating the interference drag and drag increment resulting from engine installations. This specialized analytical tool evaluates interference drag due to variations in engine position and size across three reference aircraft (short-range, medium-range, and long-range). Tool results are validated with NASA and ONERA benchmarks, demonstrating good accuracy in predicting aerodynamic impacts. Findings show a 10–15% drag increase from engine installation, offering a reliable approach to optimizing engine integration, ultimately supporting enhanced aircraft efficiency and sustainability. Full article
Show Figures

Figure 1

9 pages, 2207 KB  
Proceeding Paper
Installation Effects of Supersonic Inlets on Next-Generation SST Turbofan Engines
by Stylianos Adamidis, Dario Del Gatto, Christos Mourouzidis, Stephen Brown and Vassilios Pachidis
Eng. Proc. 2025, 90(1), 50; https://doi.org/10.3390/engproc2025090050 - 14 Mar 2025
Viewed by 1605
Abstract
This study explores inlet-related installation effects on next-generation SST aircraft, focusing on supersonic business jets. Using a comprehensive framework with consistent thrust/drag bookkeeping and realistic modeling of inlet losses, including operational limits for “buzz” and distortions, the inlet drag accounts for 8.8% to [...] Read more.
This study explores inlet-related installation effects on next-generation SST aircraft, focusing on supersonic business jets. Using a comprehensive framework with consistent thrust/drag bookkeeping and realistic modeling of inlet losses, including operational limits for “buzz” and distortions, the inlet drag accounts for 8.8% to 14.2% of the installed net thrust during the supersonic segment of the mission. Variable airflow control technology is assessed, with a scheduling methodology developed to optimize the inlet operation by minimizing the installed SFC. The results show that this technology improves the installed SFC by 0.80% during supersonic cruise, enhancing the overall propulsion system performance. Full article
Show Figures

Figure 1

7 pages, 2782 KB  
Proceeding Paper
Experimental Evaluation of Mechanical Properties in Transmission Mechanisms of Electromechanical Actuators
by Matteo Bertone, Edoardo Briano, Paolo Maggiore and Matteo D. L. Dalla Vedova
Eng. Proc. 2025, 90(1), 51; https://doi.org/10.3390/engproc2025090051 - 14 Mar 2025
Cited by 1 | Viewed by 811
Abstract
The application of electromechanical actuators (EMAs) is experiencing significant growth across various industrial sectors, including the aerospace industry. This shift involves a transition from hydraulic to electric actuation, which promises to reduce the overall weight of aircraft while increasing system efficiency. However, the [...] Read more.
The application of electromechanical actuators (EMAs) is experiencing significant growth across various industrial sectors, including the aerospace industry. This shift involves a transition from hydraulic to electric actuation, which promises to reduce the overall weight of aircraft while increasing system efficiency. However, the use of EMAs is currently limited to non-safety-critical functions due to the still limited understanding of their behavior. Accurate mathematical models are essential for analyzing their operation and interaction within complex systems. This study aims to present a methodology for simulating the behavior of motion transmission components under loads in static conditions. To achieve this, experimental data were collected from an existing test bench designed to enhance the elastoplastic effects within the motion transmission system. Preliminary analysis of these data enabled modifications to the model’s architecture to incorporate the compliance of the mechanical line. Subsequent fine-tuning of the parameters improved the correspondence with the real system’s response. The results indicate that the refined model could accurately simulate the behavior of electromechanical actuators under the specified conditions, providing a valuable tool for the design and optimization of these systems in industrial applications. Future work will focus on extending this methodology to dynamic conditions and validating the model against a wider range of operational scenarios. Full article
Show Figures

Figure 1

8 pages, 1532 KB  
Proceeding Paper
Efficient Unmanned Aerial Vehicle Design: Automated Computational Fluid Dynamics Preprocessing from Geometry to Simulation
by Chris Pliakos, Giorgos Efrem, Thomas Dimopoulos and Pericles Panagiotou
Eng. Proc. 2025, 90(1), 52; https://doi.org/10.3390/engproc2025090052 - 14 Mar 2025
Viewed by 2320
Abstract
Current trends in the aerospace and UAV sectors emphasize integrating Artificial Intelligence (AI) technologies into the design process. AI technologies necessitate extensive data to capture the non-linearities in fluid phenomena. To address these needs, this work focuses on automating the data aggregation process [...] Read more.
Current trends in the aerospace and UAV sectors emphasize integrating Artificial Intelligence (AI) technologies into the design process. AI technologies necessitate extensive data to capture the non-linearities in fluid phenomena. To address these needs, this work focuses on automating the data aggregation process for fixed-wing platforms, ranging from Micro–Mini to HALE-Strike UAVs, as classified by NATO. Specifically, this paper presents a framework for automating the tedious tasks required for geometry generation, mesh generation, and solution setup in a commercial Computational Fluid Dynamics (CFD) solver, for any arbitrary wing within the aforementioned design space. By combining various well-established open-source suites and commercial software via Python scripting, the preprocessing steps up to the solution require only a few minutes on a typical laptop workspace. Despite the rapid geometry acquisition, mesh generation, and solution setup through the pipeline, the guidelines and common practices for subsonic external flow simulations are still strictly followed. This results in solutions with a deviation of merely sub 5% from those of an experienced designer, even for the extremes of the flight envelope. The proposed framework significantly reduces design iteration times, enabling more efficient and innovative UAV development. Additionally, the framework’s ability to accumulate high-quality data for machine learning enhances predictive modeling and optimization capabilities across UAV design practices. Full article
Show Figures

Figure 1

9 pages, 11684 KB  
Proceeding Paper
Innovative Monitoring for Aeronautical Application Through Augmented Reality
by Antonio Costantino Marceddu, Alessandro Aimasso, Matteo Bertone, Paolo Maggiore, Matteo Davide Lorenzo Dalla Vedova and Bartolomeo Montrucchio
Eng. Proc. 2025, 90(1), 53; https://doi.org/10.3390/engproc2025090053 - 14 Mar 2025
Cited by 2 | Viewed by 828
Abstract
The technologies grouped under the term Extended Reality (XR) are constantly evolving. Only fifty years ago, they were delegated to the science fiction strand and were not feasible except in the distant future; today, they are successfully used for personnel training, diagnostic maintenance, [...] Read more.
The technologies grouped under the term Extended Reality (XR) are constantly evolving. Only fifty years ago, they were delegated to the science fiction strand and were not feasible except in the distant future; today, they are successfully used for personnel training, diagnostic maintenance, education, and more. This article focuses on one such technology: Augmented Reality (AR). In particular, it aims to present an improvement of a software created to monitor the values of Fiber Bragg Grating (FBG) sensors for aeronautical applications. The ability to overlay the status of various network-connected smart elements allows the operator to evaluate actual conditions in a highly intuitive and seamless manner, thus accelerating various activities. It was evaluated in a controlled environment to perform strain and temperature measurements of an Unmanned Aerial Vehicle (UAV), where it demonstrated its usefulness. Full article
Show Figures

Figure 1

9 pages, 2962 KB  
Proceeding Paper
Degradation of Elastomer Damping Component for High-Speed Bearings
by Anastasia Gaitanidou, Mario Tränkner, Georgios Iosifidis, Roberto DeSantis, Theofilos Efstathiadis and Anestis Kalfas
Eng. Proc. 2025, 90(1), 54; https://doi.org/10.3390/engproc2025090054 - 14 Mar 2025
Cited by 1 | Viewed by 1021
Abstract
The present paper studies the degradation of an ethylene propylene diene monomer (EPDM) due to aging within an environment resembling the conditions inside the turbine stage of an electrically assisted turbocharger for fuel cell applications, with a special focus on the influence of [...] Read more.
The present paper studies the degradation of an ethylene propylene diene monomer (EPDM) due to aging within an environment resembling the conditions inside the turbine stage of an electrically assisted turbocharger for fuel cell applications, with a special focus on the influence of the system resonance. Aging experiments were conducted on EPDM O-rings of different thicknesses and compression levels, evaluating their degradation and determining its impact on system functionality. The study also quantified changes in system resonance and created an Arrhenius law-based forecast model. The unique activation energy for the degradation processes was identified, providing insight into the optimal dimension and compression of EPDM O-rings. Full article
Show Figures

Figure 1

9 pages, 196 KB  
Proceeding Paper
Requirements for an Allocation Center for the Flight Centric Air Traffic Control Concept
by Tobias Finck and Bernd Korn
Eng. Proc. 2025, 90(1), 55; https://doi.org/10.3390/engproc2025090055 - 14 Mar 2025
Cited by 3 | Viewed by 927
Abstract
Nowadays, the allocation of aircraft to controllers is easily conducted. All aircraft entering a specific sector are automatically allocated to the responsible controller team. With increasing air traffic, it has become evident that this longstanding sector-based system needs to be replaced by innovative [...] Read more.
Nowadays, the allocation of aircraft to controllers is easily conducted. All aircraft entering a specific sector are automatically allocated to the responsible controller team. With increasing air traffic, it has become evident that this longstanding sector-based system needs to be replaced by innovative concepts such as Flight Centric ATC to meet the rapidly growing capacity demands. Flight Centric ATC requires novel systems for the allocation of aircraft to controllers, known as the Allocation Center. This Allocation Center has only been examined rudimentarily in current studies on Flight Centric ATC. The necessary requirements have not yet been taken into consideration in detail. This paper therefore both analyzes the general structure of an Allocation Center based on five high-level needs and also defines eleven operational requirements for such a center. Full article
9 pages, 568 KB  
Proceeding Paper
How Life Cycle Assessment Supports Sustainability Reporting: Example from Clean Aviation
by Ana Claudia Nioac de Salles and Peter Brantsch
Eng. Proc. 2025, 90(1), 56; https://doi.org/10.3390/engproc2025090056 - 15 Mar 2025
Cited by 1 | Viewed by 4240
Abstract
The aim of this work is to present how the Life Cycle Assessment (LCA) tool can support sustainability reporting. A comprehensive analysis enables organizations to generate precise and quantitative data, e.g., on resource consumption, thus aligning with sustainability goals outlined in the reports. [...] Read more.
The aim of this work is to present how the Life Cycle Assessment (LCA) tool can support sustainability reporting. A comprehensive analysis enables organizations to generate precise and quantitative data, e.g., on resource consumption, thus aligning with sustainability goals outlined in the reports. By pinpointing these areas, organizations can prioritize efforts to improve environmental performance where it matters most, ensuring that sustainability initiatives are focused and effective. Overall, the LCA serves as a valuable tool for organizations seeking to comply with sustainability reporting by providing robust data, insights, and guidance for improving environmental performance and fostering sustainable practices. Full article
Show Figures

Figure 1

9 pages, 12311 KB  
Proceeding Paper
The Integration of Solar Panels onto a Carbon Fiber Structure for a Solar-Powered UAS
by Alessandro Aimasso, Matteo D. L. Dalla Vedova, Carlotta M. Bruggi, Alessandro Borgia, Andrea Facci, Giovanni Ferrero, Vito Ingrosso, Bianca Ravenna and Simone Regondi
Eng. Proc. 2025, 90(1), 57; https://doi.org/10.3390/engproc2025090057 - 17 Mar 2025
Cited by 3 | Viewed by 2400
Abstract
For a solar-powered unmanned aerial system (UAS), the performance and integration of the solar panel are of paramount importance. This paper examines the safety aspects of solar panels in electrical power systems, with a particular focus on the installation of solar cells onto [...] Read more.
For a solar-powered unmanned aerial system (UAS), the performance and integration of the solar panel are of paramount importance. This paper examines the safety aspects of solar panels in electrical power systems, with a particular focus on the installation of solar cells onto an aircraft’s carbon fiber wing. Three distinct installation techniques are evaluated, and their respective advantages and disadvantages are discussed. A preliminary test is conducted to assess the viability of adhering commercial solar panels intended for boats using a bio-adhesive layer placed underneath the series of encapsulated solar panels. To ensure adhesion, the piece is placed under a vacuum. The subsequent test evaluates the lamination of the solar cells onto the carbon fiber skin with a resin as a component of the laminate. Finally, as a definitive solution, the adhesion of the solar panels onto the entire polymer layer used to seal the solar cells themselves was evaluated. This solution offers objective advantages in terms of adhesion, lightness and whiteness. Adhesion is guaranteed by the bond of the thermoplastic polymer used to seal the photovoltaic cells and the epoxy resin of the laminate. The bond is created through the autoclave process, which involves placing the laminate and solar cells in an oven at a specific temperature and pressure for a defined period of time. This solution results in a weight reduction of approximately three times compared to a solution not specifically designed for these materials and a reduction in thickness of approximately two times. Full article
Show Figures

Figure 1

10 pages, 4297 KB  
Proceeding Paper
Assessment of the Fatigue Behavior of Wings with Distributed Propulsion
by Lukas Kettenhofen, Martin Schubert and Kai-Uwe Schröder
Eng. Proc. 2025, 90(1), 58; https://doi.org/10.3390/engproc2025090058 - 18 Mar 2025
Viewed by 797
Abstract
The integration of distributed electric propulsion into a wing significantly alters the dynamic behavior of the wing. Consequently, the loads on the wing structure in service, in particular upon transient gust and landing impact loads, change substantially compared with conventional aircrafts with main [...] Read more.
The integration of distributed electric propulsion into a wing significantly alters the dynamic behavior of the wing. Consequently, the loads on the wing structure in service, in particular upon transient gust and landing impact loads, change substantially compared with conventional aircrafts with main engines mounted on the inner wing. As this might significantly increase the stress levels and number of load cycles, this paper assesses the impact of wing-integrated distributed propulsion on the fatigue behavior of the wing structure. This assessment is conducted based on a retrofit scenario of a conventional 19-seater commuter aircraft of the CS-23 category retrofitted with distributed electric propulsion. The wing structure is idealized with beam elements. Static and dynamic response analyses followed by stress analyses are conducted for typical load cases occurring during operation of the aircraft. The fatigue analysis is carried out based on the safe life approach. This study concludes that the integration of distributed electric propulsion has a substantial impact on the fatigue behavior of the wing. A significant increase in fatigue damage for the electric configurations compared with the conventional configuration is observed, in particular in the outer wing area. The increased damage accumulation is a result of the higher stress amplitudes and the longer decay duration of the structural vibrations due to gusts. The results suggest that adjustments to the structural design and maintenance procedures of future electric aircrafts may be necessary. Full article
Show Figures

Figure 1

8 pages, 3738 KB  
Proceeding Paper
Combining Additive Manufacturing Techniques for High-Performance Stiffened Panels
by Alberto Pedreira, Adrián Rodríguez, Noelia González-Castro, Beatriz Simoes-Pereira and Pablo Romero-Rodriguez
Eng. Proc. 2025, 90(1), 59; https://doi.org/10.3390/engproc2025090059 - 18 Mar 2025
Viewed by 1027
Abstract
The additive manufacturing of high-performance thermoplastics, including high-temperature materials and continuous fiber reinforcement, are extensively being developed worldwide. In this work, we combined laser-assisted in situ consolidation tape laying and fused filament fabrication to manufacture a 100% thermoplastic stiffened panel in three stages [...] Read more.
The additive manufacturing of high-performance thermoplastics, including high-temperature materials and continuous fiber reinforcement, are extensively being developed worldwide. In this work, we combined laser-assisted in situ consolidation tape laying and fused filament fabrication to manufacture a 100% thermoplastic stiffened panel in three stages with innovative designs using LMPAEK-PEKK carbon fiber-reinforced polymers. The overprinting of gyroid structures on top of ATL laminates assisted by lasers have shown very good adhesion. Mechanical characterization by flatwise and four-point bending tests have shown tensile strength in the range of 10 MPa (flatwise) and 889 MPa (four-point bending). Tomography analysis shows the optimization roadmap to enhance mechanical properties by improving temperature management during manufacturing. Full article
Show Figures

Figure 1

9 pages, 947 KB  
Proceeding Paper
Solution Space Analysis for Robust Conceptual Design Solutions in Aeronautics
by Vladislav T. Todorov, Dmitry Rakov and Andreas Bardenhagen
Eng. Proc. 2025, 90(1), 60; https://doi.org/10.3390/engproc2025090060 - 17 Mar 2025
Cited by 1 | Viewed by 746
Abstract
The use of novel technologies for low-emission and more efficient aviation requires not only the achievement of a given technology readiness level, but also their integration into aircraft concepts. Furthermore, the assessment of unconventional configurations requires robustness considerations already in the conceptual aircraft [...] Read more.
The use of novel technologies for low-emission and more efficient aviation requires not only the achievement of a given technology readiness level, but also their integration into aircraft concepts. Furthermore, the assessment of unconventional configurations requires robustness considerations already in the conceptual aircraft design phase. In this context, the next developmental milestone of the Advanced Morphological Approach (AMA) as a conceptual aircraft design method is presented by introducing design parameter uncertainties for disruptive technologies. The purpose of this work is the integration verification of Bayesian networks (BNs) into the AMA process for semi-quantitative system modeling and uncertainty propagation. This allowed for the visualization of uncertainties in the solution space, and therefore the depiction and initial estimation of configuration robustness. The verification is demonstrated on an existing conceptual design use case of a regional aircraft for 50 passengers, similar to the ATR 42-600. It investigated hybrid-electric and fuel-cell-based hybrid propulsion systems for 2030, 2040, and 2050 as potential years of entry into service. A BN-based system model has been developed by verifying its quality, adding parameter uncertainty and three energy price scenarios. The executed Bayesian inference propagated the uncertainties through the system and allowed for the visualization of a solution space. The presented uncertainties for the mission energy, mission energy price, and emission criteria for each design solution yield a more reliable basis for robustness analysis and decision-making. Full article
Show Figures

Figure 1

9 pages, 1569 KB  
Proceeding Paper
Impact Monitor Framework: Development and Implementation of a Collaborative Framework for Aviation Impact Assessment
by Marko Alder, Patrick Ratei, Atif Riaz, Utkarsh Gupta, Thierry Lefebvre and Prajwal Shiva Prakasha
Eng. Proc. 2025, 90(1), 61; https://doi.org/10.3390/engproc2025090061 - 18 Mar 2025
Cited by 3 | Viewed by 1089
Abstract
The development and implementation of a collaborative framework for aviation impact assessment studies is presented. The focus is on which technologies can be used to enable the collaborative aspect, including the use of a common data model, the secure transfer of data between [...] Read more.
The development and implementation of a collaborative framework for aviation impact assessment studies is presented. The focus is on which technologies can be used to enable the collaborative aspect, including the use of a common data model, the secure transfer of data between domain experts in different locations, and the automated execution of impact assessment workflows. It is demonstrated how the selected technologies can be extended to meet the requirements of air transport systems assessment and how they can be integrated into a common framework. The results of the developments are discussed in terms of their technical capabilities and the lessons learned from their practical use. The proposed framework shows that collaborative impact assessment studies can be conducted efficiently and securely. This forms the basis for three application studies in the same research project. Full article
Show Figures

Figure 1

9 pages, 472 KB  
Proceeding Paper
Review and Evaluation of Hydrogen and Air Heat Exchangers for Fuel Cell-Powered Electric Aircraft Propulsion
by Sahil Bhapkar, Chetan Sain and Stefan Kazula
Eng. Proc. 2025, 90(1), 62; https://doi.org/10.3390/engproc2025090062 - 18 Mar 2025
Cited by 3 | Viewed by 2867
Abstract
Hydrogen fuel cell systems are a viable option for electrified aero engines due to their efficiency and environmental benefits. However, integrating these systems presents challenges, notably in terms of overall system weight and thermal management. Heat exchangers are crucial for the effective thermal [...] Read more.
Hydrogen fuel cell systems are a viable option for electrified aero engines due to their efficiency and environmental benefits. However, integrating these systems presents challenges, notably in terms of overall system weight and thermal management. Heat exchangers are crucial for the effective thermal management system of electric propulsion systems in commercial electrified aviation. This paper provides a comprehensive review of various heat exchanger types and evaluates their potential applications within these systems. Selection criteria are established based on the specific requirements for air and hydrogen heat exchangers in electrified aircraft. The study highlights the differences in weighting criteria for these two types of heat exchangers and applies a weighted point rating system to assess their performance. Results indicate that extended surface, microchannel, and printed circuit heat exchangers exhibit significant promise for aviation applications. The paper also identifies key design challenges and research needs, particularly in enhancing net heat dissipation, increasing compactness, improving reliability, and ensuring effective integration with aircraft systems. Full article
Show Figures

Figure 1

10 pages, 3519 KB  
Proceeding Paper
Development of Digital NDT Methodology: Data Augmentation for Automated Fluorescent Penetrant Inspection of Aircraft Engine Blades
by Milan T. Bril, Daniel Friesen and Konstantinos Stamoulis
Eng. Proc. 2025, 90(1), 63; https://doi.org/10.3390/engproc2025090063 - 18 Mar 2025
Cited by 1 | Viewed by 1845
Abstract
Fluorescent Penetrant Inspection (FPI) is a widely used inspection technique in the aerospace industry. Because of the aging aerospace sector, and because of the safety-criticality of the inspection, aerospace companies aim to automate (parts of this) inspection process to support inspectors. This paper [...] Read more.
Fluorescent Penetrant Inspection (FPI) is a widely used inspection technique in the aerospace industry. Because of the aging aerospace sector, and because of the safety-criticality of the inspection, aerospace companies aim to automate (parts of this) inspection process to support inspectors. This paper focuses on a model that can assist inspectors by detecting (possible) defects. YOLOv8 is selected as the object detection model. For training such models, a dataset of sufficient size and variety is necessary to ensure good performance and to prevent overfitting. Because data acquisition is still in its beginning stages, an insufficient amount of data has been acquired. In this paper, we propose a data augmentation technique named Mosaic to artificially create more training data. This technique is tested by applying it to the acquired dataset numerous times and using the resulting dataset to train models with a static architecture (YOLOv8), after which the trained models are evaluated. The best trained model had a 0.834 mAP(50-95) performance, which is an increase of 0.666 mAP(50-95) over its baseline (the model trained on the dataset without data augmentation applied). The results show that, by using this Mosaic technique, promising object detection performance via Deep Convolutional Neural Networks (DCNNs) can be achieved even when the data are limited. Full article
Show Figures

Figure 1

8 pages, 2005 KB  
Proceeding Paper
Numerical Analysis of Potential Energy Recovery via a Thermoelectric Generator (TEG) for the Next-Generation Hybrid-Electric Regional Aircraft
by Safa Sabet, Werner Gumprich, Michael Moeller, Andrés Felgueroso, Iván González Nieves, Miguel Díaz and Simone Mancin
Eng. Proc. 2025, 90(1), 64; https://doi.org/10.3390/engproc2025090064 - 18 Mar 2025
Cited by 3 | Viewed by 1132
Abstract
The thermal management of next-generation hybrid electric regional aircrafts poses critical challenges due to extreme heat loads, which could reach more than 2 MW and must be dissipated. This rejected heat can be used in a passive system such as Thermoelectric Generators (TEGs), [...] Read more.
The thermal management of next-generation hybrid electric regional aircrafts poses critical challenges due to extreme heat loads, which could reach more than 2 MW and must be dissipated. This rejected heat can be used in a passive system such as Thermoelectric Generators (TEGs), which can directly convert thermal energy into electrical energy. This work is carried out in the framework of the EU Clean Aviation-funded project TheMa4HERA and it numerically explores the possibility of integrating thermoelectric (TE) technology in the next generation of regional aircrafts. Two case studies are considered: energy recovery from the outflow valve originally used to control the pressure of the cabin and the integration of TEG modules in skin heat exchangers used to partially dissipate heat coming from the fuel cells and/or from the power electronics. The results will permit us to understand the feasibility of implementing TEG technology into these specific conditions in terms of overall power generation. The findings indicate that while TEG integration in the outflow valve offers limited power density, the skin heat exchanger shows significantly higher potential for effective energy recovery. Full article
Show Figures

Figure 1

9 pages, 2438 KB  
Proceeding Paper
Effect of Adhesive Thickness on Fatigue Disbonding Through a Cohesive Zone Modelling Approach
by Johan Birnie, Maria Pia Falaschetti and Enrico Troiani
Eng. Proc. 2025, 90(1), 65; https://doi.org/10.3390/engproc2025090065 - 18 Mar 2025
Cited by 1 | Viewed by 1181
Abstract
Adhesively bonded joints are crucial to the aeronautical industry, contributing to weight reduction and more sustainable flights. However, certifying these joints is still a topic of debate due to the lack of reliable inspection methods to determine their strength. Additionally, prediction models for [...] Read more.
Adhesively bonded joints are crucial to the aeronautical industry, contributing to weight reduction and more sustainable flights. However, certifying these joints is still a topic of debate due to the lack of reliable inspection methods to determine their strength. Additionally, prediction models for crack growth under fatigue loading are still being developed. This manuscript describes the implementation and validation of a cohesive zone model to evaluate high cycle fatigue disbonding under mode I opening. This model was integrated into the commercial finite element analysis software Abaqus using user-defined subroutines, specifically a UMAT. The experimental data from the literature on the effect of adhesive thickness during fatigue loading of a double cantilever beam were used for model validation. Three modelling techniques were explored, including substitution of the adhesive with the cohesive zone (2D and 3D) and the addition of a cohesive layer in the mid-plane of the adhesive (2D only). The results have confirmed that the model is effective in accurately predicting fatigue crack growth in all the simulated cases. Additionally, it has been shown that the adhesive’s thickness has an impact on the simulation results, particularly with thicker bondlines and low strain energy release rates. Full article
Show Figures

Figure 1

9 pages, 1360 KB  
Proceeding Paper
Proposal for an Enhanced Monitoring Technique for Active Control of Aircraft Flap Asymmetry
by Leonardo Baldo, Matteo Davide Lorenzo Dalla Vedova and Jose Maria Cejudo Ruiz
Eng. Proc. 2025, 90(1), 66; https://doi.org/10.3390/engproc2025090066 - 19 Mar 2025
Viewed by 912
Abstract
This paper presents an innovative active monitoring strategy to manage asymmetry in aircraft flaps. Complex mechanical systems like high-lift devices may undergo a wide range of faults, such as a broken transmission torsion bar or wear and tear on control surface actuators just [...] Read more.
This paper presents an innovative active monitoring strategy to manage asymmetry in aircraft flaps. Complex mechanical systems like high-lift devices may undergo a wide range of faults, such as a broken transmission torsion bar or wear and tear on control surface actuators just to name a few. These faults can alter the surface symmetry between the two sides of the wing, potentially leading to dangerous conditions. The proposed relative dynamic position control technique provides a more effective monitoring method to detect and identify flap asymmetry. Once the faulty side has been identified, the system activates the wingtip brakes to halt the uncontrolled flap. The remaining functional flap is then moved to match the braking point of the failed flap, reducing the asymmetry. This approach effectively manages the unwanted roll moment caused by flap asymmetry, thereby partially restoring the aircraft’s maneuverability post-failure. The proposed monitoring technique has been subjected to extensive testing under various operational and failure conditions with the use of a mathematical model, with both new and worn actuators, and considering a wide range of possible failure scenarios. Full article
Show Figures

Figure 1

8 pages, 4552 KB  
Proceeding Paper
Topology Optimization for Aircraft Applications Using Hybrid and Multi-Material Methods for Different Component Scales
by Wouter van den Brink, Tim Koenis, Timo Osinga and Maria Montero-Sistiaga
Eng. Proc. 2025, 90(1), 67; https://doi.org/10.3390/engproc2025090067 - 13 Mar 2025
Cited by 2 | Viewed by 1873
Abstract
The aviation industry, responsible for a significant portion of global CO2 emissions, faces the need to transition to more sustainable aircraft. Electric aircraft driven by battery-powered propulsion and further structural weight reductions have emerged as potential solutions. This research presents structural topology [...] Read more.
The aviation industry, responsible for a significant portion of global CO2 emissions, faces the need to transition to more sustainable aircraft. Electric aircraft driven by battery-powered propulsion and further structural weight reductions have emerged as potential solutions. This research presents structural topology optimization methods developed at the Netherlands Aerospace Centre using (1) a hybrid approach with different scales for aircraft design, from component to full-scale aircraft. Furthermore, (2) multi-material designs are being explored in combination with additive manufacturing technology. Method 1: At the full aircraft level, the study employed a preliminary design methodology that combines shell and solid elements in a 3D model utilizing Abaqus software 2023. A topology optimization was carried out with strain energy and weight as the design responses, subject to specified volume and symmetry constraints. Different aircraft configurations were investigated, including blended wing designs, with each impacting the load paths and structural performance. A start was made in translating the optimized design to actual aerospace features such as frames and Door-Surround Structures (DSS). Method 2: The ability to manufacture multi-material metal parts via additive manufacturing presents opportunities for the design of aircraft components and shows weight-saving potential. The multi-material topology optimization method is explored for a relevant aerospace wing component. The results revealed widespread possibilities for general topology optimization methods to be applied in aircraft structural design at different scales. Load paths can be identified and their integration into multi-disciplinary design optimization (MDO) is promising. Novel structural designs for blended wing aircraft can be obtained for multiple load-cases. This research addresses questions concerning the aircraft-level and component-level feasibility of optimized designs, optimization features, inertia relief, and mesh size influence. The findings show the potential to optimize battery-powered aircraft through innovative structural design, contributing to a potentially lower weight and further reductions in environmental impact. This study serves as a first step towards lightweight future electric aircraft design and underscores the importance of integrating innovative solutions to reduce the climate impact of the aviation industry. Full article
Show Figures

Figure 1

9 pages, 687 KB  
Proceeding Paper
Dynamic Modeling of Fuel Cells for Applications in Aviation
by Niclas A. Dotzauer
Eng. Proc. 2025, 90(1), 68; https://doi.org/10.3390/engproc2025090068 - 20 Mar 2025
Cited by 2 | Viewed by 1672
Abstract
In the development of more electric aircraft, hydrogen powered fuel cells are one possible solution to progress towards emission reductions in aviation. Currently, there are numerous concepts for integrating fuel cells into future aircraft. The goal of this work was to develop a [...] Read more.
In the development of more electric aircraft, hydrogen powered fuel cells are one possible solution to progress towards emission reductions in aviation. Currently, there are numerous concepts for integrating fuel cells into future aircraft. The goal of this work was to develop a dynamic fuel cell model for simulations of the powertrain. The Modelica language together with the ThermoFluidStream (TFS) library from the German Aerospace Center (DLR) provided a suitable framework. The fuel cell model takes into account the electrochemical as well as thermodynamic behavior. Hence, the proposed multi-physics model allows simulating the whole fuel cell system, from the hydrogen tank to the electric grid. Under certain simplifications, this enables performing mission simulations of the complete powertrain of future aircraft. As such, polymer electrolyte membrane (PEM) fuel cells and solid oxide fuel cells (SOFC) were considered. The fuel cell models are checked for plausibility in a simple test case against data from the literature. Furthermore, two setups of possible applications are introduced: one for each fuel cell type, which come from two projects. The preliminary control systems of these architectures are presented. Afterwards, the first results of the fuel cell systems are discussed. These results show that the models ran robustly in various environments and operational states. They provided the desired accuracy to predict the behavior of a fuel cell, while maintaining low CPU times and being capable of enabling real-time simulations in the future. Full article
Show Figures

Figure 1

11 pages, 2340 KB  
Proceeding Paper
Comparison of Energy Sources for an Electric Powertrain in a Tilt-Rotor Urban Air Mobility Vehicle
by Jonas Ludowicy, Patrick Ratei and Stefanie de Graaf
Eng. Proc. 2025, 90(1), 69; https://doi.org/10.3390/engproc2025090069 - 20 Mar 2025
Cited by 4 | Viewed by 1055
Abstract
Electric vertical take-off and landing vehicles introduce challenges in powertrain design with short but high peak loads and low-load phases over longer periods of time during wing-borne flight. In this paper, three powertrain topologies are analyzed for a tilt-rotor urban air mobility vehicle [...] Read more.
Electric vertical take-off and landing vehicles introduce challenges in powertrain design with short but high peak loads and low-load phases over longer periods of time during wing-borne flight. In this paper, three powertrain topologies are analyzed for a tilt-rotor urban air mobility vehicle with an expected entry into service after 2030. The powertrains are studied on the level of preliminary sizing for the design mission of the vehicle. The three powertrain topologies studied and compared are battery-only, fuel cell-only and a hybrid of the two energy sources. Parameter studies on the gearbox transmission ratio, the design point of the fuel cell system as well as the degree of hybridization were carried out. The combination of fuel cell and battery was found to be most beneficial in terms of mass when the fuel cell is sized for slightly more than cruise power. In flight phases with higher power requirements, the batteries would provide the additional boost. Full article
Show Figures

Figure 1

9 pages, 1627 KB  
Proceeding Paper
Architecting Systems of Systems with Different Levels of Centralized Decision-Making
by Jasamin Akbari, Giuseppa Donelli, Luca Boggero and Björn Nagel
Eng. Proc. 2025, 90(1), 70; https://doi.org/10.3390/engproc2025090070 - 20 Mar 2025
Cited by 1 | Viewed by 992
Abstract
Systems developed and operated by different stakeholders are increasingly interconnected. When multiple systems collaborate in a shared environment and together provide emerging functionalities, they are referred to as systems of systems. These types of systems can be further classified by their level of [...] Read more.
Systems developed and operated by different stakeholders are increasingly interconnected. When multiple systems collaborate in a shared environment and together provide emerging functionalities, they are referred to as systems of systems. These types of systems can be further classified by their level of centralized management and decision-making, reflecting the distribution of responsibilities and ownership among enterprises. This paper introduces two systems of systems architecting processes tailored to different levels of centralized decision-making. These processes aim to define the architectural design space, which is characterized by both the operations of the constituent systems and the composition of the systems of systems across various levels. Full article
Show Figures

Figure 1

9 pages, 1906 KB  
Proceeding Paper
MnO Recovered from Alkaline Batteries Functionalized with Ruthenium and Carbon Nanofibers for Supercapacitor Applications
by Faraz Khan, Renata Adami, Luca Gallucci, Claudia Cirillo, Mariagrazia Iuliano, Libero Sesti Osséo and Maria Sarno
Eng. Proc. 2025, 90(1), 71; https://doi.org/10.3390/engproc2025090071 - 21 Mar 2025
Cited by 1 | Viewed by 829
Abstract
MnO is an attractive material due to its high specific capacitance and thermal and chemical activity. It can be recycled from alkaline batteries with a good yield and can be used for supercapacitor applications after enhancing its poor conductivity. In this study, Ru-MnO-Carbon [...] Read more.
MnO is an attractive material due to its high specific capacitance and thermal and chemical activity. It can be recycled from alkaline batteries with a good yield and can be used for supercapacitor applications after enhancing its poor conductivity. In this study, Ru-MnO-Carbon nanofibers(Ru-MnO-CNFs) were prepared by the impregnation of Ru (1 wt%) into MnO recovered from used alkaline batteries, followed by their incorporation into polyacrylnitrile (PAN) nanofibers by electrospinning and carbonization. The prepared materials, Ru-MnO and Ru-MnO-CNFs, were characterized by scanning electron microscopy and Fourier infrared spectroscopy. The electrochemical characterization was performed, comparing the characteristics of Ru-MnO and Ru-MnO-CNFs samples. It was found that the capacitance of MnO recovered from used alkaline batteries could be enhanced by combining it with Ru and CNFs. The hybrid Ru-MnO/CNFs composite could be used as stable electrode material for high performance supercapacitors. Full article
Show Figures

Figure 1

9 pages, 351 KB  
Proceeding Paper
Air–Rail Connectivity Index: A Comprehensive Study of Multimodal Journeys
by Clara Buire, Slavica Dožić, Danica Babić, Ismini Stroumpou, Josep L. Larriba, Esteban Gatein and Ruth Parajó
Eng. Proc. 2025, 90(1), 72; https://doi.org/10.3390/engproc2025090072 - 20 Mar 2025
Cited by 2 | Viewed by 2505
Abstract
To enhance the accessibility and efficiency of airports, the concept of airport connectivity is extended to High-Speed Rail (HSR), as major hub airports now have direct access to an HSR station. The traditional hub connectivity index is supplemented by the number and quality [...] Read more.
To enhance the accessibility and efficiency of airports, the concept of airport connectivity is extended to High-Speed Rail (HSR), as major hub airports now have direct access to an HSR station. The traditional hub connectivity index is supplemented by the number and quality of connections between train and flight departures/arrivals (or timetables). The methodology is tested at the Paris-Charles de Gaulle airport. The results highlight that air–rail and rail–air connections can represent up to 72% of the total hub connectivity. A disaggregated analysis of connectivity across origin–destination pairs was conducted, revealing potential synchronization gaps. These findings demonstrate that this tool can assist transportation service providers in synchronizing their timetables, by measuring the degree to which it contributes to improve connectivity. Moreover, the findings offer new insights into air–rail timetable coordination and provide policy implications regarding the replacement of feeder flights by HSR. Full article
Show Figures

Figure 1

9 pages, 1467 KB  
Proceeding Paper
Spectrum Sharing Opportunities for 6G Terrestrial and Non-Terrestrial Networks
by Valeria Petrini, Manuel Faccioli and Claudia Carciofi
Eng. Proc. 2025, 90(1), 73; https://doi.org/10.3390/engproc2025090073 - 21 Mar 2025
Cited by 2 | Viewed by 2870
Abstract
This work analyzes the spectrum sharing scenarios of the evolution of terrestrial and non-terrestrial networks at a European and international level. The evolution and interoperability of terrestrial and non-terrestrial networks are key elements in providing the new services expected by 6G. With the [...] Read more.
This work analyzes the spectrum sharing scenarios of the evolution of terrestrial and non-terrestrial networks at a European and international level. The evolution and interoperability of terrestrial and non-terrestrial networks are key elements in providing the new services expected by 6G. With the growing demand of the spectrum, inter-system sharing, which involves sharing between different radiocommunication applications, is becoming increasingly important. Technical conditions to share the spectrum between a terrestrial fixed service operating through Point-to-Multipoint links and a fixed satellite service at 28 GHz are assessed and presented in this paper. The methodology to evaluate the coexistence conditions can be easily extended to other spectrum sharing scenarios, both between terrestrial networks and between terrestrial and non-terrestrial networks. Full article
Show Figures

Figure 1

9 pages, 1881 KB  
Proceeding Paper
Local Air Quality and Noise Assessment for Landing and Take-Off Operations in Future Airport Environment
by Danlin Zheng Zhang, Daniel Gómez López, Juan Antonio López Sánchez, Chen Xia, Xin Wang and Alba García Fernández
Eng. Proc. 2025, 90(1), 74; https://doi.org/10.3390/engproc2025090074 - 21 Mar 2025
Viewed by 766
Abstract
This study examines improvements in local air quality and noise (LAQ&N) of the Landing and Take-Off cycle (LTO cycle) with the introduction of a hybrid electric/sustainable mid-range aircraft. Using Dortmund Airport as a case study, the results highlight significant environmental benefits. Future traffic [...] Read more.
This study examines improvements in local air quality and noise (LAQ&N) of the Landing and Take-Off cycle (LTO cycle) with the introduction of a hybrid electric/sustainable mid-range aircraft. Using Dortmund Airport as a case study, the results highlight significant environmental benefits. Future traffic scenarios estimate potential gains: INDIGO flights improve LAQ by up to 74% and noise impacts by 36%. When replacing 15% of the future traffic demand with INDIGO aircraft, up to a 3% benefit in LAQ&N can be expected. Full traffic replacement scenarios promise substantial environmental advantages, affirming the INDIGO aircrafts’ role in greener aviation. Full article
Show Figures

Figure 1

10 pages, 5229 KB  
Proceeding Paper
Minimizing Air Traffic Disruption from Uncontrolled Space Debris Reentries
by Irina Beatrice Stefanescu, Cristian Emil Constantinescu and Octavian Thor Pleter
Eng. Proc. 2025, 90(1), 75; https://doi.org/10.3390/engproc2025090075 - 25 Mar 2025
Viewed by 1093
Abstract
Uncontrolled space debris reentries pose a significant challenge to air traffic management (ATM), often requiring widespread airspace closures to mitigate the perceived risks to aviation safety. In a previous study, we established the probability of collision during such events to be in the [...] Read more.
Uncontrolled space debris reentries pose a significant challenge to air traffic management (ATM), often requiring widespread airspace closures to mitigate the perceived risks to aviation safety. In a previous study, we established the probability of collision during such events to be in the order of 10−7 and classified the event as “extremely remote” but requiring mitigation action. Analyzing the temporal dynamics, we concluded that any given location remains at risk for no more than one minute. Building on these findings, this paper will investigate advanced mitigation strategies to reduce the operational impact of such reentries. We propose utilizing dynamic airspace allocation techniques, using information derived by enhanced reentry prediction models and real-time tracking. Transforming the spatial problem of airspace closures into a temporal one, the study demonstrates the feasibility of confining closures to dynamically moving zones with minimal disruption. A simulation for the Long March 5B reentry case study illustrates the potential for such measures to improve efficiency while maintaining safety standards. Full article
Show Figures

Figure 1

9 pages, 1287 KB  
Proceeding Paper
Pioneering Sustainable Space Ecosystems Through Intelligent Robotics and Collaborative Effort
by Amrita Suresh, Mehmed Yüksel, Manuel Meder, Raúl Domínguez and Wiebke Brinkmann
Eng. Proc. 2025, 90(1), 76; https://doi.org/10.3390/engproc2025090076 - 26 Mar 2025
Viewed by 1633
Abstract
Humanity’s long-term presence in space entails the establishment of sustainable space ecosystems in both orbital and planetary environments. Sustainable ecosystems are characterized by minimal resource depletion, reduction in space debris, reusable and renewable materials and components, among other factors. However, achieving sustainability in [...] Read more.
Humanity’s long-term presence in space entails the establishment of sustainable space ecosystems in both orbital and planetary environments. Sustainable ecosystems are characterized by minimal resource depletion, reduction in space debris, reusable and renewable materials and components, among other factors. However, achieving sustainability in space is challenging due to limited resources, harsh environmental conditions, and the need for continuous operation. Intelligent robotic systems with diverse manipulation and locomotion capabilities using artificial intelligence (AI) are capable of In-Situ Resource Utilization and carrying out autonomous production and maintenance operations. Modular reconfigurable systems and heterogeneous teams allow for optimized task allocation strategies, thus expanding the task domain. Efficient human–robot interaction methods can assist astronauts and future space inhabitants in their routine tasks as well as during critical missions. We also emphasize the importance of collaboration among space agencies, roboticists and AI scientists for shared resources and knowledge, and the development of technology standards and interfaces for systems collaboration. Such cooperative efforts are vital to ensure the long-term viability of space exploration and settlement. This paper explores how AI-driven autonomous robots are being developed at the German Research Center for Artificial Intelligence and University of Bremen (Germany) to address these challenges. Full article
Show Figures

Figure 1

9 pages, 2294 KB  
Proceeding Paper
A Virtual Demonstration of an Electrical Environmental Control System
by Gülberg Celikel, Katrin Proelss, Jörg Riedel, Stephan A. Schmidt, Sijmen J. Zandstra, Ricardo Abib Gantus, Walid Hankache, Anthony Michou, Frederic Sanchez and Boris Michaelsen
Eng. Proc. 2025, 90(1), 77; https://doi.org/10.3390/engproc2025090077 - 27 Mar 2025
Cited by 1 | Viewed by 1313
Abstract
This study presents a virtual demonstration of the electrical environmental control system (eECS) in its relevant environment, showcasing a novel collaborative approach based on extensive model exchange between partners. This methodology enabled an accelerated evaluation of eECS integration into aircraft. Closed-loop simulations were [...] Read more.
This study presents a virtual demonstration of the electrical environmental control system (eECS) in its relevant environment, showcasing a novel collaborative approach based on extensive model exchange between partners. This methodology enabled an accelerated evaluation of eECS integration into aircraft. Closed-loop simulations were conducted to verify the integration of the eECS within overall aircraft air systems, confirming its performance and stable operation. Furthermore, this work confirms the value of “Risk Driven Development” regarding focusing on critical components and using a combination of testing, modeling, and simulation, allowing Research and Technology partners to reduce development time and increase the maturity of new technologies for use in future aircraft. Full article
Show Figures

Figure 1

8 pages, 2216 KB  
Proceeding Paper
Autonomous Route Planning for UAV-Based 3D Reconstruction
by César Gómez Arnaldo, Francisco Pérez Moreno, María Zamarreño Suárez and Raquel Delgado-Aguilera Jurado
Eng. Proc. 2025, 90(1), 78; https://doi.org/10.3390/engproc2025090078 - 27 Mar 2025
Cited by 3 | Viewed by 2402
Abstract
This study presents an innovative approach for the autonomous navigation of unmanned aerial vehicles (UAVs) in complex three-dimensional environments. By implementing the Rapidly Exploring Random Tree (RRT) algorithm, the system can efficiently plot safe flight paths that avoid obstacles of varying shapes and [...] Read more.
This study presents an innovative approach for the autonomous navigation of unmanned aerial vehicles (UAVs) in complex three-dimensional environments. By implementing the Rapidly Exploring Random Tree (RRT) algorithm, the system can efficiently plot safe flight paths that avoid obstacles of varying shapes and sizes. The discussion includes the technical obstacles faced and the strategies employed to overcome them, leading to the successful development of collision-free navigation routes. This foundational work aims to support future projects that will further refine the system through extensive simulations and real-world UAV deployments for tasks such as image capture and structural inspections. Full article
Show Figures

Figure 1

9 pages, 1712 KB  
Proceeding Paper
Self-Extinguishing Epoxy Nanocomposites Containing Industrial Biowastes as Sustainable Flame-Retardant Additives
by Immacolata Climaco, Claudio Imparato, Francesca Di Lauro, Jessica Passaro, Marco Balsamo, Pietro Russo, Henri Vahabi, Giulio Malucelli, Fabio Montagnaro, Antonio Aronne and Aurelio Bifulco
Eng. Proc. 2025, 90(1), 79; https://doi.org/10.3390/engproc2025090079 - 27 Mar 2025
Cited by 1 | Viewed by 1171
Abstract
Polymers are essential in modern life, but their large-scale production from non-renewable sources contributes to raw material depletion and environmental pollution. The shift from a linear to a circular economy aims to address these issues by promoting sustainable practices. Recent research focuses on [...] Read more.
Polymers are essential in modern life, but their large-scale production from non-renewable sources contributes to raw material depletion and environmental pollution. The shift from a linear to a circular economy aims to address these issues by promoting sustainable practices. Recent research focuses on incorporating natural fillers and biowastes to improve flame retardancy and reduce resource depletion. This work demonstrates the suitability of humic acids, biochar derived from both spent coffee grounds and the hydrothermal liquefaction of sludge, for use as flame-retardant additives in epoxy resins. The results are discussed in relation to the composition and preparation procedure of the composite materials. Particularly, the modification of epoxy chains with a proper coupling agent guarantees the uniform distribution of the waste throughout the polymer matrix. Full article
Show Figures

Figure 1

9 pages, 1091 KB  
Proceeding Paper
Simulation-Based Assessment of the Control of a Hybrid ECS Including a Vapor Cycle System
by Arnav Pathak and Victor Norrefeldt
Eng. Proc. 2025, 90(1), 80; https://doi.org/10.3390/engproc2025090080 - 27 Mar 2025
Viewed by 715
Abstract
Within the Clean Sky 2 regional project, a hybrid environmental control system has been conceived that combines the classical bleed air approach with a vapor cycle cooling in the recirculation air. To protect partners’ IP, a functional mock-up (FMU) model of the hybrid [...] Read more.
Within the Clean Sky 2 regional project, a hybrid environmental control system has been conceived that combines the classical bleed air approach with a vapor cycle cooling in the recirculation air. To protect partners’ IP, a functional mock-up (FMU) model of the hybrid ECS was provided describing the system behavior. This model was interfaced with a zonal model of a 100-passenger regional aircraft cabin to investigate comfort and air quality conditions within the cabin. The interfacing reveals that some optimization of the control algorithm is possible for the hybrid ECS, while some operational points already perform as intended. Hence, the coupled simulation approach, at an early design stage, already shows the strengths and weaknesses of the system conception. Recommendations from the simulation study can subsequently be incorporated into the design before a physical demonstrator is produced. Full article
Show Figures

Figure 1

8 pages, 1118 KB  
Proceeding Paper
Towards the Development of an Eco-Design Approach for Aircraft Components
by Aikaterini Anagnostopoulou, Dimitrios Sotiropoulos, Giannis Floros and Konstantinos Tserpes
Eng. Proc. 2025, 90(1), 81; https://doi.org/10.3390/engproc2025090081 - 27 Mar 2025
Cited by 1 | Viewed by 918
Abstract
This paper presents a comprehensive approach aimed at optimizing the design of aircraft components from a cradle-to-grave sustainability perspective. Central to this approach is a rigorous sustainability assessment, which evaluates environmental, cost, and performance criteria using the TOPSIS multi-criteria decision-making method. Environmental criteria [...] Read more.
This paper presents a comprehensive approach aimed at optimizing the design of aircraft components from a cradle-to-grave sustainability perspective. Central to this approach is a rigorous sustainability assessment, which evaluates environmental, cost, and performance criteria using the TOPSIS multi-criteria decision-making method. Environmental criteria are derived through a Life Cycle Assessment, while cost criteria are determined via Life Cycle Costing, both facilitated by the SimaPro software. Performance is evaluated in terms of mass and specific stiffness. To account for the complex relationship of these criteria, objective weighting methods are employed to determine the weights for each criterion. The methodology is applied to a case study of a fuselage panel. By maximizing the sustainability of the component, optimal designs—considering material selection, component thickness, and manufacturing methods—are identified to minimize environmental impact, reduce costs, and enhance performance. Full article
Show Figures

Figure 1

8 pages, 2266 KB  
Proceeding Paper
Artificial Ageing of Aeronautical Al-Cu-Li (2198) Sheets: Mechanical Behaviour and Corrosion Susceptibility
by Nikolaos D. Alexopoulos
Eng. Proc. 2025, 90(1), 82; https://doi.org/10.3390/engproc2025090082 - 27 Mar 2025
Cited by 2 | Viewed by 1063
Abstract
In the present article, the effect of artificial ageing on tensile mechanical properties and resistance to corrosion of aluminium alloy 2198-T3 was investigated. The results were obtained under the framework of the Greek National project “CorLi”, which was targeted to document the mechanical [...] Read more.
In the present article, the effect of artificial ageing on tensile mechanical properties and resistance to corrosion of aluminium alloy 2198-T3 was investigated. The results were obtained under the framework of the Greek National project “CorLi”, which was targeted to document the mechanical behaviour of the alloy under different artificial ageing conditions, simulating the natural ageing of aircraft structures during their operation lifespan. Four (4) different ageing conditions corresponding to under-aged (UA), peak-aged (PA), and over-aged (OA) tempers based on the initial, T3 temper, were considered. In the PA condition, the conventional yield stress Rp0.2% increased by more than 50% with a simultaneous 46% decrease in tensile elongation at fracture Af. Additionally, the effect of corrosion was found to be different for the different artificial ageing tempers of AA2198, with lower charge transfer resistance (RCT) observed for artificially aged specimens. Nevertheless, the corrosion-induced degradation rate of RCT was found to decrease with increasing ageing time. Full article
Show Figures

Figure 1

9 pages, 3294 KB  
Proceeding Paper
Enhancing Safety in Military Aviation: A Systematic Approach to the Development of AI Certification Standards
by Raquel Delgado-Aguilera Jurado, Vicent Ortolá Plaza, Xiaojie Ye, María Zamarreño Suárez, Francisco Pérez Moreno and César Gómez Arnaldo
Eng. Proc. 2025, 90(1), 83; https://doi.org/10.3390/engproc2025090083 - 27 Mar 2025
Viewed by 1799
Abstract
This article proposes a systematic methodology for developing a certification standard for AI safety-critical systems in military aviation, combining military and civil airworthiness references. It involves a thorough analysis conducted to identify overlaps, contradictions, and specific needs for AI certification in this field. [...] Read more.
This article proposes a systematic methodology for developing a certification standard for AI safety-critical systems in military aviation, combining military and civil airworthiness references. It involves a thorough analysis conducted to identify overlaps, contradictions, and specific needs for AI certification in this field. The methodology includes incremental updates to a foundational certification framework, continuously integrating new references. An illustrative application to an ISO reference demonstrates the process of extracting AI certification requirements, and systematically derived requirements from various ISO references exemplify the methodology’s efficacy. The aim of this approach is to consolidate pertinent information to establish robust certification standards, ensuring comprehensive coverage of relevant criteria. Full article
Show Figures

Figure 1

9 pages, 1429 KB  
Proceeding Paper
Specific Aspects of Modelling Heat and Mass Transfer During Condensed Phase Precipitation on Heat Exchanger Walls
by Illia Petukhov, Oleksii Lysytsia, Taras Mykhailenko and Artem Kovalov
Eng. Proc. 2025, 90(1), 84; https://doi.org/10.3390/engproc2025090084 - 27 Mar 2025
Viewed by 902
Abstract
When the vapour–gas mixture flow heats the cold walls of a heat exchanger, condensed phase (solid and liquid) precipitation can occur on their surfaces. This study aims to improve a model of thermohydraulic processes in a heat exchanger during condensed phase precipitation on [...] Read more.
When the vapour–gas mixture flow heats the cold walls of a heat exchanger, condensed phase (solid and liquid) precipitation can occur on their surfaces. This study aims to improve a model of thermohydraulic processes in a heat exchanger during condensed phase precipitation on its cold surfaces. The process is considered to occur when a multi-component solid-phase layer and a liquid film are simultaneously formed on the wall. Heat is transferred to the interface surface through radiation and convection and due to the phase transition of diffusing components. The mass flow to the interphase surface is determined for each diffusing component. The developed model allows for the calculation of heat transfer parameters in both steady-state and transient conditions, taking into account the formation of a multi-component condensed phase on cold walls. Full article
Show Figures

Figure 1

10 pages, 6289 KB  
Proceeding Paper
Structural Optimisation for Mass Estimation of Large-Aspect-Ratio Wings with Distributed Hybrid Propulsion
by João Carvalho, Rauno Cavallaro and Andrea Cini
Eng. Proc. 2025, 90(1), 85; https://doi.org/10.3390/engproc2025090085 - 27 Mar 2025
Cited by 1 | Viewed by 1455
Abstract
The current commitment towards aviation climate neutrality and decarbonisation is boosting research programmes on disruptive aircraft configurations featuring sustainable powertrains and fuel-efficient airframes. This trend is pushing the design towards high-aspect-ratio wings made of lightweight structures housing distributed propulsion systems. Airframe preliminary sizing [...] Read more.
The current commitment towards aviation climate neutrality and decarbonisation is boosting research programmes on disruptive aircraft configurations featuring sustainable powertrains and fuel-efficient airframes. This trend is pushing the design towards high-aspect-ratio wings made of lightweight structures housing distributed propulsion systems. Airframe preliminary sizing and mass estimation of non-conventional configurations, if performed using legacy methodologies based on experience, gathered with traditional configurations may result in non-optimised and non-viable designs. Therefore, a physics-based optimisation approach may allow more accurate sizing and airframe mass estimation. The methodology suggested in this paper is based on the automatic generation of a global finite element model to estimate the weight and determine a feasible material distribution for the wing box structure of a strut-braced wing configuration by means of size optimisation. Composite materials with defined stacking sequences were assigned to the wing components and structural weight minimised with the aim of offsetting the weight penalties associated with this non-conventional aircraft configuration. Preliminary results suggest that the composite strut-braced wing could achieve a weight reduction of up to 44% compared to a composite cantilever wing with equal aspect ratio of 20. The actual weight reduction is thought to be lower due to potential overestimation of the cantilever configuration. Full article
Show Figures

Figure 1

9 pages, 3919 KB  
Proceeding Paper
AI-Powered Structural Health Monitoring: Predicting Fatigue Damage in Aircraft Composites with Ultrasonic Guided Wave Inspections
by Panagiotis Kolozis, Dimitrios Karasavvas, José Manuel Royo, Javier Hernandez-Olivan, Vanessa Thalassinou-Lislevand, Andrea Calvo-Echenique and Elias Koumoulos
Eng. Proc. 2025, 90(1), 86; https://doi.org/10.3390/engproc2025090086 - 27 Mar 2025
Cited by 2 | Viewed by 1387
Abstract
In this paper, we introduce an advanced AI-based solution for predicting structural damage in aircraft laminates. Our innovative approach focuses on detecting and locating fatigue damage within composite structures, thereby enhancing the assessment of aircraft health and usage. By leveraging state-of-the-art ultrasonic guided [...] Read more.
In this paper, we introduce an advanced AI-based solution for predicting structural damage in aircraft laminates. Our innovative approach focuses on detecting and locating fatigue damage within composite structures, thereby enhancing the assessment of aircraft health and usage. By leveraging state-of-the-art ultrasonic guided wave (UGW) inspection simulations of composite laminates integrated with piezoelectric transducers, comprehensive datasets are extracted efficiently. The signals captured by the piezoelectric sensors are utilized to engineer key features sensitive to composite structural damage, which are then used to train a deep neural network (DNN) for accurate structural damage prediction. Our findings demonstrate the significant potential of combining advanced simulation techniques with machine learning to improve the accuracy and reliability of structural health monitoring in aerospace applications. Full article
Show Figures

Figure 1

10 pages, 3736 KB  
Proceeding Paper
Assessing Advanced Propulsion Systems Using the Impact Monitor Framework
by Utkarsh Gupta, Atif Riaz, Felix Brenner, Thierry Lefebvre, Patrick Ratei, Marko Alder, Prajwal Shiva Prakasha, Lukas Weber, Jordi Pons-Prats and Dionysios Markatos
Eng. Proc. 2025, 90(1), 87; https://doi.org/10.3390/engproc2025090087 - 28 Mar 2025
Viewed by 1008
Abstract
Presented in this paper is the Impact Monitor framework and interactive Dashboard Application (DA) validated through a use case, focusing on investigating the viability and competitiveness of future propulsion architectures for next-generation aircraft concepts. This paper presents a novel collaborative framework for integrated [...] Read more.
Presented in this paper is the Impact Monitor framework and interactive Dashboard Application (DA) validated through a use case, focusing on investigating the viability and competitiveness of future propulsion architectures for next-generation aircraft concepts. This paper presents a novel collaborative framework for integrated aircraft-level assessments, focusing on secure, remote workflows that protect intellectual property (IP) while enabling comprehensive and automated analyses. The research addresses a key gap in the aerospace domain: the seamless matching and sizing of aircraft engines within an automated workflow that integrates multiple tools and facilitates real-time data exchanges. Specifically, thrust requirements are iteratively shared between aircraft and engine modeling environments for synchronized sizing. Subsequently, the fully defined aircraft data are transferred to other tools for trajectory analysis and emissions and other assessments. The Impact Monitor framework and Dashboard Application demonstrate improved efficiency and data security, promoting effective collaboration across institutions and industry partners. Full article
Show Figures

Figure 1

9 pages, 4007 KB  
Proceeding Paper
Additive Functionalization: Combining the Benefits of Additive Manufacturing and Conventional Composite Production by Overprinting
by Fabian Kühnast and Malte Kürzel
Eng. Proc. 2025, 90(1), 88; https://doi.org/10.3390/engproc2025090088 - 28 Mar 2025
Viewed by 931
Abstract
Additive functionalization is a novel additive manufacturing approach that aims to combine design freedom and process agility at low tooling costs through thermoplastic additive extrusion with the extraordinary performance of conventionally manufactured thermoset composites by overprinting the latter. A key prerequisite for enabling [...] Read more.
Additive functionalization is a novel additive manufacturing approach that aims to combine design freedom and process agility at low tooling costs through thermoplastic additive extrusion with the extraordinary performance of conventionally manufactured thermoset composites by overprinting the latter. A key prerequisite for enabling this production scenario is to achieve sufficient bond strength between the thermoset composite substrate and the overprinted thermoplastic material. Therefore, thermoset composite plates with different surface modifications were prepared and subsequently overprinted with thermoplastic material. The bond strength of the thermoset–thermoplastic hybrid specimens was evaluated by mechanical testing, while optical and laser scanning microscopy was used to analyze the thermoset–thermoplastic interface and the failure mode. Significant improvements in bond strength for overprinted specimens were achieved by modifying the thermoset composite surface, either through plasma treatment or the integration of thermoplastic films as skin layers. Full article
Show Figures

Figure 1

6 pages, 1638 KB  
Proceeding Paper
The Efficiency of Drone Propellers—A Relevant Step Towards Sustainability
by Jaan Susi, Karl-Eerik Unt and Siim Heering
Eng. Proc. 2025, 90(1), 89; https://doi.org/10.3390/engproc2025090089 - 31 Mar 2025
Cited by 1 | Viewed by 4063
Abstract
The static efficiency of a propeller cannot be determined in the same way as for propellers operating in the presence of freestream airflow. As various kinds of multirotor drones and small UAVs operate in hovering or nearly hovering modes, it is necessary to [...] Read more.
The static efficiency of a propeller cannot be determined in the same way as for propellers operating in the presence of freestream airflow. As various kinds of multirotor drones and small UAVs operate in hovering or nearly hovering modes, it is necessary to develop methods for determining and measuring the static aerodynamic efficiency of small-scale propellers. Propellers with a Reynolds number near the 0.75 R, where the blade section is less than 500,000, are considered to be at a critical value, i.e., the estimated border between two flow modes—laminar and turbulent. The efficiency of small-scale propellers may be hard to predict through modeling, making direct empirical measurements invaluable in this situation. Full article
Show Figures

Figure 1

8 pages, 1582 KB  
Proceeding Paper
Psychophysiological Analysis of Correction Calculation for as Turbine Engine Gas Turbine Engine Noise Tonality
by Volodymir M. Zhuravlev, Igor F. Kravchenko and Sergiy V. Dmytriyev
Eng. Proc. 2025, 90(1), 90; https://doi.org/10.3390/engproc2025090090 - 7 Apr 2025
Viewed by 574
Abstract
In this paper, we duct a psychophysiological and methodological analysis of the calculation of tonality correction during bench tests of aircraft gas turbine engines for compliance with environmental noise requirements. It is proven that the noise characteristics of a signal are influenced by [...] Read more.
In this paper, we duct a psychophysiological and methodological analysis of the calculation of tonality correction during bench tests of aircraft gas turbine engines for compliance with environmental noise requirements. It is proven that the noise characteristics of a signal are influenced by the modulation law of its tonal components. It is shown that the application of the spectral analysis method for gas turbine engine acoustic signals, for which the stationarity parameters are not determined, leads to an uncertain systematic error. The calculation of the tonality parameter value, which determines the correction of deterioration of the environmental impact assessment of the engine, is not substantiated and has a random character. This paper presents a methodology for the psychophysiological ranking of gas turbine engine noise signals, which offers an intelligent algorithm for signal processing that corresponds with that corresponds with the speech zones of the human central nervous system. Full article
Show Figures

Figure 1

10 pages, 477 KB  
Proceeding Paper
AI-Enabled Tactical FMP Hotspot Prediction and Resolution (ASTRA): A Solution for Traffic Complexity Management in En-Route Airspace
by Marianna Groia, Tommaso Vendruscolo, Paris Vaiopoulos, Stefano Bonelli, Jason Gauci, Maximillian Bezzina, Didier Berling, Mikko Jurvansuu, Nicolas Borovich, Cynthia Koopman, Leander Grech, Rémi Zaidan, Anthony De Bortoli and François Brambati
Eng. Proc. 2025, 90(1), 91; https://doi.org/10.3390/engproc2025090091 - 7 Apr 2025
Cited by 1 | Viewed by 1503
Abstract
The air traffic growth expected for future years will likely cause an imbalance between traffic demand and available capacity. This could lead to increased airspace congestion, heightened complexity, and a higher workload for controllers attempting to manage the situation. Nowadays, available tools can [...] Read more.
The air traffic growth expected for future years will likely cause an imbalance between traffic demand and available capacity. This could lead to increased airspace congestion, heightened complexity, and a higher workload for controllers attempting to manage the situation. Nowadays, available tools can identify 4D Area of Relatively High Air Traffic Control Complexity (4DARHAC) events up to 20 min before they occur. Nonetheless, state-of-the-art Artificial Intelligence applications can significantly increase this prediction horizon. Powered by a combination of different Machine Learning models, the ASTRA solution aims to both detect and provide resolution strategies for 4DARHACs up to 1 h before onset. To validate ASTRA’s operational concept, a series of workshops and interviews with Flow Management Position operators were conducted, focusing on assessing the initial concept and identifying end user needs. The feedback collected was validated by a board of Subject Matter Experts (SMEs) and transformed into a concrete set of functional and non-functional requirements. Overall, ASTRA’s operational concept was endorsed as a promising solution for reducing airspace complexity while alleviating operator workload during the tactical phase of operations. Experts further highlighted the importance of integrating ASTRA with existing Flow Management Position software tools to maximize its operational impact and facilitate adoption. Full article
Show Figures

Figure 1

10 pages, 1896 KB  
Proceeding Paper
Sustainability Meets AI: The Potential of Coupling Advanced Materials Science with Life Cycle Assessment for Industry Commons
by Panagiotis Kolozis, Michalis Galatoulas, Anastasia Gkika and Elias Koumoulos
Eng. Proc. 2025, 90(1), 92; https://doi.org/10.3390/engproc2025090092 - 8 Apr 2025
Cited by 3 | Viewed by 1598
Abstract
The transformation of the aeronautical industry towards sustainable and cost-effective manufacturing is essential for enhancing aircraft performance while reducing environmental impacts and production costs. This study integrates Life Cycle Assessment (LCA), Life Cycle Costing (LCC), and machine learning to enhance sustainable design in [...] Read more.
The transformation of the aeronautical industry towards sustainable and cost-effective manufacturing is essential for enhancing aircraft performance while reducing environmental impacts and production costs. This study integrates Life Cycle Assessment (LCA), Life Cycle Costing (LCC), and machine learning to enhance sustainable design in aeronautics. A Multi-disciplinary Optimization (MDO) approach was applied to a composite airframe panel, revealing that increased panel mass elevates the impacts of Climate Change (CC) and Resource Use (fossils), largely due to carbon fiber and energy-intensive manufacturing. A Random Forest model predicted LCA/LCC outcomes, facilitating real-time, sustainability-driven decisions. Optimization reduced environmental impacts by 15%. Recommendations include bio-based composites and renewable energy use to further lower environmental costs. Full article
Show Figures

Figure 1

9 pages, 2040 KB  
Proceeding Paper
A Thermal and Structural Assessment of a Conceptual Lunar Micro Rover Design with the Aim of Night Survivability
by Leon Spies, Joel Gützlaff, Daniel Zinken and Markus Czupalla
Eng. Proc. 2025, 90(1), 93; https://doi.org/10.3390/engproc2025090093 - 8 Apr 2025
Viewed by 1928
Abstract
The SAMLER-KI (Semi-autonomous Micro Rover for Lunar Exploration using Artificial Intelligence) project aims to open up further potential for future lunar micro rover missions. The focus is on the conceptual design of a micro rover with a higher level of autonomy and the [...] Read more.
The SAMLER-KI (Semi-autonomous Micro Rover for Lunar Exploration using Artificial Intelligence) project aims to open up further potential for future lunar micro rover missions. The focus is on the conceptual design of a micro rover with a higher level of autonomy and the ability to survive the lunar night. Achieving this capability requires a sophisticated thermal design to endure the harsh lunar environment and maintain acceptable temperatures not only during the extreme cold of the lunar night but also while addressing the power demands of autonomous exploration activities during daytime operations. Simultaneously, the structural design must withstand the vibration loads experienced during rocket launch. The design process is challenged by the conflicting requirements between the structural and thermal subsystems, further compounded by the mission’s mass requirement of 20 kg. An initial rover design has been developed in alignment with these requirements and the overall mission scenario. This paper presents a structural and thermal assessment of the preliminary rover design concept under mission-relevant load conditions. The analyses identify critical design weaknesses, including major parasitic thermal pathways and structurally vulnerable components. Although the current design does not yet meet the imposed requirements, the findings provide essential insights into critical areas that show potential for improvement. These results are expected to guide future iterations towards achieving a feasible and robust thermal and structural design. Full article
Show Figures

Figure 1

10 pages, 1092 KB  
Proceeding Paper
Hybrid Rotor Noise Optimization
by Philipp Mandl, Laura Babetto, Eike Stumpf and Christian Breitsamter
Eng. Proc. 2025, 90(1), 94; https://doi.org/10.3390/engproc2025090094 - 8 Apr 2025
Cited by 2 | Viewed by 2082
Abstract
This study examines noise reduction strategies for unmanned aerial vehicles (UAVs) in urban air mobility applications, with a particular focus on package delivery. By employing a combination of low-, mid- and high-fidelity aerodynamic and aeroacoustic analyses, this research investigates the impact of rotor [...] Read more.
This study examines noise reduction strategies for unmanned aerial vehicles (UAVs) in urban air mobility applications, with a particular focus on package delivery. By employing a combination of low-, mid- and high-fidelity aerodynamic and aeroacoustic analyses, this research investigates the impact of rotor design parameters, including blade spacing and rotational speed, on noise emissions. The results demonstrate that an increase in rotor spacing results in a reduction in noise emissions. By adjusting the blade chord and twist within an optimization loop, it was possible to decrease tonal noise, yielding a Sound Pressure Level (SPL) reduction of about 3.51 dB while improving propulsive efficiency by 39%. These findings highlight the importance of rotor geometry optimisation during the early design stages in order to meet both performance and noise requirements. Full article
Show Figures

Figure 1

9 pages, 2534 KB  
Proceeding Paper
Assessing Policies for the Uptake of Sustainable Aviation Fuels Using the Impact Monitor Framework
by Inge Mayeres, Emanuela Peduzzi, Marko Alder, Fabian Baier, Kuno Buchtal, Sreyoshi Chatterjee, Maximilian Clococeanu, David Ennen, Marc Gelhausen, Alf Junior, Alexandra Leipold, Prajwal Shiva Prakasha, Patrick Ratei, Zarah Zengerling and Thierry Lefebvre
Eng. Proc. 2025, 90(1), 95; https://doi.org/10.3390/engproc2025090095 - 10 Apr 2025
Cited by 1 | Viewed by 837
Abstract
The Impact Monitor Project, funded by the EU, aims to develop an impact assessment framework for European aviation. This paper uses the framework for the modelling and simulation of an impact assessment at the air transport system level, focusing on policies for the [...] Read more.
The Impact Monitor Project, funded by the EU, aims to develop an impact assessment framework for European aviation. This paper uses the framework for the modelling and simulation of an impact assessment at the air transport system level, focusing on policies for the uptake of sustainable aviation fuels. It aims to demonstrate the capabilities developed by the Impact Monitor framework and its interactive dashboard application at the air transport system level. Full article
Show Figures

Figure 1

10 pages, 4084 KB  
Proceeding Paper
Wing Design for Class I Mini Unmanned Aerial Vehicles—Special Considerations for Foldable Wing Configuration at Low Reynolds Numbers
by Eleftherios Karatzas, Eleftherios Nikolaou, Antonis Pitsis, Spiridon Alexopoulos, Vaios Lappas and Vassilis Kostopoulos
Eng. Proc. 2025, 90(1), 96; https://doi.org/10.3390/engproc2025090096 - 11 Apr 2025
Cited by 3 | Viewed by 1915
Abstract
Foldable wing designs are becoming increasingly popular due to their advantages in the rapid deployment and compact packaging of fixed-wing UAVs, particularly when compared to horizontal take-off and VTOL counterparts. However, selecting an appropriate wing design requires the careful consideration of aerodynamic performance [...] Read more.
Foldable wing designs are becoming increasingly popular due to their advantages in the rapid deployment and compact packaging of fixed-wing UAVs, particularly when compared to horizontal take-off and VTOL counterparts. However, selecting an appropriate wing design requires the careful consideration of aerodynamic performance and volume storage constraints. As a result, a trade-off between performance and practicality must be addressed during the conceptual design phase. The primary objective of this study is to identify the optimal wing configuration for a tube-launched foldable wing design. To achieve this, the analysis combine an in-house design tool developed in Excel and XFLR5 v7.01 software. Full article
Show Figures

Figure 1

8 pages, 964 KB  
Proceeding Paper
Thermal Digital Twin of LH2 Aircraft Storage Tank
by Carles Oliet, Marcial Mosqueda-Otero, Eugenio Schillaci, Ahmad Amani, Joaquim Rigola and Jesús Castro
Eng. Proc. 2025, 90(1), 97; https://doi.org/10.3390/engproc2025090097 - 11 Apr 2025
Cited by 1 | Viewed by 1204
Abstract
The decarbonization of the economy is impacting all activities and sectors worldwide. Transport, particularly aircraft transport, is involved in this endeavor; shifting to H2-powered aircraft is one of the identified options for decarbonization, which implies the need for the effective implementation of complex [...] Read more.
The decarbonization of the economy is impacting all activities and sectors worldwide. Transport, particularly aircraft transport, is involved in this endeavor; shifting to H2-powered aircraft is one of the identified options for decarbonization, which implies the need for the effective implementation of complex cryogenic LH2 storage. Modeling tank storage via a Digital Twin (DTwin) is of paramount relevance to facilitate the design process (gains, operating scenarios) and for the extrapolation of experimental measurements on a particular set-up to future tanks with other materials or dimensions. The present paper contributes to this issue, presenting the model under development as part of the H2ELIOS project and the preliminary model results. Full article
Show Figures

Figure 1

9 pages, 770 KB  
Proceeding Paper
Small Launchers Design and Cost Balance Improvements
by Rubén González-González, Andrés García-Pérez and Gustavo Alonso Rodrigo
Eng. Proc. 2025, 90(1), 98; https://doi.org/10.3390/engproc2025090098 - 17 Apr 2025
Cited by 1 | Viewed by 2467
Abstract
The improvement of the design of space launchers, with a consequent reduction in development costs, has not been achieved to the same extent as in the case of satellite designs, even when applying similar Concurrent Engineering processes and MBSE methodologies. The aim of [...] Read more.
The improvement of the design of space launchers, with a consequent reduction in development costs, has not been achieved to the same extent as in the case of satellite designs, even when applying similar Concurrent Engineering processes and MBSE methodologies. The aim of this paper is to introduce the current research at “Universidad Politécnica de Madrid” onto increasing the design efficiency of small space launchers, which is in the preliminary conceptual phases. A new approach is developed based on physical models’ integration in a simulator using a MBSE framework to find an optimal balance between costs and design weights. Full article
Show Figures

Figure 1

9 pages, 4060 KB  
Proceeding Paper
Development of Quasi-Direct Drive Motor for Walking Robots in Extraterrestrial Environments
by Jonas Eisenmenger, Zhongqian Zhao and Frank Kirchner
Eng. Proc. 2025, 90(1), 99; https://doi.org/10.3390/engproc2025090099 - 19 Apr 2025
Cited by 1 | Viewed by 2403
Abstract
This paper presents the development of a quasi-direct drive motor for space applications, which offers opportunities for dynamic applications, such as in walking robots. The use of such a motor in a space environment presents new challenges that make it necessary to go [...] Read more.
This paper presents the development of a quasi-direct drive motor for space applications, which offers opportunities for dynamic applications, such as in walking robots. The use of such a motor in a space environment presents new challenges that make it necessary to go beyond the conventional design for terrestrial applications. To achieve this, the DFKI-X2D joint was developed as part of the MODKOM project. As an approach, an in-runner and an out-runner motor are developed as prototypes and subjected to several functional tests, including tests on a motor test bench, in a climate chamber, and via vibration tests. During these tests, the in-runner approach showed advantages, especially in thermal terms, and based on the findings, a final iteration was designed as the space version, which will undergo additional environmental testing in the future to move towards TRL 5. Full article
Show Figures

Figure 1

10 pages, 3230 KB  
Proceeding Paper
Evaluation of an On-Ground Regional Passenger Cabin Demonstrator
by Anna Reichherzer, Victor Norrefeldt, Benjamin Müller, Davide Straninger, Britta Herbig, Aenne Euhus, Michael Bellmann, Peter Vink, Yu Song and Neil Mansfield
Eng. Proc. 2025, 90(1), 100; https://doi.org/10.3390/engproc2025090100 - 18 Apr 2025
Cited by 1 | Viewed by 930
Abstract
The comparatively environmentally friendly turboprop aircraft should be used more often, but still need some improvements, especially regarding noise. To facilitate research into these improvements, an On-Ground Regional Passenger Cabin Demonstrator was built and validated through a comparison with passengers’ reactions to real [...] Read more.
The comparatively environmentally friendly turboprop aircraft should be used more often, but still need some improvements, especially regarding noise. To facilitate research into these improvements, an On-Ground Regional Passenger Cabin Demonstrator was built and validated through a comparison with passengers’ reactions to real turboprop flights. Seventy-three subjects answered questions on various environmental factors during a simulated flight in the Cabin Demonstrator. Subject testing revealed that the Cabin Demonstrator was overall perceived as realistic compared to real flights, and the comfort level was comparable to the previously conducted in-flight subject test. Thus, the Cabin Demonstrator can be used for multiple future tests. Full article
Show Figures

Figure 1

10 pages, 5242 KB  
Proceeding Paper
Business Guidance on Conformity Assessment of Reuse and Repair for Aeronautics and Wind Energy
by Leandro A. Rodriguez-Ortiz, Estefanía A. Tapia Suárez, Santiago Muíños-Landín, David Castro Boga, Andreia Araújo, Carlos Carneiro, Raquel Miriam Santos, Philipp Johst and Robert Böhm
Eng. Proc. 2025, 90(1), 101; https://doi.org/10.3390/engproc2025090101 - 18 Apr 2025
Cited by 1 | Viewed by 969
Abstract
Research on sustainable business models (BMs) rooted in the circular economy is expanding in industry and academia, encouraging companies to enhance their impact on profits, people, and the planet. However, developing sustainable BMs is complex due to the conflicting objectives of sustainability dimensions [...] Read more.
Research on sustainable business models (BMs) rooted in the circular economy is expanding in industry and academia, encouraging companies to enhance their impact on profits, people, and the planet. However, developing sustainable BMs is complex due to the conflicting objectives of sustainability dimensions and competition with traditional models. This work addresses this challenge by proposing a Sustainable Business Guide (SBG) supported by artificial intelligence (AI) to assist in decision-making. The SBG supports the design and assessment of business models by integrating inspection; business opportunity exploration; technical, economic, and environmental analyses; an AI-based decision support system; and Porter’s Five Forces, focusing on the aeronautical and wind energy sectors. Full article
Show Figures

Figure 1

9 pages, 2548 KB  
Proceeding Paper
Aircraft Level Thermal Management Analysis for Early Design Stages of Future Aircraft: Integration of Systems and Compartments into an Interacting Generic Approach
by Jaap van Muijden and Jos Aalbers
Eng. Proc. 2025, 90(1), 102; https://doi.org/10.3390/engproc2025090102 - 18 Apr 2025
Viewed by 1223
Abstract
For future commercial aircraft having hybrid electric drivetrains, the impact of electrical power generation and distribution on heat production and required heat rejection is of a larger magnitude than for conventional aircraft. The thermal management system (TMS) to control component and compartment temperatures [...] Read more.
For future commercial aircraft having hybrid electric drivetrains, the impact of electrical power generation and distribution on heat production and required heat rejection is of a larger magnitude than for conventional aircraft. The thermal management system (TMS) to control component and compartment temperatures may require dedicated solutions. The impact of TMS on top-level aircraft requirements (TLARs), e.g., weight and drag penalties, should become clear in the early stages of design for integration in the configuration. To assess this impact, a generic approach is presented to support aircraft level thermal management analysis and design based on global aircraft parameters. Full article
Show Figures

Figure 1

9 pages, 5576 KB  
Proceeding Paper
Validation of Enhanced Heat Dissipation Options in More Electric Aircraft Under Flight Conditions
by Victor Norrefeldt, Marie Pschirer, Arnav Pathak and Maximilian Kienberger
Eng. Proc. 2025, 90(1), 103; https://doi.org/10.3390/engproc2025090103 - 18 Apr 2025
Viewed by 996
Abstract
With the increased electrification of aircraft, the thermal management of associated heat loads becomes more and more of a challenge. While a classical airline aircraft typically has a system thermal emission in the same range as the heat generated by passengers, more innovative [...] Read more.
With the increased electrification of aircraft, the thermal management of associated heat loads becomes more and more of a challenge. While a classical airline aircraft typically has a system thermal emission in the same range as the heat generated by passengers, more innovative hybrid electric aircraft designs and hydrogen-powered aircraft can require up to 1 MW of cooling, which is two orders of magnitude larger than the heat load of the transported passengers. For the development of such systems, dedicated laboratory test environments are necessary to pre-assess technologies and flight conditions in research and maturation projects. The Flight Test Facility is one such facility, and this paper will outline some of the thermal tests performed in the past and planned enhancements of the testing capabilities. Full article
Show Figures

Figure 1

8 pages, 5715 KB  
Proceeding Paper
Use of Cabin Sidewall for Thermal Management Applications
by Victor Norrefeldt and Gerhard Riedl
Eng. Proc. 2025, 90(1), 104; https://doi.org/10.3390/engproc2025090104 - 18 Apr 2025
Viewed by 726
Abstract
With increased electrification of new aircraft designs, cooling becomes more challenging. The most straightforward solution is to activate yet unused heat sinks available in the aircraft. The crown and cabin sidewall are such an unused area suitable for heat transfer. Here, only a [...] Read more.
With increased electrification of new aircraft designs, cooling becomes more challenging. The most straightforward solution is to activate yet unused heat sinks available in the aircraft. The crown and cabin sidewall are such an unused area suitable for heat transfer. Here, only a thin plate separates the warm cabin from the cold exterior environment in cruise. Air used for the cooling of devices could be guided along the fuselage skin to benefit from the large heat exchanging surface. Scaling test results indicate that up to 24 kW of additional heat could be dissipated in the short term through this system in flight. Full article
Show Figures

Figure 1

9 pages, 3501 KB  
Proceeding Paper
An Investigation of Ionization Technology for Cleaning Cabin Air in a Business Jet
by Victor Norrefeldt, Michael Buschhaus, Sabine Johann, Anna Nagele-Renzl, Marie Pschirer, Maximilian Kienberger, Florian Mayer and Bernard Baldini
Eng. Proc. 2025, 90(1), 105; https://doi.org/10.3390/engproc2025090105 - 18 Apr 2025
Viewed by 916
Abstract
This paper describes an experimental investigation on the spread of a virus in a business jet cabin and the potential of ionization to reduce the pathogen load. In contrast to priorly investigated recirculation air cleaning, ionization can act directly in the cabin by [...] Read more.
This paper describes an experimental investigation on the spread of a virus in a business jet cabin and the potential of ionization to reduce the pathogen load. In contrast to priorly investigated recirculation air cleaning, ionization can act directly in the cabin by introducing ions into the supply air. Tests were performed by emitting a surrogate virus through a breathing head in a business jet mock-up. The results allow for the conclusion that ionization technology, along with increased airflow, is a well-suited tool to sanitize cabins. Additionally, the effect of ionization on particles was investigated where it became obvious that the presence of particles reduces the ion level; however, the presence of ions hardly impact particles. Full article
Show Figures

Figure 1

11 pages, 9523 KB  
Proceeding Paper
Two-Phase Pumped Cooling System of a HVDC Power Converter: System Analyses and Experimental Results
by Arne K. te Nijenhuis, Robin P.L.J.A. Nieuwenkamp, Johannes van Es and Aaron Day
Eng. Proc. 2025, 90(1), 106; https://doi.org/10.3390/engproc2025090106 - 18 Apr 2025
Viewed by 1237
Abstract
The number of electronic components requiring dedicated cooling is set to increase for the next generation of medium-to-large-sized more-electric aircraft. In the EU-funded H2020 ADENEAS project, the usage of a two-phase mechanically pumped loop for the cooling of a high-power HVDC (High-Voltage Direct [...] Read more.
The number of electronic components requiring dedicated cooling is set to increase for the next generation of medium-to-large-sized more-electric aircraft. In the EU-funded H2020 ADENEAS project, the usage of a two-phase mechanically pumped loop for the cooling of a high-power HVDC (High-Voltage Direct Current) converter, in an aircraft case, is analysed. After a fluid selection, R1233zdE appears as one of the premier candidates for aircraft two-phase pumped cooling systems. A comparison between a R1233zdE two-phase pumped cooling system and liquid cooling system with propylene–glycol water as working fluid is performed. The result of the system comparison is a 40% system mass reduction in favour of a two-phase pumped cooling system. By testing, a successful demonstration of the discussed cooling system is shown in nominal and non-nominal scenarios. With the achieved results presented here, a leap to TRL4 of a two-phase mechanically pumped loop for aircraft power electronics cooling is shown. Full article
Show Figures

Figure 1

9 pages, 1613 KB  
Proceeding Paper
Study of Additive Manufacturing Intrinsic Defects on Fatigue Life of Ti-6Al-4V
by Teresa Morgado, João Alves, António Pereira, Manuel Pereira and Rui F. Martins
Eng. Proc. 2025, 90(1), 107; https://doi.org/10.3390/engproc2025090107 - 6 May 2025
Cited by 1 | Viewed by 2297
Abstract
The present work presents a new approach to studying the structural integrity of a Ti-6Al-4V alloy obtained by Selective Laser Melting (SLM). This approach is based on the intrinsic addictive manufacturing defects analysis obtained by nanotomography, the experimental S-N curve, and the small [...] Read more.
The present work presents a new approach to studying the structural integrity of a Ti-6Al-4V alloy obtained by Selective Laser Melting (SLM). This approach is based on the intrinsic addictive manufacturing defects analysis obtained by nanotomography, the experimental S-N curve, and the small crack growth Murakami and Endo model. Also, two counting methods of 3D manufacturing intrinsic defects were considered. The simulation of S-N curves and the small crack propagation curves were successfully obtained. New models for predicted fatigue limit were developed, one using the (3D) variable area of the defects observed as the total area and the other using the total project area. The 3D total surface area counting method presents more conservative values on crack propagation studies, so it is recommended for integrity studies of Ti6Al4V alloy obtained by SLM. Full article
Show Figures

Figure 1

8 pages, 4727 KB  
Proceeding Paper
Assessing Continuous Descent Operations Using the Impact Monitor Framework
by Jordi Pons-Prats, Xavier Prats, David de la Torre, Eric Soler, Peter Hoogers, Michel van Eenige, Sreyoshi Chatterjee, Prajwal Shiva Prakasha, Patrick Ratei, Marko Alder, Thierry Lefebvre, Saskia van der Loo and Emanuela Peduzzi
Eng. Proc. 2025, 90(1), 108; https://doi.org/10.3390/engproc2025090108 - 6 May 2025
Cited by 1 | Viewed by 863
Abstract
The Impact Monitor Project is a European initiative designed to develop an impact assessment toolbox and framework, targeting the European aviation sector. The proposed framework is not only aimed at the environment, economics, and operations but also the societal impacts of new technologies [...] Read more.
The Impact Monitor Project is a European initiative designed to develop an impact assessment toolbox and framework, targeting the European aviation sector. The proposed framework is not only aimed at the environment, economics, and operations but also the societal impacts of new technologies and aircraft configurations. The toolbox works by setting out the key steps in the impact assessment cycle and presenting guidance, tips, and best practices. Led by DLR, the consortium includes research institutions and universities that have contributed their expertise and tools to develop the collaborative assessment toolbox and framework. The project defines three use cases by considering three assessment levels: aircraft, airport, and air transport system. This article focuses on Use Case 2 on continuous descent operations (CDOs) at the aircraft and airport levels. It describes the workflow proposal, along with the tools involved. The collaborative approach showcases integrating these tools and using collaborative strategies enabled by CPACS (Common Parametric Aircraft Configuration Schema) and RCE (remote component environment). The list of tools includes Scheduler (DLR; flight schedule simulation), AirTOp (NLR; TMA simulation), Dynamo/Farm (UPC; trajectory simulation and assessment), LEAS-iT (NLR; emissions simulation), Tuna (NLR; noise simulation), AECCI (ONERA; emissions simulation), TRIPAC (NLR; third-party risk simulation), and SCBA (TML; social and economic impact assessment). Interactions with other use cases of the project will be demonstrated via new aircraft configurations stemming from the use case at the aircraft level of the project. The results demonstrate the workflow’s feasibility, the cooperation among the tools to obtain and refine the outcomes, as well as the analysis of the operational scenario of a generic airport, CAEPport, which has been extensively used in previous Clean Sky 2 projects. Full article
Show Figures

Figure 1

9 pages, 4006 KB  
Proceeding Paper
Rocket Engine Vacuum Nozzle 3D Printing: Manufacturing, Weight, and Cost Savings
by Nikolaos D. Alexopoulos, Vasileios Zeimpekis, Evangelos Vasileiou, Nikolaos Thomaidis, Theodoros Souxes, Ilona Lazaridou, Maksym Lutsyk, Roman Vorobev, Evgeniy Karakash, Elena Karpovich and Olexandr Grydin
Eng. Proc. 2025, 90(1), 109; https://doi.org/10.3390/engproc2025090109 - 6 May 2025
Viewed by 2376
Abstract
Metallic materials additive manufacturing is extremely challenging nowadays, while aircraft manufacturers are trying to adapt the newly developed technology to produce parts of complex geometry with minimum materials losses. Skyrora is a company focused on the production of several launch vehicles and rockets [...] Read more.
Metallic materials additive manufacturing is extremely challenging nowadays, while aircraft manufacturers are trying to adapt the newly developed technology to produce parts of complex geometry with minimum materials losses. Skyrora is a company focused on the production of several launch vehicles and rockets with the aim of becoming a commercial provider for access to space. One of the Skyrora goals is to develop innovative and long-term solutions for future growth, and, within the Horizon European project “MADE-3D”, aims to improve the rocket propulsion system of the launch vehicle Skyrora XL by exploiting multi-materials during the production phase by additive manufacturing. The main goal of the present investigation is to document the already existing production phases of the “conventional” Skyrora vacuum nozzle printed with Inconel 718 to provide a baseline in terms of weight, manufacturing cost, lead processing time and CO2 equivalent emissions of the under-development multi-material demonstrator. Full article
Show Figures

Figure 1

9 pages, 417 KB  
Proceeding Paper
Eye-Tracking Technologies for Facilitating Multimodal Interaction in Aviation Environments
by Dimosthenis Minas, Lukas Tews, Angelos Fotopoulos, Michalis Xenos, Alberto Calvo-Córdoba and María Rivas-Vidal
Eng. Proc. 2025, 90(1), 110; https://doi.org/10.3390/engproc2025090110 - 18 Apr 2025
Cited by 3 | Viewed by 2494
Abstract
This paper presents a comprehensive examination of eye-tracking technologies aimed at enhancing multimodal interactions within aviation environments. By reviewing and comparing various eye-tracking approaches, we provide valuable insights into their strengths, limitations, and prospective applications. Eye tracking synergizes with human–machine interfaces to optimize [...] Read more.
This paper presents a comprehensive examination of eye-tracking technologies aimed at enhancing multimodal interactions within aviation environments. By reviewing and comparing various eye-tracking approaches, we provide valuable insights into their strengths, limitations, and prospective applications. Eye tracking synergizes with human–machine interfaces to optimize cockpit operations improve safety and elevate user experience. Beyond cockpit interactions, these technologies hold substantial promises in training and simulation environments, offering detailed insights into pilots’ visual attention and decision-making processes. This data-driven approach enhances pilot training programs, contributing to more effective and targeted instruction. The integration of eye-tracking data with other physiological and performance metrics fosters a deeper understanding of pilot behavior, paving the way for innovations in interface design and operational protocols. Finally, this paper discusses the diversity of current eye-tracking technologies in aviation, emphasizing their practical usability in gaze-tracking systems and multimodal interaction frameworks. Full article
12 pages, 2401 KB  
Proceeding Paper
Winglet Design for Class I Mini UAV—Aerodynamic and Performance Optimization
by Eleftherios Nikolaou, Eleftherios Karatzas, Spyridon Kilimtzidis and Vassilis Kostopoulos
Eng. Proc. 2025, 90(1), 111; https://doi.org/10.3390/engproc2025090111 - 7 May 2025
Cited by 2 | Viewed by 1881
Abstract
The aerodynamic performance of an aircraft can be enhanced by incorporating wingtip devices, or winglets, which primarily reduce lift-induced drag created by wingtip vortices. This study outlines an optimization procedure for implementing winglets on a Class I fixed-wing mini-UAV to maximize aerodynamic efficiency [...] Read more.
The aerodynamic performance of an aircraft can be enhanced by incorporating wingtip devices, or winglets, which primarily reduce lift-induced drag created by wingtip vortices. This study outlines an optimization procedure for implementing winglets on a Class I fixed-wing mini-UAV to maximize aerodynamic efficiency and performance. After the Conceptual and Preliminary design phases, a baseline UAV was developed without winglets, adhering to specific layout constraints (e.g., wingspan, length). Various winglet designs—plate and blended types with differing heights, cant angles, and sweep angles—were then created and assessed. A Computational Fluid Dynamics (CFD) analysis was conducted to evaluate the flow around both the winglet-free UAV and configurations with each winglet design. The simulations employed Reynolds-Averaged Navier-Stokes (RANS) equations coupled with the Spalart-Allmaras turbulence model, targeting the optimal winglet configuration for enhanced aerodynamic characteristics during cruise. Charts of lift, drag, pitching moment coefficients, and lift-to-drag ratios are presented, alongside flow contours illustrating vortex characteristics for both baseline and optimized configurations. Additionally, dynamic stability analyses examined how winglets impact the UAV’s stability and control. The results demonstrated a significant improvement in aerodynamic coefficients (CLmax, L/Dmax, CLa, Cma), leading to an increase in both range and endurance. Full article
Show Figures

Figure 1

9 pages, 430 KB  
Proceeding Paper
Enhancing Heterogeneous Multi-Robot Teaming for Planetary Exploration
by Amrita Suresh, Melvin Laux, Wiebke Brinkmann, Leon C. Danter and Frank Kirchner
Eng. Proc. 2025, 90(1), 112; https://doi.org/10.3390/engproc2025090112 - 8 May 2025
Cited by 2 | Viewed by 1596
Abstract
Future space missions will include multi-robot systems, with greater autonomy and a large degree of heterogeneity for a wider range of task capabilities and redundancy. It is imperative that both software (learning models, parallelizing capabilities, resource distribution, etc.) and hardware factors must be [...] Read more.
Future space missions will include multi-robot systems, with greater autonomy and a large degree of heterogeneity for a wider range of task capabilities and redundancy. It is imperative that both software (learning models, parallelizing capabilities, resource distribution, etc.) and hardware factors must be considered during decentralized task negotiation to lead to better performance of the team. By utilizing the formalism of contextual Markov decision processes, team composition can be incorporated into the learning process and used for more meaningful and reliable evaluation using measures such as total time, overall consumed energy, performance feedback from tasks, or damage incurred. Improved team performance will in turn enhance the overall results of the mission. Planetary exploration tasks often involve time, communication and energy constraints. Such missions are also prone to noisy sensor data (e.g., camera images distorted by dust), as well as wear and tear on hardware (e.g., wheels, manipulators). To ensure that such factors do not jeopardize the mission, they must be taken into account. Therefore, this paper describes a software framework for the reliable execution of tasks in constrained and dynamic environments. Our work leverages the advantages of heterogeneity for more resilient planetary missions by addressing two aspects—first, the integration of hardware parameters into the negotiation process, and second the analysis of how the integration of team performance metrics, particularly adaptability and mutual support, in task negotiation plays a role in the overall mission success. Full article
Show Figures

Figure 1

8 pages, 5211 KB  
Proceeding Paper
Influence of LPBF Process Parameters on the Surface Quality of Stainless Steel on the Adhesion Properties with Thermoplastics
by Florian Lehmann, Juliane Troschitz and Maik Gude
Eng. Proc. 2025, 90(1), 113; https://doi.org/10.3390/engproc2025090113 - 6 May 2025
Viewed by 891
Abstract
Spinodoid metamaterials are artificial, architected materials that offer unique properties superior to the corresponding bulk material. This type of structure enables tailored properties to create new opportunities for applications in, e.g., the mobility, health, and energy sectors. Spinodoid metal structures only can be [...] Read more.
Spinodoid metamaterials are artificial, architected materials that offer unique properties superior to the corresponding bulk material. This type of structure enables tailored properties to create new opportunities for applications in, e.g., the mobility, health, and energy sectors. Spinodoid metal structures only can be manufactured by advanced additive manufacturing technologies such as the laser powder bed fusion (LPBF) process. For various application scenarios of metamaterials, it may be necessary to bond or coat them with thermoplastics. The surface quality of the additively manufactured structure is particularly relevant for the adhesion of the metallic to the thermoplastic structure, as the mechanical adhesion, for example, depends on the roughness and surface properties. Therefore, this paper focuses on the investigation of the surface properties of additively manufactured stainless steel components with dependence on the parameters of the LPBF process with regard to subsequent adhesion with thermoplastics. Full article
Show Figures

Figure 1

8 pages, 4531 KB  
Proceeding Paper
Model Validation for Particle Spread and Infectiveness in Aircraft Cabins
by Arnav Pathak, Michael Buschhaus, Sabine Johann, Anna Nagele-Renzl, Marie Pschirer, Maximilian Kienberger and Victor Norrefeldt
Eng. Proc. 2025, 90(1), 114; https://doi.org/10.3390/engproc2025090114 - 28 May 2025
Viewed by 776
Abstract
In a flight test facility twin-aisle cabin demonstrator, a test series was conducted with the objective to investigate cleaning methods for recirculated air. Based on the data, a 3D zonal airflow simulation model of particle spread and cleaning performance was validated with the [...] Read more.
In a flight test facility twin-aisle cabin demonstrator, a test series was conducted with the objective to investigate cleaning methods for recirculated air. Based on the data, a 3D zonal airflow simulation model of particle spread and cleaning performance was validated with the aim of extrapolating results to arbitrary aircraft cabins. For the tests, particles containing a phi6 bacteriophage, a virus only attacking a specific bacterium and with a similar structure to SARS-CoV-2, was dosed through a breathing head. The particle distribution and infectiveness of the air samples were measured. State-of-the-art HEPA filtering and cleaners based on UV-C and plasma were integrated in the recirculated air path and experimentally investigated. The test results showed the best cleaning performance for the state-of-the-art HEPA filter, while the alternatives showed lower performance levels. It was noted that infectiveness and particle count did not necessarily follow a monotonic function, making the link between these two quantities challenging. Therefore, modeling showed to be able to properly replicate particle distribution in the cabin, while an assumption of infectiveness depending on particle count had to be made. The model could successfully be applied to a single-aisle aircraft cabin geometry. Full article
Show Figures

Figure 1

8 pages, 1588 KB  
Proceeding Paper
Comparison of Alternative Engine Architectures for Next Generation Supersonic Aircraft
by Dario Del Gatto, Stylianos Adamidis, Christos Mourouzidis and Stephen Brown
Eng. Proc. 2025, 90(1), 115; https://doi.org/10.3390/engproc2025090115 - 29 May 2025
Viewed by 1586
Abstract
The present paper illustrates the design space exploration of a supersonic mixed-flow turbofan engine for civil applications. The aircraft platform selected is a 10-passenger business jet, cruising at Mach 1.6. To overcome noise limitations at take-off, an alternative engine architecture with additional exhaust [...] Read more.
The present paper illustrates the design space exploration of a supersonic mixed-flow turbofan engine for civil applications. The aircraft platform selected is a 10-passenger business jet, cruising at Mach 1.6. To overcome noise limitations at take-off, an alternative engine architecture with additional exhaust nozzle variability, to overcome the take-off noise limit, is proposed. The fully variable area nozzle configuration allows for an overall 15% weight reduction against a partially variable area nozzle architecture. In terms of overall aircraft mission fuel burn, it shows an 8% mission fuel burn reduction against the partially variable area nozzle architecture, with a final fuel efficiency of 11.4 pax-mile/us gallon. Full article
Show Figures

Figure 1

Back to TopTop