Next Article in Journal
Functionalization Effect of Multi-Walled Carbon Nanotubes Used as Supports for Cu-Based Catalysts
Previous Article in Journal
Application of a Fiber Optic-Based SHM System to a Composite Aircraft Wing and Its Technological Maturity Evaluation
 
 
Font Type:
Arial Georgia Verdana
Font Size:
Aa Aa Aa
Line Spacing:
Column Width:
Background:
Proceeding Paper

Use of Bayesian Networks to Understand Sustainability Requirements †

Faculty of Engineering and Applied Sciences, Cranfield University, Cranfield, Bedford MK430AL, UK
*
Author to whom correspondence should be addressed.
Presented at the 14th EASN International Conference on “Innovation in Aviation & Space towards sustainability today & tomorrow”, Thessaloniki, Greece, 8–11 October 2024.
Eng. Proc. 2025, 90(1), 32; https://doi.org/10.3390/engproc2025090032
Published: 13 March 2025

Abstract

Sustainability is a key requirement in contemporary engineering design, but it is difficult to quantify due to its multidimensionality. We propose the application of Bayesian Networks for modeling the cause and effect of engineering systems and their environment. Emphasis is placed on capturing the impact on sustainability indicators of design decisions. These include the performance of the system, its economic viability in terms of cost, and its environmental and societal impacts. The method leverages data from simulation models, enabling the designer to perform assumption-free inferences on the variables at play.

1. Introduction

Sustainability has emerged as a crucial aspect in modern engineering design, integrating considerations of environmental and societal impact alongside traditional cost and performance requirements [1]. However, both the quantification and incorporation of sustainability requirements pose a significant challenge due to their multifaceted and objective nature. Furthermore, designers may have difficulty interpreting the trade-offs between these two types of requirements. Indeed, the designer may be hindered by conventional design approaches, which act as a cognitive bias in the design process [2]. For example, designers may be predisposed to adopt familiar solutions that have proven effective in the past but may not be the most sustainable ones available.
Currently, the most common approach to incorporate sustainability indicators is through the use of multiattribute value theory (MAVT) methods [3,4,5], which map the design parameters to a sustainability score with one or more value functions. While the implementation is relatively simple, this method may obscure the interdependencies between variables and does not inherently account for uncertainty in the requirements.
This study explores the application of Bayesian Networks (BNs) to help understand the impact of sustainability requirements on the design space and engineering requirements [6]. BNs are well-suited for handling uncertainty and complex interdependencies between variables, making them particularly valuable in addressing complex problems with intricate interdependencies. These two characteristics can address and extend the MAVT approach by using value function data in conjunction with the rest of the system model, which generates a more comprehensive causal model for designers to interrogate.
Sustainability metrics are incorporated in the test case to study their impact on the design space, accounting for the engineering requirements. This is demonstrated with the redesign of a NASA CRM wing, where the aspect ratio and wing structural thickness are changed. The method is data-driven, leveraging results from the design model, and processed to train the BN with the causal links between the design parameters, performance indicators, and requirements.

2. Materials and Methods

2.1. Bayesian Networks for Design Tasks

A Bayesian Network is a graph model that describes the correlation dependencies between random variables [7]. These have often been used to model causal relationships between variables and to build reasoning systems robust to uncertainties.
Engineers adopt computational models for simulating their designs and making decisions based on the results. These simulation models effectively embed the assumptions and the mapping between the design parameters and the quantities of interest. Through sampling, it is possible to extract this information and train a suitable model that captures the relationships between the parameters in a black-box fashion.
Bayesian Networks (BNs) are considered suitable for embedding the information that designers need in the conceptual phase, that is, mapping requirements onto the design space, handling requirement changes, and evaluating what–if scenarios for design selection [6]. Furthermore, it is possible to structure the network to contain variables from different disciplines and different levels of complexity (system-of-system level, system level, component level).
Figure 1 presents the steps for training a BN. Training begins after the user defines the variables at play and the connections between them. Structure training from data is still a field being explored and has so far been unable to reliably recover the cause-and-effect connections between variables.
The data are extracted from the design model and augmented using a set of Gaussian process interpolating functions. The uncertainty in the requirement is modeled using a uniform distribution, with a variance around the deterministic value.
The trained network of the test case is presented in Figure 2. The colors highlight the disciplines of each variable. The four sustainability pillars (performance, cost, society, environment) were linked to the other variables through expert judgment.

2.2. Sustainability Criteria

Following the approach suggested by Filippatos [5,8], four sustainability criteria were incorporated and linked to the system parameters. These aim to incorporate societal considerations within the system design, besides the usual performance, cost, and environmental criteria.
The sustainability pillars were evaluated using a function that mapped the affected quantities of interest to a score between 1 and 5. The variables affected the quantities through a linear correlation, positive or negative according to experts. Table 1 shows the connections and the signs (positive or negative) of the correlations between the six input variables (two input parameters and four quantities of interest) and the four sustainability pillars.
The performance criterion encompassed qualities that improve the fitness of the design, such as better range or lower weight. The cost criterion relates to the complexity of manufacturing (high aspect ratio), higher use of materials (high wing mass or skin thickness), and increased operating costs (high cruise drag). The society pillar reflects the positive influence a higher-range aircraft would have on the economy by increasing the number of direct connections across the globe. Finally, the environment pillar is linked to variables affecting fuel consumption and emissions (drag and mass).
The contribution of each parameter is calculated using Equation (1), where x is any of the variables listed in Table 1. Each variable is normalized between 0 and 1 based on the minimum and maximum values in the Bayesian Network training dataset.
k x = x x m i n x m a x x m i n
Each sustainability score is then calculated by averaging the contributions and multiplying by 5 (2).
P e r f o r m a n c e = 5 · m e a n ( k L / D , 1 k C D , c r u i s e , 1 k w i n g m a s s , k r a n g e )
C o s t = 5 · m e a n ( k A R , k S k i n t h i c k n e s s , k C D , c r u i s e , k w i n g m a s s )
S o c i e t y = 5 · k r a n g e
E n v i r o n m e n t = 5 · m e a n ( k L / D , 1 k C D , c r u i s e , 1 k w i n g m a s s )

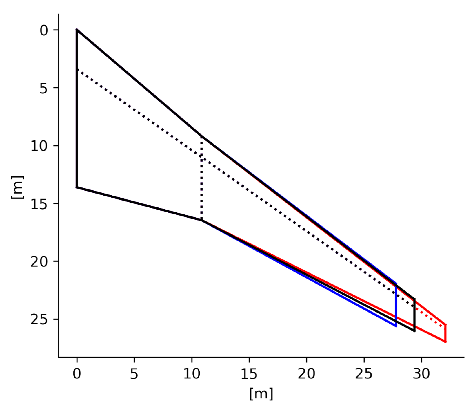
2.3. CRM Wing Redesign Example

The test case is a redesign of a CRM wing (Figure 3), where the segment after the crank is changed according to the change in aspect ratio. The distribution of the skin thickness is scaled according to the baseline root skin thickness value. This simplification is adopted as a compromise between the number of input parameters and the optimal structural layout. The bounds considered for the input parameters are shown in Table 2. The input design space was sampled with 100 points using a Latin Hypercube, and it is assumed that the input parameters are uniformly distributed. The augmentation process interpolated the original dataset, generating 1000 additional data points.
The requirements for this design problem are shown in Table 3. These are mapped to the leaf nodes in the BN (Figure 2). Mapping each requirement can be carried out by imposing each corresponding “satisfaction” node to true. The range and wing mass nodes have an additional parent variable that encodes the uncertainty of the requirement. This allows the analysis to account for the variability and changes in the constraints.

3. Results and Discussion

Figure 4 presents the input design space with the engineering requirements applied. These correspond to the following query in the BN:
P ( A R , Root Skin Thickness | S m a x , S T W , S B , M w i n g , Range )
where S m a x is the Max Strength requirement, S T W is the Tsai–Wu Criterion Requirement, S B is the Buckling requirement, M w i n g is the maximum wing mass requirement, and Range is the range requirement. All of these are imposed to be true when conditioning the BN model. The result of the query is a probability distribution where it is possible to identify the most promising set of input parameters. Additionally, changing the query conditions allows designers to better understand the sensitivity of the design space to these requirements.
For instance, the most restrictive set is the three structural criteria where few pockets of the design space have a high probability of satisfiability (Figure 4a). The addition of the wing mass and the range requirements shifts the probability distribution toward higher aspect ratios and slightly lower skin thicknesses.
This shift reflects how the model incorporates the preferences for each requirement, leading to a trade-off effect.
Figure 5 presents the query of the four sustainability pillars over the design space:
P ( A R , Root Skin Thickness | Performance , Cost , Society , Environment )
The probability reflects the degree of improvement over the baseline sustainability scores (See Table 4). The combined results suggest that designers should focus on lower root skin thicknesses and higher aspect ratios to improve the overall sustainability of the design.
These results contrast with those obtained when considering only the engineering requirements (Figure 4). These results suggest that the engineering requirements may be too restrictive to achieve a more sustainable design.
Figure 6 shows the final designs after applying a 20% probability cutoff. Figure 6b shows the solutions sampled from this design space. The most promising set has an aspect ratio between 10.5 and 11.0 and a root skin thickness close to the original value (between 17.5 and 20.0 mm).
The sustainability requirements are combined with the engineering requirements, producing the final design space in Figure 4. Applying a 25% cutoff leaves only high-aspect-ratio designs as shown in Figure 7. The shift toward lower skin thicknesses was not as effective because the engineering requirements did not permit solutions in the lower quadrants.
This shift can be interpreted as the system trading off some of the engineering requirements to meet the sustainability demands. The process also eliminated designs with low sustainability scores. Figure 8 compares some quantities that are directly affected by the sustainability scores. The society and performance criteria eliminated designs with low L / D and ranges, while the cost criterion eliminated designs with high wing weights. These results indicate that the system refined the results to an area of the design space that improves sustainability scores while still meeting the engineering requirements.

4. Conclusions

This study presented Bayesian Networks as a tool for integrating sustainability considerations into the engineering design process. The ability of BNs to model causality and uncertainty makes them well suited for addressing complex systems and for integrating conflicting requirements, such as engineering and sustainability, into the design problem. Furthermore, BNs can easily incorporate imprecise forms of information, such as sustainability requirements.
The test case highlighted how BNs shifted the design space towards the preferences indicated by the sustainability requirements while still incorporating the more restrictive engineering requirements. Overall, this study identified a trade-off between engineering requirements and sustainability.
Future work will quantify the restrictiveness of the engineering and sustainability requirements and analyze how relaxing these requirements affects the design space.

Author Contributions

Conceptualization, A.S. and T.K.; methodology, A.S.; software, A.S.; validation, A.S. and T.K.; formal analysis, A.S.; investigation, A.S. and T.K.; resources, A.S. and T.K.; data curation, A.S.; writing—original draft preparation, A.S.; writing—review and editing, A.S. and T.K.; visualization, A.S.; supervision, T.K.; project administration, T.K.; funding acquisition, T.K. All authors have read and agreed to the published version of the manuscript.

Funding

This research was funded by Aerospace Technology Institute grant number 10003388.

Institutional Review Board Statement

Not applicable.

Informed Consent Statement

Not applicable.

Data Availability Statement

Upon request to the authors.

Acknowledgments

The authors thank the members of the ONEHeart project for their help in producing the dataset of this article using their tools, specifically Estela Bragado-Aldana and Yingun Pan.

Conflicts of Interest

The authors declare no conflicts of interest.

References

  1. Gagnon, B.; Leduc, R.; Savard, L. From a conventional to a sustainable engineering design process: Different shades of sustainability. J. Eng. Des. 2012, 23, 49–74. [Google Scholar] [CrossRef]
  2. Klotz, L.; Weber, E.; Johnson, E.; Shealy, T.; Hernandez, M.; Gordon, B. Beyond rationality in engineering design for sustainability. Nat. Sustain. 2018, 1, 225–233. [Google Scholar] [CrossRef]
  3. Calado, E.A.; Leite, M.; Silva, A. Selecting composite materials considering cost and environmental impact in the early phases of aircraft structure design. J. Clean. Prod. 2018, 186, 113–122. [Google Scholar] [CrossRef]
  4. Lindfors, A. Assessing sustainability with multi-criteria methods: A methodologically focused literature review. Environ. Sustain. Indic. 2021, 12, 100149. [Google Scholar] [CrossRef]
  5. Filippatos, A.; Markatos, D.; Tzortzinis, G.; Abhyankar, K.; Malefaki, S.; Gude, M.; Pantelakis, S. Sustainability-Driven Design of Aircraft Composite Components. Aerospace 2024, 11, 86. [Google Scholar] [CrossRef]
  6. Spinelli, A.; Sharma, A.; Kipouros, T. Requirements uncertainty propagation in conceptual design using Bayesian Networks. In Proceedings of the 34th Congress of the International Council of the Aeronautical Sciences, Florence, Italy, 9–13 September 2024. [Google Scholar]
  7. Koller, D.; Friedman, N. Probabilistic Graphical Models: Principles and Techniques; MIT Press: Cambridge, MA, USA, 2009. [Google Scholar]
  8. Filippatos, A.; Markatos, D.N.; Theochari, A.; Malefaki, S.; Kalampoukas, T.; Pantelakis, S.G. A propoosal towards a step change from Eco-Driven to Sustainability-Driven design of aicraft components. In Proceedings of the 34th Congress of the International Council of the Aeronautical Sciences, Florence, Italy, 9–13 September 2024. [Google Scholar]
Figure 1. Bayesian Network training procedure.
Figure 1. Bayesian Network training procedure.
Engproc 90 00032 g001
Figure 2. Bayesian Network of the design problem featuring the sustainability pillars.
Figure 2. Bayesian Network of the design problem featuring the sustainability pillars.
Engproc 90 00032 g002
Figure 3. Baseline CRM, with two modifications highlighted (blue and red).
Figure 3. Baseline CRM, with two modifications highlighted (blue and red).
Engproc 90 00032 g003
Figure 4. Engineering requirement design space.
Figure 4. Engineering requirement design space.
Engproc 90 00032 g004
Figure 5. Sustainability requirements design space.
Figure 5. Sustainability requirements design space.
Engproc 90 00032 g005
Figure 6. Final solutions with only engineering requirements.
Figure 6. Final solutions with only engineering requirements.
Engproc 90 00032 g006
Figure 7. Final solutions with sustainability and engineering requirements combined.
Figure 7. Final solutions with sustainability and engineering requirements combined.
Engproc 90 00032 g007
Figure 8. Parameter comparison between the two sampled sets.
Figure 8. Parameter comparison between the two sampled sets.
Engproc 90 00032 g008
Table 1. Connectivity table of the sustainability criteria.
Table 1. Connectivity table of the sustainability criteria.
PerformanceCostSocietyEnvironment
Aspect Ratio +
Skin Thickness +
L / D + +
C D Cruise+
Wing Mass+
Range+ +
Table 2. Input Parameters.
Table 2. Input Parameters.
ParameterLower BoundUpper Bound
Wing Aspect Ratio712
Root Skin Thickness [mm]530
Table 3. Requirements.
Table 3. Requirements.
Structural SafetyStrength (Tsai–Wu, Max Strength) and Buckling requirements satisfied
Wing Mass Budget M w i n g M w i n g , b a s e l i n e ± 15 %
Aircraft Operating Range R a n g e R a n g e B 777 ± 5 %
Sustainability PillarsImprovement over the baseline configuration (Table 4)
Table 4. Baseline Sustainability Scores (0–5).
Table 4. Baseline Sustainability Scores (0–5).
PerformanceCostSocietyEnvironment
2.582.012.312.67
Disclaimer/Publisher’s Note: The statements, opinions and data contained in all publications are solely those of the individual author(s) and contributor(s) and not of MDPI and/or the editor(s). MDPI and/or the editor(s) disclaim responsibility for any injury to people or property resulting from any ideas, methods, instructions or products referred to in the content.

Share and Cite

MDPI and ACS Style

Spinelli, A.; Kipouros, T. Use of Bayesian Networks to Understand Sustainability Requirements. Eng. Proc. 2025, 90, 32. https://doi.org/10.3390/engproc2025090032

AMA Style

Spinelli A, Kipouros T. Use of Bayesian Networks to Understand Sustainability Requirements. Engineering Proceedings. 2025; 90(1):32. https://doi.org/10.3390/engproc2025090032

Chicago/Turabian Style

Spinelli, Andrea, and Timoleon Kipouros. 2025. "Use of Bayesian Networks to Understand Sustainability Requirements" Engineering Proceedings 90, no. 1: 32. https://doi.org/10.3390/engproc2025090032

APA Style

Spinelli, A., & Kipouros, T. (2025). Use of Bayesian Networks to Understand Sustainability Requirements. Engineering Proceedings, 90(1), 32. https://doi.org/10.3390/engproc2025090032

Article Metrics

Back to TopTop