Comparison of Energy Sources for an Electric Powertrain in a Tilt-Rotor Urban Air Mobility Vehicle †
Abstract
1. Introduction
2. Method
2.1. Tilt-Rotor Vehicle
2.2. Powertrain Modelling
3. Results
3.1. Baseline Powertrains
3.2. Gearbox Study
3.3. FC-Only Parameter Study
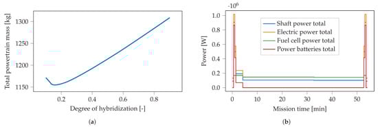
3.4. Hybrid Powertrain Study
3.5. Combined Results of Powertrain Architecture
4. Discussion and Conclusions
Author Contributions
Funding
Institutional Review Board Statement
Informed Consent Statement
Data Availability Statement
Conflicts of Interest
References
- Archer Aviation Inc. Archer Midnight. Available online: https://www.archer.com/aircraft (accessed on 27 August 2024).
- Joby Aviation. Joby S4. Available online: https://www.jobyaviation.com/ (accessed on 27 August 2024).
- Lilium GmbH. Lilium Jet. Available online: https://jet.lilium.com/ (accessed on 27 August 2024).
- Donateo, T.; Ficarella, A. A Methodology for the Comparative Analysis of Hybrid Electric and All-Electric Power Systems for Urban Air Mobility. Energies 2022, 15, 638. [Google Scholar] [CrossRef]
- Hagag, N.; Jäger, F. Evaluation of the Technical Value of Powertrain Systems to Enable Safe Performance-based Flight Guidance for Urban Air Mobility. In Proceedings of the 2023 IEEE/AIAA 42nd Digital Avionics Systems Conference (DASC), Barcelona, Spain, 1–5 October 2023; IEEE: Piscataway, NJ, USA, 2023; pp. 1–11. [Google Scholar] [CrossRef]
- Palaia, G.; Abu Salem, K.; Cipolla, V.; Binante, V.; Zanetti, D. A Conceptual Design Methodology for e-VTOL Aircraft for Urban Air Mobility. Appl. Sci. 2021, 11, 10815. [Google Scholar] [CrossRef]
- Thomas, G.L.; Chapman, J.W.; Hasseeb, H.; Fuzaro Alencar, J.; Sadey, D.; Csank, J. Multidisciplinary Systems Analysis of a Six Passenger Quadrotor Urban Air Mobility Vehicle Powertrain. In Proceedings of the AIAA Propulsion and Energy 2020 Forum, Reston, VI, USA, 24–26 August, 2020. [Google Scholar] [CrossRef]
- Schade, S.; Ludowicy, J.; Ratei, P.; Hepperle, M.; Rossignol, K.S.; de Graaf, S.; Geyer, T. Conceptual design of electrically-powered Urban Air Mobility vehicles for aeroacoustic studies. In Proceedings of the Deutscher Luft- und Raumfahrtkongress 2024, Hamburg, Germany, 30 September–2 October 2024. Manuscript submitted for publication. [Google Scholar]
- Ratei, P.; Naeem, N.; Prakasha, P.S. Development of an urban air mobility vehicle family concept by system of systems aircraft design and assessment. J. Phys. Conf. Ser. 2023, 2526, 012043. [Google Scholar] [CrossRef]
- Ludowicy, J.; Bahrs, V.J.; Staggat, M. Feasibility study for a medium-range regional aircraft retrofit with battery powered propulsion system. In Proceedings of the Aerospace Europe Conference 2023: 10th EUCASS and 9th CEAS, Lausanne, Switzerland, 9–13 July 2023. [Google Scholar] [CrossRef]
- Battery Design. Tesla 4680 Cell. Available online: https://www.batterydesign.net/tesla-4680-cell/ (accessed on 27 August 2024).
- Pastra, C.L.; Hall, C.; Cinar, G.; Gladin, J.; Mavris, D.N. Specific Power and Efficiency Projections of Electric Machines and Circuit Protection Exploration for Aircraft Applications. In Proceedings of the 2022 IEEE Transportation Electrification Conference & Expo (ITEC), Anaheim, CA, USA, 15–17 June 2022; IEEE: Piscataway, NJ, USA, 2022; pp. 766–771. [Google Scholar] [CrossRef]
- Hall, C.; Pastra, C.L.; Burrell, A.; Gladin, J.; Mavris, D.N. Projecting Power Converter Specific Power Through 2050 for Aerospace Applications. In Proceedings of the 2022 IEEE Transportation Electrification Conference & Expo (ITEC), Anaheim, CA, USA, 15–17 June 2022; IEEE: Piscataway, NJ, USA, 2022; pp. 760–765. [Google Scholar] [CrossRef]
- Tiede, B.; O’Meara, C.; Jansen, R. Battery Key Performance Projections based on Historical Trends and Chemistries. In Proceedings of the 2022 IEEE Transportation Electrification Conference & Expo (ITEC), Anaheim, CA, USA, 15–17 June 2022; IEEE: Piscataway, NJ, USA, 2022; pp. 754–759. [Google Scholar] [CrossRef]
- Link, A.; Ludowicy, J.; Staggat, M. Assessment of a Serial Cooling Concept for HTPEM Fuel Cell Systems for Aviation Applications. In Proceedings of the 33rd Congress of the International Council of the Aeronautical Sciences, Stockholm, Sweden, 4–9 November 2022. [Google Scholar]






| Design range | 100 km | Maximum payload | 450 kg |
| Final reserve | 20 min | Entry into service | 2030+ |
| Cruise speed | 200 km/h | ||
| MTOM | 2334 kg | Powertrain mass | 1020 kg |
| Battery-Only | Mass [kg] | FC-Only | Mass [kg] |
|---|---|---|---|
| Rotors | 30.23 | Rotors | 30.23 |
| Tilt mechanisms | 154.25 | Tilt mechanisms | 154.25 |
| E-Motors | 237.06 | E-Motors | 237.06 |
| Inverters | 99.37 | Inverters | 99.37 |
| TMS EDT | 30.35 | TMS EDT | 30.35 |
| Converter battery | 74.45 | FCS | 392.17 |
| Batteries | 570.99 | TMS FCS | 310.97 |
| Converter FCS | 10.38 | ||
| Hydrogen | 7.90 | ||
| Hydrogen tank | 80.72 | ||
| Total | 1197.49 | Total | 1354.19 |
| Item | Mass [kg] | Item | Mass [kg] |
|---|---|---|---|
| Rotors | 30.23 | Batteries | 312.99 |
| Tilt mechanisms | 154.25 | TMS FCS | 64.21 |
| E-Motors | 237.06 | FCS | 62.27 |
| Inverters | 99.37 | Converter FCS | 1.71 |
| TMS EDT | 30.35 | Hydrogen | 8.9 |
| Converter battery | 62.04 | Hydrogen tank | 90.82 |
| Total 1154.99 kg | |||
| Item | Mass [kg] | Item | Mass [kg] |
|---|---|---|---|
| Rotors | 30.23 | Converter battery | 62.67 |
| Tilt mechanisms | 154.25 | Batteries | 317.34 |
| Gearboxes | 45.95 | Converter FCS | 1.73 |
| E-Motors | 43.30 | TMS FCS | 64.77 |
| Inverters | 62.75 | FCS | 62.82 |
| TMS EDT | 33.07 | Hydrogen | 9.68 |
| Hydrogen tank | 98.65 | ||
| Total 988.00 kg | |||
Disclaimer/Publisher’s Note: The statements, opinions and data contained in all publications are solely those of the individual author(s) and contributor(s) and not of MDPI and/or the editor(s). MDPI and/or the editor(s) disclaim responsibility for any injury to people or property resulting from any ideas, methods, instructions or products referred to in the content. |
© 2025 by the authors. Licensee MDPI, Basel, Switzerland. This article is an open access article distributed under the terms and conditions of the Creative Commons Attribution (CC BY) license (https://creativecommons.org/licenses/by/4.0/).
Share and Cite
Ludowicy, J.; Ratei, P.; de Graaf, S. Comparison of Energy Sources for an Electric Powertrain in a Tilt-Rotor Urban Air Mobility Vehicle. Eng. Proc. 2025, 90, 69. https://doi.org/10.3390/engproc2025090069
Ludowicy J, Ratei P, de Graaf S. Comparison of Energy Sources for an Electric Powertrain in a Tilt-Rotor Urban Air Mobility Vehicle. Engineering Proceedings. 2025; 90(1):69. https://doi.org/10.3390/engproc2025090069
Chicago/Turabian StyleLudowicy, Jonas, Patrick Ratei, and Stefanie de Graaf. 2025. "Comparison of Energy Sources for an Electric Powertrain in a Tilt-Rotor Urban Air Mobility Vehicle" Engineering Proceedings 90, no. 1: 69. https://doi.org/10.3390/engproc2025090069
APA StyleLudowicy, J., Ratei, P., & de Graaf, S. (2025). Comparison of Energy Sources for an Electric Powertrain in a Tilt-Rotor Urban Air Mobility Vehicle. Engineering Proceedings, 90(1), 69. https://doi.org/10.3390/engproc2025090069

