Numerical Analysis of Potential Energy Recovery via a Thermoelectric Generator (TEG) for the Next-Generation Hybrid-Electric Regional Aircraft †
Abstract
1. Introduction
2. Theoretical Background
3. Results and Discussion
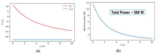
3.1. Outflow Valve
3.2. Skin Heat Exchanger
4. Conclusions
Author Contributions
Funding
Institutional Review Board Statement
Informed Consent Statement
Data Availability Statement
Conflicts of Interest
References
- Home|HERA. Available online: https://project-hera.eu/home (accessed on 9 November 2024).
- Hybrid-Electric Regional Architecture|HERA|Project|Fact sheet|HORIZON|CORDIS|European Commission. Available online: https://cordis.europa.eu/project/id/101102007 (accessed on 9 November 2024).
- Thermal Management for the Hybrid Electric Regional Aircraft|TheMa4HERA|Project|Fact Sheet|HORIZON|CORDIS|European Commission. Available online: https://cordis.europa.eu/project/id/101102008 (accessed on 9 November 2024).
- Home|Clean Aviation. Available online: https://www.clean-aviation.eu/ (accessed on 9 November 2024).
- Ioannis Petsagkourakis. High Performance Polymer and Polymer/Inorganic Thermoelectric Materials. Polymers; Université de Bordeaux: Bordeaux, France, 2016. English. ⟨NNT: 2016BORD0351⟩. ⟨tel-02003480⟩. Available online: https://theses.hal.science/tel-02003480v1 (accessed on 9 November 2024).
- Champier, D. Thermoelectric Generators: A Review of Applications. Energy Convers. Manag. 2017, 140, 167–181. [Google Scholar] [CrossRef]
- Jouhara, H.; Żabnieńska-Góra, A.; Khordehgah, N.; Doraghi, Q.; Ahmad, L.; Norman, L.; Axcell, B.; Wrobel, L.; Dai, S. Thermoelectric Generator (TEG) Technologies and Applications. Int. J. Thermofluids 2021, 9, 100063. [Google Scholar] [CrossRef]
- Rowe, D.M. Thermoelectrics Handbook: Macro to Nano, 1st ed.; CRC Press: Boca Raton, FL, USA, 2006. [Google Scholar] [CrossRef]
- Dadhich, A.; Saminathan, M.; Kumari, K.; Perumal, S.; Sethupathi, K.; Sethupathi, K. Physics and Technology of Thermoelectric Materials and Devices. J. Phys. D Appl. Phys. 2023, 56, 333001. [Google Scholar] [CrossRef]
- Twaha, S.; Zhu, J.; Yan, Y.; Li, B. A Comprehensive Review of Thermoelectric Technology: Materials, Applications, Modelling and Performance Improvement. Renew. Sustain. Energy Rev. 2016, 65, 698–726. [Google Scholar] [CrossRef]
- Pei, Y.; Lensch-Falk, J.; Toberer, E.S.; Medlin, D.L.; Snyder, G.J. High Thermoelectric Performance in PbTe Due to Large Nanoscale Ag2Te Precipitates and La Doping. Adv. Funct. Mater. 2011, 21, 241–249. [Google Scholar] [CrossRef]
- Karabetoglu, S.; Sisman, A.; Fatih Ozturk, Z.; Sahin, T. Characterization of a Thermoelectric Generator at Low Temperatures. Energy Convers. Manag. 2012, 62, 47–50. [Google Scholar] [CrossRef]
- Fejtek, I.; Waller, G.; Wong, R. Computational Study of the Flowfield of an Aircraft Outflow Valve. In Proceedings of the 23rd AIAA Applied Aerodynamics Conference, Toronto, ON, Canada, 6–9 June 2005; Volume 1, pp. 534–541. [Google Scholar] [CrossRef]
- Felgueroso, A.; González-Nieves, I.; Díaz-Barja, M.; García-Rodríguez, J. Numerical Modeling of a Two-Phase Skin Heat Exchanger for Hybrid-Electric Regional Aircraft. In Proceedings of the AIAA Aviation Forum and ASCEND, Las Vegas, NV, USA, 29 July–2 August 2024. [Google Scholar] [CrossRef]







| Material | Operating Temperature Range (°C) | Max Temperature (°C) | Power Output (W) | Efficiency (%) | Application |
|---|---|---|---|---|---|
| Bi2Te3 | 20-300 | 300 | 20 | 5–10 | Low-temperature applications; electronics cooling |
| PbTe | 300–600 | 600 | 15 | 7–8 | Automotive waste heat recovery |
| Calcium Manganese Oxide | 400–600 | 600 | 12 | 5–6 | Industrial waste heat recovery; small-scale power generation |
| Organic TEG | <130 | 130 | 1-5 | 2–4 | Flexible, low-power applications; wearable electronics |
| Altitude | 25,000 ft |
| Cruise velocity | 300 ktas |
| TEG area | 10 m2 |
| Cabin air temperature | 20 °C |
| Ambient air temperature | −35 °C (238.15 K) |
| Outflow rate | 0.35 kg/s |
| Heat transfer coefficient | 100 Wm−2 K−1 |
| Surface enhancement factor | 5 |
| Altitude | 25,000 ft |
| Cruise velocity | 300 ktas |
| TEG area | 0.55 m2 |
| Coolant inlet temperature | 70 °C |
| Ambient air temperature | −35 °C (238.15 K) |
| Coolant flow rate | 0.035 kg/s |
| Average heat transfer coefficient | 3000 Wm−2 K−1 |
Disclaimer/Publisher’s Note: The statements, opinions and data contained in all publications are solely those of the individual author(s) and contributor(s) and not of MDPI and/or the editor(s). MDPI and/or the editor(s) disclaim responsibility for any injury to people or property resulting from any ideas, methods, instructions or products referred to in the content. |
© 2025 by the authors. Licensee MDPI, Basel, Switzerland. This article is an open access article distributed under the terms and conditions of the Creative Commons Attribution (CC BY) license (https://creativecommons.org/licenses/by/4.0/).
Share and Cite
Sabet, S.; Gumprich, W.; Moeller, M.; Felgueroso, A.; González Nieves, I.; Díaz, M.; Mancin, S. Numerical Analysis of Potential Energy Recovery via a Thermoelectric Generator (TEG) for the Next-Generation Hybrid-Electric Regional Aircraft. Eng. Proc. 2025, 90, 64. https://doi.org/10.3390/engproc2025090064
Sabet S, Gumprich W, Moeller M, Felgueroso A, González Nieves I, Díaz M, Mancin S. Numerical Analysis of Potential Energy Recovery via a Thermoelectric Generator (TEG) for the Next-Generation Hybrid-Electric Regional Aircraft. Engineering Proceedings. 2025; 90(1):64. https://doi.org/10.3390/engproc2025090064
Chicago/Turabian StyleSabet, Safa, Werner Gumprich, Michael Moeller, Andrés Felgueroso, Iván González Nieves, Miguel Díaz, and Simone Mancin. 2025. "Numerical Analysis of Potential Energy Recovery via a Thermoelectric Generator (TEG) for the Next-Generation Hybrid-Electric Regional Aircraft" Engineering Proceedings 90, no. 1: 64. https://doi.org/10.3390/engproc2025090064
APA StyleSabet, S., Gumprich, W., Moeller, M., Felgueroso, A., González Nieves, I., Díaz, M., & Mancin, S. (2025). Numerical Analysis of Potential Energy Recovery via a Thermoelectric Generator (TEG) for the Next-Generation Hybrid-Electric Regional Aircraft. Engineering Proceedings, 90(1), 64. https://doi.org/10.3390/engproc2025090064

