Next Issue
Volume 9, June
Previous Issue
Volume 9, April
 
 
sustainability-logo

Journal Browser

Journal Browser

Sustainability, Volume 9, Issue 5 (May 2017) – 194 articles

Cover Story (view full-size image): The current e-waste management system suffers from losses in the form of materials, product and component functionality, which occur during the collection and processing of EoL products. In part, these losses can be attributed to the diversity of the e-products and the generalized approach to handling them. A more robust system of categorizing e-products carries the potential of improving the EoL material recovery and facilitating reuse, refurbishment, and remanufacturing. We identify the attributes upon which product families of e-products can be built for a better EoL management, and three key improvements in the EoL management to avoid the material and functionality losses, (a) an improved collection system; (b) a presorting and testing platform; (c) a family-centric processing of EoL products. The framework is based on the philosophy of a ‘product family’, and if supported by the three key [...] Read more.
  • Issues are regarded as officially published after their release is announced to the table of contents alert mailing list.
  • You may sign up for e-mail alerts to receive table of contents of newly released issues.
  • PDF is the official format for papers published in both, html and pdf forms. To view the papers in pdf format, click on the "PDF Full-text" link, and use the free Adobe Reader to open them.
Order results
Result details
Section
Select all
Export citation of selected articles as:
18 pages, 659 KB  
Article
The Impact of Education and R&D Investment on Regional Economic Growth
by Youngjin Woo 1, Euijune Kim 1,* and Jaewon Lim 2
1 Department of Agricultural Economics and Rural Development, Seoul National University, Seoul 08826, Korea
2 School of Public Policy and Leadership, Greenspun College of Urban Affairs, University of Nevada, Las Vegas, NV 89154, USA
Sustainability 2017, 9(5), 676; https://doi.org/10.3390/su9050676 - 25 Apr 2017
Cited by 44 | Viewed by 7116
Abstract
The purpose of this paper is to examine the impact of education and R&D investment on regional economic growth in South Korea. We develop a simultaneous model of production, human capital accumulation, migration, population and physical capital investment of two regions: the Seoul [...] Read more.
The purpose of this paper is to examine the impact of education and R&D investment on regional economic growth in South Korea. We develop a simultaneous model of production, human capital accumulation, migration, population and physical capital investment of two regions: the Seoul Metropolitan Area and the rest of Korea. We decompose the regional growth path into a quality path and a quantity path to identify how regional economies grow and run simulations to evaluate alternative policies in terms of effectiveness and adaptability. The impact of education and R&D investment on regional growth in the rest of Korea is only 22.3% of that in the Seoul Metropolitan Area due to lower elasticity values of young in-migrants with respect to the investment in the rest of Korea. An enhanced efficiency of regional human capital accumulation is effective and adaptable to alleviate regional economic disparity. Full article
(This article belongs to the Section Sustainable Urban and Rural Development)
Show Figures

Figure 1

17 pages, 3750 KB  
Article
Regionalist Principles to Reduce the Urban Heat Island Effect
by Leyre Echevarría Icaza * and Franklin Van der Hoeven
Faculty of Architecture and the Built Environment, Delft University of Technology, Julianalaan 134, 2628 BL Delft, The Netherlands
Sustainability 2017, 9(5), 677; https://doi.org/10.3390/su9050677 - 25 Apr 2017
Cited by 5 | Viewed by 7411
Abstract
Scientists, climatologists, and urban planners have started to recognize the importance of nature at two very different scales: the global (metabolic) and the local (liveability) scales. The regional scale is the one at which these macro and micro approaches overlap. Future predictions foresee [...] Read more.
Scientists, climatologists, and urban planners have started to recognize the importance of nature at two very different scales: the global (metabolic) and the local (liveability) scales. The regional scale is the one at which these macro and micro approaches overlap. Future predictions foresee an increase of more than 2450 million urban inhabitants by 2050, thus new balanced urban visions need to be developed in order to guarantee the sustainability of urban areas. The Urban Heat Island (UHI) effect is a climate phenomenon resulting from unbalanced urban design arrangements. This paper analyses several design principles proposed by the 1920s regionalists from the UHI perspective. The preservation of the regional geographical landmarks, the implementation of urban containment policies (limiting city sizes), the increase of greenery and the development of green multifunctional blocks would help reduce the UHI in future urban developments. Full article
(This article belongs to the Section Sustainable Urban and Rural Development)
Show Figures

Figure 1

19 pages, 3827 KB  
Article
Toward Geodesign for Watershed Restoration on the Fremont-Winema National Forest, Pacific Northwest, USA
by Keith M. Reynolds 1,*, Philip J. Murphy 2 and Steven Paplanus 3
1 U.S. Department of Agriculture, Forest Service, Pacific Northwest Research Station, Corvallis, OR 97331, USA
2 InfoHarvest, Inc., Seattle, WA 98165-2055, USA
3 Mountain-View Business Group, LP, Upland, CA 91784, USA
Sustainability 2017, 9(5), 678; https://doi.org/10.3390/su9050678 - 26 Apr 2017
Cited by 6 | Viewed by 4514
Abstract
Spatial decision support systems for forest management have steadily evolved over the past 20+ years in order to better address the complexities of contemporary forest management issues such as the sustainability and resilience of ecosystems on forested landscapes. In this paper, we describe [...] Read more.
Spatial decision support systems for forest management have steadily evolved over the past 20+ years in order to better address the complexities of contemporary forest management issues such as the sustainability and resilience of ecosystems on forested landscapes. In this paper, we describe and illustrate new features of the Ecosystem Management Decision Support (EMDS) system that extend the system’s traditional support for landscape analysis and strategic planning to include a simple approach to feature-based tactical planning priorities. The study area for this work was the Chewaucan watershed of the Fremont-Winema National Forest, located in south-central Oregon, USA. The analysis of strategic priorities recommended five subwatersheds as being of high priority for restoration activities, based primarily on decision criteria related to the stream accessibility to headwaters and upland condition. Among high priority subwatersheds, the most common tactical action recommended was the removal of artificial barriers to fish passages. Other high priority tactical actions recommended in high priority subwatersheds to improve fish habitats were reducing the road density and restoring riparian vegetation. In the discussion, we conclude by describing how the simple tactical planning methods illustrated in this paper can be extended in EMDS to provide a more sophisticated hybrid approach to strategic and tactical planning that can evaluate alternative portfolios of designed management actions applied across landscapes. The latter planned improvement to decision support capabilities in EMDS encapsulates Carl Steinitz’s concept of geodesign. Full article
(This article belongs to the Special Issue Decision Support for Forest Ecosystem Management Sustainability)
Show Figures

Figure 1

14 pages, 314 KB  
Article
Public Support for Pro-Environmental Policy Measures: Examining the Impact of Personal Values and Ideology
by Niklas Harring 1,2,*, Sverker C. Jagers 1,3 and Simon Matti 3
1 Centre for Collective Action Research, Department of Political Science, University of Gothenburg, 405 30 Gothenburg, Sweden
2 Department of Humanities and Social Science Education, Stockholm University, 106 91 Stockholm, Sweden
3 Political Science Unit, Luleå University of Technology, 971 87 Luleå, Sweden
Sustainability 2017, 9(5), 679; https://doi.org/10.3390/su9050679 - 25 Apr 2017
Cited by 68 | Viewed by 11687
Abstract
This article explores the relationship between two major explanations of the formation of positive attitudes towards environmental policy measures. Ideological orientation and personal values have, in theory, significant overlaps in the sense that they collect general and cross-situational sentiments used to understand and [...] Read more.
This article explores the relationship between two major explanations of the formation of positive attitudes towards environmental policy measures. Ideological orientation and personal values have, in theory, significant overlaps in the sense that they collect general and cross-situational sentiments used to understand and evaluate a wide range of political issues. However, in the empirical literature, although they independently have been shown to have rather significant effects on pro-environmental policy attitudes, they are rarely tested together in order to explore whether they capture the same basic mechanisms. In this article, two data sets from Sweden are used to demonstrate both that ideological orientation and personal values independently affect pro-environmental policy support, as well as that these effects differ across different policy types. Full article
16 pages, 1433 KB  
Article
Neighborhood Walking and Social Capital: The Correlation between Walking Experience and Individual Perception of Social Capital
by Heechul Kim 1 and Seungho Yang 2,*
1 Department of Urban and Regional Development, Mokpo National University, 1666, Yeongsan-ro, Cheonggye-myeon, Muan-gun, Jeollanam-do 58554, Korea
2 Goyang Research Institute, 60, Taegeuk-ro, Ilsandong-gu, Goyang-si, Gyeonggi-do 10393, Korea
Sustainability 2017, 9(5), 680; https://doi.org/10.3390/su9050680 - 27 Apr 2017
Cited by 27 | Viewed by 6769
Abstract
The purpose of this study was to analyze the relationship between people’s actual walking experience and their social capital levels in order to examine the possibility of restoring weakened social functions of streets and public spaces in a walking-friendly urban environment. Based on [...] Read more.
The purpose of this study was to analyze the relationship between people’s actual walking experience and their social capital levels in order to examine the possibility of restoring weakened social functions of streets and public spaces in a walking-friendly urban environment. Based on the survey data of 591 residents of Seoul, we empirically analyzed the relationship between walking experience for various purposes and individual perceptions of social capital using one-way ANOVA and OLS regression models. As a result of the analysis, we found that the levels of neighborly trust and networking of people who experienced leisure walking were higher than those of people who did not, while there was no difference in the level of social capital according to walking experiences for other purposes. This result is significant in that it shows the basis for the restoration of the social function of neighborhoods through social capital formation of people as an effect of walking. Hence, it is important to create a walking environment that supports leisure activities. Full article
(This article belongs to the Section Sustainable Urban and Rural Development)
Show Figures

Figure 1

24 pages, 1663 KB  
Article
Effects of an Energy Tax (Carbon Tax) on Energy Saving and Emission Reduction in Guangdong Province-Based on a CGE Model
by Wei Chen, Jin-Feng Zhou *, Shi-Yu Li * and Yao-Chu Li
School of Environmental Science and Engineering, Sun Yat-Sen University, Guangzhou 510275, China
Sustainability 2017, 9(5), 681; https://doi.org/10.3390/su9050681 - 25 Apr 2017
Cited by 46 | Viewed by 5569
Abstract
Guangdong, as China’s most affluent province, which is representative in terms of its industrial and energy consumption structure, will deal with an important issue about how to change its environmental management policies from command-and-control strategies to incentive-based ones and how to exert its [...] Read more.
Guangdong, as China’s most affluent province, which is representative in terms of its industrial and energy consumption structure, will deal with an important issue about how to change its environmental management policies from command-and-control strategies to incentive-based ones and how to exert its effects to the greatest extent possible in the new situation of the impending imposition of an environmental tax. By establishing an energy Computable General Equilibrium (CGE) model for Guangdong Province, and setting up various taxation and tax refund scenarios, this research simulates the energy saving and emission reduction effects imposed by the imposition of an energy tax or carbon tax at various tax rates in Guangdong Province, and analyzes the mitigation effects upon an economic system by various tax refund plans. The research proves that when the energy tax rate is at 100–200 yuan/tce (ton coal equivalent) or carbon tax at 50–100 yuan/t CO2, the energy consumption of Guangdong Province is reduced by 5.8–11.21%, and carbon emission is reduced by 5.94–11.61%. The energy saving and emission reduction effects of the carbon tax surpasses that of the energy tax under the equivalent tax revenue with even fewer significant negative impacts upon the economy, contributing to the capital transfer towards non-energy intensive industries; thus, appropriate and accurate tax refund plans can alleviate the negative impacts of taxation upon the economy in Guangdong Province. Full article
(This article belongs to the Section Energy Sustainability)
Show Figures

Figure 1

16 pages, 1595 KB  
Article
Economic Analysis of a Traceability System for a Two-Level Perishable Food Supply Chain
by Lijing Zhu
Academy of Chinese Energy Strategy, China University of Petroleum-Beijing, 18 Fuxue Road, Changping, Beijing 102249, China
Sustainability 2017, 9(5), 682; https://doi.org/10.3390/su9050682 - 26 Apr 2017
Cited by 35 | Viewed by 7148
Abstract
Food waste stemmed from food contamination and ineffective quality control is a significant challenge to food management. Supply chain traceability has become an essential task of the food industry for guaranteeing food quality and safety and reducing food waste. Radio Frequency Identification (RFID) [...] Read more.
Food waste stemmed from food contamination and ineffective quality control is a significant challenge to food management. Supply chain traceability has become an essential task of the food industry for guaranteeing food quality and safety and reducing food waste. Radio Frequency Identification (RFID) has emerged as a lead technology in the development of traceability systems, which enable automatically capturing of food information along the supply chain. However, the significant investment cost has been a major obstacle in the diffusion of traceability systems in the food industry. This study conducts a cost-benefit analysis of a RFID-enabled traceability system for a two-level perishable food supply chain, which consists of an upstream supplier and a downstream retailer. Consumer perceptions of food quality and safety are jointly considered when evaluating the value of a traceability system. The optimal decisions of the supply chain participants are derived in both centralized and decentralized systems, in terms of wholesale price, order quantity, price markdowns, and granularity level of the traceability system. The results show that a dynamic pricing policy supported by the traceability system could significantly reduce food waste and improve the retailer’s performance. We further propose a two-part tariff contract to coordinate the supply chain and to distribute benefits and costs of the traceability system between supply chain participants. This study demonstrates that a well-developed traceability system could significantly improve the supply chain performance and become a profitable investment for the food industry. Full article
(This article belongs to the Special Issue Sustainability in Food Supply Chain and Food Industry)
Show Figures

Figure 1

18 pages, 647 KB  
Article
Dynamic Collection Strategy and Coordination of a Remanufacturing Closed-Loop Supply Chain under Uncertainty
by Zongsheng Huang 1,†, Jiajia Nie 2,† and Sang-Bing Tsai 3,4,5,*,†
1 School of Economics and Management, Shanghai Maritime University, Shanghai 201306, China
2 School of Economics and Management, Southwest Jiaotong University, Chengdu 610031, China
3 Business and Law School, Foshan University, Foshan 528000, China
4 Zhongshan Institute, University of Electronic Science and Technology of China, Zhongshan 528400, China
5 Economics and Management College, Civil Aviation University of China, Tianjin 300300, China
The authors are ordered alphabetically and share equal contribution.
Sustainability 2017, 9(5), 683; https://doi.org/10.3390/su9050683 - 26 Apr 2017
Cited by 59 | Viewed by 5476
Abstract
This paper aims to investigate the uncertainty factors that impact the collection strategy of a remanufacturing closed-loop supply chain. The basis of this type of supply chain is the collection of used products, without which the remanufacturing of new products would be out [...] Read more.
This paper aims to investigate the uncertainty factors that impact the collection strategy of a remanufacturing closed-loop supply chain. The basis of this type of supply chain is the collection of used products, without which the remanufacturing of new products would be out of the question. In this paper, we considered the effect of stochastic disturbance on the collection process in a closed-loop supply chain consisting of a manufacturer and a retailer, in which the manufacturer is responsible for collecting the used products. Considering stochastic disturbance, in this research, we proposed a stochastic collection model, and derived the feedback control strategies for both the manufacturer and retailer. Next, we investigated the evolutionary path and probability distribution of the stochastic return rate. Finally, we proposed a contract to coordinate the decentralized closed-loop supply chain. The results showed that the manufacturer would improve the level of return effort as the intensity of stochastic disturbance increases. However, the disturbance would not affect the pricing strategies of the supply chain members. As a result of the stochastic disturbance, the return rate always hovered around the expected return rate, while the expectation and variance of the return rate remained stable from a long-term perspective. The expected value and variance of the return rate could decrease or increase with time, depending on the value of the initial return rate of the system. Full article
Show Figures

Figure 1

14 pages, 6554 KB  
Article
Design and Analysis of Multiple OS Implementation on a Single ARM-Based Embedded Platform
by Byoungwook Kim 1 and Min Choi 2,*
1 Creative Informatics & Computing Institute, Korea University, 145 Anam-ro, Seongbuk-gu, Seoul 02841, Korea
2 Department of Information and Communication Engineering, Chungbuk National University, 1 Chungdae-ro, Seowon-gu, Cheongju, Chungbuk 28644, Korea
Sustainability 2017, 9(5), 684; https://doi.org/10.3390/su9050684 - 25 Apr 2017
Cited by 1 | Viewed by 5951
Abstract
Recently, with the development of embedded system hardware technology, there is a need to support various kinds of operating system (OS) operation in embedded systems. In mobile processors, ARM started to provide the virtualization extension support technology which was intended for processors in [...] Read more.
Recently, with the development of embedded system hardware technology, there is a need to support various kinds of operating system (OS) operation in embedded systems. In mobile processors, ARM started to provide the virtualization extension support technology which was intended for processors in PC processors. Virtualization technology has the advantage of using hardware resources effectively. If the real-time operating system (RTOS) is operated on a hypervisor, there is a problem that RTOS performance is degraded due to overhead. Thus, we need to compare the performance between a single execution of the RTOS and simultaneous execution of multiple OS (RTOS + Linux). Therefore, in this paper, we measure the performance when the RTOS operates independently on the NVidia Jetson TK-1 embedded board supporting virtualization technology. Then, we measure the performance when the RTOS and Linux are operating simultaneously on top of a hypervisor. For this purpose, we implemented and ported such a RTOS, especially FreeRTOS and uC/OS, onto two embedded boards, such as the Arndale board (SAMSUNG, Seoul, South Korea) and the NVidia TK1 board (NVIDIA, Santa Clara, CA, USA). Full article
(This article belongs to the Collection Advanced IT based Future Sustainable Computing)
Show Figures

Figure 1

13 pages, 959 KB  
Article
Decomposition Analysis of Aggregate Energy Consumption in China: An Exploration Using a New Generalized PDA Method
by Dequn Zhou 1,2, Xiao Liu 1,2,*, Peng Zhou 1,2 and Qunwei Wang 1,2
1 College of Economics and Management, Nanjing University of Aeronautics and Astronautics, 29 Jiangjun Avenue, Nanjing 211106, China
2 Research Centre for Soft Energy Science, Nanjing University of Aeronautics and Astronautics, 29 Jiangjun Avenue, Nanjing 211106, China
Sustainability 2017, 9(5), 685; https://doi.org/10.3390/su9050685 - 26 Apr 2017
Cited by 17 | Viewed by 5937
Abstract
As the largest energy consumer, China is facing greater pressure to guarantee energy supply and energy security. Investigating the driving factors of energy consumption is very important. Decomposition analysis is an analytical tool for decomposing an aggregate indicator into its contributing factors. This [...] Read more.
As the largest energy consumer, China is facing greater pressure to guarantee energy supply and energy security. Investigating the driving factors of energy consumption is very important. Decomposition analysis is an analytical tool for decomposing an aggregate indicator into its contributing factors. This paper introduces index decomposition analysis (IDA) into production decomposition analysis (PDA) and provides a new decomposition framework for analyzing energy consumption. Two application studies are presented to illustrate the use of our proposed approach. The first deals with the decomposition of aggregate energy consumption from 1991 to 2012; the second application studies seven sectors of China from 2001 to 2012. The empirical studies result in four meaningful findings: (1) the rapid economic growth has already resulted in severe energy supply crises; (2) China’s energy sector consumption structure has changed significantly; (3) potential economic effect is the largest driving factor for energy consumption growth; (4) potential energy intensity effect and technical change of economic output effect were the two primary driving factors in reducing energy consumption. Full article
(This article belongs to the Special Issue Energy Security and Sustainability)
Show Figures

Figure 1

19 pages, 274 KB  
Article
Impact of Energy Conservation and Emissions Reduction Policy Means Coordination on Economic Growth: Quantitative Evidence from China
by Guoxing Zhang 1,2,3, Zhenhua Zhang 1,*, Xiulin Gao 1, Lean Yu 4, Shouyang Wang 3 and Yingluo Wang 2
1 School of Management, Lanzhou University, Lanzhou 730000, China
2 School of Management, Xi’an Jiaotong University, Xi’an 710049, China
3 Academy of Mathematics and Systems Science, Chinese Academy of Sciences, Beijing 100190, China
4 School of Economics and Management, Beijing University of Chemical Technology, Beijing 100029, China
Sustainability 2017, 9(5), 686; https://doi.org/10.3390/su9050686 - 26 Apr 2017
Cited by 15 | Viewed by 5047
Abstract
To understand the general relationship between Energy Conservation and Emissions Reduction (ECER) policy means coordination (PMC) and economic growth, this paper quantitatively investigates the impact on economic growth of differing PMCs. ECER policies from 1978 to 2013 in China are quantified across two [...] Read more.
To understand the general relationship between Energy Conservation and Emissions Reduction (ECER) policy means coordination (PMC) and economic growth, this paper quantitatively investigates the impact on economic growth of differing PMCs. ECER policies from 1978 to 2013 in China are quantified across two dimensions of policy power and policy means, and then, PMC degrees are designed as independent variables and incorporated into a modified Cobb−Douglas production model. While determining the cointegration relationships by using a unit root test, a cointegration test and a stability test, cointegration equation is conducted by using quantitative data to explore the economic growth effects of PMC in China. The government’s use of PMC in China is also analyzed and ranked. The empirical results show that there is a long-term cointegration relationship among the variables from 1978 to 2013. Additionally, the effects of the different PMCs on economic growth show significant discrepancies and each PMC usage ranking is also found to be significantly different, thereby implying that the use of different PMCs by the Chinese government needs to be further perfected. Full article
(This article belongs to the Special Issue Low Carbon Development for Emerging Markets)
14 pages, 2505 KB  
Article
Decomposition Analysis of Forest Ecosystem Services Values
by Hidemichi Fujii 1,*, Masayuki Sato 2 and Shunsuke Managi 3
1 Graduate School of Fisheries and Environmental Sciences, Nagasaki University, 1-14 Bunkyo-machi, Nagasaki 852-8521, Japan
2 Graduate School of Human Development and Environment, Kobe University, 3-11 Tsurukabuto, Nada-ku, Kobe 657-8501, Japan
3 Urban Institute & Department of Urban and Environmental Engineering, School of Engineering, Kyushu University, 744 Motooka, Nishiku, Fukuoka 819-0395, Japan
Sustainability 2017, 9(5), 687; https://doi.org/10.3390/su9050687 - 26 Apr 2017
Cited by 26 | Viewed by 9999
Abstract
Forest ecosystem services are fundamental for human life. To protect and increase forest ecosystem services, the driving factors underlying changes in forest ecosystem service values must be determined to properly implement forest resource management planning. This study examines the driving factors that affect [...] Read more.
Forest ecosystem services are fundamental for human life. To protect and increase forest ecosystem services, the driving factors underlying changes in forest ecosystem service values must be determined to properly implement forest resource management planning. This study examines the driving factors that affect changes in forest ecosystem service values by focusing on regional forest characteristics using a dataset of 47 prefectures in Japan for 2000, 2007, and 2012. We applied two approaches: a contingent valuation method for estimating the forest ecosystem service value per area and a decomposition analysis for identifying the main driving factors of changes in the value of forest ecosystem services. The results indicate that the value of forest ecosystem services has increased due to the expansion of forest area from 2000 to 2007. However, factors related to forest management and ecosystem service value per area have contributed to a decrease in the value of ecosystem services from 2000 to 2007 and from 2007 to 2012, respectively. Full article
(This article belongs to the Special Issue Decision Support for Forest Ecosystem Management Sustainability)
Show Figures

Figure 1

17 pages, 947 KB  
Article
Green Supplier Evaluation and Selection Using Cloud Model Theory and the QUALIFLEX Method
by Ke-Qin Wang 1, Hu-Chen Liu 2,*, Liping Liu 3 and Jia Huang 2
1 School of Management, Northwestern Polytechnical University, Xi’an 710072, China
2 School of Management, Shanghai University, Shanghai 200444, China
3 Business School, Nanjing Normal University, Nanjing 210023, China
Sustainability 2017, 9(5), 688; https://doi.org/10.3390/su9050688 - 27 Apr 2017
Cited by 81 | Viewed by 8414
Abstract
Nowadays, companies have to improve their practices in the management of green supply chain with increased awareness of environmental issues worldwide. Selecting the optimum green supplier is crucial for green supply chain management, which is a challenging multi-criteria decision making (MCDM) problem. Moreover, [...] Read more.
Nowadays, companies have to improve their practices in the management of green supply chain with increased awareness of environmental issues worldwide. Selecting the optimum green supplier is crucial for green supply chain management, which is a challenging multi-criteria decision making (MCDM) problem. Moreover, while evaluating the performance of alternative suppliers, decision makers tend to determine their assessments using linguistic descriptors due to experts’ vague knowledge and information deficiency. Therefore, this paper develops an integrated MCDM model based on the cloud model and QUALIFLEX (qualitative flexible multiple criteria method) approach to assess the green performance of companies under economic and environmental criteria. For the introduced model, the linguistic terms, expressed in normal clouds, are utilized to assess alternatives against each selection criterion. A linear programming model is established to compute the weights of criteria with unknown or incompletely known weight information. An extended QUALIFLEX approach is proposed and used to select the most suitable green supplier. Finally, the proposed green supplier selection method is demonstrated by an empirical example of an auto manufacturer to confirm its rationality and effectiveness. Full article
(This article belongs to the Section Economic and Business Aspects of Sustainability)
Show Figures

Figure 1

21 pages, 3474 KB  
Article
The Impact of Beijing Subway’s New Fare Policy on Riders’ Attitude, Travel Pattern and Demand
by Jiechao Zhang 1, Xuedong Yan 1,*, Meiwu An 2 and Li Sun 3
1 MOE Key Laboratory for Urban Transportation Complex Systems Theory and Technology, Beijing Jiaotong University, Beijing 100044, China
2 Saint Louis County Department of Transportation and Public Works, 1050 N. Lindbergh, St. Louis, MO 63132, USA
3 School of Architecture and Urban Planning, Beijing University of Civil Engineering and Achitecture, Beijing 100044, China
Sustainability 2017, 9(5), 689; https://doi.org/10.3390/su9050689 - 27 Apr 2017
Cited by 18 | Viewed by 7332
Abstract
On 28 December 2014, the Beijing subway’s fare policy was changed from “Two Yuan” per trip to the era of Logging Ticket Price, charging users by travel mileage. This paper aims at investigating the effects of Beijing subway’s new fare policy on the [...] Read more.
On 28 December 2014, the Beijing subway’s fare policy was changed from “Two Yuan” per trip to the era of Logging Ticket Price, charging users by travel mileage. This paper aims at investigating the effects of Beijing subway’s new fare policy on the riders’ attitude, travel pattern and demand. A survey analysis was conducted to identify the effects of the new fare policy for Beijing subway on riders’ satisfaction degree and travel pattern associated with the potential influencing factors using Hierarchical Tree-based Regression (HTBR) models. The model results show that income, travel distance and month of travel have significant impacts on the subway riders’ satisfaction degree, while trip purpose, car ownership and travel frequency significantly influence the riders’ stated travel pattern. Overall, the degree of satisfaction could not be effectively recovered within five months after the new fare policy, but the negative public attitude did not depress the subway demand continuously. Based on the further time sequence analyses of the passenger flow volume data for two years, it is concluded that the new policy made the ridership decrease sharply in the first month but gradually came back to the previous level four months later, and then the passenger flow volume kept steady again. The findings in this study indicate that the new fare policy realized the purpose of lowering the government’s financial pressure but did not reduce the subway ridership in a long term perspective. Full article
(This article belongs to the Section Sustainable Urban and Rural Development)
Show Figures

Figure 1

10 pages, 1437 KB  
Article
Evaluation of the Microbial Viability of Soil Samples from Maize Crops in Freeze-Storage under Different Management Conditions in a Semi-Arid Climate
by Manuel Ramírez 1,*, Ana Muñoz 1, Antonio López-Piñeiro 2, Ángel Albarrán 3, David Peña 2, José Manuel Rato Nunes 4,5, José Gama 4 and Luis Loures 4,6
1 Departamento de Ciencias Biomédicas, Facultad de Ciencias, Universidad de Extremadura, Avda de Elvas, 06071 Badajoz, Spain
2 Área de Edafología y Química Agrícola, Facultad de Ciencias and IACYS, Universidad de Extremadura, Avda de Elvas s/n, 06071 Badajoz, Spain
3 Área de Producción Vegetal (Escuela de Ingenierías Agrarias) and IACYS, Universidad de Extremadura, Ctra. de Cáceres, 06071 Badajoz, Spain
4 Instituto Politécnico de Portalegre, Escola Superior Agrária de Elvas, Apartado 254, 7350 Elvas, Portugal
5 Universidade de Lisboa, Instituto Superior de Agronomia, LEAF, Linking Landscape, Environment, Agriculture and Food, Tapada da Ajuda, 1349-017 Lisboa, Portugal
6 CIEO—Centre for Spatial and Organizational Dynamics, Gambelas, 8005-139 Faro, Portugal
Sustainability 2017, 9(5), 690; https://doi.org/10.3390/su9050690 - 27 Apr 2017
Cited by 6 | Viewed by 4639
Abstract
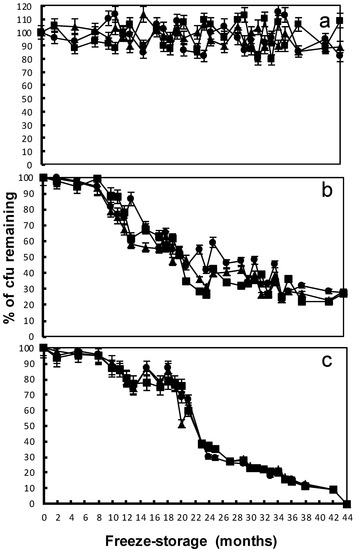
The effect of freeze-storage on culturable soil microorganism viability was determined for soil samples from three agricultural maize crop systems (under conventional management, direct seeding, and direct seeding with a cover crop). Most culturable soil bacteria were unaffected by the freeze-thaw stress or [...] Read more.
The effect of freeze-storage on culturable soil microorganism viability was determined for soil samples from three agricultural maize crop systems (under conventional management, direct seeding, and direct seeding with a cover crop). Most culturable soil bacteria were unaffected by the freeze-thaw stress or the prolonged freeze-storage, but the viability of mold and Bacillus mycoides populations decreased drastically after eight months of freeze-storage, limiting the process sustainability to this period. However, these changes did not significantly affect either the total microorganism biodiversity index or the biodiversity differences between treatment. Based on the available results, freeze-storage seems to be a sustainable process for up to eight months that can be allowed in analyses of culturable microbial population biodiversity. Full article
Show Figures

Figure 1

20 pages, 4523 KB  
Article
Energy Vulnerability Composite Index in Social Housing, from a Household Energy Poverty Perspective
by Eva Llera-Sastresa 1,*, Sabina Scarpellini 2, Pilar Rivera-Torres 3, Juan Aranda 4, Ignacio Zabalza-Bribián 1 and Alfonso Aranda-Usón 2
1 Department of Mechanical Engineering, CIRCE, University of Zaragoza, Zaragoza 50009, Spain
2 Department of Accounting and Finance, CIRCE, University of Zaragoza, Zaragoza 50009, Spain
3 Department of Marketing, University of Zaragoza, Zaragoza 50009, Spain
4 CIRCE Foundation—Research Centre for Energy Resources and Consumptions, University of Zaragoza, Zaragoza 50009, Spain
Sustainability 2017, 9(5), 691; https://doi.org/10.3390/su9050691 - 27 Apr 2017
Cited by 51 | Viewed by 7667
Abstract
In Europe, the proportion of social housing is high, and such houses tend to be inhabited by below average-income households, which are particularly vulnerable to energy poverty. This article proposes a new methodological approach for defining an index for household energy vulnerability assessment. [...] Read more.
In Europe, the proportion of social housing is high, and such houses tend to be inhabited by below average-income households, which are particularly vulnerable to energy poverty. This article proposes a new methodological approach for defining an index for household energy vulnerability assessment. This method can be used to improve the management of social housing. After establishing a heuristic framework for household energy poverty–which stems from different causes such as income, the characteristics of the residence, energy installations, and the energy-consumption habits of household members–multi-criteria analytical methods, based on the aggregation of indicators which reveal the conditions leading to energy poverty, have been applied, and effective means of intervention are proposed. The method is also applied to a sample of social houses and thus validated as a useful tool in decision-making processes which concern the management of social housing from a household energy-poverty perspective. Full article
Show Figures

Figure 1

17 pages, 9850 KB  
Article
A Preliminary Study on Connectivity and Perceived Values of Community Green Spaces
by Sohyun Park
Department of Landscape Architecture, Texas Tech University, 2907 15th Street, Lubbock, TX 79409-2121, USA
Sustainability 2017, 9(5), 692; https://doi.org/10.3390/su9050692 - 27 Apr 2017
Cited by 31 | Viewed by 7203
Abstract
Green spaces in residential communities are important yet understudied features of the urban ecological system. While large urban parks and remnant wildlands in urban areas tend to receive public attention from conservation and management perspectives, less is known about the importance of spatial [...] Read more.
Green spaces in residential communities are important yet understudied features of the urban ecological system. While large urban parks and remnant wildlands in urban areas tend to receive public attention from conservation and management perspectives, less is known about the importance of spatial and ecological characteristics of the community-scale green space. This study investigates natural elements in four planned communities in the Phoenix metropolitan area, Arizona; two of which represent conventional types of neighborhoods and two which exemplify community development type with a proclaimed vision of sustainability. These distinct types of communities, which illustrate variations in age, location, open space type, and a cross-section of housing density, are compared with regard to landscape connectivity as a means of gauging the ecological condition for community sustainability. Using Geographical Information Systems and landscape connectivity indices, a community’s green space features were examined including size, physical connectedness, and ecological potential. Furthermore, a questionnaire survey was designed and implemented to examine the perceptional differences between the two types of community residents. The findings demonstrate that the green spaces in conventional communities are more physically connected than their counterparts, but the naturalness and ecological qualities manifested in the amount of the land that may serve as potential urban desert habitats were higher in the sustainable communities. The results of the survey indicated that the respondents inhabiting sustainable communities possess a higher level of satisfaction than the people in conventional types of communities. This is due mainly to the amount of easy access to, and the perceived ecological values of the green spaces in their neighborhoods and surrounding areas. The study concludes that careful community design with ecological consideration can help create sustainable communities which can benefit both site-scale ecosystems and perceived human well-being. Full article
Show Figures

Figure 1

19 pages, 569 KB  
Article
Consumer Empowerment in the Digital Economy: Availing Sustainable Purchasing Decisions
by Patrizia Gazzola 1,*, Gianluca Colombo 2, Roberta Pezzetti 1 and Luminița Nicolescu 3
1 Department of Economics, University of Insubria, 21100 Varese, Italy
2 Department of Management, Università della Svizzera Italiana, USI, 6900 Lugano, Switzerland
3 Department of International Business and Economics, Bucharest University of Economic Studies, 010374 Bucharest, Romania
Sustainability 2017, 9(5), 693; https://doi.org/10.3390/su9050693 - 27 Apr 2017
Cited by 72 | Viewed by 16698
Abstract
The advent of the digital economy and, implicitly, of competition in the online marketplace has triggered new challenges in terms of consumer protection approaches. Online, consumer skills are expected to be improved and the level of consumer awareness and engagement increased. These are [...] Read more.
The advent of the digital economy and, implicitly, of competition in the online marketplace has triggered new challenges in terms of consumer protection approaches. Online, consumer skills are expected to be improved and the level of consumer awareness and engagement increased. These are the baseline prerequisites of the sustainable purchasing decision and, thus, should be considered as pillars of responsible online consumption. Consistent with the novel consumption challenges, the current paper is intended to advance and test a research model integrating five main constructs, namely, competition in the online marketplace, online consumer skills, online consumer awareness, online consumer engagement and sustainable purchasing decision. A total of 318 college students—a representative population of the new Millennials generation—accepted the invitation to participate in a questionnaire-based survey. In order to pertinently analyze the collected data, a structural equation modeling technique based on partial least squares was employed for the assessment of the measurement and the structural model. The findings indicated that the model explained 24.4 percent of the variance of sustainable purchasing decisions, while the highest influence was exerted by the improvement of online consumer skills. This implies that online providers should revisit their products sustainability standards on purpose to preserve a competitive advantage. Full article
(This article belongs to the Special Issue Multi-disciplinary Sustainability Research)
Show Figures

Figure 1

23 pages, 8734 KB  
Article
Optimization of Vehicle Routing Problem with Time Windows for Cold Chain Logistics Based on Carbon Tax
by Songyi Wang 1, Fengming Tao 1,*, Yuhe Shi 2 and Haolin Wen 3
1 College of Mechanical Engineering, Chongqing University, Chongqing 400044, China
2 School of Transportation and Logistics, Southwest Jiaotong University, Chengdu 610031, China
3 Department of Management Engineering, Naval University of Engineering, Wuhan 430033, China
Sustainability 2017, 9(5), 694; https://doi.org/10.3390/su9050694 - 27 Apr 2017
Cited by 166 | Viewed by 13855
Abstract
In order to reduce the cost pressure on cold-chain logistics brought by the carbon tax policy, this paper investigates optimization of Vehicle Routing Problem (VRP) with time windows for cold-chain logistics based on carbon tax in China. Then, a green and low-carbon cold [...] Read more.
In order to reduce the cost pressure on cold-chain logistics brought by the carbon tax policy, this paper investigates optimization of Vehicle Routing Problem (VRP) with time windows for cold-chain logistics based on carbon tax in China. Then, a green and low-carbon cold chain logistics distribution route optimization model with minimum cost is constructed. Taking the lowest cost as the objective function, the total cost of distribution includes the following costs: the fixed costs which generate in distribution process of vehicle, transportation costs, damage costs, refrigeration costs, penalty costs, shortage costs and carbon emission costs. This paper further proposes a Cycle Evolutionary Genetic Algorithm (CEGA) to solve the model. Meanwhile, actual data are used with CEGA to carry out numerical experiments in order to discuss changes of distribution routes with different carbon emissions under different carbon taxes and their influence on the total distribution cost. The critical carbon tax value of carbon emissions and distribution cost is obtained through experimental analysis. The research results of this paper provide effective advice, which is not only for the government on carbon tax decision, but also for the logistics companies on controlling carbon emissions during distribution. Full article
(This article belongs to the Section Energy Sustainability)
Show Figures

Figure 1

16 pages, 2720 KB  
Article
Measuring Network-Based Public Transit Performance Using Fuzzy Measures and Fuzzy Integrals
by Tzay-An Shiau * and Ching-Shuan Lee
Department of Harbor and River Engineering, National Taiwan Ocean University, 2, Pei-Nein Rd., Keelung 20224, Taiwan
Sustainability 2017, 9(5), 695; https://doi.org/10.3390/su9050695 - 28 Apr 2017
Cited by 3 | Viewed by 3999
Abstract
This paper proposes an indicator integration model to measure network-based public transit performance. Coverage, directness, and connectivity indicators were used to measure network-based public transit performances individually. The three indicators exist preferential dependence problem in eliciting indicator weights. The value judgments by 40 [...] Read more.
This paper proposes an indicator integration model to measure network-based public transit performance. Coverage, directness, and connectivity indicators were used to measure network-based public transit performances individually. The three indicators exist preferential dependence problem in eliciting indicator weights. The value judgments by 40 representatives were collected by using fuzzy measures. Subsequently, fuzzy integrals were applied to integrate the three indicators considering their preferential dependence. The major contributions are twofold: one contribution is providing a comprehensive performance measurement for multimodal transit networks and the other is resolving preferential dependence between the three indicators. A case study of Taipei City was also discussed to demonstrate the application of the integration model. Five major results were derived from the study: (1) according to the decision group preferences, coverage was preferred to directness, and directness was preferred to connectivity; (2) the districts of Taipei City in the central business district (CBD) generally feature high transit coverage compared with the districts in the surrounding areas; (3) the districts in the surrounding areas generally exhibit high transit connectivity compared with the districts in the CBD; (4) the 12 districts of Taipei City do not differ substantially in transit directness performance; and (5) most of the districts of Taipei City in the CBD exhibit relatively better comprehensive transit performance than the districts in the surrounding areas. Full article
Show Figures

Figure 1

18 pages, 1033 KB  
Article
Risk Assessment of China’s Overseas Oil Refining Investment Using a Fuzzy-Grey Comprehensive Evaluation Method
by Hui Li 1,2, Kangyin Dong 1,3, Hongdian Jiang 1, Renjin Sun 1,*, Xiaoyue Guo 1 and Yiqiao Fan 4
1 School of Business Administration, China University of Petroleum (Beijing), Beijing 102249, China
2 Energy Systems Research Center, The University of Texas at Arlington, Arlington, TX 76019, USA
3 Department of Agricultural, Food and Resource Economics, Rutgers, The State University of New Jersey, New Brunswick, NJ 08901, USA
4 Chongqing CISDI Engineering Consulting Co., Ltd., Chongqing 400010, China
Sustainability 2017, 9(5), 696; https://doi.org/10.3390/su9050696 - 28 Apr 2017
Cited by 36 | Viewed by 13261
Abstract
Following the “going out” strategy, Chinese oil and gas companies have been widely involved in investing and operating business abroad to mitigate the increasing energy imbalance between supply and demand. Overseas oil investment, characterized by high risks and high returns, plays a significant [...] Read more.
Following the “going out” strategy, Chinese oil and gas companies have been widely involved in investing and operating business abroad to mitigate the increasing energy imbalance between supply and demand. Overseas oil investment, characterized by high risks and high returns, plays a significant role in ensuring energy security and strengthening global competitiveness in China. However, compared with overseas upstream projects, the downstream oil refining investment is still in the preliminary development stage, with limited experience for references, which further increases the risk surrounding such multibillion-dollar ventures. Hence, it is significant to assess the investment risks so as to help investors be fully aware of them and then make optimal investment decisions. To this end, this paper successfully identifies the main risk factors, including the local investment environment risk, technical risk, organization management risk, health, safety and environment (HSE) and social responsibility risk, and economic risk. Then, a qualitative-quantitative comprehensive risk evaluation method, combining the fuzzy mathematics and the grey system theory, is proposed and applied to analyze the investment risks of one Chinese overseas oil refining project as a case study. The assessment results are basically in accordance with the practical conditions, which validate the reliability and reasonability of the proposed risk assessment model in regard to the overseas oil refining project. The findings of this research provide the theoretical foundation and practical methodology of the risk analysis for future investment in oil refining areas. Full article
(This article belongs to the Section Energy Sustainability)
Show Figures

Figure 1

14 pages, 406 KB  
Article
Carbon Dioxide Emissions, Economic Growth, and Selected Types of Fossil Energy Consumption in China: Empirical Evidence from 1965 to 2015
by Hongze Li, Bingkang Li * and Hao Lu
School of Economy and Management, North China Electric Power University, Beijing 102206, China
Sustainability 2017, 9(5), 697; https://doi.org/10.3390/su9050697 - 28 Apr 2017
Cited by 40 | Viewed by 6064
Abstract
This paper empirically investigates the interactions among CO2 emissions, economic growth, and three selected types of fossil energy consumption (coal, gas, and oil) using time series data from China over the period 1965–2015. Classic econometric analysis technologies including the Johansen cointegration test, [...] Read more.
This paper empirically investigates the interactions among CO2 emissions, economic growth, and three selected types of fossil energy consumption (coal, gas, and oil) using time series data from China over the period 1965–2015. Classic econometric analysis technologies including the Johansen cointegration test, the vector error correction model (VECM), and the Granger causality test based on VECM are employed to meet our objectives, and the presence of breaks in the data is also considered. Cointegration test result supports the existence of a long-run equilibrium relationship among the five variables, and the error correction mechanisms of the system involving the five variables are proven to be effective by VECM. Additionally, the Granger causality test based on VECM reveals that the bidirectional causalities between GDP and coal consumption, between GDP and gas consumption, and between coal consumption and CO2 emissions and unidirectional causalities running from GDP and oil consumption to CO2 emissions, from GDP to oil consumption, and from coal consumption to oil and gas consumption are found. Furthermore, several policy implications are proposed in the final section of this paper based on the empirical results. Full article
(This article belongs to the Special Issue Energy Security and Sustainability)
Show Figures

Figure 1

24 pages, 3073 KB  
Article
Tourism Pressure at the Regional Level in the Context of Sustainable Development in Romania
by Rodica-Manuela Gogonea 1, Adrian Aurel Baltălungă 2, Adrian Nedelcu 3,* and Daniela Dumitrescu 2
1 Department of Statistics and Econometrics, Bucharest University of Economic Studies, 15-17 Dorobanti St., Sector 1, 010552 Bucharest, Romania
2 Department of Geography, Valahia University of Targoviste, 130105 Targoviste, Romania
3 Department of Business Administration, Petroleum-Gas University of Ploiesti, 100680 Ploiesti, Romania
Sustainability 2017, 9(5), 698; https://doi.org/10.3390/su9050698 - 28 Apr 2017
Cited by 33 | Viewed by 10227
Abstract
Tourism, through its components, can be found in all areas that relate to sustainable development principles. Although it should be encouraged due to the multiplier effect that it has in the development of a region, it creates pressure on the surrounding environment like [...] Read more.
Tourism, through its components, can be found in all areas that relate to sustainable development principles. Although it should be encouraged due to the multiplier effect that it has in the development of a region, it creates pressure on the surrounding environment like any other economic activity in the process of specific potential capitalization. This paper is aimed at determining the degree of tourism pressure, its trend and impact on tourism’s sustainable development and the Romanian economy. When this pressure exceeds the ecological support capacity, negative effects occur, both on the landscape in general, and on certain tourist objectives, in particular. The assessment of this pressure and its most accurate quantification imply the use, calculation, correlation and interpolation of indicators that may summarize certain aspects related to the density of tourist fittings, tourist traffic intensity and capitalization level. Hence, the approach would be considered regionally and in terms of tourism pressure dynamics, depending on the structure of available statistical data, as well as to get a clearer picture. The authors used methods specific to geography, as well as statistical and econometric methods. The interdependence between tourism, tourism pressure and sustainability is described in the Central region. The results and observations determined with reference to the factors and indicators shown underlie the coordination of the tourism activity in the other regions according to the processes of sustainability and tourism pressure mitigation. Full article
Show Figures

Figure 1

17 pages, 370 KB  
Article
Port Waste Management in the Baltic Sea Area: A Four Port Study on the Legal Requirements, Processes and Collaboration
by Irina Svaetichin 1 and Tommi Inkinen 2,*
1 Department of Geosciences and Geography, University of Helsinki, P.O. Box 64, Helsinki 00014, Finland
2 Centre for Maritime Studies of the Brahea Centre, University of Turku, Turku 20014, Finland
Sustainability 2017, 9(5), 699; https://doi.org/10.3390/su9050699 - 28 Apr 2017
Cited by 32 | Viewed by 11616
Abstract
The cruise ship industry has become a well-implemented industry in the Baltic Sea area, and each year, the number of cruise ship passengers rises steadily. Efficient waste management in cruising ports around the Baltic Sea is a crucial element in minimizing environmental impacts. [...] Read more.
The cruise ship industry has become a well-implemented industry in the Baltic Sea area, and each year, the number of cruise ship passengers rises steadily. Efficient waste management in cruising ports around the Baltic Sea is a crucial element in minimizing environmental impacts. This research involves the four selected ports of Copenhagen, Helsinki, Stockholm and Tallinn. The study applies statistics and interview data to the analysis of waste management systems for cruise ship-generated waste. The interview data involves 12 executives and professionals responsible for environmental issues and decision making in their respective ports. The interviews highlighted the need for standardized environmental legislation and related procedures, which would result in coherent measurement systems. These systems would enable transparent environmental monitoring, thus maintaining the ports’ competitiveness. A common environmental legislation would support the emerging waste management system for the whole Baltic Sea area. The study suggests that ports should focus on handling specific types of wastes and collaborate as a spatial network. Specialization to allow the discharge of certain fractions of waste is essential. The paper concludes by addressing demands for future research, particularly vessel- and customer behavior-focused studies. Full article
(This article belongs to the Special Issue Physical Geography and Environmental Sustainability)
Show Figures

Figure 1

18 pages, 1310 KB  
Article
An Optimal Operation Model and Ordered Charging/Discharging Strategy for Battery Swapping Stations
by Yanni Liang 1, Xingping Zhang 1,2,*, Jian Xie 3 and Wenfeng Liu 1
1 School of Economics and Management, North China Electric Power University, Beijing 102206, China
2 Research Center for Beijing Energy Development, Beijing 102206, China
3 Guangzhou Power Supply Bureau, China Southern Power Grid, Guangzhou 510620, China
Sustainability 2017, 9(5), 700; https://doi.org/10.3390/su9050700 - 28 Apr 2017
Cited by 42 | Viewed by 5800
Abstract
The economic operation of battery swapping stations (BSSs) is significant for the promotion of large-scale electric vehicles. This paper develops a linear programming model to maximize the daily operation profits of a BSS by considering constraints of the battery swapping demand of users [...] Read more.
The economic operation of battery swapping stations (BSSs) is significant for the promotion of large-scale electric vehicles. This paper develops a linear programming model to maximize the daily operation profits of a BSS by considering constraints of the battery swapping demand of users and the charging/discharging balance of batteries in the BSS. Based on the BSS configuration and data from electric taxis in Beijing, we simulate the operation situation and charging/discharging load of the BSS in nine scenarios with two ordered charging and discharging strategies. The simulation results demonstrate that the model can achieve the maximum daily profits of the BSS. According to the sensitivity analysis, the battery swapping price for batteries is the most sensitive, followed by the number of batteries in the BSS, while the operation-maintenance costs and battery depreciation costs are least sensitive. In addition, the charging and discharging of batteries in the BSS can be coordinated by increasing the battery quantity of the BSS and formulating the ladder-type battery swapping price. Full article
(This article belongs to the Section Economic and Business Aspects of Sustainability)
Show Figures

Figure 1

16 pages, 619 KB  
Article
How Sharing Can Contribute to More Sustainable Cities
by Christopher T. Boyko 1,*, Stephen J. Clune 1, Rachel F. D. Cooper 1, Claire J. Coulton 1, Nick S. Dunn 1, Serena Pollastri 1, Joanne M. Leach 2, Christopher J. Bouch 2, Mariana Cavada 2, Valeria De Laurentiis 2, Mike Goodfellow-Smith 2, James D. Hale 3, Dan K. G. Hunt 3, Susan E. Lee 2, Martin Locret-Collet 3, Jon P. Sadler 3, Jonathan Ward 2, Christopher D. F. Rogers 2, Cosmin Popan 4, Katerina Psarikidou 4, John Urry 4, Luke S. Blunden 5, Leonidas Bourikas 5, Milena Büchs 6, Jane Falkingham 7, Mikey Harper 5, Patrick A. B. James 5, Mamusu Kamanda 8, Tatiana Sanches 5, Philip Tuner 5, Phil Y. Wu 5, AbuBakr S. Bahaj 5, Adriana Ortegon 9, Katie Barnes 9, Ellie Cosgrave 10, Paul Honeybone 9, Helene Joffe 11, Corina Kwami 9, Victoria Zeeb 11, Brian Collins 9 and Nick Tyler 9add Show full author list remove Hide full author list
1 Lancaster Institute for the Contemporary Arts, Lancaster University, Lancaster LA1 4YW, UK
2 Civil Engineering, University of Birmingham, Birmingham B15 2TT, UK
3 School of Geography, Earth and Environmental Sciences, University of Birmingham, Birmingham B15 2TT, UK
4 Sociology, Lancaster University, Lancaster LA1 4YW, UK
5 Faculty of Engineering and the Environment, University of Southampton, Southampton SO17 1BJ, UK
6 School of Earth and Environment, University of Leeds, Leeds LS2 9JT, UK
7 Social Statistics & Demography, University of Southampton, Southampton, SO17 1BJ, UK
8 Indepth Network, 38 & 40 Mensah Wood Street, East Legon, P.O. Box KD 2013, Kanda, Accra, Ghana
9 Department of Civil, Environmental & Geomatic Engineering, University College London, London WC1E 6BT, UK
10 Department of Science, Technology, Engineering and Public Policy, University College London, London WC1E 6BT, UK
11 Psychology and Language Sciences, University College London, London WC1E 6BT, UK
add Show full affiliation list remove Hide full affiliation list
Sustainability 2017, 9(5), 701; https://doi.org/10.3390/su9050701 - 29 Apr 2017
Cited by 21 | Viewed by 9634
Abstract
Recently, much of the literature on sharing in cities has focused on the sharing economy, in which people use online platforms to share underutilized assets in the marketplace. This view of sharing is too narrow for cities, as it neglects the myriad of [...] Read more.
Recently, much of the literature on sharing in cities has focused on the sharing economy, in which people use online platforms to share underutilized assets in the marketplace. This view of sharing is too narrow for cities, as it neglects the myriad of ways, reasons, and scales in which citizens share in urban environments. Research presented here by the Liveable Cities team in the form of participant workshops in Lancaster and Birmingham, UK, suggests that a broader approach to understanding sharing in cities is essential. The research also highlighted tools and methods that may be used to help to identify sharing in communities. The paper ends with advice to city stakeholders, such as policymakers, urban planners, and urban designers, who are considering how to enhance sustainability in cities through sharing. Full article
Show Figures

Figure 1

30 pages, 541 KB  
Article
MCDM Assessment of a Healthy and Safe Built Environment According to Sustainable Development Principles: A Practical Neighborhood Approach in Vilnius
by Edmundas Kazimieras Zavadskas 1, Fausto Cavallaro 2,*, Valentinas Podvezko 3, Ieva Ubarte 4 and Arturas Kaklauskas 5
1 Department of Construction Technology and Management, Sauletekis ave.11, Vilnius LT-10223, Lithuania
2 Department of Economics, Management, Society and Institutions (EGSI), University of Molise, Via De Sanctis, Campobasso 86100, Italy
3 Department of Mathematical Statistics, Sauletekis ave.11, Vilnius LT-10223, Lithuania
4 Research Institute of Smart Building Technologies, Sauletekis ave.11, Vilnius LT-10223, Lithuania
5 Department of Construction Economics and Property Management, Sauletekis ave.11, Vilnius LT-10223, Lithuania
Sustainability 2017, 9(5), 702; https://doi.org/10.3390/su9050702 - 28 Apr 2017
Cited by 81 | Viewed by 9770
Abstract
Urbanization has a massive effect on the environment, both locally and globally. With an ever-increasing scale of construction and manufacturing and misuse of energy resources come poorer air quality, growing mortality rates and more rapid climate change. For these reasons, a healthy and [...] Read more.
Urbanization has a massive effect on the environment, both locally and globally. With an ever-increasing scale of construction and manufacturing and misuse of energy resources come poorer air quality, growing mortality rates and more rapid climate change. For these reasons, a healthy and safe built environment is ever more in demand. Global debates focus on sustainable development of the built environment; a rational approach to its analysis is multiple criteria decision making (MCDM) methods. Alternative MCDM methods applied to the same problem often produce different results. In the search for a more reliable tool, this study proposes that a system of MCDM methods should be applied to a single problem. This article assesses 21 neighborhoods in Vilnius in the context of a healthy and safe built environment in view of the principles of sustainable development. MCDM methods were used for this purpose: entropy, Criterion Impact LOSs (CILOS) and Integrated Determination of Objective Criteria Weights (IDOCRIW) methods were used to determine the objective weights of the criteria, while expert judgement determined the subjective weights. With the overall weights determined, the Vilnius neighborhoods were assessed through the application of COmplex PRoportional ASsessment (COPRAS), Simple Additive Weighting (SAW), Technique for Order of Preference by Similarity to Ideal Solution (TOPSIS) and Evaluation based on Distance from Average Solution (EDAS) methods. The final results were then processed using the rank average method, Borda count and Copeland’s method. Full article
Show Figures

Figure 1

16 pages, 287 KB  
Article
Collaborative Consumption: A Proposed Scale for Measuring the Construct Applied to a Carsharing Setting
by Helena Dall Pizzol 1, Stefânia Ordovás de Almeida 2 and Mauren Do Couto Soares 3,*
1 Management and Marketing Department, School of Advertising and Marketing—ESPM-Sul, RS 90640-040 Porto Alegre, Brazil
2 Business School, Pontifical Catholic University of Rio Grande do Sul—PUCRS, RS 90619-900 Porto Alegre, Brazil
3 Department of Statistics and Quantitative Methods, School of Advertising and Marketing—ESPM-Sul, RS 90640-040 Porto Alegre, Brazil
Sustainability 2017, 9(5), 703; https://doi.org/10.3390/su9050703 - 28 Apr 2017
Cited by 44 | Viewed by 8107
Abstract
In recent years, there has been a significant shift towards greater collaboration in various spheres of society, in which the creation of value from shared resources while balancing self-interest and community well-being is emphasized. Consumption has ceased to be characterized exclusively by the [...] Read more.
In recent years, there has been a significant shift towards greater collaboration in various spheres of society, in which the creation of value from shared resources while balancing self-interest and community well-being is emphasized. Consumption has ceased to be characterized exclusively by the purchase and possession of goods; instead new collaborative initiatives represented by exchanges, loans, renting, and other forms of sharing that allow consumers access to a good or service only in the time they are necessary have appeared. However, few studies have attempted to measure the reasons that lead consumers to practice collaborative consumption. Therefore, the main objective of this article is to propose a scale that measures the motivators, facilitators, and constraints for this mode of consumption. For this, a study was conducted among carsharing users in Brazil, which aimed to purify and validate the proposed scale. The results indicate that collaborative consumption applied to a carsharing setting is composed of six dimensions and confirm the validity and reliability of the studied construct. The discussion highlights the study findings and offers suggestions for further research into this topic. Full article
(This article belongs to the Special Issue Sustainable Consumer Behavior)
16 pages, 3473 KB  
Article
Summer Sea-Surface Temperatures and Climatic Events in Vaigat Strait, West Greenland, during the Last 5000 Years
by Dongling Li 1,*, Longbin Sha 1, Jialin Li 1,2, Hui Jiang 3, Yanguang Liu 4 and Yanni Wu 1
1 Department of Geography & Spatial Information Techniques, Ningbo University, Ningbo 315211, China
2 Research Center for Marine Culture and Economy, Ningbo 315211, China
3 Key Laboratory of Geographic Information Science, East China Normal University, Shanghai 200062, China
4 Key Laboratory of Marine Sedimentology and Environmental Geology, First Institute of Oceanography, State Oceanic Administration, Qingdao 266061, China
Sustainability 2017, 9(5), 704; https://doi.org/10.3390/su9050704 - 28 Apr 2017
Cited by 8 | Viewed by 9040
Abstract
We present a new reconstruction of summer sea-surface temperature (SST) variations over the past 5000 years based on a diatom record from gravity core DA06-139G, from Vaigat Strait in Disko Bugt, West Greenland. Summer SST varied from 1.4 to 5 °C, and the [...] Read more.
We present a new reconstruction of summer sea-surface temperature (SST) variations over the past 5000 years based on a diatom record from gravity core DA06-139G, from Vaigat Strait in Disko Bugt, West Greenland. Summer SST varied from 1.4 to 5 °C, and the record exhibits an overall decreasing temperature trend. Relatively high summer SST occurred prior to 3000 cal. a BP, representing the end of the Holocene Thermal Maximum. After the beginning of the “Neoglaciation” at approximately 3000 cal. a BP, Vaigat Strait experienced several hydrographical changes that were closely related to the general climatic and oceanographic evolution of the North Atlantic region. Distinct increases in summer SST in Vaigat Strait occurred from 2000 to 1600 cal. a BP and from 1200 to 630 cal. a BP, and are consistent with the “Roman Warm Period” and the “Mediaeval Warm Period” in the North Atlantic region. The summer SST decreased significantly during 1500~1200 cal. a BP and 630~50 cal. a BP, corresponding, respectively, to the Northeast Atlantic cooling episodes known as the “European Dark Ages” and “Little Ice Age”. Spectral and cross-correlation analyses indicate that centennial-scale oscillations in summer SST are superimposed on the long-term trend. The dominant periodicities are centered at 529, 410, and 191 years, which are close to the ubiquitous 512 and 206-year 14C cycle, suggesting that solar forcing may play an important role in summer SST variability in Disko Bugt. Full article
(This article belongs to the Section Environmental Sustainability and Applications)
Show Figures

Figure 1

19 pages, 790 KB  
Article
Integrating Agroecology and Participatory Action Research (PAR): Lessons from Central America
by V. Ernesto Méndez 1,*, Martha Caswell 1, Stephen R. Gliessman 2,3 and Roseann Cohen 2
1 Agroecology and Livelihoods Collaborative (ALC), Department of Plant and Soil Science and Environmental Program, University of Vermont, Burlington, VT 05405, USA
2 Community Agroecology Network (CAN), Santa Cruz, CA 95064, USA
3 Department of Environmental Studies, University of California, Santa Cruz, CA 95064, USA
Sustainability 2017, 9(5), 705; https://doi.org/10.3390/su9050705 - 28 Apr 2017
Cited by 141 | Viewed by 21183
Abstract
The last decade has seen an increasing advancement and interest in the integration of agroecology and participatory action research (PAR). This article aims to: (1) analyze the key characteristics and principles of two case studies that integrated PAR and agroecology in Central America; [...] Read more.
The last decade has seen an increasing advancement and interest in the integration of agroecology and participatory action research (PAR). This article aims to: (1) analyze the key characteristics and principles of two case studies that integrated PAR and agroecology in Central America; and (2) learn from the lessons offered by these case studies, as well as others from the literature, on how to better integrate PAR and agroecology. Key principles identified for effective PAR agroecological processes include a shared interest in research by partners, a belief in collective power/action, a commitment to participation, practicing humility and establishing trust and accountability. Important lessons to consider for future work include: (1) research processes that did not start as PAR, can evolve into it; (2) farmer/stakeholder participation in setting the research agenda, from the outset, results in higher engagement and enhanced outcomes; (3) having the right partners for the desired outcomes is key; (4) intentional and explicit reflection is an essential component of PAR processes; and (5) cross-generational collaborations are crucial to long-term benefits. Key challenges that confront PAR processes include the need for time and resources over longer periods; the complexity of multi-actor process facilitation; and institutional barriers within the academy and development organizations, which prevent shifting investment towards integrated PAR agroecological processes. Full article
Show Figures

Figure 1

25 pages, 887 KB  
Review
Systems Thinking for Life Cycle Sustainability Assessment: A Review of Recent Developments, Applications, and Future Perspectives
by Nuri Cihat Onat 1,2, Murat Kucukvar 1,*, Anthony Halog 3 and Scott Cloutier 2
1 Department of Industrial Engineering, Istanbul Sehir University, Uskudar, Istanbul 34662, Turkey
2 School of Sustainability, Julie Ann Wrigley Global Institute of Sustainability, Arizona State University, Tempe, AZ 85281, USA
3 School of Geography, Planning and Environmental Management, University of Queensland, Brisbane 4067, Australia
Sustainability 2017, 9(5), 706; https://doi.org/10.3390/su9050706 - 29 Apr 2017
Cited by 228 | Viewed by 28091
Abstract
Tracking the environmental impacts of production, use, and disposal of products (e.g., goods, and services) have been an important issue in the global economy. Although Life Cycle Assessment (LCA) is a widely applied method to track these environmental impacts and support policies, it [...] Read more.
Tracking the environmental impacts of production, use, and disposal of products (e.g., goods, and services) have been an important issue in the global economy. Although Life Cycle Assessment (LCA) is a widely applied method to track these environmental impacts and support policies, it has certain limitations and an isolated way of evaluating the environmental impacts with no consideration of social and economic impacts and mechanisms. To overcome the limits of current LCA, three mechanisms have been proposed in the literature: (1) broadening the indicators by including social and economic indicators in addition to the environmental impacts; (2) broadening the scope of analysis from product-level assessment to national and global levels; (3) deepening the assessment by inclusion of more mechanisms to account for interrelations among the system elements, uncertainty analysis, stakeholder involvement, etc. With these developments, LCA has been evolving into a new framework called Life Cycle Sustainability Assessment (LCSA). Practical application of LCSA requires integration of various methods, tools, and disciplines. In this study, a comprehensive literature review is conducted to investigate recent developments, current challenges, and future perspectives in the LCSA literature. According to the review, a high number (40%) of LCSA studies are from the environmental science discipline, while contributions from other disciplines such as economics (3%) and social sciences (9%) are very low. On broadening the scope of analysis, 58% of the studies are product-level works, while 37% quantified the impacts at national level and achieved an economy-wide analysis, and only 5% of the studies were able to quantify the global impacts of products using LCSA framework. Furthermore, current applications of LCSA have not considered the rebound effects, feedback mechanisms, and interrelations of the system of interest sufficiently. To address these challenges, we present a complete discussion about the overarching role of systems thinking to bring tools, methods and disciplines together, and provide practical examples from the earlier studies that have employed various system-based methods. We discuss the importance of integrated system-based methods for advancement of LCSA framework in the following directions: (1) regional and global level LCSA models using multi-region input-output analysis that is capable of quantitatively capturing macro-level social, environmental, and economic impacts; (2) dealing with uncertainties in LCSA during multi-criteria decision-making process and expert judgments in weighting of LCSA indicators; and (3) integration of system dynamics modeling to reveal complex interconnections, dependencies, and causal relationships between sustainability indicators. Full article
Show Figures

Figure 1

22 pages, 583 KB  
Article
Finding the Missing Link between Corporate Social Responsibility and Firm Competitiveness through Social Capital: A Business Ecosystem Perspective
by Jaehun Joo 1, Mike Tae-In Eom 2 and Matthew Minsuk Shin 3,*
1 Division of Management, College of Business and Economics, Dongguk University-Gyeongju, Gyeongju, Gyeonsangbuk-do 780-714, Korea
2 Pamplin School of Business, University of Portland, Portland, OR 97203, USA
3 Department of International Trade, College of Commerce and Economics, Konkuk University, Seoul 05029, Korea
Sustainability 2017, 9(5), 707; https://doi.org/10.3390/su9050707 - 28 Apr 2017
Cited by 19 | Viewed by 7178
Abstract
There are existing studies that successfully show the impact of corporate social responsibility (CSR) on firms’ financial performance. However, limited attention is paid to its impact on the business ecosystem. CSR could be seen as an investment for building a sustainable business ecosystem, [...] Read more.
There are existing studies that successfully show the impact of corporate social responsibility (CSR) on firms’ financial performance. However, limited attention is paid to its impact on the business ecosystem. CSR could be seen as an investment for building a sustainable business ecosystem, which enhances the competitiveness of this system’s members. In that context, this study apprehends and captures the virtuous cycle of firm competitiveness. On analyzing data from interviews with seven firms, the study offers four propositions identifying the structure of the virtuous cycle linking CSR activities to firm competitiveness through the accumulation of social capital within business ecosystems. Based on those propositions, the study offers new insights into CSR research for academics and strategic planning guidelines for managers that integrate social and economic values for a sustainable business ecosystem and firm competitiveness. Full article
Show Figures

Figure 1

17 pages, 8045 KB  
Article
Modeling the Relative Contributions of Land Use Change and Harvest to Forest Landscape Change in the Taihe County, China
by Zhuo Wu 1,2, Quansheng Ge 1,2,* and Erfu Dai 1,2
1 Key Laboratory of Land Surface Pattern and Simulation, Institute of Geographic Sciences and Natural Resources Research, Chinese Academy of Sciences, Beijing 100101, China
2 University of Chinese Academy of Sciences, Beijing 100049, China
Sustainability 2017, 9(5), 708; https://doi.org/10.3390/su9050708 - 28 Apr 2017
Cited by 15 | Viewed by 6913
Abstract
Forests are under pressure from land use change due to anthropogenic activities. Land use change and harvest are the main disturbances of forest landscape changes. Few studies have focused on the relative contributions of different disturbances. In this study, we used the CA-Markov [...] Read more.
Forests are under pressure from land use change due to anthropogenic activities. Land use change and harvest are the main disturbances of forest landscape changes. Few studies have focused on the relative contributions of different disturbances. In this study, we used the CA-Markov model, a land-use change model, coupled with a forest landscape model, LANDIS-II, to simulate dynamic change in Taihe County, China, from 2010 to 2050. Scenarios analysis was conducted to quantify the relative contributions of land use change and harvest. Our results show that forestland and arable land will remain the primary land-use types in 2050, whereas the built-up land will sprawl drastically. Land use change and harvest may result in the significant loss of forest area and changes in landscape structure. The simulated forest area will increase by 16.2% under the no disturbance scenario. However, under harvest, forest conversion, and integrated scenario, the area will be reduced by 5.2%, 16.5%, and 34.9%, respectively. The effect of harvest is gradually enhanced. The land use change will account for 60% and harvest will account for 40% of forest landscape change in 2050, respectively. Our results may benefit from the integration of regional forest management and land-use policy-making, and help to achieve a trade-off between economy and ecological environment. Full article
(This article belongs to the Section Environmental Sustainability and Applications)
Show Figures

Figure 1

12 pages, 10759 KB  
Article
Interrelations of Ecosystem Services and Rural Population Wellbeing in an Ecologically-Fragile Area in North China
by Yan Yan 1, Chunli Zhao 1,2, Yuan Quan 1, Huiting Lu 1,2, Yi Rong 1,2 and Gang Wu 1,*
1 State Key Laboratory of Urban and Regional Ecology, Research Center for Eco-Environmental Sciences, Chinese Academy of Sciences, Beijing 100085, China
2 University of Chinese Academy of Sciences, Beijing 100049, China
Sustainability 2017, 9(5), 709; https://doi.org/10.3390/su9050709 - 29 Apr 2017
Cited by 20 | Viewed by 6103
Abstract
Ecosystem services (ES) are indispensable contributors to rural population wellbeing (RPWB). Understanding the relationship between ES and RPWB is important to human welfare and conserving ecosystem services. Ecologically-vulnerable areas are widely distributed in China and are concentrated with impoverished people. This study explored [...] Read more.
Ecosystem services (ES) are indispensable contributors to rural population wellbeing (RPWB). Understanding the relationship between ES and RPWB is important to human welfare and conserving ecosystem services. Ecologically-vulnerable areas are widely distributed in China and are concentrated with impoverished people. This study explored the relations of ES and RPWB in an ecologically-fragile area, and provided some recommendations for regional improvement. We developed an evaluation framework, analyzed the spatio-temporal characteristics of services and RPWB, and examined their relations. Results showed that: (1) the level of RPWB in an ecologically-vulnerable area was lower than that in the downstream region; however, the wellbeing gap between regions has narrowed over time; (2) Regions with a higher ecosystem service capacity had higher levels of rural population wellbeing, and vice versa; (3) In addition to the food supply, other ES indicators were closely associated with RPWB in the region. Specifically, the net income and living space were closely related to food supply, while rural-urban income ratio and water environment were more relevant to the other services. Lastly, it is important to address environment and poverty issues simultaneously. Full article
Show Figures

Figure 1

18 pages, 3038 KB  
Article
Trust-Embedded Information Sharing among One Agent and Two Retailers in an Order Recommendation System
by Xiao Fu 1 and Guanghua Han 2,*
1 Institute of Innovation and Development, Hangzhou Dianzi University, Hangzhou 310012, China
2 School of International and Public Affairs, Shanghai Jiao Tong University, Shanghai 200030, China
Sustainability 2017, 9(5), 710; https://doi.org/10.3390/su9050710 - 29 Apr 2017
Cited by 10 | Viewed by 4952
Abstract
Trust potentially affects the decision-makers’ behaviors and has a great influence on supply chain performances. We study the information sharing process considering trust in a two-tier supply chain with one upstream agent and two retailers, where the agent recommends ordered quantities (ROQ) to [...] Read more.
Trust potentially affects the decision-makers’ behaviors and has a great influence on supply chain performances. We study the information sharing process considering trust in a two-tier supply chain with one upstream agent and two retailers, where the agent recommends ordered quantities (ROQ) to retailers and the retailer decides her/his ordered quantities according to the agent’s recommendation and self-collected information. There exist three types of information sharing patterns among the agent and two retailers, i.e., both retailers share their demand prediction (Pattern 1), one retailer shares her/his demand prediction (Pattern 2) and none of the retailers share their demand prediction (Pattern 3). Thus, we build corresponding mathematical models and analyze each party’s decision strategies in each pattern, respectively. The findings in this study show that sharing information can generally promote trust among enterprises in the entire supply chain and increase their profits in return. It is found that when the accuracies of the two retailers’ predicted demand differs, their behaviors of information sharing or not sharing significantly affect their expected profits. In Pattern 1 and Pattern 3, we find that retailers’ expected profits are negatively influenced by the agent’s accuracies of demand prediction. However, the retailer’s expected profits are positively linked to the agent’s accuracies of demand in Pattern 2. Consequently, we propose a series of strategies for retailers in different decision patterns after several simulation runs. In addition, we also find that the retailer whose prediction is less accurate can also gain more profits by un-sharing his/her demand prediction when the agent’s predict accuracy is between the two retailers. Full article
Show Figures

Figure 1

12 pages, 1164 KB  
Article
Inequality of Carbon Intensity: Empirical Analysis of China 2000–2014
by Rongrong Li 1,* and Xue-Ting Jiang 2,3
1 School of Economic & Management, China University of Petroleum (Huadong), No. 66 West Changjiang Road, Qingdao 266580, China
2 State Key Laboratory of Désert and Oasis Ecology, Xinjiang Institute of Ecology and Geography, Urumqi 830011, China
3 College of Resources and Environment, University of Chinese Academy of Sciences, Beijing 100049, China
Sustainability 2017, 9(5), 711; https://doi.org/10.3390/su9050711 - 29 Apr 2017
Cited by 10 | Viewed by 4963
Abstract
On the 3 September 2016, China officially ratified the Paris agreement as the main global producer of carbon emissions. A key of China’s commitment is to reduce its carbon intensity by 60–65% between 2005 and 2030. An improved understanding of the inequality of [...] Read more.
On the 3 September 2016, China officially ratified the Paris agreement as the main global producer of carbon emissions. A key of China’s commitment is to reduce its carbon intensity by 60–65% between 2005 and 2030. An improved understanding of the inequality of carbon intensity at national-, inter-regional-, and intra-regional scale is a prerequisite for the development of a more cost-effective carbon intensity reduction policy. In this study, we used the Dagum Gini coefficient and its subgroup decomposition method to quantify China’s inequality of carbon intensity between 2000 and 2014 based on available and updated data. The results show: (i) The Gini coefficient indicates a rising inequality of the carbon intensity at both national and sub-national scale, suggesting accelerated inequality of carbon intensity at national-, inter-regional, and intra-regional-scale. (ii) The Gini coefficient indicates a rising trend of intra-regional carbon intensity in Central and Western China, while the trend declines for Eastern China. (iii) The Gini coefficient indicates rising carbon intensity between Eastern and Central China, Western and Eastern China, and Central and Western China. (iv) Transvariation intensity occupies a leading role in the increasing national-level carbon intensity Gini coefficient. Ultimately, several policy recommendations are provided. Full article
(This article belongs to the Section Energy Sustainability)
Show Figures

Figure 1

21 pages, 10822 KB  
Article
Urban Heat Island and Overheating Characteristics in Sydney, Australia. An Analysis of Multiyear Measurements
by Mat Santamouris 1,*, Shamila Haddad 1, Francesco Fiorito 1, Paul Osmond 1, Lan Ding 1, Deo Prasad 1, Xiaoqiang Zhai 2 and Ruzhu Wang 2
1 Annita Lawrence Chair of High Performance Architecture, Faculty of Built Environment, University of New South Wales, Sydney 2052, Australia
2 Institute of Refrigeration and Cryogenics, Shanghai Jiao Tong University, Shanghai 200240, China
Sustainability 2017, 9(5), 712; https://doi.org/10.3390/su9050712 - 29 Apr 2017
Cited by 116 | Viewed by 23423
Abstract
It has become increasingly important to study the urban heat island phenomenon due to the adverse effects on summertime cooling energy demand, air and water quality and most importantly, heat-related illness and mortality. The present article analyses the magnitude and the characteristics of [...] Read more.
It has become increasingly important to study the urban heat island phenomenon due to the adverse effects on summertime cooling energy demand, air and water quality and most importantly, heat-related illness and mortality. The present article analyses the magnitude and the characteristics of the urban heat island in Sydney, Australia. Climatic data from six meteorological stations distributed around the greater Sydney region and covering a period of 10 years are used. It is found that both strong urban heat island (UHI) and oasis phenomena are developed. The average maximum magnitude of the phenomena may exceed 6 K. The intensity and the characteristics of the phenomena are strongly influenced by the synoptic weather conditions and in particular the development of the sea breeze and the westerly winds from the desert area. The magnitude of the urban heat island varies between 0 and 11°C, as a function of the prevailing weather conditions. The urban heat island mainly develops during the warm summer season while the oasis phenomenon is stronger during the winter and intermediate seasons. Using data from an extended network of stations the distribution of Cooling Degree Days in the greater Sydney area is calculated. It is found that because of the intense development of the UHI, Cooling Degree Days in Western Sydney are about three times higher than in the Eastern coastal zone. The present study will help us to better design and implement urban mitigation strategies to counterbalance the impact of the urban heat island in the city. Full article
(This article belongs to the Special Issue Urban Heat Island)
Show Figures

Figure 1

21 pages, 5462 KB  
Article
Comparative Analysis of Decoupling Control Methodologies and H Multivariable Robust Control for Variable-Speed, Variable-Pitch Wind Turbines: Application to a Lab-Scale Wind Turbine
by Sergio Fragoso 1, Juan Garrido 1,*, Francisco Vázquez 1 and Fernando Morilla 2
1 Department of Computer Science and Numerical Analysis, Universidad de Córdoba, Campus de Rabanales, 14071 Cordoba, Spain
2 Department of Computer Science and Automatic Control, Universidad Nacional de Educación a Distancia, Juan del Rosal 16, 28040 Madrid, Spain
Sustainability 2017, 9(5), 713; https://doi.org/10.3390/su9050713 - 29 Apr 2017
Cited by 18 | Viewed by 4783
Abstract
This work is focused on the improvement of variable-speed variable-pitch wind turbine performance by means of its control structure. This kind of systems can be considered as multivariable nonlinear processes subjected to undesired interactions between variables and presenting different dynamics at different operational [...] Read more.
This work is focused on the improvement of variable-speed variable-pitch wind turbine performance by means of its control structure. This kind of systems can be considered as multivariable nonlinear processes subjected to undesired interactions between variables and presenting different dynamics at different operational zones. This interaction level and the dynamics uncertainties complicate the control system design. The aim of this work is developing multivariable controllers that cope with such problems. The study shows the applicability of different decoupling methodologies and provides a comparison with a H controller, which is an appropriate strategy to cope with uncertainties. The methodologies have been tested in simulation and verified experimentally in a lab-scale wind turbine. It is demonstrated that the wind turbine presents more interaction at the transition zone. Then, this operational point is used as the nominal one for the controller designs. At this point, decoupling controllers obtain perfect decoupling while the H control presents important interaction in the generated power loop. On the other hand, they are slightly surpassed by the robust design at other points, where perfect decoupling is not achieved. However, decoupling controllers are easier to design and implement, and specifically dynamic simplified decoupling achieve the best global response. Then, it is concluded that the proposed methodologies can be considered for implantation in industrial wind turbines to improve their performance. Full article
(This article belongs to the Special Issue The Impact and Innovation of Wind Turbine Technologies)
Show Figures

Figure 1

18 pages, 546 KB  
Article
Minimum Quantity Lubrication and Carbon Footprint: A Step towards Sustainability
by Muhammad Omair 1, Biswajit Sarkar 1,* and Leopoldo Eduardo Cárdenas-Barrón 2
1 Department of Industrial & Management Engineering, Hanyang University, Ansan 15588, Gyeonggi-do, Korea
2 Department of Industrial and Systems Engineering, School of Engineering, Tecnológico de Monterrey, E. Garza Sada 2501 Sur, Monterrey C.P. 64849, Nuevo León, Mexico
Sustainability 2017, 9(5), 714; https://doi.org/10.3390/su9050714 - 29 Apr 2017
Cited by 39 | Viewed by 6627
Abstract
In today’s world, there is an increasing awareness among consumers for demanding sustainable products. Several countries have already started working to create strategies for implementing sustainable manufacturing. Other countries are making efforts to access international markets and face intense market competitions in terms [...] Read more.
In today’s world, there is an increasing awareness among consumers for demanding sustainable products. Several countries have already started working to create strategies for implementing sustainable manufacturing. Other countries are making efforts to access international markets and face intense market competitions in terms of sustainable status of products, which build a huge pressure on manufacturers to avail the concept of sustainable manufacturing. This paper proposes a manufacturing model to minimize total cost of manufacturing and carbon emissions with the effect of variable production quantity to provide sustainable manufacturing. Total cost of manufacturing includes fixed costs and variable costs with the addition of cost of minimum quantity lubrication and imperfect quality items. Minimum quantity lubrication system is an eco-friendly and sustainable, which reduces negative impact on environment and improves workers' safety. This study considers the real situation of imperfect products and proportion of it can be reworked at certain known rate. Numerical example and sensitivity analysis are given by using multiobjective genetic algorithm and goal attainment techniques to illustrate the practical applications of the proposed model. Full article
Show Figures

Figure 1

12 pages, 368 KB  
Article
Measuring the Changes of Greenhouse Gas Emissions Caused by the Trans-Pacific Partnership
by Hirokazu Akahori 1,*, Daisuke Sawauchi 2 and Yasutaka Yamamoto 2
1 Faculty of Bioresource Sciences, Akita Prefectural University, Akita 010-0195, Japan
2 Research Faculty of Agriculture, Hokkaido University, Sapporo 060-8589, Japan
Sustainability 2017, 9(5), 715; https://doi.org/10.3390/su9050715 - 29 Apr 2017
Cited by 2 | Viewed by 4563
Abstract
The Trans-Pacific Partnership (TPP) is one of the proposed mega-free trade agreements. While several previous studies have measured the economic impact of the trade liberalization resulting from the TPP, the TPP may have not only a very large economic impact, but also a [...] Read more.
The Trans-Pacific Partnership (TPP) is one of the proposed mega-free trade agreements. While several previous studies have measured the economic impact of the trade liberalization resulting from the TPP, the TPP may have not only a very large economic impact, but also a significant environmental impact, such as changes in greenhouse gas (GHG) emissions. The purpose of this paper is to contribute to the debate over TPP and GHG emissions by asking the following question: Will the TPP increase or decrease GHG emissions? We estimate the potential impact on GHG emissions changes caused by the TPP using the Global Trade Analysis Project (GTAP) model, and the GTAP CO2 and non-CO2 emissions databases. Our results suggest that the TPP is likely to increase the total amount of GHG emissions in the 12 TPP member countries, as well as global emissions. The main reason for increasing TPP member and global GHG emissions is non-CO2 emissions growth in Australia and the US. Full article
(This article belongs to the Section Economic and Business Aspects of Sustainability)
Show Figures

Figure 1

26 pages, 1253 KB  
Article
An Integrated Location-Allocation Model for Temporary Disaster Debris Management under an Uncertain Environment
by Muhammad Salman Habib and Biswajit Sarkar *
Department of Industrial and Management Engineering, Hanyang University, Ansan, Gyeonggi-do, 15588, Korea
Sustainability 2017, 9(5), 716; https://doi.org/10.3390/su9050716 - 29 Apr 2017
Cited by 71 | Viewed by 7541
Abstract
Natural disasters always generate an overwhelming amount of debris. Reusing and recycling waste from disasters are essential for sustainable debris management. Before recycling the debris, it is necessary to sort this mixed waste. To perform the sorting process efficiently, a Temporary Disaster Debris [...] Read more.
Natural disasters always generate an overwhelming amount of debris. Reusing and recycling waste from disasters are essential for sustainable debris management. Before recycling the debris, it is necessary to sort this mixed waste. To perform the sorting process efficiently, a Temporary Disaster Debris Management Site (TDDMS) is required, and the selection of TDDMS is a multi-criteria decision-making problem due to its numerous regional and municipal constraints. This paper provides a two-phase framework for sustainable debris management during the response phase of disasters. In the first phase, a methodology for TDDMS selection is proposed that consists of Analytical Network Process (ANP) and a fuzzy Technique for Order Preference by Similarity to Ideal Solution (TOPSIS). In the second phase, a debris allocation optimization model is developed to allocate the debris from disaster-affected regions to the selected TDDMS. A city prone to hurricane damage is selected to illustrate the proposed framework. For the debris allocation purpose, five TDDMS are chosen, among which three sites are selected using the proposed methodology. To illustrate the utilization of the proposed study, a numerical example with two different scenarios is provided. Numerical outcomes prove that the model results in a sustainable debris management system for disasters. Full article
(This article belongs to the Special Issue Sustainability in Supply Chain Management)
Show Figures

Figure 1

17 pages, 251 KB  
Article
Effect of Entry into Socially Responsible Investment Index on Cost of Equity and Firm Value
by Kijung Eom and Giseok Nam *
College of Business, Hankuk University of Foreign Studies, 107, Imun-ro, Dongdaemun-gu, Seoul 130-791, Korea
Sustainability 2017, 9(5), 717; https://doi.org/10.3390/su9050717 - 29 Apr 2017
Cited by 14 | Viewed by 5726
Abstract
The purpose of this study was to identify the effect of a company’s incorporation into the Socially Responsible Investment (SRI) index on its cost of equity (COE) and corporate value. The study collected and analyzed data about the four-year long changes of the [...] Read more.
The purpose of this study was to identify the effect of a company’s incorporation into the Socially Responsible Investment (SRI) index on its cost of equity (COE) and corporate value. The study collected and analyzed data about the four-year long changes of the component stocks of the Korea Exchange (KRX) SRI index from September 2010 to September 2013 to verify the correlation between the incorporation of the SRI index and the cost of equity or corporate value by using the Price-Earnings Growth (PEG), Modified PEG (MPEG) and Gode and Mohanram (GM) models for estimation of the implied costs of equity capital, as well as Tobin’s Q ratio. The analysis results failed to show any significant relation between the incorporation of the SRI index and the cost of equity capital. Also, no statistically significant correlation between the incorporation of the SRI index and corporate value was observed. However, at an early phase of introduction of the SRI index, the included companies revealed a negative correlation with the cost of equity. However, after changing the listed stocks, they showed a positive correlation with the cost of equity capital. All in all, this can be ascribed to a mixed presence of optimistic and pessimistic investors about CSR activities, or there is a possibility that the KRX SRI index might not correctly reflect the CSR activities of companies. Full article
(This article belongs to the Section Economic and Business Aspects of Sustainability)
22 pages, 2638 KB  
Article
Integrating Social Values and Ecosystem Services in Systematic Conservation Planning: A Case Study in Datuan Watershed
by Yu-Pin Lin 1,*, Wei-Chih Lin 2, Hsin-Yi Li 3, Yung-Chieh Wang 4, Chih-Chen Hsu 1, Wan-Yu Lien 1, Johnathen Anthony 1 and Joy R. Petway 1
1 Department of Bioenvironmental Systems Engineering, National Taiwan University, Taipei 10617, Taiwan
2 Geographic Information Technology Co., 4F., No. 310, Section 4, Zhongxiao E. Road., Taipei 10694, Taiwan
3 Fong-Yi Construction Co., LTD., 20F.-2, No.501, Section 2, Taiwan Blvd., West Dist., Taichung City 403, Taiwan
4 Department of Water and Soil Conservation, National Chung Hsing University, No. 145, Xingda Road, South District, Taichung 402, Taiwan
Sustainability 2017, 9(5), 718; https://doi.org/10.3390/su9050718 - 29 Apr 2017
Cited by 29 | Viewed by 9342
Abstract
Systematic conservation planning (SCP) deals with a delicate interplay of competing interests and has far-reaching impacts for all stakeholders and systems involved. While SCP has traditionally attempted to conserve ecosystem services that benefit ecological systems, public perceptions of conservation initiatives influence their ultimate [...] Read more.
Systematic conservation planning (SCP) deals with a delicate interplay of competing interests and has far-reaching impacts for all stakeholders and systems involved. While SCP has traditionally attempted to conserve ecosystem services that benefit ecological systems, public perceptions of conservation initiatives influence their ultimate feasibility and sustainability. In an attempt to balance ecological integrity, social utility, and urban development, this study develops a framework that applies four popular models to represent these competing factors, including two ecosystem services models—InVEST (Integrated Valuation of Environmental Services and Tradeoffs) for biophysical services (BpS), and SolVES (Social Values for Ecosystem Services) for social values (SV); a land use and land cover (LULC) suitability model; and Zonation for delimiting high priority areas. We also analyze a number of conservation scenarios that consider varying levels of urban development. While BpS are distributed with considerable spatial variability, SV spatially overlap. Approximately 6% of the area was identified as having both high BpS and SV, whereas a further 24.5% of the area was identified as either high BpS low SV or vise-versa. Urban development scenarios affected the conservation area selection drastically. These results indicate tradeoffs and potential synergies between development, SV, and BpS. Our findings suggest that the information provided by the proposed framework can assist in finding solutions to social-ecological planning complexities that serve multiple stakeholders. Full article
Show Figures

Figure 1

11 pages, 579 KB  
Article
Optimum Returns from Greenhouse Vegetables under Water Quality and Risk Constraints in the United Arab Emirates
by Eihab Fathelrahman 1,*, Mohamed Gheblawi 1, Safdar Muhammad 1, Emily Dunn 1, James C. Ascough II 2,† and Timothy R. Green 3
1 Department of Agribusiness and Consumer Sciences, College of Food and Agriculture, United Arab Emirates University, Al Ain 009713, United Arab Emirates
2 USDA-ARS, 1400 Independence Ave., S.W. Washington DC, 20250, USA
3 USDA, Agricultural Research Service (ARS), Water Management and Systems Research Unit, Fort Collins, CO 80521, USA
The fifth author is deceased.
Sustainability 2017, 9(5), 719; https://doi.org/10.3390/su9050719 - 29 Apr 2017
Cited by 8 | Viewed by 5986
Abstract
Greenhouses have been used in the United Arab Emirates (UAE) to produce vegetables that contribute toward UAE food security, including offering fresh vegetable produce in the off-season. However, to manage such greenhouses, farmers face both technical and environmental limitations (i.e., high water scarcity), [...] Read more.
Greenhouses have been used in the United Arab Emirates (UAE) to produce vegetables that contribute toward UAE food security, including offering fresh vegetable produce in the off-season. However, to manage such greenhouses, farmers face both technical and environmental limitations (i.e., high water scarcity), as well as vegetable market price instability. The objective of this study is to explore tradeoffs between returns (i.e., gross margin) of selected vegetables (tomato, pepper, and cucumber), risk (deviation from gross margin means), and an environmental constraint (water salinity) using a unique target MOTAD (minimization of total absolute deviations) approach to support UAE farmer decision-making processes. The optimal target MOTAD solution included all three vegetables and no corner solution. The results showed tradeoffs between returns and risks, and confirmed that product diversification reduces overall risk. The analysis was consistent with farmer perceptions based on a survey of 78 producers in the region. The search for the optimal mix of vegetable production under UAE greenhouse conditions revealed that reduction in tomato production should be offset by an increase in cucumber production while maintaining a constant level of pepper production. In other words, risk is reduced as cucumber production increases due to the high level of tomato and lettuce price volatility as the alternative to cucumber. The results also demonstrated the importance of the water salinity environmental constraint, as it was found to have a positive marginal value in the optimal vegetable mix solution (i.e., important factor). Thus the optimal solution was highly sensitive to changes in the crop water salinity constraint. The study results also demonstrate that the target MOTAD approach is a suitable optimization methodology. As a practical approach, a decision-maker in the UAE can consider gross margin (total revenue-variable costs) maximization with risk and water quality constraints to find the optimal vegetable product mix under greenhouse conditions. Full article
Show Figures

Figure 1

10 pages, 1220 KB  
Article
Climate Vulnerability and Human Migration in Global Perspective
by Martina Grecequet 1,*, Jack DeWaard 1,2, Jessica J. Hellmann 1,3 and Guy J. Abel 4,5
1 Institute on the Environment, University of Minnesota, St. Paul, MN 55108, USA
2 Department of Sociology and Minnesota Population Center, University of Minnesota, Minneapolis, MN 55455, USA
3 Department of Ecology, Evolution and Behavior, College of Biological Sciences, University of Minnesota, St. Paul, MN 55108, USA
4 Asian Demographic Research Institute, School of Sociology and Political Science, Shanghai University, Shanghai 200444, China
5 Wittgenstein Centre for Demography and Global Human Capital (IIASA, VID/ÖAW, WU), Vienna Institute of Demography (Austrian Academy of Sciences), Vienna 1020, Austria
Sustainability 2017, 9(5), 720; https://doi.org/10.3390/su9050720 - 30 Apr 2017
Cited by 49 | Viewed by 18771
Abstract
The relationship between climate change and human migration is not homogenous and depends critically on the differential vulnerability of population and places. If places and populations are not vulnerable, or susceptible, to climate change, then the climate–migration relationship may not materialize. The key [...] Read more.
The relationship between climate change and human migration is not homogenous and depends critically on the differential vulnerability of population and places. If places and populations are not vulnerable, or susceptible, to climate change, then the climate–migration relationship may not materialize. The key to understanding and, from a policy perspective, planning for whether and how climate change will impact future migration patterns is therefore knowledge of the link between climate vulnerability and migration. However, beyond specific case studies, little is known about this association in global perspective. We therefore provide a descriptive, country-level portrait of this relationship. We show that the negative association between climate vulnerability and international migration holds only for countries least vulnerable to climate change, which suggests the potential for trapped populations in more vulnerable countries. However, when analyzed separately by life supporting sector (food, water, health, ecosystem services, human habitat, and infrastructure) and vulnerability dimension (exposure, sensitivity, and adaptive capacity), we detect evidence of a relationship among more, but not the most, vulnerable countries. The bilateral (i.e., country-to-country) migration show that, on average, people move from countries of higher vulnerability to lower vulnerability, reducing global risk by 15%. This finding is consistent with the idea that migration is a climate adaptation strategy. Still, ~6% of bilateral migration is maladaptive with respect to climate change, with some movement toward countries with greater climate change vulnerability. Full article
Show Figures

Figure 1

31 pages, 753 KB  
Review
Lessons for Responsible Innovation in the Business Context: A Systematic Literature Review of Responsible, Social and Sustainable Innovation Practices
by Rob Lubberink 1,*, Vincent Blok 1, Johan Van Ophem 2 and Onno Omta 1
1 Department of Management Studies, Wageningen University, 6706 KN Wageningen, The Netherlands
2 Department of Economics of Consumers and Households, Wageningen University, 6706 KN Wageningen, The Netherlands
Sustainability 2017, 9(5), 721; https://doi.org/10.3390/su9050721 - 5 May 2017
Cited by 253 | Viewed by 28352
Abstract
This paper aims to contribute to the ongoing conceptual debate on responsible innovation, and provides innovation practices and processes that can help to implement responsible innovation in the business context. Based on a systematic literature review of 72 empirical scholarly articles, it was [...] Read more.
This paper aims to contribute to the ongoing conceptual debate on responsible innovation, and provides innovation practices and processes that can help to implement responsible innovation in the business context. Based on a systematic literature review of 72 empirical scholarly articles, it was possible to identify, analyse and synthesise empirical findings reported in studies on social, sustainable and responsible innovation practices in the business context. The synthesis of the included articles resulted in a refined framework for responsible innovation in the business context. This framework includes an overview of innovation practices and processes that can enhance the dimensions of responsible innovation: anticipation, reflexivity, inclusion, deliberation, responsiveness and knowledge management. Additionally, knowledge gaps are identified and a research agenda for responsible innovation is proposed. This review can therefore serve as a next step in the theoretical and practical development of responsible innovation in general, and in the business context in particular. Full article
(This article belongs to the Special Issue Responsible Research and Innovation (RRI) in Industry)
Show Figures

Figure 1

19 pages, 4185 KB  
Article
An Analysis of Decoupling and Influencing Factors of Carbon Emissions from the Transportation Sector in the Beijing-Tianjin-Hebei Area, China
by Xiaoping Zhu and Rongrong Li *
School of Economic & Management, China University of Petroleum (Huadong), No. 66 West Changjiang Road, Qingdao 266580, China
Sustainability 2017, 9(5), 722; https://doi.org/10.3390/su9050722 - 30 Apr 2017
Cited by 52 | Viewed by 5540
Abstract
The transport sector is the major green-house gas emitter and most rapidly growing sector in terms of consuming energy in China. Understanding the driving forces behind carbon emission is a prerequisite for reducing carbon emissions and finding a balance between economic growth and [...] Read more.
The transport sector is the major green-house gas emitter and most rapidly growing sector in terms of consuming energy in China. Understanding the driving forces behind carbon emission is a prerequisite for reducing carbon emissions and finding a balance between economic growth and carbon emissions. The purpose of this paper is to identify the impact of the factors which influence the level of carbon emissions from the transportation sector in the Beijing-Tianjin-Hebei (BTH) area, China, using decomposition model, combined with a decoupling elasticity index. The results of our study indicate that: (1) changes in the level of carbon emissions from the transportation sector are not always synchronized with changes in economic growth. (2) The decoupling state between the carbon emissions and economic growth of Tianjin and Beijing can be roughly divided into two phases. The first phase was during the 2005 to 2009 period, when the decoupling state was pessimistic. The second phase was from 2009 to 2013, when the decoupling state became better overall and was mainly dominated by weak decoupling. Conversely, the decoupling state of Hebei was mainly weak during this period. (3) Economic growth and population size play positive roles in increasing the levels of transportation-related carbon emissions in BTH. However, the energy structure is a negative force. The effect of energy intensity always plays a negative role in Tianjin and Hebei, but positive in Beijing. The industrial structure effect shows a fluctuating trend, but the cumulative effect value is negative, and negative interaction is prominent. Finally, this paper gives some suggestions on how to develop low-carbon transport in BTH area. Full article
(This article belongs to the Section Energy Sustainability)
Show Figures

Figure 1

17 pages, 1288 KB  
Article
Research on Sustainability Financial Performance of Chinese Listed Companies
by Feng Wei 1,*, Jiawei Lu 1 and Yu Kong 2
1 Department of Finance, School of economics and Business Administration, Chongqing University, 174 Shazhengjie, Shapingba, Chongqing 400030, China
2 Department of Public Economics , School of Public Affairs, Chongqing University, 174 Shazhengjie, Shapingba, Chongqing 400030, China
Sustainability 2017, 9(5), 723; https://doi.org/10.3390/su9050723 - 30 Apr 2017
Cited by 19 | Viewed by 5453
Abstract
Studying the sustainability of the financial performance of Chinese listed companies is an assessment of their future development capability and a comprehensive evaluation of all aspects of the companies over the past period of time. Based on the financial data of manufacturing industry [...] Read more.
Studying the sustainability of the financial performance of Chinese listed companies is an assessment of their future development capability and a comprehensive evaluation of all aspects of the companies over the past period of time. Based on the financial data of manufacturing industry of Chinese listed companies from 2008 to 2015, this paper uses the AHP (Analytic hierarchy process) method to determine the weight of each secondary indictor, calculate the sustainable development capability of financial performance, and analyze and compare the sustainable financial performance of manufacturing sub-industries. The long-term trend and the periodical trend of the sustainable development of the manufacturing industry in Chinese listed companies are analyzed through the HP (High-Pass) filter method. The results show that the long-term sustainable financial performance of the manufacturing industry of Chinese listed companies is basically maintained. Through the comparison of regions and ownership, it has been found that the sustainable financial performance of Chinese listed companies in the eastern and central regions is rising, while that of the western region is declining; the long-term sustainable financial performance of non-state-owned enterprises is rising, while that of state-owned enterprises is declining. Full article
Show Figures

Figure 1

22 pages, 11126 KB  
Article
Assessment of Land-Cover/Land-Use Change and Landscape Patterns in the Two National Nature Reserves of Ebinur Lake Watershed, Xinjiang, China
by Fei Zhang 1,2,*, Hsiang-te Kung 3 and Verner Carl Johnson 4
1 College of Resources and Environmental Sciences, Xinjiang University, Urumqi 830046, China
2 Ministry of Education of Key Laboratory of Oasis Ecology at Xinjiang University, Urumqi 830046, China
3 Department of Earth Sciences, the University of Memphis, Memphis, TN 38152, USA
4 Department of Physical and Environmental Sciences, Colorado Mesa University, Grand Junction, CO 81501, USA
Sustainability 2017, 9(5), 724; https://doi.org/10.3390/su9050724 - 2 May 2017
Cited by 74 | Viewed by 8257
Abstract
Land-cover and land-use change (LCLUC) alters landscape patterns and affects regional ecosystems. The objective of this study was to examine LCLUC and landscape patterns in Ebinur Lake Wetland National Nature Reserve (ELWNNR) and Ganjia Lake Haloxylon Forest National Nature Reserve (GLHFNNR), two biodiversity-rich [...] Read more.
Land-cover and land-use change (LCLUC) alters landscape patterns and affects regional ecosystems. The objective of this study was to examine LCLUC and landscape patterns in Ebinur Lake Wetland National Nature Reserve (ELWNNR) and Ganjia Lake Haloxylon Forest National Nature Reserve (GLHFNNR), two biodiversity-rich national nature reserves in the Ebinur Lake Watershed (ELW), Xinjiang, China. Landsat satellite images from 1972, 1998, 2007 and 2013 were used to calculate the dynamics of a land-cover and land-use (LCLU) transition matrix and landscape pattern index using ENVI 5.1 and FRAGSTATS 3.3. The results showed drastic land use modifications have occurred in ELWNNR during the past four decades. Between 1972 and 1998, 1998 and 2007, and 2007 and 2013, approximately 251.50 km2 (7.93%), 122.70 km2 (3.87%), and 195.40 km2 (6.16%) of wetland were turned into salinized land. In GLHFNNR both low and medium density Haloxylon forest area declined while high density Haloxylon forest area increased. This contribution presents a method for characterizing LCLUC using one or more cross-tabulation matrices based on Sankey diagrams, demonstrating the depiction of flows of energy or materials through ecosystem network. The ecological landscape index displayed that a unique landscape patches have shrunk in size, scattered, and fragmented. It becomes a more diverse landscape. Human activities like farming were negatively correlated with the landscape diversity of wetlands. Furthermore, evidence of degraded wetlands caused by air temperature and annual precipitation, was also observed. We conclude that national and regional policies related to agriculture and water use have significantly contributed to the extensive changes; the ELWNNR and GLHFNNR are highly susceptible to LCLUC in the surrounding Ebinur Lake Watershed. Full article
Show Figures

Figure 1

15 pages, 2069 KB  
Article
Relationships between Soil Crust Development and Soil Properties in the Desert Region of North China
by Jiping Niu 1, Kai Yang 2, Zejun Tang 1,* and Yitong Wang 1
1 College of Water Resources and Civil Engineering, China Agricultural University, Beijing 100083, China
2 Advanced Materials Institute, Shandong Academy of Sciences, Jinan 250014, China
Sustainability 2017, 9(5), 725; https://doi.org/10.3390/su9050725 - 3 May 2017
Cited by 39 | Viewed by 5665
Abstract
This study investigated the effects of soil crust development on the underlying soil properties. The field sampling work was conducted in June 2016 in the Hobq Desert in Inner Mongolia, North China. Soil crust samples and 0–6, 6–12, 12–18, 18–24, and 24–30 cm [...] Read more.
This study investigated the effects of soil crust development on the underlying soil properties. The field sampling work was conducted in June 2016 in the Hobq Desert in Inner Mongolia, North China. Soil crust samples and 0–6, 6–12, 12–18, 18–24, and 24–30 cm deep underlying soil samples were taken from five representative areas of different soil crust development stages. All samples were analyzed for physicochemical properties, including water content, bulk density, aggregate content, organic matter content, enzyme activities, and microbial biomass carbon and nitrogen. The results showed that the thickness, water content, macro-aggregate (>250 μm) content, organic matter content, microbial biomass, and enzyme activities of the soil crusts gradually increased along the soil crust development gradient, while the bulk density of the soil crusts decreased. Meanwhile, the physicochemical and biological properties of the soils below the algal and moss crusts were significantly ameliorated when compared with the physical crust. Moreover, the amelioration effects were significant in the upper horizons (approx. 0–12 cm deep) and diminished quickly in the deeper soil layers. Full article
(This article belongs to the Special Issue Physical Geography and Environmental Sustainability)
Show Figures

Figure 1

17 pages, 1826 KB  
Article
Regional Disparities in Emissions of Rural Household Energy Consumption: A Case Study of Northwest China
by Wenheng Wu *, Hongying Zhu, Yinghao Qu and Kaiying Xu
College of Urban and Environmental Science, Northwest University, Xi’an 710127, China
Sustainability 2017, 9(5), 726; https://doi.org/10.3390/su9050726 - 3 May 2017
Cited by 5 | Viewed by 5311
Abstract
The purpose of this paper is to present the emissions status of multiple rural areas from the perspective of a field survey and make up for the defects of the traditional emission cognition of single type of area. The basic data in the [...] Read more.
The purpose of this paper is to present the emissions status of multiple rural areas from the perspective of a field survey and make up for the defects of the traditional emission cognition of single type of area. The basic data in the lower reaches of the Weihe River of Northwest China were collected through household questionnaire surveys, and emissions from rural household energy consumption were calculated in the paper. In addition, the grey relational analysis method was used to identify influential factors of emission disparities. The results show that the total emissions of the plain, loess tableland, and Qinling piedmont areas are 1863.20, 1850.43, and 2556.68 kg, respectively. Regional disparities in emissions of rural household energy consumption vary greatly. CO2 emissions are highest in the Qinling piedmont area, followed by the loess tableland area. For other emissions, there is no fixed order of the three areas, which suggests that disparities in emissions are connected with the dominant type of energy consumption. Diversification of energy use might not necessarily produce higher emissions, but the traditional biomass energy pattern does generate more emissions. The regional supply capacity of household energy is the original influence factor of disparities in emissions, and factors that influence these disparities are directly related to differences among farmers, followed by the age structure, educational background, income level, occupation, and so on. Full article
Show Figures

Figure 1

15 pages, 1757 KB  
Article
Examining PM2.5 Emissions Embodied in China’s Supply Chain Using a Multiregional Input-Output Analysis
by Leying Wu 1, Zhangqi Zhong 2, Changxin Liu 3 and Zheng Wang 1,3,*
1 Key Laboratory of Geographic Information Science, East China Normal University, Shanghai 200241, China
2 School of Economics, Zhejiang University of Finance & Economics, Hangzhou 310018, China
3 Institute of Policy and Management, Chinese Academy of Sciences, Beijing 100080, China
Sustainability 2017, 9(5), 727; https://doi.org/10.3390/su9050727 - 3 May 2017
Cited by 16 | Viewed by 4320
Abstract
Haze has become an urgent problem for China’s highly populated cities. Regional collaboration is an effective method for controlling air pollution. Because air pollution diffuses freely, it is necessary to distribute the responsibility for pollution with a common and differentiated rule. Based on [...] Read more.
Haze has become an urgent problem for China’s highly populated cities. Regional collaboration is an effective method for controlling air pollution. Because air pollution diffuses freely, it is necessary to distribute the responsibility for pollution with a common and differentiated rule. Based on a multiregional input-output model, this article calculated the PM2.5 emissions embodied in provincial trade (EEPT) of China’s 30 provinces in 2007 and 2010. The results show that the PM2.5 EEPT accounts for almost one-third of the production-based PM2.5 emissions of China. The economic crisis lowered the EEPT, while the ratio between the EEPT and production-based PM2.5 emissions has increased. The EEPT values of the eastern provinces are mainly due to the EEPT embodied in final consumption, while the EEPT values of the central, northeastern, and the western provinces are due to the EEPT embodied in the intermediate input. We also analyzed different compositions of EEPT, such as fixed capital formation and consumption. The emissions embodied in provincial imports are mainly due to fixed capital formation. Due to the policies of the West Development, the Rising of Central China, and Promoting the Old Industrial Base in the Northeast, the central government increased the investment to these areas. The ratios of the EEPT embodied in the fixed capital formation to the total EEPT of the central (0.64), northeastern (0.69), and the western provinces (0.65) are higher than that of the eastern provinces (0.62). This indicates that the government need to establish different policies to control the effects of EEPT. In addition to the challenges of regional collaboration, environmental damage and the EEPT should be taken into account. The importers in the collaboration should consider providing compensation to the exporters in the collaboration. Full article
(This article belongs to the Section Economic and Business Aspects of Sustainability)
Show Figures

Figure 1

26 pages, 5565 KB  
Article
Ground Deposition and Airborne Spray Drift Assessment in Vineyard and Orchard: The Influence of Environmental Variables and Sprayer Settings
by Marco Grella 1,*, Montserrat Gallart 2, Paolo Marucco 1, Paolo Balsari 1 and Emilio Gil 2
1 Department of Agricultural, Forest and Food Sciences (DiSAFA), University of Turin (UNITO), Largo Paolo Braccini, 2, 10095 Grugliasco (TO), Italy
2 Department of Agrifood Engineering and Biotechnology (DEAB), Polytechnic University of Catalonia (UPC), Esteve Terradas, 8, 08860 Castelldefels, Spain
Sustainability 2017, 9(5), 728; https://doi.org/10.3390/su9050728 - 3 May 2017
Cited by 88 | Viewed by 8725
Abstract
Spray drift assessment encompasses classification of the capacity of each sprayer/technology/setting combination to reduce or avoid the spray drift risk, as well as drift measurement to define buffer zones mandated during pesticide application. Compounding the challenge of these tasks is the great variability [...] Read more.
Spray drift assessment encompasses classification of the capacity of each sprayer/technology/setting combination to reduce or avoid the spray drift risk, as well as drift measurement to define buffer zones mandated during pesticide application. Compounding the challenge of these tasks is the great variability of field evaluation results from environmental conditions, spray application technology, canopy structure, and measurement procedures. This study, performed in Spanish context, evaluates the effects of different parameters on comparative measurements of ground and airborne spray drift employing the ISO22866:2005 protocol. Four configurations of air blast sprayers, derived from two fan airflow rates and two nozzle types (conventional and air-induction), were tested in orchard and vineyard at late growth stage. Spray drift curves were obtained, from which corresponding Drift Values (DVs) were calculated using an approximation of definite integral. Both sprayer settings and environmental variables statistically affect spray drift total amounts and result variability. PCA analysis showed that nozzle type and wind speed characteristics explained 51% and 24% of the variance, respectively. In particular, mean wind direction influence ground sediments (Pr < 0.01) and maximum wind speed strongly influence airborne drift value (Pr < 0.0001). The wind characteristics concealed the influence of adopted fan airflow rates on final spray drift assessment results. The effect of uncontrollable environmental conditions makes objective and comparative tests difficult. Full article
Show Figures

Figure 1

17 pages, 2284 KB  
Article
Using Analytic Hierarchy Process to Examine the Success Factors of Autonomous Landscape Development in Rural Communities
by Ta-Ching Liang 1 and Szu-Hsien Peng 2,*
1 Department of Leisure and Recreation, National Formosa University, Yunlin 632, Taiwan
2 Department of Spatial Design, Chienkuo Technology University, Changhua 500, Taiwan
Sustainability 2017, 9(5), 729; https://doi.org/10.3390/su9050729 - 2 May 2017
Cited by 22 | Viewed by 6144 | Correction
Abstract
The absence of comprehensive plans has resulted in disordered rural development and construction and a mix of new and old buildings in rural communities. Disorganized and blighted spaces have become rural landscape obstacles. After the Rural Rejuvenation Act was passed, rural construction has [...] Read more.
The absence of comprehensive plans has resulted in disordered rural development and construction and a mix of new and old buildings in rural communities. Disorganized and blighted spaces have become rural landscape obstacles. After the Rural Rejuvenation Act was passed, rural construction has been guided with plans, and the government expects to enhance surroundings and expand policies through autonomous community development to create a good rural landscape. Through a literature review, this study aims to establish key success factors in autonomous landscape development of rural communities, covering 8 criteria and 28 sub-criteria. A questionnaire survey was conducted among national rural communities, experts, and scholars. The analytic hierarchy process reveals that manpower input has the highest importance, thereby indicating that the improvement of autonomous community development would double with the guidance of community cadres and the participation of artists and experts. Full article
(This article belongs to the Section Sustainable Urban and Rural Development)
Show Figures

Figure 1

15 pages, 2234 KB  
Article
Supplier Qualification Sub-Process from a Sustained Perspective: Generation of Dynamic Capabilities
by Carmen De-Pablos-Heredero *, Gonzalo Fernández-Valero and Miguel Blanco-Callejo
Departamento de Economía de la Empresa (Administración, Dirección y Organización), Economía Aplicada II y Fundamentos de Análisis Económico, Facultad de Ciencias Jurídicas y Sociales, Universidad Rey Juan Carlos, 28032 Madrid, Spain
Sustainability 2017, 9(5), 730; https://doi.org/10.3390/su9050730 - 3 May 2017
Cited by 13 | Viewed by 8557
Abstract
This research describes the generation of dynamic capabilities in the Repsol supplier qualification sub-process based on a sustained value chain, using a proposed model consisting of seven stages of supplier approval. A qualitative and descriptive approach, focusing on social and sustained commitment methodology [...] Read more.
This research describes the generation of dynamic capabilities in the Repsol supplier qualification sub-process based on a sustained value chain, using a proposed model consisting of seven stages of supplier approval. A qualitative and descriptive approach, focusing on social and sustained commitment methodology has been applied. An analysis of a case of a successful firm in the supplier qualification sub-process has been performed based on the achievement of positive results from the dynamic capabilities theory. The results show how REPSOL contributes to the sustained development of its suppliers with specific actions arising from the implementation of its dynamic capabilities in organizational governance, the environment, human rights, labor practices, consumer issues, fair operating practices, and developing the communities with which it operates, in a model that seeks to respond to the expectations of society. The research performed shows that REPSOL’s capabilities are generated by influencing their competitive efficiency and better defining a sustained value chain integrated with its suppliers. The description and analysis of REPSOL’s supplier qualification sub-process becomes a business guideline for reaching dynamic capabilities in the process of qualification of suppliers. The proposed model means an inspiration for firms operating in the same, or different, industries. Full article
Show Figures

Figure 1

23 pages, 4910 KB  
Article
Impact of Window Films on the Overall Energy Consumption of Existing UK Hotel Buildings
by Ali Bahadori-Jahromi 1,*, Abdulazeez Rotimi 1, Anastasia Mylona 2, Paulina Godfrey 3 and Darren Cook 3
1 Department of Civil and Environmental Engineering, School of Computing and Engineering, University of West London, London W5 5RF, UK
2 The Chartered Institution of Building Services Engineers (CIBSE), London SW12 9BS, UK
3 Hilton, Maple Court, Reeds Crescent, Watford WD244QQ, UK
Sustainability 2017, 9(5), 731; https://doi.org/10.3390/su9050731 - 2 May 2017
Cited by 30 | Viewed by 14739
Abstract
Recently, considerable attention has justifiably been directed towards energy savings in buildings as they account for up to 20–40% of total energy consumption in developed countries. In the United Kingdom, studies have revealed that buildings’ CO2 emissions for account for at least [...] Read more.
Recently, considerable attention has justifiably been directed towards energy savings in buildings as they account for up to 20–40% of total energy consumption in developed countries. In the United Kingdom, studies have revealed that buildings’ CO2 emissions for account for at least 43% of total emissions. Window panels are a major component of the building fabric with considerable influence on the façade energy performance and are accountable for up to 60% of a building’s overall energy loss. Therefore, the thermal performance of glazing materials is an important issue within the built environment. This work evaluates the impact of solar window films on the overall energy consumption of an existing commercial building via the use of a case study U.K. hotel and TAS dynamic simulation software. The study results demonstrated that the impact of window films on the overall energy consumption of the case study hotel is approximately 2%. However, an evaluation of various overall energy consumption components showed that the window films reduce the annual total cooling energy consumption by up to 35% along with a marginal 2% increase in the annual total heating energy consumption. They can also provide overall cost and CO2 emissions savings of up to 3%. Full article
Show Figures

Figure 1

16 pages, 1544 KB  
Article
Exploring the Relationship between E-Government Development and Environmental Sustainability: A Study of Small Island Developing States
by Young Bum Lee
Department of Public Administration, Konkuk University, Seoul 143-701, Korea
Sustainability 2017, 9(5), 732; https://doi.org/10.3390/su9050732 - 3 May 2017
Cited by 26 | Viewed by 7657
Abstract
Small island developing states (SIDS) are one of the most vulnerable countries for environmental sustainability in the world. To maintain environmental sustainability, the SIDS governments are pursuing many e-government projects, but there is much debate on its effectiveness. In the absence of empirical [...] Read more.
Small island developing states (SIDS) are one of the most vulnerable countries for environmental sustainability in the world. To maintain environmental sustainability, the SIDS governments are pursuing many e-government projects, but there is much debate on its effectiveness. In the absence of empirical evidence, this study conducts quantitative analysis to estimate the effects of e-government development on environmental sustainability. Utilizing a panel dataset, we found that the development of e-government not only has direct effects on environmental sustainability, but also indirect effects through the enhancement of government effectiveness. This study emphasized the importance of contingent or intermediary factors in the study of e-government effectiveness. Additionally, after reviewing potential variables, we recommend the effectiveness of government as an important intermediary variable for the environmental sustainability in developing countries, such as SIDS. Full article
(This article belongs to the Section Economic and Business Aspects of Sustainability)
Show Figures

Figure 1

27 pages, 2282 KB  
Article
Eco-Innovation Drivers in Value-Creating Networks: A Case Study of Ship Retrofitting Services
by Roberto Rivas Hermann * and Karin Wigger
Department of Innovation and Entrepreneurship, Nord University Business School, Nord University, Bodø 8049, Norway
Sustainability 2017, 9(5), 733; https://doi.org/10.3390/su9050733 - 2 May 2017
Cited by 28 | Viewed by 8142
Abstract
Previous studies discuss how regulatory, technological and market drivers increasingly challenge manufacturing industries to adopt eco-innovations. However, the understanding of the process by which eco-innovations are developed and commercialized as a result of these drivers is not yet well established, in particular because [...] Read more.
Previous studies discuss how regulatory, technological and market drivers increasingly challenge manufacturing industries to adopt eco-innovations. However, the understanding of the process by which eco-innovations are developed and commercialized as a result of these drivers is not yet well established, in particular because these drivers are perceived differently by the end-users and their suppliers. In this paper, we address the following research question: How do eco-innovation drivers shape processes in value-creating networks? To answer this question, we carried out a case study purposely selected to understand how eco-innovation drivers, such as regulation, market pull and technology, interact and affect the eco-innovation decisions in a given industry. We analyzed the processes in an eco-innovation initiative about retrofitting old ships, contextualized in the maritime equipment and supply industry. The paper makes two novel contributions: First, we develop a framework that can support supply-network eco-innovation initiatives to deal with changes at the regulatory, market and technology levels. The framework includes elements, such as value co-creation to explore technological opportunities emerging from the interaction of the drivers or value proposition development to align multiple actors’ interests in the network and agree on shared expectations to exploit the opportunities. Second, we contribute to the emerging research area on eco-innovation processes by highlighting the lesser-known role of value-creating network dynamics. Value-creating networks can be a platform for the development of more radical eco-innovations if actors in the networks can align their value creation and capture objectives. Full article
(This article belongs to the Section Economic and Business Aspects of Sustainability)
Show Figures

Graphical abstract

18 pages, 255 KB  
Review
Unraveling Platform Strategies: A Review from an Organizational Ambidexterity Perspective
by Xing Wan 1, Javier Cenamor 2,*, Geoffrey Parker 3 and Marshall Van Alstyne 4
1 School of Business Administration, Nanjing University of Finance and Economics, Nanjing 210023, China
2 Entrepreneurship and Innovation, Luleå University of Technology, Luleå 97187, Sweden
3 Thayer School of Engineering, Dartmouth College, Hanover, NH 03755, USA
4 Questrom School of Business, Boston University, Boston, MA 02215, USA
Sustainability 2017, 9(5), 734; https://doi.org/10.3390/su9050734 - 2 May 2017
Cited by 72 | Viewed by 14932
Abstract
Platform strategies, which highlight the interdependence in and evolution of business ecosystems, are increasingly relevant for sustainable business models in the digital era. So far, platform research has existed as a fragmented body of insights from different fields, but an integrated theoretical perspective [...] Read more.
Platform strategies, which highlight the interdependence in and evolution of business ecosystems, are increasingly relevant for sustainable business models in the digital era. So far, platform research has existed as a fragmented body of insights from different fields, but an integrated theoretical perspective can lead to a more coherent understanding of the research overall. Organizational ambidexterity emphasizes the balance between exploration and exploitation, which is particularly conducive to understanding the sustainability of a firm. Using an organizational ambidexterity perspective, the authors analyze five platform strategies: pricing, openness, integration, differentiation, and envelopment. This paper provides a systematic review of the theoretical and empirical studies in leading management, economics, and information systems journals from 2000 to 2016. The findings show that platform strategies can help platform owners achieve ambidexterity by domain, temporal, and organizational separation. Finally, this paper proposes an agenda for future research. Full article
(This article belongs to the Section Economic and Business Aspects of Sustainability)
12 pages, 5432 KB  
Article
Floodplain Stability Indices for Sustainable Waterfront Development by Spatial Identification of Erosion and Deposition
by Chang Geun Song 1, Tae Geom Ku 2, Young Do Kim 3,* and Yong Sung Park 4
1 Department of Safety Engineering, Incheon National University, 119 Academy-ro, Yeonsu-gu, Incheon 22012, Korea
2 Department of Environmental Engineering, Inje University, 197 Inje-ro, Gimhae, Gyengnam 50834, Korea
3 Department of Environmental Engineering, Nakdong River Environmental Research Center, Inje University, 197 Inje-ro, Gimhae, Gyengnam 50834, Korea
4 School of Science & Engineering, University of Dundee, Perth Rd., Dundee DD1 4HN, UK
Sustainability 2017, 9(5), 735; https://doi.org/10.3390/su9050735 - 3 May 2017
Cited by 8 | Viewed by 4454
Abstract
The abrupt rises of water level in rivers by torrential rain or storm repeatedly cause inundation damage, such as erosion and deposition in floodplains. However, studies on identifying the abrasion of waterfront facilities or the accumulation of sediment near rivers under extreme flow [...] Read more.
The abrupt rises of water level in rivers by torrential rain or storm repeatedly cause inundation damage, such as erosion and deposition in floodplains. However, studies on identifying the abrasion of waterfront facilities or the accumulation of sediment near rivers under extreme flow conditions are seldom found because floodplains are utilized in various ways in each country. In this study, novel floodplain sustainability indices by spatial classification of erosion and deposition were developed for sustainable waterfront development. The indices can provide the relative spatial distribution of erosion and deposition in a floodplain by using only kinematic flow information, such as flow depth and velocity obtained by 2D numerical analysis. Accordingly, applying a complex sediment transport model that involves numerous assumptions and parameters can be moderately replaced with the present approach. The suitability of developed indices was tested in several flow problems by comparing the predicted erosional or depositional region with measured data. In addition, the developed indices were applied to a floodplain in a natural river to examine the relative spatial distribution of the erosion and deposition for a typhoon event, and the results were compared with field monitoring data. It was found that deposition was more likely to occur than erosion in most floodplains, and the developed floodplain sustainability indices accurately quantified the erosion and deposition phenomena. Full article
(This article belongs to the Special Issue Sustainable River Basin Management)
Show Figures

Figure 1

13 pages, 251 KB  
Article
A Quantitative Assessment of Causes of Bovine Liver Condemnation and Its Implication for Food Security in the Eastern Cape Province South Africa
by Ishmael Festus Jaja 1,*, Borden Mushonga 2, Ezekiel Green 3,4 and Voster Muchenje 1
1 Department of Livestock and Pasture Science, University of Fort Hare, Alice 5700, South Africa
2 School of Veterinary Medicine, Faculty of Agriculture and Natural Resources, University of Namibia, 13301 Namibia, South Africa
3 Department of Biochemistry and Microbiology, University of Fort Hare, Alice 5700, South Africa
4 Department of Biotechnology and Food, Science, Faculty of Science, University of Johannesburg, Doornfontein 2028, South Africa
Sustainability 2017, 9(5), 736; https://doi.org/10.3390/su9050736 - 3 May 2017
Cited by 20 | Viewed by 5888
Abstract
Food production needs to double, with minimum waste, if hunger and poverty is to be alleviated in South Africa. The condemnation of liver during meat inspection represents a huge waste of a protein food resource. This paper measures the quantity of liver condemned [...] Read more.
Food production needs to double, with minimum waste, if hunger and poverty is to be alleviated in South Africa. The condemnation of liver during meat inspection represents a huge waste of a protein food resource. This paper measures the quantity of liver condemned in three abattoirs in the Eastern Cape Province of South Africa and assesses the causes and the monetary loss associated with these condemnations. A retrospective study (RS) (n = 51 302) involving the use of abattoir slaughter records from 2010–2012 and a post-mortem meat inspection (PMMI) (n = 1374) was conducted from July to December 2013. The RS revealed the leading cause of liver wastage as fasciolosis (5.95%, 4.48%, and 2.7%), fibrosis (2.74%, 2.37%, and 1.0%), and abscessation (1.11%, 2.78%, and 1.5%) for the 2010, 2011, and 2012 respectively. During the PMMI, the same factors caused liver condemnation in addition to calcification (8.3%, 6.8%, and 3.2%), Cysticercosis bovis (1.7%, 2.4%, and 1.3%) and improper evisceration (4.8%, 12.4%, and 27.1%) for the abattoirs X, Y, and Z respectively. A total of R 343, 330 (USD 45,271.07) was lost due to the condemnation of liver between 2010 and 2012. The further loss of 3290.4 kg of liver was calculated for the six month in 2013, and its financial value was R 59, 227.2 (USD 5889.82). The result of this study provide baseline information on major causes of liver wastage in cattle slaughtered in South Africa as well as the direct financial losses and demonstrate the huge waste of ideal protein food source. Full article
36 pages, 2229 KB  
Article
Linking Transitions to Sustainability: A Study of the Societal Effects of Transition Management
by Niko Schäpke 1,*, Ines Omann 2, Julia M. Wittmayer 3, Frank Van Steenbergen 3 and Mirijam Mock 4
1 Faculty for Sustainability, Leuphana University of Lüneburg, 21335 Lüneburg, Germany
2 UFZ—Helmholtz Centre for Environmental Research, Department for Environmental Politics, 04318 Leipzig, Germany
3 DRIFT—Dutch Research Institute for Transitions, Erasmus University Rotterdam, 3000 DR Rotterdam, The Netherlands
4 UFZ—Helmholtz Centre for Environmental Research, Department for Environmental Politics, 04318 Leipzig, Germany
Sustainability 2017, 9(5), 737; https://doi.org/10.3390/su9050737 - 3 May 2017
Cited by 63 | Viewed by 11013
Abstract
Sustainability transitions as processes of fundamental change in societal systems are open-ended, nonlinear and uncertain. Respective research and governance approaches, e.g., transition management, propose a reflexive way of governing, aiming for a number of societal effects to help facilitating a transition. Effects include [...] Read more.
Sustainability transitions as processes of fundamental change in societal systems are open-ended, nonlinear and uncertain. Respective research and governance approaches, e.g., transition management, propose a reflexive way of governing, aiming for a number of societal effects to help facilitating a transition. Effects include empowerment, social learning and social capital development. Jointly mentioned effects shall allow for reflexivity and innovation in developing socially robust and contextualized solutions to sustainability challenges that work in practice. But, understanding the mentioned societal effects and their interplay in more depth is necessary to design and assess transition management processes. While such understanding and related assessment framework is under development in the transition management literature, transdisciplinary sustainability research can provide a rich body of tools and experiences. Building on a review of the literature, this article develops an evaluation framework focusing on social learning, empowerment and social capital as important and hitherto under-conceptualised aspects of the sustainability transition literature. This framework is used to empirically investigate the effects of two specific transition management processes at the local scale. In doing so, the article provides a conceptual and empirical understanding of how social learning, empowerment and social capital contribute to a transition towards sustainability. The three effects are shown to be interrelated, mutually supportive and bridging different scale levels from individuals to groups, niches and beyond. Results highlight possibilities to facilitate and assess societal effects, addressing sustainability as their inherent quality. Full article
Show Figures

Figure 1

15 pages, 6184 KB  
Article
ESCoBox: A Set of Tools for Mini-Grid Sustainability in the Developing World
by Peter Boait 1,*, Rupert Gammon 1, Varun Advani 1, Neal Wade 2, David Greenwood 2 and Peter Davison 2
1 Institute of Energy and Sustainable Development, De Montfort University, Queens Building, The Gateway, Leicester LE1 9BH, UK
2 School of Electrical and Electronic Engineering, Newcastle University, Newcastle NE1 7RU, UK
Sustainability 2017, 9(5), 738; https://doi.org/10.3390/su9050738 - 3 May 2017
Cited by 13 | Viewed by 6693
Abstract
Mini-grids powered by photovoltaic generators or other renewable energy sources have the potential to bring electricity to the 17% of the world’s population, mainly in rural areas, that are currently un-served. However, designing and managing a mini-grid so that it is reliable and [...] Read more.
Mini-grids powered by photovoltaic generators or other renewable energy sources have the potential to bring electricity to the 17% of the world’s population, mainly in rural areas, that are currently un-served. However, designing and managing a mini-grid so that it is reliable and economically sustainable is difficult because of the high variability of demand that arises from the small population of consumers. We describe an integrated set of four tools to assist mini-grid operators to predict and manage demand. These comprise a decision support tool to predict peak and average demand from a consumer population, a demand disaggregation tool that allows the key statistical properties of connected electricity-consuming appliances to be identified, a battery condition modeling tool which allows the impact on battery life of a planned operating regime to be predicted and a demand control sub-system which limits the operating time of high demand appliances to intervals when they can be supported. Results from application of the tool set to mini-grids in Kenya and The Gambia are presented. We conclude that accessible, usable and low cost tools of this form can improve mini-grid sustainability. Full article
(This article belongs to the Special Issue Energy Security and Sustainability)
Show Figures

Figure 1

15 pages, 3504 KB  
Article
The Spatiotemporal Variation of Tree Cover in the Loess Plateau of China after the ‘Grain for Green’ Project
by Yuhang Wang 1,2, Muyi Kang 1,2, Mingfei Zhao 1,2,*, Kaixiong Xing 3, Guoyi Wang 1,2 and Feng Xue 1,2
1 State Key Laboratory of Earth Surface Processes and Resource Ecology, Beijing Normal University, Beijing 100875, China
2 College of Resources Science and Technology, Faculty of Geographical Science, Beijing Normal University, Beijing 100875, China
3 Institute of Geographic Sciences and Natural Resources Research, Chinese Academy of Sciences, Beijing 100101, China
Sustainability 2017, 9(5), 739; https://doi.org/10.3390/su9050739 - 3 May 2017
Cited by 20 | Viewed by 6366
Abstract
Analyzing spatiotemporal variation of tree cover could enhance understanding of the environment and promote a sustainable resource use of ecosystems. This study investigated the variation in tree cover in the Loess Plateau after an ecological restoration effort called the ‘Grain for Green Project’ [...] Read more.
Analyzing spatiotemporal variation of tree cover could enhance understanding of the environment and promote a sustainable resource use of ecosystems. This study investigated the variation in tree cover in the Loess Plateau after an ecological restoration effort called the ‘Grain for Green Project’ (GGP). The results show that the proportion of tree covered area in the Loess Plateau changed from 73% to 88%, with the cumulative tree cover fluctuating from approximately 7% to 11%, and the average annual tree cover increased from 10% in 2000 to 12% in 2014. Based on tree cover values over the course of 15 years, the study area was classified into five regions, which provide much more information for spatial assessment of tree cover change in the Loess Plateau spatially. The increase in tree cover value was mainly in the core part of Loess Plateau, the mountains, and the edge of the mountain areas; whereas the values were stable in 36.21% of the area, and a decrease was noted in 5.63% of the area, primarily located in the low plain areas. Approximately 26.36% of the Loess Plateau will show a sustained increase in tree cover in the future. The results of this study will facilitate us to understand the current conditions and development of the GGP’s effects, and offer a valuable reference for future detection of tree cover change through geographic information system (GIS) and remote sensing (RS) tools. Full article
(This article belongs to the Special Issue Ecological Restoration for Sustainable Forest Management)
Show Figures

Figure 1

17 pages, 2757 KB  
Article
Building Criteria for Evaluating Green Project Management: An Integrated Approach of DEMATEL and ANP
by Ying-Chyi Chou 1, Chia-Han Yang 2, Ching-Hua Lu 1, Van Thac Dang 3,* and Pei-An Yang 1
1 Department of Business Administration, Tunghai University, Taichung 40704, Taiwan
2 Institute of Creative Industries Design, National Cheng Kung University, Tainan 701, Taiwan
3 Business School, Shantou University, Shantou 515063, China
Sustainability 2017, 9(5), 740; https://doi.org/10.3390/su9050740 - 3 May 2017
Cited by 31 | Viewed by 9929
Abstract
A complete framework for assessing a green project management has not been clearly identified in prior literature. The purpose of this paper is to develop a set of dimensions and criteria for evaluating a green project management. An integrated approach combining the decision [...] Read more.
A complete framework for assessing a green project management has not been clearly identified in prior literature. The purpose of this paper is to develop a set of dimensions and criteria for evaluating a green project management. An integrated approach combining the decision making trial and evaluation laboratory (DEMATEL) and the analytical network process (ANP) is used to determine the interrelationship structure and priority of each dimension and each criterion in a green project management. Six dimensions and twenty-four criteria of a green project management are identified based on related research in the fields of environmental sustainability and supply chain management. The empirical results show the interrelationship structure and priority of each dimension and each criterion in a green project management. The findings of this study provide important implications for both managerial managers and academic researchers. Full article
(This article belongs to the Section Economic and Business Aspects of Sustainability)
Show Figures

Figure 1

15 pages, 1126 KB  
Article
The Contribution of China’s Outward Foreign Direct Investment (OFDI) to the Reduction of Global CO2 Emissions
by Tao Ding, Yadong Ning * and Yan Zhang
Key Laboratory of Ocean Energy Utilization and Energy Conservation of Ministry of Education, School of Energy and Power Engineering, Dalian University of Technology, Dalian 116024, China
Sustainability 2017, 9(5), 741; https://doi.org/10.3390/su9050741 - 4 May 2017
Cited by 16 | Viewed by 6086
Abstract
Under economic globalization, with the intensification of China’s reform and opening up, China’s outward foreign direct investment (OFDI) has continuously gained momentum, but CO2 emissions caused by the OFDI have not been given due attention. As one China is of the world’s [...] Read more.
Under economic globalization, with the intensification of China’s reform and opening up, China’s outward foreign direct investment (OFDI) has continuously gained momentum, but CO2 emissions caused by the OFDI have not been given due attention. As one China is of the world’s leading CO2 emitters, it is necessary to conduct thorough research into the CO2 emission problem caused by China’s OFDI. Thirty-four host countries were selected as the objects of this study, including some European countries, Australia, India, Indonesia, Brazil, Canada, Japan, Korea, Mexico, Russia, and the USA. Their CO2 emissions as caused by China’s OFDI were calculated using the input-output model with non-competitive imports, the data of China’s OFDI flows, and their own energy consumption and CO2 emissions from 2000 to 2011. Then a comparative analysis was performed taking China as the comparative object. CO2 emission transfer of China’s OFDI was studied quantitatively. Finally, CO2 emissions from China’s OFDI were discussed from the perspective of industry selection and location selection. The results showed that China’s OFDI could achieve the aim of reducing global carbon emissions with reasonable industry and location selection. Full article
Show Figures

Figure 1

18 pages, 3797 KB  
Article
Establishment of the Sustainable Ecosystem for the Regional Shipping Industry Based on System Dynamics
by Xiaoqiao Geng 1,2,3, Yuanqiao Wen 1,2,3, Chunhui Zhou 1,2,3,* and Changshi Xiao 1,2,3
1 School of Navigation, Wuhan University of Technology, Wuhan 430070, Hubei, China
2 Hubei Key Laboratory of Inland Shipping Technology, Wuhan 430063, Hubei, China
3 National Engineering Research Center for Water Transport Safety, Wuhan 430070, Hubei, China
Sustainability 2017, 9(5), 742; https://doi.org/10.3390/su9050742 - 4 May 2017
Cited by 24 | Viewed by 8110
Abstract
The rapid development of the shipping industry has brought great economic benefits but at a great environmental cost; exhaust emissions originating from ships are increasing, causing serious atmospheric pollution. Hence, the mitigation of ship exhaust emissions and the establishment of the sustainable ecosystem [...] Read more.
The rapid development of the shipping industry has brought great economic benefits but at a great environmental cost; exhaust emissions originating from ships are increasing, causing serious atmospheric pollution. Hence, the mitigation of ship exhaust emissions and the establishment of the sustainable ecosystem have become urgent tasks, which will require complicated and comprehensive systematic approaches to solve. We address this problem by establishing a System Dynamics (SD) model to help mitigate regional ship exhaust emissions without restricting economic growth and promote the development of the sustainable ecosystem. Factors correlated with ship exhaust emissions are identified, and a causal loop diagram is drawn to describe the complicated interrelations among the correlated factors. Then, a stock-and-flow diagram is designed and variable equations and parameter values are determined to quantitatively describe the dynamic relations among different elements. After verifying the effectiveness of the model, different scenarios for the sustainable development in the study area were set by changing the values of the controlling variables. The variation trends of the exhaust emissions and economic benefits for Qingdao port under different scenarios were predicted for the years 2015–2025. By comparing the simulation results, the effects of different sustainable development measures were analyzed, providing a reference for the promotion of the harmonious development of the regional environment and economy. Full article
(This article belongs to the Special Issue Sustainable Ecosystems and Society in the Context of Big and New Data)
Show Figures

Figure 1

19 pages, 566 KB  
Article
Attribute Segmentation and Communication Effects on Healthy and Sustainable Consumer Diet Intentions
by Muriel C. D. Verain 1,*, Siet J. Sijtsema 1, Hans Dagevos 2 and Gerrit Antonides 3
1 Wageningen Economic Research, Wageningen University & Research, P.O. Box 35, 6700 AA Wageningen, The Netherlands
2 Wageningen Economic Research, Wageningen University & Research, P.O. Box 29703, 2502 LS The Hague, The Netherlands
3 Urban Economics, Wageningen University & Research, P.O. Box 8130, 6700 EW Wageningen, The Netherlands
Sustainability 2017, 9(5), 743; https://doi.org/10.3390/su9050743 - 4 May 2017
Cited by 70 | Viewed by 10638
Abstract
A shift towards more sustainable consumer diets is urgently needed. Dietary guidelines state that changes towards less animal-based and more plant-based diets are beneficial in terms of sustainability and, in addition, will have a positive effect on public health. Communication on these guidelines [...] Read more.
A shift towards more sustainable consumer diets is urgently needed. Dietary guidelines state that changes towards less animal-based and more plant-based diets are beneficial in terms of sustainability and, in addition, will have a positive effect on public health. Communication on these guidelines should be most effective when tailored to the motivations of specific consumer segments. Therefore, the current study (1) segments consumers based on the importance they attach to sustainability, health, taste and price of food in several food categories; and (2) tests different ways (with health arguments, sustainability arguments, or both) of communicating the dietary guideline. Three segments have been identified: pro-self, average, and sustainable conscious consumers. For pro-self and average consumers, the communication of both health and sustainability benefits made them think most about sustainability, although communication did not result in changes in dietary intentions in these segments. For sustainable conscious consumers, intention to reduce their meat consumption increased when both health and sustainability benefits were communicated. These research outcomes indicate the importance of segmentation research in the development of dietary messages. In addition, the findings show the importance of taking product category differences into account in studying consumer food motivations and intentions. Full article
(This article belongs to the Special Issue Sustainable Consumer Behavior)
Show Figures

Figure 1

21 pages, 2955 KB  
Review
Analysis of Existing Problems and Improvement Schemes for Substituting Electricity for Scattered Coal in China
by Rui Liu, Qiushuang Li * and Yingqi Zhao
School of Economics and Management, North China Electric Power University, Beijing 102206, China
Sustainability 2017, 9(5), 744; https://doi.org/10.3390/su9050744 - 4 May 2017
Cited by 10 | Viewed by 5243
Abstract
In recent years, a coal-induced haze erupted over a large area in China. Implementing a strategy of substituting electricity for scattered coal (hereafter referred to as SEFSC) for the control of scattered coal is thus urgently needed. In particular, there lies great practical [...] Read more.
In recent years, a coal-induced haze erupted over a large area in China. Implementing a strategy of substituting electricity for scattered coal (hereafter referred to as SEFSC) for the control of scattered coal is thus urgently needed. In particular, there lies great practical significance in analyzing the existing problems and improving the path of SEFSC in order to ensure rapid and effective advancement in this area. In light of this, the current paper first analyzes the distribution of China’s scattered coal and the relevant policy implementation, and discusses the potential for China to implement SEFSC. Secondly, PEST (policy, economy, society and technology) analysis is used to analyze the existing problems in China’s SEFSC strategy. From this, it becomes clear that the effect of scattered coal handling is still poor due to poor policy implementation, a weak economy, a low level of social acceptance and technical bottlenecks. Finally, based on the present situation and existing problems, this paper puts forward recommendations for improving China’s SEFSC strategy. Full article
Show Figures

Figure 1

15 pages, 1859 KB  
Article
Workers’ Age and the Impact of Psychological Factors on the Perception of Safety at Construction Sites
by Muhammad Dawood Idrees, Maria Hafeez and Jung-Yong Kim *
ErgoMechanics Laboratory Industrial and Management Engineering, Hanyang University, Ansan 426-791, Korea
Sustainability 2017, 9(5), 745; https://doi.org/10.3390/su9050745 - 4 May 2017
Cited by 75 | Viewed by 14555
Abstract
The safety of construction workers is always a major concern at construction sites as the construction industry is inherently dangerous with many factors influencing worker safety. Several studies concluded that psychological factors such as workload, organizational relationships, mental stress, job security, and job [...] Read more.
The safety of construction workers is always a major concern at construction sites as the construction industry is inherently dangerous with many factors influencing worker safety. Several studies concluded that psychological factors such as workload, organizational relationships, mental stress, job security, and job satisfaction have significant effects on workers’ safety. However, research on psychological factors that are characteristic of different age groups have been limited. The aim of this study was to examine the impact of psychological factors on the perception of worker safety for two different age groups. After an extensive literature review, different psychological factors were identified, and a hypothetical research model was developed based on psychological factors that could affect workers’ perception of safety. A survey instrument was developed, and data were collected from seven different construction sites in Pakistan. Structural equation modeling (SEM) was employed to test the hypothetical model for both age groups. The results revealed that workload and job satisfaction are significantly dominant factors on workers’ perception of safety in older workers, whereas organizational relationships, mental stress, and job security are dominant factors for younger workers at construction sites. Full article
Show Figures

Figure 1

11 pages, 7916 KB  
Article
Complex Dynamics Induced by Nonlinear Pollution Absorption, Pollution Emission Rate and Effectiveness of Abatement Technology in an OLG Model
by Dong Cao 1,2,*, Lin Wang 3 and Shouyang Wang 2
1 School of Economics and Management, Xidian University, Xi’an 710071, China
2 Academy of Mathematics and Systems Science, China Academy of Sciences, Beijing 100190, China
3 Department of Mathematics and Statistics, University of New Brunswick, Fredericton, NB E3B5A3, Canada
Sustainability 2017, 9(5), 746; https://doi.org/10.3390/su9050746 - 4 May 2017
Viewed by 3342
Abstract
In this work, nonlinear pollution absorption, emission rate, and effectiveness of abatement technology are incorporated into the classic overlapping generation model. Within this framework, we analyze the macroeconomic effects of pollution emission and abatement technology on the economy. Our findings reveal that different [...] Read more.
In this work, nonlinear pollution absorption, emission rate, and effectiveness of abatement technology are incorporated into the classic overlapping generation model. Within this framework, we analyze the macroeconomic effects of pollution emission and abatement technology on the economy. Our findings reveal that different levels of pollution emission rates from per capita income and the effectiveness of abatement technology could induce complex dynamical behavior, including the occurrence of a stable equilibrium, cycles, and chaos. Our analysis shows that either the pollution emission rate per capita income should be controlled to be small enough or the effectiveness of abatement technology should be large enough to maintain a stable system yielding high level of per capita income. A high level of pollution emission rate per capita income and a low level of effectiveness of abatement technology can lead to a stable economy, but with a low level of per capita income. In the case that the pollution emission rate and the effectiveness of abatement technology vary in a certain range, the economy would become unstable, and cycles and chaos would emerge. Full article
Show Figures

Figure 1

12 pages, 2702 KB  
Article
A District Approach to Building Renovation for the Integral Energy Redevelopment of Existing Residential Areas
by Mira Conci * and Jens Schneider
Institute for Structural Mechanics and Design, Technische Universität Darmstadt, Darmstadt 64287, Germany
Sustainability 2017, 9(5), 747; https://doi.org/10.3390/su9050747 - 4 May 2017
Cited by 22 | Viewed by 6454
Abstract
Building energy renovation quotas are not currently being met due to unfavorable conditions such as complex building regulations, limited investment incentives, historical preservation priorities, and technical limitations. The traditional strategy has been to incrementally lower the energy consumption of the building stock, instead [...] Read more.
Building energy renovation quotas are not currently being met due to unfavorable conditions such as complex building regulations, limited investment incentives, historical preservation priorities, and technical limitations. The traditional strategy has been to incrementally lower the energy consumption of the building stock, instead of raising the efficiency of the energy supply through a broader use of renewable sources. This strategy requires an integral redefinition of the approach to energy building renovations. The joint project SWIVT elaborates on a district redevelopment strategy that combines a reduction in the energy demand of existing buildings and their physical interconnection within a local micro-grid and heating network. The district is equipped with energy generation and distribution technologies as well as hybrid thermal and electrical energy storage systems, steered by an optimizing energy management controller. This strategy is explored through three scenarios designed for an existing residential area in Darmstadt, Germany, and benchmarked against measured data. Presented findings show that a total primary energy balance at least 30% lower than that of a standard building renovation can be achieved by a cluster of buildings with different thermal qualities and connected energy generation, conversion, and storage systems, with only minimal physical intervention to existing buildings. Full article
(This article belongs to the Special Issue Sustainable Architecture and Design)
Show Figures

Figure 1

13 pages, 1608 KB  
Article
Korean Developers in Vietnam: The Mechanism of Transnational Large-Scale Property Development and Its Planning
by Sanghoon Jung 1 and Jae Seung Lee 2,*
1 Department of Urban Planning, Gachon University, 1342 Seongnam-daero, Sujeong-gu, Seongnam-si, Gyeonggi-do 460-701, Korea
2 Department of Urban Design and Planning, Hongik University, 94 Wausan-ro, Mapo-gu, Seoul 121-791, Korea
Sustainability 2017, 9(5), 748; https://doi.org/10.3390/su9050748 - 4 May 2017
Cited by 2 | Viewed by 6808
Abstract
Since neo-liberalism emerged in the 1980s, private actors have started to take a primary role in urban planning and foreign private developers became important actors, especially in urban development in developing countries. In order to investigate the mechanism of large-scale property developments by [...] Read more.
Since neo-liberalism emerged in the 1980s, private actors have started to take a primary role in urban planning and foreign private developers became important actors, especially in urban development in developing countries. In order to investigate the mechanism of large-scale property developments by foreign developers, this paper focused on three cases developed by Koreans in Vietnam and investigated their similarities in development processes, and the resultant urban forms through analyzing relevant documents and conducting a series of in-depth interviews. As a result, a common strategy employed by Korean firms was to build villas first and apartments later, which would distort the resultant urban form. Conflicts with local governments over the provision of public facilities were another feature shared by these projects, and the provision of urban infrastructure, in turn, was scaled down during scheme changes. While previous studies argued that neglecting urban infrastructure has been a common feature of developments influenced by the privatization trend, foreign developers have more financial burdens and risks than their domestic counterparts, which increases the possibility of such neglect. Full article
(This article belongs to the Section Sustainable Urban and Rural Development)
Show Figures

Figure 1

28 pages, 19392 KB  
Article
Sustainability Features of Iran’s Vernacular Architecture: A Comparative Study between the Architecture of Hot–Arid and Hot–Arid–Windy Regions
by Sadra Sahebzadeh 1,*, Abolfazl Heidari 2, Hamed Kamelnia 3 and Abolfazl Baghbani 4
1 School of Architecture, Fine Arts Faculty, University of Tehran, Tehran 1417466191, Iran
2 Department of Architecture, Art and Architecture Faculty, University of Zabol, Zabol 9861335856, Iran
3 Faculty of Architecture, Urbanism and Islamic Art, Ferdowsi University of Mashhad, Mashhad 9177948974, Iran
4 Department of Civil & Environmental Engineering, Amirkabir University, Tehran 158754413, Iran
Sustainability 2017, 9(5), 749; https://doi.org/10.3390/su9050749 - 4 May 2017
Cited by 52 | Viewed by 21011
Abstract
Vernacular architecture has evolved over time to reflect and sustainably comply with the environmental and cultural contexts in which it exists. This kind of architecture possesses a variety of original and clever practices and technologies to satisfy various necessities imposed by context. Iran’s [...] Read more.
Vernacular architecture has evolved over time to reflect and sustainably comply with the environmental and cultural contexts in which it exists. This kind of architecture possesses a variety of original and clever practices and technologies to satisfy various necessities imposed by context. Iran’s vernacular architecture has mastered the art of adaptation to context by developing different architectures in different regions of the country. Despite their different appearances, these architectures follow the same logic in spirit: sustainable adaptation to context. This original research work surveys this logic in two regions, one hot-arid and the other hot-arid-windy, in Iran (represented by the city of Yazd and the region of Sistan, respectively) through a comparative study. This paper studies different elements and techniques of sustainability in these areas, reasons for their existence and the factors that have shaped them into the specific way that they are. The main elements that were studied through this survey include: fabric and orientation, sidewalks, facades, materials, entrances, courtyards, basements and cellars, porches, roofs, wind-catchers, and openings. In conclusion, links that connect different specifications of context to different aspects of construction are discovered and their role in overall character of two region’s architecture is illustrated so they can be used as guidelines for future designs and constructions. Full article
(This article belongs to the Section Sustainable Urban and Rural Development)
Show Figures

Figure 1

13 pages, 367 KB  
Article
Because My Friends Insist or Because It Makes Sense? Adolescents’ Motivation towards the Environment
by Jelle Boeve-de Pauw * and Peter Van Petegem
Research unit Edbron, Department of Training and Education Sciences, University of Antwerp, Prinsstraat 13, 2000 Antwerp, Belgium
Sustainability 2017, 9(5), 750; https://doi.org/10.3390/su9050750 - 4 May 2017
Cited by 28 | Viewed by 6200
Abstract
We present the results of a study that focuses in on issues of validity of the motivation towards the environment scale (MTES) in the context of Flanders (the Flemish-speaking community in Belgium). The instrument was developed almost two decades ago in Canada, and [...] Read more.
We present the results of a study that focuses in on issues of validity of the motivation towards the environment scale (MTES) in the context of Flanders (the Flemish-speaking community in Belgium). The instrument was developed almost two decades ago in Canada, and is designed to measure the self-determined motivation of people for performing pro-environmental behaviors, but has not yet been applied widely to different contexts. Here, we use a sample of 1730 grade 12 students from 71 schools across Flanders, to focus on specific issues concerning the validity of the MTES in the context of Flanders. We deal with its construct validity, through the estimation of a confirmatory factor analysis. Next, we test the reliability of the MTES and the hypothesized simplex structure by calculating intercorrelations between all six MTES subscales. External validity of the MTES is addressed by correlating the subscales to well-established environmental psychological constructs, such as the models of two major environmental values, the connectedness to nature scale, and the general ecological behavior scale. Finally, we also look at the discriminative validity of the MTES by testing gender differences in self-determined motivations towards the environment. Overall, our results confirm that the MTES is a valid and reliable instrument that can also be used outside the cultural context within which it was developed, to measure the diverse motivations of (young) people to engage in environmental behavior. Full article
(This article belongs to the Section Sustainable Education and Approaches)
Show Figures

Figure 1

15 pages, 708 KB  
Article
Drivers, Barriers and Benefits of the EU Ecolabel in European Companies’ Perception
by Fabio Iraldo 1,2,*,† and Michele Barberio 1,2,*,†
1 IEFE–Institute for Environment and Energy Economics, Bocconi University, 20136 Milan, Italy
2 Sant’Anna School of Advanced Studies—Institute of Management, 56127 Pisa, Italy
These authors contributed equally to this work.
Sustainability 2017, 9(5), 751; https://doi.org/10.3390/su9050751 - 4 May 2017
Cited by 26 | Viewed by 11259
Abstract
To date, only a few studies have investigated the attitude of companies towards the EU Ecolabel. This article intends to provide an updated portrait of what are the main motivations that push companies to use the EU Ecolabel, the benefits that companies perceive [...] Read more.
To date, only a few studies have investigated the attitude of companies towards the EU Ecolabel. This article intends to provide an updated portrait of what are the main motivations that push companies to use the EU Ecolabel, the benefits that companies perceive as deriving from it and the barriers that companies perceive as hindering uptake. In order to answer to these research questions, we have used the data collected by the empirical survey on the EU Ecolabel that ran from April to July 2014. Evidence emerging from the survey shows that companies deem that the EU Ecolabel added-value lies in it being a useful “showcase” tool of their eco-innovation efforts, potentially able to close the information gap with the market (made of consumers above all, but also retailers and public procurers) about their products and services’ environmental performance. However, there is evidence throughout the study that, although the EU Ecolabel brings some market rewards, these are fewer than those expected by companies when they first decide to apply for the EU Ecolabel. This is linked to the lack of awareness of the EU Ecolabel by consumers and to the insufficient and inadequate promotion and support granted by public institutions. Full article
(This article belongs to the Section Economic and Business Aspects of Sustainability)
Show Figures

Figure 1

12 pages, 2331 KB  
Article
Understanding the Possible Contamination of Ancient Starch Residues by Adjacent Sediments and Modern Plants in Northern China
by Zhikun Ma 1,2, Chi Zhang 1, Quan Li 2, Linda Perry 3 and Xiaoyan Yang 2,*
1 School of Archaeology and Museology, Peking University, Beijing 100871, China
2 Laboratory of Land Surface Pattern and Simulation, Institute of Geographic Sciences and Natural Resources Research, Chinese Academy of Sciences, Beijing 100101, China
3 The Foundation for Archaeobotanical Research in Microfossils, P.O. Box 37, Fairfax, VA 22038, USA
Sustainability 2017, 9(5), 752; https://doi.org/10.3390/su9050752 - 5 May 2017
Cited by 21 | Viewed by 5498
Abstract
The potential contamination of ancient residues from both modern plant sources and sediments adjacent to archaeological contexts can complicate interpretation in the field of starch grain analysis, thus affecting the sustainable use of the method in archaeobotany. In this study, we examined two [...] Read more.
The potential contamination of ancient residues from both modern plant sources and sediments adjacent to archaeological contexts can complicate interpretation in the field of starch grain analysis, thus affecting the sustainable use of the method in archaeobotany. In this study, we examined two potential sources of contamination at a wheat field in Shandong Province and a maize field in Beijing, the Nanzhuangtou site in Hebei Province and the Zhuannian site in Beijing in Northern China. Surface soils from active farmland and its surrounds, as well as deposits from clearly-defined cultural layers, overlying layers, and underlayers at the archaeological sites were subjected to starch grain analysis. No starches were recovered from any of the 16 surface soil samples from fields of wheat and maize, or their environs. This outcome indicates that starches do not preserve well in active surface soils. Further results from the analysis of 33 samples from the two sites demonstrate that starches do not occur in either the overlying layers or underlayers of cultural deposits. Thus, starch grains extracted from the surface residues of artifacts were not deposited from adjacent sediments after the artifacts were abandoned or buried. Further, cultural sediments contained fewer starch grains than the surfaces of artifacts in the same horizon. Thus, if any starch grains on the surfaces of tools are the result of contamination, ancient cultural sediments are the primary source. In conclusion, we offer insights for the prevention of misinterpretation of extraneous residues and sustainable development for the use of starch grain analysis. Full article
Show Figures

Figure 1

13 pages, 237 KB  
Article
An Empirical Exploration, Typology, and Definition of Corporate Sustainability
by Manfred Max Bergman *, Zinette Bergman and Lena Berger
Department of Social Sciences, University of Basel, 4051 Basel, Switzerland
Sustainability 2017, 9(5), 753; https://doi.org/10.3390/su9050753 - 8 May 2017
Cited by 73 | Viewed by 12528
Abstract
The relationship between business and society is evolving. On the one hand, social, environmental, and long-term economic issues subsumed under the UN 2030 Agenda for Sustainable Development are inspiring intergovernmental organizations, governments, NGOs, NPOs, foundations, and civic society to legislate and regulate corporate [...] Read more.
The relationship between business and society is evolving. On the one hand, social, environmental, and long-term economic issues subsumed under the UN 2030 Agenda for Sustainable Development are inspiring intergovernmental organizations, governments, NGOs, NPOs, foundations, and civic society to legislate and regulate corporate behavior toward a greater concern for the wellbeing of groups, regions, or entire societies. On the other, a growing trend toward protectionism, nationalism, and populism may be the consequence or expression of a dissatisfaction with the perceived dissociation of the private sector from society. As a form of self-regulation, corporate responsibility deals with the complex responsibilities businesses have toward society. However, it tends to be hampered by an emphasis on theology and philosophy-based business ethics, which are difficult to integrate into day-to-day business operations or to translate between national or corporate cultures. In this article, we argue that corporate sustainability could be a more useful concept to help improve on how government, the private sector, and academia understand the links between business and society, and how to translate the interdependence between business and society from one culture to another. For this purpose, we empirically analyzed the relevant academic literature on corporate sustainability, using Content Configuration Analysis. Our analyses revealed three conceptual types and nine subtypes of corporate sustainability. Based on their assessment, we suggest conceptual preferences and a definition of corporate sustainability, which fulfil criteria that may render the concept more useful to global political and socioeconomic negotiations among stakeholder groups for the long-term benefit of business and society. Full article
17 pages, 2537 KB  
Article
Spatial Prediction of Soil Organic Matter Using a Hybrid Geostatistical Model of an Extreme Learning Machine and Ordinary Kriging
by Ying-Qiang Song 1, Lian-An Yang 2, Bo Li 1,3, Yue-Ming Hu 1,4,*, An-Le Wang 5, Wu Zhou 1, Xue-Sen Cui 1 and Yi-Lun Liu 1,3,*
1 College of Natural Resources and Environment, South China Agricultural University, Guangzhou 510642, China
2 College of Urban and Environmental Sciences, Northwest University, Xi’an 710127, China
3 Guangdong Province Engineering Research Center for Land Information Technology, Guangzhou 510642, China
4 Guangdong Province Key Laboratory for Land Use and Consolidation, Guangzhou 510642, China
5 Lantian County Agricultural Technology Popularization Center, Xi’an 710500, China
Sustainability 2017, 9(5), 754; https://doi.org/10.3390/su9050754 - 5 May 2017
Cited by 45 | Viewed by 6496
Abstract
An accurate estimation of soil organic matter (SOM) content for spatial non-point prediction is an important driving force for the agricultural carbon cycle and sustainable productivity. This study proposed a hybrid geostatistical method of extreme learning machine-ordinary kriging (ELMOK), to predict the spatial [...] Read more.
An accurate estimation of soil organic matter (SOM) content for spatial non-point prediction is an important driving force for the agricultural carbon cycle and sustainable productivity. This study proposed a hybrid geostatistical method of extreme learning machine-ordinary kriging (ELMOK), to predict the spatial variability of the SOM content. To assess the feasibility of ELMOK, a case study was conducted in a regional scale study area in Shaanxi Province, China. A total of 472 topsoil (0–20 cm) samples were collected. A total of 14 auxiliary variables (predictors) were obtained from remote sensing data and environmental factors. The proposed method was compared with the ability of traditional geostatistical methods such as simple kriging (SK) and ordinary kriging (OK), in addition to hybrid geostatistical methods such as regression-ordinary kriging (ROK) and artificial neural network-ordinary kriging (ANNOK). The results showed that the extreme learning machines (ELM) model used principal components (PCs) as input variables, and performed better than both multiple linear regression (MLR) and artificial neural network (ANN) models. Compared with geostatistical and hybrid geostatistical prediction methods of SOM spatial distribution, the ELMOK model had the highest coefficient of determination (R2 = 0.671) and ratio of performance to deviation (RPD = 2.05), as well as the lowest root mean square error (RMSE = 1.402 g kg−1). In conclusion, the application of remote sensing imagery and environmental factors has a deeper driven significance of a non-linear and multi-dimensional hierarchy relationship for explaining the spatial variability of SOM, tracing local carbon sink and high quality SOM maps. More importantly, it is possibly concluded that the sustainable monitoring of SOM is a significant process through the pixel-based revisit sampling, an analysis of the mapping results of SOM, and methodological integration, which is the primary step in spatial variations and time series. The proposed ELMOK methodology is a promising and effective approach which can play a vital role in predicting the spatial variability of SOM at a regional scale. Full article
Show Figures

Figure 1

21 pages, 6236 KB  
Article
Costly Barriers to Sustainable Institutions: Empirical Evidence from State-Reinforced Management of a Communal Irrigation System in the Philippines
by Doreen Ingosan Allasiw *, Toshinori Tanaka and Takashi Mino
Graduate Program in Graduate Program in Sustainability Science-Global Leadership Initiative (GPSS-GLI), Graduate School of Frontier Sciences, the University of Tokyo, Environmental Studies Building, 5-1-5 Kashiwanoha, Kashiwa City, Chiba 277-8563, Japan
Sustainability 2017, 9(5), 755; https://doi.org/10.3390/su9050755 - 5 May 2017
Cited by 3 | Viewed by 6026
Abstract
This study examines the process and outcome of institutional change from a self-governing common-pool resources (CPR) model into state-reinforced self-governance. Empirical evidence is drawn from the Philippines’ experience in decentralizing the management of communal irrigation systems (CIS) to local farmers through Irrigators Associations [...] Read more.
This study examines the process and outcome of institutional change from a self-governing common-pool resources (CPR) model into state-reinforced self-governance. Empirical evidence is drawn from the Philippines’ experience in decentralizing the management of communal irrigation systems (CIS) to local farmers through Irrigators Associations (IAs). The field data were collected through archival research, a review of secondary documents, and key informant interviews in Sagada, Philippines. Through institutional analysis, the study confirms earlier empirical findings that self-governing bodies can work well with the state provided they do not impinge on the autonomy of resource users. However, user expectations regarding the costs and benefits of state-reinforced self-governance affect its likelihood of success. Drawing from the case study, changes in the value and distribution of transaction costs are the two biggest challenges to sustaining state-reinforced IAs. The first challenge is the introduction of membership and irrigation fees, a huge shift from the non-monetary contribution that farmers were accustomed to. The second challenge is the change in the allocation and distribution of transaction costs or, simply, who bears what cost. Further research is recommended to expand the current discourse on state-reinforced self-governance to include more in-depth transaction cost analysis. Full article
(This article belongs to the Section Environmental Sustainability and Applications)
Show Figures

Figure 1

17 pages, 2335 KB  
Article
Trend Analysis of Water Poverty Index for Assessment of Water Stress and Water Management Polices: A Case Study in the Hexi Corridor, China
by Shan Huang 1,2, Qi Feng 1,*, Zhixiang Lu 1, Xiaohu Wen 1 and Ravinesh C. Deo 1,3
1 Key Laboratory of Ecohydrology of Inland River Basin, Northwest Institute of Eco-Environment and Resources, Chinese Academy of Sciences (CAS), Lanzhou 730000, China
2 University of Chinese Academy of Sciences, Beijing 100049, China
3 School of Agricultural, Computational and Environmental Sciences, International Centre for Applied Climate Sciences (ICACS), Institute of Agriculture and Environment (IAg & E), University of Southern Queensland, Springfield QLD 4300, Australia
Sustainability 2017, 9(5), 756; https://doi.org/10.3390/su9050756 - 5 May 2017
Cited by 38 | Viewed by 6649
Abstract
The Hexi Corridor, an important part of the Silk Road Economic Belt, is considered the poorest, most water scarce, and most ecologically fragile area in China. Establishing efficient strategies for water management in an integrated manner is utterly important. This paper evaluates the [...] Read more.
The Hexi Corridor, an important part of the Silk Road Economic Belt, is considered the poorest, most water scarce, and most ecologically fragile area in China. Establishing efficient strategies for water management in an integrated manner is utterly important. This paper evaluates the spatio-temporal trends of water stress (2003–2015) in the Shule (SLRB), Heihe (HHRB), and Shiyang (SYRB) River Basins in the Hexi Corridor based on the Water Poverty Index (WPI). For SLRB, the WPI ranged from 55.3 to 66.4, followed by HHRB (40.1–58.2) and SYRB with WPI = 20.0–43.9. Both SYRB and HHRB showed an improvement in the water situation based on increasing trends, whereas SLRB demonstrated a small decrease. The effectiveness of water policy interventions was evident in SYRB and HHRB, standing at odds with SLRB where interventions required adjustment to ameliorate the water stress. For the start and end years, pentagrams for five components (Resource, Access, Capacity, Use, Environment) demonstrated the merits and weaknesses of WPI as a comparative framework for assessing the water situation. This study also reaffirms the importance of WPI, utilized for investigating the efficacy of implemented water policies and benchmarking the future priorities in basins not only in China but also in other locations where water resources management is a key issue. Full article
Show Figures

Figure 1

4 pages, 157 KB  
Editorial
Advanced IT-Based Future Sustainable Computing
by Jong Hyuk Park 1,* and Han-Chieh Chao 2
1 Department of Computer Science and Engineering, Seoul National University of Science and Technology, Seoul 01811, Korea
2 College of Electrical Engineering & Computer Science, National Ilan University, Yilan City, Yilan County 260, Taiwan
Sustainability 2017, 9(5), 757; https://doi.org/10.3390/su9050757 - 5 May 2017
Cited by 5 | Viewed by 4147
Abstract
Future Sustainability Computing (FSC) is a novel research topic that deals with algorithms, procedures, and applications of information technologies for abundant life. In this Special Issue, we cover novel research and applications within the scope of sustainability computing dealing with hardware/software technologies, especially [...] Read more.
Future Sustainability Computing (FSC) is a novel research topic that deals with algorithms, procedures, and applications of information technologies for abundant life. In this Special Issue, we cover novel research and applications within the scope of sustainability computing dealing with hardware/software technologies, especially for frameworks and architectures. For example, topics include dynamic group management in Internet of Things (IoT); real-time video surveillance; security threats in Software Defined Network (SDN); real-time indoor Air-Quality level indicator; effectiveness of information systems security; load-balancing for inter-sensor convergence; neighbor discovery in sensor networks; transmission algorithm with Quality of Service (QoS) consideration; analysis of the relationship between Intrusion Detection System (IDS) alerts and darknet are included. Full article
(This article belongs to the Special Issue Advanced IT based Future Sustainable Computing)
20 pages, 11556 KB  
Article
An Optimal Dispatch Model of Wind-Integrated Power System Considering Demand Response and Reliability
by Qingshan Xu 1, Yifan Ding 1,* and Aixia Zheng 2
1 School of Electrical Engineering, Southeast University, Sipailou 2#, Nanjing 210096, China
2 State Grid Jiangsu Electric Power Company, Shangai Road 215#, Nanjing 210024, China
Sustainability 2017, 9(5), 758; https://doi.org/10.3390/su9050758 - 5 May 2017
Cited by 23 | Viewed by 4936
Abstract
Demand response (DR) has become an impressive option in the deregulated power system due to its features of availability, quickness and applicability. In this paper, a novel economic dispatch model integrated with wind power is proposed, where incentive-based DR and reliability measures are [...] Read more.
Demand response (DR) has become an impressive option in the deregulated power system due to its features of availability, quickness and applicability. In this paper, a novel economic dispatch model integrated with wind power is proposed, where incentive-based DR and reliability measures are taken into account. Compared with the conventional models, the proposed model considers customers’ power consumption response to the incentive price. The load profile is optimized with DR to depress the influence on the dispatch caused by the anti-peak-shaving and intermittence of wind generation. Furthermore, a probabilistic formulation is established to calculate the expected energy not supplied (EENS). This approach combines the probability distribution of the forecast errors of load and wind power, as well as the outage replacement rates of units into consideration. The cost of EENS is added into the objective to achieve an optimal equilibrium point between economy and reliability of power system operation. The proposed model is solved by mixed integer linear programming (MILP). The applicability and effectiveness of this model is illustrated by numerical simulations tested on the IEEE 24-bus Reliability Test System. Full article
(This article belongs to the Special Issue Smart Grid)
Show Figures

Figure 1

17 pages, 5196 KB  
Article
Evaluating the Significance of Criteria Contributing to Decision-Making on Brownfield Land Redevelopment Strategies in Urban Areas
by Marija Burinskienė 1,*, Vytautas Bielinskas 1,†, Askoldas Podviezko 2,†, Virginija Gurskienė 4 and Vida Maliene 3,4,*
1 Department of Urban Engineering, Vilnius Gediminas Technical University, Sauletekio ave. 11, LT-10223 Vilnius, Lithuania
2 Institute of Economics, Mykolas Romeris University, Ateities g. 20, LT-08303 Vilnius, Lithuania
3 Department of the Built Environment, Faculty of Engineering and Technology, Liverpool John Moores University, Liverpool L3 3AF, UK
4 Institute of Land Management and Geomatics, Faculty of Water and Land Management, Aleksandras Stulginskis University, Studentu 11, Akademija, LT-53361 Kaunas distr., Lithuania
These authors contributed equally to this work.
Sustainability 2017, 9(5), 759; https://doi.org/10.3390/su9050759 - 6 May 2017
Cited by 39 | Viewed by 6506
Abstract
Brownfield land is one of the least exploited resources for urban development in a number of Eastern European countries. Establishing a rational strategy for redeveloping brownfields is an unambiguously complex task that requires considering a number of different economic, social, physical and environmental [...] Read more.
Brownfield land is one of the least exploited resources for urban development in a number of Eastern European countries. Establishing a rational strategy for redeveloping brownfields is an unambiguously complex task that requires considering a number of different economic, social, physical and environmental factors. The strategic decision-making has a long term impact on the quality of life, ecological balance and urban structure. Therefore, the paper is aimed at developing a comprehensive set of criteria that contribute to the redevelopment of brownfield land in urban areas. It focuses on six main development strategies that embrace creating residential, green, commercial, recreational activity and industrial areas or leaving land as a reserve. Geographic information system (GIS) tools are employed to collect the spatial information, obtain the initial set of criteria and derive the statistical data. Expert’s evaluations along with a statistical method of gauging the level of concordance of their opinion combined with Delphi method are used for determining significance of criteria within economic, social, physical (urbanistic) and environmental criteria groups. This study establishes the most significant criteria for implementing different scenarios of the brownfield land redevelopment in Vilnius, Lithuania. Developed framework will support the decision-making process in the brownfield land redevelopment aiding a sustainable urban planning. Full article
(This article belongs to the Section Sustainable Urban and Rural Development)
Show Figures

Figure 1

5 pages, 159 KB  
Editorial
Special Issue Editorial: Earth Observation and Geoinformation Technologies for Sustainable Development
by Jamal Jokar Arsanjani 1,* and Eric Vaz 2
1 Geoinformatics Research Group, Department of Planning, Aalborg University Copenhagen, A.C. Meyers Vænge 15, DK-2450 Copenhagen, Denmark
2 Department of Geography and Environmental Studies, Ryerson University, Toronto, ON M5B 2K3, Canada
Sustainability 2017, 9(5), 760; https://doi.org/10.3390/su9050760 - 5 May 2017
Cited by 3 | Viewed by 4305
Abstract
This editorial presents an introduction to fourteen papers published in the Special Issue of Earth Observation and Geoinformation Technologies for Sustainable Development in the Sustainability journal.[...] Full article
27 pages, 6620 KB  
Article
Towards Water Sensitive Cities in the Colorado River Basin: A Comparative Historical Analysis to Inform Future Urban Water Sustainability Transitions
by Abigail Sullivan 1,*, Dave D. White 1,2, Kelli L. Larson 1,3,4 and Amber Wutich 1,5
1 Decision Center for a Desert City, Arizona State University, Tempe, AZ 85287, USA; dave.white@asu.edu (D.D.W.); Kelli.Larson@asu.edu (K.L.L.); Amber.Wutich@asu.edu (A.W.)
2 School of Community Resources and Development, Arizona State University, Phoenix, AZ 85287, USA
3 School of Geographical Sciences and Urban Planning, Arizona State University, Tempe, AZ 85287, USA
4 School of Sustainability, Arizona State University, Tempe, AZ 85287, USA
5 School of Human Evolution and Social Change, Arizona State University, Tempe, AZ 85287, USA
Sustainability 2017, 9(5), 761; https://doi.org/10.3390/su9050761 - 6 May 2017
Cited by 29 | Viewed by 9428
Abstract
Many population centers in the American West rely on water from the Colorado River Basin, which has faced shortages in recent years that are anticipated to be exacerbated by climate change. Shortages to urban water supplies related to climate change will not be [...] Read more.
Many population centers in the American West rely on water from the Colorado River Basin, which has faced shortages in recent years that are anticipated to be exacerbated by climate change. Shortages to urban water supplies related to climate change will not be limited to cities dependent on the Colorado River. Considering this, addressing sustainable water governance is timely and critical for cities, states, and regions facing supply shortages and pollution problems. Engaging in sustainability transitions of these hydro-social systems will increase the ability of such systems to meet the water needs of urban communities. In this paper, we identify historical transitions in water governance and examine their context for three sites in the Colorado River Basin (Denver, Colorado, Las Vegas, Nevada, and Phoenix, Arizona) to provide insight for intentional transitions towards sustainable, or “water sensitive” cities. The comparative historical approach employed allows us to more fully understand differences in present-day water governance decisions between the sites, identify past catalysts for transitions, and recognize emerging patterns and opportunities that may impact current and future water governance in the Colorado River Basin and beyond. Full article
(This article belongs to the Section Sustainable Urban and Rural Development)
Show Figures

Figure 1

27 pages, 3639 KB  
Article
An Environmental Perspective on Clothing Consumption: Consumer Segments and Their Behavioral Patterns
by Wencke Gwozdz *, Kristian Steensen Nielsen and Tina Müller
Department of Management, Copenhagen Business School, Society & Communication, CBS Centre for Corporate Social Responsibility (cbsCSR), Porcelænshaven 18A, DK-2000 Frederiksberg, Denmark
Sustainability 2017, 9(5), 762; https://doi.org/10.3390/su9050762 - 6 May 2017
Cited by 122 | Viewed by 34851
Abstract
Efforts to decrease the environmental impact of today’s clothing industry across the entire process of production, purchase, maintenance, and disposal can be driven by either suppliers or consumers. Changing the behavior of the latter, however, requires an understanding of current clothing consumption patterns—a [...] Read more.
Efforts to decrease the environmental impact of today’s clothing industry across the entire process of production, purchase, maintenance, and disposal can be driven by either suppliers or consumers. Changing the behavior of the latter, however, requires an understanding of current clothing consumption patterns—a currently under-researched area. We therefore shed more light on these patterns in the purchase, use and maintenance, and discard phases by analyzing unique data on 4617 adult consumers (aged 18–65) from Germany, Poland, Sweden, and the U.S., who we divide into five segments based on clothing consumption behavior. At the low end of the spectrum is a consumer segment that earns the least, consumes mostly budget brand clothing, and is the least open to alternative more environmentally friendly business models such as fashion leasing or clothing libraries. At the other extreme lies a small segment that earns the most, engages in high consumption of medium or premium brand clothing, and is most open to alternative business models. Lying between these two is a primarily female segment that purchases an above average amount of clothing from budget brands. In addition to the segments’ different reported purchase behavior and a varying openness to alternative business models, we identify differences in willingness to pay for clothing made of material that is more environmentally friendly than conventional fabrics. These observations suggest several promising directions for environmental interventions tailored toward specific consumer segments. Full article
(This article belongs to the Special Issue Sustainable Consumer Behavior)
Show Figures

Figure 1

18 pages, 1255 KB  
Article
The Influence of Green Supply Chain Integration on Firm Performance: A Contingency and Configuration Perspective
by Yongtao Song 1, Junya Cai 2 and Taiwen Feng 3,4,*
1 Institute of Management Science and Engineering, Henan University, Kaifeng 475004, China
2 School of Economic and Management, Xi’an University of Technology, Xi’an 710054, China
3 Business School, Shandong University (Weihai), Weihai 264209, China
4 School of Management, Northwestern Polytechnical University, Xi’an 710072, China
Sustainability 2017, 9(5), 763; https://doi.org/10.3390/su9050763 - 6 May 2017
Cited by 37 | Viewed by 6017
Abstract
This study investigates the impacts of three dimensions of green supply chain integration (GSCI) on operational and financial performance, from both a contingency and a configuration perspective. From the contingency perspective, we used hierarchical regression to determine the impacts of individual GSCI dimensions [...] Read more.
This study investigates the impacts of three dimensions of green supply chain integration (GSCI) on operational and financial performance, from both a contingency and a configuration perspective. From the contingency perspective, we used hierarchical regression to determine the impacts of individual GSCI dimensions (green internal, customer and supplier integration) and their interactions on firm performance. From the configuration perspective, we used cluster analysis to develop patterns of GSCI, which were analyzed in terms of GSCI strength and balance. Analysis of variance was used to examine the relationship between GSCI pattern and firm performance. We used data collected from manufacturing firms in Shanxi, Shandong, Beijing, Guangdong and Jiangsu to test hypotheses. The findings from both the contingency and configuration perspective indicate that GSCI was related to both operational and financial performance. Furthermore, the interaction between green internal integration and green customer integration was positively related to both operational and financial performance, while the interaction between green internal integration and green supplier integration was negatively related to financial performance. The interaction between green customer integration and green supplier integration was positively related to financial performance. Full article
(This article belongs to the Section Economic and Business Aspects of Sustainability)
Show Figures

Figure 1

21 pages, 935 KB  
Article
The Impact of Institutional Pressures on Green Supply Chain Management and Firm Performance: Top Management Roles and Social Capital
by Soh Hyun Chu 1, Hongsuk Yang 1,*, Mansokku Lee 2 and Sangwook Park 1
1 Graduate School of Business, Seoul National University, 1 Gwanak-ro, Gwanak-gu, Seoul 08826, Korea
2 School of Business, State University of New York at Geneseo, 1 College Circle, Geneseo, NY 14454, USA
Sustainability 2017, 9(5), 764; https://doi.org/10.3390/su9050764 - 6 May 2017
Cited by 150 | Viewed by 14304
Abstract
This study investigates the impact of three institutional pressures, namely government, customer, and competitor pressures, on the environmental and operational performance of firms. These three institutional pressures are examined by implementing green supply chain management, considering the role of top management and studying [...] Read more.
This study investigates the impact of three institutional pressures, namely government, customer, and competitor pressures, on the environmental and operational performance of firms. These three institutional pressures are examined by implementing green supply chain management, considering the role of top management and studying social capital between buyers and suppliers in the supply chain. Data were collected through an electronic mail survey from buyer firms in the manufacturing industry in Korea. With 241 complete and usable responses, we used structural equation modeling to test our hypotheses. Our findings revealed that the majority of our hypotheses were supported, which is in line with the existing literature. However, the impact of coercive pressure on top management support and the impact of structural social capital on performance were found to be insignificant. The major contribution of our study is that it broadens the framework of green supply chain management (GSCM) by integrating major and recent constructs in the GSCM theory, while also providing instructive managerial implications through empirical evidence. Full article
(This article belongs to the Section Economic and Business Aspects of Sustainability)
Show Figures

Figure 1

24 pages, 5873 KB  
Article
Promoting the Opportunity Identification of Industrial Symbiosis: Agent-Based Modeling Inspired by Innovation Diffusion Theory
by Kaifang Zheng * and Suling Jia
School of Economics and Management, Beihang University; Beijing 100191, China
Sustainability 2017, 9(5), 765; https://doi.org/10.3390/su9050765 - 6 May 2017
Cited by 32 | Viewed by 6327
Abstract
Promotion of the emergence of synergistic linkages between different firms is crucial in the development of Industrial Symbiosis (IS) networks or Eco-Industrial Parks (EIP). Appropriate strategies for the promotion of inter-firm interactions are required to enhance the emergence of IS networks through institutional [...] Read more.
Promotion of the emergence of synergistic linkages between different firms is crucial in the development of Industrial Symbiosis (IS) networks or Eco-Industrial Parks (EIP). Appropriate strategies for the promotion of inter-firm interactions are required to enhance the emergence of IS networks through institutional capacity building. This research draws on insight from Diffusion of Innovations (DoI) theory, and considers the emergence and development of IS as a process where the knowledge, attitude and implementation of IS synergies are gradually adopted by firms. Accordingly, we propose an Agent-Based Model (ABM) to investigate the influence of promoting strategies associated with various dimensions of institutional capabilities, on the identification of opportunity sets for IS synergies. The simulation results show that both “Knowledge Coordination” and “Relationship Coordination” have a positive impact on the identification of IS opportunities (represented by the adoption of positive attitudes). However, the performance of promoting strategies depends to a great extent on the mobilization capacity and the characteristics of the specific IS solutions. We believe the proposed research provides insights and implications for the design of the strategies to promote effective IS practice. Full article
(This article belongs to the Section Economic and Business Aspects of Sustainability)
Show Figures

Figure 1

18 pages, 3814 KB  
Article
Monitoring Spatial Patterns and Changes of Ecology, Production, and Living Land in Chinese Urban Agglomerations: 35 Years after Reform and Opening Up, Where, How and Why?
by Shisong Cao 1,2, Deyong Hu 1,2,*, Wenji Zhao 1,2, You Mo 1,2 and Shanshan Chen 1,2
1 College of Resource Environment and Tourism, Capital Normal University, Beijing 100048, China
2 Key Laboratory of Resource Environment and GIS of Beijing, Beijing 100048, China
Sustainability 2017, 9(5), 766; https://doi.org/10.3390/su9050766 - 6 May 2017
Cited by 20 | Viewed by 6075
Abstract
Chinese urban agglomeration (UA) has gradually become a new world economic center and the strategic region of the “The Belt and Road Initiatives”. The spatial patterns and variations of ecology–production–living land (EPL) profoundly affect UA’s development and its ecological environment. Unfortunately, scientific understanding [...] Read more.
Chinese urban agglomeration (UA) has gradually become a new world economic center and the strategic region of the “The Belt and Road Initiatives”. The spatial patterns and variations of ecology–production–living land (EPL) profoundly affect UA’s development and its ecological environment. Unfortunately, scientific understanding about the trajectories, patterns and drivers of EPL changes in Chinese urban agglomerations (UAs) since reform and opening up is still very limited. The aim of this paper was to monitor those characteristics during the last 35 years. Here, we proposed a new classification system of EPL, including ecology land (EL), industrial production land (IPL), agricultural production land (APL), urban living land (ULL) and rural living land (RLL) due to Chinese urban–rural dual structure. Then, we extracted EPL land from the Chinese LUCC product, which is the recently released remote sensing data product of high resolution spatial land use data in China at national level. Furthermore, we analyzed the spatial-temporal trajectories and driving factors of EPL for Chinese UAs during 1980–2015. The results showed that: (1) ULL and IPL in Chinese UAs were increased rapidly, while EL and APL were seriously decreased. (2) The growth patterns of ULL and IPL had shown a spatial heterogeneity. As to different regional UAs, the expansion rates of ULL and IPL ranked from high to low were as follows: eastern, central, western, and northeastern UAs. (3) National policies, population, and economy dominated the spatial-temporal changes of EPL in Chinese UAs. (4) The multi-planning integration in the structure of land use should be strengthened at UA-scale. Full article
(This article belongs to the Section Environmental Sustainability and Applications)
Show Figures

Graphical abstract

23 pages, 4587 KB  
Article
Evaluation of Industrial By-Products as Sustainable Pozzolanic Materials in Recycled Aggregate Concrete
by Mohammed Fouad Alnahhal 1, Ubagaram Johnson Alengaram 1,*, Mohd Zamin Jumaat 1, Mamoun A. Alqedra 2, Kim Hung Mo 1 and Mathialagan Sumesh 1
1 Centre for Innovative Construction Technology (CICT), Department of Civil Engineering, Faculty of Engineering, University of Malaya, Kuala Lumpur 50603, Malaysia
2 Department of Civil Engineering, The Islamic University of Gaza, P.O. Box 108, Gaza Strip 79704, Palestine
Sustainability 2017, 9(5), 767; https://doi.org/10.3390/su9050767 - 10 May 2017
Cited by 69 | Viewed by 8072
Abstract
The utilization of traditional supplementary cementitious materials (SCMs) has become more intense in the concrete industry due to their better long-term properties. This research evaluates the fresh and hardened properties of concrete that was developed using a high amount of recycled aggregate (RA) [...] Read more.
The utilization of traditional supplementary cementitious materials (SCMs) has become more intense in the concrete industry due to their better long-term properties. This research evaluates the fresh and hardened properties of concrete that was developed using a high amount of recycled aggregate (RA) incorporated with sustainable SCMs. Rice husk ash (RHA), palm oil fuel ash (POFA) and palm oil clinker powder (POCP) were used as SCMs at 10%, 20% and 30% cement replacement levels to investigate their positive role in the performance of RA concrete. The results showed that the 10% replacement level of cement by RHA produced the highest strength at all ages tested. Although POFA and POCP were found to negatively affect the strengths at an early age, the hardened properties showed improvement after a relatively long curing time of 90 days. In addition, the targeted compressive strength of 30 MPa was achieved by using SCMs at levels up to 30%. Overall, the sustainable SCMs can reduce the quantity of cement required for concrete production, as well as reduce the conventional cement with the industrial by-products, which are considered as waste materials; thus, the concrete produced using up to 30% of SCMs as a replacement for cement could be considered as more environmentally-friendly concrete. Full article
(This article belongs to the Section Environmental Sustainability and Applications)
Show Figures

Figure 1

14 pages, 2153 KB  
Article
Product Family Approach in E-Waste Management: A Conceptual Framework for Circular Economy
by Keshav Parajuly * and Henrik Wenzel
SDU Life Cycle Engineering, Department of Chemical Engineering, Biotechnology and Environmental Technology, University of Southern Denmark, Campusvej 55, 5230 Odense M, Denmark
Sustainability 2017, 9(5), 768; https://doi.org/10.3390/su9050768 - 7 May 2017
Cited by 42 | Viewed by 12908
Abstract
As the need for a more circular model is being increasingly pronounced, a fundamental change in the end-of-life (EoL) management of electrical and electronic products (e-products) is required in order to prevent the resource losses and to promote the reuse of products and [...] Read more.
As the need for a more circular model is being increasingly pronounced, a fundamental change in the end-of-life (EoL) management of electrical and electronic products (e-products) is required in order to prevent the resource losses and to promote the reuse of products and components with remaining functionality. However, the diversity of product types, design features, and material compositions pose serious challenges for the EoL managers and legislators alike. In order to address these challenges, we propose a framework that is based on the ‘product family’ philosophy, which has been used in the manufacturing sector for a long time. For this, the product families can be built based on intrinsic and extrinsic attributes of e-products as well as of the EoL management system. Such an approach has the potential to improve the current EoL practices and to support designers in making EoL thinking operational during the product design stage. If supported by a better EoL collection, presorting and testing platform, and a family-centric approach for material recovery, such a framework carries the potential to avoid the losses occurring in today’s e-waste management system. This, in turn, could facilitate a smooth transition towards a circular model for the electrical and electronic industry. Full article
(This article belongs to the Section Environmental Sustainability and Applications)
Show Figures

Figure 1

12 pages, 496 KB  
Article
Performing Ecosystem Services at Mud Flats in Seocheon, Korea: Using Q Methodology for Cooperative Decision Making
by Jae-hyuck Lee, Moohan Kim, Byeori Kim, Hong-Jun Park and Hyuck-soo Kwon *
Bureau of Ecological Research, National Institute of Ecology, Seocheon, Choongnam 33657, Korea
Sustainability 2017, 9(5), 769; https://doi.org/10.3390/su9050769 - 8 May 2017
Cited by 5 | Viewed by 4872
Abstract
The concept of ecosystem services, which are the direct and indirect benefits of nature to humans, has been established as a supporting tool to increase the efficiency in decision-making regarding environmental planning. However, preceding studies on decision-making in relation to ecosystem services have [...] Read more.
The concept of ecosystem services, which are the direct and indirect benefits of nature to humans, has been established as a supporting tool to increase the efficiency in decision-making regarding environmental planning. However, preceding studies on decision-making in relation to ecosystem services have been limited to identifying differences in perception, whereas few studies have reported cooperative alternatives. Therefore, this study aimed to present a method for cooperative decision-making among ecosystem service stakeholders using Q methodology. The results showed three perspectives on ecosystem services of small mud flat areas: ecological function, ecotourism, and human activity. The perspectives on cultural services and regulating services were diverse, whereas those on supporting services were similar. Thus, supporting services were considered crucial for the cooperative assessment and management of small mud flat ecosystems as well as for the scientific evaluation of regulating services. Furthermore, this study identified practical implementation measures to increase production through land management, to manufacture related souvenirs, and to link them to ecotourism. Overall, our results demonstrated the ideal process of cooperative decision-making to improve ecosystem services. Full article
(This article belongs to the Section Environmental Sustainability and Applications)
Show Figures

Figure 1

18 pages, 1480 KB  
Article
Enhancing Productivity and Resource Conservation by Eliminating Inefficiency of Thai Rice Farmers: A Zero Inefficiency Stochastic Frontier Approach
by Jianxu Liu 1, Sanzidur Rahman 2,*, Songsak Sriboonchitta 1 and Aree Wiboonpongse 3
1 Faculty of Economics, Chiang Mai University, Chiang Mai 50200, Thailand
2 School of Geography, Earth and Environmental Sciences, University of Plymouth, Plymouth PL4 8AA, UK
3 Faculty of Economics, Prince of Songkhla University, Hat Yai 90110, Thailand
Sustainability 2017, 9(5), 770; https://doi.org/10.3390/su9050770 - 8 May 2017
Cited by 18 | Viewed by 9133
Abstract
The study first identified fully efficient farmers and then estimated technical efficiency of inefficient farmers, identifying their determinants by applying a Zero Inefficiency Stochastic Frontier Model (ZISFM) on a sample of 300 rice farmers from central-northern Thailand. Next, the study developed scenarios of [...] Read more.
The study first identified fully efficient farmers and then estimated technical efficiency of inefficient farmers, identifying their determinants by applying a Zero Inefficiency Stochastic Frontier Model (ZISFM) on a sample of 300 rice farmers from central-northern Thailand. Next, the study developed scenarios of potential production increase and resource conservation if technical inefficiency was eliminated. Results revealed that 13% of the sampled farmers were fully efficient, thereby justifying the use of our approach. The estimated mean technical efficiency was 91%, implying that rice production can be increased by 9%, by reallocating resources. Land and labor were the major productivity drivers. Education significantly improved technical efficiency. Farmers who transplanted seedlings were relatively technically efficient as compared to those who practised manual and/or mechanical direct seeding methods. Elimination of technical inefficiency could increase output by 8.64% per ha, or generate 5.7–6.4 million tons of additional rice output for Thailand each year. Similarly, elimination of technical inefficiency would potentially conserve 19.44% person-days of labor, 11.95% land area, 11.46% material inputs and 8.67% mechanical power services for every ton of rice produced. This translates into conservation of 2.9–3.0 million person-days of labor, 3.7–4.5 thousand km2 of land, 10.0–14.5 billion baht of material input and 7.6–12.8 billion baht of mechanical power costs to produce current level of rice output in Thailand each year. Policy implications include investment into educating farmers, and improving technical knowledge of seeding technology, to boost rice production and conserve scarce resources in Thailand. Full article
(This article belongs to the Section Sustainable Agriculture)
Show Figures

Figure 1

23 pages, 10737 KB  
Article
Urban Plan and Water Infrastructures Planning: A Methodology Based on Spatial ANP
by Michele Grimaldi 1,*, Vincenzo Pellecchia 2 and Isidoro Fasolino 1
1 Department of Civil Engineering, University of Salerno, 84084 Fisciano, Italy
2 Water Management Authority AATO-1, 83100 Campania, Italy
Sustainability 2017, 9(5), 771; https://doi.org/10.3390/su9050771 - 8 May 2017
Cited by 55 | Viewed by 8528
Abstract
Cities are exploding, occupying rural territory in dispersed and fragmented ways. A consequence of this phenomenon is that the demand for utilities includes more and more extensive territories. Among them, fulfilling the demand for services related to integrated water service presents many difficulties. [...] Read more.
Cities are exploding, occupying rural territory in dispersed and fragmented ways. A consequence of this phenomenon is that the demand for utilities includes more and more extensive territories. Among them, fulfilling the demand for services related to integrated water service presents many difficulties. The economic costs needed to meet service demand and the environmental costs associated with its non-fulfilment are inversely proportional to the population needing service in rural areas, since that population is distributed across a low-density gradient. Infrastructure planning, within the area of competence, generally follows a policy of economic sustainability, fixing a service coverage threshold in terms of a “sufficient” concentration of population and economic activity (91/271/CEE). This threshold, homogenous within the territorial limits of a water infrastructure plan, creates uncertainty in the planning of investments, which are not sized on the actual, appropriately spatialized, demand for service. Careful prediction of the location of infrastructure investments would guarantee not only economic savings but also reduce the environmental costs generated by the lack of utilities. Therefore, is necessary to create a link between water infrastructure planning and urban planning, which is responsible for the future spatial distribution of service demand. In this study, the relationships between the instruments of regulation and planning are compared by a multi-criteria spatial analysis network (analytic network process (ANP)). This method, tested on a sample of a city in southern Italy, allows us to optimize the design and location of the investment needed to meet the service criteria, looking at the actual efficiency of the networks. The result of this application is a suitability map that allows us to validate the criteria for defining urban transformations. Full article
Show Figures

Figure 1

12 pages, 252 KB  
Article
Mobile Healthcare Applications and Gamification for Sustained Health Maintenance
by Changjun Lee 1, Kyoungsun Lee 2 and Daeho Lee 3,*
1 Lee Kuan Yew School of Public Policy, National University of Singapore, 469C Bukit Timah Road, Singapore 259772, Singapore
2 Department of ICT Strategy Research, Korea Information Society Development Institute, 18 Jeongtong-ro, Deoksan-myeon, Jincheon-gun, Chungchengbuk-do 27872, Korea
3 Department of Interaction Science, Sungkyunkwan University, 25-2 Sungkyunkwan-ro, Jongno-gu, Seoul 03063, Korea
Sustainability 2017, 9(5), 772; https://doi.org/10.3390/su9050772 - 8 May 2017
Cited by 59 | Viewed by 12578
Abstract
This paper examines how gamification affects user intention to use mobile healthcare applications (mHealth) and how the effect of gamification works differently according to health status, age, and gender. We use data from a mobile survey conducted by a Korean representative survey agency. [...] Read more.
This paper examines how gamification affects user intention to use mobile healthcare applications (mHealth) and how the effect of gamification works differently according to health status, age, and gender. We use data from a mobile survey conducted by a Korean representative survey agency. We estimate the effect of gamification on user intention to use mobile healthcare applications based on a structural equation model and examine the moderating effects of self-reported health status, age, and gender. We find that gamification is effective in increasing user intention to use mHealth, especially in the healthy and younger groups. These findings suggest that mHealth, with the gamification factor, would encourage healthy (but lack exercise) people as well as unhealthy people to maintain their health status, and thus the mHealth developers need to consider the gamification factor when they develop mHealth services for healthy people. Full article
21 pages, 5545 KB  
Article
Virtual Inertia Control-Based Model Predictive Control for Microgrid Frequency Stabilization Considering High Renewable Energy Integration
by Thongchart Kerdphol 1,*, Fathin S. Rahman 1, Yasunori Mitani 1, Komsan Hongesombut 2 and Sinan Küfeoğlu 3
1 Department of Electrical and Electronics Engineering, Kyushu Institute of Technology, Fukuoka 804-0093, Japan
2 Department of Electrical Engineering, Kasetsart University, Bangkok 10900, Thailand
3 Department of Electrical Engineering, Aalto University, Espoo 02150, Finland
Sustainability 2017, 9(5), 773; https://doi.org/10.3390/su9050773 - 8 May 2017
Cited by 152 | Viewed by 14594
Abstract
Renewable energy sources (RESs), such as wind and solar generations, equip inverters to connect to the microgrids. These inverters do not have any rotating mass, thus lowering the overall system inertia. This low system inertia issue could affect the microgrid stability and resiliency [...] Read more.
Renewable energy sources (RESs), such as wind and solar generations, equip inverters to connect to the microgrids. These inverters do not have any rotating mass, thus lowering the overall system inertia. This low system inertia issue could affect the microgrid stability and resiliency in the situation of uncertainties. Today’s microgrids will become unstable if the capacity of RESs become larger and larger, leading to the weakening of microgrid stability and resilience. This paper addresses a new concept of a microgrid control incorporating a virtual inertia system based on the model predictive control (MPC) to emulate virtual inertia into the microgrid control loop, thus stabilizing microgrid frequency during high penetration of RESs. The additional controller of virtual inertia is applied to the microgrid, employing MPC with virtual inertia response. System modeling and simulations are carried out using MATLAB/Simulink® software. The simulation results confirm the superior robustness and frequency stabilization effect of the proposed MPC-based virtual inertia control in comparison to the fuzzy logic system and conventional virtual inertia control in a system with high integration of RESs. The proposed MPC-based virtual inertia control is able to improve the robustness and frequency stabilization of the microgrid effectively. Full article
(This article belongs to the Special Issue Smart Grid)
Show Figures

Figure 1

13 pages, 11833 KB  
Article
The Spatial Differentiation of the Suitability of Ice-Snow Tourist Destinations Based on a Comprehensive Evaluation Model in China
by Jun Yang 1,*, Ruimeng Yang 1, Jing Sun 1, Tai Huang 2,3,* and Quansheng Ge 3
1 Liaoning Key Laboratory of Physical Geography and Geomatics, Liaoning Normal University, Dalian 116029, China
2 Department of Tourism Management, Soochow University, Suzhou 215123, China
3 Key Laboratory of Land Surface Patterns and Simulation, Institute of Geographic Sciences and Natural Resources Research, CAS, Beijing 100101, China
Sustainability 2017, 9(5), 774; https://doi.org/10.3390/su9050774 - 8 May 2017
Cited by 25 | Viewed by 8693
Abstract
Ice, snow, and rime are wonders of the cold season in an alpine climate zone and climate landscape. With its pure, spectacular, and magical features, these regions attract numerous tourists. Ice and snow landscapes can provide not only visually-stimulating experiences for people, but [...] Read more.
Ice, snow, and rime are wonders of the cold season in an alpine climate zone and climate landscape. With its pure, spectacular, and magical features, these regions attract numerous tourists. Ice and snow landscapes can provide not only visually-stimulating experiences for people, but also opportunities for outdoor play and movement. In China, ice and snow tourism is a new type of recreation; however, the establishment of snow and ice in relation to the suitability of the surrounding has not been clearly expressed. Based on multi-source data, such as tourism, weather, and traffic data, this paper employs the Delphi-analytic hierarchy process (AHP) evaluation method and a spatial analysis method to study the spatial differences of snow and ice tourism suitability in China. China’s ice and snow tourism is located in the latitude from 35°N to 53.33°N and latitude 41.5°N to 45°N and longitude 82°E to 90°E, with the main focus on latitude and terrain factors. A poor fit is concentrated at latitude 20.45°N to 35°N and longitude 100°E to 122°E; the difference is that the latitude is low and affected by the Japanese warm current. The analysis of the suitability of ice and snow tourism can be employed as a reference for the development of ice and snow tourism. Full article
Show Figures

Figure 1

10 pages, 6869 KB  
Article
Climate Variability and Industrial-Suburban Heat Environment in a Mediterranean Area
by Giuseppina A. Giorgio 1, Maria Ragosta 1 and Vito Telesca 1,2,*
1 School of Engineering, University of Basilicata, 85100 Potenza, Italy
2 CMCC—Euro-Mediterranean Center on Climate Change, 73100 Lecce, Italy
Sustainability 2017, 9(5), 775; https://doi.org/10.3390/su9050775 - 8 May 2017
Cited by 27 | Viewed by 4783
Abstract
The Urban Heat Island (UHI) phenomenon prevalently concerns industrialized countries. It consists of a significant increase in temperatures, especially in industrialized and urbanized areas, in particular, during extreme warm periods like summer. This paper explores the climate variability of temperatures in two stations [...] Read more.
The Urban Heat Island (UHI) phenomenon prevalently concerns industrialized countries. It consists of a significant increase in temperatures, especially in industrialized and urbanized areas, in particular, during extreme warm periods like summer. This paper explores the climate variability of temperatures in two stations located in Matera city (Southern Italy), evaluating the increase in temperatures from 1988 to 2015. Moreover, the Corine Land Covers (1990–2000–2006–2012) were used in order to investigate the effect of land use on temperatures. The results obtained confirm the prevalence of UHI phenomena for industrialized areas, highlighting the proposal that the spreading of settlements may further drive these effects on the microclimate. In particular, the presence of industrial structures, even in rural areas, shows a clear increase in summer maximum temperatures. This does not occur in the period before 2000, probably due to the absence of the industrial settlement. On the contrary, from 2000 to 2015, changes are not relevant, but the maximum temperatures have always been higher than in the suburban area (station localized in green zone) during daylight hours. Full article
Show Figures

Figure 1

17 pages, 2453 KB  
Article
A Lagrangian Relaxation-Based Solution Method for a Green Vehicle Routing Problem to Minimize Greenhouse Gas Emissions
by Yanjie Zhou and Gyu M. Lee *
Department of Industrial Engineering, Pusan National University, Busan 46241, Korea
Sustainability 2017, 9(5), 776; https://doi.org/10.3390/su9050776 - 8 May 2017
Cited by 29 | Viewed by 7464
Abstract
The effects of greenhouse gas (GHG) on the weather has caused ever-increasing disasters around the world. Many countries are making significant efforts to reduce GHG emissions in all industrial sectors. In this study, a green vehicle routing problem (GVRP) has been formulated as [...] Read more.
The effects of greenhouse gas (GHG) on the weather has caused ever-increasing disasters around the world. Many countries are making significant efforts to reduce GHG emissions in all industrial sectors. In this study, a green vehicle routing problem (GVRP) has been formulated as a nonlinear integer programming problem to minimize GHG emissions, considering various realistic factors that include three-dimensional customer locations, gravity, vehicle speed, vehicle operating time, vehicle capacity, rolling resistance, air density, road grade and inertia. Lagrangian relaxation has been introduced to propose a simple solution method. In contrast to traditional vehicle routing problems, the vehicle speed, vehicle weight, and road grade between two customer locations are also determined along with vehicle routes. The computational results demonstrate the effectiveness and efficiency of the proposed solution method. Full article
(This article belongs to the Special Issue Sustainability in Supply Chain Management)
Show Figures

Figure 1

18 pages, 3503 KB  
Article
Evaluation of Third Party Logistics Providers Considering Social Sustainability
by Hosang Jung
Asia Pacific School of Logistics, Inha University, 100 Inha-ro, Nam-gu, Incheon 402-751, Korea
Sustainability 2017, 9(5), 777; https://doi.org/10.3390/su9050777 - 9 May 2017
Cited by 67 | Viewed by 11232
Abstract
In this paper, we investigated a third-party logistics (3PL) provider evaluation problem considering social sustainability as one of the important evaluation criteria. Since the 3PL service is mainly dependent on both transport vehicles and employees, managing them from the viewpoint of social sustainability [...] Read more.
In this paper, we investigated a third-party logistics (3PL) provider evaluation problem considering social sustainability as one of the important evaluation criteria. Since the 3PL service is mainly dependent on both transport vehicles and employees, managing them from the viewpoint of social sustainability has become a critical issue. Thus, 3PL providers need to be concerned about not only the service price or quality but also issues related to social sustainability. In line with this trend, we defined the social sustainability of 3PL providers and related evaluation criteria. In addition, a fuzzy analytic hierarchy process (AHP) was used as a main evaluation framework to help decision-makers determine the relative importance of each criteria or alternative using linguistic terms. To show the feasibility of the proposed criteria and evaluation framework, we presented the illustrative example based on a real-world case. The results showed that the proposed approach could be a good alternative to conduct evaluations, and the related sensitivity analysis, considering social sustainability. Full article
(This article belongs to the Section Economic and Business Aspects of Sustainability)
Show Figures

Figure 1

18 pages, 17057 KB  
Article
Seasonal and Interannual Fluctuation of the Microbial Soil Community in a Maize Field under Long-Term Conservation Agriculture Management
by Manuel Ramírez 1, Antonio López-Piñeiro 2, David Peña 2, José Rato Nunes 3,4, Ángel Albarrán 5, Ana Muñoz 1, José Gama 2 and Luis Loures 3,6,*
1 Departmento de Ciencias Biomédicas, Facultad de Ciencias, Universidad de Extremadura, 06071 Badajoz, Spain
2 Área de Edafología y Química Agrícola (Facultad de Ciencias) and IACYS, Universidad de Extremadura, 06071 Badajoz, Spain
3 Instituto Politécnico de Portalegre, Escola Superior Agrária de Elvas, 7350 Elvas, Portugal
4 Instituto Superior de Agronomia, LEAF, Linking Landscape, Environment, Agriculture and Food, Universidade de Lisboa, Tapada da Ajuda, 1349-017 Lisboa, Portugal
5 Área de Producción Vegetal (Escuela de Ingenierías Agrarias) and IACYS, Universidad de Extremadura, 06071 Badajoz, Spain
6 CIEO—Centre for Spatial and Organizational Dynamics, Gambelas, 8005-139 Faro, Portugal
Sustainability 2017, 9(5), 778; https://doi.org/10.3390/su9050778 - 9 May 2017
Cited by 8 | Viewed by 7435
Abstract
Soil’s microbiological settlement in a Zea mays parcel under long-term agricultural practices aiming to minimize the disruption of the soil’s structure, composition and natural biodiversity was analyzed by culture-dependent and culture-independent processes. Of the different processes, morphological-type differentiation of cultured microflora produced the [...] Read more.
Soil’s microbiological settlement in a Zea mays parcel under long-term agricultural practices aiming to minimize the disruption of the soil’s structure, composition and natural biodiversity was analyzed by culture-dependent and culture-independent processes. Of the different processes, morphological-type differentiation of cultured microflora produced the best results and, while Polymerase Chain Reaction (PCR)-agarose electrophoresis has also provided us with reliable ones, soil PCR-DGGE (Denaturing Gradient Gel Electrophoresis) did not, which may occur because of the dependence of the method on the practice. Over a three-year period, this soil seemed very stable as its C/N ratio remained roughly constant and available for microbial growth. Because no soil overturning occurred, we were able to maintain most of the cultured microbial population whose fluctuations depended only on edaphoclimatic conditions. The number of cultured bacteria, molds, total microorganisms, and the biodiversity indices were usually lower in the driest season (fall) than in the rest of the year, except for Acinetobacter and Stenotrophomonas, which showed the opposite behavior. Coincident with the rise in temperature during the summer, the relative abundance of Gram+ bacteria increased, mostly reflecting an increase in the spore-forming bacteria Streptomyces and Bacillus. Despite these variations, the evenness index and the quantity of distinct microbiological life remained practically unaltered, recovering their maximum levels when the proper edaphoclimatic conditions were present, which indicates the long-term stability of the microbial community in this soil. The performed study put forward important insights for assessing the sustainability of maize production under long-term conservation agriculture management systems, highlighting that adequate management might prevent the degradation of soil quality, thus contributing to promote sustainable agriculture. Full article
Show Figures

Figure 1

20 pages, 4191 KB  
Article
Influence of Organic Farming on the Potato Transcriptome
by Daniela Pacifico 1,*, Chiara Onofri 1, Bruno Parisi 1, Paola Ostano 2 and Giuseppe Mandolino 1
1 Council for Agricultural Research and Economics Analysis—Research Centre for Cereal and Industrial Crops (CREA-CI), Via di Corticella, 133, 40128 Bologna, Italy
2 Cancer Genomics Laboratory, Fondazione Edo ed Elvo Tempia Valenta, Via Malta 3, 13900 Biella, Italy
Sustainability 2017, 9(5), 779; https://doi.org/10.3390/su9050779 - 9 May 2017
Cited by 11 | Viewed by 4894
Abstract
Organic agriculture sparks a lively debate on its potential health and environmental benefits. Comparative studies often investigate the response of crops to organic farming through targeted approaches and within a limited experimental work. To clarify this issue, the transcriptomic profile of a cultivar [...] Read more.
Organic agriculture sparks a lively debate on its potential health and environmental benefits. Comparative studies often investigate the response of crops to organic farming through targeted approaches and within a limited experimental work. To clarify this issue, the transcriptomic profile of a cultivar of the potato grown for two years under organic and conventional farming was compared with the profile of an experimental clone grown in the same location of Southern Italy for one year. Transcriptomic raw data were obtained through Potato Oligo Chip Initiative (POCI) microarrays and were processed using unsupervised coupling multivariate statistical analysis and bioinformatics (MapMan software). One-hundred-forty-four genes showed the same expression in both years, and 113 showed the same expression in both genotypes. Their functional characterization revealed the strong involvement of the farming system in metabolism associated with the nutritional aspects of organic tubers (e.g., phenylpropanoid, flavonoid, glycoalcaloid, asparagine, ascorbic acid). Moreover, further investigation showed that eight of 42,034 features exhibited the same trend of expression irrespective of the year and genotype, making them possible candidates as markers of traceability. This paper raises the issue regarding the choice of genotype in organic management and the relevance of assessing seasonal conditions effects when studying the effects of organic cultivation on tuber metabolism. Full article
(This article belongs to the Section Sustainable Agriculture)
Show Figures

Figure 1

12 pages, 2688 KB  
Article
Objective Building Energy Performance Benchmarking Using Data Envelopment Analysis and Monte Carlo Sampling
by Seong-Hwan Yoon 1 and Cheol-Soo Park 2,*
1 Convergence Laboratory, KT Institute of Convergence Technology, Seoul 06763, Korea
2 School of Civil, Architectural Engineering and Landscape Architecture, Sungkyunkwan University, Suwon 16419, Gyeonggi, Korea
Sustainability 2017, 9(5), 780; https://doi.org/10.3390/su9050780 - 9 May 2017
Cited by 25 | Viewed by 5526
Abstract
An objective measure of building energy performance is crucial for performance assessment and rational decision making on energy retrofits and policies of existing buildings. One of the most popular measures of building energy performance benchmarking is Energy Use Intensity (EUI, kwh/m2). [...] Read more.
An objective measure of building energy performance is crucial for performance assessment and rational decision making on energy retrofits and policies of existing buildings. One of the most popular measures of building energy performance benchmarking is Energy Use Intensity (EUI, kwh/m2). While EUI is simple to understand, it only represents the amount of consumed energy per unit floor area rather than the real performance of a building. In other words, it cannot take into account building services such as operation hours, comfortable environment, etc. EUI is often misinterpreted by assuming that a lower EUI for a building implies better energy performance, which may not actually be the case if many of the building services are not considered. In order to overcome this limitation, this paper presents Data Envelopment Analysis (DEA) coupled with Monte Carlo sampling. DEA is a data-driven and non-parametric performance measurement method. DEA can quantify the performance of a given building given multiple inputs and multiple outputs. In this study, two existing office buildings were selected. For energy performance benchmarking, 1000 virtual peer buildings were generated from a Monte Carlo sampling and then simulated using EnergyPlus. Based on a comparison between DEA-based and EUI-based benchmarking, it is shown that DEA is more performance-oriented, objective, and rational since DEA can take into account input (energy used to provide the services used in a building) and output (level of services provided by a building). It is shown that DEA can be an objective building energy benchmarking method, and can be used to identify low energy performance buildings. Full article
(This article belongs to the Section Sustainable Engineering and Science)
Show Figures

Figure 1

21 pages, 276 KB  
Article
The Impact of Project Organizational Culture on the Performance of Construction Projects
by Luong Hai Nguyen 1,* and Tsunemi Watanabe 2
1 Department of Construction Economics, University of Transport and Communications, No.3 Cau Giay Str., Lang Thuong Ward, Dong Da Dist., Hanoi 100000, Vietnam
2 Department of Management, School of Economics & Management, Kochi University of Technology, 2-22 Eikokuji-cho, Kochi 780-8515, Japan
Sustainability 2017, 9(5), 781; https://doi.org/10.3390/su9050781 - 9 May 2017
Cited by 80 | Viewed by 19963
Abstract
Cultural influence has recently received significant attention from academics due to its vital role in the success or failure of a project. In the construction industry, several empirical investigations have examined the influence of culture on project management. The aim of this study [...] Read more.
Cultural influence has recently received significant attention from academics due to its vital role in the success or failure of a project. In the construction industry, several empirical investigations have examined the influence of culture on project management. The aim of this study is to determine the impact of project organizational culture on the performance of construction projects. A total of 199 completed construction projects in Vietnam with specific data gathering through questionnaires were analyzed. The findings reveal that contractor commitment to contract agreements is the most significant cultural factor affecting project performance. Goal alignment and reliance, contractor commitment, and worker orientation (i.e., commitment to workers) contribute to improved overall performance and participant satisfaction. Contractor commitment and cooperative orientation enhance labor productivity, whereas goal alignment and trust and contractor commitment ensure learning performance (i.e., learning from experience). The findings of this study may assist construction professionals in implementing practices that can contribute to the sustainability and success of construction projects. Full article
2 pages, 142 KB  
Comment
Comment on Ryffel, G.U. I Have a Dream: Organic Movements Include Gene Manipulation to Improve Sustainable Farming. Sustainability 2017, 9, 392
by Markus Arbenz * and David Gould
IFOAM—Organics International, Charles-de-Gaulle Strasse 5, 53113 Bonn, Germany
Sustainability 2017, 9(5), 782; https://doi.org/10.3390/su9050782 - 9 May 2017
Cited by 15 | Viewed by 3348
Abstract
To the Editor: In the recent editorial “I Have a Dream: Organic Movements Include Gene Manipulation to Improve Sustainable Farming” [1], the author, Gerhart Ryffel, comments on the various papers published for the Special Issue in this journal on “Organic Farming and Gene [...] Read more.
To the Editor: In the recent editorial “I Have a Dream: Organic Movements Include Gene Manipulation to Improve Sustainable Farming” [1], the author, Gerhart Ryffel, comments on the various papers published for the Special Issue in this journal on “Organic Farming and Gene Manipulation”.[...] Full article
(This article belongs to the Special Issue Organic Farming and Gene Manipulation)
9 pages, 972 KB  
Communication
Snapshot of Photovoltaics—March 2017
by Arnulf Jäger-Waldau
European Commission, Joint Research Centre (JRC), Directorate C: Energy, Transport and Climate, Energy Efficiency and Renewables Unit, Via E. Fermi 2749, I-21027 Ispra (VA), Italy
Sustainability 2017, 9(5), 783; https://doi.org/10.3390/su9050783 - 9 May 2017
Cited by 42 | Viewed by 6674
Abstract
Renewable energy use, especially from solar photovoltaic electricity generation, is growing at a much faster pace than the rest of the economy world-wide. The significant cost reduction of solar PV over the last decade and the zero-fuel cost volatility have increased solar PV’s [...] Read more.
Renewable energy use, especially from solar photovoltaic electricity generation, is growing at a much faster pace than the rest of the economy world-wide. The significant cost reduction of solar PV over the last decade and the zero-fuel cost volatility have increased solar PV’s attractiveness. In 2016, the newly installed solar PV power of about 75 GW was more than all the world-wide installed capacity until the end of 2011. The fact that the Paris Agreement went into force on 4 November 2016 will be another accelerating factor for the use of electricity from renewable energy sources. Apart from the electricity sector, renewable energy sources for the generation of heat and environmental friendly synthetic-fuels for the transport sector will become more and more important in the future. Full article
(This article belongs to the Section Energy Sustainability)
Show Figures

Figure 1

9 pages, 236 KB  
Article
Determining Factors for Economic Efficiency in the Organic Olive Oil Sector
by Enrique Bernal Jurado 1, Adoración Mozas Moral 2, Domingo Fernández Uclés 3,* and Miguel Jesús Medina Viruel 4
1 Department of Economics, Campus Lagunillas, University of Jaen, building D-3, office 266, 23071 Jaen, Spain
2 Department of Business Organization, Marketing and Sociology, Campus Lagunillas, University of Jaen, building D-3, office 146, 23071 Jaen, Spain
3 Department of Business Organization, Marketing and Sociology, Campus Lagunillas, University of Jaen, building D-3, office 107, 23071 Jaen, Spain
4 Department of Statistics, Econometrics, Operational Research, Business Organization and Applied Economics, Puerta nueva, s/n, Applied Economics Office, University of Cordoba, 14071 Cordoba, Spain
Sustainability 2017, 9(5), 784; https://doi.org/10.3390/su9050784 - 9 May 2017
Cited by 16 | Viewed by 5423
Abstract
Spain looms large worldwide in organic olive oil production. However, this productive potential contrasts with the low internal consumption of the product. This situation makes Spain a world leader in its export. Companies in this sector have clear deficiencies, which must be corrected [...] Read more.
Spain looms large worldwide in organic olive oil production. However, this productive potential contrasts with the low internal consumption of the product. This situation makes Spain a world leader in its export. Companies in this sector have clear deficiencies, which must be corrected to ensure their survival over time. In this context, the aim of this study is to analyse the level of efficiency, in economic terms, of organic olive oil producers and to identify the factors explaining the best organizational practices. To do so, Data Envelopment Analysis (DEA) and Qualitative Comparative Analysis (QCA) have been used. The results reveal low levels of economic efficiency and the variables determining said efficiency. Full article
(This article belongs to the Special Issue Entrepreneurial Sustainability: New Innovative Knowledge)
16 pages, 1041 KB  
Article
Does “Greening” of Neotropical Cities Considerably Mitigate Carbon Dioxide Emissions? The Case of Medellin, Colombia
by Carley C. Reynolds 1, Francisco J. Escobedo 2, Nicola Clerici 2,* and Jorge Zea-Camaño 3
1 Nicholas School of the Environment, Duke University, Environment Hall, 9 Circuit Drive, Durham, NC 27708, USA
2 Programa de Biología, Facultad de Ciencias Naturales y Matemáticas, Universidad del Rosario, Cr. 24 No 63C-69, Bogotá, Colombia
3 Programa de pós Graduação em Engenharia Florestal, Universidade Federal do Paraná, Av. Pref. Lothário Meissner, 632, CEP: 80210-170 Curitiba, Paraná, Brazil
Sustainability 2017, 9(5), 785; https://doi.org/10.3390/su9050785 - 9 May 2017
Cited by 39 | Viewed by 11128
Abstract
Cities throughout the world are advocating highly promoted tree plantings as a climate change mitigation measure. Assessing the carbon offsets associated with urban trees relative to other climate change policies is vital for sustainable development, planning, and solving environmental and socio-economic problems, but [...] Read more.
Cities throughout the world are advocating highly promoted tree plantings as a climate change mitigation measure. Assessing the carbon offsets associated with urban trees relative to other climate change policies is vital for sustainable development, planning, and solving environmental and socio-economic problems, but is difficult in developing countries. We estimated and assessed carbon dioxide (CO2) storage, sequestration, and emission offsets by public trees in the Medellin Metropolitan Area, Colombia, as a viable Nature-Based Solution for the Neotropics. While previous studies have discussed nature-based solutions and explored urban tree carbon dynamics in high income countries, few have been conducted in tropical cities in low-middle income countries, particularly within South America. We used a public tree inventory for the Metropolitan Area of the Aburrá Valley and an available urban forest functional model, i-Tree Streets, calibrated for Colombia’s context. We found that CO2 offsets from public trees were not as effective as cable cars or landfills. However, if available planting spaces are considered, carbon offsets become more competitive with cable cars and other air quality and socio-economic co-benefits are also provided. The use of carbon estimation models and the development of relevant carbon accounting protocols in Neotropical cities are also discussed. Our nature-based solution approach can be used to better guide management of urban forests to mitigate climate change and carbon offset accounting in tropical cities lacking available information. Full article
(This article belongs to the Special Issue Nature-Based Solutions for Urban Challenges)
Show Figures

Figure 1

17 pages, 1504 KB  
Article
A Cross-Strait Comparison of Innovation Policy under Industry 4.0 and Sustainability Development Transition
by Kuan Chung Lin 1,*, Joseph Z. Shyu 1,2 and Kun Ding 2
1 Institute of Technology Management, National Chiao Tung University, No. 1001 Ta-Hsueh Road, Hsinchu 300, Taiwan
2 School of Public Management and Law, Dalian University of Technology, No. 2 Linggong Road, Ganjingzi District, Dalian 116024, Liaoning, China
Sustainability 2017, 9(5), 786; https://doi.org/10.3390/su9050786 - 9 May 2017
Cited by 137 | Viewed by 16160
Abstract
While the advent of Industry 4.0 is emblematic of national strategy for industrial revitalization, the proliferation of technology has drastically changed the landscape of many major sectors of global industries. Industry 4.0 encompasses multi-dimensional concepts—including computerization, digitization, and intelligentization—of business operations based on [...] Read more.
While the advent of Industry 4.0 is emblematic of national strategy for industrial revitalization, the proliferation of technology has drastically changed the landscape of many major sectors of global industries. Industry 4.0 encompasses multi-dimensional concepts—including computerization, digitization, and intelligentization—of business operations based on cyber-physical-systems (CPS) and the Internet-of-Things (IoTs). The vision of Industry 4.0 will bring about improvements in industrial processes, ranging from engineering, material usage, supply chains, and product lifecycle management, to the horizontal value chain. This research project adopts a descriptive analysis with descriptive statistics under the innovation policy framework proposed by Rothwell and Zegveld. This report also informs a comparative policy analysis across China and Taiwan. From the perspectives of industry coalition and competition, this cross-strait comparison lends itself to being a policy-making reference. Results reveal that China, in terms of policy-making, concentrates on ‘political’ and ‘legal/regulatory’ aspects of environmental policy, as well as the theme of ‘public service’ of the demand-side policy. Taiwan also emphasizes the ‘environmental-side’ policy like China, whereas Taiwan focuses more on ‘education/training’ of the supply-side policy. Full article
Show Figures

Figure 1

16 pages, 3731 KB  
Article
Assessment of Comprehensive Effects and Optimization of a Circular Economy System of Coal Power and Cement in Kongtong District, Pingliang City, Gansu Province, China
by Suocheng Dong 1, Zhe Wang 1,2, Yu Li 1, Fujia Li 1,*, Zehong Li 1, Feng Chen 1,2 and Hao Cheng 1
1 Institute of Geographical Sciences and Natural Resources Research, Chinese Academy of Sciences, Beijing 100101, China
2 University of Chinese Academy of Sciences, Beijing 100049, China
Sustainability 2017, 9(5), 787; https://doi.org/10.3390/su9050787 - 11 May 2017
Cited by 21 | Viewed by 7824
Abstract
The idea of a circular economy (CE), which differs from traditional linear economy with a high consumption of natural resources and pollution, has captured much interest and attention. This paper uses a CE system of coal power and cement in Kongtong District, Pingliang [...] Read more.
The idea of a circular economy (CE), which differs from traditional linear economy with a high consumption of natural resources and pollution, has captured much interest and attention. This paper uses a CE system of coal power and cement in Kongtong District, Pingliang City, Gansu Province, China as a case study to analyze the comprehensive effects of CE paradigm. Our simulation results, based on system dynamics (SD) modeling, infer that the transformation of manufacturing towards a CE system can prominently help coal power and cement enterprises reduce waste emission and increase economic profits. Through solid waste exchanges, a power plant can achieve over RMB 80 million of additional revenue per year at the highest level. CE also contributes to the reduction of regional pollution, saves mineral resources, and improves the atmospheric environment, an accumulated total of 14.11 million t of natural gypsum and 22.67 million t of coal can be saved. This sets a promising example for coal power and cement plants worldwide. Effective regulatory measures and further optimization towards a circular economy system are essential in maintaining the stable development of a CE system due to the risk of surplus production of upstream industries and other defects. Full article
(This article belongs to the Section Economic and Business Aspects of Sustainability)
Show Figures

Figure 1

2 pages, 143 KB  
Reply
Reply to Arbenz, M. Comment on Ryffel, G.U. I Have a Dream: Organic Movements Include Gene Manipulation to Improve Sustainable Farming. Sustainability 2017, 9, 392
by Gerhart U. Ryffel
Institute of Cell Biology (Cancer Research), Universitätsklinikum Essen, Hufelandstraße 55, 45147 Essen, Germany
Sustainability 2017, 9(5), 788; https://doi.org/10.3390/su9050788 - 9 May 2017
Viewed by 3574
Abstract
To the Editor: Markus Arbenz and David Gould, two representatives of IFOAM—Organics International, criticize my recent editorial “I Have a Dream: Organic Movements Include Gene Manipulation to Improve Sustainable Farming” [1], as in their view I misinterpreted and misrepresented the definition of genetic [...] Read more.
To the Editor: Markus Arbenz and David Gould, two representatives of IFOAM—Organics International, criticize my recent editorial “I Have a Dream: Organic Movements Include Gene Manipulation to Improve Sustainable Farming” [1], as in their view I misinterpreted and misrepresented the definition of genetic engineering given in the draft version of IFOAM’s position on genetic engineering [2].[...] Full article
(This article belongs to the Special Issue Organic Farming and Gene Manipulation)
18 pages, 4701 KB  
Article
A Web-Based Tool for Energy Balance Estimation in Multiple-Crops Production Systems
by Patrizia Busato 1, Alessandro Sopegno 1, Remigio Berruto 1,*, Dionysis Bochtis 2 and Angela Calvo 1
1 DISAFA Department, Faculty of Agriculture, University of Turin, Largo Braccini 2, 10095 Grugliasco, Turin, Italy
2 Institute for Research and Technology of Thessaly—IRETETH, Centre for Research and Technology Hellas—CERTH, Dimitriados St 95 & Pavlou Mela St., 3rd Floor, PC 38333 Volos, Greece
Sustainability 2017, 9(5), 789; https://doi.org/10.3390/su9050789 - 9 May 2017
Cited by 6 | Viewed by 5460
Abstract
Biomass production systems include multiple-crops rotations, various machinery systems, diversified operational practices and several dispersed fields located in a range of distances between the various facilities (e.g., storage and processing facilities). These factors diversify the energy and cost requirements of the system. To [...] Read more.
Biomass production systems include multiple-crops rotations, various machinery systems, diversified operational practices and several dispersed fields located in a range of distances between the various facilities (e.g., storage and processing facilities). These factors diversify the energy and cost requirements of the system. To that effect, assessment tools dedicated a single-crop production based on average standards cannot provide an insight evaluation of a specific production system, e.g., for a whole farm in terms of energy and cost requirements. This paper is the continuation of previous work, which presents a web-based tool for cost estimation of biomass production and transportation of multiple-crop production. In the present work, the tool is extended to additionally provide the energy balance of the examined systems. The energy input includes the whole supply chain of the biomass, namely crop cultivation, harvesting, handling of biomass and transportation to the processing facilities. A case study involving a real crop production system that feeds a biogas plant of 200 kW was selected for the demonstration of the tool’s applicability. The output of the tool provides a series of indexes dedicated to the energy input and balance. The presented tool can be used for the comparison of the performance, in terms of energy requirements, between various crops, fields, operations practices, and operations systems providing support for decisions on the biomass production system design (e.g., allocation of crops to fields) and operations management (e.g., machinery system selection). Full article
(This article belongs to the Special Issue Sustainable Agriculture and Development)
Show Figures

Figure 1

16 pages, 2401 KB  
Article
Magnetic (Fe3O4) Nanoparticles Reduce Heavy Metals Uptake and Mitigate Their Toxicity in Wheat Seedling
by Alexandre Konate 1,3, Xiao He 2, Zhiyong Zhang 2, Yuhui Ma 2, Peng Zhang 2, Gibson Maswayi Alugongo 4 and Yukui Rui 1,*
1 College of Resources and Environmental Sciences, China Agricultural University, Beijing 100093, China
2 Key Laboratory for Biomedical Effects of Nanomaterials and Nanosafety, Key Laboratory of Nuclear Radiation and Nuclear Energy Technology, Institute of High Energy Physics, Chinese Academy of Sciences, Beijing 100049, China
3 Institute Superior of Agronomy and Veterinary of Faranah (ISAV/F), Faranah 131, Republic of Guinea
4 Key Laboratory of Animal Nutrition, Department of Animal Nutrition and Feed Sciences, China Agricultural University, Beijing 100093, China
Sustainability 2017, 9(5), 790; https://doi.org/10.3390/su9050790 - 10 May 2017
Cited by 295 | Viewed by 12001
Abstract
Heavy metal pollution is not only a hazard to living organisms but also an important worldwide environmental concern. Experiments were performed to investigate the physiological mechanisms of magnetic (Fe3O4) nanoparticles (nano-Fe3O4) mitigation of the toxicity [...] Read more.
Heavy metal pollution is not only a hazard to living organisms but also an important worldwide environmental concern. Experiments were performed to investigate the physiological mechanisms of magnetic (Fe3O4) nanoparticles (nano-Fe3O4) mitigation of the toxicity of heavy metals (Pb, Zn, Cd and Cu) in wheat seedlings. All the Petri dishes with germinating seedlings (1d) were covered, sealed with parafilm, and placed in a dark growth chamber. All parameters (seedling growth inhibition, heavy metal accumulation, enzymatic activities, and reducing effects of nano-Fe3O4 on heavy metal toxicity) were analyzed only after five days. The results showed that the tested heavy metals significantly affected the growth of wheat seedling by decreasing root length, shoot length and even death at 10 mM concentration in the case of Cd and Cu. Heavy metals exposure also showed that superoxide dismutase (SOD) and peroxidases (POD) activities decreased significantly when the malondialdehyde (MDA) content was significantly higher in wheat seedlings. Addition of magnetic (Fe3O4) nanoparticles (2000 mg/L) in each heavy metal solution (1 mM) significantly decreased the growth inhibition and activated protective mechanisms to reduce oxidative stress induced by heavy metals in the wheat seedlings. The reducing effects of nano-Fe3O4 against heavy metals stress could be dependent on the increase in the enzyme activity (SOD and POD). Their protective role was confirmed by the decrease in MDA content. The alleviating effect of nano-Fe3O4 is associated with their adsorption capacity of heavy metals. Full article
(This article belongs to the Collection Risk Assessment and Management)
Show Figures

Figure 1

16 pages, 710 KB  
Article
An Auditing Framework for Knowledge-Enabled Supply Chain Management: Implications for Sustainability
by Abdelkader Daghfous 1 and Taisier Zoubi 2,*
1 Department of Marketing and Information Systems, School of Business Administration, American University of Sharjah, P.O. Box 26666, Sharjah, UAE
2 Department of Accounting, School of Business Administration, American University of Sharjah, P.O. Box 26666, Sharjah, UAE
Sustainability 2017, 9(5), 791; https://doi.org/10.3390/su9050791 - 10 May 2017
Cited by 17 | Viewed by 7136
Abstract
Knowledge management (KM) plays a key role in the success of several enterprise systems, such as supply chain management (SCM). This paper discusses knowledge-enabled supply chain management (K-SCM) as it enhances the organizations’ expertise in SCM. We propose a framework that integrates KM [...] Read more.
Knowledge management (KM) plays a key role in the success of several enterprise systems, such as supply chain management (SCM). This paper discusses knowledge-enabled supply chain management (K-SCM) as it enhances the organizations’ expertise in SCM. We propose a framework that integrates KM processes with SCM components. We developed an audit methodology that can be performed to assess the organization’s readiness in K-SCM. The developed framework consists of KM dimensions and Supply Chain Operations Reference (SCOR) components. The proposed audit methodology is subsequently illustrated through a case of a manufacturing company based in the United Arab Emirates (UAE). The paper concludes with implications for managerial practice and future research, with a special focus on sustainable SCM. Full article
(This article belongs to the Section Economic and Business Aspects of Sustainability)
Show Figures

Figure 1

18 pages, 3330 KB  
Article
Specific Features of Parks and Their Impact on Regulation and Cultural Ecosystem Services Provision in Warsaw, Poland
by Renata Giedych * and Gabriela Maksymiuk
Department of Landscape Architecture, Warsaw University of Life Sciences—SGGW, ul. Nowoursynowska 159, 02-776 Warsaw, Poland
Sustainability 2017, 9(5), 792; https://doi.org/10.3390/su9050792 - 10 May 2017
Cited by 45 | Viewed by 7886
Abstract
Urban parks are important elements of city green infrastructure. Many studies highlight their positive influence on the quality of life and human well-being as well as their significance for sustaining natural processes in built-up areas. For the last decade, much has been written [...] Read more.
Urban parks are important elements of city green infrastructure. Many studies highlight their positive influence on the quality of life and human well-being as well as their significance for sustaining natural processes in built-up areas. For the last decade, much has been written about urban ecosystem services (ES), however in comparison with the abundance of studies on the potential for delivering ecosystem services by different land use and land cover types, research on the capacity of parks to deliver these services depending on site-specific elements, is relatively uncommon. Thus, this paper reports on research that explored levels of local regulating and cultural ecosystem services delivered by Warsaw parks, as these services are considered as the most important for urban dwellers. The authors based the study on data included in existing policy documents related to environmental and spatial planning for Warsaw, and evaluation of Warsaw green spaces. The assessment included 10 ecosystem services: micro-climate regulation, air quality regulation, noise reduction, balancing rainwater peaks, recreation, social inclusion, physical health benefits, nature experiences, aesthetic appreciation, and sense of identity. The assessment was performed for all Warsaw public parks, covering an area over 2 ha (n = 82). The results enabled us: (1) to assess all parks with respect to their actual impact in delivering 10 studied ecosystem services; (2) to designate their potential capacity to deliver regulating and cultural services; and (3) to allocate all assessed parks into categories that represent their predominant character (multifunctional, with cultural advantage, with regulating advantage or without any predominant function). Full article
(This article belongs to the Special Issue Maintaining Ecosystem Services to Support Urban Needs)
Show Figures

Graphical abstract

18 pages, 2485 KB  
Article
Decomposition and Decoupling Analysis of Life-Cycle Carbon Emission in China’s Building Sector
by Rui Jiang and Rongrong Li *
School of Economic & Management, China University of Petroleum (Huadong), No. 66 West Changjiang Road, Qingdao 266580, China
Sustainability 2017, 9(5), 793; https://doi.org/10.3390/su9050793 - 10 May 2017
Cited by 42 | Viewed by 6106
Abstract
With accelerating urbanization, building sector has been becoming more important source of China’s total carbon emission. In this paper, we try to calculate the life-cycle carbon emission, analyze influencing factors of carbon emission, and assess the delinking index of carbon emission in China’s [...] Read more.
With accelerating urbanization, building sector has been becoming more important source of China’s total carbon emission. In this paper, we try to calculate the life-cycle carbon emission, analyze influencing factors of carbon emission, and assess the delinking index of carbon emission in China’s building sector. The results show: (i) Total carbon emission in China’s building industry increase from 984.69 million tons of CO2 in 2005 to 3753.98 million tons of CO2 in 2013. The average annual growth rate is 18.21% per year. Indirect carbon emission from building material consumption accounted to 96–99% of total carbon emission. (ii) The indirect emission intensity effect was leading contributor to change of carbon emission. The following was economic output effects, which always contributed to increase in carbon emission. Energy intensity effect and energy structure effect took negligible role to offset carbon emission. (iii) Delinking index show the status between carbon emission and economic output in China’s building industry during 2005–2006 and 2007–2008 was weak decoupling; during 2006–2007 and during 2008–2010 was expansive decoupling; and during 2010–2013 was expansive negative decoupling. Full article
(This article belongs to the Special Issue Sustainability Assessments of Buildings)
Show Figures

Figure 1

15 pages, 1591 KB  
Article
A Smartness Assessment Framework for Smart Factories Using Analytic Network Process
by Jeongcheol Lee 1, Sungbum Jun 2, Tai-Woo Chang 3,* and Jinwoo Park 1
1 Department of Industrial Engineering, Seoul National University, Seoul 08826, Korea
2 School of Industrial Engineering, Purdue University, West Lafayette, IN 47907, USA
3 Department of Industrial & Management Engineering, Kyonggi University, Suwon 16227, Korea
Sustainability 2017, 9(5), 794; https://doi.org/10.3390/su9050794 - 10 May 2017
Cited by 80 | Viewed by 8752
Abstract
The so-called smart factory is a novel paradigm that is rapidly gaining ground in scenarios for factories of the future. Many manufacturing companies try to raise the level of smartness by considering a number of aspects related to the smart factory. However, there [...] Read more.
The so-called smart factory is a novel paradigm that is rapidly gaining ground in scenarios for factories of the future. Many manufacturing companies try to raise the level of smartness by considering a number of aspects related to the smart factory. However, there is a lack of field-oriented systematic research to help them fit the interest of industry for promoting interest and diffusion of smart factory. Moreover, it is still difficult to assess whether the vision of the future factory that incorporates information and communication technologies is implemented. Therefore, in this study, we propose a smartness assessment framework for smart factories which is based on the concept of operation management so as to be easy to make manufacturing companies to understand and apply. The framework is composed of evaluation criteria and sets the weightings of the criteria using analytic network processes. From a case study based on 20 small and medium-sized manufacturing enterprises, the effectiveness of the proposed framework has been verified. Full article
(This article belongs to the Special Issue Sustainability in Manufacturing)
Show Figures

Figure 1

12 pages, 3164 KB  
Article
Wind Speed for Load Forecasting Models
by Jingrui Xie 1 and Tao Hong 2,3,*
1 Forecasting R&D, SAS Institute Inc., Cary, NC 27513, USA
2 Systems Engineering and Engineering Management Department, University of North Carolina at Charlotte, Charlotte, NC 28223, USA
3 School of Management Science and Engineering, Dongbei University of Finance and Economics, Dalian 116023, China
Sustainability 2017, 9(5), 795; https://doi.org/10.3390/su9050795 - 10 May 2017
Cited by 28 | Viewed by 6785
Abstract
Temperature and its variants, such as polynomials and lags, have been the most frequently-used weather variables in load forecasting models. Some of the well-known secondary driving factors of electricity demand include wind speed and cloud cover. Due to the increasing penetration of distributed [...] Read more.
Temperature and its variants, such as polynomials and lags, have been the most frequently-used weather variables in load forecasting models. Some of the well-known secondary driving factors of electricity demand include wind speed and cloud cover. Due to the increasing penetration of distributed energy resources, the net load is more and more affected by these non-temperature weather factors. This paper fills a gap and need in the load forecasting literature by presenting a formal study on the role of wind variables in load forecasting models. We propose a systematic approach to include wind variables in a regression analysis framework. In addition to the Wind Chill Index (WCI), which is a predefined function of wind speed and temperature, we also investigate other combinations of wind speed and temperature variables. The case study is conducted for the eight load zones and the total load of ISO New England. The proposed models with the recommended wind speed variables outperform Tao’s Vanilla Benchmark model and three recency effect models on four forecast horizons, namely, day-ahead, week-ahead, month-ahead, and year-ahead. They also outperform two WCI-based models for most cases. Full article
(This article belongs to the Special Issue Wind Energy, Load and Price Forecasting towards Sustainability)
Show Figures

Figure 1

15 pages, 6610 KB  
Article
Analysis of the Effectiveness of Urban Land-Use-Change Models Based on the Measurement of Spatio-Temporal, Dynamic Urban Growth: A Cellular Automata Case Study
by Yilun Liu 1,2, Yueming Hu 1,3, Shaoqiu Long 1,3, Luo Liu 1,2 and Xiaoping Liu 4,*
1 College of Natural Resources and Environment, South China Agricultural University, Guangzhou 510642, China
2 Guangdong Province Key Laboratory for Land Use and Consolidation, Guangzhou 510642, China
3 Key Laboratory of the Ministry of Land and Resources for Construction Land Transformation, Guangzhou 510642, China
4 School of Geography and Planning, Sun Yat-sen University, Guangzhou 510275, China
Sustainability 2017, 9(5), 796; https://doi.org/10.3390/su9050796 - 10 May 2017
Cited by 34 | Viewed by 5817
Abstract
Developing countries have been undergoing dramatic urban growth over the past three decades. It is essential to understand and simulate the urban growth process for smart urban planning and sustainable development purposes. Cellular automata (CA) modeling is an efficient approach to simulating urban [...] Read more.
Developing countries have been undergoing dramatic urban growth over the past three decades. It is essential to understand and simulate the urban growth process for smart urban planning and sustainable development purposes. Cellular automata (CA) modeling is an efficient approach to simulating urban land use/cover change; however, the traditional CA method has limitations in simulating the various urban growth patterns and processes. This study aims to analyze the influences of different urban growth characteristics on the effectiveness of CA modeling by conducting a case study over the area in the Pearl River Delta of Southern China. We used the growth rate, landscape expansion index, and spatial dependency to quantify the urban growth characteristics. The effectiveness of CA modeling was measured through a comparison of the simulation results with the reference data. The simulation results and validation analyses reveal that the traditional CA is not applicable for the following three situations: (1) the urban growth pattern characterized by less growth area or a higher ratio of outlying expansion; (2) the urban region that includes several subregions with disparate growth characteristics; and (3) the existence of temporal differences in growth characteristics over a long period. Full article
(This article belongs to the Special Issue Smart X for Sustainability)
Show Figures

Figure 1

18 pages, 22202 KB  
Article
Impact of Boundary Conditions on a Groundwater Heat Pump System Design in a Shallow and Thin Aquifer near the River
by Longcang Shu 1,*, Rui Xiao 1, Zhonghui Wen 1, Yuezan Tao 2 and Peigui Liu 2
1 College of Hydrology and Water Resources, Hohai University, Nanjing 210098, China
2 School of Civil Engineering, Heifei University of Technology, Heifei 230009, China
Sustainability 2017, 9(5), 797; https://doi.org/10.3390/su9050797 - 11 May 2017
Cited by 3 | Viewed by 4878
Abstract
The exploitation of shallow geothermal energy through a groundwater heat pump (GWHP) is always limited to thick and deep aquifers containing abundant water with a relatively stable temperature. Unfortunately, aquifers in hilly regions which occupy two thirds of China are usually thin and [...] Read more.
The exploitation of shallow geothermal energy through a groundwater heat pump (GWHP) is always limited to thick and deep aquifers containing abundant water with a relatively stable temperature. Unfortunately, aquifers in hilly regions which occupy two thirds of China are usually thin and shallow. The boundary conditions in those hilly areas affect the groundwater flow that is used for geothermal energy production. To quantify the impact of boundary conditions on the shallow geothermal energy development, a shallow and thin aquifer near the Qingyi River in Anhui Province was chosen as a case study, and a three-dimensional heat–water model was developed using FEFLOW. The impact of the boundary conditions on the hydrodynamic and temperature fields of the aquifer was analyzed by using the developed model. Furthermore, the well locations of a pumping-recharging system near the river correspond to three different modes of pumping-recharging well layouts that were optimized based on the changes of pumping water temperature and the maximum drawdown. The simulation results indicated that the influence of atmospheric temperature on groundwater temperature is negligible below a depth of 11 m. When the river level is above 28 m, the optimal scheme of pumping-only was used (without considering recharging wells) with a certain distance from the river. This scheme not only operates efficiently, but also reduces the operation cost. Full article
(This article belongs to the Special Issue Direct Utilization of Geothermal Energy)
Show Figures

Figure 1

19 pages, 675 KB  
Article
Effects of Pros and Cons of Applying Big Data Analytics to Consumers’ Responses in an E-Commerce Context
by Thi Mai Le 1 and Shu-Yi Liaw 2,*
1 Department of Tropical Agriculture and International Cooperation, National Pingtung University of Science and Technology, No 1, Shuefu Road, Neipu, Pingtung 91201, Taiwan
2 Management College, Computer Centre, National Pingtung University of Science and Technology, No 1, Shuefu Road, Neipu, Pingtung 91201, Taiwan
Sustainability 2017, 9(5), 798; https://doi.org/10.3390/su9050798 - 11 May 2017
Cited by 70 | Viewed by 28924
Abstract
The era of Big Data analytics has begun in most industries within developed countries. This new analytics tool has raised motivation for experts and researchers to study its impacts to business values and challenges. However, studies which help to understand customers’ views and [...] Read more.
The era of Big Data analytics has begun in most industries within developed countries. This new analytics tool has raised motivation for experts and researchers to study its impacts to business values and challenges. However, studies which help to understand customers’ views and their behavior towards the applications of Big Data analytics are lacking. This research aims to explore and determine the pros and cons of applying Big Data analytics that affects customers’ responses in an e-commerce environment. Data analyses were conducted in a sample of 273 respondents from Vietnam. The findings found that information search, recommendation system, dynamic pricing, and customer services had significant positive effects on customers’ responses. Privacy and security, shopping addiction, and group influences were found to have significant negative effects on customers’ responses. Customers’ responses were measured at intention and behavior stages. Moreover, positive and negative effects simultaneously presented significant effect on customers’ responses. Each dimension of positive and negative factors had different significant impacts on customers’ intention and behavior. Specifically, information search had a significant influence on customers’ intention and improved customers’ behavior. Shopping addiction had a drastic change from intention to behavior compared to group influences and privacy and security. This study contributes to improve understanding of customers’ responses under big data era. This could play an important role to develop sustainable consumers market. E-vendors can rely on Big Data analytics but over usage may have some negative applications. Full article
(This article belongs to the Section Economic and Business Aspects of Sustainability)
Show Figures

Figure 1

10 pages, 1375 KB  
Article
A Grey Water Footprint Assessment of Groundwater Chemical Pollution: Case Study in Salento (Southern Italy)
by Pier Paolo Miglietta 1, Pierluigi Toma 1, Francesco Paolo Fanizzi 2,3, Antonella De Donno 2, Benedetta Coluccia 1, Danilo Migoni 2,3, Francesco Bagordo 2 and Francesca Serio 2,*
1 Department of Economics and Management, University of Salento, Prov. le Lecce-Monteroni, 73100 Lecce, Italy
2 Department of Biological and Environmental Sciences and Technologies, University of Salento, Prov. le Lecce-Monteroni, 73100 Lecce, Italy
3 Consorzio Interuniversitario di Ricerca in Chimica dei Metalli nei Sistemi Biologici, via Celso Ulpiani 27, 70125 Bari, Italy
Sustainability 2017, 9(5), 799; https://doi.org/10.3390/su9050799 - 11 May 2017
Cited by 53 | Viewed by 7885
Abstract
The worsening of groundwater quality is a huge problem for some regions, especially where a karst aquifer system is the most important water resource because of the deficiency of a well-developed superficial water supply. In this study the chemical quality of a deep [...] Read more.
The worsening of groundwater quality is a huge problem for some regions, especially where a karst aquifer system is the most important water resource because of the deficiency of a well-developed superficial water supply. In this study the chemical quality of a deep aquifer of the Salento peninsula (Southern Italy), where a shallow aquifer and an extensive deep aquifer are exploited as a source of drinking water and irrigation water, was monitored. The indicator used to assess the sustainability of pollution produce by human activities is the “grey water footprint” (GWF) which measures the amount of water required to assimilate a polluting load produced from anthropic activity. The GWF, calculated for each chemical parameter, shows a widespread contamination by Mercury (Hg), Vanadium (V) and Ammonium (NH4+) with concentrations above the limits (Lgs. D. 31/2001). The high Mercury and Vanadium concentrations may thus be associated with anthropic pressures on the aquifer, while Ammonium derives mainly from fertilizers used in agriculture. The situation that emerged involves reflections on the continuous human pressure on natural resources. Therefore, the management of groundwater quality requires a multidisciplinary approach focused on identifying the measures necessary to protect our water resources. Full article
Show Figures

Figure 1

18 pages, 1331 KB  
Article
Country Selection Model for Sustainable Construction Businesses Using Hybrid of Objective and Subjective Information
by Kang-Wook Lee 1, Wooyong Jung 2,* and Seung Heon Han 2,*
1 Korea Research Center for Overseas Construction, International Contractors Association of Korea, Seoul 04513, Korea
2 Department of Civil and Environmental Engineering, Yonsei University, Seoul 03722, Korea
Sustainability 2017, 9(5), 800; https://doi.org/10.3390/su9050800 - 11 May 2017
Cited by 12 | Viewed by 6357
Abstract
An important issue for international businesses and academia is selecting countries in which to expand in order to achieve entrepreneurial sustainability. This study develops a country selection model for sustainable construction businesses using both objective and subjective information. The objective information consists of [...] Read more.
An important issue for international businesses and academia is selecting countries in which to expand in order to achieve entrepreneurial sustainability. This study develops a country selection model for sustainable construction businesses using both objective and subjective information. The objective information consists of 14 variables related to country risk and project performance in 32 countries over 25 years. This hybrid model applies subjective weighting from industrial experts to objective information using a fuzzy LinPreRa-based Analytic Hierarchy Process. The hybrid model yields a more accurate country selection compared to a purely objective information-based model in experienced countries. Interestingly, the hybrid model provides some different predictions with only subjective opinions in unexperienced countries, which implies that expert opinion is not always reliable. In addition, feedback from five experts in top international companies is used to validate the model’s completeness, effectiveness, generality, and applicability. The model is expected to aid decision makers in selecting better candidate countries that lead to sustainable business success. Full article
(This article belongs to the Special Issue Entrepreneurial Sustainability: New Innovative Knowledge)
Show Figures

Figure 1

13 pages, 1437 KB  
Article
Analysis of the Relative Sustainability of Land Devoted to Bioenergy: Comparing Land-Use Alternatives in China
by Jiashun Huang 1,2,3,4, Weiping Li 5, Xijie Huang 6 and Lijia Guo 7,8,*
1 School of Geography and the Environment, University of Oxford, Oxford OX1 3QY, UK
2 Institute for New Economic Thinking at the Oxford Martin School, University of Oxford, Oxford OX2 6ED, UK
3 Environmental Change Institute, Oxford University Centre for the Environment, South Parks Road, Oxford OX1 3QY, UK
4 St Antony’s College, University of Oxford, Oxford OX2 6JF, UK
5 School of Business, Sichuan University, Chengdu 610064, China
6 School of Business, Guangdong University of Finances and Economics, Guangzhou 510320, China
7 Faculty of Human, Social and Political Science, University of Cambridge, Cambridge CB2 3RQ, UK
8 Downing College, University of Cambridge, Cambridge CB2 1DQ, UK
Sustainability 2017, 9(5), 801; https://doi.org/10.3390/su9050801 - 11 May 2017
Cited by 4 | Viewed by 4846
Abstract
When developing land to meet various human needs, conducting assessments of different alternatives regarding their sustainability is critical. Among different alternatives of land-use, devoting land to bioenergy is relatively novel, in high demand, and important for addressing the energy crisis and mitigating carbon [...] Read more.
When developing land to meet various human needs, conducting assessments of different alternatives regarding their sustainability is critical. Among different alternatives of land-use, devoting land to bioenergy is relatively novel, in high demand, and important for addressing the energy crisis and mitigating carbon emissions. Furthermore, the competition and disputes among limited land-use for bioenergy and the combination of food production and housing are tense. Thus, which alternative of land-use is more sustainable is an important question, yet it is still under-investigated. The main purposes of this study are to investigate the merits and problems of land-use for bioenergy and to compare the relative sustainability of land-use for bioenergy, food production, and housing based on habitants’ perceptions. Multi-criteria analysis is applied to the case study in the context of China, evaluating multiple criteria in economic, environmental, and social dimensions. Therefore, this study presents a comprehensive assessment of different scenarios of land-use designed to be implemented and some implications for optimum land-use policies. Full article
Show Figures

Figure 1

15 pages, 486 KB  
Article
Anomia and Displacement of Responsibility as Determinants of Tourist Company Managers’ Non-Involvement in Alleviating Poverty
by Agustín J. Sánchez-Medina *, Juan Manuel Benítez-del-Rosario and Félix Blázquez-Santana
Instituto Universitario de Ciencias y Tecnologías Cibernéticas, University of Las Palmas de Gran Canaria, 35017 Las Palmas de Gran Canaria, Spain
Sustainability 2017, 9(5), 802; https://doi.org/10.3390/su9050802 - 11 May 2017
Cited by 4 | Viewed by 5258
Abstract
The economic transformation produced by tourism sometimes has a positive influence on reducing poverty, but other times it does not. Discovering the reasons for this difference is highly relevant. In searching for these reasons, this study will focus on an important actor in [...] Read more.
The economic transformation produced by tourism sometimes has a positive influence on reducing poverty, but other times it does not. Discovering the reasons for this difference is highly relevant. In searching for these reasons, this study will focus on an important actor in tourism management, the manager. Specifically, the study will analyze how a certain negative mood state, anomia, influences the fact that managers do not consider it advisable for their companies to become involved in reducing poverty. The term future managers has been used as a proxy variable for managers. In addition, the study will also examine whether a moral disengagement mechanism, displacement of responsibility, is a mediator variable in this relationship. Covariance-based structural equation modeling was applied to a sample of 422 students in their last year of the Tourism degree at two universities, Las Palmas de Gran Canaria (Spain) and Ibn-Zohr-Agadir (Morocco). The results show that all the proposed hypotheses are supported. Full article
(This article belongs to the Section Economic and Business Aspects of Sustainability)
Show Figures

Figure 1

11 pages, 668 KB  
Article
The Energy Rebound Effect for the Construction Industry: Empirical Evidence from China
by Qiang Du 1,*, Yi Li 2 and Libiao Bai 1
1 School of Economics and Management, Chang’an University, Middle Section of South Second Ring Road, Xi’an 710064, Shaanxi, China
2 School of Civil Engineering, Chang’an University, 161 Middle Chang’an Road, Xi’an 710061, Shaanxi, China
Sustainability 2017, 9(5), 803; https://doi.org/10.3390/su9050803 - 14 May 2017
Cited by 16 | Viewed by 6559
Abstract
As the largest energy consumer and carbon emitter, China has made substantial efforts to improve energy efficiency to save energy, while the energy rebound effect mitigates its effectiveness. This paper is based on the logical relationship among capital input, technical change, economic growth, [...] Read more.
As the largest energy consumer and carbon emitter, China has made substantial efforts to improve energy efficiency to save energy, while the energy rebound effect mitigates its effectiveness. This paper is based on the logical relationship among capital input, technical change, economic growth, and energy consumption, adapting an alternative estimation model to estimate the energy rebound effect for the construction industry in China. Empirical results reveal that the average energy rebound effect for the construction industry in China was about 59.5% during the period of 1990–2014. It is indicated that the energy rebound effect does exist in China’s construction industry and it presents a fluctuating declining trend. This indicates that approximately half of the potential energy saving by technical change is achieved. It could be concluded that proper energy pricing reforms and energy taxes should be implemented to promote sustainable development in the construction industry for China’s government. Full article
(This article belongs to the Special Issue Energy Security and Sustainability)
Show Figures

Figure 1

18 pages, 5550 KB  
Article
Examining Spatial Variation in the Effects of Japanese Red Pine (Pinus densiflora) on Burn Severity Using Geographically Weighted Regression
by Hyun-Joo Lee 1, Eujin-Julia Kim 2 and Sang-Woo Lee 3,*
1 Graduate Program, Department of Environmental Science, Konkuk University, Gwangjin-gu, Seoul 05029, Korea
2 Department of Landscape Architecture, Gangneung-Wonju National University, Gangneung 25457, Korea
3 Department of Forestry and Landscape Architecture, Konkuk University, Gwangjin-gu, Seoul 05029, Korea
Sustainability 2017, 9(5), 804; https://doi.org/10.3390/su9050804 - 11 May 2017
Cited by 7 | Viewed by 4903
Abstract
Burn severity has profound impacts on the response of post-fire forest ecosystems to fire events. Numerous previous studies have reported that burn severity is determined by variables such as meteorological conditions, pre-fire forest structure, and fuel characteristics. An underlying assumption of these studies [...] Read more.
Burn severity has profound impacts on the response of post-fire forest ecosystems to fire events. Numerous previous studies have reported that burn severity is determined by variables such as meteorological conditions, pre-fire forest structure, and fuel characteristics. An underlying assumption of these studies was the constant effects of environmental variables on burn severity over space, and these analyses therefore did not consider the spatial dimension. This study examined spatial variation in the effects of Japanese red pine (Pinus densiflora) on burn severity. Specifically, this study investigated the presence of spatially varying relationships between Japanese red pine and burn severity due to changes in slope and elevation. We estimated conventional ordinary least squares (OLS) and geographically weighted regression (GWR) models and compared them using three criteria; the coefficients of determination (R2), Akaike information criterion for small samples (AICc), and Moran’s I-value. The GWR model performed considerably better than the OLS model in explaining variation in burn severity. The results provided strong evidence that the effect of Japanese red pine on burn severity was not constant but varied spatially. Elevation was a significant factor in the variation in the effects of Japanese red pine on burn severity. The influence of red pine on burn severity was considerably higher in low-elevation areas but became less important than the other variables in high-elevation areas. The results of this study can be applied to location-specific strategies for forest managers and can be adopted to improve fire simulation models to more realistically mimic the nature of fire behavior. Full article
Show Figures

Figure 1

16 pages, 14364 KB  
Article
Climate Variability and Mangrove Cover Dynamics at Species Level in the Sundarbans, Bangladesh
by Manoj Kumer Ghosh 1,*, Lalit Kumar 1 and Chandan Roy 2
1 School of Environmental and Rural Science, University of New England, Armidale, NSW 2351, Australia
2 Geography and Environmental Studies, University of Rajshahi, Rajshahi 6205, Bangladesh
Sustainability 2017, 9(5), 805; https://doi.org/10.3390/su9050805 - 11 May 2017
Cited by 19 | Viewed by 7750
Abstract
Mangrove ecosystems are complex in nature. For monitoring the impact of climate variability in this ecosystem, a multidisciplinary approach is a prerequisite. Changes in temperature and rainfall pattern have been suggested as an influential factor responsible for the change in mangrove species composition [...] Read more.
Mangrove ecosystems are complex in nature. For monitoring the impact of climate variability in this ecosystem, a multidisciplinary approach is a prerequisite. Changes in temperature and rainfall pattern have been suggested as an influential factor responsible for the change in mangrove species composition and spatial distribution. The main aim of this study was to assess the relationship between temperature, rainfall pattern and dynamics of mangrove species in the Sundarbans, Bangladesh, over a 38 year time period from 1977 to 2015. To assess the relationship, a three stage analytical process was employed. Primarily, the trend of temperature and rainfall over the study period were identified using a linear trend model; then, the supervised maximum likelihood classifier technique was employed to classify images recorded by Landsat series and post-classification comparison techniques were used to detect changes at species level. The rate of change of different mangrove species was also estimated in the second stage. Finally, the relationship between temperature, rainfall and the dynamics of mangroves at species level was determined using a simple linear regression model. The results show a significant statistical relationship between temperature, rainfall and the dynamics of mangrove species. The trends of change for Heritiera fomes and Sonneratia apelatala show a strong relationship with temperature and rainfall, while Ceriops decandra shows a weak relationship. In contrast, Excoecaria agallocha and Xylocarpus mekongensis do not show any significant relationship with temperature and rainfall. On the basis of our results, it can be concluded that temperature and rainfall are important climatic factors influencing the dynamics of three major mangrove species viz. H. fomes, S. apelatala and C. decandra in the Sundarbans. Full article
Show Figures

Figure 1

16 pages, 471 KB  
Article
Industrial Symbiosis in the Upper Valley: A Study of the Casella-Hypertherm Recycling Partnership
by Jonathan S. Krones
School of Forestry and Environmental Studies, Yale University, New Haven, CT 06511, USA
Sustainability 2017, 9(5), 806; https://doi.org/10.3390/su9050806 - 12 May 2017
Cited by 8 | Viewed by 6383
Abstract
The Casella-Hypertherm Recycling Partnership (CHRP) is a collaboration between a waste management company and a manufacturer that has created a unique recycling environment for companies in the Upper Valley region of Vermont and New Hampshire. This article presents the CHRP as a novel [...] Read more.
The Casella-Hypertherm Recycling Partnership (CHRP) is a collaboration between a waste management company and a manufacturer that has created a unique recycling environment for companies in the Upper Valley region of Vermont and New Hampshire. This article presents the CHRP as a novel form of industrial symbiosis (IS) using the recently published theoretical framework of IS dynamics proposed by Boons et al. We present this partnership in the academic literature for the first time and also gauge the adequacy of the typology when faced with a new model of IS. We argue that the CHRP exhibits qualities of multiple dynamics, and may in fact be an example of a new dynamic which we call “active facilitation”. Finally, the article also contributes evidence to the Boons et al. generative research question about the relationship between initial conditions and specific dynamics by analyzing the context in which the CHRP emerged. Full article
(This article belongs to the Special Issue Diverse Dynamics of Industrial Symbiosis: Emergence and Development)
Show Figures

Figure 1

17 pages, 611 KB  
Article
Determinants of Plate Leftovers in One German Catering Company
by Bettina A. Lorenz 1,2, Monika Hartmann 2, Stefan Hirsch 3, Olga Kanz 2 and Nina Langen 1,*
1 Department of Education for Sustainable Nutrition and Food Science, Institute of Vocational Education and Work Studies, Technische Universität Berlin, Marchstraße 23, 10587 Berlin, Germany
2 Department of Agricultural and Food Market Research, Institute for Food and Resource Economics, University of Bonn, Nussallee 21, 53115 Bonn, Germany
3 ETH Zürich, Agricultural Economics and Policy Group, Sonneggstrasse 33, 8092 Zürich, Switzerland
Sustainability 2017, 9(5), 807; https://doi.org/10.3390/su9050807 - 12 May 2017
Cited by 41 | Viewed by 8393
Abstract
Since the majority of food waste in high-income countries occurs at the consumption stage and given the clear trend towards out-of-home food consumption, it is important to understand the factors that lead to food waste in the hospitality sector. The present study uses [...] Read more.
Since the majority of food waste in high-income countries occurs at the consumption stage and given the clear trend towards out-of-home food consumption, it is important to understand the factors that lead to food waste in the hospitality sector. The present study uses a behavioral structural equation model to test the drivers of consumers’ leftover behavior in an out-of-home setting. Based on the Theory of Planned Behavior, we additionally consider “personal norms” and the situational “taste perception” of food as determinants. Our results in a company canteen demonstrate that personal norms and attitudes greatly determine consumers’ intention to prevent leftovers, whereas subjective norms and perceived behavioral control appear less relevant. Stated leftover behavior depends on both behavioral intention and the situational taste perception of food. We show that in order to understand individual food leftover behavior in an out-of-home setting, determinants from behavioral theories should be complemented by situational variables. Full article
Show Figures

Figure 1

19 pages, 4858 KB  
Article
Treelines—Approaches at Different Scales
by Friedrich-Karl Holtmeier 1 and Gabriele Broll 2,*
1 Institute of Landscape Ecology, Heisenbergstrasse 2, University of Münster, D-48149 Münster, Germany
2 Institute of Geography, Seminarstrasse 19, University of Osnabrück, D-49074 Osnabrück, Germany
Sustainability 2017, 9(5), 808; https://doi.org/10.3390/su9050808 - 12 May 2017
Cited by 33 | Viewed by 9031
Abstract
Scales in treeline research depend on the objectives and must match the underlying natural processes. Factors and processes at one scale may not be as important at another scale. In the global view, the number of factors influencing climatic treeline position can be [...] Read more.
Scales in treeline research depend on the objectives and must match the underlying natural processes. Factors and processes at one scale may not be as important at another scale. In the global view, the number of factors influencing climatic treeline position can be reduced to the effects of heat deficiency. Emphasis, however, should be laid on differentiation of the treeline by their regionally and locally varying physiognomy, diversity, spatial and temporal features, and heterogeneity. An assessment of the relative importance of the factors shaping regional/local treeline physiognomy, spatial patterns, and dynamics should have priority. This can be achieved only by syndisciplinary research. Such studies are indispensable for assessing treeline response to climate change at the regional and landscape scales. Full article
(This article belongs to the Special Issue Physical Geography and Environmental Sustainability)
Show Figures

Figure 1

20 pages, 857 KB  
Article
Low Purchase Willingness for Battery Electric Vehicles: Analysis and Simulation Based on the Fault Tree Model
by Qianwen Li, Ruyin Long *, Hong Chen * and Jichao Geng
School of Management, China University of Mining and Technology, Da Xue Road 1, Xuzhou 221116, China
Sustainability 2017, 9(5), 809; https://doi.org/10.3390/su9050809 - 12 May 2017
Cited by 13 | Viewed by 7155
Abstract
Purchase intention is the key to popularizing battery electric vehicles (BEVs) and to developing the industry. This study combines classical theoretical and qualitative research, and applies fault tree analysis (FTA) methods to study factors that hinder BEV purchase, and identify the logical relationship [...] Read more.
Purchase intention is the key to popularizing battery electric vehicles (BEVs) and to developing the industry. This study combines classical theoretical and qualitative research, and applies fault tree analysis (FTA) methods to study factors that hinder BEV purchase, and identify the logical relationship between top fault events and basic events, by calculating minimal cut sets and minimal path sets. Activity based classification analysis was used to investigate the key basic event and key event combination (i.e., minimal cut sets) that hinders purchase intention, with the effectiveness and feasibility of the proposed method verified by Monte Carlo simulation. The results indicate (1) there were 26 minimal cut sets and 18 minimal path sets in the fault tree model, and the fault tree was defined by four key event combinations and five key basic events; and (2) by reducing key events’ failure probability, the probability of fault tree cumulative occurrence was reduced from 0.86021 to 0.57406 over 100,000 Monte Carlo simulations, i.e., the willingness to purchase BEVs was significantly increased. Thus, the proposed FTA method was feasible and effective for addressing low purchase intentions. Consequently, some policy implications are suggested. Full article
(This article belongs to the Section Energy Sustainability)
Show Figures

Figure 1

15 pages, 1263 KB  
Article
Techno-Economic Forecasts of Lithium Nitrates for Thermal Storage Systems
by Macarena Montané 1,*, Gustavo Cáceres 1, Mauricio Villena 2 and Raúl O’Ryan 1
1 Facultad de Ingeniería y Ciencias, Universidad Adolfo Ibáñez, Avenida Diagonal Las Torres 2640, Peñalolén, Santiago 7941169, Chile
2 Escuela de Negocios, Universidad Adolfo Ibáñez, Avenida Diagonal Las Torres 2640, Peñalolén, Santiago 7941169, Chile
Sustainability 2017, 9(5), 810; https://doi.org/10.3390/su9050810 - 12 May 2017
Cited by 12 | Viewed by 6491
Abstract
Thermal energy storage systems (TES) are a key component of concentrated solar power (CSP) plants that generally use a NaNO3/KNO3 mixture also known as solar salt as a thermal storage material. Improvements in TES materials are important to lower CSP [...] Read more.
Thermal energy storage systems (TES) are a key component of concentrated solar power (CSP) plants that generally use a NaNO3/KNO3 mixture also known as solar salt as a thermal storage material. Improvements in TES materials are important to lower CSP costs, increase energy efficiency and competitiveness with other technologies. A novel alternative examined in this paper is the use of salt mixtures with lithium nitrate that help to reduce the salt’s melting point and improve thermal capacity. This in turn allows the volume of materials required to be reduced. Based on data for commercial plants and the expected evolution of the lithium market, the technical and economic prospects for this alternative are evaluated considering recent developments of Lithium Nitrates and the uncertain future prices of lithium. Through a levelized cost of energy (LCOE) analysis it is concluded that some of the mixtures could allow a reduction in the costs of CSP plants, improving their competitiveness. Full article
(This article belongs to the Special Issue 6th World Sustainability Forum - Selected Papers)
Show Figures

Figure 1

8 pages, 618 KB  
Editorial
Open Innovation in Value Chain for Sustainability of Firms
by JinHyo Joseph Yun 1,* and Tan Yigitcanlar 2
1 Daegu Gyeongbuk Institute of Science and Technology (DGIST), 333 Techno Jungang Daero, Hyeonpung-Myeon, Dalseong-Gun, Daegu 711-873, Korea
2 School of Civil Engineering and Built Environment, Queensland University of Technology (QUT), 2 George Street, Brisbane, QLD 4001, Australia
Sustainability 2017, 9(5), 811; https://doi.org/10.3390/su9050811 - 12 May 2017
Cited by 32 | Viewed by 13195
Abstract
This piece serves as the guest editorial of the Special Issue on the ‘Open Innovation in Value Chain for Sustainability of Firms’. Firstly, this editorial piece asks whether it is possible for firms to sustain their performance forever. Then, it reviews the popular [...] Read more.
This piece serves as the guest editorial of the Special Issue on the ‘Open Innovation in Value Chain for Sustainability of Firms’. Firstly, this editorial piece asks whether it is possible for firms to sustain their performance forever. Then, it reviews the popular literature on the value chain. Afterwards, it develops a research framework for open innovation in the value chain, and proposes five ways of open innovation taking place within it. These include user open innovation, customer open innovation, common profit community, together growth community, and inner open innovation. Lastly, this editorial introduces articles from the Special Issue that concentrate on the various open innovation perspectives for firms to achieve sustainability. Full article
Show Figures

Figure 1

18 pages, 1503 KB  
Article
What Is a Sustainable Level of Timber Consumption in the EU: Toward Global and EU Benchmarks for Sustainable Forest Use
by Meghan O’Brien 1,* and Stefan Bringezu 2
1 Wuppertal Institute for Climate, Environment and Energy, 42103 Wuppertal, Germany
2 Center for Environmental Systems Research, University of Kassel, 34117 Kassel, Germany
Sustainability 2017, 9(5), 812; https://doi.org/10.3390/su9050812 - 12 May 2017
Cited by 18 | Viewed by 7835
Abstract
Renewable energy targets in the European Union (EU) have raised the demand for timber and are expected to increase dependence on imports. However, EU timber consumption levels are already disproportionally high compared to the rest of the world. The question is, how much [...] Read more.
Renewable energy targets in the European Union (EU) have raised the demand for timber and are expected to increase dependence on imports. However, EU timber consumption levels are already disproportionally high compared to the rest of the world. The question is, how much timber is available for the EU to sustainably harvest and import, in particular considering sustainable forest management practices, a safe operating space for land-system change, and the global distribution of “common good” resources. This article approaches this question from a supply angle to develop a reference value range for the current as well as future sustainable supply of timber at the EU-27 and global levels. For current supply estimates, national-level data on forest area available for wood supply, productivity in that area, as well as the rate available for harvest were collected and aggregated into three potential supply scenarios. For future supply estimates, a safe operating space scenario halting land use change, a sensitivity analysis, and a literature review were performed. To provide both a comparison of global versus EU sustainable supply capacities and to develop a benchmark toward evaluating and comparing levels of consumption to sustainable supply capacities, per capita calculations were made. Results revealed that the per capita sustainable supply potential of EU forests is estimated to be around three times higher than the global average in 2050. Whether a global or EU reference value is more appropriate for EU policy orientation, considering both strengthened economic and cultural ties to the forest in forest-rich countries as well as the need to prevent problem shifting associated with exporting land demands abroad, is discussed. Further research is needed to strengthen and harmonize data, improve methods for modeling future scenarios and incorporate interdisciplinary and multi-stakeholder perspectives toward the development of robust and politically relevant reference values for sustainable consumption levels. Full article
(This article belongs to the Section Environmental Sustainability and Applications)
Show Figures

Figure 1

24 pages, 16314 KB  
Article
A Novel Hybrid Approach Based on Instance Based Learning Classifier and Rotation Forest Ensemble for Spatial Prediction of Rainfall-Induced Shallow Landslides using GIS
by Quang-Khanh Nguyen 1, Dieu Tien Bui 2,*, Nhat-Duc Hoang 3, Phan Trong Trinh 4, Viet-Ha Nguyen 5 and Isık Yilmaz 6
1 Faculty of Information Technology, Hanoi University of Mining and Geology, Duc Thang, Bac Tu Liem, Hanoi 100000, Vietnam
2 Geographic Information System Group, Department of Business and IT, University College of Southeast Norway, Gullbringvegen 36, Bø i Telemark N-3800, Norway
3 Faculty of Civil Engineering, Institute of Research and Development, Duy Tan University, P809-K7/25 Quang Trung, Danang 556361, Vietnam
4 Institute of Geological Sciences, Vietnam Academy of Sciences and Technology (VASC), 84 Chua Lang Street, Dong da, Hanoi 100000, Vietnam
5 Faculty of Geomatics and Land Administration, Hanoi University of Mining and Geology, Duc Thang, Bac Tu Liem, Hanoi 100000, Vietnam
6 Department of Geological Engineering, Faculty of Engineering, Cumhuriyet University, Sivas 58140, Turkey
Sustainability 2017, 9(5), 813; https://doi.org/10.3390/su9050813 - 13 May 2017
Cited by 33 | Viewed by 8194
Abstract
This study proposes a novel hybrid machine learning approach for modeling of rainfall-induced shallow landslides. The proposed approach is a combination of an instance-based learning algorithm (k-NN) and Rotation Forest (RF), state of the art machine techniques that have seldom explored [...] Read more.
This study proposes a novel hybrid machine learning approach for modeling of rainfall-induced shallow landslides. The proposed approach is a combination of an instance-based learning algorithm (k-NN) and Rotation Forest (RF), state of the art machine techniques that have seldom explored for landslide modeling. The Lang Son city area (Vietnam) is selected as a case study. For this purpose, a spatial database for the study area was constructed, and then was used to build and evaluate the hybrid model. Performance of the model was assessed using Receiver Operating Characteristic (ROC), area under the ROC curve (AUC), success rate and prediction rate, and several statistical evaluation metrics. The results showed that the model has high performance with both the training data (AUC = 0.948) and the validation data (AUC = 0.848). The results were compared with those obtained from soft computing techniques, i.e. Random Forest, J48 Decision Trees, and Multilayer Perceptron Neural Networks. Overall, the performance of the proposed model is better than those obtained from the above methods. Therefore, the proposed model is a promising tool for landslide modeling. The research result can be highly useful for land use planning and management in landslide prone areas. Full article
Show Figures

Graphical abstract

12 pages, 240 KB  
Article
Consumers’ Willingness to Pay a Premium for Eco-Labeled LED TVs in Korea: A Contingent Valuation Study
by Seo-Hyeon Min, Seul-Ye Lim and Seung-Hoon Yoo *
Department of Energy Policy, Graduate School of Energy & Environment, Seoul National University of Science & Technology, 232 Gongreung-Ro, Nowon-Gu, Seoul 01811, Korea
Sustainability 2017, 9(5), 814; https://doi.org/10.3390/su9050814 - 13 May 2017
Cited by 27 | Viewed by 6545
Abstract
Although the production costs and prices of eco-labeled products are higher than those of conventional ones, the use of greener products can lead to better environmental outcomes. Thus, the consumers’ preferences for eco-labeled products should be investigated to understand the potential of markets [...] Read more.
Although the production costs and prices of eco-labeled products are higher than those of conventional ones, the use of greener products can lead to better environmental outcomes. Thus, the consumers’ preferences for eco-labeled products should be investigated to understand the potential of markets with green products. This study attempts to examine the consumers’ preference or willingness to pay (WTP) a premium for eco-labeled products using a specific case study of a 43-inch LED TV, which is a common home appliance in Korea. For this purpose, a contingent valuation survey of 1000 Korean consumers was conducted in June 2016. We used a one-and-one-half-bounded dichotomous choice question to derive the additional WTP responses and a spike model to analyze zero additional WTP responses. The mean additional WTP a premium for the eco-labeled 43-inch LED TV is estimated to be KRW 29,007 (USD 24.8), which is statistically meaningful at the 1% level. This value amounts to 3.9% of the price of a conventional 43-inch LED TV (KRW 750,000 or USD 640.5) and can be interpreted as the external benefit of an eco-labeled LED TV. We can conclude that Korean consumers are ready to pay a significant premium for eco-labeled LED TVs. Moreover, we examined the consumer’s characteristics that affect the probability that the person will be willing to pay a premium for an eco-labeled LED TV and found that it would be effective to set high-income, older, highly-educated, and female consumers with children as marketing targets. Full article
(This article belongs to the Special Issue Sustainable Consumer Behavior)
17 pages, 256 KB  
Article
Decoupling Analysis of China’s Product Sector Output and Its Embodied Carbon Emissions—An Empirical Study Based on Non-Competitive I-O and Tapio Decoupling Model
by Jianbo Hu 1, Shanshan Gui 1 and Wei Zhang 2,*
1 School of Economics, Guizhou University of Finance and Economics, Guiyang 550025, Guizhou, China
2 College of Economics and Management, Nanjing University of Aeronautics and Astronautics, Nanjing 211106, China
Sustainability 2017, 9(5), 815; https://doi.org/10.3390/su9050815 - 15 May 2017
Cited by 16 | Viewed by 4625
Abstract
This paper uses the non-competitive I-O model and the Tapio decoupling model to comprehensively analyze the decoupling relationship between the output of the product sector in China and its embodied carbon emissions under trade openness. For this purpose, the Chinese input and output [...] Read more.
This paper uses the non-competitive I-O model and the Tapio decoupling model to comprehensively analyze the decoupling relationship between the output of the product sector in China and its embodied carbon emissions under trade openness. For this purpose, the Chinese input and output data in 2002, 2005, 2007, 2010, and 2012 are used. This approach is beneficial to identify the direct mechanism for the increased carbon emission in China from a micro perspective and provides a new perspective for the subsequent study about low-carbon economy. The obtained empirical results are as follows: (1) From overall perspective, the decoupling elasticity between the output of the product sector and its embodied carbon emissions decreased. Output and embodied carbon emissions showed a growth link from 2002 to 2005 and a weak decoupling relationship for the rest of the study period. (2) Among the 28 industries in the product sector, the increased growth rate of output in more and more product sectors was no longer accompanied by large CO2 emissions. The number of industries with strong decoupling relationships between output and embodied carbon emissions increased. (3) From the perspective of three industries, the output and embodied carbon emissions in the second and third industries exhibited a growth link only from 2002 to 2005; the three industries presented weak or strong decoupling for the rest of the study period. Through empirical analysis, this paper mainly through the construction of ecological and environmental protection of low carbon agriculture, low carbon cycle industrial system, as well as intensive and efficient service industry to reduce the carbon emissions of China’s product sector. Full article
(This article belongs to the Section Energy Sustainability)
30 pages, 11439 KB  
Article
Urban Flood Adaptation through Public Space Retrofits: The Case of Lisbon (Portugal)
by Maria Matos Silva * and João Pedro Costa
Universidade de Lisboa, Faculdade de Arquitetura, CIAUD, Centro de Investigação em Arquitetura, Urbanismo e Design, Rua Sá Nogueira, Pólo Universitário do Alto da Ajuda, Lisbon 1349-063, Portugal
Sustainability 2017, 9(5), 816; https://doi.org/10.3390/su9050816 - 13 May 2017
Cited by 21 | Viewed by 10490
Abstract
A “Conceptual Framework of flood adaptation measures applicable in the design of public spaces” was previously created with the objective of increasing the rate of successful flood adaptation endeavors, fulfill municipal goals for more adaptive cities and facilitate the initial brainstorming phases of [...] Read more.
A “Conceptual Framework of flood adaptation measures applicable in the design of public spaces” was previously created with the objective of increasing the rate of successful flood adaptation endeavors, fulfill municipal goals for more adaptive cities and facilitate the initial brainstorming phases of a public space design process. This research aims to assess the relevance and applicability of this Conceptual Framework on the particular municipal context of Lisbon. The paper starts by demonstrating the city’s existing vulnerabilities and projected climate change scenarios, where it is possible to confirm that floods are indeed a recurrent phenomenon that will aggravate in the near and distant future. Subsequently, municipal endeavors up to the present time are analyzed with the purpose of assessing if the Conceptual Framework provides additional types of flood adaptation measures that may be considered. In a final stage, additional types of adaptation measures highlighted by the Conceptual Framework are assessed with regard to their application and infrastructural relevance. In light of the presented results, which confirm the infrastructural benefits of the additional measures proposed, new discussions emerge specifically regarding Lisbon’s municipal flood adaptation management and its relation with public space design. Full article
(This article belongs to the Section Sustainable Urban and Rural Development)
Show Figures

Figure 1

12 pages, 4846 KB  
Article
Stochastic Prediction of Wind Generating Resources Using the Enhanced Ensemble Model for Jeju Island’s Wind Farms in South Korea
by Deockho Kim and Jin Hur *
Department of Electrical Engineering, Sangmyung University, Seoul 03016, Korea
Sustainability 2017, 9(5), 817; https://doi.org/10.3390/su9050817 - 14 May 2017
Cited by 4 | Viewed by 4950
Abstract
Due to the intermittency of wind power generation, it is very hard to manage its system operation and planning. In order to incorporate higher wind power penetrations into power systems that maintain secure and economic power system operation, an accurate and efficient estimation [...] Read more.
Due to the intermittency of wind power generation, it is very hard to manage its system operation and planning. In order to incorporate higher wind power penetrations into power systems that maintain secure and economic power system operation, an accurate and efficient estimation of wind power outputs is needed. In this paper, we propose the stochastic prediction of wind generating resources using an enhanced ensemble model for Jeju Island’s wind farms in South Korea. When selecting the potential sites of wind farms, wind speed data at points of interest are not always available. We apply the Kriging method, which is one of spatial interpolation, to estimate wind speed at potential sites. We also consider a wind profile power law to correct wind speed along the turbine height and terrain characteristics. After that, we used estimated wind speed data to calculate wind power output and select the best wind farm sites using a Weibull distribution. Probability density function (PDF) or cumulative density function (CDF) is used to estimate the probability of wind speed. The wind speed data is classified along the manufacturer’s power curve data. Therefore, the probability of wind speed is also given in accordance with classified values. The average wind power output is estimated in the form of a confidence interval. The empirical data of meteorological towers from Jeju Island in Korea is used to interpolate the wind speed data spatially at potential sites. Finally, we propose the best wind farm site among the four potential wind farm sites. Full article
(This article belongs to the Special Issue Wind Energy, Load and Price Forecasting towards Sustainability)
Show Figures

Figure 1

8 pages, 760 KB  
Article
Rural Tourism: Development, Management and Sustainability in Rural Establishments
by Juan-José Villanueva-Álvaro 1, José Mondéjar-Jiménez 1,* and Francisco-José Sáez-Martínez 2
1 Faculty of Social Sciences, University of Castilla-La Mancha, 16071 Cuenca, Spain
2 Faculty of Economic and Business Sciences, University of Castilla-La Mancha, 02071 Albacete, Spain
Sustainability 2017, 9(5), 818; https://doi.org/10.3390/su9050818 - 14 May 2017
Cited by 94 | Viewed by 13293
Abstract
Tourism is one of the economic driving forces of Spain: the consolidation of existing tourist destinations and new market niches encourage an upward trend of tourism. The economic impacts produced by tourism are one of the major concerns of the authorities; the question [...] Read more.
Tourism is one of the economic driving forces of Spain: the consolidation of existing tourist destinations and new market niches encourage an upward trend of tourism. The economic impacts produced by tourism are one of the major concerns of the authorities; the question is whether it is possible to continue growing without compromising our environment. This work attempts to answer this issue by analysing one of the tourism segments with higher growth in recent years: rural tourism. Using a model of partial least squares (PLS), we will analyse the environmental impacts from the point of view of the supply and its relationships with the environmental management conducted. We will also analyse the rural establishments from a global point of view and, depending on their category, explain the factors which determine the sustainable behaviour of providers, and identify that the establishments of low categories have a more sustainable conduct. Full article
Show Figures

Figure 1

21 pages, 8852 KB  
Article
A Comparison between Spatial Econometric Models and Random Forest for Modeling Fire Occurrence
by Chao Song 1, Mei-Po Kwan 2,3, Weiguo Song 1 and Jiping Zhu 1,*
1 State Key Laboratory of Fire Science, University of Science and Technology of China, Hefei 230026, China
2 Department of Geography and Geographic Information Science, University of Illinois at Urbana-Champaign, Champaign, IL 61820, USA
3 Department of Human Geography and Spatial Planning, Faculty of Geosciences, Utrecht University, P.O. Box 80125, 3508 TC Utrecht, The Netherlands
Sustainability 2017, 9(5), 819; https://doi.org/10.3390/su9050819 - 14 May 2017
Cited by 33 | Viewed by 7057
Abstract
Fire occurrence, which is examined in terms of fire density (number of fire/km2) in this paper, has a close correlation with multiple spatiotemporal factors that include environmental, physical, and other socioeconomic predictors. Spatial autocorrelation exists widely and should be considered seriously for modeling [...] Read more.
Fire occurrence, which is examined in terms of fire density (number of fire/km2) in this paper, has a close correlation with multiple spatiotemporal factors that include environmental, physical, and other socioeconomic predictors. Spatial autocorrelation exists widely and should be considered seriously for modeling the occurrence of fire in urban areas. Therefore, spatial econometric models (SE) were employed for modeling fire occurrence accordingly. Moreover, Random Forest (RF), which can manage the nonlinear correlation between predictors and shows steady predictive ability, was adopted. The performance of RF and SE models is discussed. Based on historical fire records of Hefei City as a case study in China, the results indicate that SE models have better predictive ability and among which the spatial autocorrelation model (SAC) is the best. Road density influences fire occurrence the most for SAC, while network distance to fire stations is the most important predictor for RF; they are selected in both models. Semivariograms are employed to explore their abilities to explain the spatial structure of fire occurrence, and the result shows that SAC works much better than RF. We give a further explanation for the generation of residuals between fire density and the common predictors in both models. Therefore, decision makers can make use of our conclusions to manage fire safety at the city scale. Full article
Show Figures

Figure 1

19 pages, 2523 KB  
Article
Multiple Criteria Decision Making (MCDM) Based Economic Analysis of Solar PV System with Respect to Performance Investigation for Indian Market
by Padmanathan K. 1,*, Uma Govindarajan 1, Vigna K. Ramachandaramurthy 2 and Sudar Oli Selvi T. 1
1 Department of Electrical and Electronics Engineering, College of Engineering, Guindy, Anna University, Chennai, Tamilnadu 600025, India
2 Power Quality Research Group, Institute of Power Engineering, Universiti Tenaga Nasional, Kajang 43000, Malaysia
Sustainability 2017, 9(5), 820; https://doi.org/10.3390/su9050820 - 17 May 2017
Cited by 45 | Viewed by 13404
Abstract
Energy market is subject to changing energy demands on a daily basis. The increasing demand for energy necessitates the use of renewable sources and promotes decentralized generation. Specifically, solar PV is preferred in the energy market to meet the increasing energy demand. New [...] Read more.
Energy market is subject to changing energy demands on a daily basis. The increasing demand for energy necessitates the use of renewable sources and promotes decentralized generation. Specifically, solar PV is preferred in the energy market to meet the increasing energy demand. New approaches are preferred in the economic analysis to simulate multiple actor interplays and intermittent behavior in order to predict the increasing complexity in solar PV. In the Indian society, there are various myths and perceptions regarding economics of electricity generated through solar PV system. Therefore, this paper will address the various Life Cycle Cost Analysis (LCCA) and economic analysis for all types of consumers in the Indian electricity market. A detailed economic and performance study is made by considering ten categories and seven sub categories of investment plan for 1 MW solar projects using Multi Criteria Decision Making (MCDM). Analytic Hierarchy Process (AHP) is applied to support the decision. Full article
Show Figures

Figure 1

23 pages, 2030 KB  
Article
Development of Organic Farming in Europe at the Crossroads: Looking for the Way Forward through System Archetypes Lenses
by Natalia Brzezina 1,*, Katharina Biely 2, Ariella Helfgott 3,4, Birgit Kopainsky 5, Joost Vervoort 3,4 and Erik Mathijs 1
1 Sustainable Food Economies Research Group, KU Leuven, 3001 Leuven, Belgium
2 Centre for Environmental Sciences, Hasselt University, 3500 Hasselt, Belgium
3 Environmental Change Institute, University of Oxford, Oxford OX1 3PA, UK
4 Copernicus Institute of Sustainable Development, Utrecht University, 3512 JE Utrecht, The Netherlands
5 System Dynamics Group, University of Bergen, 5020 Bergen, Norway
Sustainability 2017, 9(5), 821; https://doi.org/10.3390/su9050821 - 15 May 2017
Cited by 75 | Viewed by 14488
Abstract
Over the last several decades, policymakers and stakeholders in the European Union (EU) have put considerable effort into increasing the adoption of organic farming, with the overall objective of its sustainable development. However, the growth of the organic sector has come with many [...] Read more.
Over the last several decades, policymakers and stakeholders in the European Union (EU) have put considerable effort into increasing the adoption of organic farming, with the overall objective of its sustainable development. However, the growth of the organic sector has come with many challenges that jeopardize its sustainability. The question then is how to move organic farming in Europe forward and at the same time capitalize on its potential contribution to sustainability? Organic farming in the EU is a highly complex and dynamic food system and as such this question cannot be answered in isolation using a one-dimensional mind-set and tools of the past. In this paper, we use three system archetypes—Limits to Growth, Shifting the Burden and Eroding Goals—to sharpen our ability: (1) to analyze and anticipate difficulties in the development of organic farming in the EU under the current policy measures; and (2) to find effective ways to address these difficulties. A system archetype consists of a generic system structure that leads to unintended behavior over time and effective strategies for changing the structure into one that generates desirable behavior. The analysis reveals that in order to move forward, policymakers and stakeholders should reemphasize fundamental solutions rather than quick fixes that often generate unintended consequences. Specifically, Limits to Growth shows us that the leverage for moving organic farming out of the niche does not necessarily lie in increasing subsidies that push engines of growth, but rather in anticipating and managing its limits arising from, for instance, market dynamics or intrinsic environmental motivation. In turn, Shifting the Burden brings to attention how easily and unnoticeably the EU’s organic farming system can become dependent on third countries thereby undermining its own sustainability. Finally, Eroding Goals highlights that is it important to continuously improve regulatory standards based on an external frame of reference, as otherwise organic farming in the EU will continue on its trajectory towards conventionalization. Full article
Show Figures

Figure 1

15 pages, 1259 KB  
Article
Exploring Interface Problems in Taiwan’s Construction Projects Using Structural Equation Modeling
by Chien-Liang Lin 1 and Chen-Huu Jeng 2,*
1 Department of Construction Engineering, National Kaohsiung First University of Science and Technology, Kaohsiung City 824, Taiwan
2 Graduate Institute of Engineering Science and Technology, National Kaohsiung First University of Science and Technology, Kaohsiung City 824, Taiwan
Sustainability 2017, 9(5), 822; https://doi.org/10.3390/su9050822 - 16 May 2017
Cited by 18 | Viewed by 7259
Abstract
Construction projects are complex systems that inherently contain complex interface problems. This study explored the root causes of interface problems in construction projects using structural equation modeling. This technique is a systematic approach that combines factor analysis and path analysis to investigate the [...] Read more.
Construction projects are complex systems that inherently contain complex interface problems. This study explored the root causes of interface problems in construction projects using structural equation modeling. This technique is a systematic approach that combines factor analysis and path analysis to investigate the causal relationships among multidimensional factors. The literature on construction interface problems was reviewed, and a questionnaire survey was conducted in Taiwan to identify 27 initial factors that cause interface problems in three dimensions: owner, design, and construction. Then, a series of structural equation models (SEMs) was developed to further explore the root causes of the interface problems and their causal relationships. This study has three main findings: (1) poor design causes interface problems; (2) ineffective communication and coordination among the owner, design, and construction dimensions are the main factors that cause construction interface problems; and (3) a lack of communication and coordination has a greater influence on the construction dimension than on the owner and design dimensions. The above findings can be used as important references and sustainable management strategies for academia and decision-makers in the construction industry. Full article
(This article belongs to the Section Economic and Business Aspects of Sustainability)
Show Figures

Figure 1

14 pages, 3873 KB  
Article
Assessment of Spatial Variation of Groundwater Quality in a Mining Basin
by Augustina Clara Alexander 1,*, Julius Ndambuki 1, Ramadhan Salim 1 and Alex Manda 2
1 Department of Civil Engineering, Tshwane University of Technology, Pretoria 0001, South Africa
2 Department of Geological Science and Institute of Coastal Science and Policy, East Carolina University, Greenville, NC 27858, USA
Sustainability 2017, 9(5), 823; https://doi.org/10.3390/su9050823 - 15 May 2017
Cited by 27 | Viewed by 6161
Abstract
Assessment of groundwater quality is vital for the sustainable safe use of this inimitable resource. However, describing the overall groundwater quality condition—particularly in a mining basin—is more complicated due to the spatial variability of multiple contaminants and the wide range of indicators found [...] Read more.
Assessment of groundwater quality is vital for the sustainable safe use of this inimitable resource. However, describing the overall groundwater quality condition—particularly in a mining basin—is more complicated due to the spatial variability of multiple contaminants and the wide range of indicators found in these areas. This study applies a geographic information system (GIS)-based groundwater quality index (GQI) to assess water quality in a mining basin. The study synthesized nine different water quality parameters available—nitrate, sulphate, chloride, sodium, magnesium, calcium, dissolved mineral solids, potassium, and floride ( NO 3 , SO 4 2 , Cl , Na + , Mg 2 + , Ca 2 + , DMS, K + and F )—from 90 boreholes across the basin by indexing them numerically relative to the World Health Organization standards. The study compared data from 2006 and 2011. The produced map indicated a lower GQI of 67 in 2011 compared to 72 in 2006. The maximum GQI of 84.4 calculated using only three parameters ( Mg 2 + , K + and F ) compared well with the GQI of 84.6 obtained using all nine parameters. A noticeable declining groundwater quality trend was observed in most parts of the basin, especially in the south-western and the northern parts of the basin. The temporal variation between the GQIs for 2006 and 2011 indicated variable groundwater quality (coefficient of variation = 15–30%) in areas around the mining field, and even more variability (coefficient of variation >30%) in the south-western and eastern parts of the basin. Full article
(This article belongs to the Section Environmental Sustainability and Applications)
Show Figures

Figure 1

14 pages, 4738 KB  
Article
Unsuccessful Urban Governance of Brownfield Land Redevelopment: A Lesson from the Toxic Soil Event in Changzhou, China
by Chunhui Liu 1, Weixuan Song 2,* and Chen Zhou 3
1 School of Geographic and Oceanographic Sciences, Nanjing University, Nanjing 210093, China
2 Nanjing Institute of Geography and Limnology, Chinese Academy of Sciences, Nanjing 210008, China
3 Biodesign Swette Center for Environmental Biotechnology, Arizona State University, Tempe, AZ 85281, USA
Sustainability 2017, 9(5), 824; https://doi.org/10.3390/su9050824 - 15 May 2017
Cited by 26 | Viewed by 7035
Abstract
A public health crisis in the process of brownfield land redevelopment (BLR) has frequently appeared in the context of promoting industrial upgrading and de-industrialization in China. Recent discussions on the reasons for this problem centered on the lack of laws, standards, and policies [...] Read more.
A public health crisis in the process of brownfield land redevelopment (BLR) has frequently appeared in the context of promoting industrial upgrading and de-industrialization in China. Recent discussions on the reasons for this problem centered on the lack of laws, standards, and policies needed to secure the process of BLR. However, we argue that an urban governance approach to BLR can identify the sources of the problem. This paper discusses a case study of a toxic soil event in Changzhou, China, based on the theoretical framework—the Institutional Industry Complex (IIC). Under the pressure of fiscal distress as well as the requirements of economic growth and urbanization, local governments in China are bound with fiscal revenue from land development and land urbanization and have formed a pro-growth alliance with enterprises, property developers, and even the public. The alliance is defined as the pro-growth IIC of land finance regime in this paper. Due to the path-dependence of the IIC, the conventional pro-growth IIC of land finance regime in China has been circulated, and then transformed into a pro-growth IIC of BLR. As a result, the goal of the pro-growth IIC of BLR is maximizing profit in the process of land development, a goal that is the same as the pro-growth IIC of land finance regime Thus, as the pivotal stockholders of the pro-growth IIC of BLR, local governments, enterprises, and property developers hesitate to pursue a prudent and secure BLR process, which effectively attenuates a series of serious environmental issues and public health crises. That is the root cause of the problem. This study suggests a positive interaction between central and local government, as well as between enterprise and the public to create a sustainable IIC of BLR in future. Full article
(This article belongs to the Section Sustainable Urban and Rural Development)
Show Figures

Figure 1

21 pages, 1538 KB  
Article
Effects of Population and Land Urbanization on China’s Environmental Impact: Empirical Analysis Based on the Extended STIRPAT Model
by Shoufu Lin 1,2, Ji Sun 1, Dora Marinova 3,* and Dingtao Zhao 2
1 School of Economics, FuJian Normal University, Fuzhou 350007, Fujian, China
2 School of Management, University of Science and Technology of China, Hefei 230026, Anhui, China
3 Curtin University Sustainability Policy Institute, Curtin University of Technology, Perth, WA 6845, Australia
Sustainability 2017, 9(5), 825; https://doi.org/10.3390/su9050825 - 15 May 2017
Cited by 48 | Viewed by 10140
Abstract
China has been undergoing a very rapid but unbalanced urbanization, characterized by under-urbanization of its population and faster urbanization of the land. In such a situation, the urbanization of the population and the land may produce different effects on the natural environment. In [...] Read more.
China has been undergoing a very rapid but unbalanced urbanization, characterized by under-urbanization of its population and faster urbanization of the land. In such a situation, the urbanization of the population and the land may produce different effects on the natural environment. In addition, due to substantial inter-regional differences, the influence of urbanization on the environment is likely to vary across regions at different stages of economic and social development. This article expands the basic STIRPAT–Stochastic Impacts by Regression on Population, Affluence and Technology, model by adding industrialization level, foreign trade degree, population urbanization level and land urbanization level. Based on panel data from 2006 to 2014 and using this extended STIRPAT model, the article analyses the effects of the driving forces, especially population urbanization and land urbanization, on the environmental impact for the whole of China as well as on its eastern, middle and western regions. The results indicate that for the whole of China, population urbanization produces a significant negative effect on the environmental impact, while land urbanization has a small, but not statistically significant, positive effect. The effects of population urbanization and land urbanization vary across the eastern, middle and western regions, which are at different stages of economic and social development. Population urbanization and land urbanization have no significant influences on environmental impact in the eastern and middle regions, while in the western region population urbanization has a significant negative influence on environmental impact. The main driving factors of environmental impact remain population, affluence and energy intensity. This study also quantitatively calculates the actual contribution rate of each driving force for the 2006–2014 period. It contributes to understanding the characteristics and key driving forces in each region, allowing for appropriate policy recommendations. Full article
Show Figures

Figure 1

14 pages, 684 KB  
Article
Developing and Understanding Design Interventions in Relation to Industrial Symbiosis Dynamics
by Kasper P.H. Lange 1,2,*, Gijsbert Korevaar 1, Inge F. Oskam 2 and Paulien M. Herder 1
1 Faculty of Technology, Policy and Management, Delft University of Technology, P.O. Box 5, 2600 AA Delft, The Netherlands
2 Faculty of Technology, Amsterdam University of Applied Sciences, P.O. Box 1025, 1000 BA Amsterdam, The Netherlands
Sustainability 2017, 9(5), 826; https://doi.org/10.3390/su9050826 - 16 May 2017
Cited by 9 | Viewed by 7034
Abstract
Symbiotic Urban Agriculture Networks (SUANs) are a specific class of symbiotic networks that intend to close material and energy loops from cities and urban agriculture. Private and public stakeholders in SUANs face difficulties in the implementation of technological and organisational design interventions due [...] Read more.
Symbiotic Urban Agriculture Networks (SUANs) are a specific class of symbiotic networks that intend to close material and energy loops from cities and urban agriculture. Private and public stakeholders in SUANs face difficulties in the implementation of technological and organisational design interventions due to the complex nature of the agricultural and urban environment. Current research on the dynamics of symbiotic networks, especially Industrial Symbiosis (IS), is based on historical data from practice, and provides only partly for an understanding of symbiotic networks as a sociotechnical complex adaptive system. By adding theory and methodology from Design Science, participatory methods, and by using agent-based modelling as a tool, prescriptive knowledge is developed in the form of grounded and tested design rules for SUANs. In this paper, we propose a conceptual Design Science method with the aim to develop an empirically validated participatory agent-based modelling strategy that guides sociotechnical design interventions in SUANs. In addition, we present a research agenda for further strategy, design intervention, and model development through case studies regarding SUANs. The research agenda complements the existing analytical work by adding a necessary Design Science approach, which contributes to bridging the gap between IS dynamics theory and practical complex design issues. Full article
(This article belongs to the Special Issue Diverse Dynamics of Industrial Symbiosis: Emergence and Development)
Show Figures

Figure 1

18 pages, 3354 KB  
Article
Comparative LCA of Alternative Scenarios for Waste Treatment: The Case of Food Waste Production by the Mass-Retail Sector
by Giovanni Mondello 1,*, Roberta Salomone 2,*, Giuseppe Ioppolo 2, Giuseppe Saija 2, Sergio Sparacia 3 and Maria Claudia Lucchetti 1
1 Department of Business Studies, University of Roma Tre, Via Silvio D’Amico n. 77, 00145 Rome, Italy
2 Department of Economics, University of Messina, Piazza Pugliatti n.1, 98122 Messina, Italy
3 Department of Economics, Business and Statistics Science, University of Palermo, Viale delle Scienze, 90128 Palermo, Italy
Sustainability 2017, 9(5), 827; https://doi.org/10.3390/su9050827 - 15 May 2017
Cited by 98 | Viewed by 11406
Abstract
Food waste is one of the most important issues taken into account by the European Union due to its negative environmental, economic and social impacts. The treatment of food waste through recycling processes represents a solution for food waste minimisation. Concerning, in particular, [...] Read more.
Food waste is one of the most important issues taken into account by the European Union due to its negative environmental, economic and social impacts. The treatment of food waste through recycling processes represents a solution for food waste minimisation. Concerning, in particular, the retail sector, it is necessary to define strategies for retail-oriented sustainable food waste management. The aim of this study is to compare the potential environmental impacts related to five scenarios (landfill, incineration, composting, anaerobic digestion and bioconversion through insects) for the disposal/treatment of food waste produced by a mass retail company operating in Messina (Italy) through the application of the Life Cycle Assessment method, in order to find the best treatment solution. Results based on the treatment of a functional unit of 1 tonne of food waste show that the bioconversion scenario represents the most preferable solution considering all of the impact categories analysed through the CML 2 baseline 2000 method, except for Global Warming, for which higher environmental performances are connected to the anaerobic digestion scenario. The incineration and the bioconversion scenarios show the highest environmental benefits when the production of alternative energy sources and valuable materials is evaluated through the inclusion of the avoided productions in the analysis. Full article
Show Figures

Figure 1

20 pages, 9406 KB  
Article
Historical Loss and Current Rehabilitation of Shoreline Habitat along an Urban-Industrial River—Detroit River, Michigan, USA
by John H. Hartig 1,* and David Bennion 2
1 U.S. Fish and Wildlife Service, Detroit River International Wildlife Refuge, 9311 Groh Road, Grosse IIe, MI 48138, USA
2 U.S. Geological Survey, Great Lakes Science Center, 1451 Green Road, Ann Arbor, MI 48105, USA
Sustainability 2017, 9(5), 828; https://doi.org/10.3390/su9050828 - 15 May 2017
Cited by 14 | Viewed by 6740
Abstract
The purpose of this study was to evaluate the historical loss and current shoreline habitat rehabilitation efforts along the urban-industrial Detroit River using geographical information system methods and a shoreline survey. This study found a 97% loss of historical coastal wetlands to human [...] Read more.
The purpose of this study was to evaluate the historical loss and current shoreline habitat rehabilitation efforts along the urban-industrial Detroit River using geographical information system methods and a shoreline survey. This study found a 97% loss of historical coastal wetlands to human development. By 1985, 55% of the U.S. mainland shoreline had been hardened with steel sheet piling or concrete breakwater that provide limited habitat. Since 1995, 19 projects were implemented, improving 4.93 km of shoreline habitat. A comparison of the 1985 and 2015 georeferenced aerial imagery showed that 2.32 km of soft shoreline was also converted to hard shoreline during this timeframe. Of the 19 projects surveyed, 11 representing 3.35 km made habitat improvements to shoreline that was already georeferenced as “soft“, three representing 360 m converted shoreline from “hard” to “soft”, and five representing 1.22 km added incidental habitat to hardened shoreline. Even with the addition of 1.58 km of new soft shoreline and incidental habitat, there was an overall net loss of 0.74 km of soft shoreline over the 30-year timeframe. To reach the “good” state of at least 70% soft shoreline, an additional 12.1 km of soft shoreline will have to be added. This confirms that shoreline hardening continues despite the best efforts of resource managers and conservation organizations. Resource managers must become opportunistic and get involved up front in urban waterfront redevelopment projects to advocate for habitat. Incremental progress will undoubtedly be slow following adaptive management. Full article
(This article belongs to the Section Sustainable Urban and Rural Development)
Show Figures

Figure 1

23 pages, 1349 KB  
Article
Green Shipping Practices of Shipping Firms
by Young-Tae Chang * and Denise Danao
Graduate School of Logistics, Inha University, Incheon 22212, Korea
Sustainability 2017, 9(5), 829; https://doi.org/10.3390/su9050829 - 15 May 2017
Cited by 32 | Viewed by 13436
Abstract
The primary objective of this study is to provide an empirical research using structural equation modeling to identify the factors that motivate shipping firms to adopt green shipping practices (GSP). Furthermore, it also examines if adopting GSP can enhance the shipping firms’ environmental [...] Read more.
The primary objective of this study is to provide an empirical research using structural equation modeling to identify the factors that motivate shipping firms to adopt green shipping practices (GSP). Furthermore, it also examines if adopting GSP can enhance the shipping firms’ environmental and productivity performance. The findings show that shipping firms are motivated to adopt GSP mostly by industrial norms set by institutionalized associations. They are also motivated by customers’ demand for environmental friendliness and their own strategy to make good image. Unlike our expectation, government regulations and international environmental laws are not significant in influencing shipping firms to adopt GSP. Moreover, adoption of green shipping practices can improve the environmental and productivity performance of the shipping firms. Full article
Show Figures

Figure 1

11 pages, 796 KB  
Article
Perceptions of Rural Consumers on the Aspects of Meat Quality and Health Implications Associated With Meat Consumption
by Nomasonto M. Xazela 1,*, Arno Hugo 2, Upenyu Marume 3 and Voster Muchenje 1
1 Department of Livestock and Pasture Science, University of Fort Hare, P. Bag X1314, Alice 5700, South Africa
2 Department of Microbial Biochemical and Food Biotechnology, University of Free State, P.O. Box 339, Bloemfontein 9300, South Africa
3 School of Agricultural Sciences, North-West University, P. Bag X2046, Mmabatho 2735, South Africa
Sustainability 2017, 9(5), 830; https://doi.org/10.3390/su9050830 - 15 May 2017
Cited by 32 | Viewed by 6093
Abstract
This study was conducted to determine the perceptions of rural low-income consumers on meat quality and health issues associated with meat consumption. A total of 466 consumers in the Eastern Cape (EC) Province (South Africa (SA)) were randomly sampled, and principal component analyses [...] Read more.
This study was conducted to determine the perceptions of rural low-income consumers on meat quality and health issues associated with meat consumption. A total of 466 consumers in the Eastern Cape (EC) Province (South Africa (SA)) were randomly sampled, and principal component analyses (PCA) were used to analyse the data. With regard to purchasing decisions, correlation analysis was performed to establish the relationships between actual scores and mean scores so as to determine purchase motives and decisions. The major purchase point mentioned by all consumers was the supermarket (65%), and the reasons were that this purchase point was the most hygienic and the meat was fresh (35%). The estimated relationship showed a significant association between products consumed at home and the source of income of consumers. With regard to consumption patterns and health issues, most consumers were aware of nutritional balance issues (64%), and most were aware of the health risks associated with meat consumption (59%). It was concluded that consumer perceptions on the meat quality aspects associated with health and consumption patterns are affected by disposable income and cultural background. Full article
Show Figures

Figure 1

13 pages, 995 KB  
Article
Socioeconomic Perspectives on Household Chestnut Fruit Utilization and Chestnut Blight Prevention Efforts in Turkey
by Taner Okan 1, Coşkun Köse 2,* and Jeffrey R. Wall 3
1 Faculty of Forestry, Department of Forestry Economics, Istanbul University, Bahçeköy, İstanbul 34473, Turkey
2 Faculty of Forestry, Department of Forest Biology and Wood Protection Technology, Istanbul University, Bahçeköy, İstanbul 34473, Turkey
3 Department of Natural Resources, Cornell University, 111 Fernow Hall, Ithaca, NY 14850, USA
Sustainability 2017, 9(5), 831; https://doi.org/10.3390/su9050831 - 15 May 2017
Cited by 5 | Viewed by 4445
Abstract
Exotic pathogens, within the center of genetic diversity for the species, compromise European chestnut populations in Turkey. In Turkey today, the species is of tremendous economic, ecological and cultural importance. At this time of severe exotic pathogenic pressure on a highly-valued forest species, [...] Read more.
Exotic pathogens, within the center of genetic diversity for the species, compromise European chestnut populations in Turkey. In Turkey today, the species is of tremendous economic, ecological and cultural importance. At this time of severe exotic pathogenic pressure on a highly-valued forest species, we ask, how does awareness of diseases and treatments as well as value for chestnut trees affect the efforts of households to manage pests and diseases of chestnut trees in Turkey? We conducted 96 surveys in 34 villages in 10 provinces across Turkey to investigate awareness of diseases and other challenges to the chestnut population, chestnut harvesting habits, family value for chestnuts and efforts to mitigate pest and disease pressure. We analyze our results using cluster and regression analysis. Our results show that based on analysis of all observed characteristics, our research sites in Turkey break cleanly into groups based on production level. Further, results demonstrate significant correlation between amount of chestnut-derived income and awareness of pests and diseases as well as the likelihood of households enacting disease mitigation measures. These results also demonstrate correlation between observed awareness of diseases and pests and the likelihood of households enacting disease mitigation measures. Full article
Show Figures

Figure 1

19 pages, 13662 KB  
Article
A Spatially Explicit Optimization Model for Agricultural Straw-Based Power Plant Site Selection: A Case Study in Hubei Province, China
by Xiang Zhao 1, Xiaoya Ma 1,2,*, Kun Wang 1,3, Yuqing Long 1,4, Dongjie Zhang 1 and Zhanchun Xiao 1,5,*
1 School of Resource and Environmental Science, Wuhan University, Wuhan 430079, China
2 Department of Geography and Earth Sciences, University of North Carolina at Charlotte, 9201 University Boulevard, Charlotte, NC 28223, USA
3 Department of Land Management, Zhejiang University, Hangzhou 310058, China
4 College of Urban and Environmental Sciences, Peking University, Beijing 100871, China
5 Journal of Natural Science of Wuhan University, Wuhan 430072, China
Sustainability 2017, 9(5), 832; https://doi.org/10.3390/su9050832 - 16 May 2017
Cited by 8 | Viewed by 5194
Abstract
Using agricultural straw to generate electricity is an effective approach for relieving the pressure of procuring a reliable energy supply and reducing environmental pollution. Because the locations of the power plants have a significant impact on the supply of raw materials and the [...] Read more.
Using agricultural straw to generate electricity is an effective approach for relieving the pressure of procuring a reliable energy supply and reducing environmental pollution. Because the locations of the power plants have a significant impact on the supply of raw materials and the cost of transportation, it is important to choose reasonable locations for power plants. To solve the problem of straw-based power plant site selection (SPPSS), in this paper, a spatially explicit optimization model is proposed. Compared to the existing research, the present study makes the following major contributions: (1) The agricultural land quality evaluation dataset, combined with the cropping system and theoretical yield information, is used as the basic data to estimate agricultural straw yields, thereby increasing the accuracy of the straw yield and spatial distribution estimates. (2) Geographic information system (GIS) techniques are employed to improve an artificial immune system (AIS), which is an effective and flexible approach for solving optimization problems. The Chinese province of Hubei is selected as the experimental area to evaluate the effectiveness of the proposed model. The experimental results demonstrate that of the 34.89 million tons of agricultural straw produced in Hubei Province each year, 17.45 million tons can be used for electricity generation. The optimization schemes generated by the proposed model are feasible. Our results are expected to provide an important decision-making basis for straw-based power plant (SPP) development planning in Hubei Province. Full article
Show Figures

Graphical abstract

25 pages, 4978 KB  
Technical Note
A Note on Medium- and Long-Term Global Energy Prospects and Scenarios
by Carlo Andrea Bollino 1, Francesco Asdrubali 2, Paolo Polinori 1, Simona Bigerna 1, Silvia Micheli 1, Claudia Guattari 2 and Antonella Rotili 3,*
1 Department of Economics, University of Perugia, Via A. Pascoli 20, 06125 Perugia, Italy
2 Department of Engineering, Roma TRE University, Via Vito Volterra 62, 00146 Rome, Italy
3 Department of Engineering, University of Perugia, Via G. Duranti 93, 06125 Perugia, Italy
Sustainability 2017, 9(5), 833; https://doi.org/10.3390/su9050833 - 16 May 2017
Cited by 20 | Viewed by 8376
Abstract
The paper presents recent and future trends of the world energy market, as highlighted by medium- and long-term projections. Energy demand and energy consumptions projected by IEA (International Energy Agency) are examined, in comparison with projections provided by other international agencies and companies [...] Read more.
The paper presents recent and future trends of the world energy market, as highlighted by medium- and long-term projections. Energy demand and energy consumptions projected by IEA (International Energy Agency) are examined, in comparison with projections provided by other international agencies and companies in the energy sector. In particular, energy resources, energy consumption and economic growth both in developing and developed countries are presented, with a particular attention to the role of energy efficiency, nuclear power, unconventional fossil resources and renewable energies. Sustainable development issues, according to the global climate agreement signed at COP21, are also presented. The outlook period extends up to 2040. The results confirm a worldwide interest in renewable and unconventional resources for the forthcoming decades, as well as efforts to increase the energy efficiency potential in all end-use sectors to reduce the overall environmental impact of energy production. Full article
Show Figures

Figure 1

14 pages, 420 KB  
Article
The Relationship between Training Satisfaction and the Readiness to Transfer Learning: The Mediating Role of Normative Commitment
by Jamal Ben Mansour 1,*, Abdelhadi Naji 1 and André Leclerc 2
1 Human Resources Department, University of Quebec in Trois-Rivières, 3351 des Forges BLVD, P.O. Box 500, Trois-Rivières, QC G9A 5H7, Canada
2 Administration Department, University of Moncton, 18 Antonine-Maillet Avenue, Moncton, NB E1A 3E9, Canada
Sustainability 2017, 9(5), 834; https://doi.org/10.3390/su9050834 - 16 May 2017
Cited by 26 | Viewed by 8024
Abstract
Organizations are becoming increasingly demanding in regard to training cost rationalization and justification, and to the associated result achievement obligation. In practice, these pressures result in the introduction of more or less adequate efficiency indicators in relation to training programs. The goal of [...] Read more.
Organizations are becoming increasingly demanding in regard to training cost rationalization and justification, and to the associated result achievement obligation. In practice, these pressures result in the introduction of more or less adequate efficiency indicators in relation to training programs. The goal of this study is to understand the relationship between training and training efficiency indicators at the individual level, using a mediation model. This study proposes a three-factor mediation model estimated using a databank of 578 cases. The results first show a positive relation between training satisfaction and normative commitment. Normative commitment has a positive effect on readiness to transfer learning and a negative effect on absenteeism. Theoretical and practical implications are discussed in light of these findings. Full article
(This article belongs to the Section Economic and Business Aspects of Sustainability)
Show Figures

Figure 1

21 pages, 2446 KB  
Article
Low Carbon Strategy Analysis of Competing Supply Chains with Different Power Structures
by Bin Liu *, Tao Li and Sang-Bing Tsai *
School of Economics and Management, Shanghai Maritime University, Shanghai 201306, China
Sustainability 2017, 9(5), 835; https://doi.org/10.3390/su9050835 - 16 May 2017
Cited by 66 | Viewed by 6173
Abstract
This paper investigates the emission reduction performance for supply chain members in both single-channel and exclusive dual-channel cases. Two game scenarios (Manufacturer Stackelberg and Retailer Stackelberg) are examined under different channel structures. Furthermore, we introduce government subsidies as an impact factor of low-carbon [...] Read more.
This paper investigates the emission reduction performance for supply chain members in both single-channel and exclusive dual-channel cases. Two game scenarios (Manufacturer Stackelberg and Retailer Stackelberg) are examined under different channel structures. Furthermore, we introduce government subsidies as an impact factor of low-carbon strategy adoption. In the single-channel (Case 1), we mainly examine the influence of consumers’ price-sensitivity on channel members’ optimal decisions. In the dual-channel (Case 2), we focus on the joint impact of product substitutability and different channel power structures on the optimal decisions under asymmetric related channel status. The analysis suggests that the Stackelberg leaders always perform better than their corresponding followers before emission reduction, while they may not necessarily yield more benefits after emission reduction. The implementation of low-carbon strategy depends on parameters like product substitutability and channel base demand. Finally, all the supply chain members will encounter a Prisoner’s Dilemma when the product substitutability is relatively high. Full article
Show Figures

Figure 1

15 pages, 3518 KB  
Article
Assessing the Potential Benefits and Limits of Electric Storage Heaters for Wind Curtailment Mitigation: A Finnish Case Study
by Mubbashir Ali *, Jussi Ekström and Matti Lehtonen
Department of Electrical Engineering and Automation, Aalto University, 02150 Espoo, Finland
Sustainability 2017, 9(5), 836; https://doi.org/10.3390/su9050836 - 16 May 2017
Cited by 6 | Viewed by 4239
Abstract
Driven by policy changes and technological advancement, wind power installations are booming as compared to any other types of power generation. However, the increased penetration of renewable generation in the power systems has resulted in high level of curtailment. Advanced energy storage technologies [...] Read more.
Driven by policy changes and technological advancement, wind power installations are booming as compared to any other types of power generation. However, the increased penetration of renewable generation in the power systems has resulted in high level of curtailment. Advanced energy storage technologies have been increasingly scrutinized as a feasible mitigation option in smart grids. This paper investigates the potential of mitigating wind generation curtailment via aggregating the domestic electric storage heaters. The key findings show that aggregating domestic thermal storages is a viable option for curtailment mitigation, but with the indispensable caution that mitigation potential significantly saturates as the share of wind generation escalates beyond a certain limit. Full article
(This article belongs to the Special Issue Wind Energy, Load and Price Forecasting towards Sustainability)
Show Figures

Figure 1

23 pages, 3173 KB  
Article
Measuring the Vulnerability of an Energy Intensive Sector to the EU ETS under a Life Cycle Approach: The Case of the Chlor-Alkali Industry
by Isabel Garcia-Herrero *, Maria Margallo, Jara Laso, Raquel Onandía, Angel Irabien and Ruben Aldaco
Departamento de Ingenierías Química y Biomolecular, Universidad de Cantabria, Avda. de los Castros, s/n., 39005 Santander, Cantabria, Spain
Sustainability 2017, 9(5), 837; https://doi.org/10.3390/su9050837 - 17 May 2017
Cited by 7 | Viewed by 6908
Abstract
The EU Emissions Trading System (EU ETS), which is a cornerstone of the EU’s policy to combat climate change, has been criticised by its effects on the competitiveness of intensive energy demanding industries, and in particular, of the chlor-alkali sector. The main chlorine [...] Read more.
The EU Emissions Trading System (EU ETS), which is a cornerstone of the EU’s policy to combat climate change, has been criticised by its effects on the competitiveness of intensive energy demanding industries, and in particular, of the chlor-alkali sector. The main chlorine application in Europe is the production of polyvinyl chloride (PVC) from ethylene dichloride (EDC) as intermediate. Since chlorine is mainly traded in terms of derivatives, the aim of this work is to assess the vulnerability of the European chlor-alkali industry to chlorine replacement by imported EDC. An Energetic, Economic and Environmental Sustainability Assessment (EEESA) methodology is proposed based on the main variables affecting EDC production. Moreover, the influence of the EU ETS compensation measures and the emission allowance price in the current (mercury, diaphragm and membrane) and emergent (oxygen-depolarized cathodes (ODC)) technologies is studied. The most vulnerable scenarios become mercury and diaphragm technologies due to energy consumption. However, the salt price dependency on the quality requirements substantially influences the EEESA results. This analysis also shows the importance of hydrogen valorisation, whose major impact is observed in ODC scenario. Full article
Show Figures

Figure 1

16 pages, 239 KB  
Review
Decision-Making and Building Resilience to Nexus Shocks Locally: Exploring Flooding and Heatwaves in the UK
by Candice Howarth * and Katya Brooks
Faculty of Art and Social Sciences, University of Surrey, Guildford GU2 7XH, UK
Sustainability 2017, 9(5), 838; https://doi.org/10.3390/su9050838 - 16 May 2017
Cited by 11 | Viewed by 4890
Abstract
There has been a policy shift towards localism in the UK driving responses and decision-making processes to respond to the impacts of climate change. This shift capitalizes on local expertise and knowledge, empowering communities to take ownership of response strategies, with an increased [...] Read more.
There has been a policy shift towards localism in the UK driving responses and decision-making processes to respond to the impacts of climate change. This shift capitalizes on local expertise and knowledge, empowering communities to take ownership of response strategies, with an increased focus on building resilience to nexus shocks. This comes at a time when the ability of local authorities to lead responses to nexus shocks is decreasing due to lack of capacity, funding and a statutory requirement to better respond to the impacts of climate change. We examine local resilience to nexus shocks and climate impacts as a complex process of collaboration, communication, adaptation, learning from past events and preparing for future shocks. Drawing on examples of resilience to extreme weather events in the UK, this review paper assesses: (1) local responses to nexus shocks in the UK; (2) how and what evidence is used to inform decision-making in response to nexus shocks; and (3) how stakeholders increase local resilience to nexus shocks when faced with gaps in knowledge. We outline possible ways to extrapolate these insights beyond the UK context. Full article
18 pages, 1832 KB  
Article
Factors Influencing Farmer Willingness to Fallow Winter Wheat and Ecological Compensation Standards in a Groundwater Funnel Area in Hengshui, Hebei Province, China
by Hualin Xie 1,*, Lingjuan Cheng 2 and Tiangui Lv 2
1 Institute of Ecological Civilization, Jiangxi University of Finance and Economics, Nanchang 330013, China
2 School of Tourism and Urban Management, Jiangxi University of Finance and Economics, Nanchang 330032, China
Sustainability 2017, 9(5), 839; https://doi.org/10.3390/su9050839 - 16 May 2017
Cited by 38 | Viewed by 6514
Abstract
Land use/land cover change will have a certain impact on the regional ecological environment. This study uses the questionnaire survey method, an opportunity cost method and a logistic model to evaluate the suitability of an ecological compensation standard for a winter- wheat-fallow cropping [...] Read more.
Land use/land cover change will have a certain impact on the regional ecological environment. This study uses the questionnaire survey method, an opportunity cost method and a logistic model to evaluate the suitability of an ecological compensation standard for a winter- wheat-fallow cropping system in a groundwater funnel area in Hebei. The main factors affecting farmers’ willingness to fallow fields provide a theoretical basis for scientifically and rationally developing a rotation policy in the groundwater funnel area. The results indicate the following: (1) nearly 87% of the surveyed farmers would accept a winter-wheat-fallow policy, whereas 13% would not; (2) farmer educational level, the total number of participants in the agricultural labor force, dependency rate, farmers’ attitudes toward a winter wheat-fallow policy in the groundwater funnel area and the farmer level of trust in government policy have significant positive effects farmer intention to fallow, whereas the number of days of participation in farming, the cultivated land quality and the per capita area of cultivated land have a significant negative effect on farmers’ fallowing intentions; (3) considering only the impact of winter wheat on groundwater, the proposed compensation standard for farmers who accept the policy is 0.00095 $/hm2; (4) some policy implications are put forward to improve the effectiveness of the winter wheat fallowing policy in the groundwater funnel. Full article
(This article belongs to the Special Issue Sustainable Land Use in China)
Show Figures

Figure 1

23 pages, 1897 KB  
Review
Healthcare in the Smart Home: A Study of Past, Present and Future
by Jamie Bennett *, Osvaldas Rokas and Liming Chen
School of Computer Science and Informatics, De Montfort University, Leicester LE1 9BH, UK
Sustainability 2017, 9(5), 840; https://doi.org/10.3390/su9050840 - 17 May 2017
Cited by 75 | Viewed by 18258
Abstract
Ubiquitous or Pervasive Computing is an increasingly used term throughout the technology industry and is beginning to enter the consumer electronics space in its most recent form under the umbrella term: “Internet of Things”. One area of focus is in augmenting the home [...] Read more.
Ubiquitous or Pervasive Computing is an increasingly used term throughout the technology industry and is beginning to enter the consumer electronics space in its most recent form under the umbrella term: “Internet of Things”. One area of focus is in augmenting the home with intelligent, networked sensors and computers to create a Smart Home which opens a host of possibilities for the role of tomorrow’s dwelling. As the world’s population continues to live longer and consequently experience more medical-related ailments, at the same time institutional healthcare is struggling to cope, the role of the Smart Home becomes paramount to monitoring a dweller’s health and providing any necessary intervention. This study looks at the history of Smart Home Healthcare, current research areas, and potential areas of future investigation. Unique categorisations are presented in Activities of Daily Living (ADL) and Personal Sensors, and a thorough look at the application of Smart Home Healthcare is presented. Technology can augment traditional methods of healthcare delivery and in some cases completely replace it. Costs can be reduced and medical adherence can be increased, all of which contribute to a more sustainable and effective model of care. Full article
(This article belongs to the Special Issue The Advent of Smart Homes)
Show Figures

Figure 1

16 pages, 6874 KB  
Article
Effects of Liquid Organic Fertilizers on Plant Growth and Rhizosphere Soil Characteristics of Chrysanthemum
by Rongting Ji 1,2, Gangqiang Dong 3, Weiming Shi 1 and Ju Min 1,*
1 State Key Laboratory of Soil and Sustainable Agriculture, Institute of Soil Science, Chinese Academy of Sciences, Nanjing 210008, China
2 University of the Chinese Academy of Sciences, Beijing 100049, China
3 Amway (China) Botanical R&D Center, Wuxi 214115, China
Sustainability 2017, 9(5), 841; https://doi.org/10.3390/su9050841 - 18 May 2017
Cited by 70 | Viewed by 26896
Abstract
Organic fertilizers are generally thought to be an effective way to sustain soil fertility and plant growth. To promote the productivity of chrysanthemum, five sources of liquid organic fertilizers (L1–L5), as well as a chemical fertilizer, were applied at an early stage of [...] Read more.
Organic fertilizers are generally thought to be an effective way to sustain soil fertility and plant growth. To promote the productivity of chrysanthemum, five sources of liquid organic fertilizers (L1–L5), as well as a chemical fertilizer, were applied at an early stage of the growth cycle to investigate their effects on plant growth. In the short-term pot experiment, the liquid organic fertilizers significantly promoted root and aboveground growth by 10.2–77.8% and 10.7–33.3%, respectively, compared with the chemical fertilizer. The order of growth promotion was: L1 (shrimp extracts) > L2 (plant decomposition) > L4 (seaweed extracts)/L5 (fish extracts) > L3 (vermicompost). Morphological and chemical analyses indicated that, compared with other organic fertilizers, the treatment with shrimp extract (L1) produced the greatest increases in root dry weight, total length, surface area, volume, tips, and thick root length, respectively. Furthermore, the shrimp extract treatment significantly increased the nutrient contents and altered the soil’s functional microbial community at the rhizospheric level compared with the chemical fertilizer treatment. Thus, the shrimp extract liquid organic fertilizer could be part of an effective alternative to chemical fertilization during the early stage of chrysanthemum growth. Full article
(This article belongs to the Section Sustainable Agriculture)
Show Figures

Figure 1

33 pages, 5453 KB  
Article
Do Forwarders Improve Sustainability Efficiency? Evidence from a European DEA Malmquist Index Calculation
by Matthias Klumpp 1,2
1 Department of Industrial Engineering and Business Information Systems (IEBIS), University of Twente, Drienerlolaan 5, 7522 NB Enschede, The Netherlands
2 Institute for Logistics and Service Management, FOM University of Applied Sciences, Leimkugelstr. 6, 45141 Essen, Germany
Sustainability 2017, 9(5), 842; https://doi.org/10.3390/su9050842 - 18 May 2017
Cited by 25 | Viewed by 8480
Abstract
Sustainability performance and efficiency is an important topic in transportation and for forwarders. This is shown, for example, by the fact that major logistics service providers LSP publish sustainability reports, often within the annual legal business report. However, in depth research is missing [...] Read more.
Sustainability performance and efficiency is an important topic in transportation and for forwarders. This is shown, for example, by the fact that major logistics service providers LSP publish sustainability reports, often within the annual legal business report. However, in depth research is missing regarding the efficiency of forwarders regarding the established triple bottom line approach for sustainability, including economic, social, and ecology performance areas. This is especially true for a dynamic time-series perspective, as usually only static analyses for one point in time are presented (in most cases single business years). Therefore, the operations research technique of a data envelopment analysis (DEA) Malmquist index calculation is used in order to provide a longitudinal calculation of efficiency, incorporating multiple objectives regarding the triple bottom line approach for European forwarders. Several indicators are tested, including total revenues and assets as input types, profit (EBIT) and dividend volume (economic dimension), employment and gender equality in management (social), and carbon-equivalent emissions (environmental) as output types. Full article
(This article belongs to the Section Economic and Business Aspects of Sustainability)
Show Figures

Figure 1

21 pages, 3805 KB  
Article
Assessing Environmental Impact Indicators in Road Construction Projects in Developing Countries
by Mohamed Marzouk 1, Eslam Mohammed Abdelkader 2, Mohamed El-zayat 3,* and Ahmed Aboushady 4,*
1 Construction Engineering and Management, Structural Engineering Department, Faculty of Engineering, Cairo University, Giza 12613, Egypt
2 Structural Engineering Department, Faculty of Engineering, Cairo University, Giza 12613, Egypt
3 Integrated Engineering Design Management Program, Cairo University, Giza 12613, Egypt
4 Building, and Construction Department, Faculty of Engineering, 6 October University, Giza 12585, Egypt
Sustainability 2017, 9(5), 843; https://doi.org/10.3390/su9050843 - 17 May 2017
Cited by 52 | Viewed by 17255
Abstract
Environmental pollution is considered to be one of the main concerns in the construction industry. Environmental pollution has become a major challenge to construction projects due to the huge amount of pollution caused by construction projects. There are different types of environmental impact [...] Read more.
Environmental pollution is considered to be one of the main concerns in the construction industry. Environmental pollution has become a major challenge to construction projects due to the huge amount of pollution caused by construction projects. There are different types of environmental impact indicators, such as the greenhouse gas (GHG) footprint, eutrophication potential (EP), acidification potential (AP), human health (HH) particulate, ozone depletion, and smog. Each of these environmental impact indicators can be linked to different phases of the construction projects. The overall environmental impact indicators can be divided into direct, indirect, and operational emissions. This paper presents a Building Information Modeling (BIM)-based methodology for the assessment of environmental impacts in road construction projects. The model takes into account the overall life cycle of the road construction project, which is divided into: manufacturing phase, transportation phase, construction phase, maintenance phase, operational phase, recycling phase, and deconstruction phase. A case study is presented to demonstrate the applicability of the proposed model. The proposed model solves a major problem for road construction project teams who want to assess the environmental impact indicators associated with their project prior to the start of the execution of their projects. Full article
Show Figures

Graphical abstract

16 pages, 1298 KB  
Article
Alternative Approaches to Food: Community Supported Agriculture in Urban China
by Kees Krul 2 and Peter Ho 1,2,*
1 Minzu University of China, No. 27 Zhongguancun South Street, Beijing 100081, China
2 Delft University of Technology, Faculty of Technology, Policy and Management, P.O. Box 5015, 2600 GA Delft, The Netherlands
Sustainability 2017, 9(5), 844; https://doi.org/10.3390/su9050844 - 18 May 2017
Cited by 49 | Viewed by 10481
Abstract
One of the most remarkable features of China’s development path is its large-scale and fast-paced urbanization. As cities already accommodate more than half of China’s population, new challenges to urban food systems have emerged concurrently. Concerns over environmental degradation and food safety have [...] Read more.
One of the most remarkable features of China’s development path is its large-scale and fast-paced urbanization. As cities already accommodate more than half of China’s population, new challenges to urban food systems have emerged concurrently. Concerns over environmental degradation and food safety have provoked growing dissatisfaction with China’s food regime. Amidst these concerns, the aim of this paper is to study the role of new and alternative approaches to food, focusing in on the question of how community supported agriculture (CSA) can deal with the food-related issues emerging from China’s development. The paper adopts Granovetter’s notions of social embeddedness to describe CSA’s relational role in consumer-farmer dynamics, as well as the structural role within its broader relational context. Empirical data is drawn from surveys distributed among CSA farms, and interviews with key stakeholders in the Chinese CSA movement. The study finds that the model of CSA demonstrates an innovative approach to deal with food safety issues, address sustainability, and operate in an environment where future food demands are most critical. Although the movement’s structural embeddedness is bound by several limitations and contradictions, it is argued that the CSA model offers important insights and adds value into ameliorating China’s food systems. Full article
(This article belongs to the Special Issue City Region Foodscapes)
Show Figures

Figure 1

14 pages, 244 KB  
Perspective
Sustopia or Cosmopolis? A Critical Reflection on the Sustainable City
by Carijn Beumer
Department of Health, Ethics and Society, Maastricht University, 6200MD Maastricht, The Netherlands
Sustainability 2017, 9(5), 845; https://doi.org/10.3390/su9050845 - 18 May 2017
Cited by 7 | Viewed by 8824
Abstract
A broader perspective on the role of cities and their relation to their inhabitants and the planet is essential to effectively answer urgent sustainability questions that emerge in and beyond cities. This essay provides a critical reflection on the notion of the sustainable [...] Read more.
A broader perspective on the role of cities and their relation to their inhabitants and the planet is essential to effectively answer urgent sustainability questions that emerge in and beyond cities. This essay provides a critical reflection on the notion of the sustainable city. The central question discussed is: how can the ideal of a sustainable city be best conceptualised? Through exploring historic and contemporary theories on the urban-nature-people relationship and analysing some current sustainable city projects with the help of Cultural Theory, it is argued that creating a sustainable city paradoxically means parting with Sustopia. Sustopia often turns into Dystopia when a single perspective on constructing a sustainable city becomes dominant. In order to assist the process of meaningfully conceptualising the sustainable city, the notion of Cosmopolis is re-explored. This notion of a city embraces creativity, critical practice, adaptation, and it places urban development and planning in a context of multiple spatial and temporal scales. Full article
15 pages, 257 KB  
Article
Patent Citations and Financial Analysts’ Long-Term Growth Forecasts
by Jincheol Bae 1, Wonchang Hur 1,*, Jaehong Lee 2 and Jaimin Goh 1
1 College of Business Administration, Inha University, Incheon 22212, Korea
2 College of Business Administration, Sangmyung University, Seoul 03016, Korea
Sustainability 2017, 9(5), 846; https://doi.org/10.3390/su9050846 - 19 May 2017
Cited by 8 | Viewed by 4877
Abstract
This paper examines the influence of patent citations, a proxy for the quality of firms’ innovation outputs, on financial analysts’ long-term growth forecasts for firms. We find that financial analysts are more likely to issue long-term forecasts for firms with higher patent citations. [...] Read more.
This paper examines the influence of patent citations, a proxy for the quality of firms’ innovation outputs, on financial analysts’ long-term growth forecasts for firms. We find that financial analysts are more likely to issue long-term forecasts for firms with higher patent citations. In addition, we find that financial analysts’ long-term forecasts are more positive for firms with high patent citations. These results imply that patent citations increase financial analysts’ coverage, and result in more positive forecasts for firms with impactful patents. Considering that financial analysts play important roles in allocating financial resources in capital markets, our findings suggest that patents are valuable assets for firms in securing capital from capital markets, and are thus essential for the sustainable growth of firms. Full article
(This article belongs to the Section Economic and Business Aspects of Sustainability)
20 pages, 265 KB  
Article
Adoption and Use of Low-Carbon Technologies: Lessons from 100 Finnish Pilot Studies, Field Experiments and Demonstrations
by Eva Heiskanen 1,*, Kaarina Hyvönen 1, Senja Laakso 1, Päivi Laitila 2, Kaisa Matschoss 1 and Irmeli Mikkonen 2
1 Consumer Society Research Centre, Department of Political and Economic Studies, University of Helsinki, 00014 Helsinki, Finland
2 Motiva Ltd., 00100 Helsinki, Finland
Sustainability 2017, 9(5), 847; https://doi.org/10.3390/su9050847 - 18 May 2017
Cited by 34 | Viewed by 6492
Abstract
Experimentation is critical for the deployment of low-carbon technologies. New solutions need to be selected and adapted to their contexts of use, and users need to learn new skills. Society as a whole needs to create new modes of production, consumption and governance. [...] Read more.
Experimentation is critical for the deployment of low-carbon technologies. New solutions need to be selected and adapted to their contexts of use, and users need to learn new skills. Society as a whole needs to create new modes of production, consumption and governance. We investigated how local pilot projects, demonstrations and trials of low-carbon technologies promote learning in Finnish society, where the government has made a commitment to a culture of experimentation. We drew on a database of 100 pilot projects and experiments and 15 detailed case studies. We identified several types of learning, beyond the formal evaluation of “what works where and when”: pilot projects served to inspire, to create commitment and to develop networks. We also investigated how lessons learned are transferred to other sites and into societal knowledge. We contribute by conceptualizing different forms of learning and transfer—particularly situated and embodied forms—alongside more techno-scientific ones. While highlighting this form of learning, we also note that it is not particularly strong in acknowledging challenges faced in experimentation. We argue that there is scope for more systematic evaluation, alongside more situated forms of learning and sharing. We also pinpoint tensions between these two forms of learning that need to be addressed. Full article
(This article belongs to the Section Economic and Business Aspects of Sustainability)
14 pages, 3837 KB  
Article
Coordinated Optimal Operation Method of the Regional Energy Internet
by Rishang Long 1,*, Jian Liu 2, Chunliang Lu 3, Jiaqi Shi 1 and Jianhua Zhang 1
1 State Key Laboratory of New Energy Power System, North China Electric Power University, Beijing 102206, China
2 School of Electrical and Electronic Engineering, North China Electric Power University, Baoding 071000, Hebei, China
3 State Grid Zhejiang Electric Power Company, Hangzhou 310007, Zhejiang, China
Sustainability 2017, 9(5), 848; https://doi.org/10.3390/su9050848 - 19 May 2017
Cited by 9 | Viewed by 5602
Abstract
The development of the energy internet has become one of the key ways to solve the energy crisis. This paper studies the system architecture, energy flow characteristics and coordinated optimization method of the regional energy internet. Considering the heat-to-electric ratio of a combined [...] Read more.
The development of the energy internet has become one of the key ways to solve the energy crisis. This paper studies the system architecture, energy flow characteristics and coordinated optimization method of the regional energy internet. Considering the heat-to-electric ratio of a combined cooling, heating and power unit, energy storage life and real-time electricity price, a double-layer optimal scheduling model is proposed, which includes economic and environmental benefit in the upper layer and energy efficiency in the lower layer. A particle swarm optimizer–individual variation ant colony optimization algorithm is used to solve the computational efficiency and accuracy. Through the calculation and simulation of the simulated system, the energy savings, level of environmental protection and economic optimal dispatching scheme are realized. Full article
(This article belongs to the Special Issue Smart Grid)
Show Figures

Figure 1

15 pages, 268 KB  
Article
Effect of Work-Family Balance Policy on Job Selection and Social Sustainability: The Case of South Korea
by Wang-Jin Yoo 1 and Inha Oh 2,*
1 Department of Industrial Engineering, Konkuk University, Gwangjin-gu, Seoul 143-701, Korea
2 Department of Advanced Industry Fusion, Konkuk University, Gwangjin-gu, Seoul 143-701, Korea
Sustainability 2017, 9(5), 849; https://doi.org/10.3390/su9050849 - 18 May 2017
Cited by 12 | Viewed by 5823
Abstract
South Korea needs to actively implement work-family balance policies to increase both the low employment rate of women and the low total fertility rate. This study analyzes the quantitative benefits that the implementation of work-family balance policies provides to employees and employers. We [...] Read more.
South Korea needs to actively implement work-family balance policies to increase both the low employment rate of women and the low total fertility rate. This study analyzes the quantitative benefits that the implementation of work-family balance policies provides to employees and employers. We conducted a choice experiment that asked 633 participants about their stated preferences for a hypothetical company with different work-family balance practices. The analysis was performed by using a hierarchical Bayesian model that considered preference heterogeneity according to the respondents’ characteristics. The results indicate that the availability of parental leave provides benefits equivalent to an increase of 5.80 million won in annual salary and that offering childcare in the workplace has an effect equivalent to an increase of 5.37 million won in annual salary. Further, low-income groups, women, the younger generation, and parents of preschool children are most sensitive to the policy. Finally, small and medium-sized enterprises are less desirable to work for than large companies, but the implementation of work-family balance policies could change this preference. Full article
(This article belongs to the Section Economic and Business Aspects of Sustainability)
34 pages, 336 KB  
Review
The Value Landscape in Ecosystem Services: Value, Value Wherefore Art Thou Value?
by Adam P. Hejnowicz 1,2,* and Murray A. Rudd 3
1 Department of Biology, University of York, Wentworth Way, York YO10 5DD, UK
2 Centre for the Evaluation of Complexity Across the Nexus (CECAN), Guildford GU2 7XH, UK
3 Department of Environmental Sciences, Emory College of Arts and Sciences, 201 Dowman Drive, Atlanta, GA 30322, USA
Sustainability 2017, 9(5), 850; https://doi.org/10.3390/su9050850 - 19 May 2017
Cited by 43 | Viewed by 13566
Abstract
Ecosystem services has risen to become one of the preeminent global policy discourses framing the way we conceive and articulate environment–society relations, integral to the form and function of a number of far-reaching international policies such as the Aichi 2020 Biodiversity Targets and [...] Read more.
Ecosystem services has risen to become one of the preeminent global policy discourses framing the way we conceive and articulate environment–society relations, integral to the form and function of a number of far-reaching international policies such as the Aichi 2020 Biodiversity Targets and the recently adopted Sustainable Development Goals. Value; its pursuit, definition, quantification, monetization, multiplicity and uncertainty, both in terms of meaning and attribution, is fundamental to the economic foundations of ecosystem services and a core feature driving its inclusion across multiple policy domains such as environmental management and conservation. Distilling current knowledge and developments in this arena are thus highly prescient. In this article, we cast a critical eye over the evidence base and aim to provide a comprehensive synthesis of what values are, why they are important and the methodological approaches employed to elicit them (including their pros and cons and the arguments for and against). We also illustrate the current ecosystem service value landscape, highlight some of the fundamental challenges in discerning and applying values, and outline future research activities. In so doing, we further advance ecosystem valuation discourse, contribute to wider debates linking ecosystem services and sustainability and strengthen connections between ecosystem services and environmental policy. Full article
(This article belongs to the Section Social Ecology and Sustainability)
14 pages, 2697 KB  
Article
Adaptive Effectiveness of Irrigated Area Expansion in Mitigating the Impacts of Climate Change on Crop Yields in Northern China
by Tianyi Zhang 1,*, Jinxia Wang 2 and Yishu Teng 3
1 State Key Laboratory of Atmospheric Boundary Layer Physics and Atmospheric Chemistry, Institute of Atmospheric Physics, Chinese Academy of Sciences, Beijing 100029, China
2 School of Advanced Agricultural Sciences, Peking University, Beijing 1000871, China
3 BICIC, Beijing Normal University, Beijing 1000875, China
Sustainability 2017, 9(5), 851; https://doi.org/10.3390/su9050851 - 19 May 2017
Cited by 15 | Viewed by 5483
Abstract
To improve adaptive capacity and further strengthen the role of irrigation in mitigating climate change impacts, the Chinese government has planned to expand irrigated areas by 4.4% by the 2030s. Examining the adaptive potential of irrigated area expansion under climate change is therefore [...] Read more.
To improve adaptive capacity and further strengthen the role of irrigation in mitigating climate change impacts, the Chinese government has planned to expand irrigated areas by 4.4% by the 2030s. Examining the adaptive potential of irrigated area expansion under climate change is therefore critical. Here, we assess the effects of irrigated area expansion on crop yields based on county-level data during 1980–2011 in northern China and estimate climate impacts under irrigated area scenarios in the 2030s. Based on regression analysis, there is a statistically significant effect of irrigated area expansion on reducing negative climate impacts. More irrigated areas indicate less heat and drought impacts. Irrigated area expansion will alleviate yield reduction by 0.7–0.8% in the future but associated yield benefits will still not compensate for greater adverse climate impacts. Yields are estimated to decrease by 4.0–6.5% under future climate conditions when an additional 4.4% of irrigated area is established, and no fundamental yield increase with an even further 10% or 15% expansion of irrigated area is predicted. This finding suggests that expected adverse climate change risks in the 2030s cannot be mitigated by expanding irrigated areas. A combination of this and other adaptation programs is needed to guarantee grain production under more serious drought stresses in the future. Full article
(This article belongs to the Special Issue Sustainable Agriculture and Climate Change)
Show Figures

Figure 1

13 pages, 1667 KB  
Article
Sustainable Use of Reservoir Sediment through Partial Application in Building Material
by Natalia Junakova * and Jozef Junak
Faculty of Civil Engineering, Institute of Environmental Engineering, Technical University of Košice, 042 00 Košice, Slovakia
Sustainability 2017, 9(5), 852; https://doi.org/10.3390/su9050852 - 21 May 2017
Cited by 37 | Viewed by 6506
Abstract
Sediment, often considered a by-product of various activities within river basin management to be disposed of, or a pollutant to be controlled, is increasingly being acknowledged as a resource in need of management. The paper deals with the possibility of reusing sediment from [...] Read more.
Sediment, often considered a by-product of various activities within river basin management to be disposed of, or a pollutant to be controlled, is increasingly being acknowledged as a resource in need of management. The paper deals with the possibility of reusing sediment from two Slovak reservoirs (Klusov and Ruzin) as an alternative raw material in concrete production. Concrete specimens were prepared by a combination of original reservoir sediment, reservoir sediment mechanically activated by dry milling, reservoir sediment mechanically activated by dry milling together with biomass incinerator fly-ash as a binder. To improve the strength properties of specimens, sodium hydroxide (NaOH) was used as a sediment activator. Mixtures containing 40% of binder replacement by the above-mentioned combinations of original and treated sediments were tested for flexural and compressive strengths after 28, 90 and 365 days of curing. The results showed that the mixtures prepared from sediments milled without and with addition of fly ash as cement replacement satisfied the strength requirements for the compressive strength class C16/20 according to the European standard except the composites prepared with NaOH as the sediment activator. Addition of NaOH into composites in the concentration of 5 M as an activator of sediment indicated the negative impact on compressive and flexural strengths and thus NaOH was not an effective pozzolanic activator for sediments. This study reveals that the sediment may be considered as 40% cement substitution in building materials. Full article
(This article belongs to the Special Issue Sustainable River Basin Management)
Show Figures

Figure 1

18 pages, 1634 KB  
Article
Low Carbon Economy Performance Analysis with the Intertemporal Effect of Capital in China
by Xinna Zhao and Chongwen Zhong *
School of Economics & Management, Beijing Institute of Petrochemical Technology, 19 Qingyuan Road, Beijing 102617, China
Sustainability 2017, 9(5), 853; https://doi.org/10.3390/su9050853 - 19 May 2017
Cited by 7 | Viewed by 5197
Abstract
The “New Normal” of Chinese economy represents the importance of economic performance. To analyze the provincial performance of the low-carbon economy in China, this paper constructed a three-stage dynamic Malmquist model considering the evolutionary promotion of productivity and technical progress. This paper incorporates [...] Read more.
The “New Normal” of Chinese economy represents the importance of economic performance. To analyze the provincial performance of the low-carbon economy in China, this paper constructed a three-stage dynamic Malmquist model considering the evolutionary promotion of productivity and technical progress. This paper incorporates the lag effect of capital accumulation into the performance evaluation to ensure transitivity and continuity. Furthermore, the inefficiency of the low-carbon economy arises from the disadvantages of resources endowments; therefore, it is necessary to eliminate these to evaluate managerial performance. This paper not only evaluates the provincial performance of the low-carbon economy but also suggests the sources and impetus of regional low-carbon economy development to find feasible transition paths. The empirical results reveal that the performance of the low-carbon economy presents a gradient distribution with obvious distinctions among the eastern, central, and western regions. Tianjin and Hebei should emphasize the optimal allocation of their own resources. Jiangxi and Hunan, by contrast, should focus on the perfection of the resources endowments. Full article
(This article belongs to the Section Economic and Business Aspects of Sustainability)
Show Figures

Figure 1

23 pages, 954 KB  
Article
Sustainable Environmental Management Indicators in South African Primary Schools
by Luiza O. De Sousa *, Barry W. Richter and Schalk P. Raath
Geography Education & Environmental Education, North-West University, Potchefstroom 2520, South Africa
Sustainability 2017, 9(5), 854; https://doi.org/10.3390/su9050854 - 19 May 2017
Cited by 7 | Viewed by 9544
Abstract
This research explores sustainable environmental management indicators in South African primary schools. Of key interest is the comparison of a township, farm and urban primary school that identify indicators that promote education for sustainable development in schools that implement an environmental management system. [...] Read more.
This research explores sustainable environmental management indicators in South African primary schools. Of key interest is the comparison of a township, farm and urban primary school that identify indicators that promote education for sustainable development in schools that implement an environmental management system. Data are drawn from one-on-one interviews, focus group interviews, observations and document analysis from 35 participants in three schools. A comparison of the three schools was done by content and thematic analysis of a within-case analysis. Data from the township school revealed that socioeconomic factors and organisational structure promote education for sustainable development. The farm school data revealed that health promotion can be managed within an environmental management system within a hierarchical school structure. The urban school data revealed that an economic inducement brings a school to realise that it can reduce its carbon footprint, gain financially and utilize its resources with innovation. A case is made that the four pillars of sustainable development (environment, society, economy, and governance) endorse education for sustainable development. Furthermore, the objectives of environmental education ought to remain nested in an environmental management system to ensure that the global goal of quality education is achieved. Full article
Show Figures

Figure 1

24 pages, 17500 KB  
Article
The Effectiveness of Planning Control on Urban Growth: Evidence from Hangzhou, China
by Yizhou Wu 1, Peilei Fan 2, Bo Li 3, Zutao Ouyang 4, Yong Liu 5 and Heyuan You 6,*
1 Department of Urban Planning, Zhejiang University of Technology, Hangzhou 310058, China
2 School of Planning, Design, and Construction & Center of Global Change and Earth Observation, Michigan State University, East Lansing, MI 48824, USA
3 Land resource management center, Chengdu Hi-Tech development zone committee, Chengdu 610041, China
4 Center of Global Change and Earth Observation, Michigan State University, East Lansing, MI 48824, USA
5 College of Resources and Environment, Southwest University, Chongqing 400715, China
6 School of Public Administration, Zhejiang University of Finance and Economics, Hangzhou 310018, China
Sustainability 2017, 9(5), 855; https://doi.org/10.3390/su9050855 - 19 May 2017
Cited by 25 | Viewed by 9963
Abstract
Urban sprawl presents a serious challenge for sustainable urban land use. Urban planning attempts to guarantee sustainable urban development and proper use of land resources. However, a large gap usually exists between planning and actual development. This paper aims to analyze the evolutionary [...] Read more.
Urban sprawl presents a serious challenge for sustainable urban land use. Urban planning attempts to guarantee sustainable urban development and proper use of land resources. However, a large gap usually exists between planning and actual development. This paper aims to analyze the evolutionary characteristics of urban form and the spatiotemporal dynamics of urban planning from 1964 to 2013, using the case of Hangzhou, China. We proposed a framework that included remote sensing, landscape metrics, and control effectiveness indexes. The results indicated that urban planning failed to perform effectively in Hangzhou, reflected by the uncontrolled urban sprawl during all the planning periods. The low effectiveness of planning was resulted from multiple factors, including historical economic events that made expansion unexpected, functional orientation of planning which drove fragmented suburbanization, the ineffective methods for forecasting population and land use, and the influences by the market forces. The findings deepen the understanding of the impacts of urban planning, and provide references for making rational urban management decisions and sustainable urban land management. Full article
(This article belongs to the Special Issue Sustainable Land Use in China)
Show Figures

Figure 1

17 pages, 1042 KB  
Article
Food Image Recognition via Superpixel Based Low-Level and Mid-Level Distance Coding for Smart Home Applications
by Jiannan Zheng *, Z. Jane Wang and Chunsheng Zhu
Electrical and Computer Engineering, the University of British Columbia, 5500-2332 Main Mall, Vancouver, BC V6T 1Z4, Canada
Sustainability 2017, 9(5), 856; https://doi.org/10.3390/su9050856 - 19 May 2017
Cited by 15 | Viewed by 6549
Abstract
Food image recognition is a key enabler for many smart home applications such as smart kitchen and smart personal nutrition log. In order to improve living experience and life quality, smart home systems collect valuable insights of users’ preferences, nutrition intake and health [...] Read more.
Food image recognition is a key enabler for many smart home applications such as smart kitchen and smart personal nutrition log. In order to improve living experience and life quality, smart home systems collect valuable insights of users’ preferences, nutrition intake and health conditions via accurate and robust food image recognition. In addition, efficiency is also a major concern since many smart home applications are deployed on mobile devices where high-end GPUs are not available. In this paper, we investigate compact and efficient food image recognition methods, namely low-level and mid-level approaches. Considering the real application scenario where only limited and noisy data are available, we first proposed a superpixel based Linear Distance Coding (LDC) framework where distinctive low-level food image features are extracted to improve performance. On a challenging small food image dataset where only 12 training images are available per category, our framework has shown superior performance in both accuracy and robustness. In addition, to better model deformable food part distribution, we extend LDC’s feature-to-class distance idea and propose a mid-level superpixel food parts-to-class distance mining framework. The proposed framework show superior performance on a benchmark food image datasets compared to other low-level and mid-level approaches in the literature. Full article
(This article belongs to the Special Issue Smart X for Sustainability)
Show Figures

Figure 1

24 pages, 776 KB  
Article
The Significance of Forests and Algae in CO2 Balance: A Hungarian Case Study
by Attila Bai 1, József Popp 2, Károly Pető 3, Irén Szőke 1, Mónika Harangi-Rákos 2,* and Zoltán Gabnai 1
1 Institute of Business Economics, Faculty of Economics and Business, University of Debrecen, Böszörményi Street 138, H-4032 Debrecen, Hungary
2 Institute of Sectoral Economics and Methodology, Faculty of Economics and Business, University of Debrecen, Böszörményi Street 138, H-4032 Debrecen, Hungary
3 Institute of Rural Development, Tourism and Sports Management, Faculty of Economics and Business, University of Debrecen, Böszörményi Street 138, H-4032 Debrecen, Hungary
Sustainability 2017, 9(5), 857; https://doi.org/10.3390/su9050857 - 19 May 2017
Cited by 17 | Viewed by 7474
Abstract
This study presents the sequestration and emissions of forests and algae related to CO2 while providing a comparison to other biomass sources (arable crops, short rotation coppices). The goal of the paper is to analyze the impact of the current CO2 [...] Read more.
This study presents the sequestration and emissions of forests and algae related to CO2 while providing a comparison to other biomass sources (arable crops, short rotation coppices). The goal of the paper is to analyze the impact of the current CO2 balance of forests and the future prospects for algae. Our calculations are based on data, not only from the literature but, in the case of algae, from our own previous experimental work. It was concluded that the CO2 sequestration and natural gas saving of forests is typically 3.78 times higher than the emissions resulting from the production technology and from the burning process. The economic and environmental protection-related efficiency operate in opposite directions. The CO2 sequestration ability of algae can primarily be utilized when connected to power plants. The optimal solution could be algae production integrated with biogas power plants, since plant sizes are smaller and algae may play a role, not only in the elimination of CO2 emissions and the utilization of heat but also in wastewater purification. Full article
Show Figures

Figure 1

15 pages, 4111 KB  
Case Report
Lifting the Information Barriers to Address Sustainability Challenges with Data from Physical Geography and Earth Observation
by Anthony Lehmann 1,*, Rebecca Chaplin-Kramer 2, Martin Lacayo 1, Grégory Giuliani 1,3, David Thau 4, Kevin Koy 5, Grace Goldberg 6 and Richard Sharp Jr. 2
1 enviroSPACE, Department F.-A. Forel for Environmental and Aquatic Sciences, Institute for Environmental Sciences, University of Geneva, 66 Bd. Carl-Vogt, CH-1205 Geneva, Switzerland
2 Natural Capital Project, Woods Institute for the Environment, Stanford University, 371 Serra Mall, Stanford, CA 94305, USA
3 GRID-Geneva, Institute for Environmental Sciences, University of Geneva, 66 Bd. Carl-Vogt, CH-1205 Geneva, Switzerland
4 Google, Mountain View, CA 94043-1351, USA
5 Berkeley Institute for Data Science, University of California, Berkeley, 190 Doe Library, Berkeley, CA 94720, USA
6 Marine Science Institute, University California of Santa Barbara, Santa Barbara, CA 93106-6150, USA
Sustainability 2017, 9(5), 858; https://doi.org/10.3390/su9050858 - 19 May 2017
Cited by 30 | Viewed by 11510
Abstract
Sustainability challenges demand solutions, and the pace of technological and scientific advances in physical geography and Earth observation have great potential to provide the information needed to address these challenges. This paper highlights five online tools and initiatives that are lifting barriers to [...] Read more.
Sustainability challenges demand solutions, and the pace of technological and scientific advances in physical geography and Earth observation have great potential to provide the information needed to address these challenges. This paper highlights five online tools and initiatives that are lifting barriers to address these challenges. The enviroGRIDS project in the Black Sea catchment demonstrates how the use of spatial data infrastructures can facilitate data sharing. Google Earth Engine is providing solutions to challenges of processing big data into usable information. Additionally, application programming interfaces allow outsiders to elaborate and iterate on programs to explore novel uses of data and models, as seen in the Berkeley Ecoinformatics Engine. Finally, collaborative mapping tools, such as Seasketch/MarineMap and the InVEST software suite, allow engagement within and between groups of experts and stakeholders for the development, deployment, and long-term impact of a project. Merging these different experiences can set a new standard for online information tools supporting sustainable development from evidence brought by physical geography combined with socioeconomic conditions. Full article
(This article belongs to the Special Issue Physical Geography and Environmental Sustainability)
Show Figures

Figure 1

25 pages, 2083 KB  
Article
Research on the Coupling Coordination of a Sea–Land System Based on an Integrated Approach and New Evaluation Index System: A Case Study in Hainan Province, China
by Liming Zhao, Ling Li * and Yujie Wu
College of Management and Economics, Tianjin University, No. 92 Weijin Road, Tianjin 300072, China
Sustainability 2017, 9(5), 859; https://doi.org/10.3390/su9050859 - 19 May 2017
Cited by 39 | Viewed by 7241
Abstract
Based on the concept of sea–land coordination and the statistical data of Hainan Province from 1999 to 2013, we establish a new evaluation index system included four aspects—economic development, social progress, environmental protection and resource efficiency—and use the integrated approach (such as the [...] Read more.
Based on the concept of sea–land coordination and the statistical data of Hainan Province from 1999 to 2013, we establish a new evaluation index system included four aspects—economic development, social progress, environmental protection and resource efficiency—and use the integrated approach (such as the combination weight method, the coupling coordination degree model, the scissors difference model and the dynamic coupling coordination degree model) to measure the coupling coordination degree of a sea–land system. The results show that: (1) the overall development level of sea system and land system are gradually improved; (2) the coupling coordination degree of sea–land system is gradually from moderately uncoordinated to well coordinated, and the comprehensive evaluation value of sea system has a greater effect on the coupling coordination degree than that of land system; (3) the scissors difference between sea system and land system is gradually increasing; (4) the dynamic coupling coordination degree of the sea–land system which favors a parabolic shape is basically in the break-in development stage; (5) in the process of sea–land system coordination, the influencing factors of economic development, the social progress and resource efficiency should be given priority and, at the same time, strengthen the environmental protection efforts and awareness to promote the role of environmental protection in the sea–land coordination. Full article
Show Figures

Figure 1

13 pages, 269 KB  
Article
A New Sustainability City Index Based on Intellectual Capital Approach
by José-Luis Alfaro-Navarro 1, Víctor-Raúl López-Ruiz 1 and Domingo Nevado Peña 2,*
1 Faculty of Economics and Business Administration, University of Castilla-La Mancha, Plaza de la Universidad, 1, 02071 Albacete, Spain
2 Faculty of Law and Social Sciences, University of Castilla-La Mancha, Ronda de Toledo, s/n, 13071 Ciudad Real, Spain
Sustainability 2017, 9(5), 860; https://doi.org/10.3390/su9050860 - 19 May 2017
Cited by 23 | Viewed by 5834
Abstract
Urban sustainability is a key factor that must be considered at the local level, however, there are few studies that consider sustainability using the triple bottom line approach and apply it to a large number of cities. In this paper, we develop a [...] Read more.
Urban sustainability is a key factor that must be considered at the local level, however, there are few studies that consider sustainability using the triple bottom line approach and apply it to a large number of cities. In this paper, we develop a sustainability city index based on the triple bottom line using an intellectual capital approach that attempts to solve the negative aspects identified in the main indices proposed in the existing literature, such as the use of: subjective weightings, an arithmetic average or index that is not comparable. Here, we have used information available in the Urban Audit database for 2009. The results for 158 cities in 24 European countries show that the cities with the best positions are in the northern European countries. German cities occupied the best positions in the three dimensions of sustainability, albeit with a slightly worse performance in the social dimension. Moreover, the proposal index is consistent, without redundancy among the variables considered in the three dimensions. Full article
14 pages, 475 KB  
Article
Learning of Power Technologies in China: Staged Dynamic Two-Factor Modeling and Empirical Evidence
by Yan Xu 1,*, Jiahai Yuan 2 and Jianxiu Wang 1
1 School of Management Science and Engineering, Shanxi University of Finance and Economics, Taiyuan 030006, China
2 .School of Economics and Management, North China Electric Power University, Beijing 102206, China
Sustainability 2017, 9(5), 861; https://doi.org/10.3390/su9050861 - 19 May 2017
Cited by 8 | Viewed by 4843
Abstract
Cost evolution has an important influence on the commercialization and large-scale application of power technology. Many researchers have analyzed the quantitative relationship between the cost of power technology and its influencing factors while establishing various forms of technical learning curve models. In this [...] Read more.
Cost evolution has an important influence on the commercialization and large-scale application of power technology. Many researchers have analyzed the quantitative relationship between the cost of power technology and its influencing factors while establishing various forms of technical learning curve models. In this paper, we focus on the positive effects of the policy on research and development (R&D) learning by summarizing and comparing four energy technology cost models based on learning curves. We explore the influencing factors and dynamic change paths of power technology costs. The paper establishes a multi-stage dynamic two-factor learning curve model based on cumulative R&D investment and the installed capacity. This work presents the structural changes of the influencing factors at various stages. Causality analysis and econometric estimation of learning curves are performed on wind power and other power technologies. The conclusion demonstrates that a “learn by researching” approach had led to cost reduction of wind power to date, but, in the long term, the effect of “learn by doing” is greater than that of “learn by researching” when R&D learning is saturated. Finally, the paper forecasts the learning rates and the cost trends of the main power technologies in China. The work presented in this study has implications on power technology development and energy policy in China. Full article
(This article belongs to the Special Issue Sustainable Electric Power Systems Research)
Show Figures

Figure 1

10 pages, 1109 KB  
Article
Effects of Clean Air Act on Patenting Activities in Chemical Industry: Learning from Past Experiences
by Alptekin Durmuşoğlu
Department of Industrial Engineering, Gaziantep University, Şehitkamil 27310, Turkey
Sustainability 2017, 9(5), 862; https://doi.org/10.3390/su9050862 - 19 May 2017
Cited by 4 | Viewed by 4994
Abstract
The chemical industry provides essential goods we use in our daily lives and key ingredients for many diverse industries. On the other hand, their production and use require serious attention while they may be seriously harmful to local air quality. The Clean Air [...] Read more.
The chemical industry provides essential goods we use in our daily lives and key ingredients for many diverse industries. On the other hand, their production and use require serious attention while they may be seriously harmful to local air quality. The Clean Air Act (CAA) and its subsequent amendments regulate the emissions of hazardous air pollutants to protect public health and welfare in the U.S.A. since 1970. This study aimed to assess the impact of CAA on the rate of patenting in the chemical industry. With this in mind, basic chemical utility patents were analyzed to detect the effects of CAA on the patenting activities. Subsequent to the fitting of the ARIMA (Autoregressive Integrated Moving Average) model (producing the least square of errors), a significant outlier was detected with the Dixon’s r22 Ratio Test. This outlier was the number of patents granted in 1972. Contextual queries in the text of those patent documents have shown that there was a considerable increase in the patents of chemistry which takes the sustainability relevant terms (air, emission, pollution, etc.) into consideration. It was concluded that companies in the chemistry industry adapted themselves very rapidly to the changes and CAA was an important incentive to create novel technologies. Full article
(This article belongs to the Section Economic and Business Aspects of Sustainability)
Show Figures

Figure 1

12 pages, 1967 KB  
Article
Sustainability of Constructed Wetland under the Impact of Aquatic Organisms Overloading
by Shih-Chieh Chen, Ming-Young Jan, Kuo-Liang Lin, Sung-Lin Chao and Chien-Sen Liao *
Department of Civil and Ecological Engineering, I Shou University, Kaohsiung 84001, Taiwan
Sustainability 2017, 9(5), 863; https://doi.org/10.3390/su9050863 - 19 May 2017
Cited by 7 | Viewed by 4618
Abstract
Environmental impacts, such as earthquakes, chemical pollution and anthropogenic factors can affect the stability and sustainability of an ecosystem. In this study, a long-term (3.7 years) investigation experiment was conducted to estimate the sustainability of a constructed wetland (CW) under the impact of [...] Read more.
Environmental impacts, such as earthquakes, chemical pollution and anthropogenic factors can affect the stability and sustainability of an ecosystem. In this study, a long-term (3.7 years) investigation experiment was conducted to estimate the sustainability of a constructed wetland (CW) under the impact of aquatic organisms overloading. The situation of aquatic organisms overloading in this study meant that around 27,000 kg of fishes had to be moved and accommodated in a 4 ha water area of wetland for six months. Experimental results indicated that the pH value of CW water was slightly acidic and the Dissolved Oxygen (DO) level decreased under the impact. On the other hand, the levels of Electrical Conductivity (EC), Suspended Solids (SS), Chemical Oxygen Demand (COD), and Total Kjeldahl Nitrogen (TKN) of CW water were increased under the impact. The pathogen analysis revealed that total coliforms, Salmonella spp., Enterococcus spp., and Escherichia coli, in the wetland water increased under the impact. The analyzed factors of water quality and amount of pathogens were all returned to their original statuses soon after the impact ended. Eventually, the results of microbial community structure analysis showed that overloading of aquatic organisms slightly increased the specific richness (R) of wetland bacteria, whereas higher structural biodiversity (H) of CW could stabilize the whole microbial community and prevent the pathogens or other bacteria from increasing to become the dominant strains. These results were novel and could be possible to conclude that a CW environment could not only stabilize the water quality and amount of pathogens resulting from the impact of aquatic organisms overloading, but also they could stabilize the microbial community structures, allowing the biogeochemical cycles of the CW to function. They could provide the useful information for wetland sustainability. Full article
Show Figures

Figure 1

15 pages, 3285 KB  
Article
A Day-Ahead Wind Power Scenario Generation, Reduction, and Quality Test Tool
by Ceyhun Yıldız 1, Mustafa Tekin 2, Ahmet Gani 2, Ö. Fatih Keçecioğlu 2, Hakan Açıkgöz 3 and Mustafa Şekkeli 2,*
1 Department of Electric and Energy, Elbistan Vocational School, University of K.Maraş Sütçü İmam, K.Maraş 46340, Turkey
2 Department of Electrical and Electronics, Faculty of Engineering, University of K.Maraş Sütçü İmam, K.Maraş 46040, Turkey
3 Department of Electrical Science, Kilis 7 Aralik University, Kilis 79000, Turkey
Sustainability 2017, 9(5), 864; https://doi.org/10.3390/su9050864 - 20 May 2017
Cited by 24 | Viewed by 7322
Abstract
During the last decades, thanks to supportive policies of countries and a decrease in installation costs, total installed capacity of wind power has increased rapidly all around the world. The uncertain and variable nature of wind power has been a problem for transmission [...] Read more.
During the last decades, thanks to supportive policies of countries and a decrease in installation costs, total installed capacity of wind power has increased rapidly all around the world. The uncertain and variable nature of wind power has been a problem for transmission system operators and wind power plant owners. To solve this problem, numerous wind power forecast systems have been developed. Unfortunately none of them can obtain absolutely accurate forecasts yet. Thus, researchers assumed that wind power generation is a stochastic process and they proposed a stochastic programming approach to solve problems arising from the uncertainty of wind power. It is well known that representing stochastic process by possible scenarios is a major issue in the stochastic programming approach. Large numbers of scenarios can represent a stochastic process accurately, but it is not easy to solve a stochastic problem that contains a large number of scenarios. For this reason scenario reduction methods have been introduced. Finally, the quality of this reduced scenario set must be at an acceptable level to use them in calculations. All of these reasons have encouraged authors to develop a wind power scenario tool that can generate and reduce the scenario set and test the quality of it. The developed tool uses historical data to model wind forecast errors. Scenarios are generated around 24 day-ahead point wind power forecasts. A fast forward reduction algorithm is used to reduce the scenario set. Two metrics are proposed to assess the quality of the reduced scenario set. Site measurements are used to test the developed wind power scenario tool. Results showed that the tool can generate and reduce the scenario set successfully and the proposed metrics are useful to assess the quality. Full article
(This article belongs to the Special Issue Wind Energy, Load and Price Forecasting towards Sustainability)
Show Figures

Figure 1

16 pages, 2750 KB  
Article
Carbon Footprint Estimation in Fiber Optics Industry: A Case Study of OFS Fitel, LLC
by Suresh Inakollu *, Randy Morin and Ryan Keefe
OFS Fitel, LLC, Norcross, GA 30071, USA
Sustainability 2017, 9(5), 865; https://doi.org/10.3390/su9050865 - 20 May 2017
Cited by 11 | Viewed by 12792
Abstract
Detailed carbon footprinting assignments have been on the rise in more and more major manufacturing industries. The main strength of carbon footprinting is to make product manufacturers aware of carbon emissions and understand its meaning due to perceived global warming effects. Carbon foot-printing [...] Read more.
Detailed carbon footprinting assignments have been on the rise in more and more major manufacturing industries. The main strength of carbon footprinting is to make product manufacturers aware of carbon emissions and understand its meaning due to perceived global warming effects. Carbon foot-printing through life-cycle assessment in conjunction with greenhouse gas (GHG) accounting is essential for identifying opportunities for environmental efficiencies. Case studies of goods that require more complex production elements have also been increasing, like optical fiber manufacturing. From making ultra-pure glass rods to elongating hot fibers, the whole process involves using a high volume of chemicals and extensive energy. Hence, standard numbers addressing carbon footprinting specifically for fiber optics is helpful for the quantification of greenhouse gas intensity, mitigation of global warming, and adaptation against future climate change scenarios. This paper calculates and helps standardize the emission factor for the production of optical fiber from the scope of gate-to-gate: 4.81 tonnes CO2eq per million meters of produced fiber (which is 72.92 kg CO2eq per kg of produced fiber) in order to allow other industries to use this information in their own carbon footprint calculations. Since governmental regulatory agencies have largely failed to confront the risks associated with climate change borne by industries, it is essential for all industries to disclose their emissions in a standardized and comparable form in order to develop standard guidelines for all. This paper provides a practical life-cycle approach, concludes with requirements for further research and evaluation. Full article
(This article belongs to the Section Sustainable Engineering and Science)
Show Figures

Figure 1

16 pages, 2970 KB  
Article
Improving Energy Efficiency of an Autonomous Bicycle with Adaptive Controller Design
by David Rodriguez-Rosa 1,*,†,‡, Ismael Payo-Gutierrez 1,‡, Fernando J. Castillo-Garcia 1,‡, Antonio Gonzalez-Rodriguez 2,‡ and Sergio Perez-Juarez 1,‡
1 School of Industrial Engineering, University of Castilla-La Mancha, Toledo 45071, Spain
2 School of Industrial Engineering, University of Castilla-La Mancha, Ciudad Real 13071, Spain
This paper is an extended version of our paper published in Energy and Environment Knowledge Week (E2KW 2016).
These authors contributed equally to this work.
Sustainability 2017, 9(5), 866; https://doi.org/10.3390/su9050866 - 20 May 2017
Cited by 10 | Viewed by 7353
Abstract
A method is proposed to achieve lateral stability of an autonomous bicycle with only the rotation of the front wheel. This can be achieved with a classic controller. However, if the energy consumption of the bicycle also has to be minimized, this solution [...] Read more.
A method is proposed to achieve lateral stability of an autonomous bicycle with only the rotation of the front wheel. This can be achieved with a classic controller. However, if the energy consumption of the bicycle also has to be minimized, this solution is not valid. To solve this problem, an adaptive controller has been designed, which modifies its gains according to the bicycle’s forward velocity, adapting its response with minimum energy consumption and satisfying the design specifications. The study demonstrates the efficiency of the proposed control, achieving an energy saving of 73 . 8 % in trajectory tracking with respect to a conventional proportional-integral ( P I ) controller. These results show the importance of designing energy-efficient controllers, not only for autonomous vehicles but also for any automatic system where the energy consumption can be minimized. Full article
Show Figures

Figure 1

8 pages, 420 KB  
Article
The Role of Technology Spillovers in the Process of Water Pollution Abatement for Large International Firms
by Luigi Aldieri 1,* and Concetto Paolo Vinci 2
1 Department of Business and Economic studies, University of Naples Parthenope, Naples 80132, Italy
2 Department of Economic and Statistic Sciences, University of Salerno, Fisciano 84084, Italy
Sustainability 2017, 9(5), 868; https://doi.org/10.3390/su9050868 - 21 May 2017
Cited by 31 | Viewed by 5802
Abstract
The objective of this paper is to analyze the effects of technology externalities stemming from different technological sectors for international firms engaged both in water pollution abatement and in dirty activities. We present a theoretical framework and an empirical analysis based upon a [...] Read more.
The objective of this paper is to analyze the effects of technology externalities stemming from different technological sectors for international firms engaged both in water pollution abatement and in dirty activities. We present a theoretical framework and an empirical analysis based upon a dataset composed of worldwide R&D-intensive firms. In order to identify the technological proximity between the firms, we construct an original Mahalanobis environmental industry weight matrix, based on the construction of technological vectors for each firm, with European ecological patents distributed across more technology classes. Opportune econometric techniques that deal with the firms’ unobserved heterogeneity and the weak exogeneity of the explanatory variables are implemented. The findings show significant spillover effects on the productivity and environmental performance of the firms. Full article
Show Figures

Figure 1

15 pages, 406 KB  
Article
Economic Transformation in the Beijing-Tianjin-Hebei Region: Is It Undergoing the Environmental Kuznets Curve?
by Lichun Xiong 1, Chang Yu 1, Martin De Jong 2,3,4, Fengting Wang 5 and Baodong Cheng 1,*
1 School of Economics and Management, Beijing Forestry University, Beijing 100083, China
2 Faculty of Technology, Policy & Management, Delft University of Technology, Mekelweg 2, 2628 CD Delft, The Netherlands
3 School of International Relations and Public Affairs, Fudan University, Shanghai 200433, China
4 Erasmus School of Law, Erasmus University Rotterdam, Burgemeester Oudlaan 50, 3062 PA Rotterdam, The Netherlands
5 College of Economics and Management, China Agricultural University, Beijing 100083, China
Sustainability 2017, 9(5), 869; https://doi.org/10.3390/su9050869 - 21 May 2017
Cited by 17 | Viewed by 6248
Abstract
The Beijing-Tianjin-Hebei Region Integration Plan is one of the most important national strategies in China promoting regional economic development. The environmental problems in this region, however, especially air pollution and contaminated groundwater, have enormous influence on the people’s health while also causing economic [...] Read more.
The Beijing-Tianjin-Hebei Region Integration Plan is one of the most important national strategies in China promoting regional economic development. The environmental problems in this region, however, especially air pollution and contaminated groundwater, have enormous influence on the people’s health while also causing economic loss. Therefore, this study aims to analyze the pattern of its environmental and economic development. Panel data in the period 2004–2014 are used to establish an advanced model of the Environmental Kuznets Curve. The results indicate that the economic growth and environmental pollution of Beijing-Tianjin-Hebei region do not completely meet the Environment Kuznets Curve assumptions. The discharge volume of industrial wastewater and economic growth reflect a wave-type relation. The sulfur dioxide discharge volume and economic growth reflect a U-shaped relation; the generated volume of industrial solid wastes and economic growth reflect a reversed N-shaped relation, which is in accordance with the Environmental Kuznets Curve characteristics at the second inflection point. The variables added value of the secondary industry, population size and raw coal consumption volume have a significant positive influence on the discharge of various environmental pollutants in Beijing-Tianjin-Hebei region. The analysis provides policy recommendations for the government to develop regional economic and environmental protection policies. Full article
Show Figures

Figure 1

Previous Issue
Next Issue
Back to TopTop