Effects of Liquid Organic Fertilizers on Plant Growth and Rhizosphere Soil Characteristics of Chrysanthemum
Abstract
:1. Introduction
2. Materials and Methods
2.1. Materials, Experimental Design, and Sampling
- NPK: 60.0 mg N pot−1; 13.1 mg P pot−1; 41.2 mg K pot−1;
- L1: 36.8 mg N pot−1; 0.5 mg P pot−1; 9.1 mg K pot−1;
- L2: 35.0 mg N pot−1; 2.9 mg P pot−1; 40.4 mg K pot−1;
- L3: 18.4 mg N pot−1; 0.3 mg P pot−1; 24.6 mg K pot−1;
- L4: 15.1 mg N pot−1; 3.3 mg P pot−1; 12.5 mg K pot−1; and
- L5: 27.4 mg N pot−1; 4.1 mg P pot−1; 14.6 mg K pot−1.
2.2. Root Morphology and Aboveground Growth Parameters
2.3. Chemical Analyses of Fertilizer and Soil
2.4. Community Level Physiological Profile Analyses
2.5. Statistical Analyses
3. Results
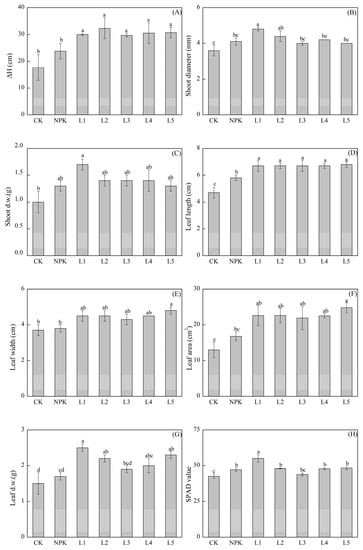
3.1. Effects of Organic Fertilizers on the Root Architecture and Aboveground Growth of Chrysanthemum
3.2. Effects of Liquid Organic Fertilizers on the Nutrient Contents of Chrysanthemum Rhizospheric Soil
3.3. Effects of the Organic Fertilizers on Microbial Community Functions in Chrysanthemum Rhizospheric Soil
4. Discussion
4.1. Effects of Liquid Organic Fertilizers on the Growth of Chrysanthemum
4.2. Effects of Liquid Organic Fertilizers on Chrysanthemum Rhizospheric Soil’s Characteristics
5. Conclusions
Acknowledgments
Author Contributions
Conflicts of Interest
Abbreviations
| NPK | chemical fertilizer |
| CK | no fertilizer control |
| EC | electric conductivity |
| SPAD | Soil and Plant Analyzer Development |
| AWCD | Average Well Color Development |
References
- Tsukiboshi, T.; Chikuo, Y.; Ito, Y.; Matsushita, Y.; Kageyama, K. Root and stem rot of chrysanthemum caused by five pythium species in Japan. J. Gen. Plant Pathol. 2007, 73, 293–296. [Google Scholar] [CrossRef]
- Zhao, H.E.; Liu, Z.H.; Hu, X.; Yin, J.L.; Li, W.; Rao, G.Y.; Zhang, X.H.; Huang, C.L.; Anderson, N.; Zhang, Q.X.; et al. Chrysanthemum genetic resources and related genera of chrysanthemum collected in China. Genet. Resour. Crop Evol. 2009, 56, 937–946. [Google Scholar] [CrossRef]
- Pecchia, S.; Franceschini, A.; Santori, A.; Vannacci, G.; Myrta, A. Efficacy of dimethyl disulfide (dmds) for the control of chrysanthemum verticillium wilt in Italy. Crop Prot. 2017, 93, 28–32. [Google Scholar] [CrossRef]
- MacDonald, W.N.; Blom, T.J.; Tsujita, M.J.; Shelp, B.J. Review: Improving nitrogen use efficiency of potted chrysanthemum: Strategies and benefits. Can. J. Plant Sci. 2013, 93, 1009–1016. [Google Scholar] [CrossRef]
- Wandl, M.T.; Haberl, H. Greenhouse gas emissions of small scale ornamental plant production in Austria—A case study. J. Clean. Prod. 2017, 141, 1123–1133. [Google Scholar] [CrossRef]
- Zhao, S.; Chen, X.; Deng, S.P.; Dong, X.N.; Song, A.P.; Yao, J.J.; Fang, W.M.; Chen, F.D. The effects of fungicide, soil fumigant, bio-organic fertilizer and their combined application on chrysanthemum fusarium wilt controlling, soil enzyme activities and microbial properties. Molecules 2016, 21, 526. [Google Scholar] [CrossRef] [PubMed]
- Rostami, M.; Zamani, A.; Goldasteh, S.; Shoushtari, R.; Kheradmand, K. Influence of nitrogen fertilization on biology of Aphis gossypii (hemiptera: Aphididae) reared on Chrysanthemum lindicum (asteraceae). J. Plant Prot. Res. 2012, 52, 118–121. [Google Scholar] [CrossRef]
- Han, J.P.; Luo, Y.H.; Yang, L.P.; Liu, X.M.; Wu, L.S.; Xu, J.M. Acidification and salinization of soils with different initial pH under greenhouse vegetable cultivation. J. Soils Sediments 2014, 14, 1683–1692. [Google Scholar] [CrossRef]
- Min, J.; Lu, K.P.; Sun, H.J.; Xia, L.L.; Zhang, H.L.; Shi, W.M. Global warming potential in an intensive vegetable cropping system as affected by crop rotation and nitrogen rate. Clean Soil Air Water 2016, 44, 766–774. [Google Scholar] [CrossRef]
- Macz, O.; Paparozzi, E.T.; Stroup, W.W.; Leonard, R.; Nell, T.A. Effect of nitrogen and sulfur applications on pot chrysanthemum production and postharvest performance. II. Plant growth responses. J. Plant Nutr. 2001, 24, 131–146. [Google Scholar] [CrossRef]
- Liu, D.H.; Zhu, D.W.; Guo, L.P.; Liu, W.; Zuo, Z.T.; Jin, H.; Yang, Y. Effects of nitrogen fertilization on growth, yield and quality of Chrysanthemum morifolium. Plant Nutr. Fertil. Sci. 2012, 18, 188–195. [Google Scholar]
- Sun, J.; Zhang, Q.; Zhou, J.; Wei, Q.P. Pyrosequencing technology reveals the impact of different manure doses on the bacterial community in apple rhizosphere soil. Appl. Soil Ecol. 2014, 78, 28–36. [Google Scholar] [CrossRef]
- Atiyeh, R.M.; Edwards, C.A.; Subler, S.; Metzger, J.D. Pig manure vermicompost as a component of a horticultural bedding plant medium: Effects on physicochemical properties and plant growth. Bioresour. Technol. 2001, 78, 11–20. [Google Scholar] [CrossRef]
- Pichyangkura, R.; Chadchawan, S. Biostimulant activity of chitosan in horticulture. Sci. Hortic. 2015, 196, 49–65. [Google Scholar] [CrossRef]
- Hou, J.Q.; Li, M.X.; Mao, X.H.; Hao, Y.; Ding, J.; Liu, D.M.; Xi, B.D.; Liu, H.L. Response of microbial community of organic-matter-impoverished arable soil to long-term application of soil conditioner derived from dynamic rapid fermentation of food waste. PLoS ONE 2017, 12, e0175715. [Google Scholar] [CrossRef] [PubMed]
- Dordas, C.A.; Lithourgidis, A.S.; Matsi, T.; Barbayiannis, N. Application of liquid cattle manure and inorganic fertilizers affect dry matter, nitrogen accumulation, and partitioning in maize. Nutr. Cycl. Agroecosyst. 2007, 80, 283–296. [Google Scholar] [CrossRef]
- Toonsiri, P.; Del Grosso, S.J.; Sukor, A.; Davis, J.G. Greenhouse gas emissions from solid and liquid organic fertilizers applied to lettuce. J. Environ. Qual. 2016, 45, 1812–1821. [Google Scholar] [CrossRef] [PubMed]
- Ceretta, C.A.; Girotto, E.; Lourenzi, C.R.; Trentin, G.; Vieira, R.C.B.; Brunetto, G. Nutrient transfer by runoff under no tillage in a soil treated with successive applications of pig slurry. Agric. Ecosyst. Environ. 2010, 139, 689–699. [Google Scholar] [CrossRef]
- Canellas, L.P.; Olivares, F.L.; Aguiar, N.O.; Jones, D.L.; Nebbioso, A.; Mazzei, P.; Piccolo, A. Humic and fulvic acids as biostimulants in horticulture. Sci. Hortic. 2015, 196, 15–27. [Google Scholar] [CrossRef]
- Du Jardin, P. Plant biostimulants: Definition, concept, main categories and regulation. Sci. Hortic. 2015, 196, 3–14. [Google Scholar] [CrossRef]
- Sharp, R.G. A review of the applications of chitin and its derivatives in agriculture to modify plant-microbial interactions and improve crop yields. Agronomy 2013, 3, 757–793. [Google Scholar] [CrossRef]
- Tang, H.; Zhang, L.Y.; Hu, L.Y.; Zhang, L.N. Application of chitin hydrogels for seed germination, seedling growth of rapeseed. J. Plant Growth Regul. 2013, 33, 195–201. [Google Scholar] [CrossRef]
- Zhu, Z.; Zhang, F.G.; Wang, C.; Ran, W.; Shen, Q.R. Treating fermentative residues as liquid fertilizer and its efficacy on the tomato growth. Sci. Hortic. 2013, 164, 492–498. [Google Scholar] [CrossRef]
- Canfora, L.; Malusa, E.; Salvati, L.; Renzi, G.; Petrarulo, M.; Benedetti, A. Short-term impact of two liquid organic fertilizers on solanum lycopersicum l. Rhizosphere eubacteria and archaea diversity. Appl. Soil Ecol. 2015, 88, 50–59. [Google Scholar] [CrossRef]
- Chaudhry, V.; Rehman, A.; Mishra, A.; Chauhan, P.S.; Nautiyal, C.S. Changes in bacterial community structure of agricultural land due to long-term organic and chemical amendments. Microb. Ecol. 2012, 64, 450–460. [Google Scholar] [CrossRef] [PubMed]
- Martinez-Alcantara, B.; Martinez-Cuenca, M.R.; Bermejo, A.; Legaz, F.; Quinones, A. Liquid organic fertilizers for sustainable agriculture: Nutrient uptake of organic versus mineral fertilizers in citrus trees. PLoS ONE 2016, 11, e0161619. [Google Scholar] [CrossRef] [PubMed]
- Zobel, R.W. Fine roots—Functional definition expanded to crop species? New Phytol. 2016, 212, 310–312. [Google Scholar] [CrossRef] [PubMed]
- Pregitzer, K.S. Fine roots of trees—A new perspective. New Phytol. 2002, 154, 267–270. [Google Scholar] [CrossRef]
- Hodge, A.; Berta, G.; Doussan, C.; Merchan, F.; Crespi, M. Plant root growth, architecture and function. Plant Soil 2009, 321, 153–187. [Google Scholar] [CrossRef]
- Saleem, M.; Law, A.D.; Moe, L.A. Nicotiana roots recruit rare rhizosphere taxa as major root-inhabiting microbes. Microb. Ecol. 2015, 71, 469–472. [Google Scholar] [CrossRef] [PubMed]
- Xu, L.Z.; Niu, J.F.; Li, C.J.; Zhang, F.S. Growth, nitrogen uptake and flow in maize plants affected by root growth restriction. J. Integr. Plant Biol. 2009, 51, 689–697. [Google Scholar] [CrossRef] [PubMed]
- Ridl, J.; Kolar, M.; Strejcek, M.; Strnad, H.; Stursa, P.; Paces, J.; Macek, T.; Uhlik, O. Plants rather than mineral fertilization shape microbial community structure and functional potential in legacy contaminated soil. Front. Microbiol. 2016, 7. [Google Scholar] [CrossRef] [PubMed]
- Loranger-Merciris, G.; Barthes, L.; Gastine, A.; Leadley, P. Rapid effects of plant species diversity and identity on soil microbial communities in experimental grassland ecosystems. Soil Biol. Biochem. 2006, 38, 2336–2343. [Google Scholar] [CrossRef]
- Saleem, M.; Moe, L.A. Multitrophic microbial interactions for eco and agro-biotechnological processes: Theory and practice. Trends Biotechnol. 2014, 32, 529–537. [Google Scholar] [CrossRef] [PubMed]
- Suzuki, C.; Kunito, T.; Aono, T.; Liu, C.T.; Oyaizu, H. Microbial indices of soil fertility. J. Appl. Microbiol. 2005, 98, 1062–1074. [Google Scholar] [CrossRef] [PubMed]
- Guo, P.P.; Zhu, L.S.; Wang, J.H.; Wang, J.; Liu, T. Effects of alkyl-imidazolium ionic liquid [omim]cl on the functional diversity of soil microbial communities. Environ. Sci. Pollut. Res. 2015, 22, 9059–9066. [Google Scholar] [CrossRef] [PubMed]
- Chen, L.J.; Feng, Q.; Wei, Y.P.; Li, C.S.; Zhao, Y.; Li, H.Y.; Zhang, B.G. Effects of saline water irrigation and fertilization regimes on soil microbial metabolic activity. J. Soils Sediments 2016, 17, 376–383. [Google Scholar] [CrossRef]
- Yu, C.; Hu, X.M.; Deng, W.; Li, Y.; Xiong, C.; Ye, C.H.; Han, G.M.; Li, X. Changes in soil microbial community structure and functional diversity in the rhizosphere surrounding mulberry subjected to long-term fertilization. Appl. Soil Ecol. 2015, 86, 30–40. [Google Scholar] [CrossRef]
- Arsenault, J.L.; Pouleur, S.; Messier, C.; Guay, R. WinrhizoTM, a root measuring system with a unique overlap correction method. HortScience 1995, 30, 906. [Google Scholar]
- Min, J.; Zhao, X.; Shi, W.M.; Xing, G.X.; Zhu, Z.L. Nitrogen balance and loss in a greenhouse vegetable system in southeastern China. Pedosphere 2011, 21, 464–472. [Google Scholar] [CrossRef]
- Shi, W.M.; Yao, J.; Yan, F. Vegetable cultivation under greenhouse conditions leads to rapid accumulation of nutrients, acidification and salinity of soils and groundwater contamination in south-eastern China. Nutr. Cycl. Agroecosyst. 2008, 83, 73–84. [Google Scholar] [CrossRef]
- Li, X.X.; Zeng, R.S.; Liao, H. Improving crop nutrient efficiency through root architecture modifications. J. Integr. Plant Biol. 2016, 58, 193–202. [Google Scholar] [CrossRef] [PubMed]
- Nelson, P.V.; Pitchay, D.S.; Niedziela, C.E.; Mingis, N.C. Efficacy of soybean-base liquid fertilizer for greenhouse crops. J. Plant Nutr. 2010, 33, 351–361. [Google Scholar] [CrossRef]
- Uddling, J.; Gelang-Alfredsson, J.; Piikki, K.; Pleijel, H. Evaluating the relationship between leaf chlorophyll concentration and spad-502 chlorophyll meter readings. Photosynth. Res. 2007, 91, 37–46. [Google Scholar] [CrossRef] [PubMed]
- Collet, C.; Colin, F.; Bernier, F. Height growth, shoot elongation and branch development of young quercus petraea grown under different levels of resource availability. Annal. Sci. For. 1997, 54, 65–81. [Google Scholar] [CrossRef]
- Lee, J.H.; Heuvelink, E. Simulation of leaf area development based on dry matter partitioning and specific leaf area for cut chrysanthemum. Ann. Bot. 2003, 91, 319–327. [Google Scholar] [CrossRef] [PubMed]
- Gallert, C.; Winter, J. Solid and liquid residues as raw materials for biotechnology. Naturwissenschaften 2002, 89, 483–496. [Google Scholar] [CrossRef] [PubMed]
- Pierantozzi, P.; Zampini, C.; Torres, M.; Isla, M.I.; Verdenelli, R.A.; Meriles, J.M.; Maestri, D. Physico-chemical and toxicological assessment of liquid wastes from olive processing-related industries. J. Sci. Food Agric. 2012, 92, 216–223. [Google Scholar] [CrossRef] [PubMed]
- Fitza, K.N.E.; Payn, K.G.; Steenkamp, E.T.; Myburg, A.A.; Naidoo, S. Chitosan application improves resistance to fusarium circinatum in pinus patula. S. Afr. J. Bot. 2013, 85, 70–78. [Google Scholar] [CrossRef]
- Katiyar, D.; Hemantaranjan, A.; Singh, B. Chitosan as a promising natural compound to enhance potential physiological responses in plant: A review. Indian J. Plant Physiol. 2015, 20, 1–9. [Google Scholar] [CrossRef]
- Winkler, A.J.; Dominguez-Nuñez, J.A.; Aranaz, I.; Poza-Carrión, C.; Ramonell, K.; Somerville, S.; Berrocal-Lobo, M. Short-chain chitin oligomers: Promoters of plant growth. Mar. Drugs 2017, 15, 40. [Google Scholar] [CrossRef] [PubMed]
- Hallmann, J.; Rodriguez-Kabana, R.; Kloepper, J.W. Chitin-mediated changes in bacterial communities of the soil, rhizosphere and within roots of cotton in relation to nematode control. Soil Biol. Biochem. 1999, 31, 551–560. [Google Scholar] [CrossRef]
- Debode, J.; De Tender, C.; Soltaninejad, S.; Van Malderghem, C.; Haegeman, A.; Van der Linden, I.; Cottyn, B.; Heyndrickx, M.; Maes, M. Chitin mixed in potting soil alters lettuce growth, the survival of zoonotic bacteria on the leaves and associated rhizosphere microbiology. Front. Microbiol. 2016, 7. [Google Scholar] [CrossRef] [PubMed]
- Ling, N.; Zhu, C.; Xue, C.; Chen, H.; Duan, Y.H.; Peng, C.; Guo, S.W.; Shen, Q.R. Insight into how organic amendments can shape the soil microbiome in long-term field experiments as revealed by network analysis. Soil Biol. Biochem. 2016, 99, 137–149. [Google Scholar] [CrossRef]
- Lee, J.J.; Park, R.D.; Kim, Y.W.; Shim, J.H.; Chae, D.H.; Rim, Y.S.; Sohn, B.K.; Kim, T.H.; Kim, K.Y. Effect of food waste compost on microbial population, soil enzyme activity and lettuce growth. Bioresour. Technol. 2004, 93, 21–28. [Google Scholar] [CrossRef] [PubMed]
- Gutser, R.; Ebertseder, T.; Weber, A.; Schraml, M.; Schmidhalter, U. Short-term and residual availability of nitrogen after long-term application of organic fertilizers on arable land. J. Plant Nutr. Soil Sci. 2005, 168, 439–446. [Google Scholar] [CrossRef]
- Burnett, S.E.; Mattson, N.S.; Williams, K.A. Substrates and fertilizers for organic container production of herbs, vegetables, and herbaceous ornamental plants grown in greenhouses in the united states. Sci. Hortic. 2016, 208, 111–119. [Google Scholar] [CrossRef]
- Gulser, C.; Demir, Z.; Ic, S. Changes in some soil properties at different incubation periods after tobacco waste application. J. Environ. Biol. 2010, 31, 671–674. [Google Scholar] [PubMed]
- Fliessbach, A.; Mader, P. Carbon source utilization by microbial communities in soils under organic and conventional farming practice. In Microbial Communities—Functional versus Structural Approaches; Insam, H., Rangger, A., Eds.; Springer: Berlin/Heidelberg, Germany, 1997; pp. 109–120. [Google Scholar]
- Gomez, E.; Ferreras, L.; Toresani, S. Soil bacterial functional diversity as influenced by organic amendment application. Bioresour. Technol. 2006, 97, 1484–1489. [Google Scholar] [CrossRef] [PubMed]
- Saleem, M.; Pervaiz, Z.H.; Traw, M.B. Theories, mechanisms and patterns of microbiome species coexistence in an era of climate change. In Microbiome Community Ecology; Saleem, M., Ed.; Springer: New York, NY, USA, 2015; pp. 125–152. [Google Scholar]
- Romaniuk, R.; Giuffre, L.; Costantini, A.; Nannipieri, P. Assessment of soil microbial diversity measurements as indicators of soil functioning in organic and conventional horticulture systems. Ecologic. Indic. 2011, 11, 1345–1353. [Google Scholar] [CrossRef]
- Dong, Y.; Dong, K.; Tang, L.; Zheng, Y.; Yang, Z.X.; Xiao, J.X.; Zhao, P.; Hu, G.B. Relationship between rhizosphere microbial community functional diversity and faba bean fusarium wilt occurrence in wheat and faba bean intercropping system. Acta Ecol. Sin. 2013, 33, 7445–7454. [Google Scholar] [CrossRef]
- Asaduzzaman, M.; Asao, T. Autotoxicity in beans and their allelochemicals. Sci. Hortic. 2012, 134, 26–31. [Google Scholar] [CrossRef]
- Degens, B.P.; Schipper, L.A.; Sparling, G.P.; Duncan, L.C. Is the microbial community in a soil with reduced catabolic diversity less resistant to stress or disturbance? Soil Biol. Biochem. 2001, 33, 1143–1153. [Google Scholar] [CrossRef]







| Product | Source | Biostimulants | pH | N 1 (g/L) | P (g/L) | K (g/L) | Using Instructions | Providers | Production Organic Certification |
|---|---|---|---|---|---|---|---|---|---|
| CK | / | / | / | / | / | / | / | / | / |
| NPK | chemical reagent | / | 8.9 | 267.7 | 58.2 | 184.4 | 0.20% | / | / |
| L1 | shrimp extracts | chitosan | 7.2 | 98.0 | 1.3 | 23.2 | 0.25% | Shenbotai Biotechnology and Chemical Co., Ltd., Zhanjiang, Guangdong, China | China OFDC 2 certified organic |
| L2 | plant decomposition | humic acid | 10.4 | 140.1 | 11.4 | 169.5 | 0.17% | Tiancibao Agrtcultural and Technology Co., Ltd., Changsha, Hunan, China | / |
| L3 | vermicompost | amino acids | 4.0 | 49.0 | 0.7 | 65.5 | 0.25% | Wenxing Biotech Co., Ltd., Shanghai, China | China OFDC certified organic |
| L4 | seaweed extracts | alginate | 7.1 | 60.4 | 13.0 | 51.0 | 0. 17% | Qingdao Seawin Biotech Group Co., Ltd., Qingdao, Shandong, China | EU 3 certified organic |
| L5 | fish extracts | fish emulsion | 3.6 | 91.3 | 13.6 | 48.5 | 0.20% | Yirong Bio-engineering Co., Ltd., Ningde, Fujian, China | China OFDC certified organic |
| Treatment | Mineral N (mg/kg) | Avail-P (mg/kg) | Avail-K (mg/kg) | EC (us/cm) | pH |
|---|---|---|---|---|---|
| Non-R | 29.9 ± 2.7 a | 15.6 ± 0.3 d | 48.3 ± 1.9 a | 228.0 ±17.1 b | 5.1 ± 0.1 e |
| CK | 11.9 ± 0.6 d | 17.4 ± 0.7 cd | 18.3 ± 0.3 b | 139.6 ± 5.1 c | 5.3 ± 0.1 b |
| NPK | 7.4 ± 0.7 e | 18.7 ± 0.5 bcd | 17.4 ± 1.3 b | 186.8 ± 15.9 bc | 5.5 ± 0.1 a |
| L1 | 19.8 ± 1.2 b | 19.4 ± 1.1 bcd | 17.3 ± 0.5 b | 340.3 ± 39.6 a | 5.2 ± 0.1 cd |
| L2 | 12.5 ± 1.1 cd | 21.0 ± 0.9 bc | 18.5 ± 1.1 b | 194.6 ± 9.8 bc | 5.4 ± 0.1 a |
| L3 | 11.4 ± 0.4 d | 17.0 ± 0.7 d | 18.7 ± 1.1 b | 294.0 ± 10.1 bc | 5.1 ± 0.1 de |
| L4 | 13.1 ± 1.3 cd | 25.9 ± 2.5 a | 20.8 ± 1.3 b | 171.4 ± 28.9 c | 5.3 ± 0.1 bc |
| L5 | 16.3 ± 1.0 bc | 22.4 ± 1.3 ab | 19.0 ± 0.8 b | 209.3 ± 21.5 bc | 5.2 ± 0.1 bcd |
© 2017 by the authors. Licensee MDPI, Basel, Switzerland. This article is an open access article distributed under the terms and conditions of the Creative Commons Attribution (CC BY) license (http://creativecommons.org/licenses/by/4.0/).
Share and Cite
Ji, R.; Dong, G.; Shi, W.; Min, J. Effects of Liquid Organic Fertilizers on Plant Growth and Rhizosphere Soil Characteristics of Chrysanthemum. Sustainability 2017, 9, 841. https://doi.org/10.3390/su9050841
Ji R, Dong G, Shi W, Min J. Effects of Liquid Organic Fertilizers on Plant Growth and Rhizosphere Soil Characteristics of Chrysanthemum. Sustainability. 2017; 9(5):841. https://doi.org/10.3390/su9050841
Chicago/Turabian StyleJi, Rongting, Gangqiang Dong, Weiming Shi, and Ju Min. 2017. "Effects of Liquid Organic Fertilizers on Plant Growth and Rhizosphere Soil Characteristics of Chrysanthemum" Sustainability 9, no. 5: 841. https://doi.org/10.3390/su9050841
APA StyleJi, R., Dong, G., Shi, W., & Min, J. (2017). Effects of Liquid Organic Fertilizers on Plant Growth and Rhizosphere Soil Characteristics of Chrysanthemum. Sustainability, 9(5), 841. https://doi.org/10.3390/su9050841

