Sign in to use this feature.

Years

Between: -

Subjects

remove_circle_outline
remove_circle_outline
remove_circle_outline
remove_circle_outline
remove_circle_outline
remove_circle_outline
remove_circle_outline
remove_circle_outline
remove_circle_outline

Journals

remove_circle_outline
remove_circle_outline
remove_circle_outline
remove_circle_outline
remove_circle_outline
remove_circle_outline
remove_circle_outline
remove_circle_outline
remove_circle_outline
remove_circle_outline
remove_circle_outline
remove_circle_outline
remove_circle_outline
remove_circle_outline
remove_circle_outline
remove_circle_outline

Article Types

Countries / Regions

remove_circle_outline
remove_circle_outline
remove_circle_outline
remove_circle_outline
remove_circle_outline

Search Results (793)

Search Parameters:
Keywords = THCs

Order results
Result details
Results per page
Select all
Export citation of selected articles as:
17 pages, 1336 KB  
Article
Genotypic Variation in Photosynthesis and Biomass Partitioning Underlies Agronomic Performance and Cannabinoid Profile in Cannabis sativa Under Drought
by Mateus M. Pena, Felipe R. Miranda, Thiago O. Ribeiro, Gustavo C. S. Couto, Sérgio B. F. Rocha, Samuel C. V. Martins and Fábio M. DaMatta
Plants 2025, 14(24), 3840; https://doi.org/10.3390/plants14243840 - 17 Dec 2025
Viewed by 163
Abstract
Drought is a major constraint on Cannabis sativa productivity and cannabinoid yield, yet the physiological mechanisms underlying genotypic variation in drought responses remain poorly understood. We hypothesized that (i) more vigorous genotypes would sustain higher photosynthetic rates, (ii) drought would constrain photosynthesis through [...] Read more.
Drought is a major constraint on Cannabis sativa productivity and cannabinoid yield, yet the physiological mechanisms underlying genotypic variation in drought responses remain poorly understood. We hypothesized that (i) more vigorous genotypes would sustain higher photosynthetic rates, (ii) drought would constrain photosynthesis through both diffusional and non-diffusional limitations, and (iii) water deficits would alter cannabinoid production in a genotype-dependent manner. To test these hypotheses, two contrasting genotypes (one tetrahydrocannabinol- (THC) dominant and another cannabidiol- (CBD) dominant) were grown under greenhouse conditions, with water deficit imposed at early flowering. Water deficit induced neither osmotic nor elastic adjustment in either genotype. Although CBD plants accumulated more biomass, they did not exhibit higher photosynthetic rates under well-watered conditions. Under drought, THC plants relied primarily on stomatal regulation, whereas CBD plants showed additional nonstomatal impairments, resulting in stronger declines in photosynthesis. Despite contrasting photoprotective adjustments, both genotypes converged to similar oxidative damage, suggesting that photoprotection was not decisive for their physiological divergence. At the agronomic level, THC plants maintained a higher harvest index under drought, greater baseline cannabinoid concentrations, and inflorescence biomass with higher energetic value. In CBD plants, drought-induced reductions in cannabinoid content and harvest index largely reflected greater photosynthetic impairment and less efficient carbon use. Overall, the resilience of C. sativa to drought imposed at early flowering appears to depend less on hydraulic stability and more on sustaining photosynthetic performance, secondary metabolism, and efficient biomass partitioning. These traits represent key targets for breeding genotypes better adapted to cultivation under increasingly variable water availability. Full article
(This article belongs to the Section Plant Physiology and Metabolism)
Show Figures

Figure 1

19 pages, 3072 KB  
Article
Microtopography-Driven Soil Loss in Loess Slopes Based on Surface Heterogeneity with BPNN Prediction
by Lin Chen, Yiting Song, Jie Lin, Qinqian Meng and Jian Wang
Agriculture 2025, 15(24), 2602; https://doi.org/10.3390/agriculture15242602 - 16 Dec 2025
Viewed by 180
Abstract
Microtopography regulates soil erosion by shaping surface heterogeneity, but the mechanism of loess slope soil loss remains insufficiently quantified. This study combined laboratory rainfall simulations and machine learning to investigate how tillage-induced microtopography modulates soil loss through surface heterogeneity and hydrodynamic processes. Simulations [...] Read more.
Microtopography regulates soil erosion by shaping surface heterogeneity, but the mechanism of loess slope soil loss remains insufficiently quantified. This study combined laboratory rainfall simulations and machine learning to investigate how tillage-induced microtopography modulates soil loss through surface heterogeneity and hydrodynamic processes. Simulations used loess soil (silty loam) with a 5° slope, 60 mm/h rainfall intensity, and 5–30 min rainfall durations (RD). Results indicated that the mean weight diameter (MWD) and aggregate stability index (ASI) of structural, transition, and depositional crusts under micro-terrain decreased by 36~65% and 41~60%, respectively, while the fractal dimension (D) increased by 10~19%. Negative relationships were observed between ASI/MWD and D (R2 = 0.83~0.98). Horizontal cultivation (THC, surface roughness [SR] = 1.76, average depression storage [ADS] = 2.34 × 10−2 m3) delayed runoff connectivity and reduced cumulative soil loss (LS) by 42–58% compared to hoeing cultivation (THE, SR = 1.47, ADS = 3.23 × 10−4 m3). Abrupt hydrodynamic transitions occurred at 10 min RD (THE) and 15 min RD (artificial digging [TAD]), driven by trench connectivity and depression overflow. LS exhibited a significant positive correlation with D and RD and was inversely correlated with ASI, MWD, and SR. A three-hidden-layer BPNN exhibited high predictive accuracy for LS (mean square error = 0.07), verifying applicability in complex scenarios with significant microtopographic heterogeneity and multi-factor coupling. This study demonstrated that surface roughness and depression storage were the dominant microtopographic controls on loess slope soil loss. BPNN provided a reliable tool for soil loss prediction in heterogeneous microtopographic systems. The findings provide critical insights into optimizing tillage-based soil conservation strategies for sloping loess farmlands. Full article
Show Figures

Figure 1

36 pages, 2335 KB  
Review
Medical Marijuana and Treatment Personalization: The Role of Genetics and Epigenetics in Response to THC and CBD
by Małgorzata Kalak, Anna Brylak-Błaszków, Łukasz Błaszków and Tomasz Kalak
Genes 2025, 16(12), 1487; https://doi.org/10.3390/genes16121487 - 12 Dec 2025
Viewed by 410
Abstract
Personalizing therapy using medical marijuana (MM) is based on understanding the pharmacogenomics (PGx) and drug–drug interactions (DDIs) involved, as well as identifying potential epigenetic risk markers. In this work, the evidence regarding the role of variants in phase I (CYP2C9, CYP2C19 [...] Read more.
Personalizing therapy using medical marijuana (MM) is based on understanding the pharmacogenomics (PGx) and drug–drug interactions (DDIs) involved, as well as identifying potential epigenetic risk markers. In this work, the evidence regarding the role of variants in phase I (CYP2C9, CYP2C19, CYP3A4/5) and II (UGT1A9/UGT2B7) genes, transporters (ABCB1), and selected neurobiological factors (AKT1/COMT) in differentiating responses to Δ9-tetrahydrocannabinol (THC) and cannabidiol (CBD) has been reviewed. Data indicating enzyme inhibition by CBD and the possibility of phenoconversion were also considered, which highlights the importance of a dynamic interpretation of PGx in the context of current pharmacotherapy. Simultaneously, the results of epigenetic studies (DNA methylation, histone modifications, and ncRNA) in various tissues and developmental windows were summarized, including the reversibility of some signatures in sperm after a period of abstinence and the persistence of imprints in blood. Based on this, practical frameworks for personalization are proposed: the integration of PGx testing, DDI monitoring, and phenotype correction into clinical decision support systems (CDS), supplemented by cautious dose titration and safety monitoring. The culmination is a proposal of tables and diagrams that organize the most important PGx–DDI–epigenetics relationships and facilitate the elimination of content repetition in the text. The paper identifies areas of implementation maturity (e.g., CYP2C9/THC, CBD-CYP2C19/clobazam, AKT1, and acute psychotomimetic effects) and those requiring replication (e.g., multigenic analgesic signals), indicating directions for future research. Full article
(This article belongs to the Section Epigenomics)
Show Figures

Graphical abstract

0 pages, 1327 KB  
Article
Antibacterial Effect of Cannabinoids on Bacteria Associated with Persistent Endodontic Infections
by Cassandra Wieczerza, Haoyan Zhai, Mazin Askar, Zheng Zhou and Susan Paurazas
Int. J. Mol. Sci. 2025, 26(24), 11936; https://doi.org/10.3390/ijms262411936 - 11 Dec 2025
Viewed by 222
Abstract
Cannabinoids have been shown to have effective antibacterial applications. With the limitations of current intracanal endodontic medicaments and the rise of bacterial resistance, it is important to investigate novel treatment strategies for endodontic infections. The aim of this study was to test the [...] Read more.
Cannabinoids have been shown to have effective antibacterial applications. With the limitations of current intracanal endodontic medicaments and the rise of bacterial resistance, it is important to investigate novel treatment strategies for endodontic infections. The aim of this study was to test the antibacterial efficacy of cannabinoids on bacteria in persistent endodontic infections: Enterococcus faecalis, Streptococcus mutans, and Fusobacterium nucleatum. Planktonic bacteria were exposed to a negative control (no exposure), a positive control (3% NaOCl), and the experimental groups Cannabidiol (CBD), Cannabinol (CBN), and Tetrahydrocannabinol (THC). The Minimum Inhibitory Concentration (MIC) and Minimum Bactericidal Concentration (MBC) were also investigated. Biofilms were cultured and treated with cannabinoids. A crystal violet assay (CVA) and live/dead analysis assessed the biofilm degradation and inhibition, respectively. A statistical analysis was performed using an ANOVA. CBD, CBN, and THC reached a MIC for both E. faecalis and S. mutans in planktonic forms. The MBC was found for the tested cannabinoids on planktonic E. faecalis. No MBC was found for S. mutans. The live/dead analysis of E. faecalis and S. mutans biofilms showed a decrease in the viability of the biofilm with an increased cannabinoid concentration. The CVA revealed that cannabinoids only degrade the E. faecalis biofilm. Planktonic F. nucleatum had no MIC for tested cannabinoids. Cannabinoids have inhibitory effects on E. faecalis and S. mutans in the planktonic and biofilm states. No inhibitory effects of F. nucleatum were found at tested concentrations of all three cannabinoids. The findings suggest that cannabinoids have distinct antibacterial effects on certain pathogens associated with persistent endodontic infections. Full article
(This article belongs to the Special Issue Antimicrobial Materials: Molecular Developments and Applications)
Show Figures

Graphical abstract

11 pages, 470 KB  
Article
Prevalence and Impact of Substance Use on Hospitalization and Post-Discharge Outcomes in Individuals with Congestive Heart Failure: Findings from a Safety-Net Hospital
by Rosemarie Majdalani, Asmaa AlShammari, Marie Thearle, Mariel Magdits, Jinal Shah, Natalia Ionescu, Damian Kurian and Farbod Raiszadeh
Int. J. Environ. Res. Public Health 2025, 22(12), 1832; https://doi.org/10.3390/ijerph22121832 - 7 Dec 2025
Viewed by 310
Abstract
Introduction: Congestive heart failure (CHF) is a major global health challenge and the leading cause of hospitalization in the U.S., with disproportionately high 30-day readmission rates among low-income and minority communities. Social drivers of health and substance use both influence CHF outcomes, [...] Read more.
Introduction: Congestive heart failure (CHF) is a major global health challenge and the leading cause of hospitalization in the U.S., with disproportionately high 30-day readmission rates among low-income and minority communities. Social drivers of health and substance use both influence CHF outcomes, yet the effect of substance use on short-term readmissions remains understudied. This study evaluated the association between substance use and all-cause 30-day readmissions at a Safety-Net Community Hospital. Methods: A retrospective chart review was conducted among 500 adults admitted with CHF between 2019 and 2021. Substance use was defined as any documented use, identified through a positive urine toxicology or patient-reported social history of cocaine, tetrahydrocannabinol (THC), opioids, amphetamines, benzodiazepines, barbiturates, methadone, or phencyclidine (PCP). Alcohol and tobacco were assessed separately. Group differences were assessed using Chi-square and Wilcoxon rank-sum tests. Multivariable logistic regression was used for 30-day readmissions, and multivariable Poisson regression was used for total hospitalizations and length of stay (LOS). Results: Evidence of substance use was present in 38% of patients, with cocaine and THC most common. Patients with a history of substance use were younger, more often male, and experienced greater socioeconomic disadvantage. They had higher all-cause 30-day readmissions (21% vs. 14%; p = 0.048), more total hospitalizations (median 2 vs. 1 stay; p < 0.0001), and shorter LOS (median 4 vs. 5 days; p = 0.04). No differences were observed in 7-day post-hospitalization. Conclusions: Substance use is common among CHF patients at a safety-net hospital and was associated with higher 30-day readmissions as well as shorter hospital stays, which may reflect premature discharge rather than improved recovery. Future studies should assess whether addressing substance use alongside socioeconomic disparities can reduce readmissions in this population. Full article
Show Figures

Figure 1

19 pages, 1156 KB  
Review
The Pleiotropic Influence of Cannabidiol and Tetrahydrocannabinol on Inflammatory Biomarkers: A Systematic Review and Meta-Analytical Synthesis
by Bruno Moreira Candeloro, Camila M. de Oliveira, Fabiana Veronez Martelato Gimenez, Marianne P. C. N. Barbosa, Beatriz Paiva Soares, Ana C. F. Ruiz, Derfel R. M. A. Folegatti, Sandra Maria Barbalho, Nancy S. Oliveira, Andrey A. Porto, David Matthew Garner, Fernando H. Sousa and Vitor E. Valenti
Int. J. Mol. Sci. 2025, 26(23), 11618; https://doi.org/10.3390/ijms262311618 - 30 Nov 2025
Viewed by 488
Abstract
Preclinical data suggest that cannabidiol (CBD) and Δ9-tetrahydrocannabinol (THC) modulate inflammatory pathways (e.g., NLRP3, NF-κB, and PPAR-γ), but clinical translation into consistent changes in circulating biomarkers remains ambiguous. Two reviewers independently screened the studies, extracted data, and assessed risk of bias with RoB-2. [...] Read more.
Preclinical data suggest that cannabidiol (CBD) and Δ9-tetrahydrocannabinol (THC) modulate inflammatory pathways (e.g., NLRP3, NF-κB, and PPAR-γ), but clinical translation into consistent changes in circulating biomarkers remains ambiguous. Two reviewers independently screened the studies, extracted data, and assessed risk of bias with RoB-2. Random-effects meta-analyses (RevMan 5.4.1) formed standardized mean differences (SMD) or mean differences (MD) as appropriate. The certainty of evidence was graded by means of GRADE. Thirteen studies satisfied inclusion criteria; meta-analyses were feasible for IL-6 (four studies, n ≈ 129 per arm), IL-8 (two studies, n ≈ 78 per arm), IL-10 (two studies, n ≈ 92 per arm), and TNF-α (three studies, n ≈ 105 per arm). Pooled estimates favored CBD but were trivial and imprecise: IL-6 SMD −0.17 (95% CI −0.56 to 0.23; p = 0.41; I2 = 55%); IL-8 SMD −0.30 (95% CI −0.62 to 0.01; p = 0.06; I2 = 0%); IL-10 SMD −0.10 (95% CI −0.83 to 0.63; p = 0.79; I2 = 81%); and TNF-α SMD −0.09 (95% CI −0.45 to 0.27; p = 0.62; I2 = 33%). Individual trials reported reductions in biomarkers in high-exposure or diseased populations. GRADE ratings were as follows: IL-6 very low, IL-8 moderate, IL-10 low, and TNF-α moderate. Current RCT evidence demonstrates inconsistent, often trivial effects of phytocannabinoid interventions on circulating inflammatory biomarkers. Full article
(This article belongs to the Special Issue Advancements in Inflammatory and Oxidative Disease Research)
Show Figures

Figure 1

32 pages, 2233 KB  
Review
Cannabinoids and Extracellular Vesicles as Potential Biomarkers and Therapeutic Targets in Neuropsychiatric Disorders: A Hypothesis-Driven Review
by Bruno L. Marques, Pedro H. C. Lirio, Maria A. Vicente, Paula Unzueta-Larrinaga, Leyre Urigüen and Alline C. Campos
Pharmaceuticals 2025, 18(12), 1817; https://doi.org/10.3390/ph18121817 - 28 Nov 2025
Viewed by 4984
Abstract
Background and Objectives: Neuropsychiatric disorders pose a major global health challenge, marked by high prevalence, limited diagnostic precision, and suboptimal therapeutic outcomes. Current diagnoses remain primarily clinical, lacking objective biomarkers, while many patients experience poor remission rates and frequent relapse. The endocannabinoid [...] Read more.
Background and Objectives: Neuropsychiatric disorders pose a major global health challenge, marked by high prevalence, limited diagnostic precision, and suboptimal therapeutic outcomes. Current diagnoses remain primarily clinical, lacking objective biomarkers, while many patients experience poor remission rates and frequent relapse. The endocannabinoid system (ECS), a central regulator of synaptic plasticity, neuroinflammation, and stress responses, is increasingly implicated in depression, anxiety, schizophrenia, and neurodegenerative diseases. In parallel, extracellular vesicles (EVs) have emerged as critical mediators of intercellular communication and promising biomarker sources, as they reflect the physiological or pathological status of their cells of origin. This review examines the hypothesis that interactions between ECS signaling and EV-mediated communication form a convergent pathway shaping vulnerability and resilience in neuropsychiatric disorders, with potential implications for biomarker identification and therapeutic innovation. Methods: This hypothesis-driven review was developed using a narrative approach, focusing on the interface between cannabinoids and EVs in neuropsychiatric conditions. Relevant publications were identified through PubMed, Scopus, and Web of Science searches up to September 2025. Results: Emerging evidence indicates a bidirectional relationship between ECS activity and EV biology: endocannabinoids can be loaded into EVs to facilitate intercellular signaling, while phytocannabinoids such as THC and CBD can alter EV release and cargo composition. Conclusions: We propose a hypothesis-driven framework in which the possible interplay between cannabinoids and EVs may stimulate new research and support the development of biomarker-guided, personalized therapeutic strategies for neuropsychiatric disorders. Full article
Show Figures

Graphical abstract

10 pages, 2085 KB  
Article
Blue and Green Phosphorescent Organic Light-Emitting Diodes Based on Bis(cyclometalated) Tetrahydrocurcuminate Iridium(III) Complexes
by Francesco Fagnani, Alessia Colombo, Claudia Dragonetti, Mattia Fontani, Dominique Roberto, Massimo Cocchi, Simona Fantacci and J. A. Gareth Williams
Inorganics 2025, 13(12), 390; https://doi.org/10.3390/inorganics13120390 - 27 Nov 2025
Viewed by 424
Abstract
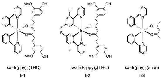
The non-linear optical and antitumoral properties of cis-Ir(N,C-ppy)2(O,O-THC) have previously been established (where ppy and THC are the deprotonated forms of 2-phenylpyridine and tetrahydrocurcumin, respectively). In the present study, this complex is investigated as a green [...] Read more.
The non-linear optical and antitumoral properties of cis-Ir(N,C-ppy)2(O,O-THC) have previously been established (where ppy and THC are the deprotonated forms of 2-phenylpyridine and tetrahydrocurcumin, respectively). In the present study, this complex is investigated as a green phosphorescent emitter for an OLED fabricated by solution processing. The device efficiency is similar to that of an analogue employing the archetypal complex cis-Ir(N,C-ppy)2(O,O-acac), but shows a higher luminance at low applied voltages (<6 V). In order to explore whether this effect might be observed in the blue region too, a new derivative has been prepared and characterized, namely cis-Ir(N,C-F2ppy)2(O,O-THC) (F2ppyH = 2-(2,4-difluorophenyl)pyridine). It, too, gives an OLED with a particularly high luminance at low voltage, suggesting a beneficial effect of substituting acetylacetonate by tetrahydrocurcuminate. Full article
Show Figures

Figure 1

15 pages, 1897 KB  
Article
Does the Biofloc System Affect Water Quality, Reproduction, and Hemato-Immunology of Penaeus vannamei During Broodstock Maturation?
by Fernanda Guimarães de Carvalho, Cristhiane Guertler, Felipe Boechàt Vieira, Raphael de Leão Serafini, Haluko Massago, Eduardo da Silva, Jaqueline Inês Alves de Andrade and Edemar Roberto Andreatta
Animals 2025, 15(23), 3424; https://doi.org/10.3390/ani15233424 - 27 Nov 2025
Viewed by 369
Abstract
Traditional shrimp maturation uses high water exchange, conflicting with sustainable farming and biosecurity, although broodstock production systems have been updated by the adoption of closed-cycle production. So, this study evaluated BFT for Penaeus vannamei broodstock maturation, comparing it against a conventional system. The [...] Read more.
Traditional shrimp maturation uses high water exchange, conflicting with sustainable farming and biosecurity, although broodstock production systems have been updated by the adoption of closed-cycle production. So, this study evaluated BFT for Penaeus vannamei broodstock maturation, comparing it against a conventional system. The research compared two treatments, BFT and CW, in three replicated tank systems. Each experimental unit was a circular fiberglass tank with 5.63 m3 working volume. BFT tanks involved a 3.12 m2 mobile triangular cage for viewing and capturing mated females. Parameters monitored included water quality, reproductive performance and hemato-immunological responses. The BFT system resulted in greater water quality stability, significantly lower water consumption, and lower Total Ammonia Nitrogen (TAN) concentrations, indicating efficient ammonia recycling. Also, reproductive performance and most hemato-immunological parameters did not differ significantly between treatments. Although CW showed slightly higher broodstock survival and sperm viability, BFT males exhibited a significantly higher Total Hemocyte Count (THC). Overall, BFT is suitable for sustainable P. vannamei broodstock maturation, as it promotes stable environmental conditions without compromising reproductive or immunological performance. Further research is recommended, particularly regarding effects of zero-water-exchange on male shrimp and improvements on capture structures. Full article
Show Figures

Figure 1

16 pages, 1068 KB  
Article
Effect of Propagation Techniques on Growth, Development, Oil Yield, and Quality of Medicinal Cannabis (Cannabis sativa) Found in Lusikisiki, Eastern Cape, South Africa
by Azile Dumani, Tembakazi Theodora Silwana, Ifeanyi Moses Egbichi, Adebola Omowunmi Oyedeji, Babalwa Mpambani and Hlabana Alfred Seepe
Horticulturae 2025, 11(12), 1428; https://doi.org/10.3390/horticulturae11121428 - 26 Nov 2025
Viewed by 417
Abstract
This study investigated the influence of cutting techniques on the growth, development, yield, and oil quality of Cannabis sativa found in the Eastern Cape Province. The greenhouse pot experiment was conducted at Dohne Agricultural Development Institute (DADI), Stutterheim, Eastern Cape, during the winter [...] Read more.
This study investigated the influence of cutting techniques on the growth, development, yield, and oil quality of Cannabis sativa found in the Eastern Cape Province. The greenhouse pot experiment was conducted at Dohne Agricultural Development Institute (DADI), Stutterheim, Eastern Cape, during the winter and summer growing seasons of 2024/25. It was laid out in a Randomized Complete Design (RCD) with three treatments replicated three times. The treatments used were herbaceous shoot cutting with two different leaf area (LA) trimming amounts and sexual propagation. The parameters measured were plant height, number of branches, stem girth, number of weeks to first flowering, number of flowers, flower sex, number of weeks to 50% embar colorations, plant fresh weight, leaf and flower weights, and dry leaf and flower weights. The flower oil yield and cannabinoid composition were determined using GC-MS. The results indicate that the sexually propagated plants were taller (p < 0.05) with vigorous growth; had the highest fresh plant, leaf, and dry leaf weights; and had a higher number of male flowers overall. Herbaceous shoot cutting without LA trimming showed a significantly higher numbers of branches and flowers, as well as more rapid flowering, fresh and dry flower weights, and physiological maturity. The highest number of female flowers was recorded from cuttings, irrespective of the cutting technique. Additionally, cannabinoid concentrations in Cannabis sativa oil were influenced by the propagation techniques. In the first growing season, herbaceous shoot cutting with 50% LA trimming had the highest CBD, while in the second growing season, the sexually propagated treatment had the highest CBD concentration. Additionally, herbaceous shoot cutting without LA trimming recorded the highest Δ9-THC concentration, followed by the treatment with 50% LA trimming during the first growing season. These findings indicate that asexual propagation through cuttings is a suitable propagation choice for flower production for pharmaceutical purposes, as female-only plants can be selected. However, sexual propagation should be used for fibre production. Full article
(This article belongs to the Section Medicinals, Herbs, and Specialty Crops)
Show Figures

Figure 1

23 pages, 6786 KB  
Article
Implications of Discrete vs. Continuously Adjustable Current for Electrically Heated Catalytic Converters
by Marko Petkovšek, Peter Zajec, Mitja Nemec, Andraž Rihar, Danjel Vončina, Vanja Ambrožič, Jure Golob and David Nedeljković
Appl. Sci. 2025, 15(23), 12483; https://doi.org/10.3390/app152312483 - 25 Nov 2025
Viewed by 183
Abstract
Despite the obvious shift in daily commuting towards electromobility, internal combustion engines (ICEs) still dominate the market, particularly in the transport sector. Their main drawback—cold-start emissions—has driven the development of active control strategies beyond passive exhaust optimizations. An electrically heated catalytic converter (EHC) [...] Read more.
Despite the obvious shift in daily commuting towards electromobility, internal combustion engines (ICEs) still dominate the market, particularly in the transport sector. Their main drawback—cold-start emissions—has driven the development of active control strategies beyond passive exhaust optimizations. An electrically heated catalytic converter (EHC) helps the catalytic converter reach the light-off temperature more quickly through active control; however, it places additional demands on the already strained onboard electrical power distribution network. This paper presents a case study comparing two power supply and control configurations for managing the temperature of the EHC: (i) a smart-switch-based approach using bang-bang control, and (ii) a DC/DC converter with a proportional–integral–derivative (PID) controller. To define key target requirements for a dedicated DC/DC converter suitable for real-world conditions, measurement data such as temperature and electrical power demand were gathered through preliminary pollutant emissions tests performed in a laboratory environment using a programmable bench power supply. For the selected test procedure, engine cold-start emissions using various heater power supply scenarios were reduced by a factor of 6 for Total Hydrocarbons (THC) and by a factor of 5 for Carbon Monoxide (CO). Based on a comparative analysis of power supply parameters, a custom four-leg interleaved Buck converter was developed to meet the target power requirement and to specifically reduce voltage overstress caused by parasitic inductances in the onboard distribution network during rapid load current transients. The efficiency of the proposed DC/DC converter reached 95.8%. Unlike a bang-bang-controlled smart switch, the use of the DC/DC converter reduces both electrical and thermal stress on the vehicle’s cable harness. Full article
(This article belongs to the Section Electrical, Electronics and Communications Engineering)
Show Figures

Figure 1

18 pages, 2211 KB  
Article
Semi-Quantitative On-Site Microfluidic Assay to Detect 11-Nor-9-carboxy-delta 9-Tetrahydrocannabinol (THC-COOH) in Urine
by YeJi Jung, Isaac Choi, Hyunjun Bae, Joonseok Seo, Sunchun Kim, Sangki Lee, Jeongmin Lee, Yohan Jeong, Juhyung Kim, Heesun Chung, Hyunho Kim and Seok Chung
Sensors 2025, 25(23), 7115; https://doi.org/10.3390/s25237115 - 21 Nov 2025
Viewed by 587
Abstract
The rapid detection of 11-nor-9-carboxy-delta-9-tetrahydrocannabinol (THC-COOH), a primary cannabis metabolite, is critical for forensic and workplace drug testing. However, conventional immunoassays often lack sensitivity and objectivity. We developed a portable lateral flow immunoassay device with a microfluidic cartridge and fluorescent reader for the [...] Read more.
The rapid detection of 11-nor-9-carboxy-delta-9-tetrahydrocannabinol (THC-COOH), a primary cannabis metabolite, is critical for forensic and workplace drug testing. However, conventional immunoassays often lack sensitivity and objectivity. We developed a portable lateral flow immunoassay device with a microfluidic cartridge and fluorescent reader for the semi-quantitative detection of THC-COOH in urine. A test-to-reference fluorescence ratio was employed to mitigate matrix effects and ensure objective results. The device was validated for accuracy, repeatability, and stability using spiked urine samples and compared against validated LC-MS/MS results on 100 authentic urine samples (50 positive and 50 negative). At a cutoff of 20 ng/mL, the device achieved 100% sensitivity and specificity, with repeatability and reproducibility CVs of below 15%. The cutoff index (COI) strongly correlated with LC-MS/MS results (R2 = 0.9471). Crucially, this high correlation with hydrolyzed LC-MS/MS data demonstrates that the antibody recognizes both free and glucuronide-conjugated metabolites, validating its reliability without enzymatic pre-treatment. This microfluidic device enables rapid, sensitive on-site THC-COOH detection, featuring automated data management via Wi-Fi connectivity, enhancing its forensic applicability. Full article
(This article belongs to the Special Issue Point-of-Care Biosensors: Design and Applications)
Show Figures

Figure 1

21 pages, 2724 KB  
Article
Influence of Agronomic Practices on the Bioactive Compound Production in Cannabis sativa L.
by Esperanza Dalmau, Mónica Umaña, Valeria Eim, José Bon and Susana Simal
Int. J. Mol. Sci. 2025, 26(22), 10999; https://doi.org/10.3390/ijms262210999 - 13 Nov 2025
Viewed by 325
Abstract
Industrial hemp phytochemistry is shaped by genetics and agronomic management, yet field studies integrating both remain scarce. The combined effects of cultivar, planting density, fertilization, and flowering time on cannabinoids, terpenes, and antioxidants in Cannabis sativa L. were evaluated. A field trial was [...] Read more.
Industrial hemp phytochemistry is shaped by genetics and agronomic management, yet field studies integrating both remain scarce. The combined effects of cultivar, planting density, fertilization, and flowering time on cannabinoids, terpenes, and antioxidants in Cannabis sativa L. were evaluated. A field trial was conducted in Mallorca (2023) using two cultivars (Enectaliana, Enectarol) grown at two densities (Sector 1 ≈ 2.3 plants m−2; Sector 2 ≈ 4.6 plants m−2), with sampling from flowering onset (week 0) to week 5. In Enectaliana, fertilization (with vs. without) was tested. Enectaliana displayed CBD/CBDVA-dominated profiles, whereas Enectarol was CBG-predominant; THC remained consistently low. Effects were assessed via three-way ANOVA (Density × Time × Cultivar; Density × Time × Fertilization). The cultivar and time explained most of the variance, with interactions modulating magnitudes without altering effect hierarchies. Planting density acted as a second-order modulator, modulating concentrations without reversing cultivar rankings. Terpenes peaked early and generally declined as flowering progressed, with cultivar-dependent trajectories. Total phenolics and antioxidant activity (ABTS, FRAP assays) increased steadily until week 5, with density and treatment effects. In Enectaliana, fertilization effects were selective: ABTS values tended to be higher in unfertilized plants at the end of the cycle, FRAP results showed a density interaction, and cannabinoids exhibited non-linear responses to nutrient supply. Full article
(This article belongs to the Collection Feature Papers Collection in Biochemistry)
Show Figures

Figure 1

13 pages, 448 KB  
Article
Analysis of the Prevalence of Alcohol and Psychoactive Substances Among Drivers in the Material from the Department of Forensic Medicine at the Medical University of Bialystok in Poland
by Michal Szeremeta, Julia Janica, Gabriela Jurkiewicz, Marta Galicka, Julia Koścień, Julia Więcko, Jakub Perkowski, Michal Krzysztof Jeleniewski, Karol Siemieniuk and Anna Niemcunowicz-Janica
Toxics 2025, 13(11), 960; https://doi.org/10.3390/toxics13110960 - 6 Nov 2025
Viewed by 815
Abstract
In recent years, the issue of drivers under the influence of medications and psychoactive substances as a cause of road accidents has gained increasing importance. This study aimed to assess the prevalence and blood concentration ranges of alcohol and psychoactive substances among drivers [...] Read more.
In recent years, the issue of drivers under the influence of medications and psychoactive substances as a cause of road accidents has gained increasing importance. This study aimed to assess the prevalence and blood concentration ranges of alcohol and psychoactive substances among drivers in northeastern Poland between 2013 and 2024. To determine the prevalence of medications and psychoactive substances in drivers’ blood, data were collected from 266 blood samples obtained from drivers (251 men and 15 women). Among these, 79 drivers died immediately, 61 drivers survived the accident, and 126 drivers were stopped for roadside checks. The presence of the studied substances was confirmed using gas chromatography combined with mass spectrometry detection (GC-MS) and liquid chromatography combined with mass spectrometry detection (LC-MS). Blood alcohol content was measured using headspace gas chromatography with a flame ionisation detector (HS-GC-FID). Psychoactive substances were detected in 152 of the 266 samples. Drivers testing positive for medications and psychoactive substances were most frequently stopped during roadside controls—67.46%. Among the total positive cases, psychoactive substances used alone or in combination included THC—46.3% (range 0.2–20 ng/mL), alcohol—26.8% (range 0.1–4.1‰), amphetamines—20.7% (range 15–2997 ng/mL), opiates—4.3% (morphine 66.0 ng/mL; methadone 174.0 ng/mL; ranges: tramadol 15.0–600.0 ng/mL; fentanyl 45.0–100.0 ng/mL), benzodiazepines—9.8% (ranges: diazepam 55.0–480.0 ng/mL; midazolam 17.0–1200.0 ng/mL; clonazepam 21.0–36.0 ng/mL), stimulants—6.10% (ranges: amphetamine 15.0–2997.0 ng/mL; cocaine 4.0–30.0 ng/mL; benzoylecgonine 38.0–602.0 ng/mL; PMMA 45.0–360.0 ng/mL; MDMA 20.0–75.0 ng/mL; mephedrone 37.5 ng/mL; alfa-PVP 120 ng/mL), psychotropic drugs—3.1% (carbamazepine 8.0–2100.0 ng/mL; zolpidem 233.0 ng/mL; citalopram 320.0 ng/mL; opipramol 220 ng/mL). The most commonly used substance among car and motorcycle drivers was THC (37.7% of car drivers and 60% of motorcyclists). Among operators of other types of vehicles, alcohol was the most frequently detected substance, present in 35% of cases. The majority of drivers (81.1%) were under the influence of a single substance. Among the drivers, 7.3% consumed alcohol in combination with at least one other substance, and 11.6% used two or more substances excluding alcohol. Among the psychoactive substances most frequently used alone or in combination with others, THC was predominant. Roadside testing, based on effects similar to alcohol intoxication, was mainly conducted on male drivers. Full article
(This article belongs to the Special Issue Current Issues and Research Perspectives in Forensic Toxicology)
Show Figures

Graphical abstract

18 pages, 866 KB  
Review
Neuroprotective Role of Cannabinoids in Retinal Disease
by George Ayoub
Receptors 2025, 4(4), 22; https://doi.org/10.3390/receptors4040022 - 4 Nov 2025
Viewed by 944
Abstract
Cannabinoids, compounds that interact with the endocannabinoid system, have shown promising neuroprotective effects in various neurodegenerative diseases, including those affecting the retina. This review evaluates evidence for the presence and action of cannabinoids in the retina, their function in protecting against oxidative stress [...] Read more.
Cannabinoids, compounds that interact with the endocannabinoid system, have shown promising neuroprotective effects in various neurodegenerative diseases, including those affecting the retina. This review evaluates evidence for the presence and action of cannabinoids in the retina, their function in protecting against oxidative stress and modulating neuroinflammation, and the outcomes observed in animal models of retinal diseases such as glaucoma and age-related macular degeneration (AMD), the most common causes of vision loss. Cannabinoids have proven effective in reducing the neurodegeneration seen in these eye diseases, acting via the CB1 and CB2 cannabinoid receptors. The cannabinoid neuroprotective effect is often of a similar magnitude to the other proven therapy of medical dosage of vitamins, though it confers a greater risk due to neurotoxicity with high THC:CBD ratios, making the vitamin therapy of greater efficacy when time is available. Given the increased ratio of THC:CBD in commercial cannabis strains, rising from 10:1 at the beginning of this century to 100:1 now, the risk of neurotoxicity has increased, reducing the neuroprotective benefit. The proven safety and efficacy of vitamin therapy may be a more viable neuroprotective method than cannabinoid use for chronic conditions, with cannabinoids proving their utility in more acute conditions. This review evaluates both the method of action of cannabinoids and the receptor pathway utilized and compares the suggested therapeutic applicability of cannabinoids with proven vitamin therapy. Full article
Show Figures

Graphical abstract

Back to TopTop