Young Age and Concomitant Cannabis (THC) and Ethanol (EtOH) Exposure Enhances Rat Brain Damage Through Decreased Cerebral Mitochondrial Respiration
Abstract
1. Introduction
2. Results
2.1. Baseline Brain Mitochondrial Respiration and H2O2 Production
2.2. EtOH Effects on Brain Mitochondrial Respiration and H2O2 Production
2.3. Effects of THC Associated with EtOH on Brain Mitochondrial Respiration and H2O2 Production
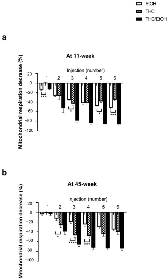
2.4. Concomitant THC Enhanced the Deleterious Effects of EtOH on Brain Mitochondrial Respiration in 11- and 45-Week-Old Rats
2.5. Relative Contributions of Ethanol and THC on Brain Mitochondrial Respiration Alterations
3. Discussion
3.1. EtOH Significantly Decreases Brain Mitochondrial Respiration
3.2. Concomitant THC and EtOH Further Aggravates Brain Mitochondrial Respiration Impairment
3.3. Age Modulates THC- and EtOH-Induced Brain Damage
4. Materials and Methods
4.1. Study Design
4.2. Mitochondrial Extraction
4.3. Mitochondrial Respiration
4.4. Mitochondrial H2O2 Production
4.5. Statistical Analysis
5. Limitation and Perspectives
6. Conclusions
Author Contributions
Funding
Institutional Review Board Statement
Informed Consent Statement
Data Availability Statement
Acknowledgments
Conflicts of Interest
References
- Degenhardt, L.; Hall, W. Extent of Illicit Drug Use and Dependence, and Their Contribution to the Global Burden of Disease. Lancet 2012, 379, 55–70. [Google Scholar] [CrossRef]
- Substance Abuse and Mental Health Services Administration. Results from the 2011 National Survey on Drug Use and Health: Summary of National Findings, NSDUH Series H-44, HHS Publication no. (SMA) 12-4713; Substance Abuse and Mental Health Services Administrations: Rockville, MD, USA, 2012.
- Patrick, M.E. Daily or Near-Daily Cannabis and Alcohol Use by Adults in the United States: A Comparison across Age Groups. Addiction 2024. Online ahead of print. [Google Scholar] [CrossRef] [PubMed]
- Martinez Naya, N.; Kelly, J.; Corna, G.; Golino, M.; Abbate, A.; Toldo, S. Molecular and Cellular Mechanisms of Action of Cannabidiol. Molecules 2023, 28, 5980. [Google Scholar] [CrossRef]
- Siracusa, L.; Ruberto, G.; Cristino, L. Recent Research on Cannabis sativa L.: Phytochemistry, New Matrices, Cultivation Techniques, and Recent Updates on Its Brain-Related Effects (2018–2023). Molecules 2023, 28, 3387. [Google Scholar] [CrossRef]
- Ciucă Anghel, D.-M.; Nițescu, G.V.; Tiron, A.-T.; Guțu, C.M.; Baconi, D.L. Understanding the Mechanisms of Action and Effects of Drugs of Abuse. Molecules 2023, 28, 4969. [Google Scholar] [CrossRef]
- Duczmal, D.; Bazan-Wozniak, A.; Niedzielska, K.; Pietrzak, R. Cannabinoids-Multifunctional Compounds, Applications and Challenges-Mini Review. Molecules 2024, 29, 4923. [Google Scholar] [CrossRef] [PubMed]
- De Faria, L.; Mezey, L.; Winkler, A. Cannabis Legalization and College Mental Health. Curr. Psychiatry Rep. 2021, 23, 17. [Google Scholar] [CrossRef]
- Spear, L.P. Neurobehavioral Changes in Adolescence. Curr. Dir. Psychol. Sci. 2000, 9, 111–114. [Google Scholar] [CrossRef]
- Zamberletti, E.; Rubino, T. Dos(e)Age: Role of Dose and Age in the Long-Term Effect of Cannabinoids on Cognition. Molecules 2022, 27, 1411. [Google Scholar] [CrossRef]
- Jeffers, A.M.; Glantz, S.; Byers, A.L.; Keyhani, S. Association of Cannabis Use with Cardiovascular Outcomes Among US Adults. J. Am. Heart Assoc. 2024, 13, e030178. [Google Scholar] [CrossRef] [PubMed]
- Cotier, P.; Mayer, C.; Etting, I.; Lorin de la Grandmaison, G.; Alvarez, J.-C. Evaluation of the Cardiovascular Risk Induced by Cannabis Use from a Series of 43 Autopsy Cases. Int. J. Leg. Med. 2023, 137, 1725–1733. [Google Scholar] [CrossRef] [PubMed]
- DeFilippis, E.M.; Singh, A.; Divakaran, S.; Gupta, A.; Collins, B.L.; Biery, D.; Qamar, A.; Fatima, A.; Ramsis, M.; Pipilas, D.; et al. Cocaine and Marijuana Use Among Young Adults with Myocardial Infarction. J. Am. Coll. Cardiol. 2018, 71, 2540–2551. [Google Scholar] [CrossRef] [PubMed]
- Weresa, J.; Pędzińska-Betiuk, A.; Mińczuk, K.; Malinowska, B.; Schlicker, E. Why Do Marijuana and Synthetic Cannabimimetics Induce Acute Myocardial Infarction in Healthy Young People? Cells 2022, 11, 1142. [Google Scholar] [CrossRef]
- Pacher, P.; Steffens, S.; Haskó, G.; Schindler, T.H.; Kunos, G. Cardiovascular Effects of Marijuana and Synthetic Cannabinoids: The Good, the Bad, and the Ugly. Nat. Rev. Cardiol. 2018, 15, 151–166. [Google Scholar] [CrossRef] [PubMed]
- Volkow, N.D.; Baler, R.D.; Compton, W.M.; Weiss, S.R.B. Adverse Health Effects of Marijuana Use. N. Engl. J. Med. 2014, 370, 2219. [Google Scholar] [CrossRef] [PubMed]
- Freeman, M.J.; Rose, D.Z.; Myers, M.A.; Gooch, C.L.; Bozeman, A.C.; Burgin, W.S. Ischemic Stroke after Use of the Synthetic Marijuana “Spice”. Neurology 2013, 81, 2090–2093. [Google Scholar] [CrossRef] [PubMed]
- Wolff, V.; Rouyer, O.; Geny, B. Adverse Health Effects of Marijuana Use. N. Engl. J. Med. 2014, 371, 878. [Google Scholar] [CrossRef]
- Wolff, V.; Armspach, J.-P.; Lauer, V.; Rouyer, O.; Bataillard, M.; Marescaux, C.; Geny, B. Cannabis-Related Stroke: Myth or Reality? Stroke 2013, 44, 558–563. [Google Scholar] [CrossRef] [PubMed]
- Ekker, M.S.; Boot, E.M.; Singhal, A.B.; Tan, K.S.; Debette, S.; Tuladhar, A.M.; de Leeuw, F.-E. Epidemiology, Aetiology, and Management of Ischaemic Stroke in Young Adults. Lancet Neurol. 2018, 17, 790–801. [Google Scholar] [CrossRef] [PubMed]
- Béjot, Y.; Delpont, B.; Giroud, M. Rising Stroke Incidence in Young Adults: More Epidemiological Evidence, More Questions to Be Answered. J. Am. Heart Assoc. 2016, 5, e003661. [Google Scholar] [CrossRef] [PubMed]
- Wolff, V.; Armspach, J.-P.; Beaujeux, R.; Manisor, M.; Rouyer, O.; Lauer, V.; Meyer, N.; Marescaux, C.; Geny, B. High Frequency of Intracranial Arterial Stenosis and Cannabis Use in Ischaemic Stroke in the Young. Cerebrovasc. Dis. 2014, 37, 438–443. [Google Scholar] [CrossRef]
- Gueyraud, G.; Guidolin, B.; Olivot, J.-M.; Lerebours, F.; Barbieux-Guillot, M.; Larrue, V.; Gollion, C. Stroke Phenotype in Cannabis Users among Young Adults with Ischemic Stroke. Eur. J. Neurol. 2023, 30, 1891–1898. [Google Scholar] [CrossRef]
- Mahoney, J.M.; Harris, R.A. Effect of 9 -Tetrahydrocannabinol on Mitochondrial Precesses. Biochem. Pharmacol. 1972, 21, 1217–1226. [Google Scholar] [CrossRef]
- Chiu, P.; Karler, R.; Craven, C.; Olsen, D.M.; Turkanis, S.A. The Influence of Delta9-Tetrahydrocannabinol, Cannabinol and Cannabidiol on Tissue Oxygen Consumption. Res. Commun. Chem. Pathol. Pharmacol. 1975, 12, 267–286. [Google Scholar] [PubMed]
- Athanasiou, A.; Clarke, A.B.; Turner, A.E.; Kumaran, N.M.; Vakilpour, S.; Smith, P.A.; Bagiokou, D.; Bradshaw, T.D.; Westwell, A.D.; Fang, L.; et al. Cannabinoid Receptor Agonists Are Mitochondrial Inhibitors: A Unified Hypothesis of How Cannabinoids Modulate Mitochondrial Function and Induce Cell Death. Biochem. Biophys. Res. Commun. 2007, 364, 131–137. [Google Scholar] [CrossRef] [PubMed]
- Charles, A.-L.; Charloux, A.; Vogel, T.; Raul, J.-S.; Kindo, M.; Wolff, V.; Geny, B. Cumulative Deleterious Effects of Tetrahydrocannabinoid (THC) and Ethanol on Mitochondrial Respiration and Reactive Oxygen Species Production Are Enhanced in Old Isolated Cardiac Mitochondria. Int. J. Mol. Sci. 2024, 25, 1835. [Google Scholar] [CrossRef]
- Wolff, V.; Schlagowski, A.-I.; Rouyer, O.; Charles, A.-L.; Singh, F.; Auger, C.; Schini-Kerth, V.; Marescaux, C.; Raul, J.-S.; Zoll, J.; et al. Tetrahydrocannabinol Induces Brain Mitochondrial Respiratory Chain Dysfunction and Increases Oxidative Stress: A Potential Mechanism Involved in Cannabis-Related Stroke. BioMed Res. Int. 2015, 2015, 323706. [Google Scholar] [CrossRef] [PubMed]
- Mukhopadhyay, S.; Shim, J.-Y.; Assi, A.-A.; Norford, D.; Howlett, A.C. CB(1) Cannabinoid Receptor-G Protein Association: A Possible Mechanism for Differential Signaling. Chem. Phys. Lipids 2002, 121, 91–109. [Google Scholar] [CrossRef] [PubMed]
- Drummond-Main, C.D.; Ahn, Y.; Kesler, M.; Gavrilovici, C.; Kim, D.Y.; Kiroski, I.; Baglot, S.L.; Chen, A.; Sharkey, K.A.; Hill, M.N.; et al. Cannabidiol Impairs Brain Mitochondrial Metabolism and Neuronal Integrity. Cannabis Cannabinoid Res. 2023, 8, 283–298. [Google Scholar] [CrossRef]
- Dellazizzo, L.; Potvin, S.; Giguère, S.; Dumais, A. Evidence on the Acute and Residual Neurocognitive Effects of Cannabis Use in Adolescents and Adults: A Systematic Meta-Review of Meta-Analyses. Addiction 2022, 117, 1857–1870. [Google Scholar] [CrossRef] [PubMed]
- Miranda, A.; Peek, E.; Ancoli-Israel, S.; Young, J.W.; Perry, W.; Minassian, A. The Role of Cannabis and The Endocannabinoid System in Sleep Regulation and Cognition: A Review of Human and Animal Studies. Behav. Sleep Med. 2024, 22, 217–233. [Google Scholar] [CrossRef] [PubMed]
- Levitt, D.E.; Bourgeois, B.L.; Rodríguez-Graciani, K.M.; Molina, P.E.; Simon, L. Alcohol Impairs Bioenergetics and Differentiation Capacity of Myoblasts from Simian Immunodeficiency Virus-Infected Female Macaques. Int. J. Mol. Sci. 2024, 25, 2448. [Google Scholar] [CrossRef] [PubMed]
- Simon, L.; Molina, P.E. Cellular Bioenergetics: Experimental Evidence for Alcohol-Induced Adaptations. Function 2022, 3, zqac039. [Google Scholar] [CrossRef]
- Thoudam, T.; Gao, H.; Jiang, Y.; Huda, N.; Yang, Z.; Ma, J.; Liangpunsakul, S. Mitochondrial Quality Control in Alcohol-Associated Liver Disease. Hepatol. Commun. 2024, 8, e0534. [Google Scholar] [CrossRef] [PubMed]
- DiLeo, M.R.; Hall, R.E.; Vellers, H.L.; Daniels, C.L.; Levitt, D.E. Alcohol Alters Skeletal Muscle Bioenergetic Function: A Scoping Review. Int. J. Mol. Sci. 2024, 25, 12280. [Google Scholar] [CrossRef]
- Haorah, J.; Rump, T.J.; Xiong, H. Reduction of Brain Mitochondrial β-Oxidation Impairs Complex I and V in Chronic Alcohol Intake: The Underlying Mechanism for Neurodegeneration. PLoS ONE 2013, 8, e70833. [Google Scholar] [CrossRef] [PubMed]
- Bustamante, J.; Karadayian, A.G.; Lores-Arnaiz, S.; Cutrera, R.A. Alterations of Motor Performance and Brain Cortex Mitochondrial Function during Ethanol Hangover. Alcohol 2012, 46, 473–479. [Google Scholar] [CrossRef] [PubMed]
- Lamarche, F.; Carcenac, C.; Gonthier, B.; Cottet-Rousselle, C.; Chauvin, C.; Barret, L.; Leverve, X.; Savasta, M.; Fontaine, E. Mitochondrial Permeability Transition Pore Inhibitors Prevent Ethanol-Induced Neuronal Death in Mice. Chem. Res. Toxicol. 2013, 26, 78–88. [Google Scholar] [CrossRef]
- Ghasempouri, S.K.; Askari, Z.; Mohammadi, H. Ameliorative Effect of Diazepam against Ethanol-Induced Mitochondrial Disruption in Brains of the Mice. Toxicol. Rep. 2023, 11, 405–412. [Google Scholar] [CrossRef] [PubMed]
- Boyle, H.K.; Jackson, K.M.; Carey, K.B.; Merrill, J.E. Characterizing Alcohol Consumption and Positive and Negative Consequences During Simultaneous Alcohol and Cannabis Use Events. J. Stud. Alcohol. Drugs 2024, 85, 62–72. [Google Scholar] [CrossRef] [PubMed]
- Sivaraman, V.; Richey, M.M.; Nasir, A. Alcohol, Cannabis and Crossfading: Concerns for COVID-19 Disease Severity. Biology 2021, 10, 779. [Google Scholar] [CrossRef] [PubMed]
- Charles, A.L.; Giannini, M.; Meyer, A.; Charloux, A.; Talha, S.; Vogel, T.; Raul, J.-S.; Wolff, V.; Geny, B. Cannabis (THC) Aggravates the Deleterious Effects of Alcohol (EtOH) on Skeletal Muscles Mitochondrial Respiration: Modu-Lation by Age and Metabolic Phenotypes. Biology 2024, 13, 1080. [Google Scholar] [CrossRef] [PubMed]
- Schnakenberg Martin, A.M.; Flynn, L.T.; Sefik, E.; Luddy, C.; Cortes-Briones, J.; Skosnik, P.D.; Pittman, B.; Ranganathan, M.; D’Souza, D.C. Preliminary Study of the Interactive Effects of THC and Ethanol on Self-Reported Ability and Simulated Driving, Subjective Effects, and Cardiovascular Responses. Psychopharmacology 2023, 240, 1235–1246. [Google Scholar] [CrossRef] [PubMed]
- Ribiere, C.; Sabourault, D.; Saffar, C.; Nordmann, R. Mitochondrial Generation of Superoxide Free Radicals during Acute Ethanol Intoxication in the Rat. Alcohol Alcohol. 1987, 1, 241–244. [Google Scholar]
- Li, H.L.; Wu, S.; Rottenberg, H. Alcohol Inhibits the Depolarization-Induced Stimulation of Oxidative Phosphorylation in Synaptosomes. J. Neurochem. 1996, 66, 1691–1697. [Google Scholar] [CrossRef] [PubMed]
- Chu, J.; Tong, M.; de la Monte, S.M. Chronic Ethanol Exposure Causes Mitochondrial Dysfunction and Oxidative Stress in Immature Central Nervous System Neurons. Acta Neuropathol. 2007, 113, 659–673. [Google Scholar] [CrossRef] [PubMed]
- Giroud, C.; Michaud, K.; Sporkert, F.; Eap, C.; Augsburger, M.; Cardinal, P.; Mangin, P. A Fatal Overdose of Cocaine Associated with Coingestion of Marijuana, Buprenorphine, and Fluoxetine. Body Fluid and Tissue Distribution of Cocaine and Its Metabolites Determined by Hydrophilic Interaction Chromatography-Mass Spectrometry(HILIC-MS). J. Anal. Toxicol. 2004, 28, 464–474. [Google Scholar] [CrossRef] [PubMed][Green Version]
- Lisano, J.K.; Smith, J.D.; Mathias, A.B.; Christensen, M.; Smoak, P.; Phillips, K.T.; Quinn, C.J.; Stewart, L.K. Performance and Health-Related Characteristics of Physically Active Males Using Marijuana. J. Strength Cond. Res. 2019, 33, 1658–1668. [Google Scholar] [CrossRef]
- Fišar, Z.; Singh, N.; Hroudová, J. Cannabinoid-Induced Changes in Respiration of Brain Mitochondria. Toxicol. Lett. 2014, 231, 62–71. [Google Scholar] [CrossRef]
- Bartova, A.; Birmingham, M.K. Effect of Delta9-Tetrahydrocannabinol on Mitochondrial NADH-Oxidase Activity. J. Biol. Chem. 1976, 251, 5002–5006. [Google Scholar] [CrossRef]
- Huestis, M.A.; Sampson, A.H.; Holicky, B.J.; Henningfield, J.E.; Cone, E.J. Characterization of the Absorption Phase of Marijuana Smoking. Clin. Pharmacol. Ther. 1992, 52, 31–41. [Google Scholar] [CrossRef] [PubMed]
- Adams, I.B.; Martin, B.R. Cannabis: Pharmacology and Toxicology in Animals and Humans. Addiction 1996, 91, 1585–1614. [Google Scholar] [CrossRef]
- Brunet, B.; Hauet, T.; Hébrard, W.; Papet, Y.; Mauco, G.; Mura, P. Postmortem Redistribution of THC in the Pig. Int. J. Legal Med. 2010, 124, 543–549. [Google Scholar] [CrossRef] [PubMed]
- Kitdumrongthum, S.; Trachootham, D. An Individuality of Response to Cannabinoids: Challenges in Safety and Efficacy of Cannabis Products. Molecules 2023, 28, 2791. [Google Scholar] [CrossRef]
- Palmer, R.H.C.; Brick, L.; Nugent, N.R.; Bidwell, L.C.; McGeary, J.E.; Knopik, V.S.; Keller, M.C. Examining the Role of Common Genetic Variants on Alcohol, Tobacco, Cannabis and Illicit Drug Dependence: Genetics of Vulnerability to Drug Dependence. Addiction 2015, 110, 530–537. [Google Scholar] [CrossRef]
- Matheson, J.; Zhang, Y.J.; Brands, B.; Wickens, C.M.; Tiwari, A.K.; Zai, C.C.; Kennedy, J.L.; Le Foll, B. Association between ABCB1 Rs2235048 Polymorphism and THC Pharmacokinetics and Subjective Effects Following Smoked Cannabis in Young Adults. Brain Sci. 2022, 12, 1189. [Google Scholar] [CrossRef]
- Cooles, P.; Michaud, R. Stroke after Heavy Cannabis Smoking. Postgrad. Med. J. 1987, 63, 511. [Google Scholar] [CrossRef][Green Version]
- Boot, E.; Ekker, M.S.; Putaala, J.; Kittner, S.; De Leeuw, F.-E.; Tuladhar, A.M. Ischaemic Stroke in Young Adults: A Global Perspective. J. Neurol. Neurosurg. Psychiatry 2020, 91, 411–417. [Google Scholar] [CrossRef] [PubMed]
- Béjot, Y.; Duloquin, G.; Thomas, Q.; Mohr, S.; Garnier, L.; Graber, M.; Giroud, M. Temporal Trends in the Incidence of Ischemic Stroke in Young Adults: Dijon Stroke Registry. Neuroepidemiology 2021, 55, 239–244. [Google Scholar] [CrossRef] [PubMed]
- Wolff, V.; Zinchenko, I.; Quenardelle, V.; Rouyer, O.; Geny, B. Characteristics and Prognosis of Ischemic Stroke in Young Cannabis Users Compared with Non-Cannabis Users. J. Am. Coll. Cardiol. 2015, 66, 2052–2053. [Google Scholar] [CrossRef] [PubMed][Green Version]
- Richter, J.S.; Quenardelle, V.; Rouyer, O.; Raul, J.S.; Beaujeux, R.; Gény, B.; Wolff, V. A Systematic Review of the Complex Effects of Cannabinoids on Cerebral and Peripheral Circulation in Animal Models. Front. Physiol. 2018, 9, 622. [Google Scholar] [CrossRef] [PubMed]
- Moeller, S.; Lücke, C.; Struffert, T.; Schwarze, B.; Gerner, S.T.; Schwab, S.; Köhrmann, M.; Machold, K.; Philipsen, A.; Müller, H.H. Ischemic Stroke Associated with the Use of a Synthetic Cannabinoid (Spice). Asian J. Psychiatry 2017, 25, 127–130. [Google Scholar] [CrossRef]
- Cha, Y.M.; Jones, K.H.; Kuhn, C.M.; Wilson, W.A.; Swartzwelder, H.S. Sex Differences in the Effects of Delta9-Tetrahydrocannabinol on Spatial Learning in Adolescent and Adult Rats. Behav. Pharmacol. 2007, 18, 563–569. [Google Scholar] [CrossRef]
- Luna, B.; Garver, K.E.; Urban, T.A.; Lazar, N.A.; Sweeney, J.A. Maturation of Cognitive Processes from Late Childhood to Adulthood. Child Dev. 2004, 75, 1357–1372. [Google Scholar] [CrossRef]
- Cha, Y.M.; White, A.M.; Kuhn, C.M.; Wilson, W.A.; Swartzwelder, H.S. Differential Effects of Delta9-THC on Learning in Adolescent and Adult Rats. Pharmacol. Biochem. Behav. 2006, 83, 448–455. [Google Scholar] [CrossRef] [PubMed]
- Poulia, N.; Delis, F.; Brakatselos, C.; Lekkas, P.; Kokras, N.; Dalla, C.; Antoniou, K. Escalating Low-Dose Δ9 -Tetrahydrocannabinol Exposure during Adolescence Induces Differential Behavioral and Neurochemical Effects in Male and Female Adult Rats. Eur. J. Neurosci. 2020, 52, 2681–2693. [Google Scholar] [CrossRef]
- Fontes, M.A.; Bolla, K.I.; Cunha, P.J.; Almeida, P.P.; Jungerman, F.; Laranjeira, R.R.; Bressan, R.A.; Lacerda, A.L.T. Cannabis Use before Age 15 and Subsequent Executive Functioning. Br. J. Psychiatry J. Ment. Sci. 2011, 198, 442–447. [Google Scholar] [CrossRef] [PubMed]
- Meier, M.H.; Caspi, A.; Ambler, A.; Harrington, H.; Houts, R.; Keefe, R.S.E.; McDonald, K.; Ward, A.; Poulton, R.; Moffitt, T.E. Persistent Cannabis Users Show Neuropsychological Decline from Childhood to Midlife. Proc. Natl. Acad. Sci. USA 2012, 109, E2657–E2664. [Google Scholar] [CrossRef]
- Ferland, J.-M.N.; Ellis, R.J.; Betts, G.; Silveira, M.M.; de Firmino, J.B.; Winstanley, C.A.; Hurd, Y.L. Long-Term Outcomes of Adolescent THC Exposure on Translational Cognitive Measures in Adulthood in an Animal Model and Computational Assessment of Human Data. JAMA Psychiatry 2023, 80, 66–76. [Google Scholar] [CrossRef]
- Xing, J.; Shi, Y. Cannabis Consumers’ Preferences for Legal and Illegal Cannabis: Evidence from a Discrete Choice Experiment. BMC Public Health 2024, 24, 2397. [Google Scholar] [CrossRef]
- Botelho, D.; Boudreau, A.; Rackov, A.; Rehman, A.; Phillips, B.; Hay, C.; Broad, K.; Crowhurst, P.; Cockburn, S.; Smith, T. Analysis of Illicit and Legal Cannabis Products for a Suite of Chemical and Microbial Contaminants. New Brunswick Research and Productivity Council: Fredericton, NB, Canada, 2021; Available online: https://Rpc.ca/English/Press/Comparison%20of%20Illicit%20and%20Legal%20Cannabis%20Samples.pdf (accessed on 27 January 2025).
- Ozturk, S.; Ozturk, Y.E.; Yeter, O.; Alpertunga, B. Application of a Validated LC-MS/MS Method for JWH-073 and Its Metabolites in Blood and Urine in Real Forensic Cases. Forensic Sci. Int. 2015, 257, 165–171. [Google Scholar] [CrossRef]
- Gonedes, A.J.; Boccio, E. Accidental Synthetic Cannabinoid Poisoning in a Pediatric Patient: A Case Report. Cureus 2024, 16, e74936. [Google Scholar] [CrossRef]
- Syed, M.; Skonberg, C.; Hansen, S.H. Effect of Some Organic Solvents on Oxidative Phosphorylation in Rat Liver Mitochondria: Choice of Organic Solvents. Toxicol. Vitro Int. J. Publ. Assoc. BIBRA 2013, 27, 2135–2141. [Google Scholar] [CrossRef] [PubMed]
- Guillot, M.; Charles, A.-L.; Chamaraux-Tran, T.N.; Bouitbir, J.; Meyer, A.; Zoll, J.; Schneider, F.; Geny, B. Oxidative Stress Precedes Skeletal Muscle Mitochondrial Dysfunction during Experimental Aortic Cross-Clamping but Is Not Associated with Early Lung, Heart, Brain, Liver, or Kidney Mitochondrial Impairment. J. Vasc. Surg. 2014, 60, 1043–1051.e5. [Google Scholar] [CrossRef] [PubMed]
- Baratli, Y.; Charles, A.-L.; Wolff, V.; Ben Tahar, L.; Smiri, L.; Bouitbir, J.; Zoll, J.; Piquard, F.; Tebourbi, O.; Sakly, M.; et al. Impact of Iron Oxide Nanoparticles on Brain, Heart, Lung, Liver and Kidneys Mitochondrial Respiratory Chain Complexes Activities and Coupling. Toxicol. Vitro Int. J. Publ. Assoc. BIBRA 2013, 27, 2142–2148. [Google Scholar] [CrossRef] [PubMed]
- Kindo, M.; Gerelli, S.; Bouitbir, J.; Hoang Minh, T.; Charles, A.-L.; Mazzucotelli, J.-P.; Zoll, J.; Piquard, F.; Geny, B. Left Ventricular Transmural Gradient in Mitochondrial Respiration Is Associated with Increased Sub-Endocardium Nitric Oxide and Reactive Oxygen Species Productions. Front. Physiol. 2016, 7, 331. [Google Scholar] [CrossRef]
- Sachse-Seeboth, C.; Pfeil, J.; Sehrt, D.; Meineke, I.; Tzvetkov, M.; Bruns, E.; Poser, W.; Vormfelde, S.V.; Brockmöller, J. Interindividual Variation in the Pharmacokinetics of Delta9-Tetrahydrocannabinol as Related to Genetic Polymorphisms in CYP2C9. Clin. Pharmacol. Ther. 2009, 85, 273–276. [Google Scholar] [CrossRef]
- Paiva-Santos, M.A.; Leão, A.H.F.F.; Kurita, J.P.F.; Becegato, M.S.; Lima, A.C.; Bioni, V.S.; Meurer, Y.S.R.; Cunha, D.M.G.; Medeiros, A.M.; Silva, R.H. Sex Differences in the Acute Ethanol Effects on Object Recognition Memory: Influence of Estrous Cycle. Behav. Pharmacol. 2022, 33, 322–332. [Google Scholar] [CrossRef] [PubMed]
- Helle, A.C.; Boness, C.L.; Masters, J.; Sher, K.J. Alcohol and Cannabis Co-Use: Receptiveness to Treatments and Application to Intervention Planning. J. Stud. Aff. Res. Pract. 2024, 61, 86–102. [Google Scholar] [CrossRef] [PubMed]
- Schneider, M. Puberty as a Highly Vulnerable Developmental Period for the Consequences of Cannabis Exposure. Addict. Biol. 2008, 13, 253–263. [Google Scholar] [CrossRef]
- Kourgiantakis, T.; Hamilton, A.; Tait, C.; Tekirdag Kosar, A.K.; Lau, C.K.Y.; McNeil, S.; Lee, E.; Craig, S.; Goldstein, A.L. Reducing the Harms of Cannabis Use in Youth Post-Legalization: Insights from Ontario Youth, Parents, and Service Providers. Harm. Reduct. J. 2024, 21, 193. [Google Scholar] [CrossRef] [PubMed]
- Scheyer, A.F.; Laviolette, S.R.; Pelissier, A.L.; Manzoni, O.J.J. Cannabis in Adolescence: Lasting Cognitive Alterations and Underlying Mechanisms. Cannabis Cannabinoid Res. 2023, 8, 12–23. [Google Scholar] [CrossRef]
- Lees, B.; Debenham, J.; Squeglia, L.M. Alcohol and Cannabis Use and the Developing Brain. Alcohol Res. 2021, 41, 11. [Google Scholar] [CrossRef] [PubMed]
- Hanson, K.L.; Winward, J.L.; Schweinsburg, A.D.; Medina, K.L.; Brown, S.A.; Tapert, S.F. Longitudinal Study of Cognition among Adolescent Marijuana Users over three Weeks of Abstinence. Addict. Behav. 2010, 35, 970–976. [Google Scholar] [CrossRef]





Disclaimer/Publisher’s Note: The statements, opinions and data contained in all publications are solely those of the individual author(s) and contributor(s) and not of MDPI and/or the editor(s). MDPI and/or the editor(s) disclaim responsibility for any injury to people or property resulting from any ideas, methods, instructions or products referred to in the content. |
© 2025 by the authors. Licensee MDPI, Basel, Switzerland. This article is an open access article distributed under the terms and conditions of the Creative Commons Attribution (CC BY) license (https://creativecommons.org/licenses/by/4.0/).
Share and Cite
Quenardelle, V.; Charles, A.-L.; Charloux, A.; Raul, J.-S.; Wolff, V.; Geny, B. Young Age and Concomitant Cannabis (THC) and Ethanol (EtOH) Exposure Enhances Rat Brain Damage Through Decreased Cerebral Mitochondrial Respiration. Molecules 2025, 30, 918. https://doi.org/10.3390/molecules30040918
Quenardelle V, Charles A-L, Charloux A, Raul J-S, Wolff V, Geny B. Young Age and Concomitant Cannabis (THC) and Ethanol (EtOH) Exposure Enhances Rat Brain Damage Through Decreased Cerebral Mitochondrial Respiration. Molecules. 2025; 30(4):918. https://doi.org/10.3390/molecules30040918
Chicago/Turabian StyleQuenardelle, Véronique, Anne-Laure Charles, Anne Charloux, Jean-Sébastien Raul, Valérie Wolff, and Bernard Geny. 2025. "Young Age and Concomitant Cannabis (THC) and Ethanol (EtOH) Exposure Enhances Rat Brain Damage Through Decreased Cerebral Mitochondrial Respiration" Molecules 30, no. 4: 918. https://doi.org/10.3390/molecules30040918
APA StyleQuenardelle, V., Charles, A.-L., Charloux, A., Raul, J.-S., Wolff, V., & Geny, B. (2025). Young Age and Concomitant Cannabis (THC) and Ethanol (EtOH) Exposure Enhances Rat Brain Damage Through Decreased Cerebral Mitochondrial Respiration. Molecules, 30(4), 918. https://doi.org/10.3390/molecules30040918

