Are Δ9-Tetrahydrocannabinol and Its Major Metabolites Substrates or Inhibitors of Placental or Human Hepatic Drug Solute-Carrier Transporters?
Abstract
1. Introduction
2. Results
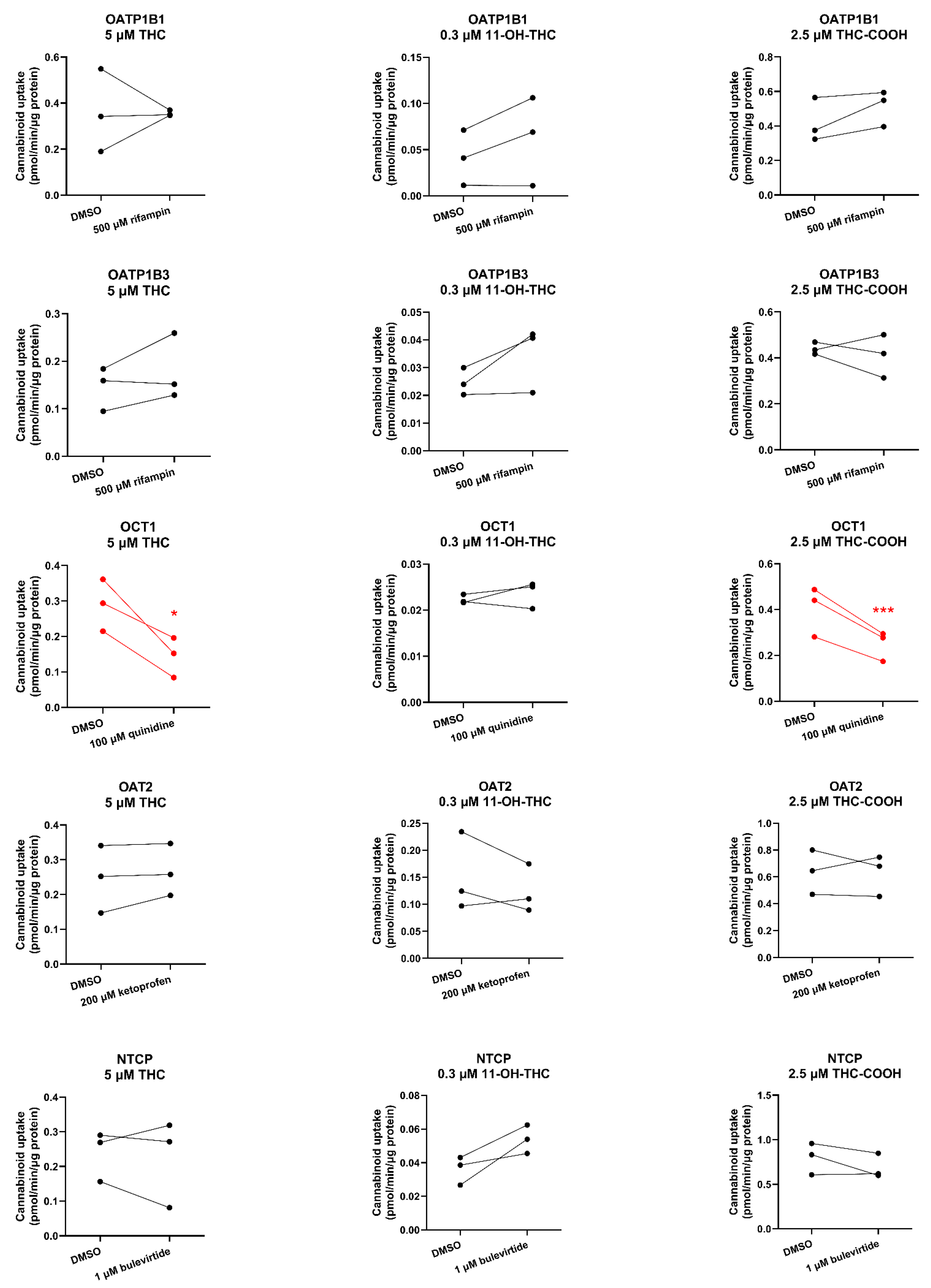
2.1. Uptake of Cannabinoids by the Basal Syncytiotrophoblast Transporters
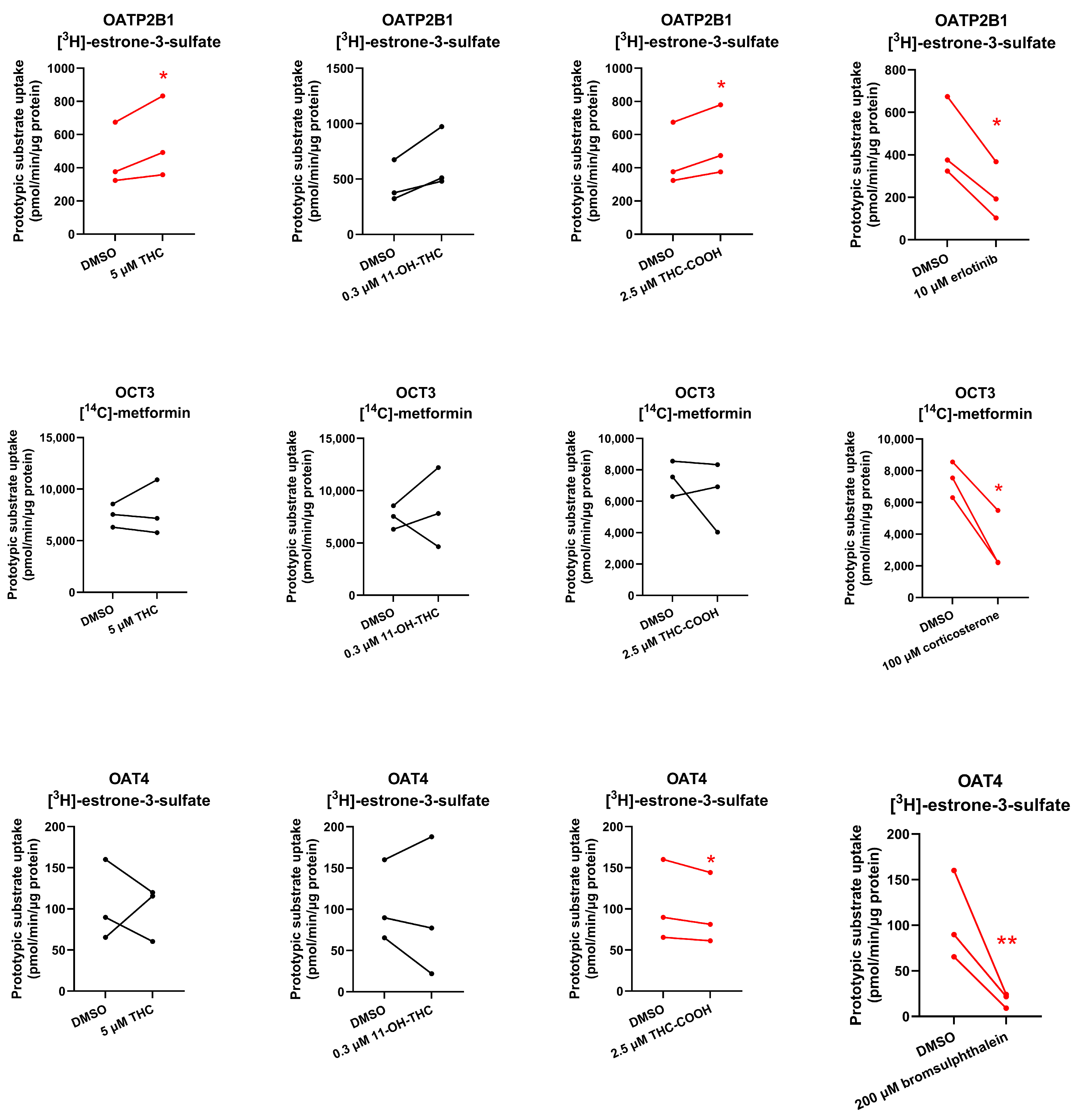
2.2. Inhibition of the Basal Syncytiotrophoblast Transporters by the Cannabinoids
2.3. Uptake of Cannabinoids by the Sinusoidal Hepatic Transporters
2.4. Inhibition of the Sinusoidal Hepatic Transporters by the Cannabinoids
3. Discussion
4. Materials and Methods
4.1. Materials
4.2. Methods
4.2.1. Cell Culture
4.2.2. Cannabinoid Uptake by SLC Transporters
4.2.3. LC-MS/MS Analysis
4.2.4. Inhibition of SLC Transporters by the Cannabinoids
4.2.5. Statistical Analysis
5. Conclusions
Supplementary Materials
Author Contributions
Funding
Institutional Review Board Statement
Informed Consent Statement
Data Availability Statement
Acknowledgments
Conflicts of Interest
References
- Volkow, N.D.; Han, B.; Compton, W.M.; McCance-Katz, E.F. Self-Reported Medical and Nonmedical Cannabis Use Among Pregnant Women in the United States. JAMA 2019, 322, 167. [Google Scholar] [CrossRef] [PubMed]
- Young-Wolff, K.C.; Ray, G.T.; Alexeeff, S.E.; Adams, S.R.; Does, M.B.; Ansley, D.; Avalos, L.A. Rates of Prenatal Cannabis Use Among Pregnant Women Before and During the COVID-19 Pandemic. JAMA 2021, 326, 1745–1747. [Google Scholar] [CrossRef] [PubMed]
- Grant, K.S.; Petroff, R.; Isoherranen, N.; Stella, N.; Burbacher, T.M. Cannabis Use during Pregnancy: Pharmacokinetics and Effects on Child Development. Pharmacol. Ther. 2018, 182, 133–151. [Google Scholar] [CrossRef] [PubMed]
- Ryan, S.A.; Ammerman, S.D.; O’Connor, M.E. Marijuana Use During Pregnancy and Breastfeeding: Implications for Neonatal and Childhood Outcomes. Pediatrics 2018, 142, e20181889. [Google Scholar] [CrossRef] [PubMed]
- Bailey, J.R.; Cunny, H.C.; Paule, M.G.; Slikker, W.J. Fetal Disposition of Delta 9-Tetrahydrocannabinol (THC) during Late Pregnancy in the Rhesus Monkey. Toxicol. Appl. Pharmacol. 1987, 90, 315–321. [Google Scholar] [CrossRef]
- Kumar, A.R.; Sheikh, E.D.; Monson, J.W.; Ligon, S.E.; Talley, R.L.; Dornisch, E.M.; Howitz, K.J.; Damicis, J.R.; Ieronimakis, N.; Unadkat, J.D. Understanding the Mechanism and Extent of Transplacental Transfer of (−)-∆(9)-Tetrahydrocannabinol (THC) in the Perfused Human Placenta to Predict In Vivo Fetal THC Exposure. Clin. Pharmacol. Ther. 2023, 114, 446–458. [Google Scholar] [CrossRef]
- Han, L.W.; Gao, C.; Mao, Q. An Update on Expression and Function of P-Gp/ABCB1 and BCRP/ABCG2 in the Placenta and Fetus. Expert Opin. Drug Metab. Toxicol. 2018, 14, 817–829. [Google Scholar] [CrossRef]
- Bonhomme-Faivre, L.; Benyamina, A.; Reynaud, M.; Farinotti, R.; Abbara, C. Disposition of Δ9 Tetrahydrocannabinol in CF1 Mice Deficient in Mdr1a P-Glycoprotein. Addict. Biol. 2008, 13, 295–300. [Google Scholar] [CrossRef]
- Chen, X.; Unadkat, J.D.; Mao, Q. Tetrahydrocannabinol and Its Major Metabolites Are Not (or Are Poor) Substrates or Inhibitors of Human P-Glycoprotein [ATP-Binding Cassette (ABC) B1] and Breast Cancer Resistance Protein (ABCG2). Drug Metab. Dispos. 2021, 49, 910–918. [Google Scholar] [CrossRef]
- Chen, X.; Unadkat, J.D.; Mao, Q. Maternal and Fetal Exposure to (−)-Δ9-Tetrahydrocannabinol and Its Major Metabolites in Pregnant Mice Is Differentially Impacted by P-Glycoprotein and Breast Cancer Resistance Protein. Drug Metab. Dispos. 2023, 51, 269–275. [Google Scholar] [CrossRef]
- Yamashita, M.; Markert, U.R. Overview of Drug Transporters in Human Placenta. Int. J. Mol. Sci. 2021, 22, 13149. [Google Scholar] [CrossRef] [PubMed]
- Anoshchenko, O.; Prasad, B.; Neradugomma, N.K.; Wang, J.; Mao, Q.; Unadkat, J.D. Gestational Age-Dependent Abundance of Human Placental Transporters as Determined by Quantitative Targeted Proteomics. Drug Metab. Dispos. 2020, 48, 735–741. [Google Scholar] [CrossRef] [PubMed]
- Watanabe, K.; Yamaori, S.; Funahashi, T.; Kimura, T.; Yamamoto, I. Cytochrome P450 Enzymes Involved in the Metabolism of Tetrahydrocannabinols and Cannabinol by Human Hepatic Microsomes. Life Sci. 2007, 80, 1415–1419. [Google Scholar] [CrossRef] [PubMed]
- Patilea-Vrana, G.I.; Unadkat, J.D. Quantifying Hepatic Enzyme Kinetics of (−)-∆9-Tetrahydrocannabinol (THC) and Its Psychoactive Metabolite, 11-OH-THC, through In Vitro Modeling. Drug Metab. Dispos. Biol. Fate Chem. 2019, 47, 743–752. [Google Scholar] [CrossRef] [PubMed]
- Lemberger, L.; Axelrod, J.; Kopin, I.J. Metabolism and Disposition of Δ9-Tetrahydrocannabinol in Man. Pharmacol. Rev. 1971, 23, 371–380. [Google Scholar]
- Pradhan-Sundd, T.; Monga, S.P. Blood-Bile Barrier: Morphology, Regulation, and Pathophysiology. Gene Expr. 2019, 19, 69–87. [Google Scholar] [CrossRef]
- Kumar, A.R. Quantification and Prediction of Human Fetal (−)-Δ9-Tetrahydrocannabinol (THC)/11-OH-THC Exposure to Inform Neurodevelopmental Toxicity of Cannabis. Ph.D. Thesis, University of Washington, Seattle, WA, USA, 2023. [Google Scholar]
- Uehara, I.; Kimura, T.; Tanigaki, S.; Fukutomi, T.; Sakai, K.; Shinohara, Y.; Ichida, K.; Iwashita, M.; Sakurai, H. Paracellular Route Is the Major Urate Transport Pathway across the Blood-Placental Barrier. Physiol. Rep. 2014, 2, e12013. [Google Scholar] [CrossRef]
- St.-Pierre, M.V.; Serrano, M.A.; Macias, R.I.R.; Dubs, U.; Hoechli, M.; Lauper, U.; Meier, P.J.; Marin, J.J.G. Expression of Members of the Multidrug Resistance Protein Family in Human Term Placenta. Am. J. Physiol. Regul. Integr. Comp. Physiol. 2000, 279, 1495–1503. [Google Scholar] [CrossRef]
- Borst, P.; Evers, R.; Kool, M.; Wijnholds, J. A Family of Drug Transporters: The Multidrug Resistance-Associated Proteins. J. Natl. Cancer Inst. 2000, 92, 1295–1302. [Google Scholar] [CrossRef]
- Lee, N.; Hebert, M.F.; Wagner, D.J.; Easterling, T.R.; Liang, C.J.; Rice, K.; Wang, J. Organic Cation Transporter 3 Facilitates Fetal Exposure to Metformin during Pregnancy. Mol. Pharmacol. 2018, 94, 1125–1131. [Google Scholar] [CrossRef]
- Samodelov, S.L.; Kullak-Ublick, G.A.; Gai, Z.; Visentin, M. Organic Cation Transporters in Human Physiology, Pharmacology, and Toxicology. Int. J. Mol. Sci. 2020, 21, 7890. [Google Scholar] [CrossRef] [PubMed]
- Huestis, M.A. Human Cannabinoid Pharmacokinetics. Chem. Biodivers. 2007, 4, 1770–1804. [Google Scholar] [CrossRef] [PubMed]
- Gustafson, R.A.; Moolchan, E.T.; Barnes, A.; Levine, B.; Huestis, M.A. Validated Method for the Simultaneous Determination of Δ9-Tetrahydrocannabinol (THC), 11-Hydroxy-THC and 11-nor-9-Carboxy-THC in Human Plasma Using Solid Phase Extraction and Gas Chromatography–Mass Spectrometry with Positive Chemical Ionization. J. Chromatogr. B 2003, 798, 145–154. [Google Scholar] [CrossRef] [PubMed]
- Patilea-Vrana, G.I.; Unadkat, J.D. Development and Verification of a Linked D9-Thc/11-Oh-Thc Physiologically Based Pharmacokinetic Model in Healthy, Nonpregnant Population and Extrapolation to Pregnant Womens. Drug Metab. Dispos. 2021, 49, 509. [Google Scholar] [CrossRef] [PubMed]
- Garrett, E.R.; Hunt, C.A. Physicochemical Properties, Solubility, and Protein Binding of Δ9-tetrahydrocannabinol. J. Pharm. Sci. 1974, 63, 1056–1064. [Google Scholar] [CrossRef]
- Urakami, Y.; Kimura, N.; Okuda, M.; Inui, K. Creatinine Transport by Basolateral Organic Cation Transporter HOCT2 in the Human Kidney. Pharm. Res. 2004, 21, 976–981. [Google Scholar] [CrossRef]
- Müller, F.; Weitz, D.; Mertsch, K.; König, J.; Fromm, M.F. Importance of OCT2 and MATE1 for the Cimetidine-Metformin Interaction: Insights from Investigations of Polarized Transport in Single- and Double-Transfected MDCK Cells with a Focus on Perpetrator Disposition. Mol. Pharm. 2018, 15, 3425–3433. [Google Scholar] [CrossRef]





| Transporter | Substrate | Inhibitor |
|---|---|---|
| OATP1B1 | 40 nM [3H]-rosuvastatin | 500 μM rifampin |
| OATP1B3 | 40 nM [3H]-rosuvastatin | 500 μM rifampin |
| OATP2B1 | 25 nM [3H]-estrone-3-sulfate | 10 μM erlotinib |
| OCT1 | 0.91 μM [14C]-metformin | 100 μM quinidine |
| OCT3 | 0.91 μM [14C]-metformin | 100 μM corticosterone |
| OAT2 | 40 nM [3H]-cGMP | 200 μM ketoprofen |
| OAT4 | 25 nM [3H]-estrone-3-sulfate | 200 μM bromsulphthalein |
| NTCP | 100 nM [3H]-taurocholic acid | 1 μM bulevirtide |
Disclaimer/Publisher’s Note: The statements, opinions and data contained in all publications are solely those of the individual author(s) and contributor(s) and not of MDPI and/or the editor(s). MDPI and/or the editor(s) disclaim responsibility for any injury to people or property resulting from any ideas, methods, instructions or products referred to in the content. |
© 2024 by the authors. Licensee MDPI, Basel, Switzerland. This article is an open access article distributed under the terms and conditions of the Creative Commons Attribution (CC BY) license (https://creativecommons.org/licenses/by/4.0/).
Share and Cite
Chen, X.; Gáborik, Z.; Mao, Q.; Unadkat, J.D. Are Δ9-Tetrahydrocannabinol and Its Major Metabolites Substrates or Inhibitors of Placental or Human Hepatic Drug Solute-Carrier Transporters? Int. J. Mol. Sci. 2024, 25, 12036. https://doi.org/10.3390/ijms252212036
Chen X, Gáborik Z, Mao Q, Unadkat JD. Are Δ9-Tetrahydrocannabinol and Its Major Metabolites Substrates or Inhibitors of Placental or Human Hepatic Drug Solute-Carrier Transporters? International Journal of Molecular Sciences. 2024; 25(22):12036. https://doi.org/10.3390/ijms252212036
Chicago/Turabian StyleChen, Xin, Zsuzsanna Gáborik, Qingcheng Mao, and Jashvant D. Unadkat. 2024. "Are Δ9-Tetrahydrocannabinol and Its Major Metabolites Substrates or Inhibitors of Placental or Human Hepatic Drug Solute-Carrier Transporters?" International Journal of Molecular Sciences 25, no. 22: 12036. https://doi.org/10.3390/ijms252212036
APA StyleChen, X., Gáborik, Z., Mao, Q., & Unadkat, J. D. (2024). Are Δ9-Tetrahydrocannabinol and Its Major Metabolites Substrates or Inhibitors of Placental or Human Hepatic Drug Solute-Carrier Transporters? International Journal of Molecular Sciences, 25(22), 12036. https://doi.org/10.3390/ijms252212036

