- Article
Semantic Data Federated Query Optimization Based on Decomposition of Block-Level Subqueries
- Yuan Yao and
- Yang Zhang
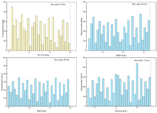
The digital age and the rise of Internet of Things technology have led to an explosion of data, including vast amounts of semantic data. In the context of large-scale semantic data graphs, centralized storage struggles to meet the efficiency requirem...

