Sign in to use this feature.

Years

Between: -

Subjects

remove_circle_outline
remove_circle_outline
remove_circle_outline
remove_circle_outline
remove_circle_outline
remove_circle_outline
remove_circle_outline
remove_circle_outline
remove_circle_outline

Journals

remove_circle_outline
remove_circle_outline
remove_circle_outline
remove_circle_outline
remove_circle_outline
remove_circle_outline
remove_circle_outline
remove_circle_outline
remove_circle_outline
remove_circle_outline
remove_circle_outline
remove_circle_outline

Article Types

Countries / Regions

remove_circle_outline
remove_circle_outline
remove_circle_outline
remove_circle_outline
remove_circle_outline

Search Results (792)

Search Parameters:
Keywords = EAST framework

Order results
Result details
Results per page
Select all
Export citation of selected articles as:
14 pages, 1769 KB  
Article
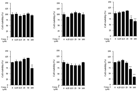
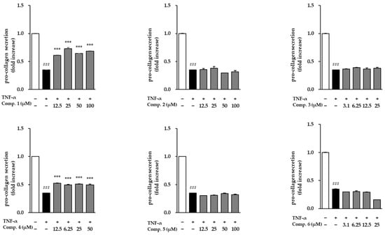
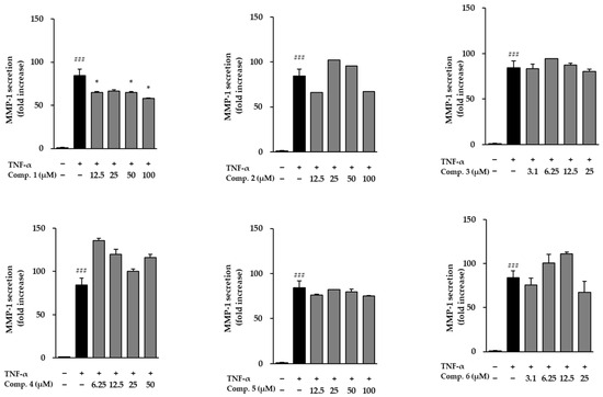
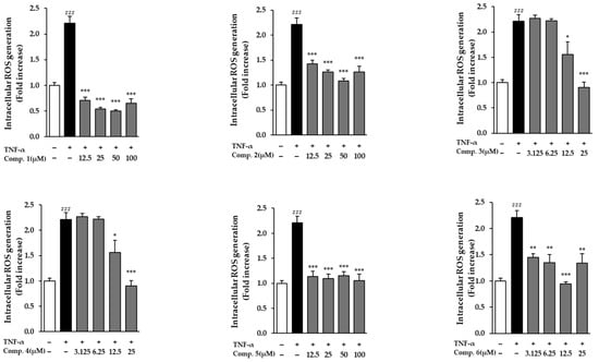
Chlorogenic Acid from Peucedanum japonicum Attenuates TNF-α-Induced Oxidative Stress and Inflammatory Damage in Human Dermal Fibroblasts
by Neil Patrick Uy, Minseo Kang, Jang Hoon Kim, Young Ho Hoon, Sanghyun Lee and Sullim Lee
Life 2025, 15(12), 1934; https://doi.org/10.3390/life15121934 - 18 Dec 2025
Abstract
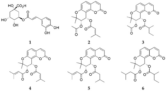
Intrinsic aging and external stimuli such as UV exposure contribute to heightened MMP-1 expression, leading to collagen deterioration and weakening of the skin’s structural framework, hallmarks of aging tissue. Peucedanum japonicum, a plant consumed in East Asia, contains antioxidant and anti-inflammatory compounds, [...] Read more.
Intrinsic aging and external stimuli such as UV exposure contribute to heightened MMP-1 expression, leading to collagen deterioration and weakening of the skin’s structural framework, hallmarks of aging tissue. Peucedanum japonicum, a plant consumed in East Asia, contains antioxidant and anti-inflammatory compounds, but its effects on skin aging remain unclear. This study profiled six major bioactive compounds in P. japonicum leaves and roots and evaluated their protective effects in TNF-α-stimulated human dermal fibroblasts (NHDFs). Phytochemical profiles were determined, and biological activity was evaluated by measuring intracellular ROS, MMP-1 secretion, and COL1A1 expression. Both leaf and root extracts exhibited antioxidant and anti-inflammatory activity, with leaves generally showing stronger effects. Among the six compounds, chlorogenic acid (1) demonstrated the most potent activity. It markedly decreased intracellular ROS, suppressed MMP-1 secretion, and enhanced COL1A1 expression in TNF-α-stimulated NHDFs, indicating protection against inflammation-induced collagen degradation. These findings suggest that P. japonicum, particularly its chlorogenic acid (1) content, may be a promising natural resource for anti-aging skincare and therapies targeting inflammation-associated skin damage. Full article
(This article belongs to the Special Issue Innovative Approaches in Dermatological Therapies and Diagnostics)
Show Figures

Figure 1

14 pages, 959 KB  
Article
Complete Mitochondrial Genomes of Spotted Forest Musk Deer (Moschus berezovskii) from Huanglong Mountain, Shaanxi, China, and Phylogenetic Analysis of Moschidae
by Kuo Sun, Xiao Tan, Lei Zhang, Ying Dai, Kun Bian, Feiran Li, Lijuan Suo, Xiaojuan Du, Chao Yang and Jie Tang
Biology 2025, 14(12), 1794; https://doi.org/10.3390/biology14121794 - 16 Dec 2025
Abstract
Musk deer (Moschidae), a primitive lineage within Ruminantia, are distributed across East Asia and have long been of interest in molecular phylogenetic research. The spotted forest musk deer from Huanglong (HL) Mountain in Shaanxi, China, has long been morphologically classified as Moschus moschiferus [...] Read more.
Musk deer (Moschidae), a primitive lineage within Ruminantia, are distributed across East Asia and have long been of interest in molecular phylogenetic research. The spotted forest musk deer from Huanglong (HL) Mountain in Shaanxi, China, has long been morphologically classified as Moschus moschiferus (Siberian musk deer). However, its true taxonomic status has remained uncertain due to the lack of comprehensive molecular evidence. Moreover, studies on mitochondrial genome (mitogenome) variation within Moschidae, particularly at the intraspecific level, remain limited. To date, few phylogenetic analyses of Moschidae have incorporated all available complete mitochondrial genomes from public databases. In this study, we sequenced and assembled the complete mitogenomes of two spotted musk deer individuals from Huanglong Mountain, Shaanxi, China, and identified them as M. berezovskii (forest musk deer) by phylogenetic analysis. All available complete mitochondrial genomes of Moschidae were also included in the phylogenetic reconstruction. The average complete mitogenome length of M. berezovskii distributed in HL was 16,355 bp, and comprises 13 protein-coding genes (PCGs), two ribosomal RNA genes, and 22 transfer RNA genes. Phylogenetic analysis and genetic distance indicate that the taxonomic identity of the HL Mountain population as M. berezovskii supports the monophyly of M. berezovskii and provides a robust phylogenetic framework for clarifying evolutionary relationships within the family. Full article
(This article belongs to the Special Issue Genetic Variability within and between Populations)
Show Figures

Figure 1

34 pages, 21640 KB  
Article
Sustainable Urban Healthcare Accessibility: Voronoi Screening and Travel-Time Coverage in Bangkok
by Sornkitja Boonprong, Nathapat Punturasan, Patcharin Kamsing, Peerapong Torteeka, Chunxiang Cao, Ngamlamai Piolueang, Tunlawit Satapanajaru and Min Xu
Sustainability 2025, 17(24), 11241; https://doi.org/10.3390/su172411241 - 15 Dec 2025
Viewed by 107
Abstract
This study presents an integrated and reproducible framework for within-tier screening of potential healthcare accessibility in Bangkok. Facilities in three service tiers (primary 294 units, regular 75, referral 29) are analyzed using point-pattern diagnostics, Voronoi geometric partitions, population-weighted allocation from subdistrict controls, and [...] Read more.
This study presents an integrated and reproducible framework for within-tier screening of potential healthcare accessibility in Bangkok. Facilities in three service tiers (primary 294 units, regular 75, referral 29) are analyzed using point-pattern diagnostics, Voronoi geometric partitions, population-weighted allocation from subdistrict controls, and cumulative network travel-time isochrones. Spatial diagnostics indicate clustering among primary care units, a near-random configuration for regular units, and modest dispersion for referral hospitals, summarized by observed-to-expected nearest-neighbor ratios of approximately 0.77, 1.05, and 1.19, respectively. Voronoi partitions translate these distributions into geometric units that enlarge with increasing inter-facility spacing, while population-weighted assignments reveal higher population-per-partition-area burdens in the outer east and southwest. Isochrone maps (5–60 min rings) show central corridors with short travel times and peripheral areas where potential access declines. Interpreted against statutory planning intent, the maps indicate broad consistency of siting with high-intensity zones, alongside residual gaps at residential fringes. Framed as repeatable indicators of access and coverage, the workflow contributes to measuring and monitoring urban health sustainability under universal health coverage and routine planning cycles. The framework yields transparent indicators that support monitoring, priority setting, and incremental adjustments within each tier. Limitations include planar proximity assumptions, uniform areal weighting, single-mode modeled travel times without temporal variation, and the absence of capacity measures, motivating future work on capacity-weighted partitions, minimal dasymetric refinements, and time-dependent multimodal scenarios. Full article
(This article belongs to the Section Health, Well-Being and Sustainability)
Show Figures

Figure 1

20 pages, 6578 KB  
Article
Investigating the Genesis and Migration Mechanisms of Subsea Shallow Gas Using Carbon Isotopic and Lithological Constraints: A Case Study from Hangzhou Bay, China
by Linqi Ji, Zhongxuan Chen, Sheng Song, Taojun Hu and Xianghua Lai
J. Mar. Sci. Eng. 2025, 13(12), 2372; https://doi.org/10.3390/jmse13122372 - 14 Dec 2025
Viewed by 149
Abstract
This study addresses the challenge of data scarcity in research on the migration patterns of shallow gas in submarine sediments. Taking the northern Hangzhou Bay area of the East China Sea as an example, we integrate borehole core geophysical surveys and geochemical data [...] Read more.
This study addresses the challenge of data scarcity in research on the migration patterns of shallow gas in submarine sediments. Taking the northern Hangzhou Bay area of the East China Sea as an example, we integrate borehole core geophysical surveys and geochemical data to elucidate the migration and fractionation mechanisms of shallow biogenic gas. A three-zone conceptual model—“disturbed zone–active zone–residual zone”—dominated by lithology-controlled migration is established, revealing the dominant roles of gas escape, mixing-homogenization, and adsorption fractionation in heterogeneous sedimentary systems. The results show that high-permeability sand layers can act as adsorption-fractionation windows, causing significant enrichment in δ13C-CH4 (–57.4‰). We propose an analytical framework of “zonal verification–mechanism tracing”, which overcomes the limitations of traditional Rayleigh fractionation models and enables accurate interpretation of gas migration patterns in heterogeneous systems using limited data such as δ13C-CH4 and CH4 concentration. This provides a new paradigm for engineering surveys and risk assessment in low-data-density contexts. The findings indicate that the shallow seepage zone poses low engineering risks, while the residual zone serves as an indicator of depleted gas reservoirs. The proposed analytical approach can be extended to preliminary submarine engineering surveys and hazard assessments in other regions. Full article
(This article belongs to the Section Geological Oceanography)
Show Figures

Figure 1

18 pages, 2859 KB  
Article
The Financial and Operational Impacts of Geomagnetic Disturbances on the Swiss Power System: A Causal Neural Network Approach
by Zhongyi Fang, Jing Tong, Ding Yang and Ding Yuan
Sustainability 2025, 17(24), 11163; https://doi.org/10.3390/su172411163 - 12 Dec 2025
Viewed by 142
Abstract
Geomagnetic disturbances are an emerging sustainability challenge for modern, low-carbon and highly interconnected power systems, affecting both grid stability and market performance. We develop a deep causal neural network that fuses geomagnetic observatory measurements with national operational indicators and, via counterfactual inference, traces [...] Read more.
Geomagnetic disturbances are an emerging sustainability challenge for modern, low-carbon and highly interconnected power systems, affecting both grid stability and market performance. We develop a deep causal neural network that fuses geomagnetic observatory measurements with national operational indicators and, via counterfactual inference, traces shock and no-shock trajectories to estimate instantaneous and cumulative impacts. Using Switzerland as a case, shocks significantly change national load, canton-level consumption, cross-border flows, and balancing prices. East–west disturbances have stronger effects than north–south, highlighting the role of grid topology. At the regional scale, the canton of Aargau shows pronounced cumulative consumption responses, revealing spatial heterogeneity. In cross-border exchanges, imports rise after shocks while exports contract and transit flows decline; balancing prices increase markedly, suggesting that market mechanisms can amplify physical stress into economic impacts. The approach goes beyond correlation and exposure metrics by providing system-level, decision-relevant effect sizes. The main contributions are as follows: (i) a deep causal framework that identifies and quantifies the causal effects of geomagnetic disturbances on grid operations and prices; (ii) topology-linked empirical evidence of directional and spatial asymmetries across national, canton-level, and cross-border indicators; and (iii) actionable levers for system operation and market design. These findings inform risk-aware reserve procurement, topology-aware dispatch, and cross-border coordination in highly interconnected, low-carbon grids, helping to enhance reliability, maintain affordability, and facilitate clean-energy integration. Full article
Show Figures

Figure 1

25 pages, 7271 KB  
Article
A Three-Stage Hybrid Learning Framework for Sustainable Multi-Energy Load Forecasting in Park-Level Integrated Energy Systems
by Zhenlan Dou, Shuangzeng Tian, Fanyue Qian and Yongwen Yang
Sustainability 2025, 17(24), 11158; https://doi.org/10.3390/su172411158 - 12 Dec 2025
Viewed by 161
Abstract
Accurate multi-energy load forecasting is essential for the low-carbon, efficient, and resilient operation of park-level Integrated Energy Systems (PIESs), where cooling, heating, and electricity networks interact closely and increasingly incorporate renewable energy resources. However, forecasting in such systems remains challenging due to complex [...] Read more.
Accurate multi-energy load forecasting is essential for the low-carbon, efficient, and resilient operation of park-level Integrated Energy Systems (PIESs), where cooling, heating, and electricity networks interact closely and increasingly incorporate renewable energy resources. However, forecasting in such systems remains challenging due to complex cross-energy coupling, high-dimensional feature interactions, and pronounced nonlinearities under diverse meteorological and operational conditions. To address these challenges, this study develops a novel three-stage hybrid forecasting framework that integrates Recursive Feature Elimination with Cross-Validation (RFECV), a Multi-Task Long Short-Term Memory network (MTL-LSTM), and Random Forest (RF). In the first stage, RFECV performs adaptive and interpretable feature selection, ensuring robust model inputs and capturing meteorological drivers relevant to renewable energy dynamics. The second stage employs MTL-LSTM to jointly learn shared temporal dependencies and intrinsic coupling relationships among multiple energy loads. The final RF-based residual correction enhances local accuracy by capturing nonlinear residual patterns overlooked by deep learning. A real-world case study from an East China PIES verifies the superior predictive performance of the proposed framework, achieving mean absolute percentage errors of 4.65%, 2.79%, and 3.01% for cooling, heating, and electricity loads, respectively—substantially outperforming benchmark models. These results demonstrate that the proposed method offers a reliable, interpretable, and data-driven solution to support refined scheduling, renewable energy integration, and sustainable operational planning in modern multi-energy systems. Full article
(This article belongs to the Section Energy Sustainability)
Show Figures

Figure 1

13 pages, 6759 KB  
Article
Three New Mitochondrial Genomes of Semisulcospiridae J. P. E. Morrison, 1952 (Caenogastropoda: Cerithioidea) from China and Insights into Their Phylogenetic Position
by Yibin Xu, Yuanzheng Meng, Sheng Zeng, Deyuan Yang, Shen Zhong, Zeyang Lin, Xiaohong Chen, Zhao Zhang, Hangjun Wang and Huidong Zheng
Genes 2025, 16(12), 1488; https://doi.org/10.3390/genes16121488 - 12 Dec 2025
Viewed by 196
Abstract
Background: Semisulcospiridae is a family of freshwater gastropods with over 100 species, primarily distributed in East Asia and North America. They play crucial ecological roles and are of medical importance as intermediate hosts for parasites. However, their phylogenetic relationship remains unclear. Most previous [...] Read more.
Background: Semisulcospiridae is a family of freshwater gastropods with over 100 species, primarily distributed in East Asia and North America. They play crucial ecological roles and are of medical importance as intermediate hosts for parasites. However, their phylogenetic relationship remains unclear. Most previous studies, which focused on fewer molecular markers (e.g., COI, 16S, 28S), have shown limitations in resolving relationships with low resolution. Mitochondrial genomes, with their richer phylogenetic information, offer a promising tool to infer the evolutionary relationships within this family. Methods: This study sequenced, assembled, and annotated the complete mitochondrial genomes of three Semisulcospiridae species from China: Koreoleptoxis friniana, Hua textrix, and Hua yangi. Phylogenetic analyses were conducted using Maximum Likelihood (ML) and Bayesian Inference (BI) methods on five distinct datasets derived from the mitochondrial genomes, including nucleotide sequences of protein-coding genes (with and without third codon positions), amino acid sequences, and combinations with two ribosomal RNA genes. Results: The complete (or near-complete) mitochondrial genomes of K. friniana, H. textrix, and H. yangi were 15,474 bp, 15,660 bp, and 15,744 bp in length, respectively, showing typical gene content and an A+T bias. The gene order was highly conserved. Phylogenetic analyses consistently recovered the family Semisulcospiridae as monophyletic and revealed three well-supported, distinct clades corresponding to the genera Semisulcospira, Koreoleptoxis, and Hua. While the overall tree topologies were robust for Semisulcospiridae, some incongruences were observed in the placements of other cerithioidean families depending on the dataset used. Evolutionary rate analysis (Ka/Ks) indicated strong purifying selection across all protein-coding genes, with COX1 being the most conserved. Conclusions: This study provided three new mitochondrial genomes for Semisulcospiridae: K. friniana, H. textrix, and H. yangi. Phylogenetic analysis based on mitochondrial genome datasets offers new evidence that supports the monophyly of the three Asian genera of Semisulcospiridae. Future research should include broader taxonomic sampling, particularly of the North American genus Juga and the atypical Japanese Semisulcospira lineages, to achieve a comprehensive phylogenetic framework. Full article
(This article belongs to the Section Animal Genetics and Genomics)
Show Figures

Figure 1

17 pages, 6104 KB  
Article
The Pagodas of the Mireuksa Temple Site: Interpretations and Presentations of Three Memories of Cultural Heritage in a Single Site
by Hyun Chul Youn
Sustainability 2025, 17(24), 11098; https://doi.org/10.3390/su172411098 - 11 Dec 2025
Viewed by 147
Abstract
This study examines the three pagodas of the Mireuksa Temple Site—the West, East, and Wooden Pagodas—to analyze how material evidence, cultural memory, and representation shape authenticity in architectural heritage. The research aims to clarify how different conservation strategies, including authentic restoration, speculative reconstruction, [...] Read more.
This study examines the three pagodas of the Mireuksa Temple Site—the West, East, and Wooden Pagodas—to analyze how material evidence, cultural memory, and representation shape authenticity in architectural heritage. The research aims to clarify how different conservation strategies, including authentic restoration, speculative reconstruction, and digital mediation, influence the construction and communication of cultural memory. Methodologically, the study employs a comparative case analysis grounded in archival research, archaeological records, field observations, and interpretive analysis of digital media practices. The findings indicate three distinct patterns: (1) the West Pagoda demonstrates that evidence-based restoration can maintain both material and historical authenticity; (2) the East Pagoda shows that reconstructions based on limited evidence tend to generate visually convincing yet historically uncertain representations; and (3) the Wooden Pagoda illustrates that digital mediation can effectively communicate lost heritage, but only when its speculative nature is made transparent to the public. The most significant result is that authenticity cannot be defined solely by material survival but must be evaluated through the ethical and transparent communication of historical uncertainty. Based on these insights, the study proposes a conceptual framework of “memory authenticity,” offering heritage practitioners a tool for assessing restoration choices in contexts where architectural evidence is fragmentary or lost. The findings also provide practical implications for heritage management, including evidence-based decision-making, ethically informed digital interpretation, and responsible presentation of reconstructed or hypothetical forms. Full article
Show Figures

Figure 1

21 pages, 3290 KB  
Article
Education Deserts and Local Outcomes: Spatial Dimensions of Educational Inequalities in Romania
by Angelo-Andi Petre, Liliana Dumitrache, Alina Mareci and Alexandra Cioclu
ISPRS Int. J. Geo-Inf. 2025, 14(12), 490; https://doi.org/10.3390/ijgi14120490 - 10 Dec 2025
Viewed by 258
Abstract
Spatial accessibility to education represents a key component of spatial justice, yet significant disparities persist between urban and rural areas in Romania. The present paper introduces the concept of education deserts as settlements where the population lacks proper access to education within a [...] Read more.
Spatial accessibility to education represents a key component of spatial justice, yet significant disparities persist between urban and rural areas in Romania. The present paper introduces the concept of education deserts as settlements where the population lacks proper access to education within a reasonable commuting distance and travel time, with a focus on high schools. Open-source demographic and institutional data and GIS-based spatial analysis were used in identifying education deserts across Romania. These were later evaluated based on a 20 min travel time or a 25 km distance threshold computed using OpenStreetMap API data. To assess the multidimensional nature of education deserts, a Composite Demand Index (CDI) and an Access Hardship Index (AHI) have been developed. Both were integrated into a final Education Desert Index (EDI) that captures unmet demand and spatial constraints. Results indicate that 34.3% of Romanian settlements (1092 LAU2s) and 15.2% of the high school-aged population reside in education deserts, found predominantly in the country’s North-East, South, and Centre regions. These areas coincide with rural, peripheral zones characterised by infrastructural deficits and low educational attainment. Findings reveal spatial inequities in upper secondary education provision between urban and rural communities. The present study offers a replicable methodological framework for evaluating educational accessibility and supports evidence-based policymaking aimed at reducing spatial disparities in education. Full article
Show Figures

Figure 1

16 pages, 2958 KB  
Article
High-Temperature Deformation in the Tan-Lu Fault Zone: Constraints on an Early Cretaceous Transtensional Regime
by Fang Yuan and Chuanzhong Song
Appl. Sci. 2025, 15(24), 12994; https://doi.org/10.3390/app152412994 - 10 Dec 2025
Viewed by 112
Abstract
How continental lithosphere stretches and ruptures is a fundamental question in Earth sciences; however, effective constraints on the physical conditions deep within the crust where deformation is concentrated remain elusive. This study offers new insights into this process through a detailed dissection of [...] Read more.
How continental lithosphere stretches and ruptures is a fundamental question in Earth sciences; however, effective constraints on the physical conditions deep within the crust where deformation is concentrated remain elusive. This study offers new insights into this process through a detailed dissection of the Tan-Lu Fault Zone, one of the most extensive fault systems in East Asia. A critical controlling factor for crustal rheological properties is deformation temperature, a challenge we address by employing a thermometer based on the fractal dimension (D-value) of dynamically recrystallized quartz grain boundaries. Analyzing 62 mylonite samples from the Feidong segment, we reveal that left-lateral strike-slip shearing along this fault zone occurred under high temperatures (~450–700 °C). This conclusion is not only derived quantitatively from a quartz D-value thermometer but is also visually corroborated by classic high-temperature microstructures (e.g., extensive grain boundary migration), corresponding to conditions from the upper greenschist to amphibolite facies. Existing geochronological data constrain this high-temperature shearing event to the Early Cretaceous. Such elevated temperature conditions, combined with field and microstructural evidence indicating extension, provide quantitative confirmation that the fault zone operated within a transtensional tectonic regime during that period. Our findings offer a rigorously thermally constrained dynamic model for the deformation behavior of large continental faults during large-scale lithospheric thinning and craton destruction, providing a valuable framework for interpreting crustal rheology and continental dynamics. Full article
Show Figures

Figure 1

23 pages, 1866 KB  
Article
The Sovereign Risk Amplifies ESG Market Extremes: A Quantile-Based Factor Analysis
by Oscar Walduin Orozco-Cerón, Orlando Joaqui-Barandica and Diego F. Manotas-Duque
Risks 2025, 13(12), 245; https://doi.org/10.3390/risks13120245 - 10 Dec 2025
Viewed by 204
Abstract
This study examines how sovereign risk shapes the financial performance of sustainable investments, using the MSCI Emerging Markets ESG Index as a reference. The analysis covers 24 emerging and frontier economies from Latin America, Asia, the Middle East, and Eastern Europe during 2016–2025, [...] Read more.
This study examines how sovereign risk shapes the financial performance of sustainable investments, using the MSCI Emerging Markets ESG Index as a reference. The analysis covers 24 emerging and frontier economies from Latin America, Asia, the Middle East, and Eastern Europe during 2016–2025, a period marked by major global disruptions such as the COVID-19 crisis and post-2022 financial tightening. Sovereign risk dimensions are extracted through Principal Component Analysis (PCA) applied to sovereign CDS spreads, identifying a systemic component linked to global shocks and a structural component associated with domestic fundamentals and governance quality. These factors are integrated into a quantile regression framework alongside control variables—oil prices, interest rates, and global equity indices—capturing key macro-financial transmission channels. Results show a nonlinear, quantile-dependent relationship: systemic risk intensifies ESG losses under adverse conditions, while structural improvements support gains in upper quantiles. Control variables behave as expected, confirming the macro-financial sensitivity of ESG performance. The findings reveal that ESG returns are state-dependent and strongly influenced by sovereign credit dynamics, especially in emerging markets where external shocks and institutional fragility intersect. Strengthening sovereign governance and integrating risk diagnostics into ESG assessments are essential steps to enhance resilience and credibility in sustainable finance. Full article
Show Figures

Figure 1

26 pages, 9232 KB  
Article
Integrating Remote Sensing, Machine Learning, and Degree-Day Models for Predicting Grasshopper Habitat Suitability in Temperate Grasslands
by Raza Ahmed, Wenjiang Huang, Yingying Dong, Zeenat Dildar, Hafiz Adnan Ashraf, Zahid Ur Rahman and Alua Rysbekova
Remote Sens. 2025, 17(24), 3955; https://doi.org/10.3390/rs17243955 - 7 Dec 2025
Viewed by 172
Abstract
China’s extensive grasslands are ecologically and economically vital but are increasingly degraded by grasshopper outbreaks. Traditional monitoring approaches are too limited for large-scale management. This study developed an advanced monitoring framework for the Xilingol League by integrating multi-source remote sensing, a degree-day model, [...] Read more.
China’s extensive grasslands are ecologically and economically vital but are increasingly degraded by grasshopper outbreaks. Traditional monitoring approaches are too limited for large-scale management. This study developed an advanced monitoring framework for the Xilingol League by integrating multi-source remote sensing, a degree-day model, and machine learning (ML). Field survey data from 2018 to 2023 were combined with 29 environmental variables aligned to grasshopper life stages. Four ML algorithms—Random Forest (RF), XGBoost, Multilayer Perceptron (MLP), and Logistic Regression (LR)—were evaluated for predictive performance. RF consistently outperformed other models, achieving the highest accuracy and robustness. Spatial autocorrelation analysis (Global Moran’s I) confirmed that grasshopper distributions were persistently clustered across all years, highlighting non-random outbreak patterns. Suitability mapping showed highly suitable habitats concentrated in East Ujumqin, West Ujumqin, and Xilinhot, with pronounced interannual variability, including a peak in 2022. Variable importance analysis identified soil type and vegetation type as dominant universal drivers, while precipitation, soil texture, and humidity exerted region-specific effects. These findings demonstrate that coupling biologically informed indicators with integrated learning provides ecologically interpretable and scalable predictions of outbreak risk. The framework offers a robust basis for early warning and targeted management, advancing sustainable pest control and grassland conservation. Full article
Show Figures

Figure 1

31 pages, 6021 KB  
Article
Multisource Remote Sensing and Machine Learning for Spatio-Temporal Drought Assessment in Northeast Syria
by Abdullah Sukkar, Ozan Ozturk, Ammar Abulibdeh and Dursun Zafer Seker
Sustainability 2025, 17(24), 10933; https://doi.org/10.3390/su172410933 - 7 Dec 2025
Viewed by 301
Abstract
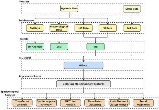
Increasing aridity across the Middle East Region has intensified concerns about the impacts of drought in conflict-affected Northeast Syria (NES). In this study, drought dynamics and their drivers from 2000 to 2023 were analyzed by integrating ERA5-Land meteorological data, MODIS land-surface indicators, FLDAS [...] Read more.
Increasing aridity across the Middle East Region has intensified concerns about the impacts of drought in conflict-affected Northeast Syria (NES). In this study, drought dynamics and their drivers from 2000 to 2023 were analyzed by integrating ERA5-Land meteorological data, MODIS land-surface indicators, FLDAS soil moisture, and ISRIC soil properties at 250 m resolution. The integration of these multisource datasets contributes to a more comprehensive understanding of drought dynamics by combining information on weather conditions, vegetation status, and soil characteristics. The proposed drought analysis framework clarifies independent controls on meteorological, agricultural, and hydrological drought, underscoring the role of land-atmosphere feedback through soil temperature. This workflow provides a transferable approach for drought monitoring and hypothesis generation in arid regions. For this purpose, different XGBoost models were trained for the vegetation health index (VHI), the standardized precipitation-evapotranspiration index (SPEI), and surface soil-moisture anomalies, excluding target-related variables to prevent data leakage. Model interpretability was achieved using SHAP, complemented by time-series, trend, clustering, and spatial autocorrelation analyses. The models performed well (R2 = 0.86–0.90), identifying soil temperature, SPEI, relative humidity, precipitation, and soil-moisture anomalies as key predictors. Regionally, soil temperature rose (+0.069 °C yr−1), while rainfall (−1.203 mm yr−1) and relative humidity (−0.075% yr−1) declined. Spatial analyses demonstrated expanding heat hotspots and persistent soil moisture deficits. Although 2018–2019 were anomalously wet, recent years (2021–2023) exhibited severe drought. Full article
Show Figures

Figure 1

23 pages, 5933 KB  
Article
Assessing Climate Regulation Ecosystem Services for Sustainable Management: A Multidimensional Framework to Inform Regional Pathways
by Linglin Zhao, Man Li, Guangbin Yang and Ou Deng
Sustainability 2025, 17(24), 10918; https://doi.org/10.3390/su172410918 - 6 Dec 2025
Viewed by 235
Abstract
Climate regulation ecosystem services (CRESs) play a crucial role in maintaining ecological balance and promoting regional sustainability. Previous studies have primarily focused on the total volume or per-unit-area quantity of CRESs, with limited attention given to their underlying driving mechanisms. This neglect overlooks [...] Read more.
Climate regulation ecosystem services (CRESs) play a crucial role in maintaining ecological balance and promoting regional sustainability. Previous studies have primarily focused on the total volume or per-unit-area quantity of CRESs, with limited attention given to their underlying driving mechanisms. This neglect overlooks their multidimensional attributes and dynamic complexity. Such simplifications often overlook the multidimensional attributes and dynamic complexity inherent in these services. Therefore, this study introduces a multidimensional evaluation framework to reveal the characteristic of the spatiotemporal evolution of CRESs. By integrating a multiscale geographically weighted regression (MGWR) model, the intensity and effective distance of theireffects are quantitatively identified, thereby providing a scientific and refined cognitive foundation for regional sustainable development. The results showed the following: (1) Between 2002 and 2022, CRESs in Guizhou Province showed an upward trend, with 64% of counties experiencing positive trends, whereas 51% of counties remained below average in terms of output and efficiency. (2) The spatial pattern of CRESs varied significantly, with stabilization in hotspots, improvement in coldspots, and the highest proportion of “A progress zones” in the east (45%). (3) Vegetation cover and annual precipitation were the two mainpositive factors that most strongly influenced the intensity of the CRESs, with values of 1.494 and 1.196, respectively; GDP had the most significant negative effect, with a value of −0.189; and population density had the largest range of effects, with a bandwidth of 1629. (4) Except for annual rainfall and aspect, the remaining eight influencingfactors, including population density, GDP, altitude, NPP, vegetation cover, annual temperature, and annual humidity, had positive and negative bidirectional effects on CRESs. Overall, this study emphasizes the need for differentiated, sustainability-oriented management strategies to better integrate ecosystem service evaluations into regional planning and sustainable policy development. Full article
(This article belongs to the Special Issue Geographical Information System for Sustainable Ecology)
Show Figures

Figure 1

26 pages, 20529 KB  
Review
A Review of Botanical, Ecological and Utilitarian Aspects of Woody Plants Mentioned in the Bible That May Facilitate Establishing Biblical Gardens in Urban Space
by Zofia Włodarczyk and Anna Kapczyńska
Sustainability 2025, 17(24), 10913; https://doi.org/10.3390/su172410913 - 5 Dec 2025
Viewed by 300
Abstract
Woody plants are integral to the ecological and cultural context of the ancient Near East. Biblical references to trees reflect both their practical uses and their symbolic significance. This is a systematic review focused specifically on botanical affiliation, geographical origin and natural habitat [...] Read more.
Woody plants are integral to the ecological and cultural context of the ancient Near East. Biblical references to trees reflect both their practical uses and their symbolic significance. This is a systematic review focused specifically on botanical affiliation, geographical origin and natural habitat type and the cultivation potential of 97 woody species in temperate urban environments, important to ancient economy, culture and religion and consistently identified by scholars in biblical texts. The study applies a multifaceted methodological framework that integrates i.a. textual analysis, literature review and 20 years of horticultural observations. Moreover, the historical utility of these species was studied based on interpreting Bible quotes and comparative multilingual analysis of biblical texts. Analyzed woody plant species represent 36 botanical families, over 50% native to Ancient Palestine. About 18.6% were cultivated by humans, the rest grew in various habitats. Biblical sources revealed 17 uses, with many species having symbolic, practical, or multiple roles. Further, 32% of the species discussed can be grown directly in the soil in temperate climate, while 52.5% require container cultivation. Additionally, 15.5% of the species are hard to cultivate and thus not recommended for Biblical gardens. The content presented also provides valuable insights that may support the development of Biblical gardens within urban environments worldwide. Full article
(This article belongs to the Section Resources and Sustainable Utilization)
Show Figures

Figure 1

Back to TopTop