Quantifying Drought Impacts Based on the Reliability–Resiliency–Vulnerability Framework over East Africa
Abstract
1. Introduction
2. Study Area, Datasets, and Methodology
2.1. Study Area
2.2. Datasets
2.3. Methodology
3. Results
3.1. Drought Characteristics
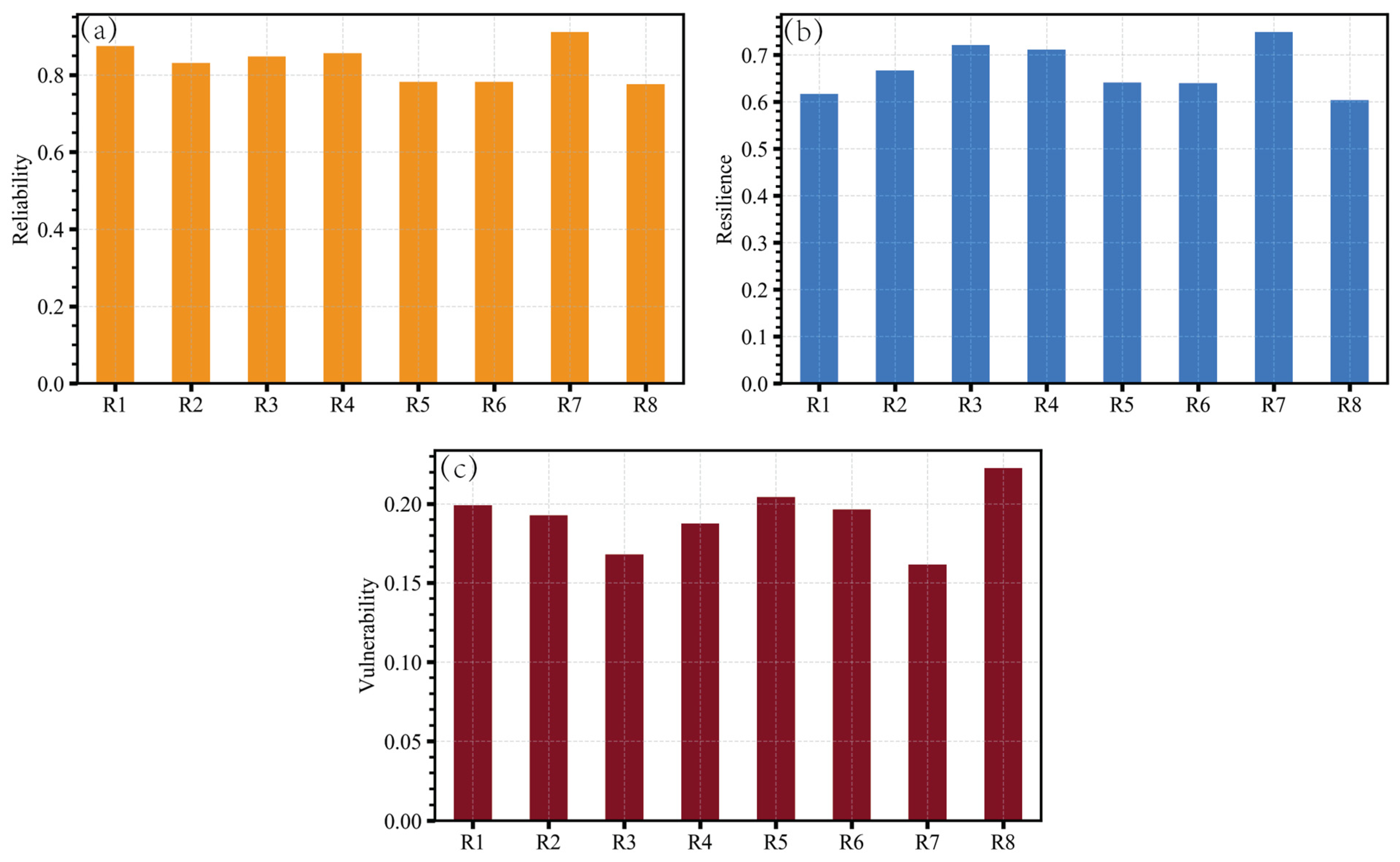
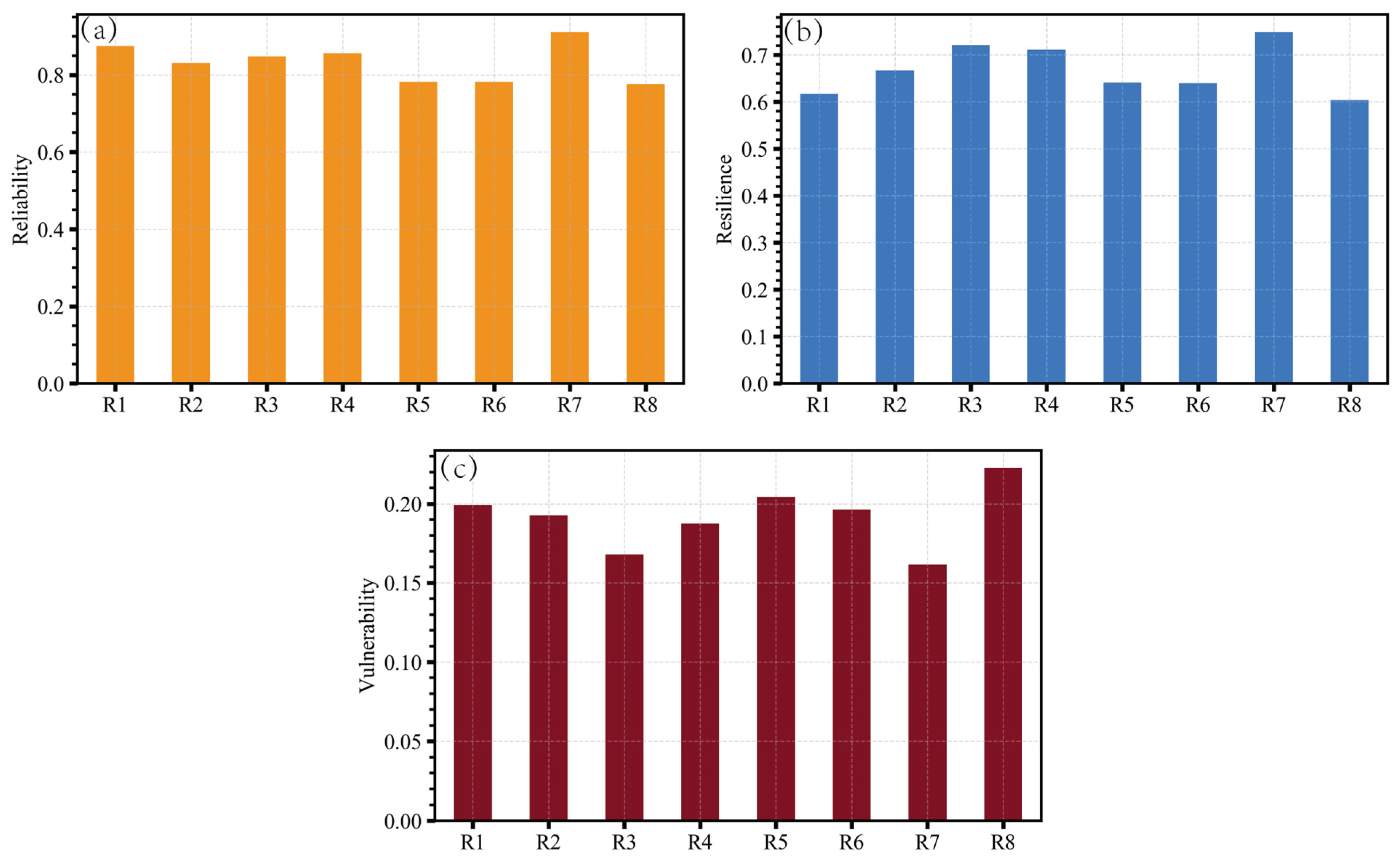
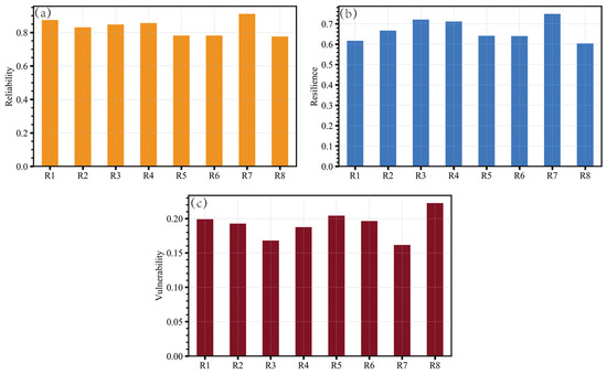
3.2. Aggregated Reliability–Resiliency–Vulnerability Index (RRV)
4. Discussion
5. Conclusions
Author Contributions
Funding
Data Availability Statement
Acknowledgments
Conflicts of Interest
Appendix A



References
- Sharif, M. Simulation of Extreme Precipitation Events Using an Improved K-Nearest Neighbor Model. In Proceedings of the World Environmental and Water Resources Congress 2023, Henderson, NV, USA, 21–24 May 2023; American Society of Civil Engineers: Reston, VA, USA, 2023; pp. 381–389. [Google Scholar]
- World Meteorological Organization. Standardized Precipitation Index User Guide; Svoboda, M., Hayes, M., Wood, D., Eds.; WMO-No. 1090; World Meteorological Organization: Geneva, Switzerland, 2012. [Google Scholar]
- CRED. 2021 Disasters in Numbers; CRED: Brussels, Belgium, 2022; Available online: https://cred.be/sites/default/files/2021_EMDAT_report.pdf (accessed on 7 February 2024).
- Wang, R.; Zhang, X.; Guo, E.; Cong, L.; Wang, Y. Characteristics of the Spatial and Temporal Distribution of Drought in Northeast China, 1961–2020. Water 2024, 16, 234. [Google Scholar] [CrossRef]
- Slavková, J.; Gera, M.; Nikolova, N.; Siman, C. Standardized Precipitation and Evapotranspiration Index Approach for Drought Assessment in Slovakia—Statistical Evaluation of Different Calculations. Atmosphere 2023, 14, 1464. [Google Scholar] [CrossRef]
- Anghel, C.G.; Ilinca, C. Hydrological Drought Frequency Analysis in Water Management Using Univariate Distributions. Appl. Sci. 2023, 13, 3055. [Google Scholar] [CrossRef]
- Wu, X.; Xu, H.; He, H.; Wu, Z.; Lu, G.; Liao, T. Agricultural Drought Monitoring Using an Enhanced Soil Water Deficit Index Derived from Remote Sensing and Model Data Merging. Remote Sens. 2024, 16, 2156. [Google Scholar] [CrossRef]
- Kadam, C.M.; Bhosle, U.V.; Holambe, R.S. A Comprehensive Assessment of Agricultural Drought. Disaster Adv. 2022, 15, 24–39. [Google Scholar] [CrossRef]
- Udmale, P.; Ichikawa, Y.; Manandhar, S.; Ishidaira, H.; Kiem, A.S. Farmers’ perception of drought impacts, local adaptation and administrative mitigation measures in Maharashtra State, India. Int. J. Disaster Risk Reduct. 2014, 10, 250–269. [Google Scholar] [CrossRef]
- Tripathy, K.P.; Mukherjee, S.; Mishra, A.K.; Mann, M.E.; Williams, A.P. Climate change will accelerate the high-end risk of compound drought and heatwave events. Proc. Natl. Acad. Sci. USA 2023, 120, e2219825120. [Google Scholar] [CrossRef] [PubMed]
- Mushtaq, B.; Bandh, S.A.; Shafi, S. Management of Water Resources. In Environmental Management; Springer: Singapore, 2020; pp. 1–46. [Google Scholar]
- Kusmambetov, K.D.; Suleimenova, S.Z. Water Resources as the Material Basis for Further Strategic Development of the Republic of Kazakhstan. J. Environ. Manag. Tour. 2022, 13, 99–106. [Google Scholar] [CrossRef] [PubMed]
- Opere, A.; Omwoyo, A.; Mueni, P.; Arango, M. Impact of Climate Change on Water Resources in Eastern Africa. In Research Anthology on Environmental and Societal Impacts of Climate Change; IGI Global: Hershey, PA, USA, 2022; pp. 1150–1174. [Google Scholar]
- Ayugi, B.; Tan, G.; Niu, R.; Dong, Z.; Ojara, M.; Mumo, L.; Babaousmail, H.; Ongoma, V. Evaluation of meteorological drought and flood scenarios over Kenya, East Africa. Atmosphere 2020, 11, 307. [Google Scholar] [CrossRef]
- Omondi, O.A.; Lin, Z. Trend and spatial-temporal variation of drought characteristics over equatorial East Africa during the last 120 years. Front. Earth Sci. 2023, 10, 1064940. [Google Scholar] [CrossRef]
- Kalladath, N.; Rasheed, A.; Otieno, V.; Misiani, H.; Ouma, J.; Otenyo, E.; Amdihun, A. Automatic generation of impact-based drought forecast, implications for early warning and action in East Africa. In Proceedings of the EGU General Assembly 2023, Vienna, Austria, 23–28 April 2023. [Google Scholar] [CrossRef]
- Nguvana, M.; Abiodun, B.J.; Otieno, F. Projecting drought characteristics over East Africa basins at specific global warming levels. Atmos. Res. 2019, 228, 41–54. [Google Scholar] [CrossRef]
- Haile, G.G.; Tang, Q.; Baniya, B. Spatial Drought Patterns in East Africa. In Climate Risk and Sustainable Water Management; Cambridge University Press: Cambridge, UK, 2022; pp. 47–64. ISBN 9781108787291. [Google Scholar]
- Ojara, M.A.; Lou, Y.; Aribo, L.; Namumbya, S.; Uddin, M.J. Dry spells and probability of rainfall occurrence for Lake Kyoga Basin in Uganda, East Africa. Nat. Hazards 2020, 100, 493–514. [Google Scholar] [CrossRef]
- Kamei, A. Who Walks for Water? Water Consumption and Labor Supply Response to Rainfall Scarcity in Uganda. SSRN Electron. J. 2022, 2003–2005. [Google Scholar] [CrossRef]
- Busolo, J.; Nzeyimana, I.; Jones, O.; Huber-Lee, A.; Kemp-Benedict, E.; Joyce, B. A Water-Resilient Economy: Hydro-Macroeconomic and Climate Change Analysis in Rwanda; SEI: Oaks, PA, USA, 2023; Volume 10. [Google Scholar] [CrossRef]
- Mishra, A.K.; Singh, V.P. A review of drought concepts. J. Hydrol. 2010, 391, 202–216. [Google Scholar] [CrossRef]
- Vinnarasi, R.; Dhanya, C.T.; Kumar, H. Tracing Time-Varying Characteristics of Meteorological Drought through Nonstationary Joint Deficit Index. J. Clim. 2023, 36, 4203–4217. [Google Scholar] [CrossRef]
- Han, J.; Zhang, J.; Yang, S.; Cao, D.; Ahmed Prodhan, F.; Pangali Sharma, T.P. A new composite index for global soil plant atmosphere continuum drought monitoring combing remote-sensing based terrestrial water storage and vapor pressure deficit anomalies. J. Hydrol. 2022, 615, 128622. [Google Scholar] [CrossRef]
- Kumari, P.; Rehana, S.; Singh, S.K.; Inayathulla, M. Development of a new agro-meteorological drought index (SPAEI-Agro) in a data-scarce region. Hydrol. Sci. J. 2023, 68, 1301–1322. [Google Scholar] [CrossRef]
- Elameen, A.M.; Jin, S.; Olago, D. Identification of Drought Events in Major Basins of Africa from GRACE Total Water Storage and Modeled Products. Photogramm. Eng. Remote Sens. 2023, 89, 221–232. [Google Scholar] [CrossRef]
- He, L.; Tong, L.; Zhou, Z.; Gao, T.; Ding, Y.; Ding, Y.; Zhao, Y.; Fan, W. A Drought Index: The Standardized Precipitation Evapotranspiration Irrigation Index. Water 2022, 14, 2133. [Google Scholar] [CrossRef]
- Stefanidis, S.; Dimitra, R.; Nikolaos, P. Drought severity and trends in a Mediterranean oak forest. Hydrology 2023, 10, 167. [Google Scholar] [CrossRef]
- Wei, W.; Liu, T.; Zhou, L.; Wang, J.; Yan, P.; Xie, B.; Zhou, J. Drought-Related Spatiotemporal Cumulative and Time-Lag Effects on Terrestrial Vegetation across China. Remote Sens. 2023, 15, 4362. [Google Scholar] [CrossRef]
- Hashimoto, T.; Stedinger, J.R.; Loucks, D.P. Reliability, resiliency, and vulnerability criteria for water resource system performance evaluation. Water Resour. Res. 1982, 18, 14–20. [Google Scholar] [CrossRef]
- Maity, R.; Sharma, A.; Nagesh Kumar, D.; Chanda, K. Characterizing Drought Using the Reliability-Resilience-Vulnerability Concept. J. Hydrol. Eng. 2013, 18, 859–869. [Google Scholar] [CrossRef]
- Sadeghi, S.H.; Hazbavi, Z. Spatiotemporal variation of watershed health propensity through reliability-resilience-vulnerability based drought index (case study: Shazand Watershed in Iran). Sci. Total Environ. 2017, 587–588, 168–176. [Google Scholar] [CrossRef] [PubMed]
- Hazbavi, Z.; Baartman, J.E.M.; Nunes, J.P.; Keesstra, S.D.; Sadeghi, S.H. Changeability of reliability, resilience and vulnerability indicators with respect to drought patterns. Ecol. Indic. 2018, 87, 196–208. [Google Scholar] [CrossRef]
- Asefa, T.; Clayton, J.; Adams, A.; Anderson, D. Performance evaluation of a water resources system under varying climatic conditions: Reliability, Resilience, Vulnerability and beyond. J. Hydrol. 2014, 508, 53–65. [Google Scholar] [CrossRef]
- Hong, X.; Basirialmahjough, M.; He, Y.; Moudi, M. Investigation of Drought Risk Using a Dynamic Optimization Framework in Regional Water Allocation Procedure With Different Streamflow Scenarios. Front. Environ. Sci. 2022, 10, 813239. [Google Scholar] [CrossRef]
- Fooladi, M.; Golmohammadi, M.H.; Safavi, H.R.; Singh, V.P. Application of meteorological drought for assessing watershed health using fuzzy-based reliability, resilience, and vulnerability. Int. J. Disaster Risk Reduct. 2021, 66, 102616. [Google Scholar] [CrossRef]
- Sung, J.H.; Chung, E.S.; Shahid, S. Reliability-Resiliency-Vulnerability approach for drought analysis in South Korea using 28 GCMs. Sustainability 2018, 10, 3043. [Google Scholar] [CrossRef]
- Indeje, M.; Semazzi, F.H.M.; Ogallo, L.J. ENSO signals in East African rainfall seasons. Int. J. Clim. 2000, 20, 19–46. [Google Scholar] [CrossRef]
- Ongoma, V.; Chen, H. Temporal and spatial variability of temperature and precipitation over East Africa from 1951 to 2010. Meteorol. Atmos. Phys. 2017, 129, 131–144. [Google Scholar] [CrossRef]
- Funk, C.; Harrison, L.; Segele, Z.; Rosenstock, T.; Steward, P.; Anderson, C.L.; Coughlan de Perez, E.; Maxwell, D.; Endris, H.S.; Koch, E.; et al. Tailored Forecasts Can Predict Extreme Climate Informing Proactive Interventions in East Africa. Earth’s Futur. 2023, 11, e2023EF003524. [Google Scholar] [CrossRef]
- Vicente-Serrano, S.M.; Beguería, S.; López-Moreno, J.I. A multiscalar drought index sensitive to global warming: The standardized precipitation evapotranspiration index. J. Clim. 2010, 23, 1696–1718. [Google Scholar] [CrossRef]
- Vicente-Serrano, S.M.; Beguería, S.; López-Moreno, J.I.; Angulo, M.; El Kenawy, A. A new global 0.5° gridded dataset (1901–2006) of a multiscalar drought index: Comparison with current drought index datasets based on the palmer drought severity index. J. Hydrometeorol. 2010, 11, 1033–1043. [Google Scholar] [CrossRef]
- Gebrechorkos, S.H.; Peng, J.; Dyer, E.; Miralles, D.G.; Vicente-Serrano, S.M.; Funk, C.; Beck, H.E.; Asfaw, D.T.; Singer, M.B.; Dadson, S.J. Global high-resolution drought indices for 1981–2022. Earth Syst. Sci. Data 2023, 15, 5449–5466. [Google Scholar] [CrossRef]
- Hersbach, H.; Bell, B.; Berrisford, P.; Hirahara, S.; Horányi, A.; Muñoz-Sabater, J.; Nicolas, J.; Peubey, C.; Radu, R.; Schepers, D.; et al. The ERA5 global reanalysis. Q. J. R. Meteorol. Soc. 2020, 146, 1999–2049. [Google Scholar] [CrossRef]
- Hammad, Z.; Chung, E.U. Spatiotemporal variability of future water sustainability using reliability resilience vulnerability framework. Theor. Appl. Clim. 2024, 1–16. [Google Scholar] [CrossRef]
- Nicholson, S.E. A detailed look at the recent drought situation in the Greater Horn of Africa. J. Arid Environ. 2014, 103, 71–79. [Google Scholar] [CrossRef]
- Gebremeskel, G.; Tang, Q.; Sun, S.; Huang, Z.; Zhang, X.; Liu, X. Droughts in East Africa: Causes, impacts and resilience. Earth-Sci. Rev. 2019, 193, 146–161. [Google Scholar] [CrossRef]
- Lyon, B.; Dewitt, D.G. A recent and abrupt decline in the East African long rains. Geophys. Res. Lett. 2012, 39, 1–5. [Google Scholar] [CrossRef]
- AghaKouchak, A. A multivariate approach for persistence-based drought prediction: Application to the 2010–2011 East Africa drought. J. Hydrol. 2015, 526, 127–135. [Google Scholar] [CrossRef]
- Lim Kam Sian, K.T.C.; Onyutha, C.; Ayugi, B.O.; Njouenwet, I.; Ongoma, V. Drought severity across Africa: A comparative analysis of multi-source precipitation datasets. Nat. Hazards 2024, 1–31. [Google Scholar] [CrossRef]
- Uhe, P.; Philip, S.; Kew, S.; Shah, K.; Kimutai, J.; Mwangi, E.; van Oldenborgh, G.J.; Singh, R.; Arrighi, J.; Jjemba, E.; et al. Attributing drivers of the 2016 Kenyan drought. Int. J. Clim. 2018, 38, e554–e568. [Google Scholar] [CrossRef]
- Polong, F.; Chen, H.; Sun, S.; Ongoma, V. Temporal and spatial evolution of the standard precipitation evapotranspiration index (SPEI) in the Tana River Basin, Kenya. Theor. Appl. Clim. 2019, 138, 777–792. [Google Scholar] [CrossRef]
- Funk, C.; Hoell, A.; Shukla, S.; Bladé, I.; Liebmann, B.; Roberts, J.B.; Robertson, F.R.; Husak, G. Predicting East African spring droughts using Pacific and Indian Ocean sea surface temperature indices. Hydrol. Earth Syst. Sci. 2014, 18, 4965–4978. [Google Scholar] [CrossRef]
- Doi, T.; Behera, S.K.; Yamagata, T. On the Predictability of the Extreme Drought in East Africa During the Short Rains Season. Geophys. Res. Lett. 2022, 49, e2022GL100905. [Google Scholar] [CrossRef]
- Lyon, B. Seasonal drought in the Greater Horn of Africa and its recent increase during the March-May long rains. J. Clim. 2014, 27, 7953–7975. [Google Scholar] [CrossRef]
- Onyutha, C.; Acayo, G.; Nyende, J. Analyses of precipitation and evapotranspiration changes across the Lake Kyoga Basin in East Africa. Water 2020, 12, 1134. [Google Scholar] [CrossRef]










| Drought Characteristics | Equation | Symbol and Units |
|---|---|---|
| Drought Duration | D = drought duration (months) de: duration of ith drought events e: the number of drought events n: number of drought months | |
| Drought Frequency | F = drought frequency (%) nm: number of drought month Nm: total number of months | |
| Drought Severity | S = cumulation sum of the index value based on the duration extent |
Disclaimer/Publisher’s Note: The statements, opinions and data contained in all publications are solely those of the individual author(s) and contributor(s) and not of MDPI and/or the editor(s). MDPI and/or the editor(s) disclaim responsibility for any injury to people or property resulting from any ideas, methods, instructions or products referred to in the content. |
© 2024 by the authors. Licensee MDPI, Basel, Switzerland. This article is an open access article distributed under the terms and conditions of the Creative Commons Attribution (CC BY) license (https://creativecommons.org/licenses/by/4.0/).
Share and Cite
Babaousmail, H.; Ayugi, B.O.; Hammad, Z.; Alupot, D.; Posset, K.R.; Mumo, R.; Rajasekar, A. Quantifying Drought Impacts Based on the Reliability–Resiliency–Vulnerability Framework over East Africa. Climate 2024, 12, 92. https://doi.org/10.3390/cli12070092
Babaousmail H, Ayugi BO, Hammad Z, Alupot D, Posset KR, Mumo R, Rajasekar A. Quantifying Drought Impacts Based on the Reliability–Resiliency–Vulnerability Framework over East Africa. Climate. 2024; 12(7):92. https://doi.org/10.3390/cli12070092
Chicago/Turabian StyleBabaousmail, Hassen, Brian Odhiambo Ayugi, Zulfiqar Hammad, Donnata Alupot, Kokou Romaric Posset, Richard Mumo, and Adharsh Rajasekar. 2024. "Quantifying Drought Impacts Based on the Reliability–Resiliency–Vulnerability Framework over East Africa" Climate 12, no. 7: 92. https://doi.org/10.3390/cli12070092
APA StyleBabaousmail, H., Ayugi, B. O., Hammad, Z., Alupot, D., Posset, K. R., Mumo, R., & Rajasekar, A. (2024). Quantifying Drought Impacts Based on the Reliability–Resiliency–Vulnerability Framework over East Africa. Climate, 12(7), 92. https://doi.org/10.3390/cli12070092

