Spatial-Temporal Evolution and Prediction of Carbon Storage: An Integrated Framework Based on the MOP–PLUS–InVEST Model and an Applied Case Study in Hangzhou, East China
Abstract
1. Introduction
2. Study Area and Data
2.1. Study Area
2.2. Data Sources
3. Method
3.1. GM (1, 1) Model
3.2. MOP
3.2.1. Construction of the Multiobjective Function
- (1)
- Ecological benefit objectives
- (2)
- Economic benefit objective
3.2.2. Scenario Setting
3.2.3. Constraints
3.3. The PLUS Model
3.4. The InVEST Model
3.5. Spatial Correlation Analysis
4. Results
4.1. Land-Cover Change from 2000 to 2020
4.2. Spatial-Temporal Evolution of Carbon Storage from 2000 to 2020
4.3. Simulation of Land Cover in 2030
4.4. Comparative Analysis of Benefits in 2030
4.5. Prediction of Carbon Storage in 2030
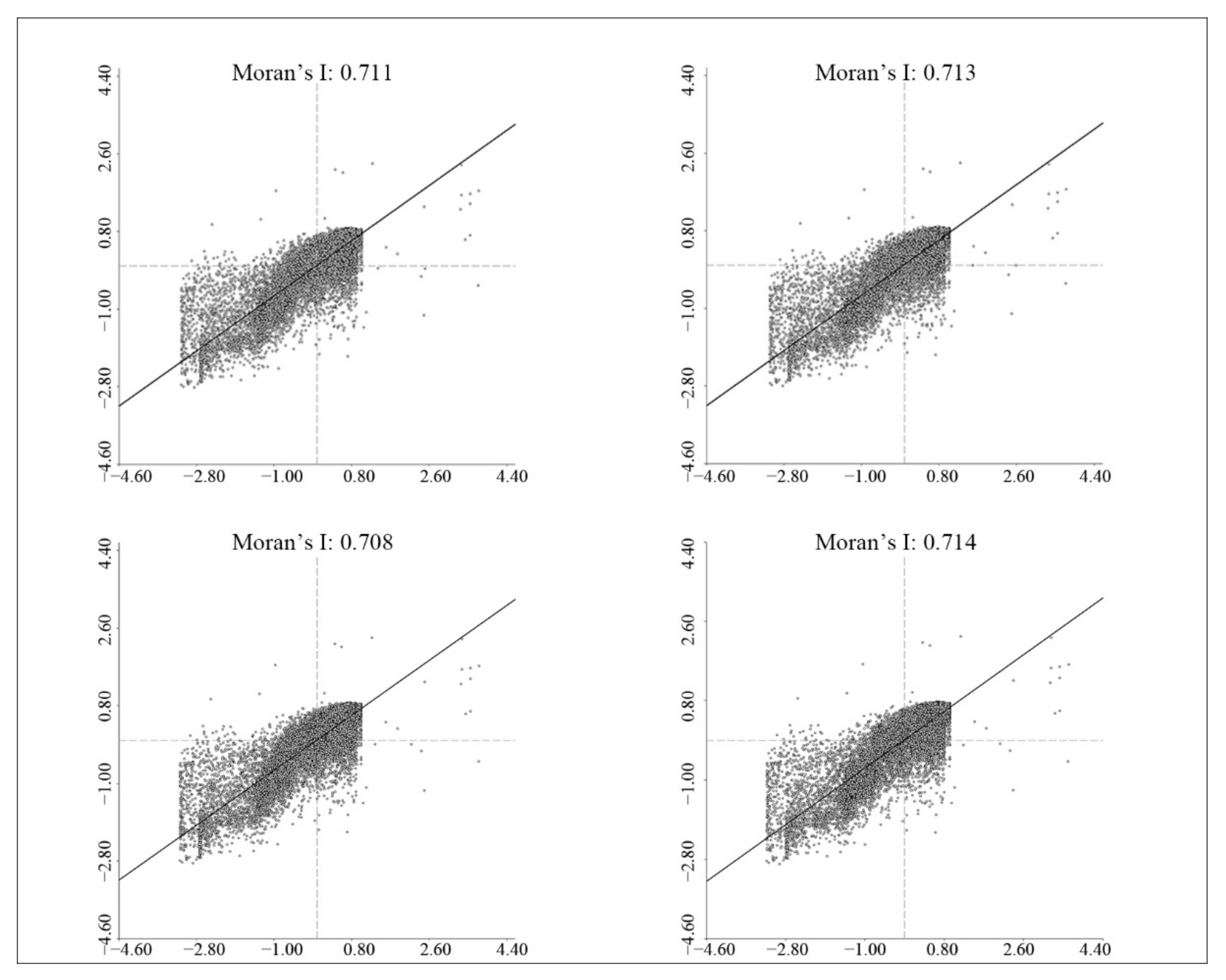
4.6. Spatial Correlation Analysis of Carbon Storage in 2030
4.7. Zoning of Carbon Storage in 2030
5. Discussion
5.1. Comparative Discussion and Analysis of the Four Scenarios
5.2. Possible Directions for Improvement
6. Conclusions
Author Contributions
Funding
Institutional Review Board Statement
Informed Consent Statement
Data Availability Statement
Acknowledgments
Conflicts of Interest
References
- Diffenbaugh, N.S.; Field, C.B. Changes in Ecologically Critical Terrestrial Climate Conditions. Science 2013, 341, 486–492. [Google Scholar] [CrossRef]
- Goldberg, M.H.; van der Linden, S.; Maibach, E.; Leiserowitz, A. Discussing Global Warming Leads to Greater Acceptance of Climate Science. Proc. Natl. Acad. Sci. USA 2019, 116, 14804–14805. [Google Scholar] [CrossRef]
- Gasser, T.; Guivarch, C.; Tachiiri, K.; Jones, C.D.; Ciais, P. Negative Emissions Physically Needed to Keep Global Warming below 2 °C. Nat. Commun. 2015, 6, 7958. [Google Scholar] [CrossRef]
- Tang, L.; Ke, X.; Zhou, T.; Zheng, W.; Wang, L. Impacts of Cropland Expansion on Carbon Storage: A Case Study in Hubei, China. J. Environ. Manag. 2020, 265, 110515. [Google Scholar] [CrossRef]
- Cox, P.M.; Betts, R.A.; Jones, C.D.; Spall, S.A.; Totterdell, I.J. Acceleration of Global Warming due to Carbon-Cycle Feedbacks in a Coupled Climate Model. Nature 2000, 408, 184–187. [Google Scholar] [CrossRef]
- Zhao, M.; He, Z.; Du, J.; Chen, L.; Lin, P.; Fang, S. Assessing the Effects of Ecological Engineering on Carbon Storage by Linking the CA-Markov and InVEST Models. Ecol. Indic. 2019, 98, 29–38. [Google Scholar] [CrossRef]
- Carvalhais, N.; Forkel, M.; Khomik, M.; Bellarby, J.; Jung, M.; Migliavacca, M.; Μu, M.; Saatchi, S.; Santoro, M.; Thurner, M.; et al. Global Covariation of Carbon Turnover Times with Climate in Terrestrial Ecosystems. Nature 2014, 514, 213–217. [Google Scholar] [CrossRef]
- Houghton, R.A. Revised Estimates of the Annual Net Flux of Carbon to the Atmosphere from Changes in Land Use and Land Management 1850–2000. Tellus B 2003, 55, 378–390. [Google Scholar] [CrossRef]
- Liang, Y.; Hashimoto, S.; Liu, L. Integrated Assessment of Land-Use/Land-Cover Dynamics on Carbon Storage Services in the Loess Plateau of China from 1995 to 2050. Ecol. Indic. 2021, 120, 106939. [Google Scholar] [CrossRef]
- Zhang, M.; Huang, X.; Chuai, X.; Yang, H.; Lai, L.; Tan, J. Impact of Land Use Type Conversion on Carbon Storage in Terrestrial Ecosystems of China: A Spatial-Temporal Perspective. Sci. Rep. 2015, 5, 10233. [Google Scholar] [CrossRef]
- Baccini, A.; Goetz, S.J.; Walker, W.S.; Laporte, N.T.; Sun, M.; Sulla-Menashe, D.; Hackler, J.; Beck, P.S.A.; Dubayah, R.; Friedl, M.A.; et al. Estimated Carbon Dioxide Emissions from Tropical Deforestation Improved by Carbon-Density Maps. Nat. Clim. Chang. 2012, 2, 182–185. [Google Scholar] [CrossRef]
- Chang, X.; Xing, Y.; Wang, J.; Yang, H.; Gong, W. Effects of Land Use and Cover Change (LUCC) on Terrestrial Carbon Stocks in China between 2000 and 2018. Resour. Conserv. Recycl. 2022, 182, 106333. [Google Scholar] [CrossRef]
- He, Y.; Xia, C.; Shao, Z.; Zhao, J. The Spatiotemporal Evolution and Prediction of Carbon Storage: A Case Study of Urban Agglomeration in China’s Beijing-Tianjin-Hebei Region. Land 2022, 11, 858. [Google Scholar] [CrossRef]
- Gao, L.; Wen, X.; Guo, Y.; Gao, T.; Wang, Y.; Shen, L. Spatiotemporal Variability of Carbon Flux from Different Land Use and Land cover Changes: A Case Study in Hubei Province, China. Energies 2014, 7, 2298–2316. [Google Scholar] [CrossRef]
- He, C.; Zhang, D.; Huang, Q.; Zhao, Y. Assessing the Potential Impacts of Urban Expansion on Regional Carbon Storage by Linking the LUSD-Urban and InVEST Models. Environ. Model. Softw. 2016, 75, 44–58. [Google Scholar] [CrossRef]
- Ren, Y.; Yan, J.; Wei, X.; Wang, Y.; Yang, Y.; Hua, L.; Xiong, Y.; Niu, X.; Song, X. Effects of Rapid Urban Sprawl on Urban Forest Carbon Stocks: Integrating Remotely Sensed, GIS and Forest Inventory Data. J. Environ. Manag. 2012, 113, 447–455. [Google Scholar] [CrossRef] [PubMed]
- Zhang, K.; Dang, H.; Tan, S.; Cheng, X.; Zhang, Q. Change in Soil Organic Carbon Following the ‘Grain-for-Green’ Programme in China. Land Degrad. Dev. 2010, 21, 13–23. [Google Scholar] [CrossRef]
- Maia, S.M.F.; Ogle, S.M.; Cerri, C.C.; Cerri, C.E.P. Changes in Soil Organic Carbon Storage under Different Agricultural Management Systems in the Southwest Amazon Region of Brazil. Soil Tillage Res. 2010, 106, 177–184. [Google Scholar] [CrossRef]
- Leh, M.D.K.; Matlock, M.D.; Cummings, E.C.; Nalley, L.L. Quantifying and Mapping Multiple Ecosystem Services Change in West Africa. Agric. Ecosyst. Environ. 2013, 165, 6–18. [Google Scholar] [CrossRef]
- Polasky, S.; Nelson, E.; Pennington, D.; Johnson, K.A. The Impact of Land-Use Change on Ecosystem Services, Biodiversity and Returns to Landowners: A Case Study in the State of Minnesota. Env. Resour. Econ. 2011, 48, 219–242. [Google Scholar] [CrossRef]
- Nelson, E.; Sander, H.; Hawthorne, P.; Conte, M.; Ennaanay, D.; Wolny, S.; Manson, S.; Polasky, S. Projecting Global Land-Use Change and Its Effect on Ecosystem Service Provision and Biodiversity with Simple Models. PLoS ONE 2010, 5, e14327. [Google Scholar] [CrossRef]
- Jiang, W.; Deng, Y.; Tang, Z.; Lei, X.; Chen, Z. Modelling the Potential Impacts of Urban Ecosystem Changes on Carbon Storage under Different Scenarios by Linking the CLUE-S and the InVEST Models. Ecol. Model. 2017, 345, 30–40. [Google Scholar] [CrossRef]
- Li, Y.; Liu, Z.; Li, S.; Li, X. Multi-Scenario Simulation Analysis of Land Use and Carbon Storage Changes in Changchun City Based on FLUS and InVEST Model. Land 2022, 11, 647. [Google Scholar] [CrossRef]
- Li, X.; Liu, Z.; Li, S.; Li, Y. Multi-Scenario Simulation Analysis of Land Use Impacts on Habitat Quality in Tianjin Based on the PLUS Model Coupled with the InVEST Model. Sustainability 2022, 14, 6923. [Google Scholar] [CrossRef]
- Shao, Z.; Chen, R.; Zhao, J.; Xia, M.; He, Y.; Tang, F. Spatio-temporal evolution and prediction of carbon storage in Beijing’s ecosystem based on FLUS and InVEST models. Acta Ecol. Sin. 2022, 42. [Google Scholar] [CrossRef]
- Lin, T.; Yang, M.; Wu, D.; Liu, F.; Yang, J.; Wang, Y. Spatial Correlation and Prediction of Land Use Carbon Storage in Guangdong Province Based on InVEST-PLUS Model. China Environ. Sci. 2022, 42, 1–17. [Google Scholar] [CrossRef]
- Cao, L.; Kong, F.; Xu, C. Exploring Ecosystem Carbon Storage Change and Scenario Simulation in the Qiantang River Source Region of China. Sci. Prog. 2022, 105, 00368504221113186. [Google Scholar] [CrossRef] [PubMed]
- Liu, Q.; Yang, D.; Cao, L.; Anderson, B. Assessment and Prediction of Carbon Storage Based on Land Use/Land Cover Dynamics in the Tropics: A Case Study of Hainan Island, China. Land 2022, 11, 244. [Google Scholar] [CrossRef]
- Li, S.; Zhao, X.; Pu, J.; Miao, P.; Wang, Q.; Tan, K. Optimize and Control Territorial Spatial Functional Areas to Improve the Ecological Stability and Total Environment in Karst Areas of Southwest China. Land Use Policy 2021, 100, 104940. [Google Scholar] [CrossRef]
- Kannan, D.; Khodaverdi, R.; Olfat, L.; Jafarian, A.; Diabat, A. Integrated Fuzzy Multi Criteria Decision Making Method and Multi-Objective Programming Approach for Supplier Selection and Order Allocation in a Green Supply Chain. J. Clean. Prod. 2013, 47, 355–367. [Google Scholar] [CrossRef]
- Wang, Z.; Gao, Y.; Wang, X.; Lin, Q.; Li, L. A New Approach to Land Use Optimization and Simulation Considering Urban Development Sustainability: A Case Study of Bortala, China. Sustain. Cities Soc. 2022, 87, 104135. [Google Scholar] [CrossRef]
- Wang, Z.; Li, X.; Mao, Y.; Li, L.; Wang, X.; Lin, Q. Dynamic Simulation of Land Use Change and Assessment of Carbon Storage Based on Climate Change Scenarios at the City Level: A Case Study of Bortala, China. Ecol. Indic. 2022, 134, 108499. [Google Scholar] [CrossRef]
- Li, Y.; Ma, Q.; Song, Y.; Han, H. Bringing Conservation Priorities into Urban Growth Simulation: An Integrated Model and Applied Case Study of Hangzhou, China. Resour. Conserv. Recycl. 2019, 140, 324–337. [Google Scholar] [CrossRef]
- Ma, Q.; Li, Y.; Xu, L. Identification of Green Infrastructure Networks Based on Ecosystem Services in a Rapidly Urbanizing Area. J. Clean. Prod. 2021, 300, 126945. [Google Scholar] [CrossRef]
- Li, J.; Li, J.; Yuan, Y.; Li, G. Spatiotemporal Distribution Characteristics and Mechanism Analysis of Urban Population Density: A Case of Xi’an, Shaanxi, China. Cities 2019, 86, 62–70. [Google Scholar] [CrossRef]
- Wang, G.; Peng, W. Detecting Influences of Factors on GDP Density Differentiation of Rural Poverty Changes. Struct. Chang. Econ. Dyn. 2021, 56, 141–151. [Google Scholar] [CrossRef]
- Liu, Z.; He, C.; Zhang, Q.; Huang, Q.; Yang, Y. Extracting the Dynamics of Urban Expansion in China Using DMSP-OLS Nighttime Light Data from 1992 to 2008. Landsc. Urban Plan. 2012, 106, 62–72. [Google Scholar] [CrossRef]
- Li, S.; Hu, G.; Cheng, X.; Xiong, L.; Tang, G.; Strobl, J. Integrating Topographic Knowledge into Deep Learning for the Void-Filling of Digital Elevation Models. Remote Sens. Environ. 2022, 269, 112818. [Google Scholar] [CrossRef]
- Huang, S.; Tang, L.; Hupy, J.P.; Wang, Y.; Shao, G. A Commentary Review on the Use of Normalized Difference Vegetation Index (NDVI) in the Era of Popular Remote Sensing. J. For. Res. 2021, 32, 2719. [Google Scholar] [CrossRef]
- Cai, W.; Peng, W. Exploring Spatiotemporal Variation of Carbon Storage Driven by Land Use Policy in the Yangtze River Delta Region. Land 2021, 10, 1120. [Google Scholar] [CrossRef]
- Wang, Z.-X.; Li, Q.; Pei, L.-L. A Seasonal GM(1,1) Model for Forecasting the Electricity Consumption of the Primary Economic Sectors. Energy 2018, 154, 522–534. [Google Scholar] [CrossRef]
- Yuan, C.; Liu, S.; Fang, Z. Comparison of China’s Primary Energy Consumption Forecasting by Using ARIMA (the Autoregressive Integrated Moving Average) Model and GM(1,1) Model. Energy 2016, 100, 384–390. [Google Scholar] [CrossRef]
- Newland, C.P.; Maier, H.R.; Zecchin, A.C.; Newman, J.P.; van Delden, H. Multi-Objective Optimisation Framework for Calibration of Cellular Automata Land-Use Models. Environ. Model. Softw. 2018, 100, 175–200. [Google Scholar] [CrossRef]
- Cao, S.; Jin, X.; Yang, X.; Sun, R.; Liu, J.; Han, B.; Xu, W.; Zhou, K. Coupled MOP and GeoSOS-FLUS models research on optimization of land use structure and layout in Jintan district. J. Nat. Resour. 2019, 34, 1171–1185. [Google Scholar] [CrossRef]
- Yang, L.; Xie, Y.; Zong, L.; Qiu, T.; Jiao, Z. Land use optimization configuration based on multi-objective genetic algorithm and FLUS model of agro-pastoral ecotone in Northwest China. J. Geo-Inf. Sci. 2020, 22, 568–579. [Google Scholar] [CrossRef]
- Liu, J.; Li, W.; Zhou, W.; Han, L.; Qian, Y. Scenario simulation balancing multiple objectives for optimal land use allocation of the Beijing-Tianjin-Hebei megaregion. Acta Ecol. Sin. 2018, 38, 4341–4350. [Google Scholar] [CrossRef]
- Xie, G.; Zhang, C.; Zhang, L.; Chen, W.; Li, S. Improvement of the Evaluation Method for Ecosystem Service Value Based on Per Unit Area. J. Nat. Resour. 2015, 30, 1243–1254. [Google Scholar] [CrossRef]
- Benitez-Capistros, F.; Hugé, J.; Koedam, N. Environmental Impacts on the Galapagos Islands: Identification of Interactions, Perceptions and Steps Ahead. Ecol. Indic. 2014, 38, 113–123. [Google Scholar] [CrossRef]
- Lou, Y.; Yang, D.; Zhang, P.; Zhang, Y.; Song, M.; Huang, Y.; Jing, W. Multi-Scenario Simulation of Land Use Changes with Ecosystem Service Value in the Yellow River Basin. Land 2022, 11, 992. [Google Scholar] [CrossRef]
- Liang, X.; Guan, Q.; Clarke, K.C.; Liu, S.; Wang, B.; Yao, Y. Understanding the Drivers of Sustainable Land Expansion Using a Patch-Generating Land Use Simulation (PLUS) Model: A Case Study in Wuhan, China. Comput. Environ. Urban Syst. 2021, 85, 101569. [Google Scholar] [CrossRef]
- Sharp, R.; Tallis, H.T.; Ricketts, T.; Guerry, A.D.; Wood, S.A.; Chaplin-Kramer, R.; Nelson, E.; Ennaanay, D.; Wolny, S.; Olwero, N.; et al. InVEST 3.12.0 User’s Guide; Collaborative Publication by The Natural Capital Project, Stanford University, the University of Minnesota, The Nature Conservancy, and the World Wildlife Fund; Stanford University: Stanford, CA, USA, 2018; Available online: https://naturalcapitalproject.stanford.edu/software/invest (accessed on 2 November 2022).
- Tao, Y.; Li, F.; Wang, R.; Zhao, D. Effects of Land Use and Cover Change on Terrestrial Carbon Stocks in Urbanized Areas: A Study from Changzhou, China. J. Clean. Prod. 2015, 103, 651–657. [Google Scholar] [CrossRef]
- Wang, C.; Zhan, J.; Chu, X.; Liu, W.; Zhang, F. Variation in Ecosystem Services with Rapid Urbanization: A Study of Carbon Sequestration in the Beijing-Tianjin-Hebei Region, China. Phys. Chem. Earth Parts A/B/C 2019, 110, 195–202. [Google Scholar] [CrossRef]
- Nel, L.; Boeni, A.F.; Prohászka, V.J.; Szilágyi, A.; Tormáné Kovács, E.; Pásztor, L.; Centeri, C. InVEST Soil Carbon Stock Modelling of Agricultural Landscapes as an Ecosystem Service Indicator. Sustainability 2022, 14, 9808. [Google Scholar] [CrossRef]
- Van Leeuwen, J.P.; Saby, N.P.A.; Jones, A.; Louwagie, G.; Micheli, E.; Rutgers, M.; Schulte, R.P.O.; Spiegel, H.; Toth, G.; Creamer, R.E. Gap Assessment in Current Soil Monitoring Networks across Europe for Measuring Soil Functions. Environ. Res. Lett. 2017, 12, 124007. [Google Scholar] [CrossRef]
- Chuai, X.; Huang, X.; Lai, L.; Wang, W.; Peng, J.; Zhao, R. Land Use Structure Optimization Based on Carbon Storage in Several Regional Terrestrial Ecosystems across China. Environ. Sci. Policy 2013, 25, 50–61. [Google Scholar] [CrossRef]
- Zhang, F.; Zhan, J.; Zhang, Q.; Yao, L.; Liu, W. Impacts of Land Use/Cover Change on Terrestrial Carbon Stocks in Uganda. Phys. Chem. Earth Parts A/B/C 2017, 101, 195–203. [Google Scholar] [CrossRef]
- Ke, X.; Tang, L. Impact of cascading processes of urban expansion and cropland reclamation on the ecosystem of a carbon storage service in Hubei Province, China. Acta Ecol. Sin. 2019, 39, 672–683. [Google Scholar] [CrossRef]
- Zhang, B.; Li, L.; Xia, Q.; Dong, J. Land use change and is impact on carbon storage under the constraints of “tree limes”; a case studly of Wuhan City circle. Acta Ecol. Sin. 2022, 42, 2265–2280. [Google Scholar] [CrossRef]
- He, T.; Sun, Y. Dynamic monitoring of forest carbon stocks based on the InVEST model. J. Zhejiang A&F Univ. 2016, 33, 377–383. [Google Scholar] [CrossRef]
- Li, J.; Xia, S.; Yu, X.; Li, S.; Xu, C.; Zhao, N.; Wang, S. Evaluation of Carbon Storage on Terrestrial Ecosystem in Hebei Province Based on In VEST Model. J. Ecol. Rural. Environ. 2020, 36, 854–861. [Google Scholar] [CrossRef]
- Xi, X.; Li, M.; Zhang, X.; Zhang, Y.; Zhang, D.; Zhang, J.; Dou, L.; Yang, Y. Research on soil organic carbon distribution and change trend in middle-east plain and its vicinity in China. Earth Sci. Front. 2013, 20, 154–165. [Google Scholar]
- Alam, S.A.; Starr, M.; Clark, B.J.F. Tree Biomass and Soil Organic Carbon Densities across the Sudanese Woodland Savannah: A Regional Carbon Sequestration Study. J. Arid. Environ. 2013, 89, 67–76. [Google Scholar] [CrossRef]
- Fang, J.; Yu, G.; Liu, L.; Hu, S.; Chapin, F., III. Climate Change, Human Impacts, and Carbon Sequestration in China. Proc. Natl. Acad. Sci. USA 2018, 115, 4015–4020. [Google Scholar] [CrossRef] [PubMed]
- Diniz-Filho, J.A.F.; Bini, L.M.; Hawkins, B.A. Spatial Autocorrelation and Red Herrings in Geographical Ecology. Glob. Ecol. Biogeogr. 2003, 12, 53–64. [Google Scholar] [CrossRef]
- Getis, A.; Ord, J.K. The Analysis of Spatial Association by Use of Distance Statistics. Geogr. Anal. 1992, 24, 189–206. [Google Scholar] [CrossRef]
- Anselin, L. Local Indicators of Spatial Association—LISA. Geogr. Anal. 1995, 27, 93–115. [Google Scholar] [CrossRef]











| Category | Data | Year | Resolution | Source |
|---|---|---|---|---|
| Land cover | Land-cover data | 2000, 2010, 2020 | 30 m | http://www.globallandcover.com/ (accessed on 10 October 2022) |
| Socioeconomic factors | Population density | 2019 | 1 km | http://www.resdc.cn/ (accessed on 11 October 2022) |
| GDP density | 2019 | 1 km | http://www.resdc.cn/ (accessed on 11 October 2022) | |
| Night light data | 2013 | 500 m | http://www.resdc.cn/ (accessed on 10 October 2022) | |
| Distance to main roads | 2020 | https://www.openstreetmap.org (accessed on 3 August 2022) | ||
| Distance to railroad | 2020 | https://www.openstreetmap.org (accessed on 3 August 2022) | ||
| Distance to highway | 2020 | https://www.openstreetmap.org (accessed on 3 August 2022) | ||
| Distance to water bodies | 2020 | https://www.openstreetmap.org (accessed on 3 August 2022) | ||
| Climate and environmental factors | Annual average temperature | 2020 | 1 km | http://www.resdc.cn/ (accessed on 10 October 2022) |
| Annual precipitation | 2020 | 1 km | http://www.resdc.cn/ (accessed on 10 October 2022) | |
| DEM | 2020 | 30 m | https://www.gscloud.cn/ (accessed on 12 October 2022) | |
| Slope | 2020 | 30 m | Retrieved from DEM |
| Land-Cover Type (A) | Ecological Factor | Ecological Efficiency Value (Unit: 104 CNY/hm2/year) (CNY—Chinese Yuan) |
|---|---|---|
| Cultivated land (A1) | Dryland + paddy | 1.11 |
| Forest (A2) | Coniferous forest + mixed coniferous forest + broadleaf forest | 7.91 |
| Grassland (A3) | Grassland + scrub + meadow | 1.89 |
| Shrubland (A4) | Shrubs | 4.50 |
| Wetland (A5) | Wetland | 6.47 |
| Water bodies (A6) | Water system | 15.62 |
| Artificial surfaces (A7) | Urban and rural construction land | 0.02 |
| Land-Cover Type (B) | Formula (PV: Production Value) | Economic Efficiency Value in 2030 (Unit: 104 CNY/hm2/year) (CNY—Chinese Yuan) |
|---|---|---|
| Cultivated land (B1) | (Agricultural PV − tea fruit PV)/cultivated land area | 10.23 |
| Forest (B2) | Forestry PV/forest land area | 1.06 |
| Grassland (B3) | Pastoral PV/grassland area | 11.57 |
| Shrubland (B4) | Tea fruit PV/shrubland area | 1044.26 |
| Wetland (B5) | Fishery PV/(water bodies area + wetland area) | 0.12 |
| Water bodies (B6) | 5.46 | |
| Artificial surfaces (B7) | (Secondary industry PV + tertiary industry PV)/artificial surfaces area | 1762.60 |
| Scenario | Economic Efficiency Target Weighting | Ecological Efficiency Target Weighting |
|---|---|---|
| Economic development (ED) | 0.80 | 0.20 |
| Ecological protection (EP) | 0.20 | 0.80 |
| Balanced development (BD) | 0.50 | 0.50 |
| Constraint Factors | Constraint Range (hm2) | Description |
|---|---|---|
| Total constraint | X0 = 1,685,639.88 | Ecological space, living space, and production space. The total area of these three types of land space constituted the total area constraint. |
| Cultivated land constraint | 295,485.12 ≥ X1 ≥ 282,675.10 | Considering China’s cultivated land protection policy, the rate of decrease in the cultivated land area from 2020 to 2030 should be no higher than the rate of decrease in the cultivated land area from 2010 to 2020. Thus, the rate of decrease from 2010 to 2020 was taken to measure the lower limit constraint of the cultivated land area from 2020 to 2030. Additionally, the cultivated land area in 2030 under the ND scenario was taken as the upper limit constraint. |
| Forest constraint | (ED) 1,021,124.52 ≥ X2 ≥ 687,464.02 | According to the “14th Five-Year Plan for Forestry Development” for Hangzhou in 2021, the target forest coverage should be greater than 66.8% of that in 2020. According to the policy, in the ED scenario, 66.8% of the current forest area in 2020 was taken as the lower limit constraint. Additionally, the forest area in 2030 under the ND scenario was taken as the upper limit constraint. |
| (EP and BD) X2 ≥ 687,464.02 | In the EP and BD scenarios, the forest should be strictly protected; therefore, the current forest area in 2020 was taken as the lower limit constraint. | |
| Grassland constraint | (ED) X3 ≤ 64,775.79 | In the ED scenario, economic development should be a priority; therefore, the current grassland area in 2020 was taken as the upper limit constraint. |
| (EP and BD) 65,689.22 ≥ X3 ≥ 59,433.10 | A 5% increase in the grassland area in 2030 under the ND scenario was taken as the upper limit constraint, and a 5% decrease was taken as the lower limit constraint. | |
| Shrubland constraint | (ED) X4 ≤ 1692.18 | In the ED scenario, economic development should be a priority; thus, the shrubland area in 2030 under the ND scenario was taken as the upper limit constraint. |
| (EP and BD) 1861.40 ≥ X4 ≥ 1625.76 | A 10% increase in the shrubland area in 2030 under the ND scenario was taken as the upper limit constraint. The current shrubland area in 2020 was taken as the lower limit constraint. | |
| Wetland constraint | (ED) 2982.42 ≥ X5 ≥ 1548.90 | According to the “14th Five-Year Plan for Wetland Protection” for Hangzhou in 2021, the wetland area in 2025 was targeted to reach at least 55% of that in 2020. According to the policy, in the ED scenario, 55% of the current wetland area in 2020 was taken as the lower limit constraint. Additionally, the wetland area in 2030 under the ND scenario was taken as the upper limit constraint. |
| (EP and BD) X5 ≥ 2816.19 | In the EP and BD scenarios, the wetland should be strictly protected; therefore, the current wetland area in 2020 was taken as the lower limit constraint. | |
| Water bodies constraint | (ED) 116,521.56 ≥ X6 ≥ 95,324.66 | According to the “14th Five-Year Plan for Water & Soil Conservation” and the “14th Five-Year Plan for Water Ecological Protection” for Hangzhou in 2021, the main bodies of watersheds should be protected, and the soil and water bodies area in 2025 should reach at least 94% of that in 2020. According to the policy, in the ED scenario, 94% of the current water bodies area in 2020 was taken as the lower limit constraint. Additionally, the water bodies area in 2030 under the ND scenario was taken as the upper limit constraint. |
| (EP and BD) X6 ≥ 101,409.21 | In the EP and BD scenarios, water bodies should be strictly protected; thus, the current area of water bodies in 2020 was taken as the lower limit constraint. | |
| Artificial surfaces area constraint | (ED) X7 ≤ 203,800.21 | In the ED scenario, a 10% increase in the artificial surfaces area in 2030 under the ND scenario was taken as the upper limit constraint. |
| (EP) X7 ≤ 166,745.63 | In the BD scenario, a 5% increase in the artificial surfaces area in 2030 under the ND scenario was taken as the upper limit constraint and a 5% decrease was taken as the lower limit constraint. | |
| (BD) 194,536.57 ≥ X7 ≥ 176,009.27 | In the BD scenario, a 5% increase in the artificial surfaces area in 2030 under the ND scenario was taken as the upper limit constraint and a 5% decrease was taken as the lower limit constraint. |
| Land-Cover Type | References | |||||
|---|---|---|---|---|---|---|
| Cultivated land | 16.49 | 10.89 | 75.82 | 2.11 | 105.31 | [56,57,58] |
| Forest | 22.62 | 18.03 | 126.75 | 2.78 | 170.18 | [56,59] |
| Grassland | 14.29 | 17.15 | 87.05 | 7.28 | 125.77 | [56,58] |
| Shrubland | 8.10 | 1.62 | 91.70 | 3.48 | 104.90 | [60] |
| Wetland | 7.40 | 24.30 | 247.80 | 1.24 | 280.74 | [61] |
| Water bodies | 1.59 | 0.00 | 64.03 | 3.98 | 69.60 | [59] |
| Artificial surfaces | 0.83 | 0.08 | 43.71 | 0.00 | 44.62 | [58,59,62] |
| Land-Cover Type | Area (km2) | Rate of Change (%) | ||||
|---|---|---|---|---|---|---|
| 2000 | 2010 | 2020 | 2000–2010 | 2010–2020 | 2000–2020 | |
| Cultivated land | 4345.23 | 4122.44 | 3413.67 | −5.13 | −17.19 | −21.44 |
| Forest | 10,333.40 | 10,291.91 | 10,291.38 | −0.40 | −0.01 | −0.41 |
| Grassland | 674.25 | 682.50 | 647.76 | 1.22 | −5.09 | −3.93 |
| Shrubland | 10.68 | 14.80 | 16.26 | 38.53 | 9.86 | 52.19 |
| Wetland | 13.90 | 29.58 | 28.16 | 112.75 | −4.80 | 102.54 |
| Water bodies | 880.73 | 816.32 | 1014.09 | −7.31 | 24.23 | 15.14 |
| Artificial surfaces | 597.78 | 898.85 | 1445.09 | 50.36 | 60.77 | 141.74 |
| Year | |||||
|---|---|---|---|---|---|
| 2000 | 31.71 | 24.56 | 178.49 | 4.64 | 239.39 |
| 2010 | 31.29 | 24.22 | 177.67 | 4.56 | 237.75 |
| 2020 | 30.15 | 23.45 | 175.62 | 4.47 | 233.69 |
| Land-Cover Type | 2000 | 2010 | 2020 |
|---|---|---|---|
| Cultivated land | 457.60 | 434.13 | 359.49 |
| Forest | 1758.54 | 1751.48 | 1751.39 |
| Grassland | 84.80 | 85.84 | 81.47 |
| Shrubland | 1.12 | 1.55 | 1.71 |
| Wetland | 3.90 | 7.63 | 7.91 |
| Water bodies | 61.30 | 56.82 | 70.58 |
| Artificial surfaces | 26.67 | 40.03 | 64.36 |
| Land-Cover Type | ND | ED | EP | BD |
|---|---|---|---|---|
| Cultivated land | 2954.85 | 2826.75 | 2826.75 | 2826.75 |
| Forest | 10,211.25 | 10,211.25 | 10,439.35 | 10,161.44 |
| Grassland | 625.61 | 582.77 | 594.33 | 594.33 |
| Shrubland | 16.92 | 16.92 | 18.61 | 18.61 |
| Wetland | 29.82 | 15.49 | 28.16 | 28.16 |
| Water bodies | 1165.22 | 1165.22 | 1281.74 | 1281.74 |
| Artificial surfaces | 1852.73 | 2038.00 | 1667.46 | 1945.37 |
| ND | ED | EP | BD | |
|---|---|---|---|---|
| Economic PV (billion CNY) | 33,379.47 | 36,620.88 | 30,123.58 | 35,019.06 |
| Ecological PV (billion CNY) | 1037.11 | 1018 | 1071.26 | 1049.35 |
| Percentage change in economic PV | 0.00% | 9.71% | −9.75% | 4.91% |
| Percentage change in ecological PV | 0.00% | −1.84% | 3.29% | 1.18% |
| Scenario | |||||
|---|---|---|---|---|---|
| ND | 29.24 | 22.78 | 173.73 | 4.39 | 230.14 |
| ED | 28.97 | 22.53 | 172.84 | 4.33 | 228.67 |
| EP | 29.50 | 22.99 | 175.29 | 4.45 | 232.23 |
| BD | 28.90 | 22.49 | 172.98 | 4.37 | 228.74 |
Publisher’s Note: MDPI stays neutral with regard to jurisdictional claims in published maps and institutional affiliations. |
© 2022 by the authors. Licensee MDPI, Basel, Switzerland. This article is an open access article distributed under the terms and conditions of the Creative Commons Attribution (CC BY) license (https://creativecommons.org/licenses/by/4.0/).
Share and Cite
Li, Y.; Yao, S.; Jiang, H.; Wang, H.; Ran, Q.; Gao, X.; Ding, X.; Ge, D. Spatial-Temporal Evolution and Prediction of Carbon Storage: An Integrated Framework Based on the MOP–PLUS–InVEST Model and an Applied Case Study in Hangzhou, East China. Land 2022, 11, 2213. https://doi.org/10.3390/land11122213
Li Y, Yao S, Jiang H, Wang H, Ran Q, Gao X, Ding X, Ge D. Spatial-Temporal Evolution and Prediction of Carbon Storage: An Integrated Framework Based on the MOP–PLUS–InVEST Model and an Applied Case Study in Hangzhou, East China. Land. 2022; 11(12):2213. https://doi.org/10.3390/land11122213
Chicago/Turabian StyleLi, Yonghua, Song Yao, Hezhou Jiang, Huarong Wang, Qinchuan Ran, Xinyun Gao, Xinyi Ding, and Dandong Ge. 2022. "Spatial-Temporal Evolution and Prediction of Carbon Storage: An Integrated Framework Based on the MOP–PLUS–InVEST Model and an Applied Case Study in Hangzhou, East China" Land 11, no. 12: 2213. https://doi.org/10.3390/land11122213
APA StyleLi, Y., Yao, S., Jiang, H., Wang, H., Ran, Q., Gao, X., Ding, X., & Ge, D. (2022). Spatial-Temporal Evolution and Prediction of Carbon Storage: An Integrated Framework Based on the MOP–PLUS–InVEST Model and an Applied Case Study in Hangzhou, East China. Land, 11(12), 2213. https://doi.org/10.3390/land11122213

