Sign in to use this feature.

Years

Between: -

Subjects

remove_circle_outline
remove_circle_outline
remove_circle_outline
remove_circle_outline
remove_circle_outline
remove_circle_outline
remove_circle_outline
remove_circle_outline
remove_circle_outline

Journals

Article Types

Countries / Regions

Search Results (150)

Search Parameters:
Keywords = multiple-seam

Order results
Result details
Results per page
Select all
Export citation of selected articles as:
29 pages, 12281 KB  
Article
Evaluation of Fracturing Effect of Coalbed Methane Wells Based on Microseismic Fracture Monitoring Technology: A Case Study of the Santang Coalbed Methane Block in Bijie Experimental Zone, Guizhou Province
by Shaolei Wang, Chuanjie Wu, Pengyu Zheng, Jian Zheng, Lingyun Zhao, Yinlan Fu and Xianzhong Li
Energies 2025, 18(21), 5708; https://doi.org/10.3390/en18215708 - 30 Oct 2025
Viewed by 65
Abstract
The evaluation of the fracturing effect of coalbed methane (CBM) wells is crucial for the efficient development of CBM reservoirs. Currently, studies focusing on the evaluation of the hydraulic fracture stimulation effect of coal seams and the integrated analysis of “drilling-fracturing-monitoring” are relatively [...] Read more.
The evaluation of the fracturing effect of coalbed methane (CBM) wells is crucial for the efficient development of CBM reservoirs. Currently, studies focusing on the evaluation of the hydraulic fracture stimulation effect of coal seams and the integrated analysis of “drilling-fracturing-monitoring” are relatively insufficient. Therefore, this paper takes three drainage and production wells in the coalbed methane block on the northwest wing of the Xiangxia anticline in the Bijie Experimental Zone of Guizhou Province as the research objects. In view of the complex geological characteristics of this area, such as multiple and thin coal seams, high gas content, and high stress and low permeability, the paper systematically summarizes the results of drilling and fracturing engineering practices of the three drainage and production wells in the area, including the application of key technologies such as a two-stage wellbore structure and the “bentonite slurry + low-solid-phase polymer drilling fluid” system to ensure wellbore stability, low-solid-phase polymer drilling fluid for wellbore protection, and staged temporary plugging fracturing. On this basis, a study on microseismic signal acquisition and tomographic energy inversion based on a ground dense array was carried out, achieving four-dimensional dynamic imaging and quantitative interpretation of the fracturing fractures. The results show that the fracturing fractures of the three drainage and production wells all extend along the direction of the maximum horizontal principal stress, with azimuths concentrated between 88° and 91°, which is highly consistent with the results of the in situ stress calculation from the previous drilling engineering. The overall heterogeneity of the reservoir leads to the asymmetric distribution of fractures, with the transformation intensity on the east side generally higher than that on the west side, and the maximum stress deformation influence radius reaching 150 m. The overall transformation effect of each well is good, with the effective transformation volume ratio of fracturing all exceeding 75%, and most of the target coal seams are covered by the fracture network, significantly improving the fracture connectivity. From the perspective of the transformed planar area per unit fluid volume, although there are numerical differences among the three wells, they are all within the effective transformation range. This study shows that microseismic fracture monitoring technology can provide a key basis for the optimization of fracturing technology and the evaluation of the production increase effect, and offers a solution to the problem of evaluating the hydraulic fracture stimulation effect of coal seams. Full article
Show Figures

Figure 1

23 pages, 8392 KB  
Article
An Integrated Approach to Design Methane Drainage Boreholes in Post-Mining Areas of an Active Coal Mine: A Case Study from the Pniówek Coal Mine
by Weronika Kaczmarczyk-Kuszpit, Małgorzata Słota-Valim, Aleksander Wrana, Radosław Surma, Artur Badylak, Renata Cicha-Szot, Mirosław Wojnicki, Alicja Krzemień, Zbigniew Lubosik and Grzegorz Leśniak
Appl. Sci. 2025, 15(21), 11548; https://doi.org/10.3390/app152111548 - 29 Oct 2025
Viewed by 109
Abstract
In response to the imperative to mitigate methane—one of the most potent greenhouse gases—this study proposes and tests an integrated workflow for designing methane drainage boreholes targeting post-mining areas in an active underground coal mine (Pniówek, Poland). The workflow combines the following: (1) [...] Read more.
In response to the imperative to mitigate methane—one of the most potent greenhouse gases—this study proposes and tests an integrated workflow for designing methane drainage boreholes targeting post-mining areas in an active underground coal mine (Pniówek, Poland). The workflow combines the following: (1) forecasting methane emissions from goafs and active longwalls for 2024–2040; (2) 3D geological characterization (structural and lithofacies models); (3) selection and sealing of goaf zones; and (4) optimization of well placement, drilling, and performance evaluation of drainage boreholes, including an assessment of energy use from the recovered gas. Applying the method delineated priority capture zones and estimated recoverable rates under multiple scenarios. Preliminary field data from a borehole near seam 362/1 indicate stable methane inflow to the drainage system and a concomitant reduction in methane load within the ventilation network. The integrated design improves targeting efficiency and provides a quantitative basis for scheduling, risk management, and sizing of surface-to-underground infrastructure. The results suggest that systematic drainage of post-mining voids can enhance safety, limit fugitive emissions, and create opportunities for on-site power generation. The approach is transferable to other active mines with legacy workings, provided site-specific calibration and monitoring are implemented. Full article
Show Figures

Figure 1

26 pages, 7172 KB  
Article
Integrated Attenuation Compensation and Q-Constrained Inversion for High-Resolution Reservoir Characterization in the Ordos Basin
by Yugang Yang, Jingtao Zhao, Tongjie Sheng, Hongjie Peng, Qin Zhang and Zhen Qiu
Appl. Sci. 2025, 15(21), 11504; https://doi.org/10.3390/app152111504 - 28 Oct 2025
Viewed by 118
Abstract
Quantitative seismic characterization of transitional shale gas resources in the Da Ning–Ji Xian area, Ordos Basin, is severely hampered by complex coal-measure stratigraphy and rapid lithological variations. These challenges are critically exacerbated by severe signal attenuation from a thick loess overburden and multiple [...] Read more.
Quantitative seismic characterization of transitional shale gas resources in the Da Ning–Ji Xian area, Ordos Basin, is severely hampered by complex coal-measure stratigraphy and rapid lithological variations. These challenges are critically exacerbated by severe signal attenuation from a thick loess overburden and multiple coal seams, which significantly degrades vertical resolution and undermines the reliability of quantitative interpretation. To surmount these obstacles, this study proposes an integrated, attenuation-centric inversion workflow that systematically rectifies attenuation effects as a foundational pre-conditioning step. The novelty of this study lies in establishing a systematic workflow where a data-driven, spatially variant Q-estimation is used as a crucial pre-conditioning step to guide a robust inverse Q-filtering, enabling a high-fidelity quantitative inversion for shale gas parameters in a geological setting with severe attenuation. The proposed workflow begins with a data-driven estimation of a spatially variant quality factor (Q) volume using the Local Centroid Frequency Shift (LCFS) method. This crucial Q-volume then guides a robust post-stack inverse Q-filtering process, engineered to restore high-frequency signal components and correct phase distortions, thereby substantially broadening the effective seismic bandwidth. With the seismic data now compensated for attenuation, high-resolution shale gas parameters, including Total Organic Carbon (TOC), are quantitatively derived through post-stack simultaneous inversion. Application of the workflow to field data yields an inverted volume characterized by improved structural clarity, sharply defined stratigraphic boundaries, and more robust lithological discrimination, highlighting its practical effectiveness. This attenuation-compensated inversion framework thus establishes a robust and transferable methodology for unlocking high-fidelity quantitative interpretation in geological settings previously deemed intractable due to severe seismic attenuation. Full article
Show Figures

Figure 1

22 pages, 36240 KB  
Article
Research on the Sustainable Indicator System for Multi-Coal Seam Mining: A Case Study of the Buertai Coal Mine in China
by Tianshuo Qi, Hao Li, Zhiqin Kang, Dong Yang and Zhengjun Zhou
Sustainability 2025, 17(21), 9512; https://doi.org/10.3390/su17219512 - 25 Oct 2025
Viewed by 324
Abstract
The extraction of multiple coal seams not only increases the risk of water inrush disasters in mines but also exacerbates the long-term depletion of groundwater, posing challenges for sustainable resource management in ecologically sensitive areas. This study utilizes the plastic damage–permeability coupling model [...] Read more.
The extraction of multiple coal seams not only increases the risk of water inrush disasters in mines but also exacerbates the long-term depletion of groundwater, posing challenges for sustainable resource management in ecologically sensitive areas. This study utilizes the plastic damage–permeability coupling model in Abaqus CAE to analyze the impact of coal seam thickness and pillar layout on the evolution of the plastic zone and groundwater loss in the Shen Dong mining area, specifically at the Buertai coal mine. The results indicate that coal seam thickness is a strong driving factor for aquifer depletion: the water inflow under a 10 m thick coal seam is 1.56 times that under a 4 m thick coal seam. In contrast, the optimized staggered pillar layout alters stress distribution and reduces the water inflow under deeper coal seams by approximately 38%, demonstrating excellent water-saving potential. To translate these findings into a sustainability framework, this study proposes three new indicators: the Groundwater Loss Index (GLI) to quantify depletion intensity, the Aquifer Protection Efficiency (APE) to assess protection benefits, and the Sustainability Trade-off Index (STI) to balance coal recovery, safety, and groundwater protection. These metrics establish a dual-objective optimization approach that ensures safe mining and the sustainability of the aquifer. This study provides practical benchmarks for environmental impact assessment and aligns with the global sustainable development agenda, particularly the United Nations Sustainable Development Goals concerning clean water (SDG 6), responsible consumption (SDG 12), and terrestrial ecosystems (SDG 15). By incorporating groundwater protection into the design of the Buertai coal mine, this study advances the transition of multi-seam mining at Buertai from disaster prevention to sustainability orientation. Full article
Show Figures

Figure 1

20 pages, 6071 KB  
Article
Study on Gas Pre-Extraction Law of Along-Layer Boreholes Based on Thermo-Hydro-Mechanical-Damage Coupled Model
by Biao Hu, Xuyang Lei, Lu Zhang, Hang Long, Pengfei Ji, Lianmeng Wang, Yonghao Ding and Cuixia Wang
Mathematics 2025, 13(21), 3375; https://doi.org/10.3390/math13213375 - 23 Oct 2025
Viewed by 179
Abstract
Modeling the pre-extraction of coalbed methane presents a significant mathematical challenge due to the complex interplay of multiple physical fields. This paper presents a robust mathematical model based on a thermo-hydro-mechanical damage (THMD) framework to describe this process. The model is formulated as [...] Read more.
Modeling the pre-extraction of coalbed methane presents a significant mathematical challenge due to the complex interplay of multiple physical fields. This paper presents a robust mathematical model based on a thermo-hydro-mechanical damage (THMD) framework to describe this process. The model is formulated as a system of coupled, non-linear partial differential equations (PDEs) that integrate governing equations for heat transfer, fluid seepage, and solid mechanics with a damage evolution law derived from continuum damage mechanics. A key contribution of this work is the integration of this multi-physics model, solved numerically using the Finite Element Method (FEM), with a statistical modeling approach using Response Surface Methodology (RSM) and Analysis of Variance (ANOVA). This integrated framework allows for a systematic analysis of the model’s parameter space and a rigorous quantification of sensitivities. The ANOVA results reveal that the model’s damage output is most sensitive to the borehole diameter (F = 2531.51), while the effective extraction radius is predominantly governed by the initial permeability (F = 4219.59). This work demonstrates the power of combining a PDE-based multi-physics model with statistical metamodeling to provide deep, quantitative insights for optimizing gas extraction strategies in deep, low-permeability coal seams. Full article
Show Figures

Figure 1

18 pages, 1479 KB  
Article
SANet: A Pure Vision Strip-Aware Network with PSSCA and Multistage Fusion for Weld Seam Detection
by Zhijian Zhu, Haoran Gu, Zhao Yang, Lijie Zhao, Guoli Song and Qinghui Wang
Appl. Sci. 2025, 15(20), 11296; https://doi.org/10.3390/app152011296 - 21 Oct 2025
Viewed by 315
Abstract
Weld seam detection is a fundamental prerequisite for robotic welding automation, yet it remains challenging due to the elongated shape of welds, weak contrast against metallic backgrounds, and significant environmental interference in industrial scenarios. To address these challenges, we propose a novel deep [...] Read more.
Weld seam detection is a fundamental prerequisite for robotic welding automation, yet it remains challenging due to the elongated shape of welds, weak contrast against metallic backgrounds, and significant environmental interference in industrial scenarios. To address these challenges, we propose a novel deep neural network architecture termed SANet (Strip-Aware Network). The model is constructed upon a U-shaped backbone and integrates strip-aware feature modeling with multistage supervision. It mainly consists of two complementary modules: the Paralleled Strip and Spatial Context-Aware (PSSCA) module and the Multistage Fusion (MF) module. The PSSCA module enhances the extraction of elongated strip-like features by combining parallel strip perception with spatial context modeling, thereby improving fine-grained weld seam representation. In addition, SANet integrates the StripPooling attention mechanism as an auxiliary component to enlarge the receptive field along strip directions and enhance feature discrimination under complex backgrounds. Meanwhile, the MF module performs cross-stage feature fusion by aggregating encoder and decoder features at multiple levels, ensuring accurate boundary recovery and robust global-to-local interaction. The weld seam detection task is formulated as a two-dimensional segmentation problem and evaluated on a self-built dataset consisting of over 4000 weld seam images covering diverse industrial scenarios such as pipe joints, trusses, elbows, and furnace structures. Experimental results show that SANet achieves an IoU of 96.23% and a Dice coefficient of 98.07%, surpassing all compared models and demonstrating its superior performance in weld seam detection. These findings validate the effectiveness of the proposed architecture and highlight its potential as a low-cost, flexible, and reliable pure vision solution for intelligent welding applications. Full article
(This article belongs to the Section Computing and Artificial Intelligence)
Show Figures

Figure 1

18 pages, 7448 KB  
Article
Sedimentary Facies Characteristics of Coal Seam Roof at Qinglong and Longfeng Coal Mines
by Juan Fan, Enke Hou, Shidong Wang, Kaipeng Zhu, Yingfeng Liu, Kang Guo, Langlang Wang and Hongyan Yu
Processes 2025, 13(10), 3353; https://doi.org/10.3390/pr13103353 - 20 Oct 2025
Viewed by 262
Abstract
This study aims to investigate the sedimentary facies characteristics of the coal seam roof in the Qinglong and Longfeng coal mines and their control over water abundance. By collecting core samples and well logging data from both mining areas, multiple methods were employed, [...] Read more.
This study aims to investigate the sedimentary facies characteristics of the coal seam roof in the Qinglong and Longfeng coal mines and their control over water abundance. By collecting core samples and well logging data from both mining areas, multiple methods were employed, including core observation, thin-section analysis, sedimentary microfacies distribution mapping, nitrogen adsorption tests, and nuclear magnetic resonance analysis, to systematically analyze the depositional environments, types of sedimentary microfacies, and their distribution patterns. Results indicate that the roof of Qinglong Coal Mine is predominantly composed of sandy microfacies with well-developed faults, which not only increase fracture porosity but also provide water-conducting pathways between surface water and aquifers, significantly enhancing water abundance. In contrast, Longfeng Coal Mine is characterized mainly by muddy microfacies, with small-scale faults exhibiting weak water-conducting capacity and relatively low water abundance. Hydrochemical analysis indicates that consistent water quality between Qinglong’s working face, karst water, and goaf water confirms fault-induced aquifer–surface water connectivity, whereas Longfeng’s water quality suggests weak aquifer–coal seam hydraulic connectivity. The difference in water hazard threats between the two mining areas primarily stems from variations in sedimentary microfacies and fault structures. Full article
Show Figures

Figure 1

25 pages, 18457 KB  
Article
Quantitative Characterization of Fractals and Curvatures in Complex Geological Structures of Wugou Coal Mine, Huaibei Coalfield
by Ming Li, Bo Jiang and Fengjuan Lan
Fractal Fract. 2025, 9(10), 669; https://doi.org/10.3390/fractalfract9100669 - 17 Oct 2025
Viewed by 288
Abstract
The complexity of geological structures significantly impacts both mining production efficiency and operational safety, making its quantitative assessment a core issue in ensuring coal’s safe production and coalbed methane development. Focusing on the Wugou Coal Mine in Anhui Province, which exhibits multi-phase tectonic [...] Read more.
The complexity of geological structures significantly impacts both mining production efficiency and operational safety, making its quantitative assessment a core issue in ensuring coal’s safe production and coalbed methane development. Focusing on the Wugou Coal Mine in Anhui Province, which exhibits multi-phase tectonic superposition, modification, and relatively complex structural characteristics, this study integrates stereographic projection analysis, fractal theory, and multiple structural curvature methods to quantitatively characterize structural types and evaluate complexity. The results show that the Wugou Coal Mine has undergone four main stages of tectonic deformation since the formation of the coal seam. The superposition and modification of tectonic events of different periods and properties have led to a complex structural pattern. The fractal dimension effectively characterizes the development degree and distribution density of faults. Structural curvature not only intuitively reflects the deformation extent of fold bending and fault separation, but also provides valuable insights into the structural types, structural positions, and the characteristics of superimposed folds. By combining the strengths of fractal analysis and curvature characterization, a fractal-curvature integrated evaluation model was developed to assess structural complexity. This model facilitates a high-resolution quantitative evaluation, delineating the geological structures of the Wugou Coal Mine into zones of extremely complex, complex, moderately complex, and simple structures. The findings not only provide accurate geological guidance for mine design and hazard prevention but also offer a quantitative evaluation methodology for the optimal selection of favorable areas for coalbed methane development. Full article
(This article belongs to the Special Issue Multiscale Fractal Analysis in Unconventional Reservoirs)
Show Figures

Figure 1

20 pages, 6544 KB  
Article
Optimization of Production Layer Combinations in Multi-Superposed Coalbed Methane Systems Using Numerical Simulation: A Case Study from Western Guizhou and Eastern Yunnan, China
by Fangkai Quan, Hongji Li, Wei Lu, Tao Song, Haiying Wang and Zhengyuan Qin
Processes 2025, 13(10), 3280; https://doi.org/10.3390/pr13103280 - 14 Oct 2025
Viewed by 264
Abstract
Coalbed methane (CBM) reservoirs in southwestern China are characterized by thick, multi-layered coal sequences partitioned into several independent pressure systems by impermeable strata. Commingled production from multiple coal seams in such multi-superposed CBM systems often suffers from severe inter-layer interference, leading to suboptimal [...] Read more.
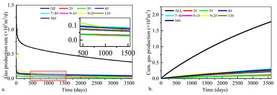
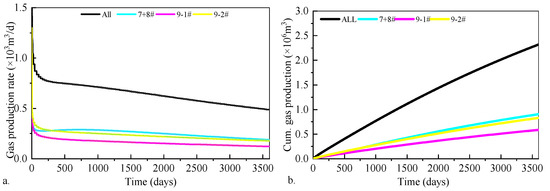
Coalbed methane (CBM) reservoirs in southwestern China are characterized by thick, multi-layered coal sequences partitioned into several independent pressure systems by impermeable strata. Commingled production from multiple coal seams in such multi-superposed CBM systems often suffers from severe inter-layer interference, leading to suboptimal gas recovery. To address this challenge, we developed a systematic four-step optimization workflow integrating geological data screening, pressure compartmentalization analysis, and numerical reservoir simulation. The workflow identifies the key “main” coal seams and evaluates various co-production layer combinations to maximize gas recovery while minimizing negative interference. We applied this method to a CBM well (LC-C2) in the Western Guizhou–Eastern Yunnan region, which penetrates three discrete CBM pressure systems. In the case study, single-layer simulations first revealed that one seam (No. 7 + 8) contributed over 30% of the total gas potential, with a few other seams (e.g., No. 18, 13, 4, 16) providing moderate contributions and many seams yielding negligible gas. Guided by these results, we simulated five commingling scenarios of increasing complexity. The optimal scenario was to co-produce the seams from the two higher-pressure systems (a total of six seams) while excluding the low-pressure shallow seams. This optimal six-seam configuration achieved a 10-year cumulative gas production of approximately 2.53 × 106 m3 (about 700 m3/day average)—roughly 75% higher than producing the main seam alone, and even about 15% greater than a scenario involving all available seams. In contrast, including all three pressure systems (ten seams) led to interference effects where the high-pressure seams dominated flow and the low-pressure seams contributed little, resulting in lower overall recovery. The findings demonstrate that more is not always better in multi-seam CBM production. By intelligently selecting a moderate number of compatible seams for co-production, the reservoir’s gas can be extracted more efficiently. The proposed quantitative optimization approach provides a practical tool for designing multi-seam CBM wells and can be broadly applied to similar geologically compartmentalized reservoirs. Full article
Show Figures

Figure 1

13 pages, 8266 KB  
Article
Research and Application of Conditional Generative Adversarial Network for Predicting Gas Content in Deep Coal Seams
by Lixin Tian, Shuai Sun, Yu Qi and Jingxue Shi
Processes 2025, 13(10), 3215; https://doi.org/10.3390/pr13103215 - 9 Oct 2025
Viewed by 377
Abstract
Accurate assessment of coalbed methane (CBM) content is essential for characterizing subsurface reservoir distribution, guiding well placement, and estimating reserves. Current methods for determining coal seam gas content mainly rely on direct laboratory measurements of core samples or indirect interpretations derived from well [...] Read more.
Accurate assessment of coalbed methane (CBM) content is essential for characterizing subsurface reservoir distribution, guiding well placement, and estimating reserves. Current methods for determining coal seam gas content mainly rely on direct laboratory measurements of core samples or indirect interpretations derived from well log data. However, conventional coring is costly, while log-based approaches often depend on linear empirical formulas and are restricted to near-wellbore regions. In practice, the relationships between elastic properties and gas content are highly complex and nonlinear, leading conventional linear models to produce substantial prediction errors and inadequate performance. This study introduces a novel method for predicting gas content in deep coal seams using a Conditional Generative Adversarial Network (CGAN). First, elastic parameters are obtained through pre-stack inversion. Next, sensitivity analysis and attribute optimization are applied to identify elastic attributes that are most sensitive to gas content. A CGAN is then employed to learn the nonlinear mapping between multiple fluid-sensitive seismic attributes and gas content distribution. By integrating multiple constraints to refine the discriminator and guide generator training, the model achieves accurate gas content prediction directly from seismic data. Applied to a real dataset from a CBM block in the Ordos Basin, China, the proposed CGAN-based method produces predictions that align closely with measured gas content trends at well locations. Validation at blind wells shows an average prediction error of 1.6 m3/t, with 83% of samples exhibiting errors less than 3 m3/t. This research presents an effective and innovative deep learning approach for predicting coalbed methane content. Full article
(This article belongs to the Special Issue Coalbed Methane Development Process)
Show Figures

Figure 1

22 pages, 5839 KB  
Article
Research and Application of Deep Coalbed Gas Production Capacity Prediction Models
by Aiguo Hu, Kezhi Li, Changyu Yao, Xinchun Zhu, Hui Chang, Zheng Mao, He Ma and Xinfang Ma
Processes 2025, 13(10), 3149; https://doi.org/10.3390/pr13103149 - 1 Oct 2025
Viewed by 415
Abstract
The accurate prediction of single-well production performance necessitates considering the multiple factors influencing the dynamic changes in coal seam permeability during deep coalbed methane (CBM) extraction. This study focuses on Block D of the Ordos Basin. The Langmuir monolayer adsorption model was selected [...] Read more.
The accurate prediction of single-well production performance necessitates considering the multiple factors influencing the dynamic changes in coal seam permeability during deep coalbed methane (CBM) extraction. This study focuses on Block D of the Ordos Basin. The Langmuir monolayer adsorption model was selected to describe gas adsorption behavior, and a productivity prediction model for deep CBM was developed by coupling multiple dynamic effects, including stress sensitivity, matrix shrinkage, gas slippage, and coal fines production and blockage. The results indicate that the stress sensitivity coefficients of artificial fracture networks and cleat fractures are key factors affecting the accuracy of CBM productivity predictions. Under accurate stress sensitivity coefficients, the predicted daily gas production rates of the productivity model for single wells showed errors ranging from 1.89% to 14.22%, with a mean error of 8.15%, while the predicted daily water production rates had errors between 0.35% and 17.66%, with a mean error of 8.68%. This demonstrates that the established productivity prediction model for deep CBM aligns with field observations. The findings can provide valuable references for production performance analysis and development planning for deep CBM wells. Full article
(This article belongs to the Special Issue Numerical Simulation and Application of Flow in Porous Media)
Show Figures

Figure 1

24 pages, 3755 KB  
Article
Efficient Lightweight CNN and 2D Visualization for Concrete Crack Detection in Bridges
by Xianqiang Wang, Feng Zhang and Xingxing Zou
Buildings 2025, 15(18), 3423; https://doi.org/10.3390/buildings15183423 - 22 Sep 2025
Cited by 1 | Viewed by 573
Abstract
The durability and safety of modern concrete architecture and infrastructure are critically impacted by early-stage surface cracks. Timely and appropriate identification and management of these cracks are therefore essential to enhance structural longevity and stability. This study utilizes computer vision technology to construct [...] Read more.
The durability and safety of modern concrete architecture and infrastructure are critically impacted by early-stage surface cracks. Timely and appropriate identification and management of these cracks are therefore essential to enhance structural longevity and stability. This study utilizes computer vision technology to construct a large-scale database, comprising 106,998 concrete surface crack images from various research sources. Through data augmentation, the database is extended to 140,000 images to fully leverage the advantages of deep learning models. For concrete surface crack detection, this study proposed a lightweight convolutional neural network (CNN) model, achieving 92.27% accuracy, 94.98% recall, and a 92.39% F1 score. Notably, the model runs smoothly on lightweight office notebooks without GPUs. Additionally, an image stitching algorithm that seamlessly stitches multiple images was proposed to generate high-quality panoramic views of bridges. The image stitching algorithm demonstrates robustness when applied to multiple images, successfully achieving stitching without visible seams or errors, providing efficient and reliable technical support for bridge panorama generation. The research outcomes demonstrate significant practical value in bridge inspection, providing robust technical support for safe and efficient bridge inspection. Moreover, our findings offer valuable references for future research and applications in related fields. Full article
(This article belongs to the Special Issue Machine Learning in Infrastructure Monitoring and Disaster Management)
Show Figures

Figure 1

20 pages, 5389 KB  
Article
Diffusion Behavior of Polyurethane Slurry for Simultaneous Enhancement of Reservoir Strength and Permeability Through Splitting Grouting Technology
by Xiangzeng Wang, Fengsan Zhang, Jinqiao Wu, Siqi Qiang, Bing Li and Guobiao Zhang
Polymers 2025, 17(18), 2513; https://doi.org/10.3390/polym17182513 - 17 Sep 2025
Viewed by 404
Abstract
A polyurethane slurry was developed to simultaneously enhance the strength and permeability of geological formations, differing from the conventional fracture grouting used for soft-soil reinforcement. Injected via splitting grouting, the slurry cures to form high-strength, highly permeable channels that increase reservoir permeability while [...] Read more.
A polyurethane slurry was developed to simultaneously enhance the strength and permeability of geological formations, differing from the conventional fracture grouting used for soft-soil reinforcement. Injected via splitting grouting, the slurry cures to form high-strength, highly permeable channels that increase reservoir permeability while improving mechanical stability (dual-enhanced stimulation). To quantify its diffusion behavior and guide field application, we built a splitting-grouting model using the finite–discrete element method (FDEM), parameterized with the reservoir properties of coalbed methane (CBM) formations in the Ordos Basin and the slurry’s measured rheology and filtration characteristics. Considering the stratified structures within coal rock formed by geological deposition, this study utilizes Python code interacting with Abaqus to divide the coal seam into coal rock and natural bedding. We analyzed the effects of engineering parameters, geological factors, and bedding characteristics on slurry–vein propagation patterns, the stimulation extent, and fracturing pressure. The findings reveal that increasing the grouting rate from 1.2 to 3.6 m3/min enlarges the stimulated volume and the maximum fracture width and raises the fracturing pressure from 26.28 to 31.44 MPa. A lower slurry viscosity of 100 mPa·s promotes the propagation of slurry veins, making it easier to develop multiple veins. The bedding-to-coal rock strength ratio controls crossing versus layer-parallel growth: at 0.3, veins more readily penetrate bedding planes, whereas at 0.1 they preferentially spread along them. Raising the lateral pressure coefficient from 0.6 to 0.8 increases the likelihood of the slurry expanding along the beddings. Natural bedding structures guide directional flow; a higher bedding density (225 lines per 10,000 m3) yields greater directional deflection and a more intricate fracture network. As the angle of bedding increases from 10° to 60°, the slurry veins are more susceptible to directional changes. Throughout the grouting process, the slurry veins can undergo varying degrees of directional alteration. Under the studied conditions, both fracturing and compaction grouting modes are present, with fracturing grouting dominating in the initial stages, while compaction grouting becomes more prominent later on. These results provide quantitative guidance for designing dual-enhanced stimulation to jointly improve permeability and mechanical stability. Full article
(This article belongs to the Special Issue Polymer Fluids in Geology and Geotechnical Engineering)
Show Figures

Graphical abstract

22 pages, 6320 KB  
Article
Mechanisms of Overburden and Surface Damage Conduction in Shallow Multi-Seam Mining
by Guojun Zhang, Shigen Fu, Yunwang Li, Mingbo Chi and Xizhong Zhao
Eng 2025, 6(9), 235; https://doi.org/10.3390/eng6090235 - 8 Sep 2025
Viewed by 361
Abstract
Focusing on the issues of severe mining pressure and discontinuous surface deformation caused by the large-scale mining of multiple coal seams, and taking into account the research background of Shigetai Coal Mine in Shendong Mining Area, this study adopts physical similarity simulation, theoretical [...] Read more.
Focusing on the issues of severe mining pressure and discontinuous surface deformation caused by the large-scale mining of multiple coal seams, and taking into account the research background of Shigetai Coal Mine in Shendong Mining Area, this study adopts physical similarity simulation, theoretical analysis, and on-site verification methods to carry out research on rock migration, stress evolution, and overlying rock fracture mechanism at shallow burial depths and in multiple-coal-seam mining. The research results indicate that as the working face advances, the overlying rock layers break layer by layer, and the intact rock mass on the outer side of the main fracture forms an arched structure and expands outward, showing a pattern of layer-by-layer breaking of the overlying rock and slow settlement of the loose layer. The stress of the coal pillars on both sides in front of and behind the workplace shows an increasing trend followed by a decreasing trend before and after direct top fracture. The stress on the bottom plate of the goaf increases step by step with the collapse of the overlying rock layer, and its increment is similar to the gravity of the collapsed rock layer. When mining multiple coal seams, when the fissures in the overlying strata of the current coal seam penetrate to the upper coal seam, the stress in this coal seam suddenly increases, and the pressure relief effect of the upper coal seam is significant. Based on the above laws, three equilibrium structural models of overlying strata were established, and the maximum tensile stress and maximum shear stress yield strength criteria were used as stability criteria for overlying strata structures. The evolution mechanism of mining damage caused by layer-by-layer fracturing and the upward propagation of overlying strata was revealed. Finally, the analysis of the hydraulic support working resistance during the backfilling of the 31,305 working face in Shigetai Coal Mine confirmed the accuracy of the similarity simulation and theoretical model. The above research can provide support for key theoretical and technological research on underground mine safety production, aquifer protection, surface ecological restoration, and source loss reduction and control. Full article
Show Figures

Figure 1

25 pages, 4997 KB  
Article
Application of Game Theory Weighting in Roof Water Inrush Risk Assessment: A Case Study of the Banji Coal Mine, China
by Yinghao Cheng, Xingshuo Xu, Peng Li, Xiaoshuai Guo, Wanghua Sui and Gailing Zhang
Appl. Sci. 2025, 15(16), 9197; https://doi.org/10.3390/app15169197 - 21 Aug 2025
Viewed by 508
Abstract
Mine roof water inrush represents a prevalent hazard in mining operations, characterized by its concealed onset, abrupt occurrence, and high destructiveness. Since mine water inrush is controlled by multiple factors, rigorous risk assessment in hydrogeologically complex coal mines is critically important for operational [...] Read more.
Mine roof water inrush represents a prevalent hazard in mining operations, characterized by its concealed onset, abrupt occurrence, and high destructiveness. Since mine water inrush is controlled by multiple factors, rigorous risk assessment in hydrogeologically complex coal mines is critically important for operational safety. This study focuses on the roof water inrush hazard in coal seams of the Banji coal mine, China. The conventional water-conducting fracture zone height estimation formula was calibrated through comparative analysis of empirical models and analogous field measurements. Eight principal controlling factors were systematically selected, with subjective and objective weights assigned using AHP and EWM, respectively. Game theory was subsequently implemented to compute optimal combined weights. Based on this, the vulnerability index model and fuzzy comprehensive evaluation model were constructed to assess the roof water inrush risk in the coal seams. The risk in the study area was classified into five levels: safe zone, relatively safe zone, transition zone, relatively hazardous zone, and hazardous zone. A zoning map of water inrush risk was generated using Geographic Information System (GIS) technology. The results show that the safe zone is located in the western part of the study area, while the hazardous and relatively hazardous zones are situated in the eastern part. Among the two models, the fuzzy comprehensive evaluation model aligns more closely with actual engineering practices and demonstrates better predictive performance. It provides a reliable evaluation and prediction model for addressing roof water hazards in the Banji coal seam. Full article
(This article belongs to the Special Issue Hydrogeology and Regional Groundwater Flow)
Show Figures

Figure 1

Back to TopTop