Journal Description
Fractal and Fractional
Fractal and Fractional
is an international, scientific, peer-reviewed, open access journal of fractals and fractional calculus and their applications in different fields of science and engineering published quarterly online by MDPI.
- Open Access— free for readers, with article processing charges (APC) paid by authors or their institutions.
- High Visibility: indexed within Scopus, SCIE (Web of Science), Inspec, and many other databases.
- Journal Rank: JCR - Q1 (Mathematics, Interdisciplinary Applications) / CiteScore - Q1 (Analysis)
- Rapid Publication: manuscripts are peer-reviewed and a first decision provided to authors approximately 20.5 days after submission; acceptance to publication is undertaken in 3.8 days (median values for papers published in this journal in the first half of 2021).
- Recognition of Reviewers: reviewers who provide timely, thorough peer-review reports receive vouchers entitling them to a discount on the APC of their next publication in any MDPI journal, in appreciation of the work done.
Impact Factor:
3.313 (2020)
;
5-Year Impact Factor:
3.167 (2020)
Latest Articles
An Experimental Approach towards Motion Modeling and Control of a Vehicle Transiting a Non-Newtonian Environment
Fractal Fract. 2021, 5(3), 104; https://doi.org/10.3390/fractalfract5030104 - 25 Aug 2021
Abstract
The present work tackles the modeling of the motion dynamics of an object submerged in a non-Newtonian environment. The mathematical model is developed starting from already known Newtonian interactions between the submersible and the fluid. The obtained model is therefore altered through optimization
[...] Read more.
The present work tackles the modeling of the motion dynamics of an object submerged in a non-Newtonian environment. The mathematical model is developed starting from already known Newtonian interactions between the submersible and the fluid. The obtained model is therefore altered through optimization techniques to describe non-Newtonian interactions on the motion of the vehicle by using real-life data regarding non-Newtonian influences on submerged thrusting. For the obtained non-Newtonian fractional order process model, a fractional order control approach is employed to sway the submerged object’s position inside the viscoelastic environment. The presented modeling and control methodologies are solidified by real-life experimental data used to validate the veracity of the presented concepts. The robustness of the control strategy is experimentally validated on both Newtonian and non-Newtonian environments.
Full article
(This article belongs to the Special Issue Fractional Dynamics 2021)
Open AccessArticle
Numerical Solutions for Systems of Fractional and Classical Integro-Differential Equations via Finite Integration Method Based on Shifted Chebyshev Polynomials
Fractal Fract. 2021, 5(3), 103; https://doi.org/10.3390/fractalfract5030103 - 25 Aug 2021
Abstract
In this paper, the finite integration method and the operational matrix of fractional integration are implemented based on the shifted Chebyshev polynomial. They are utilized to devise two numerical procedures for solving the systems of fractional and classical integro-differential equations. The fractional derivatives
[...] Read more.
In this paper, the finite integration method and the operational matrix of fractional integration are implemented based on the shifted Chebyshev polynomial. They are utilized to devise two numerical procedures for solving the systems of fractional and classical integro-differential equations. The fractional derivatives are described in the Caputo sense. The devised procedure can be successfully applied to solve the stiff system of ODEs. To demonstrate the efficiency, accuracy and numerical convergence order of these procedures, several experimental examples are given. As a consequence, the numerical computations illustrate that our presented procedures achieve significant improvement in terms of accuracy with less computational cost.
Full article
(This article belongs to the Special Issue Novel Numerical Solutions of Fractional PDEs)
►▼
Show Figures

Figure 1
Open AccessArticle
Spectral Galerkin Approximation of Space Fractional Optimal Control Problem with Integral State Constraint
Fractal Fract. 2021, 5(3), 102; https://doi.org/10.3390/fractalfract5030102 - 24 Aug 2021
Abstract
In this paper spectral Galerkin approximation of optimal control problem governed by fractional advection diffusion reaction equation with integral state constraint is investigated. First order optimal condition of the control problem is discussed. Weighted Jacobi polynomials are used to approximate the state and
[...] Read more.
In this paper spectral Galerkin approximation of optimal control problem governed by fractional advection diffusion reaction equation with integral state constraint is investigated. First order optimal condition of the control problem is discussed. Weighted Jacobi polynomials are used to approximate the state and adjoint state. A priori error estimates for control, state, adjoint state and Lagrangian multiplier are derived. Numerical experiment is carried out to illustrate the theoretical findings.
Full article
(This article belongs to the Special Issue Frontiers in Fractional-Order Neural Networks)
►▼
Show Figures

Figure 1
Open AccessArticle
Control and Robust Stabilization at Unstable Equilibrium by Fractional Controller for Magnetic Levitation Systems
Fractal Fract. 2021, 5(3), 101; https://doi.org/10.3390/fractalfract5030101 - 20 Aug 2021
Abstract
The problem of control and stabilizing inherently non-linear and unstable magnetic levitation (Maglev) systems with uncertain equilibrium states has been studied. Accordingly, some significant works related to different control approaches have been highlighted to provide robust control and enhance the performance of the
[...] Read more.
The problem of control and stabilizing inherently non-linear and unstable magnetic levitation (Maglev) systems with uncertain equilibrium states has been studied. Accordingly, some significant works related to different control approaches have been highlighted to provide robust control and enhance the performance of the Maglev system. This work examines a method to control and stabilize the levitation system in the presence of disturbance and parameter variations to minimize the magnet gap deviation from the equilibrium position. To fulfill the stabilization and disturbance rejection for this non-linear dynamic system, the fractional order PID, fractional order sliding mode, and fractional order Fuzzy control approaches are conducted. In order to design the suitable control outlines based on fractional order controllers, a tuning hybrid method of GWO–PSO algorithms is applied by using the different performance criteria as Integrated Absolute Error (IAE), Integrated Time Weighted Absolute Error (ITAE), Integrated Squared Error (ISE), and Integrated Time Weighted Squared Error (ITSE). In general, these objectives are used by targeting the best tuning of specified control parameters. Finally, the simulation results are presented to determine which fractional controllers demonstrate better control performance, achieve fast and robust stability of the closed-loop system, and provide excellent disturbance suppression effect under nonlinear and uncertainty existing in the processing system.
Full article
(This article belongs to the Special Issue Fractional Order Systems and Their Applications)
►▼
Show Figures

Figure 1
Open AccessArticle
Orthonormal Ultraspherical Operational Matrix Algorithm for Fractal–Fractional Riccati Equation with Generalized Caputo Derivative
Fractal Fract. 2021, 5(3), 100; https://doi.org/10.3390/fractalfract5030100 - 17 Aug 2021
Abstract
Herein, we developed and analyzed a new fractal–fractional (FF) operational matrix for orthonormal normalized ultraspherical polynomials. We used this matrix to handle the FF Riccati differential equation with the new generalized Caputo FF derivative. Based on the developed operational matrix and the spectral
[...] Read more.
Herein, we developed and analyzed a new fractal–fractional (FF) operational matrix for orthonormal normalized ultraspherical polynomials. We used this matrix to handle the FF Riccati differential equation with the new generalized Caputo FF derivative. Based on the developed operational matrix and the spectral Tau method, the nonlinear differential problem was reduced to a system of algebraic equations in the unknown expansion coefficients. Accordingly, the resulting system was solved by Newton’s solver with a small initial guess. The efficiency, accuracy, and applicability of the developed numerical method were checked by exhibiting various test problems. The obtained results were also compared with other recent methods, based on the available literature.
Full article
(This article belongs to the Special Issue Numerical Methods and Simulations in Fractal and Fractional Problems)
►▼
Show Figures

Figure 1
Open AccessArticle
Advancement of Non-Newtonian Fluid with Hybrid Nanoparticles in a Convective Channel and Prabhakar’s Fractional Derivative—Analytical Solution
Fractal Fract. 2021, 5(3), 99; https://doi.org/10.3390/fractalfract5030099 - 17 Aug 2021
Abstract
The present paper deals with the advancement of non-Newtonian fluid containing some nanoparticles between two parallel plates. A novel fractional operator is used to model memory effects, and analytical solutions are obtained for temperature and velocity fields by the method of Laplace transform.
[...] Read more.
The present paper deals with the advancement of non-Newtonian fluid containing some nanoparticles between two parallel plates. A novel fractional operator is used to model memory effects, and analytical solutions are obtained for temperature and velocity fields by the method of Laplace transform. Moreover, a parametric study is elaborated to show the impact of flow parameters and presented in graphical form. As a result, dual solutions are predicted for increasing values of fractional parameters for short and long times. Furthermore, by increasing nanoparticle concentration, the temperature can be raised along with decreasing velocity. A fractional approach can provide new insight for the analytical solutions which makes the interpretation of the results easier and enable the way of testing possible approximate solutions.
Full article
(This article belongs to the Special Issue Numerical and Analytical Methods for Differential Equations and Systems)
►▼
Show Figures

Figure 1
Open AccessArticle
Quarter-Sweep Preconditioned Relaxation Method, Algorithm and Efficiency Analysis for Fractional Mathematical Equation
Fractal Fract. 2021, 5(3), 98; https://doi.org/10.3390/fractalfract5030098 - 14 Aug 2021
Abstract
►▼
Show Figures
Research into the recent developments for solving fractional mathematical equations requires accurate and efficient numerical methods. Although many numerical methods based on Caputo’s fractional derivative have been proposed to solve fractional mathematical equations, the efficiency of obtaining solutions using these methods when dealing
[...] Read more.
Research into the recent developments for solving fractional mathematical equations requires accurate and efficient numerical methods. Although many numerical methods based on Caputo’s fractional derivative have been proposed to solve fractional mathematical equations, the efficiency of obtaining solutions using these methods when dealing with a large matrix requires further study. The matrix size influences the accuracy of the solution. Therefore, this paper proposes a quarter-sweep finite difference scheme with a preconditioned relaxation-based approximation to efficiently solve a large matrix, which is based on the establishment of a linear system for a fractional mathematical equation. The paper presents the formulation of the quarter-sweep finite difference scheme that is used to approximate the selected fractional mathematical equation. Then, the derivation of a preconditioned relaxation method based on a quarter-sweep scheme is discussed. The design of a C++ algorithm of the proposed quarter-sweep preconditioned relaxation method is shown and, finally, efficiency analysis comparing the proposed method with several tested methods is presented. The contributions of this paper are the presentation of a new preconditioned matrix to restructure the developed linear system, and the derivation of an efficient preconditioned relaxation iterative method for solving a fractional mathematical equation. By simulating the solutions of time-fractional diffusion problems with the proposed numerical method, the study found that computing solutions using the quarter-sweep preconditioned relaxation method is more efficient than using the tested methods. The proposed numerical method is able to solve the selected problems with fewer iterations and a faster execution time than the tested existing methods. The efficiency of the methods was evaluated using different matrix sizes. Thus, the combination of a quarter-sweep finite difference method, Caputo’s time-fractional derivative, and the preconditioned successive over-relaxation method showed good potential for solving different types of fractional mathematical equations, and provides a future direction for this field of research.
Full article

Figure 1
Open AccessArticle
Synchronization Analysis of Multiple Integral Inequalities Driven by Steklov Operator
by
and
Fractal Fract. 2021, 5(3), 97; https://doi.org/10.3390/fractalfract5030097 - 14 Aug 2021
Abstract
We construct a subclass of Copson’s integral inequality in this article. In order to achieve this goal, we attempt to use the Steklov operator for generalizing different inequalities of the Copson type relevant to the situations as well as
[...] Read more.
We construct a subclass of Copson’s integral inequality in this article. In order to achieve this goal, we attempt to use the Steklov operator for generalizing different inequalities of the Copson type relevant to the situations as well as . We demonstrate the inequalities with the guidance of basic comparison, Holder’s inequality, and the integration by parts approach. Moreover, some new variations of Hardy’s integral inequality are also presented with the utilization of Steklov operator. We also formulate many remarks and two examples to show the novelty and authenticity of our results.
Full article
(This article belongs to the Special Issue Fractional Dynamical Systems: Applications and Theoretical Results)
Open AccessArticle
Particularities of Forest Dynamics Using Higuchi Dimension. Parâng Mountains as a Case Study
by
, , , , , , , and
Fractal Fract. 2021, 5(3), 96; https://doi.org/10.3390/fractalfract5030096 - 13 Aug 2021
Abstract
The legal or illegal losses and the natural disturbance regime of forest areas in Romania generate major imbalances in territorial systems. The main purpose of the current research was to examine the dynamics of the complexity of forests under the influence of forest
[...] Read more.
The legal or illegal losses and the natural disturbance regime of forest areas in Romania generate major imbalances in territorial systems. The main purpose of the current research was to examine the dynamics of the complexity of forests under the influence of forest loss but also to compare the applicability of Higuchi dimension. In this study, two fractal algorithms, Higuchi 1D (H1D) and Higuchi 2D (H2D), were used to determine qualitative and quantitative aspects based on images obtained from a Geographic Information System (GIS) database. The H1D analysis showed that the impact of forest loss has led to increased fragmentation of the forests, generating a continuous increase in the complexity of forest areas. The H2D analysis identified the complexity of forest morphology by the relationship between each pixel and the neighboring pixels from analyzed images, which allowed us to highlight the local characteristics of the forest loss. The H1D and H2D methods showed that they have the speed and simplicity required for forest loss analysis. Using this methodology complementary to GIS analyses, a relevant status of how forest loss occurred and their impact on tree-cover dynamics was obtained.
Full article
(This article belongs to the Special Issue Fractal Geometry in Geospatial Data Analysis)
►▼
Show Figures

Figure 1
Open AccessArticle
Qualitative Behavior of Unbounded Solutions of Neutral Differential Equations of Third-Order
by
, , , , and
Fractal Fract. 2021, 5(3), 95; https://doi.org/10.3390/fractalfract5030095 - 12 Aug 2021
Abstract
New oscillatory properties for the oscillation of unbounded solutions to a class of third-order neutral differential equations with several deviating arguments are established. Several oscillation results are established by using generalized Riccati transformation and a integral average technique under the case of unbounded
[...] Read more.
New oscillatory properties for the oscillation of unbounded solutions to a class of third-order neutral differential equations with several deviating arguments are established. Several oscillation results are established by using generalized Riccati transformation and a integral average technique under the case of unbounded neutral coefficients. Examples are given to prove the significance of new theorems.
Full article
(This article belongs to the Special Issue Numerical and Analytical Methods for Differential Equations and Systems)
Open AccessArticle
Novel Computations of the Time-Fractional Fisher’s Model via Generalized Fractional Integral Operators by Means of the Elzaki Transform
Fractal Fract. 2021, 5(3), 94; https://doi.org/10.3390/fractalfract5030094 - 12 Aug 2021
Abstract
The present investigation dealing with a hybrid technique coupled with a new iterative transform method, namely the iterative Elzaki transform method (IETM), is employed to solve the nonlinear fractional Fisher’s model. Fisher’s equation is a precise mathematical result that arose in population dynamics
[...] Read more.
The present investigation dealing with a hybrid technique coupled with a new iterative transform method, namely the iterative Elzaki transform method (IETM), is employed to solve the nonlinear fractional Fisher’s model. Fisher’s equation is a precise mathematical result that arose in population dynamics and genetics, specifically in chemistry. The Caputo and Antagana-Baleanu fractional derivatives in the Caputo sense are used to test the intricacies of this mechanism numerically. In order to examine the approximate findings of fractional-order Fisher’s type equations, the IETM solutions are obtained in series representation. Moreover, the stability of the approach was demonstrated using fixed point theory. Several illustrative cases are described that strongly agree with the precise solutions. Moreover, tables and graphs are included in order to conceptualize the influence of the fractional order and on the previous findings. The projected technique illustrates that only a few terms are sufficient for finding an approximate outcome, which is computationally appealing and accurate to analyze. Additionally, the offered procedure is highly robust, explicit, and viable for nonlinear fractional PDEs, but it could be generalized to other complex physical phenomena.
Full article
(This article belongs to the Special Issue New Advancements in Pure and Applied Mathematics via Fractals and Fractional Calculus)
►▼
Show Figures

Figure 1
Open AccessArticle
Homotopy Perturbation Method for the Fractal Toda Oscillator
Fractal Fract. 2021, 5(3), 93; https://doi.org/10.3390/fractalfract5030093 - 11 Aug 2021
Abstract
►▼
Show Figures
The fractal Toda oscillator with an exponentially nonlinear term is extremely difficult to solve; Elias-Zuniga et al. (2020) suggested the equivalent power-form method. In this paper, first, the fractal variational theory is used to show the basic property of the fractal oscillator, and
[...] Read more.
The fractal Toda oscillator with an exponentially nonlinear term is extremely difficult to solve; Elias-Zuniga et al. (2020) suggested the equivalent power-form method. In this paper, first, the fractal variational theory is used to show the basic property of the fractal oscillator, and a new form of the Toda oscillator is obtained free of the exponential nonlinear term, which is similar to the form of the Jerk oscillator. The homotopy perturbation method is used to solve the fractal Toda oscillator, and the analytical solution is examined using the numerical solution which shows excellent agreement. Furthermore, the effect of the order of the fractal derivative on the vibration property is elucidated graphically.
Full article

Figure 1
Open AccessArticle
The Proof of a Conjecture Relating Catalan Numbers to an Averaged Mandelbrot-Möbius Iterated Function
by
and
Fractal Fract. 2021, 5(3), 92; https://doi.org/10.3390/fractalfract5030092 - 11 Aug 2021
Abstract
►▼
Show Figures
In 2021, Mork and Ulness studied the Mandelbrot and Julia sets for a generalization of the well-explored function . Their generalization was based on the composition of with the Möbius transformation
[...] Read more.
In 2021, Mork and Ulness studied the Mandelbrot and Julia sets for a generalization of the well-explored function . Their generalization was based on the composition of with the Möbius transformation at each iteration step. Furthermore, they posed a conjecture providing a relation between the coefficients of (each order) iterated series of (at ) and the Catalan numbers. In this paper, in particular, we prove this conjecture in a more precise (quantitative) formulation.
Full article

Figure 1
Open AccessArticle
State of Charge Estimation of Lithium-Ion Batteries Based on Fuzzy Fractional-Order Unscented Kalman Filter
Fractal Fract. 2021, 5(3), 91; https://doi.org/10.3390/fractalfract5030091 - 08 Aug 2021
Abstract
The covariance matrix of measurement noise is fixed in the Kalman filter algorithm. However, in the process of battery operation, the measurement noise is affected by different charging and discharging conditions and the external environment. Consequently, obtaining the noise statistical characteristics is difficult,
[...] Read more.
The covariance matrix of measurement noise is fixed in the Kalman filter algorithm. However, in the process of battery operation, the measurement noise is affected by different charging and discharging conditions and the external environment. Consequently, obtaining the noise statistical characteristics is difficult, which affects the accuracy of the Kalman filter algorithm. In order to improve the estimation accuracy of the state of charge (SOC) of lithium-ion batteries under actual working conditions, a fuzzy fractional-order unscented Kalman filter (FFUKF) is proposed. The algorithm combines fuzzy inference with fractional-order unscented Kalman filter (FUKF) to infer the measurement noise in real time and take advantage of fractional calculus in describing the dynamic behavior of the lithium batteries. The accuracy of the SOC estimation under different working conditions at three different temperatures is verified. The results show that the accuracy of the proposed algorithm is superior to those of the FUKF and extended Kalman filter (EKF) algorithms.
Full article
(This article belongs to the Special Issue Fractional Order Systems and Their Applications)
►▼
Show Figures

Figure 1
Open AccessArticle
Spline Collocation for Multi-Term Fractional Integro-Differential Equations with Weakly Singular Kernels
by
and
Fractal Fract. 2021, 5(3), 90; https://doi.org/10.3390/fractalfract5030090 - 07 Aug 2021
Abstract
We consider general linear multi-term Caputo fractional integro-differential equations with weakly singular kernels subject to local or non-local boundary conditions. Using an integral equation reformulation of the proposed problem, we first study the existence, uniqueness and regularity of the exact solution. Based on
[...] Read more.
We consider general linear multi-term Caputo fractional integro-differential equations with weakly singular kernels subject to local or non-local boundary conditions. Using an integral equation reformulation of the proposed problem, we first study the existence, uniqueness and regularity of the exact solution. Based on the obtained regularity properties and spline collocation techniques, the numerical solution of the problem is discussed. Optimal global convergence estimates are derived and a superconvergence result for a special choice of grid and collocation parameters is given. A numerical illustration is also presented.
Full article
(This article belongs to the Section Numerical and Computational Methods)
Open AccessArticle
New Results on Controllability for a Class of Fractional Integrodifferential Dynamical Systems with Delay in Banach Spaces
by
Fractal Fract. 2021, 5(3), 89; https://doi.org/10.3390/fractalfract5030089 - 04 Aug 2021
Abstract
The present work addresses some new controllability results for a class of fractional integrodifferential dynamical systems with a delay in Banach spaces. Under the new definition of controllability , first introduced by us, we obtain some sufficient conditions of controllability for the considered
[...] Read more.
The present work addresses some new controllability results for a class of fractional integrodifferential dynamical systems with a delay in Banach spaces. Under the new definition of controllability , first introduced by us, we obtain some sufficient conditions of controllability for the considered dynamic systems. To conquer the difficulties arising from time delay, we also introduce a suitable delay item in a special complete space. In this work, a nonlinear item is not assumed to have Lipschitz continuity or other growth hypotheses compared with most existing articles. Our main tools are resolvent operator theory and fixed point theory. At last, an example is presented to explain our abstract conclusions.
Full article
(This article belongs to the Special Issue Frontiers in Fractional-Order Neural Networks)
Open AccessArticle
Applications of the (G′/G2)-Expansion Method for Solving Certain Nonlinear Conformable Evolution Equations
Fractal Fract. 2021, 5(3), 88; https://doi.org/10.3390/fractalfract5030088 - 04 Aug 2021
Abstract
The core objective of this article is to generate novel exact traveling wave solutions of two nonlinear conformable evolution equations, namely, the -dimensional conformable time integro-differential Sawada–Kotera (SK) equation and the -dimensional conformable
[...] Read more.
The core objective of this article is to generate novel exact traveling wave solutions of two nonlinear conformable evolution equations, namely, the -dimensional conformable time integro-differential Sawada–Kotera (SK) equation and the -dimensional conformable time modified KdV–Zakharov–Kuznetsov (mKdV–ZK) equation using the -expansion method. These two equations associate with conformable partial derivatives with respect to time which the former equation is firstly proposed in the form of the conformable integro-differential equation. To the best of the authors’ knowledge, the two equations have not been solved by means of the -expansion method for their exact solutions. As a result, some exact solutions of the equations expressed in terms of trigonometric, exponential, and rational function solutions are reported here for the first time. Furthermore, graphical representations of some selected solutions, plotted using some specific sets of the parameter values and the fractional orders, reveal certain physical features such as a singular single-soliton solution and a doubly periodic wave solution. These kinds of the solutions are usually discovered in natural phenomena. In particular, the soliton solution, which is a solitary wave whose amplitude, velocity, and shape are conserved after a collision with another soliton for a nondissipative system, arises ubiquitously in fluid mechanics, fiber optics, atomic physics, water waves, and plasmas. The method, along with the help of symbolic software packages, can be efficiently and simply used to solve the proposed problems for trustworthy and accurate exact solutions. Consequently, the method could be employed to determine some new exact solutions for other nonlinear conformable evolution equations.
Full article
(This article belongs to the Special Issue The Solutions of Partial Differential Equations and Recent Applications)
►▼
Show Figures

Figure 1
Open AccessArticle
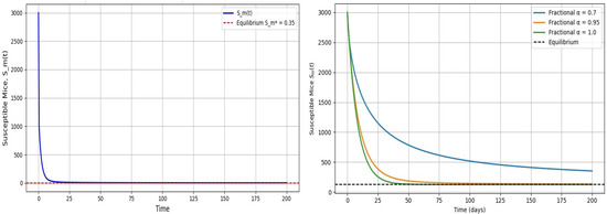
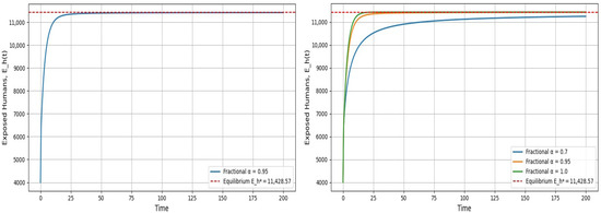
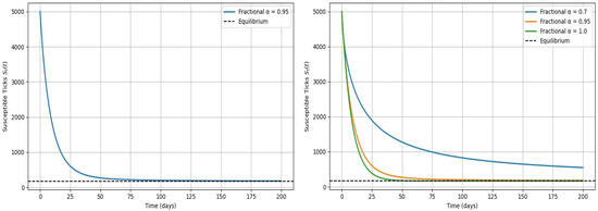
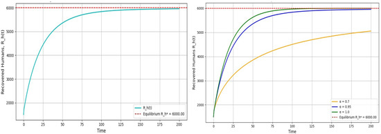
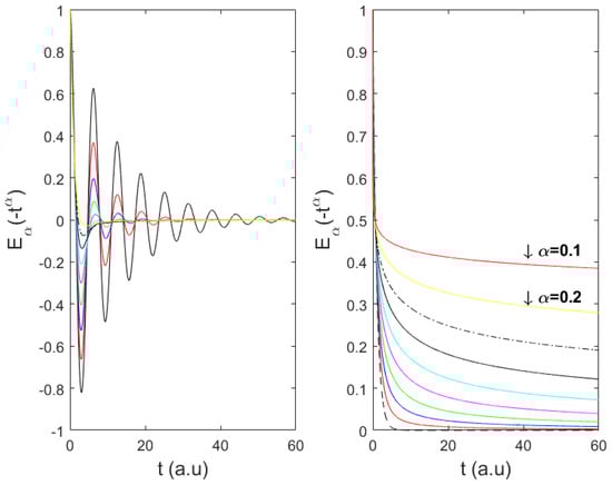
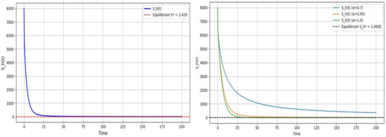
A Mathematical Study of a Coronavirus Model with the Caputo Fractional-Order Derivative
Fractal Fract. 2021, 5(3), 87; https://doi.org/10.3390/fractalfract5030087 - 03 Aug 2021
Abstract
In this work, we introduce a minimal model for the current pandemic. It incorporates the basic compartments: exposed, and both symptomatic and asymptomatic infected. The dynamical system is formulated by means of fractional operators. The model equilibria are analyzed. The theoretical results indicate
[...] Read more.
In this work, we introduce a minimal model for the current pandemic. It incorporates the basic compartments: exposed, and both symptomatic and asymptomatic infected. The dynamical system is formulated by means of fractional operators. The model equilibria are analyzed. The theoretical results indicate that their stability behavior is the same as for the corresponding system formulated via standard derivatives. This suggests that, at least in this case for the model presented here, the memory effects contained in the fractional operators apparently do not seem to play a relevant role. The numerical simulations instead reveal that the order of the fractional derivative has a definite influence on both the equilibrium population levels and the speed at which they are attained.
Full article
(This article belongs to the Special Issue Fractal Functions and Applications)
►▼
Show Figures

Figure 1
Open AccessArticle
A Grey System Approach for Estimating the Hölderian Regularity with an Application to Algerian Well Log Data
by
and
Fractal Fract. 2021, 5(3), 86; https://doi.org/10.3390/fractalfract5030086 - 02 Aug 2021
Abstract
The Hölderian regularity is an important mathematical feature of a signal, connected with the physical nature of the measured parameter. Many algorithms have been proposed in literature for estimating the local Hölder exponent value, but all of them lead to biased estimates. This
[...] Read more.
The Hölderian regularity is an important mathematical feature of a signal, connected with the physical nature of the measured parameter. Many algorithms have been proposed in literature for estimating the local Hölder exponent value, but all of them lead to biased estimates. This paper attempts to apply the grey system theory (GST) on the raw signal for improving the accuracy of Hölderian regularity estimation. First, synthetic logs data are generated by the successive random additions (SRA) method with different types of Hölder functions. The application on these simulated signals shows that the Hölder functions estimated by the GST are more precise than those derived from the raw data. Additionally, noisy signals are considered for the same experiment, and more accurate regularity is obtained using signals processed using GST. Second, the proposed technique is implemented on well log data measured at an Algerian exploration borehole. It is demonstrated that the regularity determined from the well logs analyzed by the GST is more reliable than that inferred from the raw data. In addition, the obtained Hölder functions almost reflect the lithological discontinuities encountered by the well. To conclude, the GST is a powerful tool for enhancing the estimation of the Hölderian regularity of signals.
Full article
(This article belongs to the Special Issue Fractals in Geosciences: Theory and Applications)
►▼
Show Figures

Figure 1
Open AccessArticle
A Numerical Study of Nonlinear Fractional Order Partial Integro-Differential Equation with a Weakly Singular Kernel
Fractal Fract. 2021, 5(3), 85; https://doi.org/10.3390/fractalfract5030085 - 02 Aug 2021
Abstract
Fractional differential equations can present the physical pathways with the storage and inherited properties due to the memory factor of fractional order. The purpose of this work is to interpret the collocation approach for tackling the fractional partial integro-differential equation (FPIDE) by employing
[...] Read more.
Fractional differential equations can present the physical pathways with the storage and inherited properties due to the memory factor of fractional order. The purpose of this work is to interpret the collocation approach for tackling the fractional partial integro-differential equation (FPIDE) by employing the extended cubic B-spline (ECBS). To determine the time approximation, we utilize the Caputo approach. The stability and convergence analysis have also been analyzed. The efficiency and reliability of the suggested technique are demonstrated by two numerical applications, which support the theoretical results and the effectiveness of the implemented algorithm.
Full article
(This article belongs to the Special Issue Novel Numerical Solutions of Fractional PDEs)
►▼
Show Figures

Figure 1
Highly Accessed Articles
Latest Books
E-Mail Alert
News
Topics
Topic in
Fractal Fract, Mathematics
Analysis and Controls of Time-Delay Systems with Perturbations: Theory and Application
Editor-in-Chief: Changhua LienDeadline: 15 December 2021
Conferences
Special Issues
Special Issue in
Fractal Fract
Fractal Media and Fractional Viscoelasticity
Guest Editors: Somayeh Mashayekhi, William OatesDeadline: 31 August 2021
Special Issue in
Fractal Fract
Fractal and Fractional in Cement-based Materials
Guest Editors: Shengwen Tang, Giorgio Pia, E ChenDeadline: 15 September 2021
Special Issue in
Fractal Fract
Qualitative Analysis of Fractional Deterministic and Stochastic Systems
Guest Editors: Nazim Mahmudov, Rathinasamy Sakthivel, Carlo CattaniDeadline: 30 September 2021
Special Issue in
Fractal Fract
Fractional Behavior in Nature 2021
Guest Editors: Manuel Ortigueira, Duarte ValérioDeadline: 20 October 2021
