Sign in to use this feature.

Years

Between: -

Subjects

remove_circle_outline
remove_circle_outline
remove_circle_outline
remove_circle_outline
remove_circle_outline
remove_circle_outline
remove_circle_outline
remove_circle_outline
remove_circle_outline

Journals

remove_circle_outline
remove_circle_outline
remove_circle_outline
remove_circle_outline
remove_circle_outline
remove_circle_outline
remove_circle_outline
remove_circle_outline
remove_circle_outline
remove_circle_outline
remove_circle_outline
remove_circle_outline
remove_circle_outline
remove_circle_outline
remove_circle_outline
remove_circle_outline
remove_circle_outline
remove_circle_outline
remove_circle_outline
remove_circle_outline
remove_circle_outline
remove_circle_outline
remove_circle_outline
remove_circle_outline
remove_circle_outline
remove_circle_outline
remove_circle_outline
remove_circle_outline
remove_circle_outline
remove_circle_outline
remove_circle_outline
remove_circle_outline
remove_circle_outline
remove_circle_outline
remove_circle_outline

Article Types

Countries / Regions

remove_circle_outline
remove_circle_outline
remove_circle_outline
remove_circle_outline
remove_circle_outline
remove_circle_outline
remove_circle_outline
remove_circle_outline
remove_circle_outline

Search Results (4,305)

Search Parameters:
Keywords = SAD

Order results
Result details
Results per page
Select all
Export citation of selected articles as:
18 pages, 2064 KB  
Article
Non-Invasive Acidic Pretreatment Technology of Anaerobic Digestion of Waste-Activated Sludge (WAS) on Biogas Production: Unveiling the Role of Extracellular Polymeric Substances (EPSs) and Pharmaceutical Degradation
by Dragana S. Žmukić, Ljiljana Milovanović, Nataša Slijepčević, Nataša Duduković, Đurđa Kerkez, Lila Boudahmane, Emilie Caupos, Julien Le Roux, Régis Moilleron and Anita S. Leovac Maćerak
Molecules 2026, 31(2), 269; https://doi.org/10.3390/molecules31020269 (registering DOI) - 13 Jan 2026
Abstract
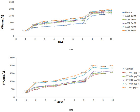
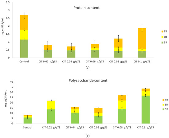
Non-invasive acidic pretreatments using acetic acid (1–5 mM) and citric acid (0.02–0.1 g g−1 TS) were investigated to enhance anaerobic digestion (AD) of waste-activated sludge (WAS). Both pretreatments improved short-term process stability, with pH (6.5–7.1) and alkalinity (1000–5000 mg CaCO3 L [...] Read more.
Non-invasive acidic pretreatments using acetic acid (1–5 mM) and citric acid (0.02–0.1 g g−1 TS) were investigated to enhance anaerobic digestion (AD) of waste-activated sludge (WAS). Both pretreatments improved short-term process stability, with pH (6.5–7.1) and alkalinity (1000–5000 mg CaCO3 L−1) remaining within optimal ranges during 10-day digestion. Acetic acid markedly enhanced solubilization and acidification, increasing volatile fatty acids to ~2500 mg L−1 (+67% vs. control), whereas citric acid achieved ~2000 mg L−1 (+37%). EPS analysis revealed pronounced redistribution of polysaccharides and proteins, with acetic acid inducing stronger disruption of the EPS matrix (SB-EPS polysaccharides up to 34.1 mg eq Glc mL−1). Specific methane yield increased from 28.5 mL CH4 g−1 VS (control) to 101.7 mL CH4 g−1 VS with acetic acid (3.6-fold) and to 73.8 mL CH4 g−1 VS with citric acid (2.5-fold). Gompertz modeling confirmed higher maximum methane potential, ~68% higher maximum methane production rates, and reduced lag phases for both pretreatments. In contrast, pharmaceutical concentrations (31 compounds) were largely unaffected by acid pretreatment, with significant reductions observed only for selected biodegradable molecules. Full article
(This article belongs to the Section Green Chemistry)
Show Figures

Graphical abstract

15 pages, 1174 KB  
Article
Effect of Femtosecond Laser-Assisted Versus Conventional Clear Corneal Incisions on Endothelial Cell Density and Surgical Efficiency in Cataract Surgery
by Nikola Bobot, Gabriele Thumann, Martina Kropp, Zeljka Cvejic, Valentin Pajic, Vesko Onov, Filip Slezak and Bojan Pajic
J. Clin. Med. 2026, 15(2), 626; https://doi.org/10.3390/jcm15020626 (registering DOI) - 13 Jan 2026
Abstract
Objectives: To investigate the efficacy of femtosecond laser-assisted cataract surgery (FLACS) with the FEMTO LDV Z8 laser system in comparison to manual conventional cataract surgery (CCS). Background: Preservation of corneal endothelial integrity remains one of the most critical determinants of long-term visual quality [...] Read more.
Objectives: To investigate the efficacy of femtosecond laser-assisted cataract surgery (FLACS) with the FEMTO LDV Z8 laser system in comparison to manual conventional cataract surgery (CCS). Background: Preservation of corneal endothelial integrity remains one of the most critical determinants of long-term visual quality after cataract surgery. The introduction of low-energy femtosecond laser systems has raised expectations for safer and more efficient procedures, particularity in cases with denser cataracts. Methods: This is a prospective, randomized study. Here, 38 eyes in the FLACS group and 40 in the CCS group were included. The changes in central corneal thickness (CCT), endothelial cell density (ECD), and best-corrected visual acuity (BCVA) were analyzed. In addition, the effective phacoemulsification time (EPT), the total phacoemulsification time (PT), and the intraoperative time (IT) were evaluated as a function of cataract grade. The total follow-up period was six weeks. Results: On postoperative day 1, BCVA improved significantly faster in the FLACS group (0.91 ± 0.14) compared with the CCS group (0.70 ± 0.17; p < 0.05). FLACS also demonstrated a significantly shorter EPT (1.01 ± 0.91 s) than CCS (1.61 ± 1.70 s; p < 0.05). No significant differences were observed between groups regarding postoperative ECD or CCT at any time point. No intraoperative or postoperative complications occurred. Conclusions: Low-energy FLACS achieved comparable endothelial safety to CCS, while providing significantly faster early visual recovery and reduced ultrasound energy use. These finding support the clinical value of FLACS in patients with moderate to dense cataracts. Full article
(This article belongs to the Section Ophthalmology)
Show Figures

Figure 1

11 pages, 864 KB  
Article
Impact of Perceived Dorsiflexion and Plantarflexion in the Squat and Countermovement Jumps
by Flávio Ventura, Filipe Maia, Ricardo Maia Ferreira, Nuno Pimenta and Ricardo Pimenta
Muscles 2026, 5(1), 5; https://doi.org/10.3390/muscles5010005 - 12 Jan 2026
Abstract
Muscular strength plays a crucial role in sports performance and is often evaluated using vertical jump tests such as the Squat Jump (SJ) and Countermovement Jump (CMJ). Measurements based on flight time (FT) assume that takeoff and landing postures are identical, yet differences [...] Read more.
Muscular strength plays a crucial role in sports performance and is often evaluated using vertical jump tests such as the Squat Jump (SJ) and Countermovement Jump (CMJ). Measurements based on flight time (FT) assume that takeoff and landing postures are identical, yet differences in ankle position can introduce systematic errors. This study examined whether dorsiflexion (DF) or plantarflexion (PF) of the ankle during the flight phase affects jump height. Forty-three active university students completed four repetitions each of SJ and CMJ under DF and PF across two sessions. Jump heights were recorded using a Chronojump-Boscosystem platform. No significant difference was observed in SJ between DF and PF, while CMJ heights were consistently higher under DF (DF: 28.29 cm ± 7.7 cm vs. PF: 27.08 cm ± 7.03 cm, p = 0.001; d = 0.16). Notably, the effect of DF appeared more pronounced in CMJ, suggesting that higher jumps are more sensitive to postural variations. These findings could suggest that DF can artificially increase jump heights as measured on a jump platform, without reflecting true improvements in force production. Coaches and practitioners should interpret FT-derived data with caution, particularly for higher jumps. Future research combining precise motion capture with force platforms could directly track center-of-mass changes and validate this mechanism. Full article
Show Figures

Figure 1

17 pages, 434 KB  
Review
Evolution of Carpal Tunnel Syndrome Treatment: A Narrative Review
by Đula Đilvesi, Bojan Jelača, Aleksandar Knežević, Željko Živanović, Veljko Pantelić and Jagoš Golubović
NeuroSci 2026, 7(1), 10; https://doi.org/10.3390/neurosci7010010 - 12 Jan 2026
Abstract
Carpal tunnel syndrome (CTS) is the most common peripheral nerve entrapment disorder, with a lifetime prevalence estimated at approximately 10%. This narrative review explores the historical evolution, current management strategies, and emerging trends in CTS diagnosis and treatment. Early recognition of CTS led [...] Read more.
Carpal tunnel syndrome (CTS) is the most common peripheral nerve entrapment disorder, with a lifetime prevalence estimated at approximately 10%. This narrative review explores the historical evolution, current management strategies, and emerging trends in CTS diagnosis and treatment. Early recognition of CTS led to the development of conservative interventions, including splinting, corticosteroid injections, and physical therapy, aimed at alleviating median nerve compression and associated symptoms. The advent of open carpal tunnel release established surgery as the definitive treatment for moderate-to-severe CTS, with subsequent refinements—such as mini-open and endoscopic techniques—focused on minimizing tissue trauma and expediting recovery. Comparative studies demonstrate similar long-term efficacy between surgical modalities, though endoscopic approaches often provide faster short-term recovery. Advances in diagnostic imaging, including high-resolution ultrasound, have improved early detection and dynamic assessment of median nerve compression. Emerging therapies, such as regenerative biologics, neuromobilization, and minimally invasive surgical innovations, offer promising adjuncts to current care. Despite substantial progress, further research is needed to clarify optimal patient selection, refine minimally invasive techniques, and explore regenerative interventions. This review underscores the importance of individualized, evidence-based, and patient-centered approaches to CTS management, integrating both established and emerging strategies to optimize functional outcomes and quality of life. Full article
Show Figures

Figure 1

27 pages, 3495 KB  
Article
Artificial Intelligence and Spatial Optimization: Evaluation of the Economic and Social Value of UGS in Vračar (Belgrade)
by Slađana Milovanović, Ivan Cvitković, Katarina Stojanović and Miljenko Mustapić
Sustainability 2026, 18(2), 745; https://doi.org/10.3390/su18020745 - 12 Jan 2026
Abstract
This paper examines the growing field of AI-assisted urban planning within the context of sustainable urban development, with a particular focus on spatial optimization of urban green spaces under conditions of scarcity, density, and economic pressure. While the economic, ecological, and social values [...] Read more.
This paper examines the growing field of AI-assisted urban planning within the context of sustainable urban development, with a particular focus on spatial optimization of urban green spaces under conditions of scarcity, density, and economic pressure. While the economic, ecological, and social values of UGS are widely acknowledged, urban planners lack a cohesive, data-driven framework to quantify and spatially optimize these often-conflicting values for effective land-use optimization. To address this gap, we propose a methodology that combines Geographic Information Systems (GISs), the Analytic Hierarchy Process (AHP), and an Artificial Intelligence-Based Genetic Algorithm (AI-GA). Vračar was chosen as the case study area. Our approach evaluates (1) the economic value of UGS through housing prices; (2) the ecological value through UGS density; and (3) the social value by measuring access to urban green pockets. The integrated method simulates environmental scenarios and optimizes UGS placement for resilient urban areas. Results demonstrate that properties in mixed-use green areas proximate to urban parks have the highest economic and social value. Additionally, higher densities of UGS correlate with higher housing prices, highlighting the economic impact of green space distribution. The methodology enables planners to make decisions based on evidence that integrates statistical modeling, expert judgment, and artificial intelligence into one cohesive platform. Full article
(This article belongs to the Special Issue Impact of AI on Business Sustainability and Efficiency)
Show Figures

Figure 1

19 pages, 452 KB  
Article
Knowledge, Attitudes, Practice, and Hesitancy of Patients and HCWs Towards COVID-19 Vaccination and Factors Associated with Vaccination in the Republic of Srpska, Bosnia and Herzegovina
by Biljana Mijović, Tihomir Dugandžija, Dragana Sokolović, Dragana Drakul, Jovan Kulić, Kristina Drašković Mališ, Anđela Bojanić, Nasta Manojlović, Milena Dubravac Tanasković, Marija Milić, Radmila Balaban-Đurević, Dajana Nogo-Živanović, Slađana Mihajlović and Bojan Joksimović
Epidemiologia 2026, 7(1), 12; https://doi.org/10.3390/epidemiologia7010012 - 12 Jan 2026
Abstract
Background/Objectives: The COVID-19 pandemic caused over seven million deaths globally as of July 2024. In an attempt to bring the pandemic under control, immunization was implemented as the main preventive strategy. This study aimed to investigate the knowledge, attitudes, and practices (KAP) of [...] Read more.
Background/Objectives: The COVID-19 pandemic caused over seven million deaths globally as of July 2024. In an attempt to bring the pandemic under control, immunization was implemented as the main preventive strategy. This study aimed to investigate the knowledge, attitudes, and practices (KAP) of hospitalized patients and healthcare workers (HCWs) regarding COVID-19 vaccination, as well as the factors contributing to COVID-19 vaccination rates. Methods: This cross-sectional, survey-based KAP study was conducted between November 2024 and February 2025 in five hospitals across five cities of the Republic of Srpska, Bosnia and Herzegovina. Results: There were 571 respondents, 68% of whom were female, with an average age of 39.17 ± 14.74 years; one-third held a university degree. The study sample consisted of patients and healthcare workers (HCWs) (59% vs. 41%). During the pandemic period, 46.6% of respondents were diagnosed with COVID-19, with a higher prevalence among healthcare workers compared to patients (54.2% vs. 41.2%). Among the 55.2% of respondents who were vaccinated, HCWs were more often vaccinated than patients (70.9% vs. 44.2%) and more likely to know that vaccines protect against severe forms of disease and death (80.8% vs. 68.5%). Patients more often believed that vaccination against COVID-19 may lead to sterility in young patients (11.3% vs. 6%) and were more often afraid of vaccination compared to the occurrence of COVID-19 (35.6% vs. 24.8%). Regression analyses showed that independent predictors of COVID-19 vaccination were older age (p < 0.001), higher education level (p = 0.039), knowledge of vaccine production technology, and the belief that vaccinated individuals have milder symptoms of the disease (p = 0.002). Conversely, the belief that the COVID-19 situation was overblown was negatively associated with vaccination (p = 0.004). Conclusions: HCWs had better knowledge, more positive attitudes, and better vaccination practices against COVID-19 in comparison to patients. However, there are still certain dilemmas and hesitations among HCWs toward COVID-19 vaccination. Full article
Show Figures

Figure 1

19 pages, 559 KB  
Article
Cultivar-Specific Responses in Postharvest Strategies to Preserve Phytochemical Profile in Traditional Serbian Peppers (Capsicum annuum L.)
by Lidija Milenković, Zoran S. Ilić, Žarko Kevrešan, Bratislav Ćirković, Ljubomir Šunić, Ljiljana Tubić, Renata Kovač and Dragana Ubiparip
Agronomy 2026, 16(2), 179; https://doi.org/10.3390/agronomy16020179 - 10 Jan 2026
Viewed by 31
Abstract
Traditional Serbian pepper cultivars ‘Kurtovska ajvaruša’, ‘Grkinja babura’, and ‘Duga bela ljuta’ were stored under different conditions (10 °C, 4 °C, and 4 °C with pre-storage hot water dipping-HWD) for 21 days plus a 3-day shelf life. [...] Read more.
Traditional Serbian pepper cultivars ‘Kurtovska ajvaruša’, ‘Grkinja babura’, and ‘Duga bela ljuta’ were stored under different conditions (10 °C, 4 °C, and 4 °C with pre-storage hot water dipping-HWD) for 21 days plus a 3-day shelf life. The main quality parameters measured included mineral content, total soluble solids (TSS), titratable acidity (TA),sugar content (glucose, fructose), organic (ascorbic and citric) acid content, and total phenolic content (TPC). Principal component analysis (PCA) revealed cultivar-specific responses to storage treatments. Cultivar specificity is a crucial determinant in defining optimal conditions for the preservation of phytochemical composition. The cultivar ‘Kurtovska ajvaruša’ showed the highest retention of phenolic compounds when stored at 4 °C following hot water treatment (HWD), whereas ‘Grkinja babura’ should be stored at 4 °C (without hot water treatment, as it provides no additional benefits) for up to 21 days, as this ensures balanced preservation of sugar and organic acid contents while maintaining high sensory quality of the fruit. ‘Duga bela ljuta’ exhibited superior ascorbic acid preservation at 10 °C, reaching 104.4 mg/100 g. Optimizing postharvest storage conditions is essential for maintaining the nutritional quality of traditional pepper cultivars intended for both fresh consumption and processing. Full article
25 pages, 1403 KB  
Review
Green Innovation for Solid Post-Distillation Residues Valorization: Narrative Review of Circular Bio-Economy Solutions
by Milica Aćimović, Anita Leovac Maćerak, Branimir Pavlić, Vladimir Sikora, Tijana Zeremski, Tamara Erceg and Djordje Djatkov
Processes 2026, 14(2), 244; https://doi.org/10.3390/pr14020244 - 9 Jan 2026
Viewed by 106
Abstract
The production of essential oils generates substantial quantities of solid post-distillation residues, a largely unutilized waste stream rich in bioactive compounds (e.g., phenolics, flavonoids) as well as polysaccharides. Managing this organic waste presents both environmental and economic challenges. This review critically examines environmentally [...] Read more.
The production of essential oils generates substantial quantities of solid post-distillation residues, a largely unutilized waste stream rich in bioactive compounds (e.g., phenolics, flavonoids) as well as polysaccharides. Managing this organic waste presents both environmental and economic challenges. This review critically examines environmentally friendly green innovations and resource-efficient technologies within circular bio-economy strategies for valorizing these residues, focusing on four primary conversion pathways: physico-mechanical, thermochemical, biological, and chemical methods. We highlight their potential for practical applications, including the extraction of active compounds for food, cosmetic, and pharmaceutical industries, utilization in agriculture, incorporation into construction materials and wastewater treatment. Despite these opportunities, wider industrial adoption remains limited by high processing costs and the lack of scalable, cost-effective technologies. Key research gaps included the need for methods applicable at the farm level, optimization of the residue-specific conversion process, and life-cycle assessments to evaluate environmental and economic impacts. Addressing these gaps is crucial to fully exploit the economic and ecological potential of post-distillation solid residues and integrate them into sustainable circular bio-economy practices through various processes. Full article
(This article belongs to the Special Issue Analysis and Processes of Bioactive Components in Natural Products)
Show Figures

Figure 1

43 pages, 28071 KB  
Article
Wildfire Probability Mapping in Southeastern Europe Using Deep Learning and Machine Learning Models Based on Open Satellite Data
by Uroš Durlević, Velibor Ilić and Bojana Aleksova
AI 2026, 7(1), 21; https://doi.org/10.3390/ai7010021 - 9 Jan 2026
Viewed by 133
Abstract
Wildfires, which encompass all fires that occur outside urban areas, represent one of the most frequent forms of natural disaster worldwide. This study presents the wildfire occurrence across the territory of Southeastern Europe, covering an area of 800,000 km2 (Greece, Romania, Serbia, [...] Read more.
Wildfires, which encompass all fires that occur outside urban areas, represent one of the most frequent forms of natural disaster worldwide. This study presents the wildfire occurrence across the territory of Southeastern Europe, covering an area of 800,000 km2 (Greece, Romania, Serbia, Slovenia, Croatia, Bosnia and Herzegovina, Montenegro, Albania, North Macedonia, Bulgaria, and Moldova). The research applies geospatial artificial intelligence techniques, based on the integration of machine learning (Random Forest (RF), XGBoost), deep learning (Deep Neural Network (DNN), Kolmogorov–Arnold Networks (KAN)), remote sensing (Sentinel-2, VIIRS), and Geographic Information Systems (GIS). From the geospatial database, 11 natural and anthropogenic criteria were analyzed, along with a wildfire inventory comprising 28,952 historical fire events. The results revealed that areas of very high susceptibility were most prevalent in Greece (10.5%), while the smallest susceptibility percentage was recorded in Slovenia (0.2%). Among the applied models, RF demonstrated the highest predictive performance (AUC = 90.7%), whereas XGBoost, DNN, and KAN achieved AUC values ranging from 86.7% to 90.5%. Through a SHAP analysis, it was determined that the most influential factors were global horizontal irradiation, elevation, and distance from settlements. The obtained results hold international significance for the implementation of preventive wildfire protection measures. Full article
(This article belongs to the Special Issue AI Applications in Emergency Response and Fire Safety)
19 pages, 437 KB  
Article
Navigating Loss in Animal-Assisted Services: Volunteer Experiences and Implications for Programs Following Therapy Dog Death or Retirement
by Lori R. Kogan, Jennifer Currin-McCulloch, Wendy Packman and Cori Bussolari
Animals 2026, 16(2), 202; https://doi.org/10.3390/ani16020202 - 9 Jan 2026
Viewed by 71
Abstract
Animal-assisted services (AAS) depend on volunteer handler–dog teams, yet the emotional and relational impacts on volunteers when their therapy dog dies or retires remain largely unexplored. This study examines AAS volunteers’ experiences following the death or retirement of their therapy dog partner. An [...] Read more.
Animal-assisted services (AAS) depend on volunteer handler–dog teams, yet the emotional and relational impacts on volunteers when their therapy dog dies or retires remain largely unexplored. This study examines AAS volunteers’ experiences following the death or retirement of their therapy dog partner. An online, anonymous cross-sectional survey was administered between January and June 2025. A total of 247 individual responses were analyzed. Over half of survey participants (56%) had lost a therapy dog to death, and 36.6% had retired a dog. Although most volunteers who resumed AAS with a new dog reported excitement and renewed purpose, many experienced sadness linked to their previous partner. Retirement decisions were primarily driven by dog welfare concerns and were often experienced as an ambiguous loss. Social constraints were common; participants frequently perceived minimization or discomfort from others when attempting to discuss their grief. In conclusion, therapy dog death and retirement represent significant emotional and relational losses for AAS volunteers. Organizational practices, including anticipatory retirement planning, welfare-centered guidelines, recognition rituals, and structured support during successor-dog transitions may help mitigate distress and foster healthy adjustment. Findings are discussed in relation to theory-informed, practical implications for animal-assisted service practitioners and organizations. Full article
(This article belongs to the Section Companion Animals)
26 pages, 5330 KB  
Article
Spatial Risk Assessment: A Case of Multivariate Linear Regression
by Dubravka Božić, Biserka Runje, Branko Štrbac, Miloš Ranisavljev and Andrej Razumić
Appl. Syst. Innov. 2026, 9(1), 20; https://doi.org/10.3390/asi9010020 - 9 Jan 2026
Viewed by 172
Abstract
The acceptance or rejection of a measurement is determined based on its associated measurement uncertainty. In this procedure, there is a risk of making incorrect decisions, including the potential rejection of compliant measurements or the acceptance of non-conforming ones. This study introduces a [...] Read more.
The acceptance or rejection of a measurement is determined based on its associated measurement uncertainty. In this procedure, there is a risk of making incorrect decisions, including the potential rejection of compliant measurements or the acceptance of non-conforming ones. This study introduces a mathematical model for the spatial evaluation of the global producer’s and global consumer’s risk, predicated on Bayes’ theorem and a decision rule that includes a guard band. The proposed model is appropriate for risk assessment within the framework of multivariate linear regression. Its applicability is demonstrated through an example involving the flatness of the workbench table surface of a coordinate measuring machine. The least-risk direction on the workbench was identified, and risks were quantified under varying selections of reference planes and differing measurement uncertainties anticipated in future measurement processes. Model evaluation was performed using confusion matrix-based metrics. The spaces of the commonly used metrics, constrained by the dimensions of the coordinate measuring machine workbench, were constructed. Using the evaluated metrics, the optimal guard band width was specified to ensure the minimum values of both the global producer’s and the global consumer’s risk. Full article
(This article belongs to the Section Applied Mathematics)
Show Figures

Figure 1

23 pages, 2616 KB  
Article
The “Supporting Adolescents with Self Harm” (SASH) Intervention Supporting Young People (And Carers) Presenting to the Emergency Department with Self-Harm: Therapeutic Assessment, Safety Planning, and Solution-Focused Brief Therapy
by Rose McCabe, Sally O’Keeffe and Maria Long
Healthcare 2026, 14(2), 168; https://doi.org/10.3390/healthcare14020168 - 8 Jan 2026
Viewed by 85
Abstract
Background: Self-harm is a growing public health concern and the strongest predictor of suicide in young people (YP). The “Supporting Adolescents with Self-Harm” (SASH) intervention was developed with YP with lived experience and expert clinicians. It involves rapid follow-up after ED attendance [...] Read more.
Background: Self-harm is a growing public health concern and the strongest predictor of suicide in young people (YP). The “Supporting Adolescents with Self-Harm” (SASH) intervention was developed with YP with lived experience and expert clinicians. It involves rapid follow-up after ED attendance and up to six intervention sessions. The intervention has three components: Therapeutic Assessment (TA) of self-harm; an enhanced safety plan (SP); and Solution-Focused Brief Therapy (SFBT). Depending on the YP’s preference, carers can join sessions. Carers can also receive two individual sessions. The clinical and cost-effectiveness of SASH is being evaluated in a randomised controlled trial across nine emergency departments in three NHS Trusts in London, England. A total of 154 YP were recruited between May 2023 and March 2025 and randomised on a 1:1 ratio to SASH alongside Treatment As Usual (TAU) or TAU. A logic model describes the SASH inputs, activities, mechanisms, outcomes and longer-term impacts. The aim of this paper is to (1) illustrate how TA, SP, and SFBT were implemented in practice by presenting intervention materials and session recordings for four YP cases and one carer case and (2) explore how the case study materials/recordings reflect the intervention mechanisms in the SASH logic model. Methods: Each case focused on a different component of the intervention. Intervention materials (TA self-harm diagram and completed SP) and recorded SFBT sessions with four YP and one carer were analysed using a descriptive case study approach. The TA diagram and SP were extracted from medical records. Audio/video recordings of intervention sessions were identified. Recordings of intervention sessions and qualitative interviews were transcribed. Quotes from qualitative interviews with the same participants were included where relevant. Results: Across the four YP cases, some core themes emerged. The role of friendships for young people, particularly at school, was important in both negative and positive ways. Experiencing difficulties with friends at school led to feelings of sadness and stress, which could become overwhelming, leading to thoughts of self-harm (“I just need to hurt myself”), triggering self-harm behaviour. YP described mood changes and signs that they were becoming stressed, which improved their self-awareness and understanding of the link between their feelings and self-harm behaviour. They reflected on what kept them feeling calm and overcoming their fear of burdening others by sharing how they were feeling, as this helped them not to self-harm. They also described difficult feelings stemming from a need to please everyone or needing validation from others. Overcoming these feelings led to less social anxiety and more confidence. This made it easier to go to school and to be more social with friends/student peers, which in turn improved their mood. Conclusions: These case studies demonstrate how YP improved their self-awareness and understanding of the link between feelings and self-harm behaviour and identified personal strategies for managing difficult feelings and situations. The carer case study demonstrates how sessions with carers can facilitate carers better supporting their YP’s mental health. Supporting YP and carers in this way has the potential to reduce the risk of future self-harm. Full article
(This article belongs to the Special Issue Health Risk Behaviours: Self-Injury and Suicide in Young People)
Show Figures

Figure 1

24 pages, 1407 KB  
Article
Modeling and Optimization of Extruded Corn Product Fortification
by Jelena Filipović, Ivica Djalovic, Milenko Košutić, Milica Nićetin, Biljana Lončar, Miloš Radosavljević and Vladimir Filipović
Foods 2026, 15(2), 208; https://doi.org/10.3390/foods15020208 - 7 Jan 2026
Viewed by 114
Abstract
The present study aimed to model and optimize the fortification of corn-based extruded flips with quinoa flour to improve their nutritional, functional, and sensory quality while maintaining desirable technological properties. Corn flour was partially replaced with quinoa flour at levels of 0, 10, [...] Read more.
The present study aimed to model and optimize the fortification of corn-based extruded flips with quinoa flour to improve their nutritional, functional, and sensory quality while maintaining desirable technological properties. Corn flour was partially replaced with quinoa flour at levels of 0, 10, 20, and 30%, and the mixtures were processed using a twin-screw extruder at three screw speeds (350, 500, and 650 rpm). The influence of formulation and mechanical energy input on product quality was evaluated through comprehensive characterization, including bulk density, expansion index, texture, color, chemical composition, mineral profile, amino acid and fatty acid composition, and descriptive sensory attributes. Response surface methodology (RSM) was applied to model the effects of quinoa addition and screw speed on 56 quality responses. The Z-score approach was employed to identify optimal processing conditions. The results showed that from a technological and nutritional perspective, formulations containing 20–30% quinoa processed at medium to high screw speeds (500–650 rpm) provided the most balanced products. Z-score optimization identified that the sample with 20% quinoa extruded at 650 rpm showed a balanced combination of enhanced nutritional characteristics and preserved physical and sensory quality. Full article
(This article belongs to the Section Food Engineering and Technology)
Show Figures

Figure 1

17 pages, 889 KB  
Article
Basil as a Green Alternative to Synthetic Additives in Clean Label Gilthead Sea Bream Patties
by Branislav Šojić, Sandra Zavadlav, Danijela Bursać Kovačević, Nadežda Seratlić, Sanja Vojvodić, Predrag Ikonić, Tatjana Peulić, Nemanja Teslić, Miloš Županjac and Branimir Pavlić
Foods 2026, 15(2), 198; https://doi.org/10.3390/foods15020198 - 6 Jan 2026
Viewed by 134
Abstract
This study investigated the effectiveness of basil (Ocimum basilicum L.) extract obtained by hydrodistillation (EO) and lipid extract (LE) obtained via supercritical fluid extraction in preserving the quality of ground fish patties during refrigerated storage. Gilthead sea bream (Sparus aurata) [...] Read more.
This study investigated the effectiveness of basil (Ocimum basilicum L.) extract obtained by hydrodistillation (EO) and lipid extract (LE) obtained via supercritical fluid extraction in preserving the quality of ground fish patties during refrigerated storage. Gilthead sea bream (Sparus aurata) patties were formulated with varying concentrations of EO and LE and evaluated over three days at 4 °C. The chemical composition of the extracts, analyzed by GC-MS, revealed linalool, eucalyptol, and τ-cadinol as dominant bioactive compounds, with EO richer in monoterpenes and LE in sesquiterpenes. Both extracts significantly reduced lipid oxidation (TBARS) and protein oxidation (thiol content), with the strongest antioxidative effect observed in patties containing 0.150 µL/g of LE. Color parameters (L*, a*, b*, ΔE) were moderately influenced, without adverse effects on product appearance. pH and water activity values remained stable across treatments, while total volatile basic nitrogen (TVB-N) levels confirmed delayed spoilage in extract-treated patties. Results highlight the potential of basil extracts, especially LE obtained by SFE, as effective natural antioxidants in fish-based products. These findings support the development of clean-label, health-promoting products tailored to individual needs, and show that ground fish porridge has promise as a viable material for the production of innovative seafood products. Full article
Show Figures

Figure 1

25 pages, 768 KB  
Article
Emotional Needs in the Face of Climate Change and Barriers for Pro-Environmental Behaviour in Dutch Young Adults: A Qualitative Exploration
by Valesca S. M. Venhof and Bertus F. Jeronimus
Int. J. Environ. Res. Public Health 2026, 23(1), 76; https://doi.org/10.3390/ijerph23010076 - 5 Jan 2026
Viewed by 213
Abstract
Rapid climate change and its anticipated impacts trigger significant worry and distress among vulnerable groups, including young adults. Little is known about how Dutch young adults experience and cope with climate change within their specific social and environmental context. This study examines Dutch [...] Read more.
Rapid climate change and its anticipated impacts trigger significant worry and distress among vulnerable groups, including young adults. Little is known about how Dutch young adults experience and cope with climate change within their specific social and environmental context. This study examines Dutch young people’s emotional responses to climate change, their perceived emotional and psychological needs arising from these experiences, and the barriers they encounter in engaging in pro-environmental behaviour, with the aim of informing public health strategies to better support and empower this vulnerable group. Data were drawn from a large online survey among a representative sample of 1006 Dutch young adults (16–35 years; 51% women). The questionnaire included fixed-answer sections assessing emotional responses to climate change, as well as two open-ended questions exploring participants’ perceptions of their emotional and psychological needs related to climate change and the barriers they perceive to pro-environmental behaviour. Descriptive statistics were used for the fixed-response items, and thematic analysis was applied to the open-ended responses. Many Dutch young adults reported worry and sadness about climate change and its impacts, with approximately one third experiencing feelings of powerlessness. A large percentage of respondents attributed responsibility to large companies, and nearly half indicated that they still had hope for the future. One third (31%) felt that nothing could make them feel better about climate change, and another third (36%) reported to experience no climate-related emotions. Key emotional needs included more action at personal, community, and governmental levels, and more motivating positive news. Almost half (46%) of young adults said they already lived sustainably, while perceived barriers to pro-environmental behaviour were mainly financial (21%), knowledge-related (8%), and time-related (7%). This exploratory study highlights key practical and emotional barriers to pro-environmental behaviour reported by Dutch young adults 16–35, who expressed diverse emotional needs while coping with climate change. The findings underscore the need for a multi-level public health response to climate-related emotions, that simultaneously addresses emotional needs, structural barriers, and opportunities for meaningful engagement. Lowering barriers to pro-environmental behaviour and fostering supportive environments that enable sustainable action among young adults may enhance wellbeing and strengthen their sense of agency. Public health supports this by reducing barriers to pro-environmental behaviour in young adults, through targeted support, clear information, and enabling social and structural conditions that promote wellbeing and sustained engagement. Full article
Show Figures

Figure 1

Back to TopTop