Between Joy and Sympathy: Smiling and Sad Recipient Faces Increase Prosocial Behavior in the Dictator Game
Abstract
1. Introduction
2. Materials and Methods
2.1. Participants
2.2. Experimental Procedure
2.3. Statistical Analyses
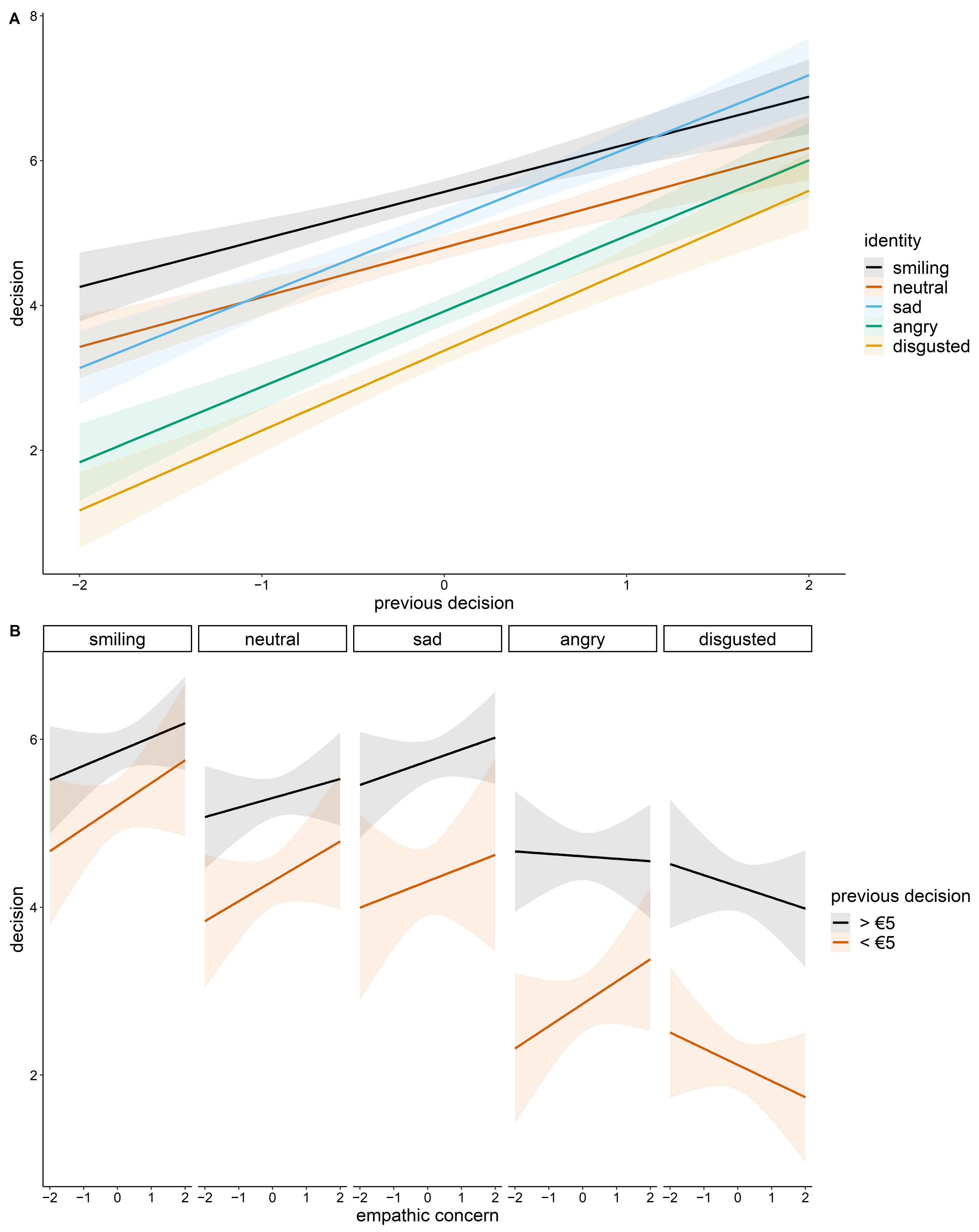
3. Results
3.1. Manipulation Check
3.2. Behavior
4. Discussion
5. Conclusions
Supplementary Materials
Author Contributions
Funding
Institutional Review Board Statement
Informed Consent Statement
Data Availability Statement
Acknowledgments
Conflicts of Interest
References
- Neumann, J.; Morgenstern, O. Game Theory and Economic Behavior; John Wiley and Sons: New York, NY, USA, 1944. [Google Scholar]
- Weiland, S.; Hewig, J.; Hecht, H.; Mussel, P.; Miltner, W.H.R. Neural correlates of fair behavior in interpersonal bargaining. Soc. Neurosci. 2012, 7, 537–551. [Google Scholar] [CrossRef]
- Forsythe, R.; Horowitz, J.L.; Savin, N.; Sefton, M. Fairness in Simple Bargaining Experiments. Games Econ. Behav. 1994, 6, 347–369. [Google Scholar] [CrossRef]
- Rodrigues, J.; Ulrich, N.; Hewig, J. A neural signature of fairness in altruism: A game of theta? Soc. Neurosci. 2014, 10, 192–205. [Google Scholar] [CrossRef] [PubMed]
- Batson, C.D. The Altruism Question: Toward a Social Psychological Answer; Erlbaum: Hillsdale, NJ, USA, 1991. [Google Scholar]
- Batson, C.D. Empathy-Induced Altruistic Motivation; American Psychological Association (APA): Washington, DC, USA, 2010; pp. 15–34. [Google Scholar]
- Krueger, R.F.; Hicks, B.M.; McGue, M. Altruism and Antisocial Behavior: Independent Tendencies, Unique Personality Correlates, Distinct Etiologies. Psychol. Sci. 2001, 12, 397–402. [Google Scholar] [CrossRef]
- Post, S.G. Altruism and Health; Oxford University Press (OUP): Oxford, UK, 2007. [Google Scholar]
- Solnick, S. Gender differences in the ultimatum game. Econ. Inq. 2001, 39, 189–200. [Google Scholar] [CrossRef]
- Solnick, S.J.; Schweitzer, M.E. The Influence of Physical Attractiveness and Gender on Ultimatum Game Decisions. Organ. Behav. Hum. Decis. Process. 1999, 79, 199–215. [Google Scholar] [CrossRef]
- Ma, Q.; Shushu, J.; Jiang, S.; Meng, L. The undermining effect of facial attractiveness on brain responses to fairness in the Ultimatum Game: An ERP study. Front. Neurosci. 2015, 9, 77. [Google Scholar] [CrossRef]
- Boksem, M.A.; De Cremer, D. Fairness concerns predict medial frontal negativity amplitude in ultimatum bargaining. Soc. Neurosci. 2010, 5, 118–128. [Google Scholar] [CrossRef]
- Mussel, P.; Göritz, A.S.; Hewig, J. The Value of a Smile: Facial Expression Affects Ultimatum-Game Responses. Judgm. Decis. Mak. 2013, 8, 381–385. [Google Scholar]
- Mussel, P.; Hewig, J.; Allen, J.J.B.; Coles, M.G.H.; Miltner, W. Smiling faces, sometimes they don’t tell the truth: Facial expression in the ultimatum game impacts decision making and event-related potentials. Psychophysiology 2014, 51, 358–363. [Google Scholar] [CrossRef] [PubMed]
- Terada, K.; Takeuchi, C. Emotional Expression in Simple Line Drawings of a Robot’s Face Leads to Higher Offers in the Ultimatum Game. Front. Psychol. 2017, 8. [Google Scholar] [CrossRef] [PubMed]
- Ben-Ner, A.; Kong, F.; Putterman, L. Share and share alike? Gender-pairing, personality, and cognitive ability as determinants of giving. J. Econ. Psychol. 2004, 25, 581–589. [Google Scholar] [CrossRef]
- Zhao, K.; Smillie, L. The Role of Interpersonal Traits in Social Decision Making. Pers. Soc. Psychol. Rev. 2015, 19, 277–302. [Google Scholar] [CrossRef]
- Ben-Ner, A.; Kramer, A. Personality and altruism in the dictator game: Relationship to giving to kin, collaborators, competitors, and neutrals. Pers. Individ. Differ. 2011, 51, 216–221. [Google Scholar] [CrossRef]
- Fridlund, A.J. Reply to reviews of Human Facial Expression: An Evolutionary View. Contemp. Psychol. 1996, 41, 1153. [Google Scholar] [CrossRef]
- Ekman, P.; Friesen, W.V.; Ellsworth, P. Emotion in the Human Face; Elsevier BV: Amsterdam, The Netherlands, 1972. [Google Scholar]
- Horstmann, G. What do facial expressions convey: Feeling states, behavioral intentions, or actions requests? Emotion 2003, 3, 150–166. [Google Scholar] [CrossRef]
- Reed, L.I.; Zeglen, K.N.; Schmidt, K.L. Facial expressions as honest signals of cooperative intent in a one-shot anonymous Prisoner’s Dilemma game. Evol. Hum. Behav. 2012, 33, 200–209. [Google Scholar] [CrossRef]
- Wout, M.V.T.; Sanfey, A. Friend or foe: The effect of implicit trustworthiness judgments in social decision-making. Cognition 2008, 108, 796–803. [Google Scholar] [CrossRef]
- Seidel, E.-M.; Habel, U.; Kirschner, M.; Gur, R.C.; Derntl, B. The impact of facial emotional expressions on behavioral tendencies in women and men. J. Exp. Psychol. Hum. Percept. Perform. 2010, 36, 500–507. [Google Scholar] [CrossRef] [PubMed]
- Mussel, P.; Hewig, J.; Weiß, M. The reward-like nature of social cues that indicate successful altruistic punishment. Psychophysiology 2018, 55, e13093. [Google Scholar] [CrossRef] [PubMed]
- Weiß, M.; Mussel, P.; Hewig, J. The value of a real face: Differences between affective faces and emojis in neural processing and their social influence on decision-making. Soc. Neurosci. 2020, 15, 255–268. [Google Scholar] [CrossRef]
- Moretti, L.; Di Pellegrino, G. Disgust selectively modulates reciprocal fairness in economic interactions. Emotion 2010, 10, 169–180. [Google Scholar] [CrossRef]
- Raboteg-Saric, Z.; Hoffman, M.L. Empathy and Moral Development: Implications for Caring and Justice. Contemp. Sociol. A J. Rev. 2001, 30, 487. [Google Scholar] [CrossRef]
- Batson, C.D. These Things Called Empathy: Eight Related but Distinct Phenomena. In The Social Neuroscience of Empathy; The MIT Press: Cambridge, MA, USA, 2009; pp. 3–16. [Google Scholar]
- Blair, R. Responding to the emotions of others: Dissociating forms of empathy through the study of typical and psychiatric populations. Conscious. Cogn. 2005, 14, 698–718. [Google Scholar] [CrossRef] [PubMed]
- Davis, M.H. Measuring individual differences in empathy: Evidence for a multidimensional approach. J. Pers. Soc. Psychol. 1983, 44, 113–126. [Google Scholar] [CrossRef]
- Penner, L.A.; Dovidio, J.F.; Piliavin, J.A.; Schroeder, D.A. Prosocial Behavior: Multilevel Perspectives. Annu. Rev. Psychol. 2005, 56, 365–392. [Google Scholar] [CrossRef]
- Zaki, J.; Ochsner, K.N. The neuroscience of empathy: Progress, pitfalls and promise. Nat. Neurosci. 2012, 15, 675–680. [Google Scholar] [CrossRef] [PubMed]
- Preston, S.D.; de Waal, F.B.M. Empathy: Its Ultimate and Proximate Bases. Behav. Brain Sci. 2000, 25, 1–20. [Google Scholar] [CrossRef] [PubMed]
- Eisenberg, N.; Miller, P.A. The relation of empathy to prosocial and related behaviors. Psychol. Bull. 1987, 101, 91–119. [Google Scholar] [CrossRef] [PubMed]
- Batson, C.D.; Fultz, J.; Schoenrade, P.A. Distress and Empathy: Two Qualitatively Distinct Vicarious Emotions with Different Motivational Consequences. J. Pers. 1987, 55, 19–39. [Google Scholar] [CrossRef] [PubMed]
- De Waal, F.B. Putting the Altruism Back into Altruism: The Evolution of Empathy. Annu. Rev. Psychol. 2008, 59, 279–300. [Google Scholar] [CrossRef] [PubMed]
- Farrelly, D.; Moan, E.; White, K.; Young, S. Evidence of an Alternative Currency for Altruism in Laboratory-Based Experiments. Eur. J. Psychol. 2015, 11, 100–111. [Google Scholar] [CrossRef] [PubMed]
- Gummerum, M.; Hanoch, Y. Altruism Behind Bars: Sharing, Justice, Perspective Taking and Empathy Among Inmates. Soc. Justice Res. 2012, 25, 61–78. [Google Scholar] [CrossRef]
- Klimecki, O.M.; Mayer, S.V.; Jusyte, A.; Scheeff, J.; Schönenberg, M. Empathy promotes altruistic behavior in economic interactions. Sci. Rep. 2016, 6, 31961. [Google Scholar] [CrossRef] [PubMed]
- Edele, A.; Dziobek, I.; Keller, M. Explaining altruistic sharing in the dictator game: The role of affective empathy, cognitive empathy, and justice sensitivity. Learn. Individ. Differ. 2013, 24, 96–102. [Google Scholar] [CrossRef]
- Chakrabarti, B.; Bullmore, E.; Baron-Cohen, S. Empathizing with basic emotions: Common and discrete neural substrates. Soc. Neurosci. 2006, 1, 364–384. [Google Scholar] [CrossRef] [PubMed]
- Rand, D.G.; Peysakhovich, A.; Kraft-Todd, G.T.; Newman, G.E.; Wurzbacher, O.; Nowak, M.A.; Greene, J.D. Social heuristics shape intuitive cooperation. Nat. Commun. 2014, 5, 3677. [Google Scholar] [CrossRef]
- Burger, J.M.; Sanchez, J.; Imberi, J.E.; Grande, L.R. The norm of reciprocity as an internalized social norm: Returning favors even when no one finds out. Soc. Influ. 2009, 4, 11–17. [Google Scholar] [CrossRef]
- Pfeiffer, T.; Rutte, C.; Killingback, T.; Taborsky, M.; Bonhoeffer, S. Evolution of cooperation by generalized reciprocity. Proc. R. Soc. B Boil. Sci. 2005, 272, 1115–1120. [Google Scholar] [CrossRef]
- Gray, K.; Ward, A.F.; Norton, M.I. Paying it forward: Generalized reciprocity and the limits of generosity. J. Exp. Psychol. Gen. 2014, 143, 247–254. [Google Scholar] [CrossRef]
- Brooks, H.R.; Sokol-Hessner, P. Quantifying the immediate computational effects of preceding outcomes on subsequent risky choices. Sci. Rep. 2020, 10, 9878. [Google Scholar] [CrossRef] [PubMed]
- Gęsiarz, F.; Crockett, M.J. Goal-directed, habitual and Pavlovian prosocial behavior. Front. Behav. Neurosci. 2015, 9, 1–16. [Google Scholar] [CrossRef]
- Faul, F.; Erdfelder, E.; Lang, A.-G.; Buchner, A. G*Power 3: A flexible statistical power analysis program for the social, behavioral, and biomedical sciences. Behav. Res. Methods 2007, 39, 175–191. [Google Scholar] [CrossRef]
- Paulus, C.M. Der Saarbrücker Persönlichkeitsfragebogen SPF(IRI) Zur Messung von Empathie: Psychometrische Evaluation Der Deutschen Version Des Interpersonal Reactivity Index. 2009. Available online: http://hdl.handle.net/20.500.11780/3343 (accessed on 10 November 2020).
- Langner, O.; Dotsch, R.; Bijlstra, G.; Wigboldus, D.H.J.; Hawk, S.T.; Van Knippenberg, A. Presentation and validation of the Radboud Faces Database. Cogn. Emot. 2010, 24, 1377–1388. [Google Scholar] [CrossRef]
- Small, D.A.; Verrochi, N.M. The Face of Need: Facial Emotion Expression on Charity Advertisements. J. Mark. Res. 2009, 46, 777–787. [Google Scholar] [CrossRef]
- Liu, C.; Chai, J.W.; Yu, R. Negative incidental emotions augment fairness sensitivity. Sci. Rep. 2016, 6, 24892. [Google Scholar] [CrossRef]
- Bekkers, R. Traditional and Health-Related Philanthropy: The Role of Resources and Personality. Soc. Psychol. Q. 2006, 69, 349–366. [Google Scholar] [CrossRef]
- Davis, M.H.; Hall, J.A.; Meyer, M. The First Year: Influences on the Satisfaction, Involvement, and Persistence of New Community Volunteers. Pers. Soc. Psychol. Bull. 2003, 29, 248–260. [Google Scholar] [CrossRef] [PubMed]


| 1 | 2 | 3 | 4 | 5 | 6 | 7 | 8 | 9 | 10 | |
|---|---|---|---|---|---|---|---|---|---|---|
| FS (1) | 0.74 | |||||||||
| EC (2) | 0.42 | 0.63 | ||||||||
| PD (3) | 0.06 | 0.25 | 0.82 | |||||||
| PT (4) | 0.20 | 0.22 | −0.19 | 0.80 | ||||||
| smiling (5) | 0.01 | 0.12 | 0 | −0.02 | 0.96 | |||||
| neutral (6) | 0.07 | 0.12 | −0.15 | 0.05 | 0.61 | 0.96 | ||||
| sad (7) | −0.04 | 0.13 | 0.04 | 0.06 | 0.63 | 0.61 | 0.95 | |||
| angry (8) | −0.06 | 0.06 | −0.07 | 0.07 | 0.25 | 0.69 | 0.57 | 0.95 | ||
| disgusted (9) | −0.07 | −0.04 | −0.13 | 0.08 | 0.28 | 0.62 | 0.52 | 0.81 | 0.97 | |
| generic (10) | −0.04 | 0.01 | 0 | −0.14 | 0.44 | 0.43 | 0.31 | 0.22 | 0.17 | |
| M | 3.48 | 3.70 | 2.70 | 3.60 | 5.59 | 4.89 | 5.20 | 4.00 | 3.50 | 5.98 |
| SD | 0.70 | 0.55 | 0.73 | 0.67 | 1.71 | 1.59 | 1.83 | 1.93 | 2.06 | 2.01 |
| Fixed Effects | Values | SE | t-Value | p-Value |
|---|---|---|---|---|
| (intercept) | 4.64 | 0.14 | 34.11 | <0.001 |
| smiling | 0.73 | 0.15 | 4.94 | <0.001 |
| sad | 0.29 | 0.15 | 1.99 | 0.049 |
| angry | −0.86 | 0.14 | −6.13 | <0.001 |
| disgusted | −1.39 | 0.15 | −9.06 | <0.001 |
| previous decision | 0.12 | 0.04 | 2.93 | 0.003 |
| 0.22 | 0.11 | 1.97 | 0.049 | |
| −0.22 | 0.11 | −2.05 | 0.041 |
Publisher’s Note: MDPI stays neutral with regard to jurisdictional claims in published maps and institutional affiliations. |
© 2021 by the authors. Licensee MDPI, Basel, Switzerland. This article is an open access article distributed under the terms and conditions of the Creative Commons Attribution (CC BY) license (https://creativecommons.org/licenses/by/4.0/).
Share and Cite
Weiß, M.; Hein, G.; Hewig, J. Between Joy and Sympathy: Smiling and Sad Recipient Faces Increase Prosocial Behavior in the Dictator Game. Int. J. Environ. Res. Public Health 2021, 18, 6172. https://doi.org/10.3390/ijerph18116172
Weiß M, Hein G, Hewig J. Between Joy and Sympathy: Smiling and Sad Recipient Faces Increase Prosocial Behavior in the Dictator Game. International Journal of Environmental Research and Public Health. 2021; 18(11):6172. https://doi.org/10.3390/ijerph18116172
Chicago/Turabian StyleWeiß, Martin, Grit Hein, and Johannes Hewig. 2021. "Between Joy and Sympathy: Smiling and Sad Recipient Faces Increase Prosocial Behavior in the Dictator Game" International Journal of Environmental Research and Public Health 18, no. 11: 6172. https://doi.org/10.3390/ijerph18116172
APA StyleWeiß, M., Hein, G., & Hewig, J. (2021). Between Joy and Sympathy: Smiling and Sad Recipient Faces Increase Prosocial Behavior in the Dictator Game. International Journal of Environmental Research and Public Health, 18(11), 6172. https://doi.org/10.3390/ijerph18116172

