Sign in to use this feature.

Years

Between: -

Subjects

remove_circle_outline
remove_circle_outline
remove_circle_outline
remove_circle_outline
remove_circle_outline
remove_circle_outline
remove_circle_outline
remove_circle_outline
remove_circle_outline

Journals

Article Types

Countries / Regions

Search Results (483)

Search Parameters:
Keywords = Hopkinson bar

Order results
Result details
Results per page
Select all
Export citation of selected articles as:
20 pages, 4258 KB  
Article
Study on the Influence Mechanism of Dynamic Properties in PVA-Fiber-Reinforced Rubber Concrete Under High-Temperature- and Erosion-Induced Damage
by Ziyao Zhang, Xiangyang Zhang, Qiaoqiao Chen and Zijian Wu
Buildings 2026, 16(7), 1334; https://doi.org/10.3390/buildings16071334 - 27 Mar 2026
Abstract
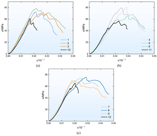
To investigate the deterioration law of the mechanical properties of PVA-fiber-reinforced rubber concrete under the combined action of high-temperature and salt erosion, physical index tests, dynamic mechanical property experiments, and microstructural morphology observations were carried out on specimens subjected to different temperatures (ambient [...] Read more.
To investigate the deterioration law of the mechanical properties of PVA-fiber-reinforced rubber concrete under the combined action of high-temperature and salt erosion, physical index tests, dynamic mechanical property experiments, and microstructural morphology observations were carried out on specimens subjected to different temperatures (ambient temperature, 100 °C, 300 °C) and various solution attacks (water, 5% NaCl, 5% Na2SO4, and 5% NaCl + 5% Na2SO4 mixture). The results show that, after exposure to 300 °C, the PVA fibers melt and the rubber pyrolyzes, since this temperature exceeds their melting points. A residual pore network is formed inside the matrix, and the damage degree of ultrasonic pulse velocity is about 2.3 times that of the 100 °C group. Although salt solution and its crystallization products can physically fill the pores and cause a partial recovery of pulse velocity, this change is mainly due to the alteration of the pore medium and does not represent a substantial restoration of the microstructure. The effects of different salt solutions on dynamic mechanical properties vary significantly: Sulfate erosion improves the dynamic performance significantly at ambient temperature by forming gypsum and ettringite to fill pores, but this strengthening effect disappears after 300 °C. Sodium chloride attack generates Friedel’s salt and consumes C3A, leading to general strength deterioration. In composite salt erosion, the competitive and synergistic effects of Cl and SO42− destabilize erosion products and weaken interfacial bonding, resulting in consistent decreases in dynamic compressive strength and elastic modulus under all temperatures and impact pressures. The strength reduction reaches 66.2% after 300 °C. Microscopic analysis confirms that composite salt erosion leads to the dissolution of ettringite and loose structure, which verifies the synergistic deterioration law of macroscopic properties. This study systematically reveals the damage evolution mechanism of PVA-fiber-reinforced rubber concrete under the coupled action of high-temperature and salt erosion, and provides a theoretical basis for the dynamic bearing capacity evaluation and durability design of concrete structures in such coupled environments. Full article
(This article belongs to the Section Building Materials, and Repair & Renovation)
Show Figures

Figure 1

18 pages, 7843 KB  
Article
Dynamic Mechanical Properties and Constitutive Modeling of Metal Rubber with the Effect of Spring Coil Outer Diameter Under High-Speed Impact Loading
by Weihua Deng, Jinbao Chen and Yushuai Wang
Appl. Sci. 2026, 16(6), 3047; https://doi.org/10.3390/app16063047 - 21 Mar 2026
Viewed by 120
Abstract
To explore the dynamic mechanical performance of metal rubber (MR) under high-speed impact loading, cylindrical solid MR specimens with spring coil outer diameters of 2–4 mm and relative densities of 0.2–0.35 have been prepared, and dynamic compression tests have been carried out utilizing [...] Read more.
To explore the dynamic mechanical performance of metal rubber (MR) under high-speed impact loading, cylindrical solid MR specimens with spring coil outer diameters of 2–4 mm and relative densities of 0.2–0.35 have been prepared, and dynamic compression tests have been carried out utilizing the split Hopkinson pressure bar (SHPB) device at strain rates of 400–1000 s−1. The dynamic stress–strain response of MR has been systematically analyzed, and the influences of strain rate, spring coil outer diameter, and relative density on its dynamic elastic modulus and energy absorption properties have also been quantitatively investigated. The results reveal that the dynamic stress–strain relationship of MR under high-speed impact presents significant nonlinearity and distinct strain rate effect. MR specimens with higher relative density, smaller spring coil outer diameter, or higher strain rate exhibit a larger dynamic elastic modulus, while those with higher relative density, larger spring coil outer diameter, or lower strain rate achieve higher energy absorption efficiency. A modified dynamic constitutive model for MR based on the Sherwood-Frost model has been developed by incorporating strain rate, relative density, and spring coil outer diameter as key influencing variables. The results show that the maximum mean relative error between the predicted and experimental data is less than 20%, indicating a favorable accuracy and reliability of the constitutive model. The proposed model can effectively characterize and predict the dynamic mechanical behavior of MR under high-speed impact loading conditions, providing a reliable theoretical basis for the engineering application of MR in impact-resistant structures. Full article
Show Figures

Figure 1

25 pages, 4781 KB  
Article
Dynamic Compressive Mechanical Properties of Polyvinyl Alcohol Fiber-Reinforced Geopolymer Composites
by Mingyang Li, Qi Liu, Yizhong Tan, Fanfei Dai and Shenghui Wang
Materials 2026, 19(6), 1128; https://doi.org/10.3390/ma19061128 - 13 Mar 2026
Viewed by 248
Abstract
Polyvinyl alcohol (PVA) fibers are commonly added to fiber-reinforced geopolymer composites (FRGC) to enhance their properties; however, systematic research on the dynamic mechanical properties of polyvinyl alcohol fiber-reinforced geopolymer composites (PVA-FRGC) is still required. In this study, an orthogonal experimental design was adopted [...] Read more.
Polyvinyl alcohol (PVA) fibers are commonly added to fiber-reinforced geopolymer composites (FRGC) to enhance their properties; however, systematic research on the dynamic mechanical properties of polyvinyl alcohol fiber-reinforced geopolymer composites (PVA-FRGC) is still required. In this study, an orthogonal experimental design was adopted to investigate the effects of the fly ash/slag ratio, fiber length, and fiber volume content on the dynamic mechanical properties (dynamic compressive strength, fragmentation degree, and energy absorption capacity) of PVA-FRGC. A split Hopkinson pressure bar (SHPB) was used to test the dynamic mechanical properties of the material. The results indicate that the fly ash/slag ratio, fiber length, and fiber volume content all exert significant effects on the dynamic compressive strength and energy absorption capacity of PVA-FRGC. The addition of PVA fibers significantly improves the dynamic compressive strength of PVA-FRGC, which reaches 157.52 MPa, 183.26 MPa, and 210.68 MPa under three different strain rates ranging from 75.4 s−1 to 179.6 s−1, respectively. Although the energy absorption capacity of PVA-FRGC is not significantly improved, the integrity of the specimens after fragmentation is remarkably enhanced. Specifically, under the three load levels, the average particle sizes of PVA-FRGC are 241.43%, 245.04%, and 127.80% higher than those of plain geopolymers, respectively. Considering the comprehensive dynamic mechanical properties, a fly ash/slag ratio of 5:5, a fiber length of 9 mm, and fiber volume content of 2.0% can be regarded as the local optimal mix proportion. Full article
(This article belongs to the Special Issue Advanced Geomaterials and Reinforced Structures (Second Edition))
Show Figures

Figure 1

18 pages, 4235 KB  
Article
Dynamic Fracture Behavior of Weak Layers in Sandstone–Mudstone Interbedded Slopes: An Integrated Experimental and Numerical Simulation Study
by Guocai Zhang, Ying Sun, Sheng Chen, Xue Liu, Xiaohang Tang, Zicheng Zhang and Nan Jiang
Eng 2026, 7(3), 113; https://doi.org/10.3390/eng7030113 - 1 Mar 2026
Viewed by 262
Abstract
To address stability issues induced by dynamic fracture of weak interlayers in sandstone–mudstone interbedded slopes during blasting excavation, this study investigates the Qingnian Hub diversion channel project of the Ping-Lu Canal through an integrated methodology combining field blasting tests, laboratory dynamic rock experiments, [...] Read more.
To address stability issues induced by dynamic fracture of weak interlayers in sandstone–mudstone interbedded slopes during blasting excavation, this study investigates the Qingnian Hub diversion channel project of the Ping-Lu Canal through an integrated methodology combining field blasting tests, laboratory dynamic rock experiments, and numerical simulation validation. Field monitoring captured slope dynamic responses, while ultrasonic testing and Split Hopkinson Pressure Bar (SHPB) dynamic splitting tests determined rock mass mechanical parameters. A high-fidelity 3D numerical model developed in ANSYS/LS-DYNA was validated against experimental data, demonstrating reliability with relative errors in peak particle velocity (PPV) below 20% at most monitoring points. Results reveal that increasing interlayer dip angle reduces fracture length along the lower interface while causing internal oblique cracks to initially lengthen and then shorten, with optimal oblique crack development observed at 10–15°. Conversely, greater interlayer spacing first decreases and then stabilizes lower-interface fracture length, whereas oblique crack length peaks at 4.8 m for a 4 m spacing. Based on 25 parametric simulations, a safety criterion using crack-initiation vibration velocity was established, yielding a predictive model dependent on dip angle and spacing. The derived criterion defines a critical vibration velocity range of 5.6–10.0 cm/s for the studied slope configurations. Compared to existing empirical guidelines that rely solely on peak particle velocity, the proposed criterion innovatively incorporates the controlling influence of geological stratigraphic geometry. This study provides theoretical and practical guidance for optimizing blasting parameters and ensuring slope stability in similar engineering contexts. Full article
(This article belongs to the Section Chemical, Civil and Environmental Engineering)
Show Figures

Figure 1

18 pages, 6476 KB  
Article
On the Adiabatic Shear Band Sensitivity of Extruded Ti-6Al-4V Alloy Under Dynamic Compression Along the Extrusion and Transverse Directions
by Chenxing Zheng, Weikang Fu, Tianyuan Gong, Yingqian Fu and Xinlu Yu
Materials 2026, 19(5), 955; https://doi.org/10.3390/ma19050955 - 1 Mar 2026
Viewed by 278
Abstract
Adiabatic shear banding (ASB) is a critical failure mechanism in titanium alloys subjected to high-strain-rate deformation, and its initiation is strongly influenced by the initial crystallographic texture. The dynamic response and ASB sensitivity of extruded and annealed Ti-6Al-4V (TC4) alloy rods were investigated [...] Read more.
Adiabatic shear banding (ASB) is a critical failure mechanism in titanium alloys subjected to high-strain-rate deformation, and its initiation is strongly influenced by the initial crystallographic texture. The dynamic response and ASB sensitivity of extruded and annealed Ti-6Al-4V (TC4) alloy rods were investigated under dynamic compression of cubic specimens along the extrusion direction (ED) and the transverse direction (TD) at a strain rate of 2500 s−1. Split Hopkinson pressure bar (SHPB) tests combined with digital image correlation (DIC) were employed to obtain the stress–strain response and the evolution of strain localization. A dislocation density-based crystal plasticity finite element model (CPFEM), incorporating the measured texture, was established to elucidate the correlation between texture and ASB behavior. The experimental results show that TD specimens exhibit a yield strength approximately 100 MPa higher than that of ED specimens, while both orientations display comparable post-yield hardening behavior. ASB initiation occurs earlier in TD (compressive strain ~0.13) than in ED (~0.23), indicating greater ASB sensitivity in the TD orientation. The CPFEM successfully reproduces the directional stress–strain responses and the observed localization morphology, enabling mechanistic interpretation in terms of slip activity and thermomechanical coupling. The simulations indicate that ED loading is dominated by prismatic ⟨a⟩ slip, resulting in lower flow stress and more dispersed strain localization. In contrast, TD loading is governed primarily by pyramidal ⟨c + a⟩ slip, leading to elevated flow stress and intensified localization. The higher ASB sensitivity in the TD orientation is therefore attributed to texture-controlled slip-mode partitioning, enhanced thermomechanical coupling, and a more concentrated crystallographic orientation distribution that facilitates intergranular slip transfer. These findings provide guidance for tailoring microtexture to mitigate dynamic failure in titanium alloys subjected to high-strain-rate loading. Full article
(This article belongs to the Section Metals and Alloys)
Show Figures

Graphical abstract

21 pages, 9012 KB  
Article
Experimental Study on Dynamic Mechanical Properties and Failure Characteristics of Dry and Saturated Granite Under Different Strain Rates
by Yingsong Yang, Xiao Qu, Dawei Yin, Aibo Kou, Hongfa Ma, Shouqian Sheng and Faxin Li
Appl. Sci. 2026, 16(5), 2374; https://doi.org/10.3390/app16052374 - 28 Feb 2026
Viewed by 155
Abstract
The stability of deep water-saturated rock masses under dynamic disturbance is crucial for the efficient development of deep geothermal resources. This study focuses on granite as the research object, using the Split Hopkinson Pressure Bar (SHPB) system to investigate the dynamic mechanical properties, [...] Read more.
The stability of deep water-saturated rock masses under dynamic disturbance is crucial for the efficient development of deep geothermal resources. This study focuses on granite as the research object, using the Split Hopkinson Pressure Bar (SHPB) system to investigate the dynamic mechanical properties, energy dissipation, and failure characteristics of dry and saturated granite under impact loading, and to analyze the influence of water on the dynamic mechanical properties of granite. The results show that granite exhibits a Type II stress–strain curve (rebound phenomenon) at low strain rates, while at high strain rates, it exhibits a Type I stress–strain curve. The dynamic mechanical parameters of granite exhibit significant strain rate dependence, with water-saturated granite showing a stronger strain rate sensitivity. The dissipated energy and dissipation coefficient of the granite samples increase linearly and logarithmically, respectively, with the increase in incident energy. The dissipated energy of water-saturated granite is higher than that of dry granite. As the strain rate increases, the failure mode of the granite specimens transitions from splitting to fragmentation, with a more pronounced ductile fracture mode. The degree of fragmentation of water-saturated specimens is greater than that of dry specimens. As the strain rate increases, the difference in fractal dimensions between dry and water-saturated specimens decreases. At high strain rates, the free water within the rock generates inertial effects, meniscus effects, and viscous effects. When the strain rate reaches 124.22 s−1, the strength of the water-saturated specimen matches that of the dry specimen. The research findings provide theoretical support for the safe and efficient development of deep geothermal resources. Full article
(This article belongs to the Special Issue Reservoir Stimulation in Deep Geothermal Reservoir)
Show Figures

Figure 1

27 pages, 11428 KB  
Article
Experimental Investigation on the Fracture Behavior of Basalt Fiber-Reinforced Shotcrete
by Junbo Guo, Wei Shi, Kun Wang, Lingze Li and Dingjun Xiao
Materials 2026, 19(5), 842; https://doi.org/10.3390/ma19050842 - 24 Feb 2026
Viewed by 360
Abstract
Basalt fiber-reinforced concrete is increasingly being used in shotcrete support systems for rock mass excavation engineering due to its superior mechanical properties and durability. Rapid freeze–thaw cycling tests were performed to simulate freeze–thaw conditions in order to meticulously investigate the dynamic and static [...] Read more.
Basalt fiber-reinforced concrete is increasingly being used in shotcrete support systems for rock mass excavation engineering due to its superior mechanical properties and durability. Rapid freeze–thaw cycling tests were performed to simulate freeze–thaw conditions in order to meticulously investigate the dynamic and static fracture behaviors of basalt fiber-reinforced concrete in freeze–thaw environments. Then, utilizing a Split Hopkinson Pressure Bar (SHPB) system and rock testing equipment, dynamic and static fracture tests were performed on developed Mode I, mixed-mode I/II, and Mode II platform Brazilian disk specimens. Under freeze–thaw conditions, the dynamic and static fracture propagation velocities of specimens with diverse crack propagation modes were determined. Based on this, LS-DYNA numerical simulations were used to perform inverse evaluations of crack propagation processes in specimens with varied fracture modes and Mode I fracture specimens with variable basalt fiber contents. We were able to calculate the effective stress field distributions during crack propagation with dynamic loading. The data indicate that different fracture modes present significantly distinct crack propagation issues. Pure Mode I fracture specimens exhibit the most straightforward crack propagation, with a maximum effective stress of roughly 25 MPa after crack penetration. With a maximum effective stress of around 31 MPa following crack penetration, the mixed-mode I/II fracture specimens exhibit considerable propagation difficulties. Mode II fracture specimens are the hardest to propagate after crack penetration because of their maximum effective stress of 64 MPa. Additionally, the optimal basalt fiber content was determined to be in the range of 0.35% to 0.45%, at which the concrete exhibited the best fracture toughness and freeze–thaw resistance. Furthermore, the evolution characteristics of the displacement of the crack tip opening under different fracture modes are revealed. A theoretical basis for stability analysis and design of excavation engineering structures under dynamic stress and associated freeze–thaw conditions is provided by the study’s findings. Full article
Show Figures

Figure 1

22 pages, 5587 KB  
Article
Study on Mechanical Response of Composite Rock Mass with Different Coal Seam Dip Angles Under Impact Load
by Tao Qin, Yue Song, Yuan Zhang, Yanwei Duan and Gang Liu
Processes 2026, 14(5), 738; https://doi.org/10.3390/pr14050738 - 24 Feb 2026
Viewed by 286
Abstract
To investigate the dynamic instability mechanism of surrounding rock in deep, rockburst-prone coal seams, a Split Hopkinson Pressure Bar (SHPB) system was utilized to carry out dynamic impact compression tests on Rock–Coal–Rock (RCR) composites featuring four different seam dip angles, namely 0°, 15°, [...] Read more.
To investigate the dynamic instability mechanism of surrounding rock in deep, rockburst-prone coal seams, a Split Hopkinson Pressure Bar (SHPB) system was utilized to carry out dynamic impact compression tests on Rock–Coal–Rock (RCR) composites featuring four different seam dip angles, namely 0°, 15°, 30°, and 45°. We systematically analyze incorporating high-speed imaging, the mechanical properties, energy evolution, and progressive failure characteristics of the composites under various strain rates. The results indicate that the dynamic compressive strength and elastic modulus of the composites exhibit a significant strain-rate hardening effect. With the increase in the dip angle of the coal seam, the compressive strength of the specimen decreases accordingly. Specifically, the range of 15–30° is identified as a critical transition zone where the failure mode shifts from matrix-dominated bearing to interfacial slip instability. At an impact pressure of 0.12 MPa, the compressive strength drops by 36.9% within this interval. Furthermore, the energy distribution is profoundly modulated by the geometric characteristics of the interface. As the dip angle increases, the degree of wave impedance mismatch at the coal–rock interface intensifies, leading to a sharp rise in the reflected energy ratio (up to 80.7%) and a pronounced attenuation of transmitted energy. Notably, the dissipation energy per unit volume increases with the dip angle, revealing that interfacial sliding and frictional work become the primary energy dissipation pathways under large-inclination conditions. High-speed camera monitoring confirms that the instability mechanism shifts from axial splitting/tension to an interfacial shear-slip mode as the dip angle increases. These findings provide a scientific reference for the stability evaluation of roadway surrounding rock and the prevention of dynamic disasters. Full article
Show Figures

Figure 1

29 pages, 11858 KB  
Article
Study on a Damage Constitutive Model for Surrounding Rock Under the Coupling Effects of Initial Damage and Cyclic Blasting
by Kaiyi Xie and Bo Wu
Appl. Sci. 2026, 16(4), 2151; https://doi.org/10.3390/app16042151 - 23 Feb 2026
Viewed by 382
Abstract
To reveal the cumulative damage mechanism of surrounding rock with initial damage under cyclic blasting loads during tunnel reconstruction and expansion, this study combines theoretical modeling, split Hopkinson pressure bar (SHPB) tests, and three-dimensional numerical simulation. First, based on the Z-W-T model framework, [...] Read more.
To reveal the cumulative damage mechanism of surrounding rock with initial damage under cyclic blasting loads during tunnel reconstruction and expansion, this study combines theoretical modeling, split Hopkinson pressure bar (SHPB) tests, and three-dimensional numerical simulation. First, based on the Z-W-T model framework, a dynamic damage constitutive model capable of uniformly describing the coupling effects of initial damage and dynamic disturbance is constructed by introducing a damage evolution equation based on the Weibull distribution and an initial damage variable D0. Second, SHPB impact tests are conducted on sandstone specimens with different D0 values under various strain rates to obtain their dynamic mechanical responses. The model parameters are calibrated and its validity is verified. Finally, the validated model is implemented in ABAQUS via a user material subroutine to establish a 3D finite element model of the tunnel reconstruction and expansion, and a numerical test with seven cyclic blasting events is performed. The results show that the dynamic compressive strength of the surrounding rock increases significantly with increasing strain rate, but D0 has a clear weakening effect, which is amplified under high strain rates. Numerical simulation reveals that the damage in the surrounding rock accumulates nonlinearly with the number of blasts. The incremental expansion of the damage zone after the first blast is 1.51 m, decreasing to 0.03 m by the seventh blast, indicating a successively diminishing incremental expansion per blast. This reflects the saturation characteristics of damage accumulation and the diminishing driving effect of subsequent blasts due to energy dissipation and compaction within the already-damaged zone. The study provides key theoretical and analytical tools for evaluating the long-term stability of surrounding rock with initial damage under cyclic blasting. Full article
Show Figures

Figure 1

22 pages, 9076 KB  
Article
Mechanical Behavior and Micromechanical Failure Mechanisms of Pre-Cracked Rocks Under Impact Loading
by Yucheng Li, Haoshan Liu, Zhiyu Zhang and Yonghui Huang
Appl. Sci. 2026, 16(4), 1967; https://doi.org/10.3390/app16041967 - 16 Feb 2026
Viewed by 231
Abstract
To elucidate how pre-crack inclination affects the dynamic mechanical response, failure modes, and energy evolution of rocks, uniaxial impact compression tests were conducted on Φ50 mm Baima Iron Mine magnetite specimens with varying pre-crack angles using a split Hopkinson pressure bar (SHPB) [...] Read more.
To elucidate how pre-crack inclination affects the dynamic mechanical response, failure modes, and energy evolution of rocks, uniaxial impact compression tests were conducted on Φ50 mm Baima Iron Mine magnetite specimens with varying pre-crack angles using a split Hopkinson pressure bar (SHPB) system. The experiments were integrated with PFC2D discrete element simulations to investigate crack propagation and stress field characteristics. The results demonstrate that all specimens maintained dynamic stress equilibrium under impact loading. Crack inclination significantly influenced the dynamic stress–strain response: specimens with 0°~30°cracks exhibited gradual post-peak stress decay, indicating ductile behavior, while specimens with larger inclinations (≥45°) displayed pronounced brittle failure. Dynamic compressive strength followed a “U-shaped” trend with crack angle, reaching a minimum at 45°, whereas 0°and 90°specimens exhibited similar strength. Failure modes transitioned from axial splitting to wing-crack dominance, while anti-wing and shear cracks decreased significantly with increasing crack angle. Energy analysis indicated that reflected energy decreased and transmitted energy increased with increasing crack angle. Numerical simulations reproduced the experimental macroscopic failure patterns accurately, revealing the underlying mechanisms of crack-tip coalescence and stress concentration shifts as a function of crack inclination. These findings offer insights into the dynamic failure mechanisms of jointed rocks and provide guidance for engineering safety assessments. Full article
(This article belongs to the Section Civil Engineering)
Show Figures

Figure 1

17 pages, 4719 KB  
Article
Experimental and Numerical Study on the Mechanical Properties of Alumina Ceramics Based on a Modified SHPB Setup
by Shenglin Li, Baozhen Chen, Yuanpeng Sun, Yan Wang, Keyao Xie and Xuepeng Chen
Ceramics 2026, 9(2), 25; https://doi.org/10.3390/ceramics9020025 - 16 Feb 2026
Viewed by 405
Abstract
In response to the high stiffness and hardness levels of alumina ceramic materials, the traditional SHPB (split Hopkinson pressure bar) experimental setup has been modified. This study analyzes the propagation patterns of stress waves in the SHPB system after adding cushion blocks. Experiments [...] Read more.
In response to the high stiffness and hardness levels of alumina ceramic materials, the traditional SHPB (split Hopkinson pressure bar) experimental setup has been modified. This study analyzes the propagation patterns of stress waves in the SHPB system after adding cushion blocks. Experiments demonstrated that the modified SHPB apparatus can effectively perform dynamic mechanical property tests on alumina ceramics. The JH-2 constitutive damage model parameters for alumina ceramics were determined based on theoretical analysis and static/dynamic experimental data. An LS-DYNA numerical model for the impact compression simulation of alumina ceramics was established to investigate the effects of stress waves with three wavelengths (300 mm, 400 mm, and 600 mm) at the same impact velocity, along with the dynamic fragmentation process. The results indicate that alumina ceramics exhibit strain rate hardening effects in compressive strength, failure strain, and elastic modulus under high strain rates; compressive strength and failure strain show positive correlations with stress wave wavelength under high strain rates; and microcracks initially nucleate preferentially along grain boundaries on the end surfaces, forming annular damage zones symmetrically about the central axis. This study presents a modified SHPB setup that improves test capability for high-hardness ceramics, rather than overturning classical methodologies. The absence of a direct comparison with unmodified setups stems from the known limitations of conventional systems in handling small-diameter alumina specimens without bar damage—a challenge addressed proactively in this work through impedance-matched cushion blocks and refined data processing. Full article
Show Figures

Graphical abstract

26 pages, 9457 KB  
Article
Experimental Studies of the Mechanical Properties and Synergy Mechanism of Dispersed Fiber Mixture Reinforcement in ECC with a Multiscale Coral Sand Matrix
by Yi Zhong, Yiling Pang, Jiabo Chen, Zhangzhan Li, Xinheng Huang, Sheng He, Yuejing Luo and Peng Yu
Buildings 2026, 16(4), 717; https://doi.org/10.3390/buildings16040717 - 10 Feb 2026
Viewed by 267
Abstract
This study investigates seawater coral sand engineering cementitious composites (SC-ECCs) characterized by multi-crack propagation and strain-hardening properties, utilizing seawater and coral sand as the primary matrix materials. The research systematically evaluates the interactions between polyethylene (PE), co-polyoxymethylene (POM), calcium carbonate whiskers (CW), and [...] Read more.
This study investigates seawater coral sand engineering cementitious composites (SC-ECCs) characterized by multi-crack propagation and strain-hardening properties, utilizing seawater and coral sand as the primary matrix materials. The research systematically evaluates the interactions between polyethylene (PE), co-polyoxymethylene (POM), calcium carbonate whiskers (CW), and basalt fiber (BF). Quasi-static mechanical tests and split Hopkinson pressure bar (SHPB) dynamic impact experiments were conducted to analyze fiber bridging characteristics, dynamic stress–strain behaviors, and failure morphologies. The results indicate that while the PE-BF hybrid system optimized static tensile performance with a maximum strain capacity of 7.5%, and the multiscale fiber system delivered superior compressive and impact capabilities. Specifically, the multiscale configuration achieved a quasi-static compressive strength of 119 MPa, representing a 33% improvement over the single-doped PE control group. Under high-strain-rate impact loading, the multiscale reinforced HSC-ECC exhibited outstanding impact resistance, reaching a peak dynamic compressive strength of approximately 160 MPa—28% higher than the control group. These findings demonstrate that multiscale fiber reinforcement significantly enhances energy absorption and damage control, providing a robust technical basis for the application of SC-ECC in marine infrastructure subjected to impact loads. Full article
Show Figures

Figure 1

24 pages, 8964 KB  
Article
Experimental Study on Wave Propagation Across Saturated Rock with Different Contact Area Ratios of Joints Under Combined Static–Dynamic Loading
by Yunmin Wang, Xin Liu, Xunjie Hu, Zhenyang Xu and Hongliang Tang
Appl. Sci. 2026, 16(4), 1704; https://doi.org/10.3390/app16041704 - 9 Feb 2026
Viewed by 234
Abstract
Underground saturated jointed rock is prone to engineering geohazards under the combined effects of in situ stress and dynamic loading. A modified split Hopkinson pressure bar (SHPB) system was used to conduct dynamic loading tests on artificially fabricated saturated jointed rocks. The effects [...] Read more.
Underground saturated jointed rock is prone to engineering geohazards under the combined effects of in situ stress and dynamic loading. A modified split Hopkinson pressure bar (SHPB) system was used to conduct dynamic loading tests on artificially fabricated saturated jointed rocks. The effects of joint matching coefficient (JMC) and confining pressure on the dynamic strength, deformation characteristics, energy evolution, and stress wave propagation of the specimens were investigated. The test results show that the dynamic compressive strength and stiffness of saturated jointed rocks increase with the increase in JMC, but the compressive strength is still lower than the typical dynamic strength range. Rock damage mainly occurs at the joint location, and the damage mode is dominated by tensile fracture. In terms of energy, the energy dissipation rate of the rock decreases with decreasing JMC and increasing confining pressure. The propagation of stress waves is mainly affected by the coupling of JMC and three-dimensional static stress, which is manifested as a transition from a rapidly changing phase to an unstable changing phase, a process accompanied by an energy distribution mechanism. These insights fill a gap in the mechanical response of saturated jointed rocks under complex loading conditions underground and help predict the risk of dynamic instability in underground engineering and mining operations. Full article
Show Figures

Figure 1

16 pages, 2368 KB  
Article
Mechanical Properties, Acoustic Emission (AE), and Electromagnetic Radiation (EMR) Characteristics of Sandstone with Different Water Contents Under Impact Loading
by Yonghong Liu, Fujun Zhao, Qiuhong Wu and Zhouyuan Ye
Water 2026, 18(3), 410; https://doi.org/10.3390/w18030410 - 4 Feb 2026
Viewed by 345
Abstract
To analyze the characteristics of acoustic emission (AE) and electromagnetic radiation (EMR) signals in specimens with different water contents during impact loading, impact tests were conducted on sandstone under dry, natural, and saturated conditions using the split Hopkinson pressure bar (SHPB) system. The [...] Read more.
To analyze the characteristics of acoustic emission (AE) and electromagnetic radiation (EMR) signals in specimens with different water contents during impact loading, impact tests were conducted on sandstone under dry, natural, and saturated conditions using the split Hopkinson pressure bar (SHPB) system. The results show that water reduces the dynamic compressive strength and elastic modulus of sandstone, changes the failure mode from tensile failure to tensile-shear failure, and increases the amount of small-sized fragments after failure. AE and EMR signals effectively reflect the entire deformation process of specimens with different water contents under impact loading. In the elastic stage, only EMR signals appear, indicating that EMR is more sensitive to crack generation. In the yield stage, the AE signal count and energy increase sharply, indicating that the response to specimen failure is better. By comparing AE and EMR signals at different stages, it was found that water inhibits both the propagation and energy of AE and EMR signals. The damage factor D, quantified by AE and EMR counts, accurately represents the damage suffered by specimens with different water contents during impact loading. This study significantly advances the understanding of failure mechanisms in specimens with varying water contents and contributes to practical engineering monitoring of water-bearing rock mass stability. Full article
Show Figures

Figure 1

23 pages, 6886 KB  
Article
Degradation Law and Constitutive Model of Dynamic Mechanical Properties of Sisal Fiber-Reinforced Coral Aggregate Concrete Under Marine Semi-Submerged Environment
by Yi Zhong, Xinxiao Liang, Yefeng Tang, Lili Zhang, Zikang Guo, Sheng He, Yuejing Luo and Peng Yu
Buildings 2026, 16(3), 520; https://doi.org/10.3390/buildings16030520 - 27 Jan 2026
Cited by 1 | Viewed by 337
Abstract
The durability of coral concrete in marine tidal zones is a critical concern due to the coupling effects of impact loads and aggressive ion erosion. This study investigates the dynamic mechanical degradation of Sisal Fiber-Reinforced Coral Aggregate Concrete (SFCAC) under a semi-submerged environment, [...] Read more.
The durability of coral concrete in marine tidal zones is a critical concern due to the coupling effects of impact loads and aggressive ion erosion. This study investigates the dynamic mechanical degradation of Sisal Fiber-Reinforced Coral Aggregate Concrete (SFCAC) under a semi-submerged environment, focusing on the interplay between fiber bridging and corrosion evolution. Split Hopkinson Pressure Bar (SHPB) tests were conducted on specimens with varying fiber dosages (0–6 kg/m3) and erosion durations (0–120 days). Quantitative results indicate that while the addition of sisal fibers had a limited effect on increasing the peak impact-compression strength, it significantly modified the failure characteristics. The dynamic compressive strength exhibited a non-linear trend, peaking at 30 days due to pore filling. However, after 120 days, the strength of the Plain Coral Concrete (SF0) deteriorated to 70.84 MPa, while the 6 kg/m3 fiber-reinforced group (SF6) maintained a higher residual strength of 77.63 MPa. Crucially, although the 6 kg/m3 specimens still suffered crushing failure under high strain rates, the fibers effectively mitigated catastrophic shattering by holding the fragments together, exhibiting superior post-peak energy absorption compared to the pulverized plain matrix. Microscopic analysis (SEM) revealed that although the hydrophilic nature of sisal fibers accelerated ion transport (leading to Friedel’s salt and gypsum formation), their physical bridging effect counteracted the corrosion-induced brittleness. Collectively, these findings provide a theoretical basis for the durability design of SFCAC structures in severe marine splash zones and offer new insights into utilizing sustainable, locally sourced materials for island engineering. Full article
Show Figures

Figure 1

Back to TopTop