Fracture Analysis of Ultrahigh-Strength Steel Based on Split Hopkinson Pressure Bar Test
Abstract
:1. Introduction
2. Experiment
2.1. Materials of Specimen
2.2. Impact Test Method
3. Results and Analysis
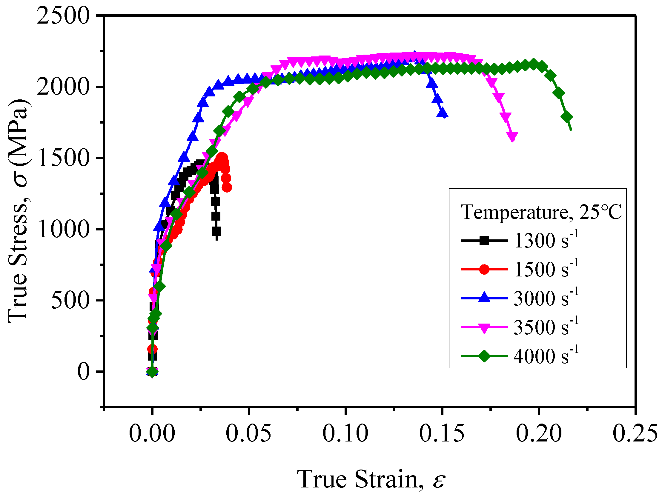
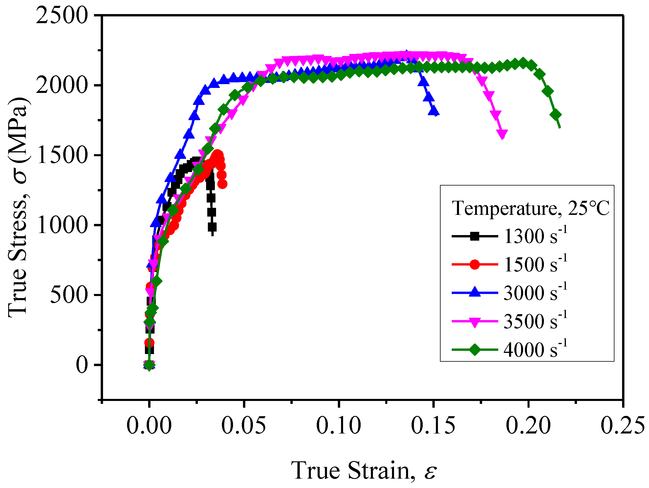
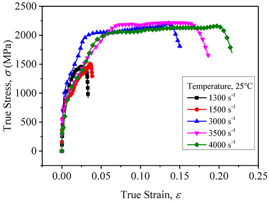
3.1. Severe Plastic Deformation
3.2. Cracks
3.3. Fracture
4. Conclusions
- (1)
- Under the condition of high-strain-rate (103 s−1) deformation, the plastic flow stress of 45CrNiMoVA steel shows the characteristics of an equilibrium of strain hardening and strain softening. Near the impact-loading end face, the 20–30 μm-thick local severe plastic deformation layer is an important reason for crack initiation and propagation. The parts should not be subjected to the combination of forward loading and shear loading at the same time. This complex loading environment may lead to the early failure of the parts.
- (2)
- The fracture morphology of 45CrNiMoVA steel under impact loading consists of a strain-controlled fiber region, normal-stress-controlled quasi-cleavage radiation region, and shear-stress-controlled ductile shear lip. In the study, the impact fracture toughness was reduced by 43.6%, which could lead to quasi-cleavage fracture; hence, this must be paid attention to in the process of material preparation, part design, and manufacturing. It is necessary to avoid introducing surface damage during machining, which may accelerate the failure of parts.
Author Contributions
Funding
Data Availability Statement
Acknowledgments
Conflicts of Interest
References
- Guo, P.; Deng, L.; Wang, X.Y.; Li, J.J. Modelling of dynamic recrystallization kinetics of 300M steel at high strain rates during hot deformation. Sci. China Technol. Sci. 2019, 62, 1534–1544. [Google Scholar] [CrossRef]
- Pokrovskii, A.M.; Dubin, D.A.; Vdovin, D.S. Fatigue-Crack Propagation in Torsional Shafts within the Suspension of High-Speed Caterpillar Vehicles. Russ. Eng. Res. 2019, 39, 548–555. [Google Scholar] [CrossRef]
- Zhu, S.; Liu, Q.; Peng, W.; Zhang, X. Computational-experimental approaches for fatigue reliability assessment of turbine bladed disks. Int. J. Mech. Sci. 2018, 142, 502–517. [Google Scholar] [CrossRef]
- Magliaro, J.; Altenhof, W. Energy absorption mechanisms and capabilities for magnesium extrusions under impact. Int. J. Mech. Sci. 2020, 179, 105667. [Google Scholar] [CrossRef]
- Hu, X.; Xie, L.; Gao, F.; Xiang, J. On the Development of Material Constitutive Model for 45CrNiMoVA Ultra-High-Strength Steel. Metals 2019, 9, 374. [Google Scholar] [CrossRef] [Green Version]
- Guo, F.; Fei, Q.; Zhang, P.; Li, Y.; Gupta, N. Dynamic shear fracture behaviors and “pseudo-plastic” constitutive model of carbon/carbon composite pins. Int. J. Mech. Sci. 2020, 187, 105903. [Google Scholar] [CrossRef]
- Qin, H.; Tang, X.Y.; Yao, W.Q.; Wu, F.Q. Fracture and Failure Mechanism Analysis of the 45CrNiMoVA Gear. Key Eng. Mater. 2016, 723, 349–353. [Google Scholar] [CrossRef]
- Rakvag, K.G.; Boervik, T.; Westermann, I.; Hopperstad, O.S. An experimental study on the deformation and fracture modes of steel projectiles during impact. Mater. Des. 2013, 51, 242–256. [Google Scholar] [CrossRef] [Green Version]
- Yang, X.; Zhang, B. Material embrittlement in high strain-rate loading. Int. J. Extreme Manuf. 2019, 1, 022003. [Google Scholar] [CrossRef]
- Zhang, B.; Yin, J. The “skin effect” of subsurface damage distribution in materials subjected to high-speed machining. Int. J. Extreme Manuf. 2019, 1, 012007. [Google Scholar] [CrossRef]
- Liu, B.; Guedes Soares, C. Effect of strain rate on dynamic responses of laterally impacted steel plates. Int. J. Mech. Sci. 2019, 160, 307–317. [Google Scholar] [CrossRef]
- Wang, B.; Liu, Z.; Su, G.; Song, Q.; Ai, X. Investigations of critical cutting speed and ductile-to-brittle transition mechanism for workpiece material in ultra-high speed machining. Int. J. Mech. Sci. 2015, 104, 44–59. [Google Scholar] [CrossRef]
- Hu, D.; Meng, K.; Jiang, H. Experimental Investigation of Dynamic Properties of AerMet 100 Steel. Procedia Eng. 2015, 99, 1459–1464. [Google Scholar] [CrossRef] [Green Version]
- Singh, N.K.; Cadoni, E.; Singha, M.K.; Gupta, N.K. Dynamic Tensile and Compressive Behaviors of Mild Steel at Wide Range of Strain Rates. J. Eng. Mech. 2013, 139, 1197–1206. [Google Scholar] [CrossRef]
- Ghomi, H.M.; Odeshi, A.G. The effects of microstructure, strain rates and geometry on dynamic impact response of a carbon–manganese steel. J. Mater. Sci. Eng. A 2012, 532, 308–315. [Google Scholar] [CrossRef]
- Ren, J.; Xu, Y.; Zhao, X.; Zhao, P. Dynamic mechanical behaviors and failure thresholds of ultra-high strength low-alloy steel under strain rate 0.001/s to 106/s. J. Mater. Sci. Eng. A 2018, 719, 178–191. [Google Scholar] [CrossRef]
- Harding, I.; Mouton, I.; Gault, B.; Kumar, K.S. Microstructural Evolution in an Fe-10Ni-0.1C Steel During Heat Treatment and High Strain-Rate Deformation. Metall. Mater. Trans. A 2020, 51, 5056–5076. [Google Scholar] [CrossRef]
- Hao, Y.; Liu, J.; Li, J.; Li, S.; Wang, G. Investigation on dynamic properties and failure mechanisms of Ti-47Al-2Cr-2Nb alloy under uniaxial dynamic compression at a temperature range of 288 K-773 K. J. Alloys Compd. 2015, 649, 122–127. [Google Scholar]
- Nesterenko, V.F.; Meyers, M.A.; LaSalvia, J.C.; Bondar, M.P.; Chen, Y.J.; Lukyanov, Y.L. Shear localization and recrystallization in high-strain, high-strain-rate deformation of tantalum. J. Mater. Sci. Eng. A 1997, 229, 23–41. [Google Scholar] [CrossRef]
- Krüger, L.; Schwarz, F.; Martin, U.; Roven, H.J. Strain rate and temperature effects on the flow behavior and microstructure of X2CrNiMoN22-5-3 duplex stainless steel. J. Mater. Sci. Eng. A 2014, 592, 6–11. [Google Scholar] [CrossRef]
- Zhao, W.; Liu, D.; Chiang, R.; Qin, H.; Zhang, X.; Zhang, H.; Liu, J.; Ren, Z.; Zhang, R.; Doll, G.L.; et al. Effects of ultrasonic nanocrystal surface modification on the surface integrity, microstructure, and wear resistance of 300M martensitic ultra-high strength steel. J. Mater. Process. Technol. 2020, 285, 116767. [Google Scholar] [CrossRef]
- Zhao, W.; Liu, D.; Zhang, X.; Zhou, Y.; Zhang, R.; Zhang, H.; Ye, C. Improving the fretting and corrosion fatigue performance of 300M ultra-high strength steel using the ultrasonic surface rolling process. Int. J. Fatigue 2019, 121, 30–38. [Google Scholar] [CrossRef]
- Qi, X.; Du, L.; Dong, Y.; Misra, R.D.K.; Du, Y.; Wu, H.; Gao, X. Fracture toughness behavior of low-C medium-Mn high-strength steel with submicron-scale laminated microstructure of tempered martensite and reversed austenite. J. Mater. Sci. 2019, 54, 12095–12105. [Google Scholar] [CrossRef]
- Das, A.; Chowdhury, T.; Tarafder, S. Ductile fracture micro-mechanisms of high strength low alloy steels. Mater. Des. (1980–2015) 2014, 54, 1002–1009. [Google Scholar] [CrossRef]
- Gronostajski, Z.; Niechajowicz, A.; Kuziak, R.; Krawczyk, J.; Polak, S. The effect of the strain rate on the stress- strain curve and microstructure of AHSS. J. Mater. Process. Technol. 2017, 242, 246–259. [Google Scholar] [CrossRef]
- Khodabakhshi, F.; Farshidianfar, M.H.; Gerlich, A.P.; Nosko, M.; Trembosova, V.; Khajepour, A. Microstructure, strain-rate sensitivity, work hardening, and fracture behavior of laser additive manufactured austenitic and martensitic stainless steel structures. Mater. Sci. Eng. A 2019, 756, 545–561. [Google Scholar] [CrossRef]
- Wang, B.; Duan, Q.Q.; Zhang, P.; Zhang, Z.J.; Li, X.W.; Zhang, Z.F. Investigation on the cracking resistances of different ageing treated 18Ni maraging steels. Mater. Sci. Eng. A 2020, 771, 138553. [Google Scholar] [CrossRef]
- Chen, F.; Zhang, Y.; Lv, X.; Ma, D. Determination of dynamic fracture toughness of 45CrNiMoVA steel. Ordnance Mater. Sci. Eng. 1990, 01, 13–18. [Google Scholar]
- Sakai, T.; Belyakov, A.; Kaibyshev, R.; Miura, H.; Jonas, J.J. Dynamic and post-dynamic recrystallization under hot, cold and severe plastic deformation conditions. Prog. Mater. Sci. 2014, 60, 130–207. [Google Scholar] [CrossRef] [Green Version]
- Chen, Z.H.; Chan, L.C.; Lee, T.C.; Tang, C.Y. An investigation on the formation and propagation of shear band in fine-blanking process. J. Mater. Process. Technol. 2003, 138, 610–614. [Google Scholar] [CrossRef]
- Zhang, Y.; Zhan, D.; Qi, X.; Jiang, Z. Effect of tempering temperature on the microstructure and properties of ultrahigh-strength stainless steel. J. Mater. Sci. Technol. 2019, 35, 1240–1249. [Google Scholar] [CrossRef]
- Dekhtyar, A.I.; Mordyuk, B.N.; Savvakin, D.G.; Bondarchuk, V.I.; Moiseeva, I.V.; Khripta, N.I. Enhanced fatigue behavior of powder metallurgy Ti–6Al–4V alloy by applying ultrasonic impact treatment. Mater. Sci. Eng. A 2015, 641, 348–359. [Google Scholar] [CrossRef]
- Pavan, M.; Furfari, D.; Ahmad, B.; Gharghouri, M.A.; Fitzpatrick, M.E. Fatigue crack growth in a laser shock peened residual stress field. Int. J. Fatigue 2019, 123, 157–167. [Google Scholar] [CrossRef]
- Wang, Y.; Yuan, L.; Zhang, S.; Sun, C.; Wang, W.; Yang, G.; Li, Q.; Wei, Y. The influence of combined gradient structure with residual stress on crack-growth behavior in medium carbon steel. Eng. Fract. Mech. 2019, 209, 369–381. [Google Scholar] [CrossRef] [Green Version]
- Thompson, A.W.; Ashby, M.F. Fracture surface micro-roughness. Scr. Mater. 1984, 18, 127–130. [Google Scholar] [CrossRef]
- Rice, J.R.; Thomson, R. Ductile versus brittle behavior of crystals. Philos. Mag. 1974, 29, 73–97. [Google Scholar] [CrossRef]
- Broek, D. Elementary Engineering Fracture Mechanics; Springer: Dordrecht, The Netherlands, 1978. [Google Scholar]
- Qin, E.W.; Lu, L.; Tao, N.R.; Tan, J.; Lu, K. Enhanced fracture toughness and strength in bulk nanocrystalline Cu with nanoscale twin bundles. Acta Mater. 2009, 57, 6215–6225. [Google Scholar] [CrossRef]
- Stüwe, H.P. The work necessary to form a ductile fracture surface. Eng. Fract. Mech. 1980, 13, 231–236. [Google Scholar] [CrossRef]
- Srinivasan, K.; Huang, Y.; Kolednik, O.; Siegmund, T. The size dependence of micro-toughness in ductile fracture. J. Mech. Phys. Solids 2008, 56, 2707–2726. [Google Scholar] [CrossRef]












| C | Cr | Ni | Mo | V | Si | Mn | S | P |
|---|---|---|---|---|---|---|---|---|
| 0.42–0.49 | 0.80–1.1 | 1.3–1.8 | 0.20–0.30 | 0.10–0.20 | 0.17–0.37 | 0.50–0.80 | ≤0.015 | ≤0.02 |
| (GPa) | (%) | ||||
|---|---|---|---|---|---|
| 2120 | 1639 | 175 | 11 | 27.3 | 41.8 |
| (GPa) | (mm) | |||||
|---|---|---|---|---|---|---|
| 11 | 175 | 1639 | 0.61 | 2 | 41.8 | 10.48 |
| (s−1) | (MPa) | (GPa) | |||||
|---|---|---|---|---|---|---|---|
| >4000 | 2161 | 2.17 | 236.8 | 2.17 | 1 | 23.56 | 41.8 |
Publisher’s Note: MDPI stays neutral with regard to jurisdictional claims in published maps and institutional affiliations. |
© 2022 by the authors. Licensee MDPI, Basel, Switzerland. This article is an open access article distributed under the terms and conditions of the Creative Commons Attribution (CC BY) license (https://creativecommons.org/licenses/by/4.0/).
Share and Cite
Xiao, S.; Luan, X.; Liang, Z.; Wang, X.; Zhou, T.; Ding, Y. Fracture Analysis of Ultrahigh-Strength Steel Based on Split Hopkinson Pressure Bar Test. Metals 2022, 12, 628. https://doi.org/10.3390/met12040628
Xiao S, Luan X, Liang Z, Wang X, Zhou T, Ding Y. Fracture Analysis of Ultrahigh-Strength Steel Based on Split Hopkinson Pressure Bar Test. Metals. 2022; 12(4):628. https://doi.org/10.3390/met12040628
Chicago/Turabian StyleXiao, Shihong, Xiaosheng Luan, Zhiqiang Liang, Xibin Wang, Tianfeng Zhou, and Yue Ding. 2022. "Fracture Analysis of Ultrahigh-Strength Steel Based on Split Hopkinson Pressure Bar Test" Metals 12, no. 4: 628. https://doi.org/10.3390/met12040628
APA StyleXiao, S., Luan, X., Liang, Z., Wang, X., Zhou, T., & Ding, Y. (2022). Fracture Analysis of Ultrahigh-Strength Steel Based on Split Hopkinson Pressure Bar Test. Metals, 12(4), 628. https://doi.org/10.3390/met12040628

