Development of a True-Biaxial Split Hopkinson Pressure Bar Device and Its Application
Abstract
:1. Introduction
2. Design of Dual-Wave Bar and Its Experimental Analysis
2.1. Design of Wedge-Shaped, Dual-Wave Bar
2.2. Synchronicity of Stress Wave Propagation
2.3. Analysis for Propagation of Stress Wave
3. Biaxial SHPB Experimental Device
4. Theory Study of Biaxial Impact Loading
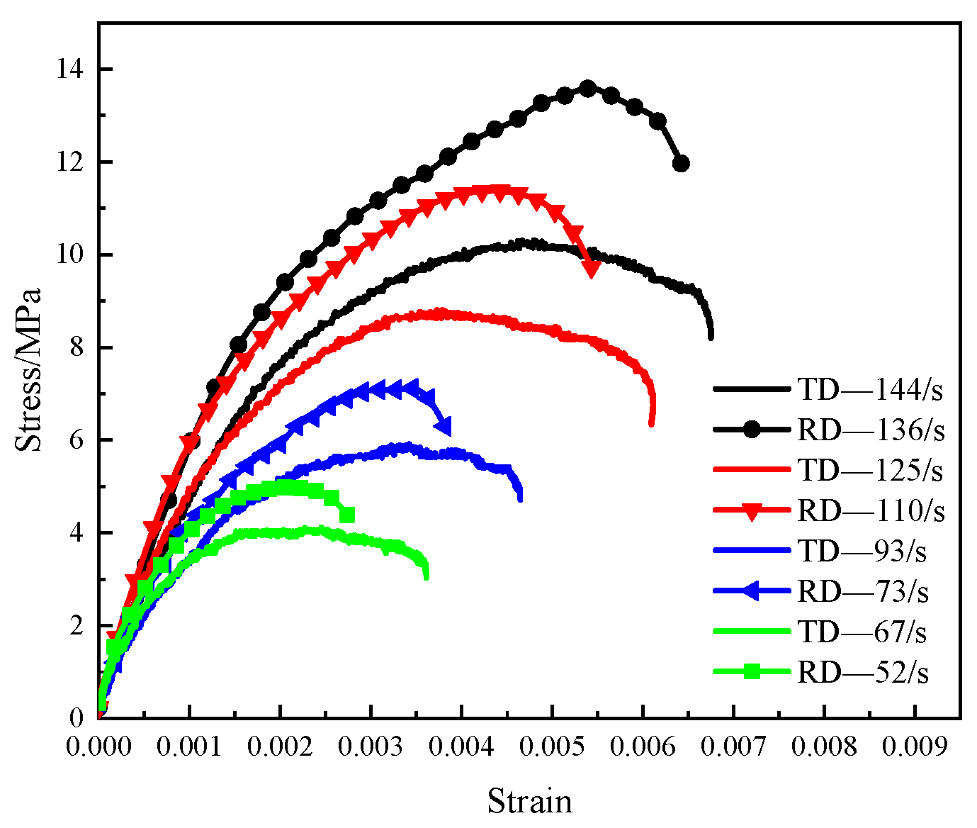
5. Experimental Results and Analysis
5.1. Effectiveness Analysis
5.2. Application of Biaxial SHPB
6. Conclusions
Author Contributions
Funding
Institutional Review Board Statement
Informed Consent Statement
Data Availability Statement
Conflicts of Interest
References
- Kolsky, H. An investigation of the mechanical properties of materials at very high rates of loading. Proc. Phys. Soc. Sect. B 1949, 62, 676–700. [Google Scholar] [CrossRef]
- Pan, B.; Wang, X.G.; Xu, Z.Y.; Guo, L.J.; Wang, X.S. Experimental and numerical study of fracture behavior of rock-like material specimens with single pre-set joint under dynamic loading. Materials 2021, 14, 2690. [Google Scholar] [CrossRef]
- Frew, D.J.; Forrestal, M.J.; Chen, W. A split Hopkinson pressure bar technique to determine compressive stress-strain data for rock materials. Exp. Mech. 2001, 41, 40–46. [Google Scholar] [CrossRef]
- Chen, X.D.; Zhou, J.K. Experimental and modeling study of dynamic mechanical properties of cement paste, mortar and concrete. Constr. Build. Mater. 2013, 47, 419–430. [Google Scholar] [CrossRef]
- Huang, S.; Feng, X.T.; Xia, K. A dynamic punch method to quantify the dynamic shear strength of brittle solids. Rev. Sci. Instrum. 2011, 82, 053901. [Google Scholar] [CrossRef]
- Chen, W.; Song, B.; Frew, D.J.; Forrestal, M.J. Dynamic small strain measurements of a metal specimen with a split Hopkinson pressure bar. Exp. Mech. 2003, 43, 20–23. [Google Scholar] [CrossRef]
- Song, B.; Chen, W. Loading and unloading split Hopkinson pressure bar pulse-shaping techniques for dynamic hysteretic loops. Exp. Mech. 2004, 44, 622–627. [Google Scholar] [CrossRef]
- Liu, Z.; Chen, X.; Lv, X.; Xie, H. A mini desktop impact test system using multistage electromagnetic launch. Measurement 2014, 49, 68–76. [Google Scholar] [CrossRef]
- Liu, J.; Chen, T.; Zhang, Y.; Wen, G.; Qiang, Q.; Wang, H.; Xie, Y.M. On sound insulation of pyramidal lattice sandwich structure. Compos. Struct. 2019, 208, 385–394. [Google Scholar] [CrossRef] [Green Version]
- Wouts, J.; Haugou, G.; Oudjene, M.; Coutellier, D.; Morvan, H. Strain rate effects on the compressive response of wood and energy absorption capabilities–Part A: Experimental investigations. Compos. Struct. 2016, 149, 315–328. [Google Scholar] [CrossRef]
- Pang, S.; Liang, Y.; Tao, W.; Liu, Y.; Huan, S.; Qin, H. Effect of the Strain Rate and Fiber Direction on the Dynamic Mechanical Properties of Beech Wood. Forests 2019, 10, 881. [Google Scholar] [CrossRef] [Green Version]
- Christensen, R.J.; Swanson, S.R.; Brown, W.S. Split-Hopkinson-bar tests on rock under confining pressure. Exp. Mech. 1972, 12, 508–513. [Google Scholar] [CrossRef]
- Gary, G.; Bailly, P. Behaviour of quasi-brittle material at high strain rate. Experiment and modelling. Eur. J. Mech. A/Solids 1998, 17, 403–420. [Google Scholar] [CrossRef] [Green Version]
- Gong, J.C.; Malvern, L.F. Passively confined tests of axial dynamic compressive strength of concrete. Exp. Mech. 1990, 3, 55–59. [Google Scholar] [CrossRef]
- Chen, W.; Ravichandran, G. Dynamic compressive failure of a glass ceramic under lateral confinement. J. Mech. Phys. Solids 1997, 45, 1303–1328. [Google Scholar] [CrossRef]
- Shi, S.; Wang, L. Passive confined pressure SHPB test method for materials under quasi-one-dimensional strain state. Exp. Mech. 2000, 15, 377–384. [Google Scholar]
- Forquin, P.; Gary, G.; Gatuingt, F. A testing technique for concrete under confinement at high rates of strain. Int. J. Impact Eng. 2008, 35, 425–446. [Google Scholar] [CrossRef] [Green Version]
- Chen, J.Y.; Zhang, Z.X.; Dong, H.W.; Zhu, J. Experimental study on dynamic damage evolution of concrete under multi-axial stresses. Eng. Fail. Anal. 2011, 18, 1784–1790. [Google Scholar] [CrossRef]
- Luo, H.; Lu, H.; Cooper, W.L.; Komanduri, R. Effect of mass density on the compressive behavior of dry sand under confinement at high strain rates. Exp. Mech. 2011, 51, 1499–1510. [Google Scholar] [CrossRef]
- Zhai, Y.; Li, Y.; Li, Y.; Zhang, Y.; Lu, M. Impact compression test and numerical simulation analysis of concrete after thermal treatment in complex stress state. Materials 2019, 12, 1938. [Google Scholar] [CrossRef] [Green Version]
- Yin, Z.; Li, X.; Jin, J.; He, X.; Du, K. Failure characteristics of high stress rock induced by impact disturbance under confining pressure unloading. Trans. Nonferrous Met. Soc. China 2012, 22, 175–184. [Google Scholar] [CrossRef]
- Chen, W.; Lu, F. A technique for dynamic proportional multiaxial compression on soft materials. Exp. Mech. 2000, 40, 226–230. [Google Scholar] [CrossRef]
- Nemat-Nasser, S.; Isaacs, J.; Rome, J. Mechanical Testing and Evaluation; ASM International: Material Park, OH, USA, 2000; pp. 516–518. [Google Scholar] [CrossRef]
- Shi, S.; Yu, B.; Wang, L. The dynamic impact experiments under active confining pressure and the constitutive equation of PP/PA blends at multi-axial compressive stress state. Macromol. Symp. 2009, 286, 53–59. [Google Scholar]
- Li, X.; Zhou, Z.; Lok, T.S.; Hong, L.; Yin, T. Innovative testing technique of rock subjected to coupled static and dynamic loads. Int. J. Rock Mech. Min. Sci. 2008, 45, 739–748. [Google Scholar] [CrossRef]
- Gong, F.Q.; Si, X.F.; Li, X.B.; Wang, S.Y. Dynamic triaxial compression tests on sandstone at high strain rates and low confining pressures with split Hopkinson pressure bar. Int. J. Rock Mech. Min. Sci. 2019, 113, 211–219. [Google Scholar] [CrossRef]
- Si, X.; Gong, F.; Li, X.; Wang, S.; Luo, S. Dynamic Mohr-Coulomb and Hoek-Brown strength criteria of sandstone at high strain rates. Int. J. Rock Mech. Min. Sci. 2019, 115, 48–59. [Google Scholar] [CrossRef]
- Liu, S.; Xu, J.; Lv, X. Influence of confining pressure and impact loading on mechanical properties of amphibolite and sericite-quartz schist. Earthq. Eng. Eng. Vib. 2014, 13, 215–222. [Google Scholar] [CrossRef]
- Guo, H.; Guo, W.; Zhai, Y.; Sun, Y. Experimental and modeling investigation on the dynamic response of granite after high-temperature treatment under different pressures. Constr. Build. Mater. 2017, 155, 427–440. [Google Scholar] [CrossRef]
- Li, E.; Gao, L.; Jiang, X.; Duan, J.; Pu, S.; Wang, J. Analysis of dynamic compression property and energy dissipation of salt rock under three-dimensional pressure. Environ. Earth Sci. 2019, 78, 388. [Google Scholar] [CrossRef]
- Luo, H.; Du, Y.; Hu, Z.; Cooper, W.L.; Lu, H. High-strain rate compressive behavior of glass beads under confinement. Exp. Mech. 2015, 55, 935–950. [Google Scholar] [CrossRef]
- Ma, Q.; Ma, D.; Yuan, P.; Yao, Z. Energy absorption characteristics of frozen soil based on SHPB test. Adv. Mater. Sci. Eng. 2018, 1, 1–9. [Google Scholar] [CrossRef] [Green Version]
- Ma, D.; Ma, Q.; Yao, Z.; Yuan, P.; Zhang, R. Dynamic mechanical properties and failure mode of artificial frozen silty clay subject to one-dimensional coupled static and dynamic loads. Adv. Civ. Eng. 2019, 4160804. [Google Scholar] [CrossRef]
- Ma, D.; Ma, Q.; Yao, Z.; Huang, K. Static-dynamic coupling mechanical properties and constitutive model of artificial frozen silty clay under triaxial compression. Cold Reg. Sci. Technol. 2019, 167, 102858. [Google Scholar] [CrossRef]
- Albertini, C.; Montagnani, M. Study of the true tensile stress-strain diagram of plain concrete with real size aggregate; need for and design of a large Hopkinson bar bundle. J. Phys. IV France 1994, 4, 113–118. [Google Scholar] [CrossRef] [Green Version]
- Albertini, C.; Cadoni, E.; Labibes, K. Study of the mechanical properties of plain concrete under dynamic loading. Exp. Mech. 1999, 39, 137–141. [Google Scholar] [CrossRef]
- Cadoni, E.; Albertini, C. Advances in Rock Dynamics and Applications; CRC Press: Hoboken, NJ, USA, 2011; pp. 79–104. [Google Scholar]
- Cadoni, E. Rock Dynamics and Applications: States of Art; CRC Press: Hoboken, NJ, USA, 2013; pp. 137–148. [Google Scholar]
- Xu, S.; Shan, J.; Zhang, L.; Zhou, L.; Gao, G.; Hu, S.; Wang, P. Dynamic compression behaviors of concrete under true triaxial confinement: An experimental technique. Mech. Mater. 2019, 140, 103220. [Google Scholar] [CrossRef]
- Liu, K.; Zhang, Q.B.; Wu, G.; Li, J.C.; Zhao, J. Dynamic mechanical and fracture behaviour of sandstone under multiaxial loads using a triaxial hopkinson bar. Rock Mech. Rock Eng. 2019, 52, 2175–2195. [Google Scholar] [CrossRef]
- Hummeltenberg, A.; Curbach, M. Design and construction of a biaxial Split-Hopkinson-bar. Beton-Und Stahlbetonbau 2012, 107, 394–400. [Google Scholar] [CrossRef]
- Huan, S.; Tao, W. Three-Dimensional Impact Loading Experimental Device. Chinese Patent CN201110141805.4, 31 August 2011. [Google Scholar]
- Cui, J.; Hao, H.; Shi, Y.C.; Zhang, X.H.; Huan, S. Volumetric properties of concrete under true triaxial dynamic compressive loadings. J. Mater. Civ. Eng. 2019, 31, 04019126–1–10. [Google Scholar] [CrossRef]
- Nie, H.; Suo, T.; Wu, B.; Li, Y.; Zhao, H. A versatile split Hopkinson pressure bar using electromagnetic loading. Int. J. Impact Eng. 2018, 116, 94–104. [Google Scholar] [CrossRef]
- Nie, H.; Suo, T.; Shi, X.; Liu, H.; Li, Y.; Han, Z. Symmetric split Hopkinson compression and tension tests using synchronized electromagnetic stress pulse generators. Int. J. Impact Eng. 2018, 122, 73–82. [Google Scholar] [CrossRef]
- Guo, Y.; Du, B.; Liu, H.; Ding, Z.; Zhao, Z.; Tang, Z.; Suo, T.; Li, Y. Electromagnetic Hopkinson bar: A powerful scientific instrument to study mechanical behavior of materials at high strain rates. Rev. Sci. Instrum. 2020, 91, 081501. [Google Scholar] [CrossRef]
- Xie, H.; Zhu, J.; Zhou, T.; Zhao, J. Novel Three-dimensional rock dynamic tests using the true triaxial electromagnetic hopkinson bar system. Rock Mech. Rock Eng. 2021, 54, 2079–2086. [Google Scholar] [CrossRef]
- Zhao, P.D.; Lu, F.Y.; Lin, Y.L.; Chen, R.; Li, J.L.; Lu, L. Technique for combined dynamic compression–shear testing of PBXs. Exp. Mech. 2012, 52, 205–213. [Google Scholar] [CrossRef]
- Lin, Y.L.; Qin, J.G.; Chen, R.; Zhao, P.D.; Lu, F.Y. A technique for measuring dynamic friction coefficient under impact loading. Rev. Sci. Instrum. 2014, 85, 094501. [Google Scholar] [CrossRef]
- Wang, H.C.; Zhao, J.; Li, J.; Liu, K.; Braithwaite, C.H.; Zhang, Q.B. Dynamic mechanical properties and fracturing behaviour of concrete under biaxial compression. Constr. Build. Mater. 2021, 301, 124085. [Google Scholar] [CrossRef]















| Material | Density [g/cm3] | Young’s Modulus [GPa] | Poisson’s Ratio | Diameter × Length [mm × mm] | Angle [°] | |
|---|---|---|---|---|---|---|
| Striker bar 1 | SUS304 | 7.93 | 193 | 0.3 | Ø50 × 150 | - |
| Striker bar 2 | SUS304 | 7.93 | 193 | 0.3 | Ø50 × 200 | - |
| DWB | SUS304 | 7.93 | 193 | 0.3 | Ø40 × 1514.14 | 70 |
| Transmission bar | SUS304 | 7.93 | 193 | 0.3 | Ø20 × 1499.61 | - |
| Material | Density [g/cm3] | Young’s Modulus [GPa] | Poisson’s Ratio | Diameter × Length [mm × mm] | Angle [°] | |
|---|---|---|---|---|---|---|
| Striker bar | SUS304 | 7.93 | 193 | 0.3 | Ø50 × 200 | - |
| DWB A | SUS304 | 7.93 | 193 | 0.3 | Ø40 × 1514.14 | 70 |
| DWB B1/B2 | SUS304 | 7.93 | 193 | 0.3 | Ø20 × 1499.61 | 160 |
| Balance bar C1/C2 | SUS304 | 7.93 | 193 | 0.3 | Ø10 × 1210 | - |
| Incident bar D1/D2 | SUS304 | 7.93 | 193 | 0.3 | Ø10 × 1210 | - |
| Transmission bar E1/E2 | SUS304 | 7.93 | 193 | 0.3 | Ø10 × 1210 | - |
Publisher’s Note: MDPI stays neutral with regard to jurisdictional claims in published maps and institutional affiliations. |
© 2021 by the authors. Licensee MDPI, Basel, Switzerland. This article is an open access article distributed under the terms and conditions of the Creative Commons Attribution (CC BY) license (https://creativecommons.org/licenses/by/4.0/).
Share and Cite
Pang, S.; Tao, W.; Liang, Y.; Huan, S.; Liu, Y.; Chen, J. Development of a True-Biaxial Split Hopkinson Pressure Bar Device and Its Application. Materials 2021, 14, 7298. https://doi.org/10.3390/ma14237298
Pang S, Tao W, Liang Y, Huan S, Liu Y, Chen J. Development of a True-Biaxial Split Hopkinson Pressure Bar Device and Its Application. Materials. 2021; 14(23):7298. https://doi.org/10.3390/ma14237298
Chicago/Turabian StylePang, Shumeng, Weijun Tao, Yingjing Liang, Shi Huan, Yijie Liu, and Jiangping Chen. 2021. "Development of a True-Biaxial Split Hopkinson Pressure Bar Device and Its Application" Materials 14, no. 23: 7298. https://doi.org/10.3390/ma14237298
APA StylePang, S., Tao, W., Liang, Y., Huan, S., Liu, Y., & Chen, J. (2021). Development of a True-Biaxial Split Hopkinson Pressure Bar Device and Its Application. Materials, 14(23), 7298. https://doi.org/10.3390/ma14237298
