Sign in to use this feature.

Years

Between: -

Subjects

remove_circle_outline
remove_circle_outline
remove_circle_outline
remove_circle_outline
remove_circle_outline
remove_circle_outline
remove_circle_outline
remove_circle_outline
remove_circle_outline

Journals

Article Types

Countries / Regions

Search Results (111)

Search Parameters:
Keywords = harvest date estimation

Order results
Result details
Results per page
Select all
Export citation of selected articles as:
22 pages, 4159 KB  
Article
Combining Artificial Intelligence and Remote Sensing to Enhance the Estimation of Peanut Pod Maturity
by Thiago Caio Moura Oliveira, Jarlyson Brunno Costa Souza, Samira Luns Hatum de Almeida, Armando Lopes de Brito Filho, Rafael Henrique de Souza Silva, Franciele Morlin Carneiro and Rouverson Pereira da Silva
AgriEngineering 2025, 7(11), 368; https://doi.org/10.3390/agriengineering7110368 - 3 Nov 2025
Viewed by 612
Abstract
The mechanized harvesting of peanut crops results in both visible and invisible losses. Therefore, monitoring and accurately determining pod maturation are essential to minimizing such losses. The objectives of this study were to (i) identify the most relevant variables for estimating peanut pod [...] Read more.
The mechanized harvesting of peanut crops results in both visible and invisible losses. Therefore, monitoring and accurately determining pod maturation are essential to minimizing such losses. The objectives of this study were to (i) identify the most relevant variables for estimating peanut pod maturation and (ii) estimate two maturation indices (brown and black classes; orange, brown, and black classes) using Remote Sensing (RS) and Artificial Neural Networks (ANN), while assessing the generalization potential of the models across different areas. The experiment was carried out in two commercial peanut fields in the state of São Paulo, Brazil, during the 2021/2022 and 2022/2023 growing seasons, using the IAC 503 cultivar. Data collection began one month before the expected harvest date, with weekly intervals. Spectral variables and vegetation indices were obtained from orbital remote sensing (PlanetScope), while climatic data were retrieved from NASA POWER. For analysis, two ANN architectures were employed: Multilayer Perceptron (MLP) and Radial Basis Function (RBF). The dataset from the Cândido Rodrigues site was split into 80% for training and 20% for testing. The model was then evaluated and generalized using data from the Guariba site. Variable selection involved filtering via Principal Component Analysis (PCA) followed by the Stepwise method. Both models demonstrated high accuracy (R2 ≥ 0.90; MAE between 0.06 and 0.07). Generalization tests yielded promising results (R2 between 0.59 and 0.64; MAE between 0.13 and 0.17), confirming the robustness of the approach under different conditions. Full article
Show Figures

Figure 1

29 pages, 5210 KB  
Article
Using Harmonized Landsat Sentinel-2 Vegetation Indices to Estimate Sowing and Harvest Dates for Corn and Soybeans in Brazil
by Cleverton Tiago Carneiro de Santana, Marcos Adami, Victor Hugo Rohden Prudente, Andre Dalla Bernardina Garcia and Marcellus Marques Caldas
Remote Sens. 2025, 17(17), 2927; https://doi.org/10.3390/rs17172927 - 23 Aug 2025
Viewed by 1723
Abstract
As one of the world’s leading grain producers, Brazil stands out in soybean and corn production. Accurate estimation of key crop phenological stages is essential for agricultural decision-making, especially considering Brazil’s vast territory, climatic diversity, and increasing frequency of extreme weather events. This [...] Read more.
As one of the world’s leading grain producers, Brazil stands out in soybean and corn production. Accurate estimation of key crop phenological stages is essential for agricultural decision-making, especially considering Brazil’s vast territory, climatic diversity, and increasing frequency of extreme weather events. This study investigated the applicability of the NDVI, EVI, WDRVI, and NDWI, derived from Harmonized Landsat Sentinel-2, to identify crop sowing and harvest dates at the field scale. We extracted the vegetative peak from each vegetation index time series and identified the left and right inflection points around the peak to delineate the crop season. A double-logistic function and a derivative approach were applied to identify the Start of Season, Peak of Season, and End of Season. For both soybeans and corn, the RMSE ranged from 5 to 8 days for sowing dates, while for harvest dates it ranged from 6 to 15 days for corn. Despite these differences, all vegetation indices exhibited robust performance, with Spearman correlation values between 0.56 and 0.84. Our findings indicate that the use of different indices does not have a significant impact on the results, as long as the adjustment of temporal parameters for the phenological metrics is appropriate for each index. Full article
Show Figures

Figure 1

22 pages, 1797 KB  
Article
Forcing the SAFY Dynamic Crop Growth Model with Sentinel-2 LAI Estimates and Weather Inputs from AgERA5 Reanalysis and CM SAF SARAH-3 Radiation Data for Estimating Crop Water Requirements and Yield
by Anna Pelosi, Angeloluigi Aprile, Oscar Rosario Belfiore and Giovanni Battista Chirico
Remote Sens. 2025, 17(14), 2464; https://doi.org/10.3390/rs17142464 - 16 Jul 2025
Viewed by 805
Abstract
The continuous development of both numerical weather model outputs and remote sensing-derived products has enabled a wide range of applications across various fields, such as agricultural water management, where the need for robust gridded weather data and recurring Earth Observations (EO) is fundamental [...] Read more.
The continuous development of both numerical weather model outputs and remote sensing-derived products has enabled a wide range of applications across various fields, such as agricultural water management, where the need for robust gridded weather data and recurring Earth Observations (EO) is fundamental for estimating crop water requirements (CWR) and yield. This study used the latest reanalysis dataset, AgERA5, combined with the up-to-date CM SAF SARAH-3 Satellite-Based Radiation Data as meteorological inputs of the SAFY dynamic crop growth model and a one-step evapotranspiration formula for CWR and yield estimates at the farm scale of tomato crops. The Sentinel-2 (S2) estimates of Leaf Area Index (LAI) were used to force the SAFY model as soon as they became available during the growing stage, according to the satellite passages over the area of interest. The SAFY model was calibrated with ground-based weather observations and S2 LAI data on tomato crops that were collected in several farms in Campania Region (Southern Italy) during the irrigation season, which spans from April to August. To validate the method, the model estimates were compared with field observations of irrigation volumes and harvested yield from a monitored farm in the same region for the year 2021. Results demonstrated that integrating AgERA5 and CM SAF weather datasets with S2 imagery for assimilation into the SAFY model enables accurate estimates of both CWR and yield. Full article
Show Figures

Figure 1

22 pages, 4380 KB  
Article
Utilization of Multisensor Satellite Data for Developing Spatial Distribution of Methane Emission on Rice Paddy Field in Subang, West Java
by Khalifah Insan Nur Rahmi, Parwati Sofan, Hilda Ayu Pratikasiwi, Terry Ayu Adriany, Dandy Aditya Novresiandi, Rendi Handika, Rahmat Arief, Helena Lina Susilawati, Wage Ratna Rohaeni, Destika Cahyana, Vidya Nahdhiyatul Fikriyah, Iman Muhardiono, Asmarhansyah, Shinichi Sobue, Kei Oyoshi, Goh Segami and Pegah Hashemvand Khiabani
Remote Sens. 2025, 17(13), 2154; https://doi.org/10.3390/rs17132154 - 23 Jun 2025
Viewed by 2232
Abstract
Intergovernmental Panel on Climate Change (IPCC) guidelines have been standardized and widely used to calculate methane (CH4) emissions from paddy fields. The emission factor (EF) is a key parameter in these guidelines, and it is different for each location globally and [...] Read more.
Intergovernmental Panel on Climate Change (IPCC) guidelines have been standardized and widely used to calculate methane (CH4) emissions from paddy fields. The emission factor (EF) is a key parameter in these guidelines, and it is different for each location globally and regionally. However, limited studies have been conducted to measure locally specific EFs (EFlocal) through on-site assessments and modeling their spatial distribution effectively. This study aims to investigate the potential of multisensor satellite data to develop a spatial model of CH4 emission estimation on rice paddy fields under different water management practices, i.e., continuous flooding (CF) and alternate wetting and drying (AWD) in Subang, West Java, Indonesia. The model employed the national EF (EFnational) and EFlocal using the IPCC guidelines. In this study, we employed the multisensor satellite data to derive the key parameters for estimating CH4 emission, i.e., rice cultivation area, rice age, and EF. Optical high-resolution images were used to delineate the rice cultivation area, Sentinel-1 SAR imagery was used for identifying transplanting and harvesting dates for rice age estimation, and ALOS-2/PALSAR-2 was used to map the water regime for determining the scaling factor of the EF. The closed-chamber method has been used to measure the daily CH4 flux rate on the local sites. The results revealed spatial variability in CH4 emissions, ranging from 1–5 kg/crop/season to 20–30 kg/crop/season, depending on the water regime. Fields under CF exhibited higher CH4 emissions than those under AWD, underscoring the critical role of water management in mitigating CH4 emissions. This study demonstrates the feasibility of combining remote sensing data with the IPCC model to spatially estimate CH4 emissions, providing a robust framework for sustainable rice cultivation and greenhouse gas (GHG) mitigation strategies. Full article
Show Figures

Figure 1

21 pages, 4845 KB  
Article
Machine Learning for Precision Agriculture: Predicting Persimmon Peak Harvest Dates and Yield Using Meteorological Data
by Atsushi Okayama, Atsushi Yamamoto, Yutaka Matsuno and Masaomi Kimura
AgriEngineering 2025, 7(6), 180; https://doi.org/10.3390/agriengineering7060180 - 6 Jun 2025
Cited by 1 | Viewed by 2154
Abstract
The acute shortage of agricultural labor necessitates the development of predictive models to optimize farm operations. This study investigates the effectiveness of artificial-intelligence-driven models to accurately forecast the timing and yield of persimmon harvests, using meteorological data alongside historical harvest records. An artificial [...] Read more.
The acute shortage of agricultural labor necessitates the development of predictive models to optimize farm operations. This study investigates the effectiveness of artificial-intelligence-driven models to accurately forecast the timing and yield of persimmon harvests, using meteorological data alongside historical harvest records. An artificial neural network was designed to estimate peak harvest dates by analyzing key meteorological variables. The model was trained and validated using data from the JA Nara Prefecture Nishiyoshino Sorting Facility and Nara Prefecture Agriculture Research and Development Center. Its reliability was confirmed based on mean absolute error, demonstrating the ability to make predictions with an accuracy of approximately three days. Additionally, extreme gradient boosting models were developed to predict yields, incorporating elevation data to refine predictions at the field scale. The model was trained and validated using data from fields cultivated in the Gojo-Yoshino region. The effectiveness of these models was evaluated using root mean square error, demonstrating an improvement in prediction accuracy of up to 20% with the inclusion of elevation data, illustrating their capability to effectively capture yield variations across different orchards. These models can significantly improve labor management, harvest scheduling, and overall productivity within the realm of smart agriculture. Full article
Show Figures

Graphical abstract

46 pages, 676 KB  
Review
From Ocean to Market: Technical Applications of Fish Protein Hydrolysates in Human Functional Food, Pet Wellness, Aquaculture and Agricultural Bio-Stimulant Product Sectors
by Dolly Bhati and Maria Hayes
Appl. Sci. 2025, 15(10), 5769; https://doi.org/10.3390/app15105769 - 21 May 2025
Cited by 1 | Viewed by 4537
Abstract
Sustainability in food production is a pressing priority due to environmental and political crises, the need for long-term food security, and feeding the populace. Food producers need to increasingly adopt sustainable practices to reduce negative environmental impacts and food waste. The ocean is [...] Read more.
Sustainability in food production is a pressing priority due to environmental and political crises, the need for long-term food security, and feeding the populace. Food producers need to increasingly adopt sustainable practices to reduce negative environmental impacts and food waste. The ocean is a source for sustainable food systems; deforestation, water scarcity, and greenhouse gas emissions burden traditional, terrestrial resources. Our oceans contain the largest unexploited resource in the world in the form of mesopelagic fish species, with an estimated biomass of 10 billion metric tons. This resource is largely untapped due in part to the difficulties in harvesting these species. To ensure sustainability of this resource, management of fish stocks and fish processing practices must be optimised. Generation of fish protein hydrolysates from by-catch/underutilised species creates high-value, functional ingredients while also reducing waste. Marine hydrolysates offer a renewable source of nutrition and align with the principles of the circular economy, where waste is minimised and resources are reused efficiently. Ocean-derived solutions demand fewer inputs, generate less pollution, and have a smaller carbon footprint compared to traditional agriculture. This review collates clearly and succinctly the current and potential uses of FPHs for different market sectors and highlights the advantages of their use in terms of the scientifically validated health benefits for humans and animals and fish, and the protection and crop yield benefits that are documented to date from scientific studies. Full article
Show Figures

Figure 1

21 pages, 7705 KB  
Article
Quantifying Missed Opportunities for Cumulative Forest Road Carbon Storage over the Past 50 Years in the Boreal Forest of Eastern Canada
by Alejandro Vega Escobar, François Girard and Osvaldo Valeria
Forests 2025, 16(4), 688; https://doi.org/10.3390/f16040688 - 16 Apr 2025
Cited by 1 | Viewed by 1165
Abstract
Forest road networks are essential for forest operations but significantly contribute to carbon loss and landscape fragmentation in boreal ecosystems. This study evaluates the potential of reforesting unused forest roads to enhance carbon storage (CS) in Quebec’s boreal forests. Four reforestation scenarios were [...] Read more.
Forest road networks are essential for forest operations but significantly contribute to carbon loss and landscape fragmentation in boreal ecosystems. This study evaluates the potential of reforesting unused forest roads to enhance carbon storage (CS) in Quebec’s boreal forests. Four reforestation scenarios were simulated using spatial data from AQréseau+ and the Ecoforestry Map of Quebec, combined with the CBM-CFS3 carbon model. These scenarios varied in site preparation conditions and species selection, including the use of fast-growing local species. Random forest (RF) models were applied to analyze the influence of key variables on CS dynamics, focusing on the road area and years to harvest. The study area covered approximately 294,000 km2, and the temporal dimension was incorporated by estimating the construction dates of forest roads. Results show that scenarios integrating soil preparation and fast-growing species (S1I1) achieved the highest CS potential, with up to 6.8 million tons (Mt) of additional carbon stored over a 40–100 year period for medium-category roads, compared to 1.15 million tons in scenarios without intervention (S0I0). These findings underscore the role of reforestation in enhancing CS within managed forests. Future work should prioritize road segments for reforestation, considering ecological benefits, operational feasibility, and climate resilience. Full article
(This article belongs to the Section Forest Ecology and Management)
Show Figures

Figure 1

33 pages, 59140 KB  
Review
Assessing Crucial Shaking Parameters in the Mechanical Harvesting of Nut Trees: A Review
by Mohsen Farajijalal, Ali Abedi, Cristian Manzo, Amir Kouravand, Mohammadmehdi Maharlooei, Arash Toudeshki and Reza Ehsani
Horticulturae 2025, 11(4), 392; https://doi.org/10.3390/horticulturae11040392 - 7 Apr 2025
Cited by 2 | Viewed by 3694
Abstract
Finding appropriate shaking parameters is crucial in designing effective mechanical harvesters. The maximum fruit removal can be achieved when the machine operator properly adjusts the amplitude and frequency for shaking each tree. This review covers the progress in research and development over the [...] Read more.
Finding appropriate shaking parameters is crucial in designing effective mechanical harvesters. The maximum fruit removal can be achieved when the machine operator properly adjusts the amplitude and frequency for shaking each tree. This review covers the progress in research and development over the past decades on using mechanical harvesters for nut trees, such as almonds, pistachios, walnuts, and hickories, with a specific focus on the natural frequency of individual trees. Furthermore, the reported values of shaking frequency and amplitude from previous studies were discussed and compared, along with frequency calculation approaches based on various shaking mechanisms. Additionally, other parameters, such as clamping force, height, and shaking amplitude, were investigated to determine optimal values for minimizing tree damage. This review emphasizes that the tree’s diameter, height, and canopy morphology should be the primary factors considered when estimating the optimal shaking frequency for nut trees. It also highlights that, to date, the shaking amplitude, frequency, and duration set by field managers or machine operators tend to remain consistent for all trees, which can limit harvesting efficiency. The findings suggest that selecting these parameters uniformly across all trees may not result in efficient fruit removal for individual trees. However, with the assistance of modern computing technology and its adaptation for in-field applications, it is feasible to determine the optimal shaking frequency for each tree mathematically. This approach can maximize fruit removal rates while minimizing tree damage. Finally, the review suggests that improving existing harvesting machines by incorporating better vibratory patterns could offer benefits such as enhanced productivity, reduced labor costs, and decreased permanent tree damage. Full article
(This article belongs to the Section Postharvest Biology, Quality, Safety, and Technology)
Show Figures

Figure 1

30 pages, 6363 KB  
Article
Using High-Resolution Multispectral Data to Evaluate In-Season Cotton Growth Parameters and End-of-the-Season Cotton Fiber Yield and Quality
by Lorena N. Lacerda, Matheus Ardigueri, Thiago O. C. Barboza, John Snider, Devendra P. Chalise, Stefano Gobbo and George Vellidis
Agronomy 2025, 15(3), 692; https://doi.org/10.3390/agronomy15030692 - 13 Mar 2025
Cited by 4 | Viewed by 1948
Abstract
Estimating cotton fiber quality early in the season, or its field variability, is impractical due to limitations in current methods, and it has not been widely explored. Similarly, few studies have tried estimating the parameters contributing to in-season cotton yield using UAV-based sensors. [...] Read more.
Estimating cotton fiber quality early in the season, or its field variability, is impractical due to limitations in current methods, and it has not been widely explored. Similarly, few studies have tried estimating the parameters contributing to in-season cotton yield using UAV-based sensors. Thus, this study aims to explore the potential of using UAV-based multispectral images to estimate important in-season parameters, such as intercepted photosynthetically active radiation (IPAR), cotton height, the number of mainstem nodes, leaf area index (LAI), and end-of-the-season yield and cotton fiber quality parameters. Research trials were carried out in 2018 and 2020 in two experimental fields. In both years, a randomized complete block design was used with three cotton cultivars (2018), three plant growth regulators (2020), and three different irrigation levels to promote variability (both years). Cotton growth parameters were collected throughout the season on the same dates as UAV flights. Yield and fiber quality data were collected during harvest. The VI-based models used in this study were mostly sensitive to differences in cotton growth and final yield but less sensitive in detecting variation in cotton fiber quality indicators, such as length, strength, and micronaire, early in the season. The best performing regression model among the three fiber quality indicators was achieved in 2020, using a combination of four VIs, which explained 68% of the micronaire variability at 71 DAP. Results from this study also showed that multispectral-based VIs can be applied as early as the squaring stage at around 44 DAP to estimate most cotton growth indicators and final lint yield. Multiple linear regression validation models for height using NDVI, GNDVI, and RDVI obtained an R2 of 0.62, and for LAI using MSR and NDVI an R2 of 0.60. For lint yield, the best regression model combined four VIs and explained 66% of the yield variability. The ability to capture the variability in important growth and yield parameters early in the season can provide useful insights on potential crop performance and aid in in-season decisions. Full article
Show Figures

Figure 1

16 pages, 4152 KB  
Article
Analysis of the Changes in the Mechanical Properties of Branches of Salix Energy Plants After Shearing
by Natalia Walczak and Zbigniew Walczak
Forests 2025, 16(2), 206; https://doi.org/10.3390/f16020206 - 23 Jan 2025
Viewed by 1048
Abstract
As a result of the energy crisis due, among other things, to climate change, most developed countries have taken steps with the main aim—among other things—of increasing the use of green energy sources that do not rely on fuels (including primarily liquid fuels) [...] Read more.
As a result of the energy crisis due, among other things, to climate change, most developed countries have taken steps with the main aim—among other things—of increasing the use of green energy sources that do not rely on fuels (including primarily liquid fuels) but use renewable energies. Plant biomass is a versatile substrate that can be used in many areas of the economy and production, but also for the production of various types of fuel. These range from rapeseed oil used as a component of biodiesel or maize starch for ethanol production to typically cellulosic plants such as energy willow, which can be used for direct combustion. The floodplain is home to this type of vegetation. It is characterized by great diversity in terms of geometric dimensions and mechanical and morphological properties. In addition, the location (easy access to water and sunlight) influences its potential energy value. Vegetation, thanks to favorable conditions, can achieve large weight gains in a relatively short period of time. Therefore, its properties should be carefully recognized in order to make more efficient use of energy and operating equipment used during harvesting. This paper presents an analysis of the changes in the elasticity of willow branches over a period of 16 days following harvesting. The changes were analyzed for branches taken from three different shrubs at three different plant height levels during the post-growth period. Based on the measurements carried out, the elastic modulus E of the shoots was estimated. The average modulus of elasticity ranged from about 4500 two days after cutting to about 5500 MPa 16 days after cutting and showed high variability, reaching even CV = 37%, both within a given shrub and depending on the measurement date. The results presented here indicate a high natural variability of mechanical parameters even within the same plant. Full article
(This article belongs to the Section Wood Science and Forest Products)
Show Figures

Figure 1

13 pages, 3856 KB  
Article
Accuracy Assessment of Tomato Harvest Working Time Predictions from Panoramic Cultivation Images
by Hiroki Naito, Tomohiko Ota, Kota Shimomoto, Fumiki Hosoi and Tokihiro Fukatsu
Agriculture 2024, 14(12), 2257; https://doi.org/10.3390/agriculture14122257 - 10 Dec 2024
Cited by 1 | Viewed by 1632
Abstract
The scale of horticultural facilities in Japan is expanding, making the efficient management of labor costs essential, particularly in large-scale tomato production. This study developed a consistent and practical system for predicting harvest working time and estimating the quantity and weight of harvested [...] Read more.
The scale of horticultural facilities in Japan is expanding, making the efficient management of labor costs essential, particularly in large-scale tomato production. This study developed a consistent and practical system for predicting harvest working time and estimating the quantity and weight of harvested fruit using panoramic images of cultivation rows. The system integrates a deep learning model, the Mask ResNet-50 convolutional neural network, to count harvestable fruits from images and a predictive algorithm to estimate working time based on the fruit count. The results indicated that the average for all workers could be predicted with an error margin of 30.1% when predicted three days before the harvest date and 15.6% when predicted on the harvest date. The trial also revealed that the accuracy of the predictions varied based on workers’ experience and cultivation methods. This study highlights the system’s potential to optimize harvesting plans and labor allocation, providing a novel tool for reducing labor costs while maintaining efficiency in large-scale tomato greenhouse production. Full article
(This article belongs to the Special Issue Sensor-Based Precision Agriculture)
Show Figures

Figure 1

14 pages, 604 KB  
Article
Economic Analysis of the Impact of Waste on the Production and Consumption of Dates in Saudi Arabia
by Abdullah Alhamdan, Yosef Alamri, Fahad Aljuhaim, Alaa Kotb, Emad Aljohani, Sharafeldin Alaagib and Mahmoud Elamshity
Sustainability 2024, 16(21), 9588; https://doi.org/10.3390/su16219588 - 4 Nov 2024
Cited by 4 | Viewed by 2482
Abstract
The goal of this study was to determine how the loss of dates affected food security in Saudi Arabia from 2000 to 2021. The researchers achieved this by using food security indicators, economic equations to quantify agricultural resource losses, and econometric analyses to [...] Read more.
The goal of this study was to determine how the loss of dates affected food security in Saudi Arabia from 2000 to 2021. The researchers achieved this by using food security indicators, economic equations to quantify agricultural resource losses, and econometric analyses to develop a partial adjustment model. The results show that dates are considered a self-sufficient crop as well as an export crop, as the state resorts to exporting the surplus instead of storing it for local consumption. During the study period, there was an increase in the period of sufficiency in date production for local consumption and the period of coverage of imports for local consumption. In 2000, the volume of dates lost increased by approximately 131.22%. The total loss of land and water resources reached 31,918.4 hectares and 324.759 million cubic meters, respectively. The value of the partial adjustment coefficient (λ) indicates that about 81.1% of the imbalance in the equilibrium between the actual and equilibrium levels is adjusted within one year. Loss is considered one of the most important factors that determine food security for dates, in addition to the total value of loans financed to date factories, the total population, and the level of technological progress in the marketing and storage of dates. It was found that a change of 10% in these variables leads to a change in food security for dates of (−2.37%), 0.07, (−15.33%), and 0.58%, respectively, and the adjusted coefficient of determination was estimated at 0.93. This study recommends the following: (1) expanding the use of modern technologies for date post-harvest transportation and storage, and (2) increasing support and loans allocated to date factories to increase warehouses for cooling and storage to accommodate the increase in production and surplus consumption. Full article
Show Figures

Figure 1

24 pages, 5753 KB  
Article
Phenological Monitoring of Irrigated Sugarcane Using Google Earth Engine, Time Series, and TIMESAT in the Brazilian Semi-Arid
by Diego Rosyur Castro Manrique, Pabrício Marcos Oliveira Lopes, Cristina Rodrigues Nascimento, Eberson Pessoa Ribeiro and Anderson Santos da Silva
AgriEngineering 2024, 6(4), 3799-3822; https://doi.org/10.3390/agriengineering6040217 - 18 Oct 2024
Cited by 2 | Viewed by 2775
Abstract
Monitoring sugarcane phenology is essential since the globalized market requires reliable information on the quantity of raw materials for the industrial production of sugar and alcohol. In this context, the general objective of this study was to evaluate the phenological seasonality of the [...] Read more.
Monitoring sugarcane phenology is essential since the globalized market requires reliable information on the quantity of raw materials for the industrial production of sugar and alcohol. In this context, the general objective of this study was to evaluate the phenological seasonality of the sugarcane varieties SP 79-1011 and VAP 90-212 observed from the NDVI time series over 19 years (2001–2020) from global databases. In addition, this research had the following specific objectives: (i) to estimate phenological parameters (Start of Season (SOS), End of Season (EOS), Length of Season (LOS), and Peak of Season (POS)) using TIMESAT software in version 3.3 applied to the NDVI time series over 19 years; (ii) to characterize the land use and land cover obtained from the MapBiomas project; (iii) to analyze rainfall variability; and (iv) to validate the sugarcane harvest date (SP 79-1011). This study was carried out in sugarcane growing areas in Juazeiro, Bahia, Brazil. The results showed that the NDVI time series did not follow the rainfall in the region. The sugarcane areas advanced over the savanna formation (Caatinga), reducing them to remnants along the irrigation channels. The comparison of the observed harvest dates of the SP 79-1011 variety to the values estimated with the TIMESAT software showed an excellent fit of 0.99. The mean absolute error in estimating the sugarcane harvest date was approximately ten days, with a performance index of 0.99 and a correlation coefficient of 0.99, significant at a 5% confidence level. The TIMESAT software was able to estimate the phenological parameters of sugarcane using MODIS sensor images processed on the Google Earth Engine platform during the evaluated period (2001 to 2020). Full article
Show Figures

Figure 1

24 pages, 21668 KB  
Article
Incidence Angle Normalization of C-Band Radar Backscattering Coefficient over Agricultural Surfaces Using Dynamic Cosine Method
by Sami Najem, Nicolas Baghdadi, Hassan Bazzi and Mehrez Zribi
Remote Sens. 2024, 16(20), 3838; https://doi.org/10.3390/rs16203838 - 16 Oct 2024
Cited by 5 | Viewed by 2460
Abstract
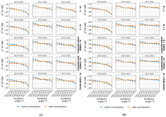
The radar-backscattering coefficient (σ0) depends on surface characteristics and instrumental parameters (wavelength, polarization, and incidence angle). For Sentinel-1 (S1), with incidence angles ranging from 25° to 45°, σ0 for similar targets typically differs by a few dB depending on their [...] Read more.
The radar-backscattering coefficient (σ0) depends on surface characteristics and instrumental parameters (wavelength, polarization, and incidence angle). For Sentinel-1 (S1), with incidence angles ranging from 25° to 45°, σ0 for similar targets typically differs by a few dB depending on their localization in the S1 swath. Overcoming this angular dependence is crucial for the operational applications of radar data. In theory, σ0 follows a cosine function with an exponent “N” that represents the degree of dependence between σ0 and the incidence angle. In order to reduce the effect of the incidence angle on σ0, dynamic N normalizations based on vegetation descriptors, NDVI and SAR Ratio (VV/VH), were applied and then compared to the results obtained with temporally fixed N normalizations. N was estimated at each S1 date during the period of the study for three main summer crops: corn, soybean, and sunflower. Analysis shows that the angular dependence of the S1 σ0 is similar for all three crops. N varies from 3.0 for low NDVI values to 2.0 for high NDVI values (stage of maximal vegetation development) in the VV polarization and from 2.5 to 1.5 for the VH polarization. Furthermore, N fluctuates strongly during the periods before plant emergence and after harvesting, due to variations in the soil roughness. Finally, the results demonstrated that the dynamic normalization of σ0 significantly reduces its angular dependence compared to fixed N (N = 1 and N = 2), with SAR ratio-based normalization performing similarly to NDVI-based normalization. Full article
Show Figures

Figure 1

20 pages, 14699 KB  
Article
The Early Prediction of Kimchi Cabbage Heights Using Drone Imagery and the Long Short-Term Memory (LSTM) Model
by Seung-hwan Go and Jong-hwa Park
Drones 2024, 8(9), 499; https://doi.org/10.3390/drones8090499 - 18 Sep 2024
Cited by 3 | Viewed by 1531
Abstract
Accurate and timely crop growth prediction is crucial for efficient farm management and food security, particularly given challenges like labor shortages and climate change. This study presents a novel method for the early prediction of Kimchi cabbage heights using drone imagery and a [...] Read more.
Accurate and timely crop growth prediction is crucial for efficient farm management and food security, particularly given challenges like labor shortages and climate change. This study presents a novel method for the early prediction of Kimchi cabbage heights using drone imagery and a long short-term memory (LSTM) model. High-resolution drone images were used to generate a canopy height model (CHM) for estimating plant heights at various growth stages. Missing height data were interpolated using a logistic growth curve, and an LSTM model was trained on this time series data to predict the final height at harvest well before the actual harvest date. The model trained on data from 44 days after planting (DAPs) demonstrated the highest accuracy (R2 = 0.83, MAE = 2.48 cm, and RMSE = 3.26 cm). Color-coded maps visualizing the predicted Kimchi cabbage heights revealed distinct growth patterns between different soil types, highlighting the model’s potential for site-specific management. Considering the trade-off between accuracy and prediction timing, the model trained on DAP 36 data (MAE = 2.77 cm) was deemed most suitable for practical applications, enabling timely interventions in cultivation management. This research demonstrates the feasibility and effectiveness of integrating drone imagery, logistic growth curves, and LSTM models for the early and accurate prediction of Kimchi cabbage heights, facilitating data-driven decision-making in precision agriculture for improved crop management and yield optimization. Full article
Show Figures

Figure 1

Back to TopTop