Using Harmonized Landsat Sentinel-2 Vegetation Indices to Estimate Sowing and Harvest Dates for Corn and Soybeans in Brazil
Abstract
1. Introduction
2. Materials and Methods
2.1. Study Areas
2.2. Roadmap
2.3. Reference Data
2.4. Image Time Series Processing
2.5. Extraction of Phenological Metrics
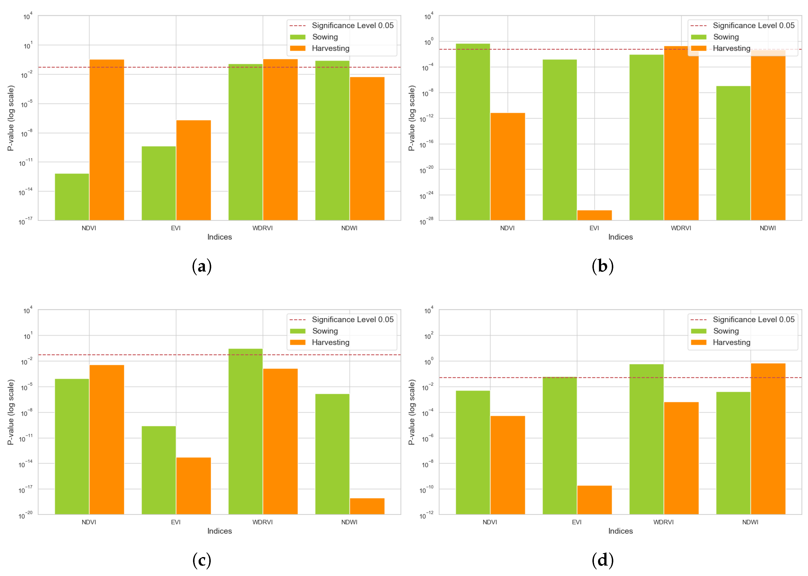
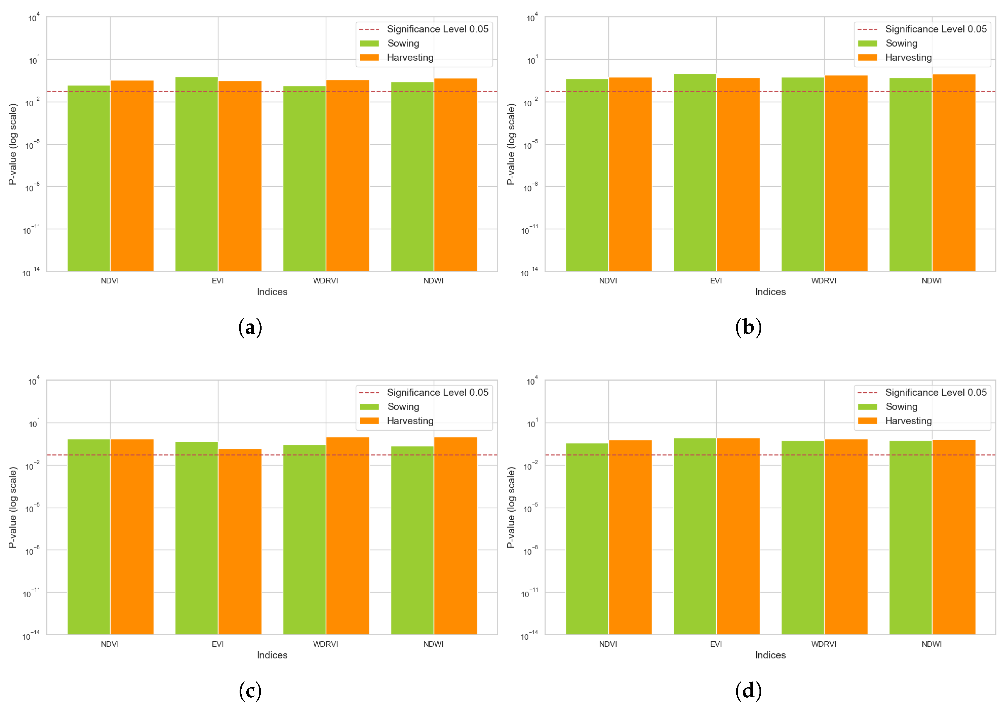
2.6. Data Analysis
3. Results
4. Discussion
5. Conclusions
Supplementary Materials
Author Contributions
Funding
Institutional Review Board Statement
Informed Consent Statement
Data Availability Statement
Acknowledgments
Conflicts of Interest
Abbreviations
| BRDF | Bidirectional Reflectance Distribution Function |
| EVI | Enhanced Vegetation Index |
| HLS | Harmonized Landsat Sentinel-2 |
| MB | Mean Bias |
| ME | Median Error |
| MT | Mato Grosso |
| MODIS | Moderate Resolution Imaging Spectroradiometer |
| MSI | MultiSpectral Instrument |
| NDVI | Normalized Difference Vegetation Index |
| NDWI | Normalized Difference Water Index |
| OLI | Operational Land Imager |
| PR | Paraná |
| RMSE | Root Median Square Error |
| RS | Remote Sensing |
| S.D. of Bias | Standard Deviation of Bias |
| S-W | Shapiro–Wilk |
| VITS | Vegetation Index Time Series |
| WDRVI | Wide Dynamic Range Vegetation Index |
| ZARC | Agricultural Climate Risk Zoning |
References
- Burli, P.H.; Nguyen, R.T.; Hartley, D.S.; Griffel, L.M.; Vazhnik, V.; Lin, Y. Farmer characteristics and decision-making: A model for bioenergy crop adoption. Energy. 2021, 234, 121235. [Google Scholar] [CrossRef]
- Hyles, J.; Bloomfield, M.T.; Hunt, J.R.; Trethowan, R.M.; Trevaskis, B. Phenology and related traits for wheat adaptation. Heredity. 2020, 125, 417–430. [Google Scholar] [CrossRef]
- He, L.; Jin, N.; Yu, Q. Impacts of climate change and crop management practices on soybean phenology changes in China. Sci. Total Environ. 2020, 707, 135638. [Google Scholar] [CrossRef] [PubMed]
- Anand, S.; Barua, M.K. Modeling the key factors leading to post-harvest loss and waste of fruits and vegetables in the agri-fresh produce supply chain. Comput. Electron. Agric. 2022, 198, 106936. [Google Scholar] [CrossRef]
- Flohr, B.M.; Hunt, J.R.; Kirkegaard, J.A.; Evans, J.R. Water and temperature stress define the optimal flowering period for wheat in south-eastern Australia. Field Crops Res. 2017, 209, 108–119. [Google Scholar] [CrossRef]
- Guo, Z. Mapping the planting dates: An effort to retrive crop phenology information from MODIS NDVI time series in Africa. In Proceedings of the International Geoscience and Remote Sensing Symposium, Melbourne, VIC, Australia, 21–26 July 2013; pp. 3281–3284. [Google Scholar]
- Duchemin, B.; Fieuzal, R.; Rivera, M.A.; Ezzahar, J.; Jarlan, L.; Rodriguez, J.C.; Hagolle, O.; Watts, C. Impact of sowing date on yield and water use efficiency of wheat analyzed through spatial modeling and FORMOSAT-2 images. Remote Sens. 2015, 7, 5951–5979. [Google Scholar] [CrossRef]
- Urban, D.; Guan, K.; Jain, M. Estimating sowing dates from satellite data over the US midwest: A comparison of multiple sensors and metrics. Remote Sens. Environ. 2018, 211, 400–412. [Google Scholar] [CrossRef]
- Santana, C.T.C.; Sanches, I.D.A.; Caldas, M.M.; Adami, M. A method for estimating soybean sowing, beginning seed, and harvesting dates in Brazil using NDVI-MODIS data. Remote Sens. 2024, 16, 2520. [Google Scholar] [CrossRef]
- Sacks, W.J.; Deryng, D.; Foley, J.A.; Ramankutty, N. Crop planting dates: An analysis of global patterns. Glob. Ecol. Biogeogr. 2010, 19, 607–620. [Google Scholar] [CrossRef]
- Rodigheri, G.; Sanches, I.D.A.; Richetti, J.; Tsukahara, R.Y.; Lawes, R.; Bendini, H.D.N.; Adami, M. Estimating crop sowing and harvesting dates using satellite vegetation index: A comparative analysis. Remote Sens. 2023, 15, 5366. [Google Scholar] [CrossRef]
- Hochman, Z.; Gobbett, D.; Holzworth, D.; McClelland, T.; Rees, H.V.; Marinoni, O.; Garcia, J.N.; Horan, H. Quantifying yield gaps in rainfed cropping systems: A case study of wheat in Australia. Field Crops Res. 2012, 136, 85–96. [Google Scholar] [CrossRef]
- Jain, M.; Srivastava, A.K.; Joon, R.K.; McDonald, A.; Royal, K.; Lisaius, M.C.; Lobell, D.B. Mapping smallholder wheat yields and sowing dates using microsatellite data. Remote Sens. 2016, 8, 860. [Google Scholar] [CrossRef]
- Brazil. Decree No. 9841, of 18 June 2019: Provides for the National Program for Agricultural Zoning of Climate Risk (ZARC). Available online: https://www.planalto.gov.br/ccivil_03/_ato2019-2022/2019/decreto/d9841.htm (accessed on 30 June 2024).
- Manfron, G.; Delmotte, S.; Busetto, L.; Hossard, L.; Ranghetti, L.; Brivio, P.A.; Boschetti, M. Estimating inter-annual variability in winter wheat sowing dates from satellite time series in Camargue, France. Int. J. Appl. Earth Obs. Geoinf. 2017, 57, 190–201. [Google Scholar]
- Marinho, E.; Vancutsem, C.; Fasbender, D.; Kayitakire, F.; Pini, G.; Pekel, J.F. From remotely sensed vegetation onset to sowing dates: Aggregating pixel-level detections into village-level sowing probabilities. Remote Sens. 2014, 6, 10947–10965. [Google Scholar] [CrossRef]
- Lobell, D.B.; Ortiz-Monasterio, J.I.; Sibley, A.M.; Sohu, V.S. Satellite detection of earlier wheat sowing in India and implications for yield trends. Remote Sens. 2013, 115, 137–143. [Google Scholar] [CrossRef]
- Sakamoto, T.; Yokozawa, M.; Toritani, H.; Shibayama, M.; Ishitsuka, N.; Ohno, H. A crop phenology detection method using time-series MODIS data. Remote Sens. Environ. 2005, 96, 366–374. [Google Scholar] [CrossRef]
- Silva, A.A.; Silva, F.C.D.S.; Guimarães, C.M.; Saleh, I.A.; Crus Neto, J.F.; El-Tayeb, M.A.; Abdel-Maksoud, M.A.; Aguilera, J.G.; Abdelgawad, H.; Zuffo, A.M. Spectral indices with different spatial resolutions in recognizing soybean phenology. PLoS ONE 2024, 19, 1–21. [Google Scholar] [CrossRef]
- Gao, F.; Zhang, X. Mapping crop phenology in near real-time using satellite remote sensing: Challenges and opportunities. J. Remote Sens. 2021, 2021, 1–14. [Google Scholar] [CrossRef]
- Gao, F.; Anderson, M.; Daughtry, C.; Karnieli, A.; Hively, D.; Kustas, W. A within-season approach for detecting early growth stages in corn and soybean using high temporal and spatial resolution imagery. Remote Sens. Environ. 2020, 242, 111752. [Google Scholar] [CrossRef]
- Li, J.; Roy, D.P. A global analysis of Sentinel-2A, Sentinel-2B and Landsat-8 data revisit intervals and implications for terrestrial monitoring. Remote Sens. 2017, 9, 902. [Google Scholar] [CrossRef]
- Lulla, K.; Nellis, M.D.; Rundquist, B. The Landsat 8 is ready for geospatial science and technology researchers and practitioners. Geocarto Int. 2013, 28, 191. [Google Scholar] [CrossRef]
- Lulla, K.; Nellis, M.D.; Rundquist, B.; Srivastava, P.K.; Szabo, S. Mission to earth: Landsat 9 will continue to view the world. Geocarto Int. 2021, 36, 2261–2263. [Google Scholar] [CrossRef]
- Roy, D.P.; Wulder, M.A.; Loveland, T.R.; Woodcock, C.E.; Allen, R.; Anderson, M.; Helder, D.; Irons, J.R.; Johnson, D.M.; Kennedy, R.; et al. Landsat-8: Science and product vision for terrestrial global change research. Remote Sens. Environ. 2014, 145, 154–172. [Google Scholar] [CrossRef]
- Whitcraft, A.K.; Becker-Reshef, I.; Killough, B.D.; Justice, C.O. Meeting earth observation requirements for global agricultural monitoring: An evaluation of the revisit capabilities of current and planned moderate resolution optical earth observing missions. Remote Sens. 2015, 7, 1482–1503. [Google Scholar] [CrossRef]
- Claverie, M.; Ju, J.; Masek, J.G.; Dungan, J.L.; Vermote, E.F.; Roger, J.C.; Skakun, S.V.; Justice, C. The Harmonized Landsat and Sentinel-2 surface reflectance data set. Remote Sens. Environ. 2018, 219, 145–161. [Google Scholar] [CrossRef]
- Zhou, Q.; Rover, J.; Brown, J.; Worstell, B.; Howard, D.; Wu, Z.; Gallant, A.L.; Rundquist, B.; Burke, M. Monitoring landscape dynamics in central U.S. grasslands with Harmonized Landsat-8 and Sentinel-2 time series data. Remote Sens. 2019, 11, 328. [Google Scholar] [CrossRef]
- Jönsson, P.; Cai, Z.; Melaas, E.; Friedl, M.A.; Eklundh, L. A method for robust estimation of vegetation seasonality from Landsat and Sentinel-2 time series data. Remote Sens. 2018, 10, 635. [Google Scholar] [CrossRef]
- Vrieling, A.; Meroni, M.; Darvishzadeh, R.; Skidmore, A.K.; Wang, T.; Zurita-Milla, R.; Oosterbeek, K.; O’Connor, B.; Paganini, M. Vegetation phenology from Sentinel-2 and field cameras for a Dutch barrier island. Remote Sens. Environ. 2018, 215, 517–529. [Google Scholar] [CrossRef]
- Zeng, L.; Wardlow, B.D.; Xiang, D.; Hu, S.; Li, D. A review of vegetation phenological metrics extraction using time-series, multispectral satellite data. Remote Sens. Environ. 2020, 237, 111511. [Google Scholar] [CrossRef]
- Rouse, J.W.; Hass, R.H.; Schell, J.A.; Deering, D.W. Monitoring vegetation systems in the great plains with ERTS. In Proceedings of the Earth Resources Technology Satellite-1 Symposium, Washington, DC, USA, 10–14 December 1973; ERTS. pp. 309–317. [Google Scholar]
- Liu, H.Q.; Huete, A. A feedback based modification of the NDVI to minimize canopy background and atmospheric noise. IEEE Trans. Geosci. Remote Sens. 1995, 33, 457–465. [Google Scholar] [CrossRef]
- Gitelson, A.A. Wide dynamic range vegetation index for remote quantification of biophysical characteristics of vegetation. Agric. For. Meteorol. 2004, 161, 165–173. [Google Scholar] [CrossRef]
- Gao, B.C. NDWI—A normalized difference water index for remote sensing of vegetation liquid water from space. Remote Sens. Environ. 1996, 58, 257–266. [Google Scholar] [CrossRef]
- Diao, C.; Yang, Z.; Gao, F.; Zhang, X.; Yang, Z. Hybrid phenology matching model for robust crop phenological retrieval. ISPRS J. Photogramm. Remote Sens. 2021, 181, 308–326. [Google Scholar] [CrossRef]
- Sakamoto, T.; Wardlow, B.D.; Gitelson, A.A.; Verma, S.B.; Suyker, A.E.; Arkebauer, T.J. A two-step filtering approach for detecting maize and soybean phenology with time-series MODIS data. Remote Sens. Environ. 2010, 114, 2146–2159. [Google Scholar] [CrossRef]
- Liu, L.; Cao, R.; Chen, J.; Shen, M.; Wang, S.; Zhou, J.; He, B. Detecting crop phenology from vegetation index time-series data by improved shape model fitting in each phenological stage. Remote Sens. Environ. 2022, 277, 113060. [Google Scholar] [CrossRef]
- Sakamoto, T. Refined shape model fitting methods for detecting various types of phenological information on major U.S. crops. ISPRS J. Photogramm. Remote Sens. 2018, 138, 176–192. [Google Scholar] [CrossRef]
- Cao, R.; Li, L.; Liu, L.; Liang, H.; Zhu, X.; Shen, M.; Zhou, J.; Li, Y.; Chen, J. A spatiotemporal shape model fitting method for within-season crop phenology detection. ISPRS J. Photogramm. Remote Sens. 2024, 217, 179–198. [Google Scholar] [CrossRef]
- Cao, R.; Chen, J.; Shen, M.; Tang, Y. An improved logistic method for detecting spring vegetation phenology in grasslands from MODIS EVI time-series data. Agric. For. Meteorol. 2015, 200, 9–20. [Google Scholar] [CrossRef]
- Bolton, D.K.; Friedl, M.A. Forecasting crop yield using remotely sensed vegetation indices and crop phenology metrics. Agric. For. Meteorol. 2013, 173, 74–84. [Google Scholar] [CrossRef]
- Boschetti, M.; Stroppiana, D.; Brivio, P.A.; Bocchi, S. Multi-year monitoring of rice crop phenology through time series analysis of MODIS images. Int. J. Remote Sens. 2009, 30, 4643–4662. [Google Scholar] [CrossRef]
- Zhang, X.; Friedl, M.A.; Schaaf, C.B.; Strahler, A.H.; Hodges, J.C.; Gao, F.; Reed, B.C.; Huete, A. Monitoring vegetation phenology using MODIS. Remote Sens. Environ. 2003, 84, 471–475. [Google Scholar] [CrossRef]
- Diao, C. Remote sensing phenological monitoring framework to characterize corn and soybean physiological growing stages. Remote Sens. Environ. 2020, 248, 111960. [Google Scholar] [CrossRef]
- IBGE-Instituto Brasileiro de Geografia e Estatística. 2019 Biomes and Coastal-Marine System of Brazil. Available online: https://www.ibge.gov.br/geociencias/informacoes-ambientais/vegetacao/15842-biomas.html (accessed on 18 July 2023).
- Abrahão, G.M.; Costa, M.H. Evolution of rain and photoperiod limitations on the soybean growing season in Brazil: The rise (and possible fall) of double-cropping systems. Agric. For. Meteorol. 2018, 256, 32–45. [Google Scholar] [CrossRef]
- CONAB-Companhia Nacional de Abastecimento. 2022 Grain Sowing and Harvest Calendar in Brazil. Available online: https://www.gov.br/conab/pt-br/acesso-a-informacao/institucional/publicacoes/arquivos-de-paginas/calendariozplantiozezcolheitazjunz2022.pdf (accessed on 26 October 2023).
- Juliatti, F.C.; Zambolim, L. Etiology, epidemiology and management of Asian Soybean Rust (ASR) in Brazil and vulnerability of chemical control of specific without multisite fungicides. In Cereal Grains; Goyal, A.K., Ed.; RAYN Cultivation: Hershey, PA, USA, 2021; pp. 41–60. [Google Scholar]
- NASA-National Aeronautics and Space Administration. NASA’s Earthdata Search. Available online: https://search.earthdata.nasa.gov/ (accessed on 21 February 2024).
- Beck, P.S.; Atzberger, C.; Høgda, K.A.; Johansen, B.; Skidmore, A.K. Improved monitoring of vegetation dynamics at very high latitudes: A new method using MODIS NDVI. Remote Sens. Environ. 2006, 100, 321–334. [Google Scholar] [CrossRef]
- Santana, C.T.C.; Sanches, I.D.; Adami, M.A.; Caldas, M.M.; Oldoni, L.V. Agri-phenopy: An algorithm for extracting agricultural crops phenology metrics from vegetation index time series. In Proceedings of the Anais of the XXI Brazilian Remote Sensing Symposium, Salvador, BA, Brazil, 13–16 April 2025; Available online: https://proceedings.science/sbsr-2025/papers/agri-phenopy-an-algorithm-for-extracting-agricultural-crops-phenology-metrics-fr?lang=en (accessed on 16 May 2024).
- Franch, B.; Vermote, E.; Skakun, S.; Roger, J.C.; Masek, J.; Ju, J.; Villaescusa-Nadal, J.L.; Santamaria-Artigas, A. A method for Landsat and Sentinel 2 (HLS) BRDF normalization. Remote Sens. 2019, 11, 632. [Google Scholar] [CrossRef]
- Masek, J.G.; Ju, J.; Skakun, S.V.; Roger, J.C.; Vermote, E.F.; Claverie, M.; Dungan, J.L.; Yin, Z.; Freitag, B.; Justice, C.O. HLS Sentinel-2 MSI Surface Reflectance Daily Global 30m v2.0. NASA EOSDIS Land Processes DAAC 2021, 2. Available online: https://www.earthdata.nasa.gov/data/catalog/lpcloud-hlss30-1.5 (accessed on 17 August 2025).
- Masek, J.G.; Ju, J.; Skakun, S.V.; Roger, J.C.; Vermote, E.F.; Claverie, M.; Dungan, J.L.; Yin, Z.; Freitag, B.; Justice, C.O. HLS Operational Land Imager Surface Reflectance and TOA Brightness Daily Global 30 m v2.0. NASA EOSDIS Land Processes DAAC 2021, 2. Available online: https://cmr.earthdata.nasa.gov/search/concepts/C2021957657-LPCLOUD.html (accessed on 17 August 2025).
- Zhu, Z.; Wang, S.; Woodcock, C.E. Improvement and expansion of the fmask algorithm: Cloud, cloud shadow, and snow detection for Landsats 4–7, 8, and Sentinel-2 images. Remote Sens. Environ. 2015, 159, 269–277. [Google Scholar] [CrossRef]
- Qiu, S.; Zhu, Z.; He, B. Fmask 4.0: Improved cloud and cloud shadow detection in Landsats 4–8 and Sentinel-2 imagery. Remote Sens. Environ. 2019, 231, 111205. [Google Scholar] [CrossRef]
- Huete, A.; Didan, K.; Miura, T.; Rodriguez, E.P.; Gao, X.; Ferreira, L.G. Overview of the radiometric and biophysical performance of the MODIS vegetation indices. Remote Sens. Environ. 2002, 83, 195–213. [Google Scholar] [CrossRef]
- Seo, B.; Lee, J.; Lee, K.D.; Hong, S.; Kang, S. Improving remotely-sensed crop monitoring by NDVI-based crop phenology estimators for corn and soybeans in Iowa and Illinois, USA. Field Crops Res. 2019, 238, 113–128. [Google Scholar] [CrossRef]
- Huete, A.R. A soil-adjusted vegetation index (SAVI). Remote Sens. Environ. 1988, 28, 295–309. [Google Scholar] [CrossRef]
- Zanzarini, F.V.; Pissarra, T.C.T.; Brandão, F.J.C.; Teixeira, D.D.B. Correlação espacial do índice de vegetação (NDVI) de imagem Landsat/ETM+ com atributos do solo. Rev. Bras. Eng. Agríc. Ambient. 2013, 17, 608–614. [Google Scholar] [CrossRef]
- Risso, J.; Rizzi, R.; Rudorff, B.F.T.; Adami, M.; Shimabukuro, Y.E.; Formaggio, A.R.; Epiphanio, R.D.V. Índices de vegetação MODIS aplicados na discriminação de áreas de soja. Pesq. Agropec. Bras. 2012, 47, 1317–1326. [Google Scholar] [CrossRef]
- Chen, D.; Brutsaert, W. Satellite-sensed distribution and spatial patterns of vegetation parameters over tallgrass prairie. J. Atmos. Sci. 1998, 55, 1225–1238. [Google Scholar] [CrossRef]
- Gamon, J.A.; Field, C.B.; Goulden, M.L.; Griffin, K.L.; Hartley, A.E.; Joel, G.; Peñuelas, J.; Valentini, R. Relationships between NDVI, canopy structure, and photosynthesis in three Californian vegetation types. Ecol. Appl. 1995, 5, 28–41. [Google Scholar] [CrossRef]
- Asrar, G. Theory and Applications of Optical Remote Sensing; Wiley: New York, NY, USA, 1984; 734p. [Google Scholar]
- Chen, D.; Huang, J.; Jackson, T.J. Vegetation water content estimation for corn and soybeans using spectral indices derived from MODIS near- and short-wave infrared bands. Remote Sens. Environ. 2005, 98, 225–236. [Google Scholar] [CrossRef]
- Fensholt, R. Earth observation of vegetation status in the Sahelian and Sudanian West Africa: Comparison of Terra MODIS and NOAA AVHRR satellite data. Int. J. Remote Sens. 2004, 25, 1641–1659. [Google Scholar] [CrossRef]
- Kuplich, T.M.; Moreira, A.; Fontana, D.C. Série temporal de índice de vegetação sobre diferentes tipologias vegetais no Rio Grande do Sul. Rev. Bras. Eng. Agríc. Ambient. 2013, 17, 1116–1123. [Google Scholar] [CrossRef]
- Gitelson, A.A.; Wardlow, B.D.; Keydan, G.P.; Leavitt, B. An evaluation of MODIS 250-m data for green LAI estimation in crops. Geophys. Res. Lett. 2007, 34. [Google Scholar] [CrossRef]
- Peng, Y.; Gitelson, A.A. Application of chlorophyll-related vegetation indices for remote estimation of maize productivity. Agric. For. Meteorol. 2011, 151, 1267–1276. [Google Scholar] [CrossRef]
- Zhou, H.; Zhou, G.; Song, X.; He, Q. Dynamic characteristics of canopy and vegetation water content during an entire maize growing season in relation to spectral-based indices. Remote Sens. 2022, 14, 584. [Google Scholar] [CrossRef]
- Wardlow, B.D.; Kastens, J.H.; Egbert, S.L. Using USDA crop progress data for the evaluation of greenup onset date calculated from MODIS 250-meter data. Photogramm. Eng. Remote Sens. 2006, 72, 1225–1234. [Google Scholar] [CrossRef]
- Savitzky, A.; Golay, M.J. Smoothing and differentiation of data by simplified least squares procedures. Anal. Chem. 1964, 36, 1627–1639. [Google Scholar] [CrossRef]
- Rezaei, E.E.; Ghazaryan, G.; González, J.; Cornish, N.; Dubovyk, O.; Siebert, S. The use of remote sensing to derive maize sowing dates for large-scale crop yield simulations. Int. J. Biometeorol. 2021, 65, 565–576. [Google Scholar] [CrossRef]
- Trentin, R.; Heldwein, A.B.; Streck, N.A.; Trentin, G.; Silva, J.C.D. Subperíodos fenológicos e ciclo da soja conforme grupos de maturidade e datas de semeadura. Pesq. Agropec. Bras. 2013, 48, 703–713. [Google Scholar] [CrossRef]
- Gao, F.; Anderson, M.C.; Zhang, X.; Yang, Z.; Alfieri, J.G.; Kustas, W.P.; Mueller, R.; Johnson, D.M.; Prueger, J.H. Toward mapping crop progress at field scales through fusion of Landsat and MODIS imagery. Remote Sens. Environ. 2017, 188, 9–25. [Google Scholar] [CrossRef]
- Shapiro, S.S.; Wilk, M.B. An analysis of variance test for normality (complete samples). Biometrika. 1965, 52, 591–611. [Google Scholar] [CrossRef]
- Wissler, C. The Spearman correlation formula. Soft Comput. 1905, 22, 309–311. [Google Scholar] [CrossRef]
- Sidney, S.; Castellan-Júnior, N.J. Nonparametric Statistics for the Behavioral Sciences, 2nd ed.; McGraw-Hill: New York, NY, USA, 1988; 39p. [Google Scholar]
- Vieira, D.C.; Sanches, I.D.A.; Montibeller, B.; Prudente, V.H.R.; Hansen, M.C.; Baggett, A.; Adami, M. Cropland expansion, intensification, and reduction in Mato Grosso state, Brazil, between the crop years 2000/01 to 2017/18. Remote Sens. Appl. Soc. Environ. 2022, 28, 100841. [Google Scholar] [CrossRef]
- Zhang, M.; Abrahao, G.; Cohn, A.; Campolo, J.; Thompson, S. A MODIS-based scalable remote sensing method to estimate sowing and harvest dates of soybean crops in Mato Grosso, Brazil. Heliyon 2021, 7, e07436. [Google Scholar] [CrossRef] [PubMed]
- Johann, J.A.; Becker, W.R.; Uribe-Opazo, M.A.; Mercante, E. Uso de imagens do sensor orbital MODIS na estimação de datas do ciclo de desenvolvimento da cultura da soja para o estado do Paraná—Brasil. Eng. Agríc. 2016, 36, 126–142. [Google Scholar] [CrossRef]
- Bendini, H.N.; Fonseca, L.M.G.; Schwieder, M.; Körting, T.S.; Rufin, P.; Sanches, I.D.; Leitão, P.J.; Hostert, P. Detailed agricultural land classification in the Brazilian Cerrado based on phenological information from dense satellite image time series. Int. J. Appl. Earth Obs. Geoinf. 2019, 82, 101872. [Google Scholar]
- Duveiller, G.; Baret, F.; Defourny, P. Remotely sensed green area index for winter wheat crop monitoring: 10-year assessment at regional scale over a fragmented landscape. Agric. For. Meteorol. 2012, 166, 156–168. [Google Scholar] [CrossRef]
- Duveiller, G.; Baret, F.; Defourny, P. Crop specific green area index retrieval from MODIS data at regional scale by controlling pixel-target adequacy. Remote Sens. Environ. 2011, 115, 2686–2701. [Google Scholar] [CrossRef]
- Prudente, V.H.R.; Martins, V.S.; Vieira, D.C.; Silva, N.R.F.; Adami, M.; Sanches, I.D. Limitations of cloud cover for optical remote sensing of agricultural areas across South America. Remote Sens. Appl. Soc. Environ. 2020, 20, 100414. [Google Scholar] [CrossRef]
- Löw, F.; Duveiller, G. Defining the spatial resolution requirements for crop identification using optical remote sensing. Remote Sens. 2014, 6, 9034–9063. [Google Scholar] [CrossRef]
- Zhou, Q.; Guan, K.; Wang, S.; Hipple, J.; Chen, Z. From satellite-based phenological metrics to crop planting dates: Deriving field-level planting dates for corn and soybean in the US midwest. ISPRS J. Photogramm. Remote Sens. 2024, 216, 259–273. [Google Scholar] [CrossRef]
- Garrity, S.R.; Bohrer, G.; Maurer, K.D.; Mueller, K.L.; Vogel, C.S.; Curtis, P.S. A comparison of multiple phenology data sources for estimating seasonal transitions in deciduous forest carbon exchange. Agric. For. Meteorol. 2011, 151, 1741–1752. [Google Scholar] [CrossRef]
- Zhang, X.; Friedl, M.A.; Schaaf, C.B. Sensitivity of vegetation phenology detection to the temporal resolution of satellite data. Int. J. Remote Sens. 2009, 30, 2061–2074. [Google Scholar] [CrossRef]
- Kimmelshue, C.L.; Goggi, S.; Moore, K.J. Seed size, planting depth, and a perennial groundcover system effect on corn emergence and grain yield. Agronomy 2022, 12, 437. [Google Scholar] [CrossRef]
- Nemergut, K.T.; Thomison, P.R.; Carter, P.R.; Lindsey, A.J. Planting depth affects corn emergence, growth and development, and yield. Agron. J. 2021, 113, 3351–3360. [Google Scholar] [CrossRef]
- Silva, A.P.; Kay, B.D. Estimation of soil hydraulic properties from limited data: Consequences for the simulation of soil water content. Soil Tillage Res. 1997, 44, 113–126. [Google Scholar]
- Li, X.; Welbaum, G.E.; Rideout, S.L.; Singer, W.; Zhang, B. Vegetable soybean and its seedling emergence in the United States. In Legumes research; Jimenez-Lopez, J.C., Clemente, A., Eds.; RAYN Cultivation: Rijeka, Croatia, 2022; Chapter 10; pp. 1–25. [Google Scholar]
- Oliveira, F.C.; Coelho, P.H.M.; Sousa Neto, M.; Almeida, A.C.S.; Santos, F.L.S.; Oliveira, J.P.M.; Oliveira, B.S.; Teixeira, I.R.; Campos, A.J. Logistics and storage of soybean in Brazil. Afr. J. Agric. Res. 2016, 11, 3261–3272. [Google Scholar] [CrossRef]
- Souza, M.M.; Rocha, M.P.; Farias, V.; Tavares, H. Optimization of soybean outflow routes from Mato Grosso, Brazil. Int. J. Innov. Educ. Res. 2020, 8, 176–191. [Google Scholar] [CrossRef]
- Silva, R.F.B.; Batistella, M.; Moran, E.; Celidonio, O.L.D.M.; Millington, J.D. The soybean trap: Challenges and risks for Brazilian producers. Front. Sustain. Food Syst. 2020, 4, 12. [Google Scholar] [CrossRef]
- Fehr, W.R.; Caviness, C.E. Stages of Soybean Development; Special Report 80; 1977; 11p. Available online: https://www.scienceopen.com/book?vid=42b3310e-8b38-4c8a-aba0-18752f452141 (accessed on 17 August 2025).
- Barbosa, M.A.M.; Kuki, K.N.; Bengala, P.S.P.; Pereira, E.D.S.; Barros, A.F.; Montoya, S.G.; Pimentel, L.D. Phenological and physiological evaluation of first and second cropping periods of sorghum and maize crops. J. Agron. Crop Sci. 2020, 206, 263–276. [Google Scholar] [CrossRef]
- Borges, E.F.; Sano, E.E. Séries temporais de EVI do MODIS para o mapeamento de uso e cobertura vegetal do oeste da Bahia. Bol. Ciênc. Geodés. 2014, 20, 526–547. [Google Scholar] [CrossRef]
- Tsumanuma, G.M.; Carvalho, S.J.P.D.; Fancelli, A.L.; Bernardes, M.S.; Rodrigues, M.A.T.; Begliomini, E. Effects of herbicide and fungicide applications on the growth of two soybean cultivars. Rev. Ceres 2010, 57, 742–750. [Google Scholar] [CrossRef]
- Chamma, L.; Silva, G.F.D.; Perissato, S.M.; Alievi, C.; Chaves, P.P.N.; Giandoni, V.C.R.; Calonego, J.C.; Silva, E.A.A. Does forced plant maturation by applying herbicide with desiccant action influence seed longevity in soybean? Plants 2023, 12, 2769. [Google Scholar] [CrossRef]
- Addicott, F.T.; Lynch, R.S. Defoliation and desiccation: Harvest-aid practices. Adv. Agron. 1957, 9, 67–93. [Google Scholar]
- Jiang, Z.; Huete, A.R.; Didan, K.; Miura, T. Development of a two-band enhanced vegetation index without a blue band. Remote Sens. Environ. 2008, 112, 3833–3845. [Google Scholar] [CrossRef]









| State | Crop | Group Season | Metrics | Days |
|---|---|---|---|---|
| MT | Soybean 1 (588 fields) | 2019/2020 (290 fields) | SOS | −15 days |
| EOS | −12 days | |||
| 2020/2021 (298 fields) | SOS | −21 days | ||
| EOS | −12 days | |||
| Corn 2 (442 fields) | 2020/2020 (125 fields) | SOS | −16 days | |
| EOS | +13 days | |||
| 2021/2021 (145 fields) | SOS | −21 days | ||
| EOS | +3 days | |||
| 2022/2022 (172 fields) | SOS | −16 days | ||
| EOS | +16 days | |||
| 2023/2023 (236 fields) | SOS | −20 days | ||
| EOS | +4 days | |||
| PR | Soybean 1 (1093 fields) | 2019/2020 (1093 fields) | SOS | −24 days |
| EOS | −7 days | |||
| Corn 1 (461 fields) | 2021/2022 (461 fields) | SOS | −28 days | |
| EOS | −3 days |
| State | Crop | Metrics | Index | Days |
|---|---|---|---|---|
| MT | Soybean | SOS (−18 days) | NDVI | −18 days |
| EVI | −20 days | |||
| WDRVI | −17 days | |||
| NDWI | −18 days | |||
| EOS (−12 days) | NDVI | −12 days | ||
| EVI | −9 days | |||
| WDRVI | −12 days | |||
| NDWI | −13 days | |||
| Corn | SOS (−18 days) | NDVI | −18 days | |
| EVI | −19 days | |||
| WDRVI | −19 days | |||
| NDWI | −20 days | |||
| EOS (+9 days) | NDVI | +5 days | ||
| EVI | +18 days | |||
| WDRVI | +8 days | |||
| NDWI | +11 days | |||
| PR | Soybean | SOS (−24 days) | NDVI | −23 days |
| EVI | −26 days | |||
| WDRVI | −24 days | |||
| NDWI | −26 days | |||
| EOS (−7 days) | NDVI | −6 days | ||
| EVI | −5 days | |||
| WDRVI | −8 days | |||
| NDWI | −10 days | |||
| Corn | SOS (−28 days) | NDVI | −26 days | |
| EVI | −29 days | |||
| WDRVI | −28 days | |||
| NDWI | −26 days | |||
| EOS (−3 days) | NDVI | 0 days | ||
| EVI | +1 days | |||
| WDRVI | −1 days | |||
| NDWI | −3 days |
| State | Crop | Metrics | Index | MB 1 | S.D. of Bias 2 | RMSE 3 | |ME 4| |
|---|---|---|---|---|---|---|---|
| MT | First Season Soybean | SOS | NDVI | 2.76 | 10.31 | 5.0 | 5.0 |
| EVI | −2.32 | 9.72 | 5.0 | 5.0 | |||
| WDRVI | 0.84 | 10.17 | 5.0 | 5.0 | |||
| NDWI | −0.20 | 10.40 | 6.0 | 6.0 | |||
| EOS | NDVI | 0.31 | 10.76 | 6.0 | 6.0 | ||
| EVI | 2.07 | 11.53 | 8.0 | 8.0 | |||
| WDRVI | −0.58 | 11.31 | 7.0 | 7.0 | |||
| NDWI | −1.69 | 11.90 | 7.0 | 7.0 | |||
| Second Season Corn | SOS | NDVI | 1.27 | 10.79 | 5.0 | 5.0 | |
| EVI | 0.00 | 11.95 | 5.0 | 5.0 | |||
| WDRVI | 0.03 | 10.32 | 5.0 | 5.0 | |||
| NDWI | −0.93 | 10.11 | 5.0 | 5.0 | |||
| EOS | NDVI | −4.87 | 17.82 | 11.0 | 11.0 | ||
| EVI | 7.68 | 18.68 | 14.0 | 14.0 | |||
| WDRVI | −1.45 | 18.13 | 10.0 | 10.0 | |||
| NDWI | −1.23 | 26.76 | 15.0 | 15.0 | |||
| PR | First Season Soybean | SOS | NDVI | 1.10 | 11.27 | 6.0 | 6.0 |
| EVI | −1.61 | 11.25 | 6.0 | 6.0 | |||
| WDRVI | 0.36 | 11.25 | 6.0 | 6.0 | |||
| NDWI | −1.49 | 12.53 | 7.0 | 7.0 | |||
| EOS | NDVI | 0.54 | 12.02 | 6.0 | 6.0 | ||
| EVI | 1.91 | 11.77 | 7.0 | 7.0 | |||
| WDRVI | −1.33 | 12.07 | 6.0 | 6.0 | |||
| NDWI | −3.11 | 13.18 | 7.0 | 7.0 | |||
| First Season Corn | SOS | NDVI | 1.76 | 12.55 | 7.0 | 7.0 | |
| EVI | −0.64 | 11.42 | 7.0 | 7.0 | |||
| WDRVI | 0.61 | 12.47 | 7.0 | 7.0 | |||
| NDWI | −1.56 | 14.51 | 8.0 | 8.0 | |||
| EOS | NDVI | −2.95 | 14.98 | 9.0 | 9.0 | ||
| EVI | 4.09 | 14.51 | 8.0 | 8.0 | |||
| WDRVI | −2.37 | 14.95 | 9.0 | 9.0 | |||
| NDWI | 0.30 | 15.68 | 10.0 | 10.0 |
Disclaimer/Publisher’s Note: The statements, opinions and data contained in all publications are solely those of the individual author(s) and contributor(s) and not of MDPI and/or the editor(s). MDPI and/or the editor(s) disclaim responsibility for any injury to people or property resulting from any ideas, methods, instructions or products referred to in the content. |
© 2025 by the authors. Licensee MDPI, Basel, Switzerland. This article is an open access article distributed under the terms and conditions of the Creative Commons Attribution (CC BY) license (https://creativecommons.org/licenses/by/4.0/).
Share and Cite
Santana, C.T.C.d.; Adami, M.; Prudente, V.H.R.; Garcia, A.D.B.; Caldas, M.M. Using Harmonized Landsat Sentinel-2 Vegetation Indices to Estimate Sowing and Harvest Dates for Corn and Soybeans in Brazil. Remote Sens. 2025, 17, 2927. https://doi.org/10.3390/rs17172927
Santana CTCd, Adami M, Prudente VHR, Garcia ADB, Caldas MM. Using Harmonized Landsat Sentinel-2 Vegetation Indices to Estimate Sowing and Harvest Dates for Corn and Soybeans in Brazil. Remote Sensing. 2025; 17(17):2927. https://doi.org/10.3390/rs17172927
Chicago/Turabian StyleSantana, Cleverton Tiago Carneiro de, Marcos Adami, Victor Hugo Rohden Prudente, Andre Dalla Bernardina Garcia, and Marcellus Marques Caldas. 2025. "Using Harmonized Landsat Sentinel-2 Vegetation Indices to Estimate Sowing and Harvest Dates for Corn and Soybeans in Brazil" Remote Sensing 17, no. 17: 2927. https://doi.org/10.3390/rs17172927
APA StyleSantana, C. T. C. d., Adami, M., Prudente, V. H. R., Garcia, A. D. B., & Caldas, M. M. (2025). Using Harmonized Landsat Sentinel-2 Vegetation Indices to Estimate Sowing and Harvest Dates for Corn and Soybeans in Brazil. Remote Sensing, 17(17), 2927. https://doi.org/10.3390/rs17172927

