Chemical Composition and Biogas Formation potential of Sida hermaphrodita and Silphium perfoliatum
Abstract
1. Introduction
2. Materials and Methods
2.1. Characteristics of Energy Plants
2.2. Study Site and Experimental Design
2.3. Harvesting and Yield
2.4. Determination of Chemical Composition
2.5. Calculations to Predict Biogas Yield and Biomethane Yield
2.6. Data Analysis
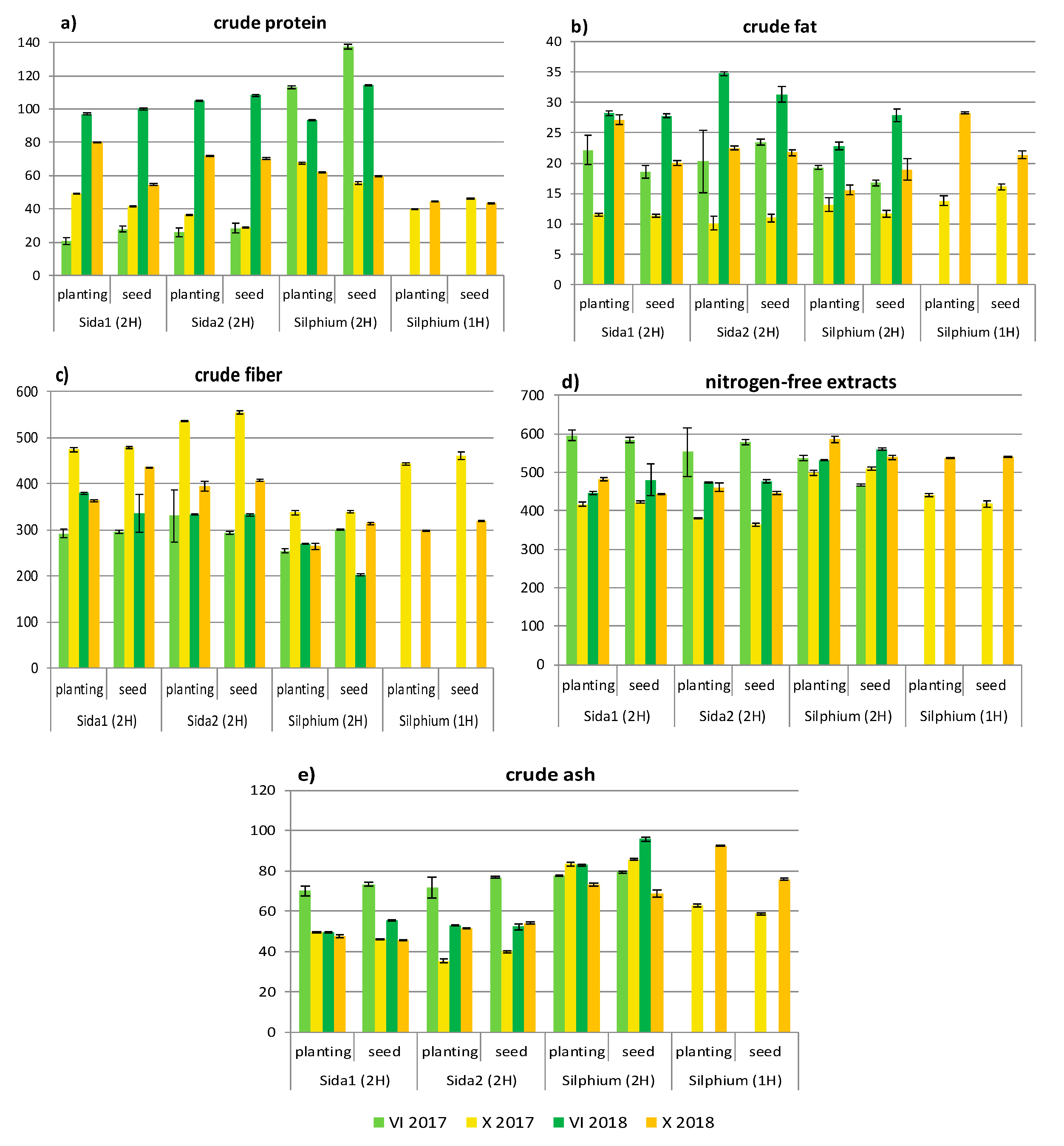
3. Results
4. Discussion
5. Conclusions
Author Contributions
Acknowledgments
Conflicts of Interest
References
- Faber, A. Greenhouse gas emissions and carbon retention by agriculture. Fragm. Agron. 2001, 4, 102–117. (In Polish) [Google Scholar]
- Gradziuk, P. Potential and forecast for use of agricultural biogas in Poland. Ann. Pol. Assoc. Agric. Agribus. Econ. 2017, 19, 64–70. (In Polish) [Google Scholar] [CrossRef][Green Version]
- Directive 2009/28/EC of the European Parliament and of the Council of 23 April 2009 on the Promotion of the use of Energy from Renewable Sources. Available online: https://eur-lex.europa.eu/legal-content/EN/ALL/?uri=CELEX%3A32009L0028 (accessed on 23 July 2019).
- Fehrenbach, H.; Giegrich, J.; Reinhardt, G.; Sayer, U.; Gretz, M.; Lanje, K.; Schmitz, J. Kriterien einer nachhaltigen Bioenergienutzung im globalen Maßstab. UBA-Forsch. 2008, 206, 41–112. [Google Scholar]
- Raboni, M.; Urbini, G. Production and use of biogas in Europe: A survey of current status and perspectives. Rev. Ambient. Água 2014, 9, 192–202. [Google Scholar]
- Gostomczyk, W. State and Prospects for the Development of the Biogas Market in the EU and Poland—Economic Approach. Sci. J. Wars. Univ. Life Sci. 2017, 2, 48–64. [Google Scholar]
- Weiland, P. Biogas production: Current state and perspectives. Appl. Microbiol. Biotechnol. 2010, 85, 849–860. [Google Scholar] [CrossRef]
- Mittweg, G.; Oechsner, H.; Hahn, V.; Lemmer, A.; Reinhardt-Hanisch, A. Repeatability of a laboratory batch method to determine the specific biogas and methane yields. Life Sci. 2012, 12, 270–278. [Google Scholar] [CrossRef]
- Baserga, U. Co-Digestionin agricultural biogas plants. Digestion of organic residues and energy grass for biogas production. FAT-Ber. 1998, 512, 1–11. [Google Scholar]
- Amon, T.; Amon, B.; Kryvoruchko, V.; Machmüller, A.; Hopfner-Sixt, K.; Bodiroza, V.; Hrbek, R.; Friedel, J.; Pötsch, E.; Wagentristl, H.; et al. Methane production through anaerobic digestion of various energy crops grown in sustainable crop rotations. Bioresour. Technol. 2007, 98, 3204–3212. [Google Scholar] [CrossRef]
- Heffrich, D.; Oechsner, H. The Hohenheim Biogas Yield Test. Comparison of different laboratory techniques for the digestion of biomass. Agrartech. Forsch. 2003, 3, 148–149. [Google Scholar]
- Heuwinkel, H.; Aschmann, A.; Gerlach, R.; Gronauer, A. Die Genauigkeit der Messung des Gasertragspotentials von Substraten mit der Batchmethod. Int. Wiss. Biogas Sci. 2009, 2, 95–103. [Google Scholar]
- Weissbach, F. Evaluation of the renewable primary products for biogas production, part I: Gas production potential of fermentable nutrients. Pflanzenbauwissenschaften 2009, 13, 72–85. [Google Scholar]
- Rath, J.; Heuwinkel, H.; Herrmann, A. Specific biogas yield of maize can be predicted by the interaction of four biochemical constituents. Bioenergy Res. 2013, 6, 939–952. [Google Scholar] [CrossRef]
- Rath, J.; Heuwinkel, H.; Taube, F.; Herrmann, A. Predicting Specific Biogas Yield of Maize-Validation of Different Model Approaches. Bioenergy Res. 2015, 8, 832–842. [Google Scholar] [CrossRef]
- Oechsner, H.; Lemmer, A.; Neuberg, C. Crops as a Digestion Substrate in Biogas Plants. Landtechnik 2003, 58, 146–147. [Google Scholar] [CrossRef]
- McKendry, P. Energy production from biomass (part 1): Overview of biomass’. Bioresour. Technol. 2002, 83, 37–46. [Google Scholar] [CrossRef]
- Podkówka, Z.; Podkówka, L. Use of sugar sorghum (Sorghum Saccharatum) for biogas production. Sci. Nat. Technol. 2016, 10, 1–8. [Google Scholar] [CrossRef]
- Altier, M.A. The Ecological Impacts of Large-Scale Agrofuel Monoculture Production Systems in the Americas. BSTS 2009, 29, 236–244. [Google Scholar] [CrossRef]
- Borkowska, H.; Styk, B. Virginia Mallow (Sida Hermaphrodita Rusby) Cultivation and Use; WAR: Lublin, Poland, 2006. (In Polish) [Google Scholar]
- Kowalski, R.; Wolski, T. Evaluation of Phenolic Acid Content in Silphium perfoliatum L. Leaves, Inflorescences and Rhizomes. EJPAU 2003, 6. Available online: http://www.ejpau. media.pl/volume6/issue1/horticulture/art-03.html (accessed on 23 July 2019).
- Nahm, M.; Morhart, C. Virginia mallow (Sida hermaphrodita (L.) Rusby) as perennial multipurpose crop: Biomass yields, energetic valorization, utilization potentials, and management perspectives. GCB Bioenergy 2018, 10, 393–404. [Google Scholar] [CrossRef]
- Gansberger, M.; Montgomery, L.F.R.; Liebhard, P. Botanical characteristics, crop management and potential of Silphium perfoliatum L. as a renewable resource for biogas production: A review. Ind. Crop. Prod. 2015, 63, 362–372. [Google Scholar] [CrossRef]
- Antonkiewicz, J.; Kołodziej, B.; Bielińska, E.J. Phytoextraction of heavy metals from municipal sewage sludge by Rosa multiflora and Sida hermaphrodita. Int. J. Phyt. 2017, 19, 309–318. [Google Scholar] [CrossRef] [PubMed]
- Klimont, K. Evaluating the usability of selected plant species to reclamation of the areas degraded by industry and public utilities. Probl. Agric. Eng. 2007, 2, 27–36. (In Polish) [Google Scholar]
- Zielinski, M.; Debowski, M.; Kisielewska, M. Effectiveness of Biogas Production from Selected Energy Crops by An-Aerobic Methane Digestion Supported by Microwave Radiation. Environ. Pollut. Control 2018, 40, 43–48. [Google Scholar]
- Poskart, A.; Szwaja, S.; Musiał, D. Torrefaction of Virginia mallow as substitute fuel for domestic boilers. Rynek Energii 2016, 6, 104–108. [Google Scholar]
- Pilat, J.; Majtkowski, W.; Majtkowska, G.; Mikolajczak, J.; Goralska, A. The usefulness for ensiling of chosen plant forms of species of Silphium genus. JCEA 2007, 8, 363–368. [Google Scholar]
- Weverac, C.; Höller, M.; Beckera, B.; Biertümpfeld, A.; Köhlerd, J.; Inghelandte, D.; Westhoffac, P.; Pudebc, R.; Pestsova, E. Towards high-Biomass yielding bioenergy crop Silphium perfoliatum L.: Phenotypic and genotypic evaluation of five cultivated populations. Biomass Bioenergy 2019, 124, 102–113. [Google Scholar] [CrossRef]
- Frączek, J.; Mudryk, K.; Wróbel, M. Cup plant Silphium perfoliatum L.—Biomass source for biofuels production. Agric. Eng. 2011, 6, 21–27. [Google Scholar]
- Jablonowski, N.D.; Kollmann, T.; Nabel, M.; Damm, T.; Klose, H.; M€uller, M.; Bl€asin, M.; Seebold, S.; Krafft, S.; Kuperjans, I.; et al. Valorization of Sida (Sidahermaphrodita) biomass for multiple energy purposes. GCB Bioenergy 2017, 9, 202–214. [Google Scholar] [CrossRef]
- Horwitz, W.; Latimer, G.W.J. Official Methods of Analysis of the Association of Official Analytical Chemists; AOAC: Virginia, VA, USA, 2006; pp. 24–44. [Google Scholar]
- Ţîţei, V. The evaluation of biomass of the Sida hermaphrodita and Silphium perfoliatum for renewable energy in Moldova. Sci. Pap. Ser. A Agron. 2017, 60, 534–540. [Google Scholar]
- Jamroz, D. Animal Nutrition and Feed Science; PWN: Warszawa, Poland, 2013. [Google Scholar]
- Podkówka, W. Agricultural biogas—A renewable energy source. In Theory, Practical Application; PWRiL: Warsaw, Poland, 2012. [Google Scholar]
- Speckmaier, M.; Schlattmann, M.; Metzner, T.; Gronauer, A. Determining Biogas Yields from Co-Substrates in Semi-Continuously Operated Laboratory-Scale Digesters. Landtechnik 2005, 60, 340–341. [Google Scholar] [CrossRef]
- Schulz, V.S.; Munz, S.; Stolzenburg, K.; Hartung, J.; Weisenburger, S.; Mastel, K.; Möller, K.; Claupein, W.; Graeff-Hönninger, S. Biomass and Biogas Yield of Maize (Zea mays L.) Grown under Artificial Shading. Agriculture 2018, 8, 178. [Google Scholar] [CrossRef]
- Stolarski, M.J.; Krzyżaniak, M.; Śnieg, M.; Słomińska, E.; Piórkowski, M.; Filipkowski, R. Thermophysical and chemical properties of perennial energy crops depending on harvest period. Int. Agrophys. 2014, 28, 201–211. [Google Scholar] [CrossRef]
- Zsubori, Z.T.; Pinter, J.; Spitko, T.; Hegyi, Z.; Marton, C.L. Yield and chemical composition of plant parts of silage maize (Zea mays L) hybrids and their interest for biogas production. Maydica 2013, 58, 34–41. [Google Scholar]
- Chanpla, M.; Kullavanijaya, P.; Janejadkarn, A.; Chavalparit, O. Effect of harvesting age and performance evaluation on biogasification from Napier grass in separated stages process. KSCE J. Civ. Eng. 2018, 22, 40. [Google Scholar] [CrossRef]
- Dandikas, H.; Heuwinkel, F.; Lichtia, J.; Drewes, E.; Koch, K. Correlation between biogas yield and chemical composition of energy crops. Bioresour. Technol. 2014, 174, 316–320. [Google Scholar] [CrossRef]
- Cossel, M.; Möhring, J.; Kiesel, A.; Lewandowski, I. Optimization of specific methane yield prediction models for biogas crops based on lignocellulosic components using non-Linear and crop-Specific configurations. Ind. Crop. Prod. 2018, 120, 330–342. [Google Scholar] [CrossRef]
- Herrmann, C.; Idler, C.; Heiermann, M. Biogas crops grown in energy crop rotations: Linking chemical composition and methane production characteristics. Bioresour. Technol. 2016, 206, 23–35. [Google Scholar] [CrossRef]
- Masse, M.; Gilbert, Y.; Savoie, P.; Belanger, G.; Parent, G.; Babineau, D. Methane yield from switchgrass harvested at different stages of development in Eastern Canada. Bioresour. Technol. 2010, 101, 9536–9541. [Google Scholar] [CrossRef]
- Mast, B.; Lemmer, A.; Oechsner, H.; Reinhardt-Hanisch, A.; Claupein, H.W.; Graeff-Hönninger, S. Methane yield potential of novel perennial biogas crops influenced by harvest date. Ind. Crop. Prod. 2014, 58, 194–203. [Google Scholar] [CrossRef]

| Crop | 2017 | 2018 | ||||
|---|---|---|---|---|---|---|
| 2H (VI) 1 | 2H (X) | 1H (X) | 2H (VI) | 2H (X) | 1H (X) 2 | |
| Sida1 planting | 13.17 | 1.95 | - | 4.42 | 2.32 | - |
| Sida1 seed | 11.72 | 2.07 | - | 4.60 | 2.63 | - |
| Sida2 planting | 12.52 | 2.24 | - | 5.74 | 2.79 | - |
| Sida2 seed | 7.84 | 1.31 | - | 2.99 | 1.84 | - |
| Silphium planting | 21.69 | 4.89 | 13.40 | 9.02 | 3.11 | 20.59 |
| Silphium seed | 19.36 | 5.34 | 15.66 | 7.74 | 4.53 | 19.07 |
| Crop | 2017 | 2018 | ||||
|---|---|---|---|---|---|---|
| 2H (VI) | 2H (X) | 1H (X) | 2H (VI) | 2H (X) | 1H (X) | |
| Sida1 planting | 509.6 ± 9.2 A,a | 506.9 ± 4.0 A,a | - | 508.1 ± 2.7 A,a | 512.0 ± 2.7 A,a | - |
| Sida1 seed | 505.2 ± 4.3 A,a | 509.7 ± 2.6 A,a | - | 505.4 ± 31.5 A,a | 512.4 ± 0.7 A,a | - |
| Sida2 planting | 506.0 ± 46.3 A,a | 514.2 ± 1.5 A,a | - | 508.6 ± 1.4 A,a | 508.6 ± 8.3 A,a | - |
| Sida2 seed | 505.0 ± 4.4 A,a | 512.6 ± 3.0 A,a | - | 507.4 ± 3.1 A,a | 506.7 ± 2.8 A,a | - |
| Silphium planting | 490.8 ± 4.7 B,a | 490.1 ± 4.8 B,a | 502.7 ± 2.8 b | 491.8 ± 1.5 B,a | 499.8 ± 6.3 A,a | 495.5 ± 1.4 a |
| Silphium seed | 483.5 ± 2.2 B,a | 490.1 ± 2.4 B,a | 504.2 ± 5.9 b | 485.3 ± 2.6 B,a | 502.1 ± 3.5 A,a | 501.6 ± 1.3 a |
| Crop | 2017 | 2018 | ||||
|---|---|---|---|---|---|---|
| 2H (VI) | 2H (X) | 1H (X) | 2H (VI) | 2H (X) | 1H (X) | |
| Sida1 planting | 51.0 ± 0.9 A,a | 51.2 ± 0.4 A,a | - | 52.5 ± 0.3 A,a | 52.2 ± 0.3 A,a | - |
| Sida1 seed | 51.1 ± 0.4 A,a | 51.0 ± 0.3 A,a | - | 52.5 ± 3.1 A,a | 51.5 ± 0.1 A,a | - |
| Sida2 planting | 51.1 ± 4.6 A,a | 50.9 ± 0.2 A,a | - | 52.8 ± 0.1 A,a | 51.9 ± 0.8 A,a | - |
| Sida 2 seed | 51,2 ± 0.5 A,a | 50.8 ±0.5 A.a | - | 52.8 ± 0.3 A,a | 51.8 ± 0.3 A,a | - |
| Silphium planting | 52.5 ± 0.5 B,a | 51.6 ± 0.5 A,b | 51.1 ± 0.3 b | 52.3 ± 0.2 A,a | 51.5 ± 0.6 A,a | 51.7 ± 0.1 a |
| Silphium seed | 52.9 ± 0.2 B,a | 51.3 ± 0.3 A,b | 51.3 ± 0.6 b | 52.9 ± 0.1A,a | 51.6 ± 0.4 A,a | 51.4 ± 0.1 a |
| Crop | 2017 | 2018 | ||||||
|---|---|---|---|---|---|---|---|---|
| 2H (VI) | 2H (X) | sum | 1H | 2H (VI) | 2H (X) | sum | 1H | |
| Sida1 planting | 6334 A,a | 912 A,b | 7246 | - | 2138 A,a | 1094 A,b | 3232 | - |
| Sida1 seed | 5542 B,a | 980 A,b | 6522 | - | 2203 A,a | 1235 B,b | 3438 | - |
| Sida2 planting | 5894 A,a | 1070 A,b | 6964 | - | 2771 A,a | 1294 A,b | 4064 | - |
| Sida 2 seed | 3697 B,a | 623 B,b | 4321 | - | 1437 B,a | 851 B,b | 2288 | - |
| Silphium planting | 9971 A | 2174 A | 12,146 a | 6130 b | 4195 A | 1407 A | 5602 a | 9223 b |
| Silphium seed | 8647 A | 2429 A | 11,076 a | 7262 b | 3456 B | 2112 B | 5568 a | 8829 b |
© 2019 by the authors. Licensee MDPI, Basel, Switzerland. This article is an open access article distributed under the terms and conditions of the Creative Commons Attribution (CC BY) license (http://creativecommons.org/licenses/by/4.0/).
Share and Cite
Siwek, H.; Włodarczyk, M.; Możdżer, E.; Bury, M.; Kitczak, T. Chemical Composition and Biogas Formation potential of Sida hermaphrodita and Silphium perfoliatum. Appl. Sci. 2019, 9, 4016. https://doi.org/10.3390/app9194016
Siwek H, Włodarczyk M, Możdżer E, Bury M, Kitczak T. Chemical Composition and Biogas Formation potential of Sida hermaphrodita and Silphium perfoliatum. Applied Sciences. 2019; 9(19):4016. https://doi.org/10.3390/app9194016
Chicago/Turabian StyleSiwek, Hanna, Małgorzata Włodarczyk, Ewa Możdżer, Marek Bury, and Teodor Kitczak. 2019. "Chemical Composition and Biogas Formation potential of Sida hermaphrodita and Silphium perfoliatum" Applied Sciences 9, no. 19: 4016. https://doi.org/10.3390/app9194016
APA StyleSiwek, H., Włodarczyk, M., Możdżer, E., Bury, M., & Kitczak, T. (2019). Chemical Composition and Biogas Formation potential of Sida hermaphrodita and Silphium perfoliatum. Applied Sciences, 9(19), 4016. https://doi.org/10.3390/app9194016

