Sign in to use this feature.

Years

Between: -

Subjects

remove_circle_outline
remove_circle_outline
remove_circle_outline
remove_circle_outline
remove_circle_outline
remove_circle_outline
remove_circle_outline
remove_circle_outline
remove_circle_outline

Journals

remove_circle_outline
remove_circle_outline
remove_circle_outline
remove_circle_outline
remove_circle_outline
remove_circle_outline

Article Types

Countries / Regions

remove_circle_outline
remove_circle_outline
remove_circle_outline

Search Results (231)

Search Parameters:
Keywords = AEA

Order results
Result details
Results per page
Select all
Export citation of selected articles as:
15 pages, 2987 KB  
Article
Altered Plasma Endocannabinoids and Oxylipins in Adolescents with Major Depressive Disorders: A Case–Control Study
by Akash Chakravarty, Abinaya Sreetharan, Ester Osuna, Isabelle Herter-Aeberli, Isabelle Häberling, Jeannine Baumgartner, Gregor E. Berger and Martin Hersberger
Nutrients 2026, 18(2), 280; https://doi.org/10.3390/nu18020280 (registering DOI) - 15 Jan 2026
Abstract
Background: Pediatric Major Depressive Disorder (pMDD) is one of the leading causes of disability in adolescents. There is currently no single explanation that fully accounts for the cause of the disorder, but various factors, including dysregulation of the immune and stress responses, have [...] Read more.
Background: Pediatric Major Depressive Disorder (pMDD) is one of the leading causes of disability in adolescents. There is currently no single explanation that fully accounts for the cause of the disorder, but various factors, including dysregulation of the immune and stress responses, have been linked to its onset. Oxylipins and endocannabinoids, derived from metabolization of n-3 and n-6 polyunsaturated fatty acids (PUFAs), regulate inflammation and have been suggested to attenuate inflammation associated with depression. This study aims to understand whether adolescents with pMDD have altered baseline levels of oxylipins and endocannabinoids compared to healthy adolescents. Methods: In this case–control study, we measured 60 oxylipins and endocannabinoids in plasma from 82 adolescents with pMDD and their matching healthy controls. Results: A Principal Component Analysis revealed substantial variability within each group and only a moderate degree of separation between them. In a paired analysis, the lipid mediators of controls exhibited higher concentrations of n-6 PUFA-derived prostaglandins and thromboxanes (PGE2, PGD2, PGF2a and TXB2), n-3 PUFA-derived TxB3, and the endocannabinoids AEA, EPEA, and DHEA. In contrast, cases had higher concentrations of the n-6 PUFA-derived 6-keto-PGF1a and the n-3 PUFA-derived PGD3. In addition, we observed a higher percentage of oxylipins and endocannabinoids derived from DHA (5.65 ± 5.46% vs. 4.72 ± 4.94%) and AA (16.31 ± 11.10% vs. 12.76 ± 13.46%) in plasma from controls, in line with the higher DHA and AA levels observed in erythrocytes from controls compared to cases. Conclusions: Overall, our results show lower plasma levels of endocannabinoids and lower DHA- and AA-derived oxylipins in adolescents with pMDD, supporting their role in the pathophysiology of pMDD. To infer a causative role of the n-3 and n-6 PUFA-derived oxylipins and endocannabinoids in pMDD, an intervention study with n-3 PUFA supplementation and monitoring of oxylipins and endocannabinoids would be necessary. Full article
Show Figures

Figure 1

16 pages, 735 KB  
Article
Multidimensional Morphology of the Ethmoid Roof and Anterior Ethmoidal Artery: A CT-Based Analysis and Proposal of the Akcan Classification
by Abdullah Belada, Fatih Alper Akcan, Derya Güçlü, Ender Güçlü, İlhan Ünlü, Buğra Subaşı, Mehmet Ali Özel, Ethem İlhan, Derya Cebeci and Mehmet Ali Sungur
Diagnostics 2026, 16(1), 81; https://doi.org/10.3390/diagnostics16010081 - 25 Dec 2025
Viewed by 297
Abstract
Background/Objectives: Anatomical variation in the ethmoid roof and lateral lamella play an important role in anatomical vulnerability during endoscopic sinus and skull base surgery. However, widely used classifications, including the Keros system, primarily focus on vertical depth and may not fully reflect [...] Read more.
Background/Objectives: Anatomical variation in the ethmoid roof and lateral lamella play an important role in anatomical vulnerability during endoscopic sinus and skull base surgery. However, widely used classifications, including the Keros system, primarily focus on vertical depth and may not fully reflect the complex geometric relationship between the ethmoid roof, lateral lamella, and the anterior ethmoidal artery (AEA). This study aimed to characterize ethmoid roof and lateral lamella anatomy using high-resolution CT and to propose a descriptive radiological framework—the Akcan Classification—that integrates AEA exit patterns with multiple morphometric parameters. Given the complexity of thin skull base structures, interobserver reproducibility of all morphometric parameters was additionally assessed to ensure measurement robustness. Methods: High-resolution paranasal sinus CT scans from 175 adults (350 sides) were retrospectively evaluated. Measurements included ethmoid roof width, lateral lamella depth, anterior–posterior length, lamellar angle, AEA–lamella distance, and sinonasal anatomical variations. Interobserver reliability was quantified using ICCs. AEA morphology was categorized as in-canal (Type 1), partially suspended (Type 2), or fully suspended (Type 3) based on radiological appearance of bony canalization. Appropriate statistical tests were used to compare morphometric features across groups. Results: Suspended AEA configurations demonstrated progressively wider ethmoid roofs, deeper lateral lamellae, steeper lamellar inclination, and shorter AEA–lamella distances (all p < 0.001). Supraorbital ethmoid cells were more frequently observed in Type 3 cases (p < 0.001). Other anatomical variations showed no significant association with ethmoid roof morphology. Interobserver reliability was excellent for all measurements (ICC range 0.87–0.94). Conclusions: The findings suggest that AEA configuration is associated with broader patterns of ethmoid roof and lateral lamella morphology. Rather than serving as a validated predictor of surgical outcomes, the Akcan Classification provides a structured anatomical and radiological descriptor that complements depth-based systems such as the Keros classification. The high reproducibility of measurements supports its potential utility for standardized anatomical assessment and preoperative radiological interpretation, while further studies incorporating surgical correlation are required. Full article
(This article belongs to the Section Medical Imaging and Theranostics)
Show Figures

Figure 1

21 pages, 1896 KB  
Article
The Effect of Cannabidiol on Nociceptive Behaviour and the Endocannabinoid System in an Incisional Wound Model
by Maria C. Redmond, Catherine R. Healy, Mary Hopkins, Rosmara Infantino, Georgina Gethin, Abhay Pandit and David P. Finn
Pharmaceuticals 2026, 19(1), 43; https://doi.org/10.3390/ph19010043 - 24 Dec 2025
Viewed by 283
Abstract
Background/Objectives: Wound-related pain is a common, yet inadequately managed condition, and new therapeutic strategies are warranted. Limited data suggests that phytocannabinoids and cannabis may alleviate wound-related pain; however, further studies are required. This study investigated the effects of systemic administration of cannabidiol (CBD) [...] Read more.
Background/Objectives: Wound-related pain is a common, yet inadequately managed condition, and new therapeutic strategies are warranted. Limited data suggests that phytocannabinoids and cannabis may alleviate wound-related pain; however, further studies are required. This study investigated the effects of systemic administration of cannabidiol (CBD) on nociceptive behaviour following dorsum incision and on the endocannabinoid system. Methods: Male Sprague-Dawley rats (150–200 g on arrival, n = 9/group) underwent a 1.2 cm incision on the hairy skin of the dorsum or sham procedure. Back and hind paw mechanical withdrawal thresholds were assessed at baseline and post-surgery/sham days (PSDs) 1, 4, 7, and 8 using manual and electronic von Frey tests, respectively. On PSD 8, the effect of a single acute administration of CBD (3, 10, or 30 mg/kg, i.p.) on mechanical hypersensitivity in the dorsum and hind paws was assessed. The levels of endocannabinoids and N-acylethanolamines in the plasma and discrete brain regions following CBD administration were analysed. Results: Robust mechanical hypersensitivity was evident in the dorsum and hind paws following the incision. CBD (3 mg/kg) partially attenuated primary mechanical hypersensitivity in the dorsum, in a site- and dose-specific manner. CBD had no effect on secondary mechanical hypersensitivity. CBD did not alter the levels of endocannabinoids or N-acylethanolamines, but in rats that received CBD (3 mg/kg), levels of 2-AG were lower in the contralateral amygdala and levels of AEA were higher in the contralateral lumbar spinal cord, compared to the ipsilateral sides. Conclusions: These data provide evidence for antinociceptive effects of CBD in a model of incisional wound-related pain. Further research on CBD’s mechanism(s) of action is warranted. The potential antinociceptive effects of other phytocannabinoids in this model should also be investigated. Full article
(This article belongs to the Special Issue The Therapeutic Potential of Cannabidiol)
Show Figures

Graphical abstract

17 pages, 10093 KB  
Article
Effects of Air-Entraining Agent Type on Air Entrainment and Air-Void Structure of Cement Mortars Under Low Atmospheric Pressure
by Lianxia Ma, Rui He, Yinbo Zhang and Liangliang Li
Processes 2026, 14(1), 61; https://doi.org/10.3390/pr14010061 - 24 Dec 2025
Viewed by 354
Abstract
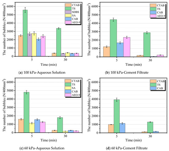
This study examines the effect of air-entraining agents (AEAs) type on cement-mortar air content and air-void structure under reduced atmospheric pressure. Six representative AEAs—cetyltrimethylammonium bromide (CTAB), triterpenoid saponin (TS), sodium dodecylbenzenesulfonate (SDBS), sodium abietate (SA), cocamidopropyl betaine (CAB), and fatty alcohol polyoxyethylene ether [...] Read more.
This study examines the effect of air-entraining agents (AEAs) type on cement-mortar air content and air-void structure under reduced atmospheric pressure. Six representative AEAs—cetyltrimethylammonium bromide (CTAB), triterpenoid saponin (TS), sodium dodecylbenzenesulfonate (SDBS), sodium abietate (SA), cocamidopropyl betaine (CAB), and fatty alcohol polyoxyethylene ether (AEO-9)—were selected. Their foaming ability and time-dependent foam stability were measured in deionized water and in cement filtrate, and the air content of fresh mortars and the distribution of air-voids in hardened mortars were determined at 100 and 60 kPa. The results show that, at 100 kPa, TS, CAB, and CTAB produced higher initial foam height and better foam stability in deionized water than AEO-9, SA, and SDBS. TS and CAB also maintained a higher number density of bubbles and slower coalescence. In addition, all surfactant systems showed lower initial foam height and stability in cement filtrate than in deionized water, with SDBS, SA, and AEO-9 experiencing the greatest declines. When the pressure decreased from 100 kPa to 60 kPa, the mortar air content dropped by 8–15%, with the smallest reduction for TS (~8%) and the largest for CTAB (~15%). At 60 kPa, air voids with radius < 250 μm decreased markedly in hardened mortars: by 51%, 25%, and 28% for the control, CTAB, and AEO-9 mortars, respectively; but only by 14% for TS, highlighting its superior retention of fine air voids. Overall, amphoteric/saponin-type systems (represented by TS) exhibit better tolerance and stabilization, and are recommended for high-altitude concrete. Full article
Show Figures

Figure 1

13 pages, 1935 KB  
Article
Cytotoxicity of Cannabinoids in Combination with Traditional Lymphoma Chemotherapeutic Drugs Against Non-Hodgkin’s Lymphoma
by Saba Omer, Mahmoud Mansour, Satyanarayana R Pondugula, Muralikrishnan Dhanasekaran, Brad Matz, Omer Khan and Dawn Boothe
Biomedicines 2026, 14(1), 3; https://doi.org/10.3390/biomedicines14010003 - 19 Dec 2025
Viewed by 274
Abstract
Background: Cannabinoids (CBs) are FDA-approved for mitigating chemotherapy-induced side effects such as pain, nausea, and loss of appetite. Beyond palliative care, CBs exhibit anti-tumor properties in various cancers, including non-Hodgkin’s lymphoma (NHL). Previously, we demonstrated the cytotoxic effect of endogenous and exogenous [...] Read more.
Background: Cannabinoids (CBs) are FDA-approved for mitigating chemotherapy-induced side effects such as pain, nausea, and loss of appetite. Beyond palliative care, CBs exhibit anti-tumor properties in various cancers, including non-Hodgkin’s lymphoma (NHL). Previously, we demonstrated the cytotoxic effect of endogenous and exogenous cannabinoids on human and canine B- and T-cell-type NHL cell lines. The purpose of this study was to establish the cytotoxic effect of cannabinoids in combination with the components of CHOP and lomustine. This traditional NHL chemotherapy regimen comprises cyclophosphamide, doxorubicin, vincristine, and prednisolone. Methods: In this study, we studied three cannabinoids, one from each of the three major categories of cannabinoids (endocannabinoid AEA, phytocannabinoid CBD, and synthetic cannabinoid WIN-55 212 22). Each cannabinoid was selected based on potency, as determined in our previous experiments. For the combination, we used five NHL chemotherapy drugs. We analyzed the cytotoxicity of each drug alone and in combinations using canine malignant B-type NHL cell line 1771 and a colorimetric MTT (3-(4,5-dimethylthiazol-2-yl)-2,5 diphenyl tetrazolium bromide) cell proliferation assay and combination index (CI) based on the Chou–Talalay method. Results: Our results demonstrate that the cytotoxic effects of all traditional NHL chemotherapy drugs are synergistically enhanced (interaction with CI < 1) by each of the three cannabinoids at sub-IC50 concentrations. Conclusions: This work provides a proof of concept for using cannabinoids and traditional NHL drugs in combination to reduce the dose, and thereby potentially reducing the toxicity, of chemotherapeutic drugs and increasing the survival benefit in lymphoma clinical translation studies, offering a significant advancement in cancer treatment. Full article
Show Figures

Graphical abstract

21 pages, 5290 KB  
Article
Effect of Preformed Polymeric Microspheres on the Frost Resistance of Low-Clinker Cementitious Composites with Fine Recycled Aggregate
by Maja Kępniak, Rafał Panek, Maciej Kalinowski and Wojciech Franus
Materials 2025, 18(23), 5438; https://doi.org/10.3390/ma18235438 - 2 Dec 2025
Viewed by 432
Abstract
Achieving adequate frost resistance in cementitious composites made with low-clinker binders remains challenging, as conventional air-entraining admixtures often show limited effectiveness in such systems. This study examines an alternative approach that involves incorporating preformed polymeric microspheres to create a stable air–void system and [...] Read more.
Achieving adequate frost resistance in cementitious composites made with low-clinker binders remains challenging, as conventional air-entraining admixtures often show limited effectiveness in such systems. This study examines an alternative approach that involves incorporating preformed polymeric microspheres to create a stable air–void system and enhance freeze–thaw durability. Cementitious composites were prepared using a low-clinker binder containing fly ash and ground granulated blast furnace slag (GGBFS) as supplementary cementitious materials, with natural sand partially replaced by fine recycled aggregate derived from concrete waste. The influence of polymeric microspheres on workability, compressive strength, pore structure, and frost resistance was evaluated. Compared to the reference mixture (32.8 MPa), the mortar modified with polymeric microspheres exhibited clearly higher compressive strength—about 25% greater after 28 days—while the AEA-modified mixture showed a slight reduction. Total porosity measured by MIP was 18% for REF, 19% for AEA, and 17% for PPMThe results showed that adding polymeric spheres initially introduced a network of discrete voids that improved the material’s resistance to early freeze–thaw cycles. However, due to the prolonged hydration of the low-clinker system, hydration products progressively filled the initially created voids after the partial degradation of the polymeric spheres. Consequently, the air–void system gradually disappeared, leading to a loss of frost resistance at later ages. After 100 cycles, the PPM mixture exhibited a 75% loss in flexural strength and a 35% loss in compressive strength, whereas the AEA mixture retained its durability, with compressive strength loss limited to 6%. This finding suggests that, although early tests may indicate improved performance, the long-term durability of low-clinker cementitious composites incorporating fine recycled aggregate cannot be reliably enhanced by preformed polymeric spheres alone. Full article
(This article belongs to the Section Construction and Building Materials)
Show Figures

Figure 1

19 pages, 1324 KB  
Article
Effect of Central Injection of Anandamide on LPS-Dependent Suppression of GnRH/LH Secretion in Ewes During the Follicular Phase of the Estrous Cycle
by Karolina Wojtulewicz, Dorota Tomaszewska-Zaremba, Monika Tomczyk, Joanna Bochenek and Andrzej P. Herman
Int. J. Mol. Sci. 2025, 26(23), 11246; https://doi.org/10.3390/ijms262311246 - 21 Nov 2025
Viewed by 513
Abstract
The study investigated the effects of intracerebroventricular (ICV) administration of the endocannabinoid anandamide (AEA) on suppression of gonadotropin-releasing hormone (GnRH)/luteinizing hormone (LH) secretion during lipopolysaccharide (LPS)-induced inflammation in ewes at the follicular phase of the estrous cycle. Animals were divided into three groups: [...] Read more.
The study investigated the effects of intracerebroventricular (ICV) administration of the endocannabinoid anandamide (AEA) on suppression of gonadotropin-releasing hormone (GnRH)/luteinizing hormone (LH) secretion during lipopolysaccharide (LPS)-induced inflammation in ewes at the follicular phase of the estrous cycle. Animals were divided into three groups: control, LPS (intravenous, IV; 400 ng/kg), and LPS + AEA (ICV; 100 µM/animal). In LPS-treated ewes, AEA increased GnRH concentration in the preoptic area (POA) and upregulated GnRH mRNA expression in the POA and anterior hypothalamus (AHA). Central administration of AEA decreased the circulating concentration of cortisol in LPS-treated ewes. Moreover, AEA lowered proinflammatory interleukin (IL)-1β and increased anti-inflammatory IL-10 protein expressions in the hypothalamus of LPS-treated ewes. However, ICV AEA did not reverse the inflammation-associated reduction in LH secretion. These findings show that acute central administration of AEA abolishes the inhibitory effect of inflammation on GnRH synthesis in the POA and even stimulates it, likely through attenuation of central inflammation, as reflected by IL-1β and IL-10 changes in the POA. Nevertheless, short-term AEA administration was insufficient to counteract the inflammation-mediated suppression of LH secretion. Further studies are needed to explore the role of endocannabinoids (ECBs) in modulating GnRH/LH secretion under inflammatory conditions, particularly with prolonged exposure. Full article
Show Figures

Graphical abstract

37 pages, 1280 KB  
Review
The Endocannabinoid System in Human Disease: Molecular Signaling, Receptor Pharmacology, and Therapeutic Innovation
by Matei Șerban, Corneliu Toader and Răzvan-Adrian Covache-Busuioc
Int. J. Mol. Sci. 2025, 26(22), 11132; https://doi.org/10.3390/ijms262211132 - 18 Nov 2025
Cited by 2 | Viewed by 2614
Abstract
The endocannabinoid system (ECS) is a primary regulatory system in human physiology that serves to help maintain homeostasis throughout the nervous system, immune system, and gastrointestinal system. This review has the goal of evaluating the unique opportunity for the ECS to provide a [...] Read more.
The endocannabinoid system (ECS) is a primary regulatory system in human physiology that serves to help maintain homeostasis throughout the nervous system, immune system, and gastrointestinal system. This review has the goal of evaluating the unique opportunity for the ECS to provide a regulatory axis within the microbiota–gut–brain axis, particularly with regard to neurodevelopment, immune tolerance, and gut health. Cannabinoid receptors CB1 and CB2 and endogenous ligands anandamide (AEA) and 2-arachidonoylglycerol (2-AG have the ability to provide a variety of signaling pathways that can regulate cognitive resilience, emotional tuning, and immune regulation. Because the ECS has the ability to regulate multiple neurochemicals, alter immune cell functions, and maintain gut barriers, the ECS exists at the crossroads of many physiological systems, which also have a predictive role in neurodegenerative disease, chronic inflammation, and mental illness. Our goal is to present the latest and best recent advances in the ECS literature and establish evidence that there exists some modest potential for the therapeutic modulation of the ECS to improve pathological manifestations of cross-system dysregulation. In addition to cellular signaling pathways, the ECS affects other homeostatic processes, such as synaptic plasticity and the level of neuroprotection in the CNS, immune-related homeostasis, and coordinating the composition of gut microbiota. We argue that the ECS represents a suitable new therapeutic target that could modulate dysregulation across these systems more inclusively. This paper aims to emphasize the proposed potential of the ECS’s position in this axis and propose advanced cannabinoid-based interventions as a novel mechanism for developing personalized medicine and health systems through multi-system integration. Full article
Show Figures

Figure 1

34 pages, 7034 KB  
Article
The Impact of Digitalized All-Electric Aircraft on the Sustainable Development of the Aviation Industry: A Dynamic Differential Game Study Considering Delayed Effects
by Lijuan Tong, Qingyin Wei, Xiaoni Wen, Kang Wang and Jiahui Ding
Sustainability 2025, 17(22), 10288; https://doi.org/10.3390/su172210288 - 17 Nov 2025
Viewed by 947
Abstract
To meet the sustainable development goals of the aviation industry, promoting digitalized all-electric aircraft (AEA) is a critical path. However, during the dynamic popularization process of digitalized AEA, the interests among manufacturers, airlines, and governments vary, coupled with a notable time delay in [...] Read more.
To meet the sustainable development goals of the aviation industry, promoting digitalized all-electric aircraft (AEA) is a critical path. However, during the dynamic popularization process of digitalized AEA, the interests among manufacturers, airlines, and governments vary, coupled with a notable time delay in digitalized technological R&D and market promotion. Therefore, this study establishes differential game models for popularizing AEA and investigates dynamic optimal strategies of potential benefits, levels of digitalized R&D, consumer preferences, and market demand, under three game modes: Nash non-cooperative, cost-sharing, and collaborative cooperation. The research finds that: (1) When the promotion cost of AEA is lower than a certain threshold, the cost-sharing model can effectively enhance digital R&D. (2) In the case of ignoring time lag, the initial value of the battery life level and consumer preference becomes the decisive factor that significantly affects its dynamic evolution trajectory. Under the cost-sharing model, the battery life level and consumer preference reached 107.13 and 15.26, respectively. This is significantly higher than the collaborative model and the NASH non-cooperative model. (3) When the delay effect exceeds the thresholds of 4.58 and 5.49, respectively, the Nash non-cooperative model becomes the most effective promotion model. This paper provides an important decision-making reference for promoting the digital transformation and sustainable development of the aviation industry. Full article
Show Figures

Figure 1

21 pages, 13092 KB  
Article
Study on the Influence of the Mechanical Characteristics of the Cutting-Type Anti-Climbing Energy Absorber on the Collision Behavior of the GFRP Head Cover for Subways
by Xuan Liu, Ping Xu, Yifan Hu, Ying Gao and Dongtao Wang
Machines 2025, 13(11), 1043; https://doi.org/10.3390/machines13111043 - 12 Nov 2025
Viewed by 311
Abstract
Anti-climbing energy absorbers (AEAs) are often installed at the ends of subway vehicles to prevent climbing in the event of a head-on collision or rear-end collision, thereby improving safety performance. To reduce the air resistance of the vehicle during operation, the AEA is [...] Read more.
Anti-climbing energy absorbers (AEAs) are often installed at the ends of subway vehicles to prevent climbing in the event of a head-on collision or rear-end collision, thereby improving safety performance. To reduce the air resistance of the vehicle during operation, the AEA is usually wrapped with the GFRP head cover. However, the collision behavior of the head cover during a collision requires further research. The effects of mechanical properties of cutting anti-climbing energy absorbers (CAEAs) on the collision behavior of glass fiber reinforced polymer (GFRP) head covers for subway vehicles are investigated in this study. Firstly, the force–displacement curve of the CAEA was obtained through a dynamic impact test, and the finite element (FE) model of the CAEA with a GFRP head cover was constructed and verified. Subsequently, the effects of the four mechanical characteristics of the CAEA (i.e., initial peak crushing force (IPCF), platform force, compaction force, and eccentric height difference) on the collision behavior of the GFRP head cover were systematically analyzed. The results show that the increase in IPCF improves the energy absorption of CAEA, but that damage and stress concentration of the head cover at the moving end also occur. The increase in platform force induced the premature fracture of the GFRP head cover. The collision behavior of the head cover reaches a critical value when the compaction force is between 2500 and 3000 kN. Increasing the eccentric height difference between the anti-climbing teeth weakens the cutting energy absorption efficiency of CAEA and changes its deformation mode. This study can provide important insights into the design and optimization of anti-climbing energy absorbers for subway vehicles, and has important engineering value for improving the durability of the head cover and the collision safety of the vehicle. Full article
(This article belongs to the Section Advanced Manufacturing)
Show Figures

Figure 1

24 pages, 4148 KB  
Article
Theranostic Verteporfin-Conjugated Upconversion Nanoparticles for Cancer Treatment
by Oleksandr Shapoval, Vitalii Patsula, David Větvička, Miroslav Šlouf, Martina Kabešová, Taras Vasylyshyn, Ludmila Maffei Svobodová, Magdalena Konefal, Olga Kočková, Jan Pankrác, Petr Matouš, Vít Herynek and Daniel Horák
Nanomaterials 2025, 15(22), 1690; https://doi.org/10.3390/nano15221690 - 7 Nov 2025
Viewed by 973
Abstract
Photodynamic therapy (PDT) is a highly selective, clinically approved, minimally invasive technique that effectively eliminates cancer cells. Its effectiveness is limited by poor light penetration into tissue and the hydrophobic nature of photosensitizers, highlighting the need for new approaches to treatment. Here, a [...] Read more.
Photodynamic therapy (PDT) is a highly selective, clinically approved, minimally invasive technique that effectively eliminates cancer cells. Its effectiveness is limited by poor light penetration into tissue and the hydrophobic nature of photosensitizers, highlighting the need for new approaches to treatment. Here, a theranostic upconversion nanoplatform, consisting of a NaYF4:Yb,Er,Tm,Fe core and a NaHoF4 shell codoped with Yb, Nd, Gd and Tb ions, was designed to enhance PDT outcomes by integrating multi-wavelength upconversion luminescence, T2-weighted magnetic resonance imaging (MRI) and PDT. The synthesized core–shell upconversion nanoparticles (CS-UCNPs) were coated with new verteporfin (VP)-conjugated alendronate-terminated poly(N,N-dimethylacrylamide-co-2-aminoethyl acrylate) [Ale-P(DMA-AEA)] grafted with poly(ethylene glycol) (PEG). Under 980 nm NIR irradiation, CS-UCNP@Ale-P(DMA-AEA)-PEG-VP nanoparticles generated reactive oxygen species (ROS) due to the efficient energy transfer between CS-UCNPs and VP. In a pilot preclinical study, intratumoral administration of nanoparticle conjugates to mice, followed by exposure to NIR light, induced necrosis of pancreatic tumor and suppressed its growth. Full article
(This article belongs to the Section Biology and Medicines)
Show Figures

Graphical abstract

24 pages, 2700 KB  
Review
Oxylipins in Atherosclerosis: Their Role in Inflammation, Diagnosis, and Therapeutic Perspectives
by Dmitry V. Chistyakov, Vasiliy V. Chistyakov and Marina G. Sergeeva
Int. J. Mol. Sci. 2025, 26(21), 10577; https://doi.org/10.3390/ijms262110577 - 30 Oct 2025
Viewed by 903
Abstract
Atherosclerosis, the principal pathology underlying cardiovascular diseases, is now recognized as a chronic inflammatory disorder of the arterial wall. This review focuses on the central role of oxylipins, a diverse family of bioactive lipids derived from polyunsaturated fatty acids (PUFAs), in the inflammatory [...] Read more.
Atherosclerosis, the principal pathology underlying cardiovascular diseases, is now recognized as a chronic inflammatory disorder of the arterial wall. This review focuses on the central role of oxylipins, a diverse family of bioactive lipids derived from polyunsaturated fatty acids (PUFAs), in the inflammatory processes driving atherosclerosis. We synthesize evidence that oxylipins produced via cyclooxygenase (COX), lipoxygenase (LOX), cytochrome P450 (CYP), anandamide (AEA) pathways and non-enzymatic transformations of PUFAs are pivotal modulators of vascular function, immune cell recruitment, and plaque stability. The balance between pro-inflammatory mediators and specialized pro-resolving mediators (SPMs) is critical; a shift towards inflammation underlies disease progression. Advances in lipidomics now enable comprehensive oxylipin profiling, revealing distinct signatures with significant diagnostic and prognostic potential for assessing coronary artery disease severity and predicting future cardiovascular events. Therapeutically, while current anti-inflammatory strategies target downstream pathways, this review highlights emerging approaches that modulate the oxylipin system directly. These include promoting SPMs synthesis through omega-3 supplementation, inhibiting pro-inflammatory leukotriene production, and preserving cardioprotective epoxyeicosatrienoic acids (EETs) via soluble epoxide hydrolase (sEH) inhibition. A deeper understanding of these complex oxylipin networks promises to yield novel biomarkers and targeted therapies designed to restore inflammatory homeostasis and combat atherosclerotic cardiovascular disease. Full article
Show Figures

Figure 1

17 pages, 1701 KB  
Conference Report
Research Methods for the Analysis of Visual Emotion Cues in Animals: A Workshop Report
by Catia Correia-Caeiro, Anna Zamansky, Sabrina Karl and Annika Bremhorst
Animals 2025, 15(21), 3142; https://doi.org/10.3390/ani15213142 - 29 Oct 2025
Viewed by 893
Abstract
Animal emotions have been debated since Darwin’s pioneering work on the expression of such states in humans and other animals. Lately, interest in measuring animal emotions has been growing. Hence, a scientific discussion on this topic was needed, which translated into the organisation [...] Read more.
Animal emotions have been debated since Darwin’s pioneering work on the expression of such states in humans and other animals. Lately, interest in measuring animal emotions has been growing. Hence, a scientific discussion on this topic was needed, which translated into the organisation of the first International Workshop on Research Methods for Animal Emotion Analysis (RM4AEA). The current work aims to provide a concise yet critical examination of the current knowledge and methodological approaches discussed during the workshop, with a primary focus on visual behaviours. Although establishing conceptual definitions poses an initial challenge when studying animal emotions, the key challenges are found when collecting data sets, and when interpreting and analysing the information contained therein. This work also offers insights and recommendations to address these challenges, drawn from the closing panel discussion. By synthesising recent developments and expert perspectives shared during the workshop, this report aims to foster continued dialogue within the scientific community. Full article
(This article belongs to the Section Human-Animal Interactions, Animal Behaviour and Emotion)
Show Figures

Figure 1

12 pages, 4292 KB  
Article
Interaction Between Air Entraining Agent and Graphene Oxide and Its Effect on Bubble Behavior of Cement-Based Materials
by Min Qiao, Guofeng Chen, Yajie Fang, Yuxin Li and Mei Shi
Buildings 2025, 15(19), 3631; https://doi.org/10.3390/buildings15193631 - 9 Oct 2025
Viewed by 427
Abstract
Nanomaterials play a beneficial role in regulating the function of cement-based materials. The effects and mechanism of graphene oxide (GO) on foam behavior in solutions and air-entraining behavior of cement mortar were studied, and its effect on the microstructure of cement mortar was [...] Read more.
Nanomaterials play a beneficial role in regulating the function of cement-based materials. The effects and mechanism of graphene oxide (GO) on foam behavior in solutions and air-entraining behavior of cement mortar were studied, and its effect on the microstructure of cement mortar was also investigated. The results show that a synergy between GO’s hydrophobicity and the air-entraining agent’s hydrophobic chains drove more agent molecules to adsorb onto the GO surface, subsequently spreading and aggregating across the bubbles. GO effectively assisted the air entraining agent to refine the bubble size, improved the bubble stability of aqueous solutions, and had excellent air entraining performance in the fresh cement mortar, as well as the optimum air-void adjustment performance of hardened cement mortars. With the addition of 0.4‰ GO, the loss rate of gas content in the GO mixed mortar was 10.3%, which was 55.8% lower than that when only using AEA. The addition of 0.4‰ of GO effectively increased the volume fraction of the cement mortar system. GO reduced the pore volume in the mortar through the filling effect and nucleation effect to reduce the total porosity and refine the microstructure of the mortar. Full article
(This article belongs to the Section Building Materials, and Repair & Renovation)
Show Figures

Figure 1

16 pages, 5110 KB  
Article
Endocannabinoid System Regulation in Pyometra-Affected and Healthy Canine Uteri
by Anıl Gürkan Aksu, Volkan Ferahoğlu, Fatih Büyükbudak, Isil Unaldi, Aykut Gram, Murat Fındık and Serhan Serhat Ay
Vet. Sci. 2025, 12(10), 934; https://doi.org/10.3390/vetsci12100934 - 25 Sep 2025
Viewed by 1018
Abstract
Pyometra is a frequent and life-threatening reproductive disorder in bitches, characterized by profound immune and inflammatory responses within the uterus. The endocannabinoid system (eCS) is a key modulator of immune regulation, tissue homeostasis, and inflammation; however, its role in canine uterine physiology and [...] Read more.
Pyometra is a frequent and life-threatening reproductive disorder in bitches, characterized by profound immune and inflammatory responses within the uterus. The endocannabinoid system (eCS) is a key modulator of immune regulation, tissue homeostasis, and inflammation; however, its role in canine uterine physiology and pathology remains unexplored. This study aimed to characterize the presence and regulation of eCS components in the uterus of healthy and pyometra-affected dogs. Twenty-eight bitches were categorized into four groups: closed-cervix pyometra (CP; n = 7), open-cervix pyometra (OP; n = 7), diestrus (DE; n = 7), and anestrus (AE; n = 7). Uterine tissues were obtained by ovariohysterectomy. Serum progesterone, anandamide (AEA), and 2-arachidonylglycerol (2-AG) concentrations were quantified, while the uterine expression of cannabinoid receptors (CB1 and CB2) was assessed using real-time PCR and localized by immunohistochemistry (IHC). Serum AEA levels were significantly reduced in CP compared with AE (p = 0.017), whereas 2-AG differences did not reach significance (p = 0.072). Both CB1 and CB2 were consistently expressed across all groups, with IHC revealing receptor-specific patterns within uterine compartments. Collectively, these findings demonstrate for the first time that the canine uterus possesses a functional eCS, and that its modulation is linked to reproductive physiology and pyometra-associated inflammatory processes. Full article
(This article belongs to the Section Veterinary Reproduction and Obstetrics)
Show Figures

Graphical abstract

Back to TopTop