Sign in to use this feature.

Years

Between: -

Subjects

remove_circle_outline
remove_circle_outline
remove_circle_outline
remove_circle_outline
remove_circle_outline
remove_circle_outline
remove_circle_outline
remove_circle_outline
remove_circle_outline

Journals

remove_circle_outline
remove_circle_outline
remove_circle_outline
remove_circle_outline
remove_circle_outline
remove_circle_outline
remove_circle_outline
remove_circle_outline
remove_circle_outline
remove_circle_outline
remove_circle_outline
remove_circle_outline
remove_circle_outline
remove_circle_outline
remove_circle_outline
remove_circle_outline
remove_circle_outline
remove_circle_outline
remove_circle_outline
remove_circle_outline

Article Types

Countries / Regions

remove_circle_outline
remove_circle_outline
remove_circle_outline
remove_circle_outline
remove_circle_outline
remove_circle_outline
remove_circle_outline
remove_circle_outline
remove_circle_outline

Search Results (3,550)

Search Parameters:
Keywords = wind work

Order results
Result details
Results per page
Select all
Export citation of selected articles as:
23 pages, 9771 KB  
Article
Spatiotemporal Characterization and Transfer Patterns of Aerosols and Trace Gases over the Region of Northeast China
by Changyuan Gao, Chengzhi Xing, Wei Tan, Naishun Bu and Wenqing Liu
Atmosphere 2025, 16(11), 1258; https://doi.org/10.3390/atmos16111258 (registering DOI) - 2 Nov 2025
Abstract
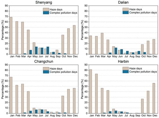
This study examined air quality data collected from 2015 to 2023 across Shenyang, Dalian, Changchun, and Harbin to assess interannual and monthly variations in PM2.5, PM10, SO2, NO2, and O3, along with their [...] Read more.
This study examined air quality data collected from 2015 to 2023 across Shenyang, Dalian, Changchun, and Harbin to assess interannual and monthly variations in PM2.5, PM10, SO2, NO2, and O3, along with their correlations, seasonal meteorological influences, and potential source regions. Annual mean concentrations of PM2.5, PM10, SO2, and NO2 declined substantially (by 39.9–79.3%), whereas O3 showed a fluctuating pattern, remaining persistently high in the coastal city of Dalian. Seasonally, PM2.5, PM10, SO2, and NO2 concentrations peaked in winter and decreased in summer, while O3 displayed the opposite trend. Particulate levels in Liaoning rebounded earlier in spring than in Jilin and Heilongjiang. Correlation analysis revealed strong positive relationships among particulate and gaseous pollutants, but O3 generally exhibited negative correlations with other species. Haze events occurred mainly in winter, whereas complex pollution episodes were more frequent in summer. Meteorological analysis indicated that relative humidity was negatively correlated with PM2.5, PM10, SO2, and NO2 in summer but positively correlated in winter. Elevated temperatures outside the winter months promoted NO2 dispersion and enhanced O3 formation. Strong winds in spring and winter markedly reduced PM2.5 and SO2 levels, though this effect was less evident in Shenyang. WPSCF results identified significant cross-regional transport from the southwest contributing to PM2.5, PM10, and NO2 during spring and winter, while O3 was primarily affected by long-range transport in spring and only marginally in winter. In Dalian, sea–land breeze circulation further intensified transport processes in summer and autumn. Overall, this work provides an integrated, multi-year, and multi-city assessment of pollution dynamics, meteorological drivers, and transboundary transport in Northeast China, offering new insights into regional air quality improvement and its spatial heterogeneity relative to other regions of China. Full article
(This article belongs to the Special Issue Study of Air Pollution Based on Remote Sensing (2nd Edition))
Show Figures

Figure 1

25 pages, 3759 KB  
Article
Mechanical Analysis and Prototype Testing of Prestressed Rock Anchors
by Xianzhi Xiao, Risheng Zhu, Zhi Huang, Fengying Xiao, Huajie Yin, Tengfei Zhao and Mojia Huang
Buildings 2025, 15(21), 3952; https://doi.org/10.3390/buildings15213952 (registering DOI) - 2 Nov 2025
Abstract
This study primarily investigates the mechanical performance of prestressed anchor foundations. Based on the assumptions of continuity, homogeneity, and isotropy of the anchor foundation and anchoring materials, a simplified elastic analysis model was developed. Using the superposition principle, the working stresses under vertical [...] Read more.
This study primarily investigates the mechanical performance of prestressed anchor foundations. Based on the assumptions of continuity, homogeneity, and isotropy of the anchor foundation and anchoring materials, a simplified elastic analysis model was developed. Using the superposition principle, the working stresses under vertical loads and bending moments were calculated, allowing for the determination of the maximum working stresses within the anchors and the foundation. Additionally, the distribution of bond strength of the prestressed tendons was analyzed, and the concept of effective anchorage length was introduced. The reliability of the model was validated through prototype testing, with the measured free segment strain values showing a high degree of consistency with theoretical calculations, with errors within 6.5%. Empirical data on ultimate bearing capacity and bond characteristics were also obtained. By integrating numerical calculations with experimental results, the performance of the anchoring system under extreme and specialized loading conditions was analyzed. The experimental results indicated that the failure modes of all anchor foundations were characterized by bond failure at the interface between the anchor and the surrounding rock mass. Based on the experimental data, a reasonable anchorage length satisfying design strength requirements was proposed. The findings provide a theoretical foundation and practical guidance for the design and application of prestressed anchor foundations in structures such as wind turbine towers. Full article
(This article belongs to the Section Building Structures)
Show Figures

Figure 1

19 pages, 51053 KB  
Article
Geometric Optimization of Savonius Vertical-Axis Wind Turbines Using Full Factorial Design and Response Surface Methodology
by Laura Velásquez, Juan Rengifo, Andrés Saldarriaga, Ainhoa Rubio-Clemente and Edwin Chica
Sci 2025, 7(4), 154; https://doi.org/10.3390/sci7040154 (registering DOI) - 2 Nov 2025
Abstract
This study presents the geometric optimization of a Savonius-type VAWT with multi-element blade profiles using a full factorial design integrated with RSM. Two crucial geometric parameters, the blade twist angle (γ) and the aspect ratio (AR), were systematically [...] Read more.
This study presents the geometric optimization of a Savonius-type VAWT with multi-element blade profiles using a full factorial design integrated with RSM. Two crucial geometric parameters, the blade twist angle (γ) and the aspect ratio (AR), were systematically varied to assess their influence on the power coefficient (Cp). Experimental measurements were performed in a controlled wind tunnel environment, and a second-order regression equation was used to model the resulting data. The optimization approach identified the combination of γ and AR that maximized Cp. The optimal configuration was achieved with a γ of 30° and an AR of 2.0, for which the experimentally measured power coefficient (Cp) reached a value of 0.2326. The results confirm that lower twist angles and higher aspect ratios enhance aerodynamic efficiency, reduce manufacturing complexity, and improve structural reliability. These findings highlight the potential of Savonius turbines as competitive solutions for small-scale energy harvesting in low-wind-speed environments. Moreover, the identified optimal configuration provides a basis for future work that focuses on scaling the design, integrating power transmission and electrical generation components, and validating performance under real operating conditions. Full article
Show Figures

Figure 1

9 pages, 925 KB  
Proceeding Paper
Validation of a Fuzzy Wind Resistance Risk Index for UAV Energy Consumption Using Telemetry Data
by László Kajdocsi and Szabolcs Kocsis Szürke
Eng. Proc. 2025, 113(1), 28; https://doi.org/10.3390/engproc2025113028 (registering DOI) - 31 Oct 2025
Abstract
Unmanned aerial vehicles have become essential tools in a wide range of applications. As drone operations grow more complex, the accurate prediction of battery runtime and aerodynamic flight safety risks, particularly those caused by wind, becomes increasingly important. This study employs the Wind [...] Read more.
Unmanned aerial vehicles have become essential tools in a wide range of applications. As drone operations grow more complex, the accurate prediction of battery runtime and aerodynamic flight safety risks, particularly those caused by wind, becomes increasingly important. This study employs the Wind Resistance Risk Index (WRRI), to quantify the impact of wind conditions on UAV performance. While several predictive models have been introduced to address these issues, many have not been thoroughly validated under real operational conditions. This study focuses on the post-validation of a previously developed fuzzy-based predictive model, using telemetry data collected from four UAV missions. Key flights and battery parameters were analyzed. The results demonstrate that real-world flight data provide valuable insight into model reliability and highlight discrepancies that can guide future model refinement. This work contributes to enhancing UAV safety by bridging the gap between theoretical predictions and empirical evaluations, specifically under varying wind conditions. Full article
Show Figures

Figure 1

26 pages, 2421 KB  
Article
DLC-Organized Tower Base Forces and Moments for the IEA-15 MW on a Jack-up-Type Support (K-Wind): Integrated Analyses and Cross-Code Verification
by Jin-Young Sung, Chan-Il Park, Min-Yong Shin, Hyeok-Jun Koh and Ji-Su Lim
J. Mar. Sci. Eng. 2025, 13(11), 2077; https://doi.org/10.3390/jmse13112077 (registering DOI) - 31 Oct 2025
Abstract
Offshore wind turbines are rapidly scaling in size, which amplifies the need for credible integrated load analyses that consistently resolve the coupled dynamics among rotor–nacelle–tower systems and their support substructures. This study presents a comprehensive ultimate limit state (ULS) load assessment for a [...] Read more.
Offshore wind turbines are rapidly scaling in size, which amplifies the need for credible integrated load analyses that consistently resolve the coupled dynamics among rotor–nacelle–tower systems and their support substructures. This study presents a comprehensive ultimate limit state (ULS) load assessment for a fixed jack-up-type substructure (hereafter referred to as K-wind) coupled with the IEA 15 MW reference wind turbine. Unlike conventional monopile or jacket configurations, the K-wind concept adopts a self-installable triangular jack-up foundation with spudcan anchorage, enabling efficient transport, rapid deployment, and structural reusability. Yet such a configuration has never been systematically analyzed through full aero-hydro-servo-elastic coupling before. Hence, this work represents the first integrated load analysis ever reported for a jack-up-type offshore wind substructure, addressing both its unique load-transfer behavior and its viability for multi-MW-class turbines. To ensure numerical robustness and cross-code reproducibility, steady-state verifications were performed under constant-wind benchmarks, followed by time-domain simulations of standard prescribed Design Load Case (DLC), encompassing power-producing extreme turbulence, coherent gusts with directional change, and parked/idling directional sweeps. The analyses were independently executed using two industry-validated solvers (Deeplines Wind v5.8.5 and OrcaFlex v11.5e), allowing direct solver-to-solver comparison and establishing confidence in the obtained dynamic responses. Loads were extracted at the transition-piece reference point in a global coordinate frame, and six key components (Fx, Fy, Fz, Mx, My, and Mz) were processed into seed-averaged signed envelopes for systematic ULS evaluation. Beyond its methodological completeness, the present study introduces a validated framework for analyzing next-generation jack-up-type foundations for offshore wind turbines, establishing a new reference point for integrated load assessments that can accelerate the industrial adoption of modular and re-deployable support structures such as K-wind. Full article
26 pages, 1079 KB  
Article
Energy Management of Hybrid Energy System Considering a Demand-Side Management Strategy and Hydrogen Storage System
by Nadia Gouda and Hamed Aly
Energies 2025, 18(21), 5759; https://doi.org/10.3390/en18215759 (registering DOI) - 31 Oct 2025
Abstract
A hybrid energy system (HES) integrates various energy resources to attain synchronized energy output. However, HES faces significant challenges due to rising energy consumption, the expenses of using multiple sources, increased emissions due to non-renewable energy resources, etc. This study aims to develop [...] Read more.
A hybrid energy system (HES) integrates various energy resources to attain synchronized energy output. However, HES faces significant challenges due to rising energy consumption, the expenses of using multiple sources, increased emissions due to non-renewable energy resources, etc. This study aims to develop an energy management strategy for distribution grids (DGs) by incorporating a hydrogen storage system (HSS) and demand-side management strategy (DSM), through the design of a multi-objective optimization technique. The primary focus is on optimizing operational costs and reducing pollution. These are approached as minimization problems, while also addressing the challenge of achieving a high penetration of renewable energy resources, framed as a maximization problem. The third objective function is introduced through the implementation of the demand-side management strategy, aiming to minimize the energy gap between initial demand and consumption. This DSM strategy is designed around consumers with three types of loads: sheddable loads, non-sheddable loads, and shiftable loads. To establish a bidirectional communication link between the grid and consumers by utilizing a distribution grid operator (DGO). Additionally, the uncertain behavior of wind, solar, and demand is modeled using probability distribution functions: Weibull for wind, PDF beta for solar, and Gaussian PDF for demand. To tackle this tri-objective optimization problem, this work proposes a hybrid approach that combines well-known techniques, namely, the non-dominated sorting genetic algorithm II and multi-objective particle swarm optimization (Hybrid-NSGA-II-MOPSO). Simulation results demonstrate the effectiveness of the proposed model in optimizing the tri-objective problem while considering various constraints. Full article
29 pages, 21764 KB  
Article
Noise Reduction for the Future ODYSEA Mission: A UNet Approach to Enhance Ocean Current Measurements
by Anaëlle Tréboutte, Cécile Anadon, Marie-Isabelle Pujol, Renaud Binet, Gérald Dibarboure, Clément Ubelmann and Lucile Gaultier
Remote Sens. 2025, 17(21), 3612; https://doi.org/10.3390/rs17213612 (registering DOI) - 31 Oct 2025
Abstract
The ODYSEA (Ocean DYnamics and Surface Exchange with the Atmosphere) mission will provide simultaneous two-dimensional measurements of currents and winds for the first time. According to the ODYSEA radar concept, with a high incidence angle, current noise is primarily driven by backscattered power, [...] Read more.
The ODYSEA (Ocean DYnamics and Surface Exchange with the Atmosphere) mission will provide simultaneous two-dimensional measurements of currents and winds for the first time. According to the ODYSEA radar concept, with a high incidence angle, current noise is primarily driven by backscattered power, which is triggered by wind speed. Therefore, random noise will affect the quality of observations. In low wind conditions, the absence of surface roughness increases the noise level considerably, to the point where the measurement becomes unusable, as the error can exceed 3 m/s at 5 km posting compared to mean current amplitudes of tens of cm/s. Winds higher than 7.5 m/s enable current measurements at 5 km posting with an RMS accuracy below 50 cm/s, but derivatives of currents will amplify noise, hampering the understanding of ocean dynamics and the interaction between the ocean and the atmosphere. In this context, this study shows the advantages and limitations of using noise-reduction algorithms. A convolutional neural network, a UNet inspired by the work of the SWOT (Surface Water and Ocean Topography) mission, is trained and tested on simulated radial velocities that are representative of the global ocean. The results are compared with those of classical smoothing: an Adaptive Gaussian Smoother whose filtering transfer function is optimized based on local wind speed (e.g., more smoothing in regions of low wind). The UNet outperforms the kernel smoother everywhere with our simulated dataset, especially in low wind conditions (SNR << 1) where the smoother essentially removes all velocities whereas the UNet mitigates random noise while preserving most of the signal of interest. Error is reduced by a factor of 30 and structures down to 30 km are reconstructed accurately. The UNet also enables the reconstruction of the main eddies and fronts in the relative vorticity field. It shows good robustness and stability in new scenarios. Full article
(This article belongs to the Section Ocean Remote Sensing)
18 pages, 953 KB  
Article
Comparative Environmental Insights into Additive Manufacturing in Sand Casting and Investment Casting: Pathways to Net-Zero Manufacturing
by Alok Yadav, Rajiv Kumar Garg, Anish Sachdeva, Karishma M. Qureshi, Mohamed Rafik Noor Mohamed Qureshi and Muhammad Musa Al-Qahtani
Sustainability 2025, 17(21), 9709; https://doi.org/10.3390/su17219709 (registering DOI) - 31 Oct 2025
Abstract
As manufacturing industries pursue net-zero emission (NZE) goals, hybrid manufacturing processes that integrate additive manufacturing (AM) with traditional casting techniques are gaining traction for their sustainability potential across the globe. Therefore, this work presents a “gate-to-gate” life cycle assessment (LCA) comparing AM-assisted sand [...] Read more.
As manufacturing industries pursue net-zero emission (NZE) goals, hybrid manufacturing processes that integrate additive manufacturing (AM) with traditional casting techniques are gaining traction for their sustainability potential across the globe. Therefore, this work presents a “gate-to-gate” life cycle assessment (LCA) comparing AM-assisted sand casting (AM-SC) and AM-assisted investment casting (AM-IC), for Al-Si5-Cu3 alloy as a case material, under various energy scenarios including a conventional grid mix and renewable sources (wind, solar, hydro, and biomass). This study compares multiple environmental impact categories based on the CML 2001 methodology. The outcomes show that AM-SC consistently outperforms AM-IC in most impact categories. Under the grid mix scenario, AM-SC achieves 31.57% lower GWP, 19.28% lower AP, and 21.15% lower EP compared to AM-IC. AM-SC exhibits a 90.5% reduction in “Terrestrial Ecotoxicity Potential” and 75.73% in “Marine Ecotoxicity Potential”. Wind energy delivers the most significant emission reduction across both processes, reducing GWP by up to 98.3%, while AM-IC performs slightly better in HTP. These outcomes of the study offer site-specific empirical insights that support strategic decision-making for process selection and energy optimisation in casting. By quantifying environmental trade-offs aligned with India’s current energy mix and future renewable targets, the study provides a practical benchmark for tracking incremental gains toward the NZE goal. This work followed international standards (ISO 14040 and 14044), and the data were validated with both foundry records and field measurements; this study ensures reliable methods. The findings provide practical applications for making sustainable choices in the manufacturing process and show that the AM-assisted conventional manufacturing process is a promising route toward net-zero goals. Full article
Show Figures

Figure 1

24 pages, 6272 KB  
Article
A New Methodology for Medium-Term Wind Speed Forecasting Using Wave, Oceanographic and Meteorological Predictor Variables
by Diego Sánchez-Pérez, Juan José Cartelle Barros and José A. Orosa
Appl. Sci. 2025, 15(21), 11639; https://doi.org/10.3390/app152111639 (registering DOI) - 31 Oct 2025
Viewed by 18
Abstract
Onshore and offshore wind energy are two of the best options from an environmental point of view. Nevertheless, the volatile and intermittent nature of the wind resource hampers its integration into the power system. Accurate wind speed forecasting facilitates the operation of the [...] Read more.
Onshore and offshore wind energy are two of the best options from an environmental point of view. Nevertheless, the volatile and intermittent nature of the wind resource hampers its integration into the power system. Accurate wind speed forecasting facilitates the operation of the electric grid, guaranteeing its stability and safety. However, most existing studies focus on very-short- and short-term time horizons, typically ranging from a few minutes to six hours, and rely exclusively on data measured at the prediction site. In contrast, only a few works address medium-term horizons or incorporate offshore data. Therefore, the main objective of this study is to predict medium-term (24 h ahead) onshore wind speed using the most influential offshore predictors, which are water surface temperature, atmospheric pressure, air temperature, wave direction, and spectral significant height. A new methodology based on twenty-seven machine learning regression models was developed and compared using the root mean squared error (RMSE) as the main evaluation metric. Unlike most existing studies that focus on very-short- or short-term horizons (typically below 6 h), this work addresses the medium-term (24 h ahead) forecast. After hyperparameter tuning, the CatBoost regressor achieved the best performance, with a root mean squared error of 2.06 m/s and a mean absolute error of 1.62 m/s—an improvement of around 40% compared to the simplest regression models. This approach opens new possibilities for wind speed estimation in regions where in situ measurements are not available. This will potentially reduce the cost, time, and environmental impacts derived from onshore wind resource characterisation campaigns. It also serves as a basis for future applications using combined offshore data from several locations. Full article
(This article belongs to the Special Issue Advances in AI and Multiphysics Modelling)
Show Figures

Figure 1

20 pages, 4788 KB  
Article
Vortex Dynamics Effects on the Development of a Confined Turbulent Wake
by Ioannis D. Kalogirou, Alexandros Romeos, Athanasios Giannadakis, Giouli Mihalakakou and Thrassos Panidis
Fluids 2025, 10(11), 283; https://doi.org/10.3390/fluids10110283 (registering DOI) - 31 Oct 2025
Viewed by 37
Abstract
In the present work, the turbulent wake of a circular cylinder in a confined flow environment at a blockage ratio of 14% is experimentally investigated in a wind tunnel consisting of a parallel test section followed by a constant-area distorting duct, under subcritical [...] Read more.
In the present work, the turbulent wake of a circular cylinder in a confined flow environment at a blockage ratio of 14% is experimentally investigated in a wind tunnel consisting of a parallel test section followed by a constant-area distorting duct, under subcritical Re inlet conditions. The initial stage of wake development, extending from the bluff body to the end of the parallel section, is analyzed, with the use of hot-wire anemometry and laser-sheet visualization. The near field reveals partial similarity to unbounded wakes, with the principal difference being a modification of the Kármán vortex street topology, attributed to altered vortex dynamics under confinement. Further downstream, the mean and fluctuating velocity distributions of the confined wake gradually evolve toward channel-flow characteristics. To elucidate this transition, wake measurements are systematically compared with channel flow data obtained in the same configuration under identical inlet conditions and with reference channel-flow datasets from the literature. Experimental results show that a vortex-transportation mechanism exists due to confinement effect, resulting in the progressive crossing and realignment of counter-rotating vortices toward the tunnel centerline. Although wake flow characteristics are preserved, suppression of classical periodic shedding is clearly depicted. Furthermore, it is shown that the confined near-wake spectral peak persists up to x1/d~60 as in the free case and then vanishes as the spectra broadens. Coincidentally, the confined wake exhibits a narrower halfwidth than its free wake counterpart, while a centerline shift of the shed vortices is observed. Farfield wake-flow maintains strong anisotropy, while a weaker downstream growth of the streamwise integral scale is observed when compared to channel flow. Together, these findings explain how confinement reforms the nearfield topology and reorganizes momentum transport as the flow evolves to channel-like flow. Full article
(This article belongs to the Special Issue Industrial CFD and Fluid Modelling in Engineering, 3rd Edition)
Show Figures

Figure 1

27 pages, 6702 KB  
Article
Study on Motion Performance and Mooring Tension Response of 16 MW Tension Leg Platform Floating Wind Turbine Under Extreme Environmental Conditions
by Xiaolong Yang, Yu Zhang, Shengwei Yan, Weihong Yu, Shunhang Lu, Haoshuang Wang and Wei Shi
J. Mar. Sci. Eng. 2025, 13(11), 2063; https://doi.org/10.3390/jmse13112063 - 29 Oct 2025
Viewed by 170
Abstract
This paper presents a 16 MW typhoon-resistant Tension Leg Platform floating offshore wind turbine (TLP FOWT) designed for the South China Sea. The survivability of the TLP FOWT under extreme environmental conditions is investigated through an integrated time-domain coupled analysis numerical model. The [...] Read more.
This paper presents a 16 MW typhoon-resistant Tension Leg Platform floating offshore wind turbine (TLP FOWT) designed for the South China Sea. The survivability of the TLP FOWT under extreme environmental conditions is investigated through an integrated time-domain coupled analysis numerical model. The accuracy of the numerical model is calibrated by comparing its results with experimental data. In comparisons of mooring system static stiffness tests and white noise tests, the results from the calibrated numerical model show good agreement with the experimental data. Regarding the free decay tests and the statistical time-domain response results, the most significant discrepancies are only 1.17% and 6.91%, respectively. Subsequently, the time-domain response of the numerical model was investigated under extreme South China Sea conditions, configured according to the IEC 61400-3-2 design load conditions. The safety of the design was then evaluated against ABS specifications. The analysis yielded maximum platform motion amplitudes and inclinations of 34.99 m (less than 30% of water depth) and below 1°, respectively. Under both 50-year and 500-year return period conditions, the platform maintained stable TLP motion characteristics with no tendon slackness, evidenced by a minimum tendon tension of 107.23 kN. All motion responses and tendon tensions complied with the ABS safety factors, confirming the design’s capability to ensure safe operation throughout its service life. The present work provides valuable insights for the design and risk assessment of future large-scale TLP FOWTs. Full article
(This article belongs to the Section Ocean Engineering)
Show Figures

Figure 1

37 pages, 4242 KB  
Review
Advancements and Challenges in Coatings for Wind Turbine Blade Raindrop Erosion: A Comprehensive Review of Mechanisms, Materials and Testing
by Nur Ain Wahidah A. Yusof, Talal F. Algaddaime and Margaret M. Stack
Sustainability 2025, 17(21), 9611; https://doi.org/10.3390/su17219611 - 29 Oct 2025
Viewed by 166
Abstract
Raindrop erosion of wind turbine blades’ leading edge is a critical degradation mechanism limiting wind turbine blade lifetime and aerodynamic efficiency. Protective coatings have been extensively studied to mitigate this damage. This review critically synthesises current knowledge on coating-based protection strategies against erosion, [...] Read more.
Raindrop erosion of wind turbine blades’ leading edge is a critical degradation mechanism limiting wind turbine blade lifetime and aerodynamic efficiency. Protective coatings have been extensively studied to mitigate this damage. This review critically synthesises current knowledge on coating-based protection strategies against erosion, with emphasis on (i) the underlying mechanisms of erosion, (ii) advances in conventional and emerging coating technologies, and (iii) experimental approaches for testing and lifetime prediction. Across reported studies, nanofiller reinforcement (e.g., CNTs, graphene, CeO2, Al2O3) enhances erosion resistance by 60–99%, primarily through improved toughness and stress-wave dissipation. Hybrid and multifunctional systems further combine mechanical durability with self-healing or anti-icing capabilities. Experimental results confirm that erosion rate follows a power-law dependence on impact velocity, with maximum damage occurring between 45° and 60° impact angles. Softer elastomeric coatings demonstrate longer incubation periods and superior viscoelastic recovery compared with rigid sol–gel systems. Persistent gaps include the lack of standardised testing, poor field–lab correlation, and limited long-term durability data. Future work should focus on coordinating multi-stressor testing with variable-frequency rain setups to replicate real field conditions and enable reliable lifetime prediction of next-generation erosion-resistant coatings. Full article
Show Figures

Figure 1

31 pages, 8105 KB  
Article
Multi-Criteria Decision-Making for Hybrid Renewable Energy in Small Communities: Key Performance Indicators and Sensitivity Analysis
by Helena M. Ramos, Praful Borkar, Oscar E. Coronado-Hernández, Francisco Javier Sánchez-Romero and Modesto Pérez-Sánchez
Energies 2025, 18(21), 5665; https://doi.org/10.3390/en18215665 - 28 Oct 2025
Viewed by 185
Abstract
The increasing decentralization of energy systems calls for robust frameworks to evaluate the technical and economic feasibility of hybrid renewable configurations at the community scale. This study presents an integrated methodology that combines Key Performance Indicators (KPIs), sensitivity analysis, and Multi-Criteria Decision-Making to [...] Read more.
The increasing decentralization of energy systems calls for robust frameworks to evaluate the technical and economic feasibility of hybrid renewable configurations at the community scale. This study presents an integrated methodology that combines Key Performance Indicators (KPIs), sensitivity analysis, and Multi-Criteria Decision-Making to assess hybrid systems in Castanheira de Pera, a small community in central Portugal. Fourteen configurations (C1–C14) integrating hydropower, solar PV, wind, and battery storage were simulated using HOMER Pro 3.16.2, PVsyst 8.0.16, Python 3.14.0, and Excel under both wet and dry hydrological conditions. A gate-controlled hydro-buffering model was applied to optimize short-term storage operation, increasing summer energy generation by 52–88% without additional infrastructure. Among all configurations, C8 achieved the highest Net Present Value (≈EUR 153,700) and a strong Internal Rate of Return (IRR), while maintaining a stable Levelized Cost of Electricity (LCOE) of around 0.042 EUR/kWh. Comparative decision scenarios highlight distinct stakeholder priorities: storage-intensive systems (C14, C11) maximize energy security, whereas medium-scale hybrids (C8, C7) offer superior economic performance. Overall, the results confirm that hybridization significantly improves community energy autonomy and resilience. Future work should extend this framework to include environmental and social indicators, enabling a more comprehensive techno-socio-economic assessment of hybrid renewable systems. Full article
Show Figures

Figure 1

29 pages, 2947 KB  
Review
A Comparative Review of Vertical Axis Wind Turbine Designs: Savonius Rotor vs. Darrieus Rotor
by Alina Fazylova, Kuanysh Alipbayev, Alisher Aden, Fariza Oraz, Teodor Iliev and Ivaylo Stoyanov
Inventions 2025, 10(6), 95; https://doi.org/10.3390/inventions10060095 - 27 Oct 2025
Viewed by 192
Abstract
This paper reviews and analyzes three types of vertical-axis wind rotors: the classic Savonius, spiral Savonius, and Darrieus designs. Using numerical modeling methods, including computational fluid dynamics (CFD), their aerodynamic characteristics, power output, and efficiency under different operating conditions are examined. Key parameters [...] Read more.
This paper reviews and analyzes three types of vertical-axis wind rotors: the classic Savonius, spiral Savonius, and Darrieus designs. Using numerical modeling methods, including computational fluid dynamics (CFD), their aerodynamic characteristics, power output, and efficiency under different operating conditions are examined. Key parameters such as lift, drag, torque, and power coefficient are compared to identify the strengths and weaknesses of each rotor. Results highlight that the Darrieus rotor demonstrates the highest efficiency at higher wind speeds due to lift-based operation, while the spiral Savonius offers improved stability, smoother torque characteristics, and adaptability in turbulent or low-wind environments. The classic Savonius, though less efficient, remains simple, cost-effective, and suitable for small-scale urban applications where reliability is prioritized over high performance. In addition, the study outlines the importance of blade geometry, tip speed ratio, and advanced materials in enhancing rotor durability and efficiency. The integration of modern optimization approaches, such as CFD-based design improvements and machine learning techniques, is emphasized as a promising pathway for developing more reliable and sustainable vertical-axis wind turbines. Although the primary analysis relies on numerical simulations, the observed performance trends are consistent with findings reported in experimental studies, indicating that the results are practically meaningful for design screening, technology selection, and siting decisions. Unlike prior studies that analyze Savonius and Darrieus rotors in isolation or under heterogeneous setups, this work (i) establishes a harmonized, fully specified CFD configuration (common domain, BCs, turbulence/near-wall treatment, time-stepping) enabling like-for-like comparison; (ii) couples the transient aerodynamic loads p(θ,t) into a dynamic FEA + fatigue pipeline (rainflow + Miner with mean-stress correction), going beyond static loading proxies; (iii) quantifies a prototype-stage materials choice rationale (aluminum) with a validated migration path to orthotropic composites; and (iv) reports reproducible wake/torque metrics that are cross-checked against mature models (DMST/actuator-cylinder), providing design-ready envelopes for small/medium VAWTs. Overall, the work provides recommendations for selecting rotor types under different wind conditions and operational scenarios to maximize energy conversion performance and long-term reliability. Full article
14 pages, 2240 KB  
Article
Structural Design and Safety Analysis for Optimized Segmentation of Wind Turbine Blades with Composite Materials
by Wooseong Jeong and Hyunbum Park
Appl. Sci. 2025, 15(21), 11445; https://doi.org/10.3390/app152111445 - 26 Oct 2025
Viewed by 232
Abstract
The study of segmentation of wind turbine blades has recently emerged as an area of interest. In this work, a segmented blade design was studied for transport. Wind turbine blades are becoming larger to generate higher power. Enlarging the wind turbine blade, however, [...] Read more.
The study of segmentation of wind turbine blades has recently emerged as an area of interest. In this work, a segmented blade design was studied for transport. Wind turbine blades are becoming larger to generate higher power. Enlarging the wind turbine blade, however, leads to increasing its weight and length. Enlarged wind turbine blades, however, become more difficult to transport. Therefore, this study designed the existing integral blade as the segmented type to make transport easy regardless of its length or weight. We propose a novel concept for wind turbine blade design. The joint part of the blade was designed with an adhesion method that improved the bolt fastened one. The adhesion method was used to minimize the increase in blade weight and also to make maintenance easier. The final blade segmentation position was determined and accordingly the structural design was performed. Finally, a longitudinal 50% point of blade was determined as the segmentation position. The safety factor for the blade’s joint part was 2.39. The safety of the design results was proven. Full article
(This article belongs to the Special Issue Optimized Design and Analysis of Mechanical Structure)
Show Figures

Figure 1

Back to TopTop