The Expected Dynamics of the European Offshore Wind Sector in the Climate Change Context
Abstract
:1. Introduction
- (a)
- Identify the future wind energy changes from different European offshore marine sites where different projects are currently operating or planned to be developed;
- (b)
- Describe the future wind changes using some relevant indexes for the wind sector (for example, downtime period);
- (c)
- Identify the expected performances of some large-capacity wind turbines that are expected to be implemented/developed in the near future.
2. Materials and Methods
2.1. Wind Datasets
2.2. Wind Turbines Performances
3. Results
4. Discussion
5. Conclusions
Author Contributions
Funding
Institutional Review Board Statement
Informed Consent Statement
Acknowledgments
Conflicts of Interest
References
- Paving the Way for the Paris Agreement: Contributions of SDEWES Science (All Fields)—1—Web of Science Core Collection. Available online: https://0h10q8k9l-y-https-www-webofscience-com.z.e-nformation.ro/wos/woscc/summary/8e917b68-9a0d-47c6-9ba0-f6b553e8aa4a-a03eef31/relevance/1 (accessed on 29 August 2023).
- Aszódi, A.; Biró, B.; Adorján, L.; Dobos, Á.C.; Illés, G.; Tóth, N.K.; Zagyi, D.; Zsiborás, Z.T. Comparative Analysis of National Energy Strategies of 19 European Countries in Light of the Green Deal’s Objectives. Energy Convers. Manag. X 2021, 12, 100136. [Google Scholar] [CrossRef]
- Joint European Action for More Affordable, Secure Energy. Available online: https://ec.europa.eu/commission/presscorner/detail/en/ip_22_1511 (accessed on 9 March 2022).
- Onea, F.; Rusu, E. Sustainability of the Reanalysis Databases in Predicting the Wind and Wave Power along the European Coasts. Sustainability 2018, 10, 193. [Google Scholar] [CrossRef]
- Our Energy, Our Future. Available online: https://windeurope.org/about-wind/reports/our-energy-our-future/ (accessed on 8 March 2022).
- HJ EU Strategy on Offshore Renewable Energy. Available online: https://ec.europa.eu/energy/topics/renewable-energy/eu-strategy-offshore-renewable-energy_en (accessed on 5 April 2021).
- Schütt, M.; Anstock, F.; Schorbach, V. Progressive Structural Scaling of a 20 MW Two-Bladed Offshore Wind Turbine Rotor Blade Examined by Finite Element Analyses. J. Phys. Conf. Ser. 2020, 1618, 052017. [Google Scholar] [CrossRef]
- Global Wind Energy Council. Global Offshore Wind Report 2021. 2021. Available online: https://gwec.net/global-wind-report-2021/ (accessed on 10 August 2023).
- Moss, R.H.; Edmonds, J.A.; Hibbard, K.A.; Manning, M.R.; Rose, S.K.; van Vuuren, D.P.; Carter, T.R.; Emori, S.; Kainuma, M.; Kram, T.; et al. The next Generation of Scenarios for Climate Change Research and Assessment. Nature 2010, 463, 747–756. [Google Scholar] [CrossRef] [PubMed]
- Rusu, E. Assessment of the Wind Power Dynamics in the North Sea under Climate Change Conditions. Renew. Energy 2022, 195, 466–475. [Google Scholar] [CrossRef]
- Davy, R.; Gnatiuk, N.; Pettersson, L.; Bobylev, L. Climate Change Impacts on Wind Energy Potential in the European Domain with a Focus on the Black Sea. Renew. Sustain. Energy Rev. 2018, 81, 1652–1659. [Google Scholar] [CrossRef]
- Islek, F.; Yuksel, Y. Evaluation of Future Wind Power Potential and Their Projected Changes in the Black Sea and Possible Stable Locations for Wind Farms. Ocean Eng. 2022, 266, 112832. [Google Scholar] [CrossRef]
- Susini, S.; Menendez, M.; Eguia, P.; Blanco, J.M. Climate Change Impact on the Offshore Wind Energy Over the North Sea and the Irish Sea. Front. Energy Res. 2022, 10, 881146. [Google Scholar] [CrossRef]
- Martinez, A.; Iglesias, G. Wind Resource Evolution in Europe under Different Scenarios of Climate Change Characterised by the Novel Shared Socioeconomic Pathways. Energy Convers. Manag. 2021, 234, 113961. [Google Scholar] [CrossRef]
- EU-SCORES. Available online: https://euscores.eu/ (accessed on 29 August 2023).
- Datawrapper. Available online: https://datawrapper.dwcdn.net/YWQJR/1/ (accessed on 29 August 2023).
- Projects: WindFloat 1—Principle Power, Inc. Available online: https://www.principlepower.com/projects/windfloat1 (accessed on 29 August 2023).
- Kalogeri, C.; Galanis, G.; Spyrou, C.; Diamantis, D.; Baladima, F.; Koukoula, M.; Kallos, G. Assessing the European Offshore Wind and Wave Energy Resource for Combined Exploitation. Renew. Energy 2017, 101, 244–264. [Google Scholar] [CrossRef]
- Global Offshore Renewable Map. 4C Offshore. Available online: https://map.4coffshore.com/offshorewind/ (accessed on 1 March 2022).
- Google Earth. Available online: https://earth.google.com/web/ (accessed on 1 March 2022).
- Guillory, A. ERA5. Available online: https://www.ecmwf.int/en/forecasts/datasets/reanalysis-datasets/era5 (accessed on 31 May 2019).
- Hasager, C.; Stein, D.; Courtney, M.; Peña, A.; Mikkelsen, T.; Stickland, M.; Oldroyd, A. Hub Height Ocean Winds over the North Sea Observed by the NORSEWInD Lidar Array: Measuring Techniques, Quality Control and Data Management. Remote Sens. 2013, 5, 4280–4303. [Google Scholar] [CrossRef]
- Rossby Centre Regional Atmospheric Model, RCA4. SMHI. Available online: https://www.smhi.se/en/research/research-departments/climate-research-at-the-rossby-centre/rossby-centre-regional-atmospheric-model-rca4-1.16562 (accessed on 29 August 2023).
- Fifth Assessment Report—IPCC. Available online: https://www.ipcc.ch/assessment-report/ar5/ (accessed on 29 August 2023).
- Bilgili, M.; Alphan, H. Global Growth in Offshore Wind Turbine Technology. Clean Techn Env. Policy 2022, 24, 2215–2227. [Google Scholar] [CrossRef]
- Qin, C.; Loth, E.; Zalkind, D.S.; Pao, L.Y.; Yao, S.; Griffith, D.T.; Selig, M.S.; Damiani, R. Downwind Coning Concept Rotor for a 25 MW Offshore Wind Turbine. Renew. Energy 2020, 156, 314–327. [Google Scholar] [CrossRef]
- Gaertner, E.; Rinker, J.; Sethuraman, L.; Zahle, F.; Anderson, B.; Barter, G.; Abbas, N.; Meng, F.; Bortolotti, P.; Skrzypinski, W.; et al. IEA Wind TCP Task 37: Definition of the IEA 15-Megawatt Offshore Reference Wind Turbine; NREL/TP-5000-75698, 1603478; National Renewable Energy Lab (NREL): Golden, CO, USA, 2020. [Google Scholar]
- Ashuri, T.; Martins, J.R.R.A.; Zaaijer, M.B.; van Kuik, G.A.M.; van Bussel, G.J.W. Aeroservoelastic Design Definition of a 20 MW Common Research Wind Turbine Model: A 20 MW Common Research Wind Turbine Model. Wind Energ. 2016, 19, 2071–2087. [Google Scholar] [CrossRef]
- Sartori, L.; Bellini, F.; Croce, A.; Bottasso, C. Preliminary Design and Optimization of a 20MW Reference Wind Turbine. J. Phys. Conf. Ser. 2018, 1037, 042003. [Google Scholar] [CrossRef]
- Rusu, E.; Onea, F. A Parallel Evaluation of the Wind and Wave Energy Resources along the Latin American and European Coastal Environments. Renew. Energy 2019, 143, 1594–1607. [Google Scholar] [CrossRef]
- Al-Nassar, W.K.; Neelamani, S.; Al-Salem, K.A.; Al-Dashti, H.A. Feasibility of Offshore Wind Energy as an Alternative Source for the State of Kuwait. Energy 2019, 169, 783–796. [Google Scholar] [CrossRef]
- Shu, Z.R.; Jesson, M. Estimation of Weibull Parameters for Wind Energy Analysis across the UK. J. Renew. Sustain. Energy 2021, 13, 023303. [Google Scholar] [CrossRef]
- Wang, F.; Tong, S.; Sun, Y.; Xie, Y.; Zhen, Z.; Li, G.; Cao, C.; Duić, N.; Liu, D. Wind Process Pattern Forecasting Based Ultra-Short-Term Wind Speed Hybrid Prediction. Energy 2022, 255, 124509. [Google Scholar] [CrossRef]
- Europe’s Onshore and Offshore Wind Energy Potential—European Environment Agency. Available online: https://www.eea.europa.eu/publications/europes-onshore-and-offshore-wind-energy-potential (accessed on 8 October 2023).
- Wind Energy in Europe: 2022 Statistics and the Outlook for 2023–2027. WindEurope. Available online: https://windeurope.org/intelligence-platform/product/wind-energy-in-europe-2022-statistics-and-the-outlook-for-2023-2027/ (accessed on 8 October 2023).
- GWECs Global Offshore Wind Report 2023—Global Wind Energy Council. Available online: https://gwec.net/gwecs-global-offshore-wind-report-2023/ (accessed on 8 October 2023).
- Offshore Wind in Europe—Key Trends and Statistics 2020. Available online: https://windeurope.org/data-and-analysis/product/offshore-wind-in-europe-key-trends-and-statistics-2020 (accessed on 11 March 2021).
- What Happens When Wind Turbines Get Old? New Industry Guidance Document for Dismantling and Decommissioning. WindEurope. Available online: https://windeurope.org/newsroom/press-releases/what-happens-when-wind-turbines-get-old-new-industry-guidance-document-for-dismantling-and-decommissioning/ (accessed on 8 October 2023).
- Leon, M., Jr. Recycling of Wind Turbine Blades: Recent Developments. Curr. Opin. Green Sustain. Chem. 2023, 39, 100746. [Google Scholar] [CrossRef]
- Guo, Y.; Wang, H.; Lian, J. Review of Integrated Installation Technologies for Offshore Wind Turbines: Current Progress and Future Development Trends. Energy Convers. Manag. 2022, 255, 115319. [Google Scholar] [CrossRef]
- Jung, C.; Schindler, D. A Review of Recent Studies on Wind Resource Projections under Climate Change. Renew. Sustain. Energy Rev. 2022, 165, 112596. [Google Scholar] [CrossRef]
- Moemken, J.; Reyers, M.; Feldmann, H.; Pinto, J.G. Future Changes of Wind Speed and Wind Energy Potentials in EURO-CORDEX Ensemble Simulations. J. Geophys. Res. Atmos. 2018, 123, 6373–6389. [Google Scholar] [CrossRef]
- Soares, P.M.M.; Lima, D.C.A.; Cardoso, R.M.; Nascimento, M.L.; Semedo, A. Western Iberian Offshore Wind Resources: More or Less in a Global Warming Climate? Appl. Energy 2017, 203, 72–90. [Google Scholar] [CrossRef]
- Yu, J.; Fu, Y.; Yu, Y.; Wu, S.; Wu, Y.; You, M.; Guo, S.; Li, M. Assessment of Offshore Wind Characteristics and Wind Energy Potential in Bohai Bay, China. Energies 2019, 12, 2879. [Google Scholar] [CrossRef]
- Rehman, S.; Natarajan, N.; Vasudevan, M.; Alhems, L.M. Assessment of Wind Energy Potential across Varying Topographical Features of Tamil Nadu, India. Energy Explor. Exploit. 2020, 38, 175–200. [Google Scholar] [CrossRef]
- Gul, M.; Tai, N.; Huang, W.; Nadeem, M.; Yu, M. Assessment of Wind Power Potential and Economic Analysis at Hyderabad in Pakistan: Powering to Local Communities Using Wind Power. Sustainability 2019, 11, 1391. [Google Scholar] [CrossRef]
- Wais, P. Two and Three-Parameter Weibull Distribution in Available Wind Power Analysis. Renew. Energy 2017, 103, 15–29. [Google Scholar] [CrossRef]
- Bingöl, F. Comparison of Weibull Estimation Methods for Diverse Winds. Adv. Meteorol. 2020, 2020, 3638423. [Google Scholar] [CrossRef]
- Gualtieri, G. Reliability of ERA5 Reanalysis Data for Wind Resource Assessment: A Comparison against Tall Towers. Energies 2021, 14, 4169. [Google Scholar] [CrossRef]
- Srinivas, B.A.; Nagababu, G.; Kachhwaha, S.S. Future Wind Speed Trends in the Indian Offshore Region. Energy Rep. 2022, 8, 513–519. [Google Scholar] [CrossRef]
- Alvarez, I.; Lorenzo, M.N. Changes in Offshore Wind Power Potential over the Mediterranean Sea Using CORDEX Projections. Reg Env. Change 2019, 19, 79–88. [Google Scholar] [CrossRef]
- Ruiz, A.; Onea, F.; Rusu, E. Study Concerning the Expected Dynamics of the Wind Energy Resources in the Iberian Nearshore. Energies 2020, 13, 4832. [Google Scholar] [CrossRef]
- Cai, Y.; Bréon, F.-M. Wind Power Potential and Intermittency Issues in the Context of Climate Change. Energy Convers. Manag. 2021, 240, 114276. [Google Scholar] [CrossRef]
- Carvalho, D.; Rocha, A.; Costoya, X.; de Castro, M.; Gómez-Gesteira, M. Wind Energy Resource over Europe under CMIP6 Future Climate Projections: What Changes from CMIP5 to CMIP6. Renew. Sustain. Energy Rev. 2021, 151, 111594. [Google Scholar] [CrossRef]
- de Souza Nascimento, M.M.; Shadman, M.; Silva, C.; de Freitas Assad, L.P.; Estefen, S.F.; Landau, L. Offshore Wind and Solar Complementarity in Brazil: A Theoretical and Technical Potential Assessment. Energy Convers. Manag. 2022, 270, 116194. [Google Scholar] [CrossRef]
- Martinez, A.; Murphy, L.; Iglesias, G. Evolution of Offshore Wind Resources in Northern Europe under Climate Change. Energy 2023, 269, 126655. [Google Scholar] [CrossRef]
- Moradian, S.; Akbari, M.; Iglesias, G. Optimized Hybrid Ensemble Technique for CMIP6 Wind Data Projections under Different Climate-Change Scenarios. Case Study: United Kingdom. Sci. Total Environ. 2022, 826, 154124. [Google Scholar] [CrossRef]
- Zhang, Y.; Cheng, C.; Yang, T.; Jin, X.; Jia, Z.; Shen, J.; Wu, X. Assessment of Climate Change Impacts on the Hydro-Wind-Solar Energy Supply System. Renew. Sustain. Energy Rev. 2022, 162, 112480. [Google Scholar] [CrossRef]
- Manwell, J.F.; McGowan, J.G.; Rogers, A.L. Wind Energy Explained: Theory, Design and Application; John Wiley & Sons: Hoboken, NJ, USA, 2010. [Google Scholar]
- Akhtar, N.; Geyer, B.; Rockel, B.; Sommer, P.S.; Schrum, C. Accelerating Deployment of Offshore Wind Energy Alter Wind Climate and Reduce Future Power Generation Potentials. Sci Rep 2021, 11, 11826. [Google Scholar] [CrossRef] [PubMed]
- Salvacao, N.; Guedes Soares, C. Wind Resource Assessment Offshore the Atlantic Iberian Coast with the WRF Model. Energy 2018, 145, 276–287. [Google Scholar] [CrossRef]
- Timmer, E. (WORLD) IRENA—Future of Wind: Deployment, Investment, Technology, Grid Integration and Socio-Economic Aspects (2019–10); HHWE: Almelo, The Netherlands, 2023. [Google Scholar]
- Offshore Wind Outlook 2019—Analysis. Available online: https://www.iea.org/reports/offshore-wind-outlook-2019 (accessed on 2 February 2023).
- UK Offshore Wind Capacity Factors—Energy Numbers. Available online: https://energynumbers.info/uk-offshore-wind-capacity-factors (accessed on 2 February 2023).
- Mingyang Smart Energy. Available online: http://www.myse.com.cn/en/jtxw/info.aspx?itemid=825 (accessed on 4 September 2023).
- V236-15.0 MWTM. Available online: https://www.vestas.com/en/products/offshore/V236-15MW (accessed on 4 September 2023).
- Edwards, E.C.; Holcombe, A.; Brown, S.; Ransley, E.; Hann, M.; Greaves, D. Evolution of Floating Offshore Wind Platforms: A Review of at-Sea Devices. Renew. Sustain. Energy Rev. 2023, 183, 113416. [Google Scholar] [CrossRef]
- UNFCCC. Available online: https://unfccc.int/ (accessed on 7 March 2022).
- Ritchie, H.; Rodés-Guirao, L.; Mathieu, E.; Gerber, M.; Ortiz-Ospina, E.; Hasell, J.; Roser, M. Population Growth. Our World Data 2023. Available online: https://ourworldindata.org/population-growth (accessed on 10 August 2023).
- Climate Change 2022: Impacts, Adaptation and Vulnerability. Available online: https://www.ipcc.ch/report/ar6/wg2/ (accessed on 7 March 2022).
- Perez-Collazo, C.; Greaves, D.; Iglesias, G. A Review of Combined Wave and Offshore Wind Energy. Renew. Sust. Energ. Rev. 2015, 42, 141–153. [Google Scholar] [CrossRef]
- Hosseinzadeh, S.; Etemad-Shahidi, A.; Stewart, R.A. Site Selection of Combined Offshore Wind and Wave Energy Farms: A Systematic Review. Energies 2023, 16, 2074. [Google Scholar] [CrossRef]












| ID | Project | Status | Latitude (°) | Longitude (°) | Distance to Shore (km) | Water Depth (m) |
|---|---|---|---|---|---|---|
| P1 | Bindal (NOR) | - | 65.17 | 10.71 | 20 | 83 |
| P2 | Havsul 1 (NOR) | ** | 62.82 | 5.49 | 40 | 102 |
| P3 | Utsira Nord (DEN) | *** | 59.27 | 3.62 | 95 | 237 |
| P4 | Jutland (DEN) | *** | 55.56 | 6.92 | 78 | 30 |
| P5 | Suurhiekka (FIN) | *** | 65.28 | 24.36 | 26 | 17 |
| P6 | Eystrasalt (SWE) | *** | 61.85 | 18.97 | 77 | 36 |
| P7 | Bornholm (DEN) | * | 54.97 | 14.82 | 7 | 13 |
| P8 | Borselle 1 and 2 (NL) | * | 51.68 | 2.788 | 49 | 18 |
| P9 | Beatrice (UK) | * | 58.25 | −2.50 | 37 | 56 |
| P10 | Sectoral marine plan—N3 (SCT) | *** | 58.89 | −7.02 | 61 | 175 |
| P11 | AMETS (IRL) | ** | 54.30 | −10.30 | 14 | 111 |
| P12 | Emerald (UK) | *** | 51.35 | −8.00 | 46 | 91 |
| P13 | Saint-Nazaire (FRA) | ** | 47.15 | −4.00 | 80 | 111 |
| P14 | WindFloat1 (POR) | * | 41.68 | −8.94 | 5 | 45 |
| P15 | Lisbon (POR) | - | 38.81 | −9.65 | 35 | 92 |
| Parameter | Wind Generator | |||
|---|---|---|---|---|
| T1 | T2 | T3 | T4 | |
| Power rating (MW) | 15 | 20 | 20 | 25 |
| Cut-in wind speed (m/s) | 3 | 3 | 3 * | 4 |
| Rated wind speed (m/s) | 10.59 | 10.7 | 11.4 | 11.3 |
| Cut-out wind speed (m/s) | 25 | 25 | 25 * | 24 |
| Hub height (m) | 150 | 160.2 | 168 | 210 |
| Rotor radius (m) | 120 | 135 | 126 | 172.75 |
| Rotor orientation | Upwind | - | Upwind | Downwind |
| Reference | [27] | [28] | [29] | [26] |
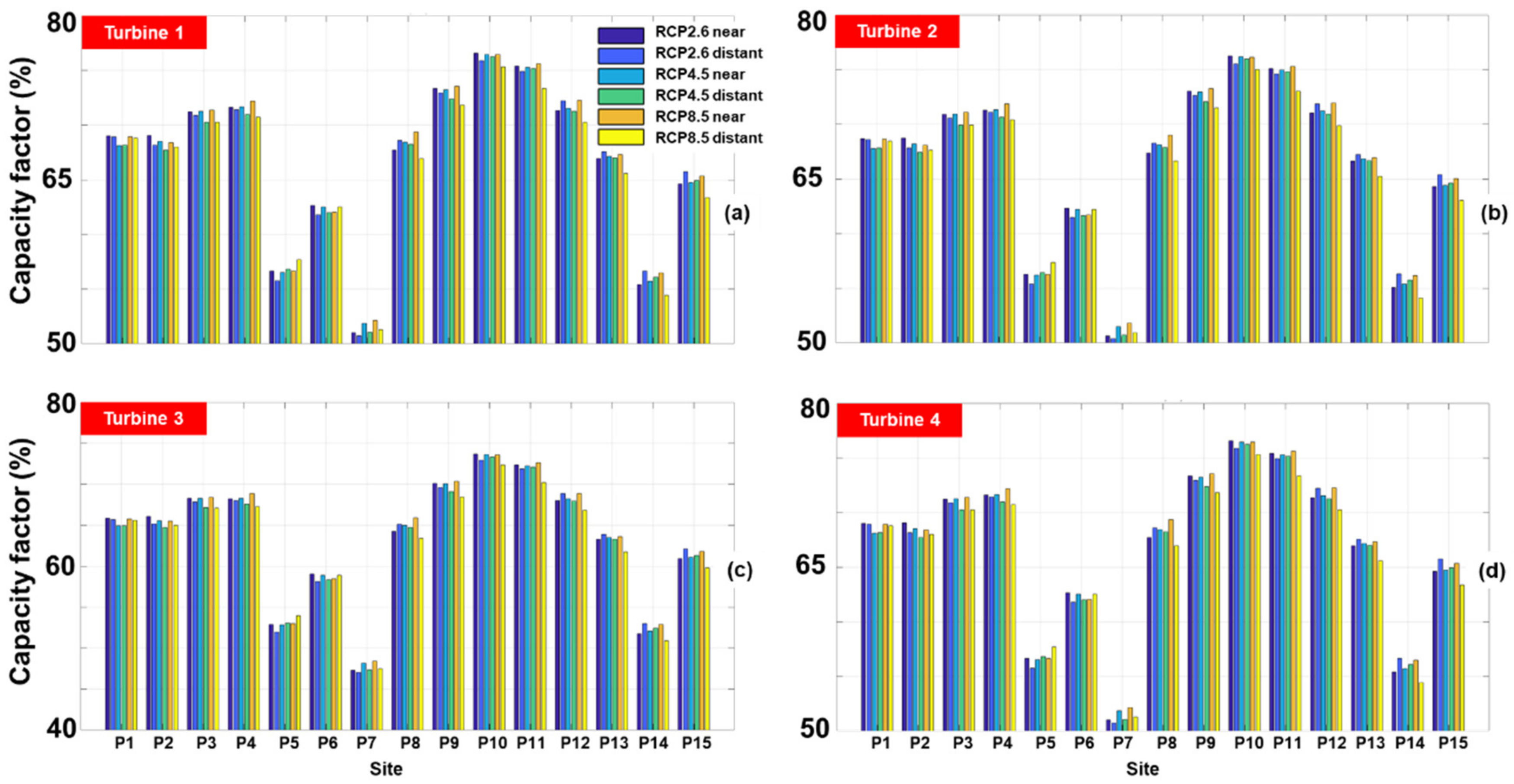
| Dataset | Sites | ||||||||||||||
|---|---|---|---|---|---|---|---|---|---|---|---|---|---|---|---|
| RCP2.6 near | P2 | P10 | P11 | P3 | P1 | P12 | P9 | P4 | P8 | P13 | P6 | P15 | P5 | P14 | P7 |
| RCP2.6 distant | P10 | P11 | P2 | P3 | P12 | P1 | P9 | P4 | P8 | P13 | P6 | P15 | P14 | P5 | P7 |
| RCP4.5 near | P10 | P11 | P2 | P3 | P1 | P12 | P9 | P4 | P8 | P13 | P6 | P15 | P14 | P5 | P7 |
| RCP4.5 distant | P10 | P2 | P11 | P3 | P12 | P1 | P9 | P4 | P8 | P13 | P6 | P15 | P14 | P5 | P7 |
| RCP8.5 near | P10 | P11 | P2 | P3 | P12 | P1 | P9 | P4 | P8 | P13 | P6 | P15 | P14 | P5 | P7 |
| RCP8.5 near | P10 | P2 | P11 | P3 | P1 | P12 | P9 | P4 | P8 | P13 | P6 | P15 | P5 | P14 | P7 |
Disclaimer/Publisher’s Note: The statements, opinions and data contained in all publications are solely those of the individual author(s) and contributor(s) and not of MDPI and/or the editor(s). MDPI and/or the editor(s) disclaim responsibility for any injury to people or property resulting from any ideas, methods, instructions or products referred to in the content. |
© 2023 by the authors. Licensee MDPI, Basel, Switzerland. This article is an open access article distributed under the terms and conditions of the Creative Commons Attribution (CC BY) license (https://creativecommons.org/licenses/by/4.0/).
Share and Cite
Rusu, E.; Onea, F. The Expected Dynamics of the European Offshore Wind Sector in the Climate Change Context. J. Mar. Sci. Eng. 2023, 11, 1967. https://doi.org/10.3390/jmse11101967
Rusu E, Onea F. The Expected Dynamics of the European Offshore Wind Sector in the Climate Change Context. Journal of Marine Science and Engineering. 2023; 11(10):1967. https://doi.org/10.3390/jmse11101967
Chicago/Turabian StyleRusu, Eugen, and Florin Onea. 2023. "The Expected Dynamics of the European Offshore Wind Sector in the Climate Change Context" Journal of Marine Science and Engineering 11, no. 10: 1967. https://doi.org/10.3390/jmse11101967
APA StyleRusu, E., & Onea, F. (2023). The Expected Dynamics of the European Offshore Wind Sector in the Climate Change Context. Journal of Marine Science and Engineering, 11(10), 1967. https://doi.org/10.3390/jmse11101967
