Advanced Methods for Wind Turbine Performance Analysis Based on SCADA Data and CFD Simulations
Abstract
1. Introduction
- the wind turbine power has a multivariate dependence on environmental factors, on working parameters, and on the health status of the machine;
- there are data quality issues related to the wind speed measurement.
- The analysis of operation curves [16] which do not depend on the measurement of wind speed. The space–time comparison is pursued in order to individuate if there are differences in the wind turbines suspected of under-performance.
2. The Test Case and the Data Set
Data Pre-Processing
- Wind Speed v measured by the ultrasonic nacelle anemometer (m/s);
- Output power P (kW);
- Blade pitch angle ();
- Rotor speed (rpm);
- Gearbox speed (rpm).
- For each wind turbine, data are filtered on the request that it has been producing output during all the 10-min intervals associated with a record. This has been done using the appropriate run-time counter available in the SCADA data set.
- Industrial wind farms might operate under curtailment, due to grid requirements or for noise- or load-reduction. It is recommended to filter out the time steps associated with operation under curtailment when analyzing the performance of a wind turbine [19,20]. A simple and effective method is based on the fact that wind turbines under curtailment are forced to pitch anomalously in order to regulate the load at the desired set point. Therefore, for the deviation with respect to the average wind speed–blade pitch [21], a curve can be used for distinguishing the operation under curtailment. A threshold has been employed for this study. An example of filtering is reported in Figure 2. From this figure, it appears that the identification of anomalous data is acceptable for practical uses, such as for the purposes of this study. It should be noticed that there are several methods in the literature for substituting the missing or filtered-out data through interpolation [22,23]. This is not necessary for the objectives of this work, which is based on an analysis of the average behavior of the wind turbines.
3. Methods
3.1. SCADA Data Analysis
3.2. Numerical Simulations
- Low: 10 m/s;
- High: 13 m/s.
- one turbine is selected as a reference for the wind speed measurement;
- SCADA data are filtered when the wind direction is within the wind sector of interest, and the nacelle wind speed at the reference wind turbine is equal to the one calculated by the CFD model, with a tolerance of 0.2 m/s;
- the difference between the measured and the numerical wind speed are computed (absolute and in percentage) for all the other wind turbines in the farm;
- the above steps are repeated, changing the reference turbine each time: eventually, an error matrix has been obtained.
4. Results
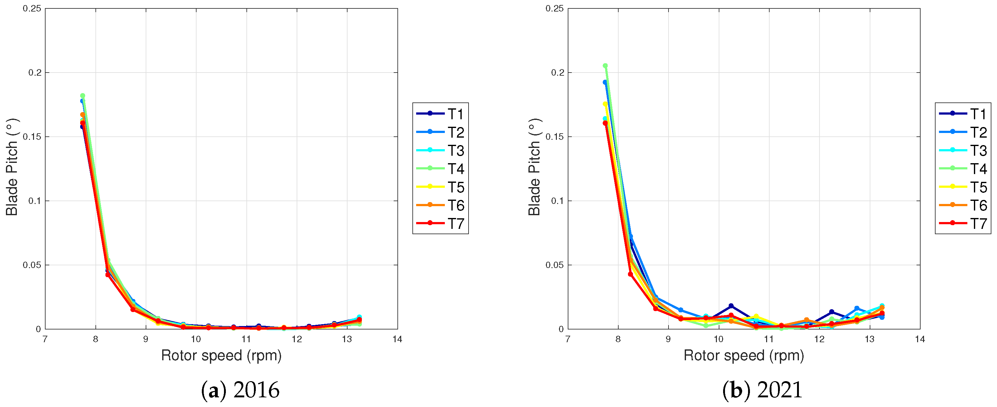
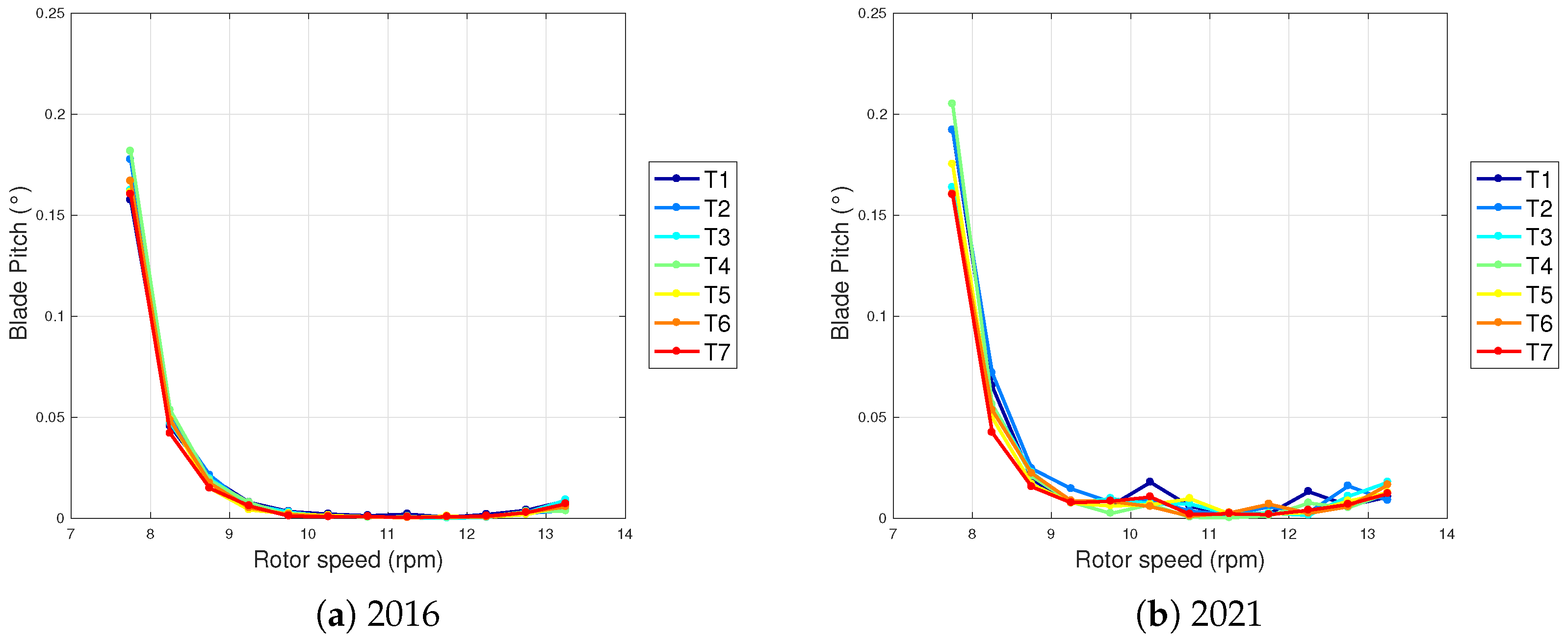
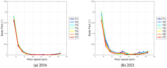
4.1. SCADA Data Analysis
4.2. Numerical Simulations
5. Conclusions
Author Contributions
Funding
Conflicts of Interest
References
- Astolfi, D.; Pandit, R.; Terzi, L.; Lombardi, A. Discussion of wind turbine performance based on SCADA data and multiple test case analysis. Energies 2022, 15, 5343. [Google Scholar] [CrossRef]
- Honrubia, A.; Vigueras-Rodríguez, A.; Gómez-Lázaro, E. The influence of turbulence and vertical wind profile in wind turbine power curve. In Progress in Turbulence and Wind Energy IV; Springer: Berlin/Heidelberg, Germany, 2012; pp. 251–254. [Google Scholar]
- Hedevang, E. Wind turbine power curves incorporating turbulence intensity. Wind Energy 2014, 17, 173–195. [Google Scholar] [CrossRef]
- Pandit, R.K.; Infield, D.; Carroll, J. Incorporating air density into a Gaussian process wind turbine power curve model for improving fitting accuracy. Wind Energy 2019, 22, 302–315. [Google Scholar] [CrossRef]
- Troldborg, N.; Andersen, S.J.; Hodgson, E.L.; Meyer Forsting, A. Brief communication: How does complex terrain change the power curve of a wind turbine? Wind Energy Sci. 2022, 7, 1527–1532. [Google Scholar] [CrossRef]
- Astolfi, D.; Pandit, R.; Gao, L.; Hong, J. Individuation of Wind Turbine Systematic Yaw Error through SCADA Data. Energies 2022, 15, 8165. [Google Scholar] [CrossRef]
- Astolfi, D.; Castellani, F.; Becchetti, M.; Lombardi, A.; Terzi, L. Wind Turbine Systematic Yaw Error: Operation Data Analysis Techniques for Detecting It and Assessing Its Performance Impact. Energies 2020, 13, 2351. [Google Scholar] [CrossRef]
- Rabanal, A.; Ulazia, A.; Ibarra-Berastegi, G.; Sáenz, J.; Elosegui, U. MIDAS: A benchmarking multi-criteria method for the identification of defective anemometers in wind farms. Energies 2019, 12, 28. [Google Scholar] [CrossRef]
- Amato, A.; Heiba, B.; Spertino, F.; Malgaroli, G.; Ciocia, A.; Yahya, A.M.; Mahmoud, A.K. An Innovative Method to Evaluate the Real Performance of Wind Turbines with Respect to the Manufacturer Power Curve: Case Study from Mauritania. In Proceedings of the 2021 IEEE International Conference on Environment and Electrical Engineering and 2021 IEEE Industrial and Commercial Power Systems Europe (EEEIC/I&CPS Europe), Bari, Italy, 7–10 September 2021; pp. 1–5. [Google Scholar]
- Carullo, A.; Ciocia, A.; Malgaroli, G.; Spertino, F. An Innovative Correction Method of Wind Speed for Efficiency Evaluation of Wind Turbines. Acta IMEKO 2021, 10, 46–53. [Google Scholar] [CrossRef]
- Lydia, M.; Kumar, S.S.; Selvakumar, A.I.; Kumar, G.E.P. A comprehensive review on wind turbine power curve modeling techniques. Renew. Sustain. Energy Rev. 2014, 30, 452–460. [Google Scholar] [CrossRef]
- Barber, S.; Hammer, F.; Tica, A. Improving Site-Dependent Wind Turbine Performance Prediction Accuracy Using Machine Learning. ASCE-ASME J. Risk Uncertain. Eng. Syst. Part B Mech. Eng. 2022, 8, 021102. [Google Scholar] [CrossRef]
- Ackermann, T. Wind Power in Power Systems; John Wiley & Sons: Hoboken, NJ, USA, 2005. [Google Scholar]
- Ding, Y.; Kumar, N.; Prakash, A.; Kio, A.E.; Liu, X.; Liu, L.; Li, Q. A case study of space–time performance comparison of wind turbines on a wind farm. Renew. Energy 2021, 171, 735–746. [Google Scholar] [CrossRef]
- Astolfi, D.; Castellani, F.; Terzi, L. Mathematical methods for SCADA data mining of onshore wind farms: Performance evaluation and wake analysis. Wind Eng. 2016, 40, 69–85. [Google Scholar] [CrossRef]
- Astolfi, D. Wind Turbine Operation Curves Modelling Techniques. Electronics 2021, 10, 269. [Google Scholar] [CrossRef]
- Lee, G.; Ding, Y.; Xie, L.; Genton, M.G. A kernel plus method for quantifying wind turbine performance upgrades. Wind Energy 2015, 18, 1207–1219. [Google Scholar] [CrossRef]
- Hwangbo, H.; Ding, Y.; Eisele, O.; Weinzierl, G.; Lang, U.; Pechlivanoglou, G. Quantifying the effect of vortex generator installation on wind power production: An academia-industry case study. Renew. Energy 2017, 113, 1589–1597. [Google Scholar] [CrossRef]
- Morrison, R.; Liu, X.; Lin, Z. Anomaly detection in wind turbine SCADA data for power curve cleaning. Renew. Energy 2021. [Google Scholar] [CrossRef]
- De Caro, F.; Vaccaro, A.; Villacci, D. Adaptive wind generation modeling by fuzzy clustering of experimental data. Electronics 2018, 7, 47. [Google Scholar] [CrossRef]
- Pandit, R.K.; Infield, D. Comparative assessments of binned and support vector regression-based blade pitch curve of a wind turbine for the purpose of condition monitoring. Int. J. Energy Environ. Eng. 2019, 10, 181–188. [Google Scholar] [CrossRef]
- Qu, F.; Liu, J.; Ma, Y.; Zang, D.; Fu, M. A novel wind turbine data imputation method with multiple optimizations based on GANs. Mech. Syst. Signal Process. 2020, 139, 106610. [Google Scholar] [CrossRef]
- Martinez-Luengo, M.; Shafiee, M.; Kolios, A. Data management for structural integrity assessment of offshore wind turbine support structures: Data cleansing and missing data imputation. Ocean Eng. 2019, 173, 867–883. [Google Scholar] [CrossRef]
- Carullo, A.; Castellana, A.; Vallan, A.; Ciocia, A.; Spertino, F. In-field monitoring of eight photovoltaic plants: Degradation rate over seven years of continuous operation. Acta IMEKO 2018, 7. [Google Scholar] [CrossRef]
- Astolfi, D.; Byrne, R.; Castellani, F. Analysis of Wind Turbine Aging through Operation Curves. Energies 2020, 13, 5623. [Google Scholar] [CrossRef]
- Porté-Agel, F.; Wu, Y.T.; Lu, H.; Conzemius, R.J. Large-eddy simulation of atmospheric boundary layer flow through wind turbines and wind farms. J. Wind Eng. Ind. Aerodyn. 2011, 99, 154–168. [Google Scholar] [CrossRef]
- Sebastiani, A.; Castellani, F.; Crasto, G.; Segalini, A. Data analysis and simulation of the Lillgrund wind farm. Wind Energy 2021, 24, 634–648. [Google Scholar] [CrossRef]
- Tabas, D.; Fang, J.; Porté-Agel, F. Wind energy prediction in highly complex terrain by computational fluid dynamics. Energies 2019, 12, 1311. [Google Scholar] [CrossRef]
- Song, Y.; Paek, I. Prediction and Validation of the Annual Energy Production of a Wind Turbine Using WindSim and a Dynamic Wind Turbine Model. Energies 2020, 13, 6604. [Google Scholar] [CrossRef]
- Peralta, C.; Nugusse, H.; Kokilavani, S.; Schmidt, J.; Stoevesandt, B. Validation of the simplefoam (rans) solver for the atmospheric boundary layer in complex terrain. ITM Web Conf. 2014, 2, 01002. [Google Scholar] [CrossRef]



















| Application | Range | Bins | ||
|---|---|---|---|---|
| Power curve | v | P | [4, 12] m/s | 0.5 m/s |
| Rotor speed–power curve | P | [7.5, 13.5] rpm | 0.5 rpm | |
| Gearbox speed–power curve | P | [650, 1200] rpm | 50 rpm | |
| Rotor speed–blade pitch | [7.5, 13.5] rpm | 0.5 rpm | ||
| Relative performance | [0, 3400] kW | 340 kW |
| Direction | Grid Spacing (Min–Max) | Number of Cells |
|---|---|---|
| x | 17.1–266.3 | 320 |
| y | 17.0–270.5 | 21 |
| z | Variable | 51 |
| Sector | SCADA | Numerical |
|---|---|---|
| 7.17 m/s | 7.22 m/s | |
| 7.36 m/s | 7.35 m/s | |
| 7.20 m/s | 7.16 |
| Sector | SCADA | Numerical |
|---|---|---|
| 9.28 m/s | 9.36 m/s | |
| 9.51 m/s | 9.52 m/s | |
| 9.17 m/s | 9.27 |
Disclaimer/Publisher’s Note: The statements, opinions and data contained in all publications are solely those of the individual author(s) and contributor(s) and not of MDPI and/or the editor(s). MDPI and/or the editor(s) disclaim responsibility for any injury to people or property resulting from any ideas, methods, instructions or products referred to in the content. |
© 2023 by the authors. Licensee MDPI, Basel, Switzerland. This article is an open access article distributed under the terms and conditions of the Creative Commons Attribution (CC BY) license (https://creativecommons.org/licenses/by/4.0/).
Share and Cite
Castellani, F.; Pandit, R.; Natili, F.; Belcastro, F.; Astolfi, D. Advanced Methods for Wind Turbine Performance Analysis Based on SCADA Data and CFD Simulations. Energies 2023, 16, 1081. https://doi.org/10.3390/en16031081
Castellani F, Pandit R, Natili F, Belcastro F, Astolfi D. Advanced Methods for Wind Turbine Performance Analysis Based on SCADA Data and CFD Simulations. Energies. 2023; 16(3):1081. https://doi.org/10.3390/en16031081
Chicago/Turabian StyleCastellani, Francesco, Ravi Pandit, Francesco Natili, Francesca Belcastro, and Davide Astolfi. 2023. "Advanced Methods for Wind Turbine Performance Analysis Based on SCADA Data and CFD Simulations" Energies 16, no. 3: 1081. https://doi.org/10.3390/en16031081
APA StyleCastellani, F., Pandit, R., Natili, F., Belcastro, F., & Astolfi, D. (2023). Advanced Methods for Wind Turbine Performance Analysis Based on SCADA Data and CFD Simulations. Energies, 16(3), 1081. https://doi.org/10.3390/en16031081

