You are currently on the new version of our website. Access the old version .

102 Results Found

  • Article
  • Open Access
6 Citations
3,239 Views
24 Pages

Artificial Bee Colony Algorithm with Nelder–Mead Method to Solve Nurse Scheduling Problem

  • Rajeswari Muniyan,
  • Rajakumar Ramalingam,
  • Sultan S. Alshamrani,
  • Durgaprasad Gangodkar,
  • Ankur Dumka,
  • Rajesh Singh,
  • Anita Gehlot and
  • Mamoon Rashid

25 July 2022

The nurse scheduling problem (NSP) is an NP-Hard combinatorial optimization scheduling problem that allocates a set of shifts to the group of nurses concerning the schedule period subject to the constraints. The objective of the NSP is to create a sc...

  • Article
  • Open Access
22 Citations
9,341 Views
22 Pages

The purpose of machining operations is to make specific shapes or surface characteristics for a product. Conditions for machining operations were traditionally selected based on geometry and surface finish requirements. However, nowadays, many resear...

  • Article
  • Open Access
3 Citations
2,571 Views
21 Pages

14 November 2024

We investigate and compare two versions of the Nelder–Mead simplex algorithm for function minimization. Two types of convergence are studied: the convergence of function values at the simplex vertices and convergence of the simplex sequence. Fo...

  • Article
  • Open Access
1 Citations
3,141 Views
9 Pages

12 March 2022

The species–area relationship (SAR) describes a law of species richness changes as the sampling area varies. SAR has been studied for more than 100 years and is of great significance in the fields of biogeography, population ecology, and conser...

  • Article
  • Open Access
2 Citations
1,411 Views
20 Pages

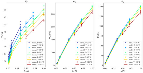
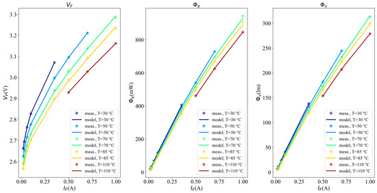
Parameter Extraction for a SPICE-like Delphi4LED Multi-Domain Chip-Level LED Model with an Improved Nelder–Mead Method

  • Márton Németh,
  • János Hegedüs,
  • Gusztáv Hantos,
  • Ali Kareem Abdulrazzaq and
  • András Poppe

15 August 2024

In this paper, a novel method is presented to estimate the parameters of the SPICE-like multi-domain model of light-emitting diode (LED) chips developed and proposed by the Delphi4LED project. The proposed estimation algorithm employs a modified Neld...

  • Article
  • Open Access
3 Citations
2,813 Views
14 Pages

23 August 2021

This paper presents an efficient method for designing optimal controllers. First, we established a performance index according to the system characteristics. In order to ensure that this performance index is applicable even when the state/output of t...

  • Feature Paper
  • Article
  • Open Access
19 Citations
4,286 Views
21 Pages

A number of evolutionary algorithms such as genetic algorithms, simulated annealing, particle swarm optimization, etc., have been used by researchers in order to optimize different manufacturing processes. In many cases these algorithms are either in...

  • Article
  • Open Access
622 Views
11 Pages

14 October 2025

A mathematical model of high-frequency geoacoustic emission for a single dislocation radiation source is suggested in the papper. The mathematical model is a linear Berlage oscillator with non-constant coefficients whose solution is the Berlage funct...

  • Article
  • Open Access
2 Citations
1,688 Views
17 Pages

Application of Independent Component Analysis and Nelder–Mead Particle Swarm Optimization Algorithm in Non-Contact Blood Pressure Estimation

  • Te-Jen Su,
  • Wei-Hong Lin,
  • Qian-Yi Zhuang,
  • Ya-Chung Hung,
  • Wen-Rong Yang,
  • Bo-Jun He and
  • Shih-Ming Wang

30 May 2024

In recent years, hypertension has become one of the leading causes of illness and death worldwide. Changes in lifestyle among the population have led to an increasing prevalence of hypertension. This study proposes a non-contact blood pressure estima...

  • Article
  • Open Access
3 Citations
2,905 Views
22 Pages

4 September 2023

Due to the high cost and the predicted shortage of rare earth elements in the near future, the task of developing energy-efficient electric machines without rare earth magnets is of great importance. This article presents a comparative analysis of op...

  • Article
  • Open Access
4 Citations
2,400 Views
20 Pages

Lunar Satellite Constellations in Frozen Low Orbits

  • Mikhail Ovchinnikov,
  • Maksim Shirobokov and
  • Sergey Trofimov

8 November 2024

This research studies the potential of frozen low lunar orbits to be used in the design of constellations for global and regional communication or navigation. We introduce a robust two-stage approach to the frozen low lunar orbit design based on the...

  • Article
  • Open Access
2 Citations
2,821 Views
12 Pages

Parameter Optimization of Josephson Parametric Amplifiers Using a Heuristic Search Algorithm for Axion Haloscope Search

  • Younggeun Kim,
  • Junu Jeong,
  • Sungwoo Youn,
  • Sungjae Bae,
  • Arjan F. van Loo,
  • Yasunobu Nakamura,
  • Sergey Uchaikin and
  • Yannis K. Semertzidis

The cavity haloscope is among the most widely adopted experimental platforms designed to detect dark matter axions with its principle relying on the conversion of axions into microwave photons in the presence of a strong magnetic field. The Josephson...

  • Article
  • Open Access
12 Citations
2,374 Views
10 Pages

Inverter Volt-Ampere Capacity Reduction by Optimization of the Traction Synchronous Homopolar Motor

  • Vladimir Prakht,
  • Vladimir Dmitrievskii,
  • Alecksey Anuchin and
  • Vadim Kazakbaev

11 November 2021

The synchronous homopolar motor (SHM) with an excitation winding on the stator and a toothed rotor is a good alternative to traction induction motors for hybrid mining trucks. The main problem in the design of the SHM electric drives is that the magn...

  • Article
  • Open Access
4 Citations
2,460 Views
11 Pages

28 January 2021

Single-phase flux reversal motors (FRMs) with sintered rare-earth permanent magnets on the stator for low-cost high-speed applications have a reliable rotor and a good specific power. However, to reduce eddy current loss, the sintered rare-earth magn...

  • Article
  • Open Access
5 Citations
3,831 Views
18 Pages

Derivative-Free Direct Search Optimization Method for Enhancing Performance of Analytical Design Approach-Based Digital Controller for Switching Regulator

  • Ghulam Abbas,
  • Muhammad Qumar Nazeer,
  • Valentina E. Balas,
  • Tsung-Chih Lin,
  • Marius M. Balas,
  • Muhammad Usman Asad,
  • Ali Raza,
  • Muhammad Naeem Shehzad,
  • Umar Farooq and
  • Jason Gu

7 June 2019

Although an analytical design approach-based digital controller—which is essentially a deadbeat controller—shows zero steady-state error and no intersampling oscillations, it takes a finite number of sampling periods to settle down to a s...

  • Article
  • Open Access
12 Citations
4,346 Views
12 Pages

Design Optimization of a Traction Synchronous Homopolar Motor

  • Vladimir Dmitrievskii,
  • Vladimir Prakht,
  • Alecksey Anuchin and
  • Vadim Kazakbaev

11 June 2021

Synchronous homopolar motors (SHMs) have been attracting the attention of researchers for many decades. They are used in a variety of equipment such as aircraft and train generators, welding inverters, and as traction motors. Various mathematical mod...

  • Article
  • Open Access
29 Citations
5,095 Views
13 Pages

Synchronous homopolar motors (SHMs) with an excitation winding located at the stator and a toothed salient pole rotor are a good alternative to motors traditionally used in traction applications such as induction motors or interior permanent magnet s...

  • Article
  • Open Access
4 Citations
2,063 Views
29 Pages

Example of Using Particle Swarm Optimization Algorithm with Nelder–Mead Method for Flow Improvement in Axial Last Stage of Gas–Steam Turbine

  • Paweł Ziółkowski,
  • Łukasz Witanowski,
  • Stanisław Głuch,
  • Piotr Klonowicz,
  • Michel Feidt and
  • Aimad Koulali

7 June 2024

This article focuses principally on the comparison baseline and the optimized flow efficiency of the final stage of an axial turbine operating on a gas–steam mixture by applying a hybrid Nelder–Mead and the particle swarm optimization met...

  • Article
  • Open Access
6 Citations
2,842 Views
19 Pages

21 March 2023

Electric machines with hybrid excitation have increased torque density while maintaining a wide range of speed control. This article presents the results of the optimal design of a synchronous homopolar generator (SHG) with ferrite magnets on the rot...

  • Article
  • Open Access
1,524 Views
20 Pages

Application of Real-Time Palm Imaging with Nelder–Mead Particle Swarm Optimization/Regression Algorithms for Non-Contact Blood Pressure Detection

  • Te-Jen Su,
  • Ya-Chung Hung,
  • Wei-Hong Lin,
  • Wen-Rong Yang,
  • Qian-Yi Zhuang,
  • Yan-Xiang Fei and
  • Shih-Ming Wang

20 November 2024

In response to the rising prevalence of hypertension due to lifestyle changes, this study introduces a novel approach for non-contact blood pressure (BP) monitoring. Recognizing the “silent killer” nature of hypertension, this research fo...

  • Article
  • Open Access
14 Citations
4,054 Views
16 Pages

16 September 2022

A synchronous homopolar motor (SHM) has a salient pole passive rotor, an excitation winding located on the stator, and no permanent magnets, which ensures high reliability and makes this type of motor a good alternative to motors traditionally used i...

  • Article
  • Open Access
246 Citations
35,031 Views
20 Pages

24 May 2017

Recent advances in Convolutional Neural Networks (CNNs) have obtained promising results in difficult deep learning tasks. However, the success of a CNN depends on finding an architecture to fit a given problem. A hand-crafted architecture is a challe...

  • Article
  • Open Access
4 Citations
1,073 Views
19 Pages

15 November 2024

The paper proposes an approach to solving the inverse epidemiological problem, written in terms of the “mean-field” theory. Finding the coefficients of an epidemiological SIR mean-field model is reduced to solving an optimization problem,...

  • Feature Paper
  • Article
  • Open Access
15 Citations
6,181 Views
18 Pages

Compact Wideband MIMO Diversity Antenna for Mobile Applications Using Multi-Layered Structure

  • Omer Arabi,
  • Chan Hwang See,
  • Atta Ullah,
  • Nazar Ali,
  • Bo Liu,
  • Raed Abd-Alhameed,
  • Neil J. McEwan and
  • Peter S. Excell

A closely packed wideband multiple-input multiple-output (MIMO)/diversity antenna (of two ports) with a small size of less than 18.5 mm by 18.5 mm is proposed for mobile communication applications. The antenna can be orthogonally configured for corne...

  • Article
  • Open Access
6 Citations
3,113 Views
15 Pages

The Radial Electric Field Excited Circular Disk Piezoceramic Acoustic Resonator and Its Properties

  • Andrey Teplykh,
  • Boris Zaitsev,
  • Alexander Semyonov and
  • Irina Borodina

17 January 2021

A new type of piezoceramic acoustic resonator in the form of a circular disk with a radial exciting electric field is presented. The advantage of this type of resonator is the localization of the electrodes at one end of the disk, which leaves the se...

  • Article
  • Open Access
67 Citations
6,419 Views
22 Pages

21 January 2021

This paper presents a user-friendly, CAD-interfaced methodology for the rapid seismic assessment of historic masonry structures. The proposed multi-level procedure consists of a two-step analysis that combines upper bound limit analysis with non-line...

  • Article
  • Open Access
4 Citations
2,781 Views
13 Pages

Design Optimization of the Magnet-Free Synchronous Homopolar Motor of a Subway Train

  • Vladimir Dmitrievskii,
  • Vladimir Prakht,
  • Vadim Kazakbaev and
  • Alecksey Anuchin

9 December 2022

Synchronous homopolar motors have no permanent magnets and their excitation winding is fixed at their stator. However, they can be a good alternative to induction and permanent magnet motors in traction applications requiring a wide constant power sp...

  • Article
  • Open Access
1 Citations
3,089 Views
14 Pages

Synchronous Homopolar Generator without Permanent Magnets for Railway Passenger Cars

  • Vladimir Prakht,
  • Vladimir Dmitrievskii and
  • Vadim Kazakbaev

5 February 2023

The article presents the optimal design of a 35 kW brushless synchronous homopolar generator without permanent magnets for railway passenger cars. The excitation winding of the generator is located on the stator, and the toothed rotor has no windings...

  • Article
  • Open Access
2 Citations
5,518 Views
14 Pages

6 February 2023

Currently, the lateral electric field excited resonators are used for the creation of various sensors. We have recently proposed a new type of acoustic resonator called radial electric field excited disk acoustic resonator. The advantage of this type...

  • Article
  • Open Access
6 Citations
3,615 Views
17 Pages

22 January 2023

Brushless synchronous homopolar machines (SHM) have long been used as highly reliable motors and generators with an excitation winding on the stator. However, a significant disadvantage that limits their use in traction applications is the reduced sp...

  • Article
  • Open Access
187 Views
36 Pages

A Modified Artificial Protozoa Optimizer for Robust Parameter Identification in Nonlinear Dynamic Systems

  • Davut Izci,
  • Serdar Ekinci,
  • Gökhan Yüksek,
  • Mostafa Rashdan,
  • Burcu Bektaş Güneş,
  • Muhammet İsmail Güngör and
  • Mohammad Salman

Accurate parameter identification in nonlinear and chaotic dynamic systems requires optimization algorithms that can reliably balance global exploration and local refinement in complex, multimodal search landscapes. To address this challenge, a modif...

  • Article
  • Open Access
6 Citations
5,803 Views
19 Pages

Smart Data-Driven Optimization of Powered Prosthetic Ankles Using Surface Electromyography

  • Roozbeh Atri,
  • J. Sebastian Marquez,
  • Connie Leung,
  • Masudur R. Siddiquee,
  • Douglas P. Murphy,
  • Ashraf S. Gorgey,
  • William T. Lovegreen,
  • Ding-Yu Fei and
  • Ou Bai

17 August 2018

The advent of powered prosthetic ankles provided more balance and optimal energy expenditure to lower amputee gait. However, these types of systems require an extensive setup where the parameters of the ankle, such as the amount of positive power and...

  • Article
  • Open Access
21 Citations
5,640 Views
13 Pages

Power Plant Optimisation—Effective Use of the Nelder-Mead Approach

  • Paweł Niegodajew,
  • Maciej Marek,
  • Witold Elsner and
  • Łukasz Kowalczyk

20 March 2020

This paper demonstrates the use of a combined software package including IPSEpro and MATLAB in the optimisation of a modern thermal cycle. A 900 MW power plant unit (operating at ultra-supercritical conditions) was considered as the study object. The...

  • Article
  • Open Access
4 Citations
2,456 Views
14 Pages

8 November 2019

This paper deals with an ultracapacitor (UC) model and its identification procedure. To take UC’s fractional characteristic into account, two constant phase elements (CPEs) are used to construct a model structure according to impedance spectrum...

  • Article
  • Open Access
7 Citations
2,616 Views
27 Pages

14 April 2022

Brain storm optimization algorithm (BSO) is a popular swarm intelligence algorithm. A significant part of BSO is to divide the population into different clusters with the clustering strategy, and the blind disturbance operator is used to generate off...

  • Article
  • Open Access
2,677 Views
33 Pages

Enhanced Hybrid Algorithms for Inverse Problem Solutions in Computed Tomography

  • Rafał Brociek,
  • Mariusz Pleszczyński,
  • Jakub Miarka and
  • Mateusz Goik

This article presents a method for solving the inverse problem of computed tomography using an incomplete dataset. The problem focuses on reconstructing spatial objects based on the data collected from transmitters and receivers (referred to as proje...

  • Article
  • Open Access
7 Citations
1,848 Views
34 Pages

Evaluation of Two-Dimensional DBH Estimation Algorithms Using TLS

  • Jorge Luis Compeán-Aguirre,
  • Pablito Marcelo López-Serrano,
  • José Luis Silván-Cárdenas,
  • Ciro Andrés Martínez-García-Moreno,
  • Daniel José Vega-Nieva,
  • José Javier Corral-Rivas and
  • Marín Pompa-García

7 November 2024

Terrestrial laser scanning (TLS) has become a vital tool in forestry for accurately measuring tree parameters, such as diameter at breast height (DBH). However, its application in Mexican forests remains underexplored. This study evaluates the perfor...

  • Article
  • Open Access
3 Citations
1,974 Views
10 Pages

26 December 2023

In the case of the point defect in a crystal, the inverse Radon’s problem in X-ray diffraction microtomography has been solved. As is known, the crystal-lattice defect displacement field function f(r) = h·u(r) determines phases − (...

  • Technical Note
  • Open Access
4 Citations
1,725 Views
12 Pages

Orthogonal Msplit Estimation for Consequence Disaster Analysis

  • Joanna Janicka,
  • Jacek Rapinski and
  • Wioleta Błaszczak-Bąk

10 January 2023

Nowadays, the data processing used for analyzing multifaceted disasters is based on technologies of mass observation acquisition. Terrestrial laser scanning is one of those technologies and enables the quick, non-invasive acquisition of information a...

  • Article
  • Open Access
1 Citations
950 Views
25 Pages

19 September 2025

Precipitation hardening is the primary mechanism for strengthening 6xxx series aluminium alloys. The characteristics of the precipitates play a crucial role in determining the mechanical properties. In particular, predicting yield strength (YS) based...

  • Article
  • Open Access
2 Citations
1,011 Views
11 Pages

1 March 2019

Quantitative kinetic parameters derived from dynamic contrast-enhanced (DCE) data are dependent on signal measurement quality and choice of pharmacokinetic model. However, the fundamental optimization analysis method is equally important and its impa...

  • Article
  • Open Access
9 Citations
2,774 Views
14 Pages

Optimal Design of Gearless Flux-Switching Generator with Ferrite Permanent Magnets

  • Vladimir Prakht,
  • Vladimir Dmitrievskii and
  • Vadim Kazakbaev

6 February 2020

In this paper, the optimal design of the Flux-Switching Generator with ferrite magnets based on a two-mode substituting load profile for a gearless wind generator is considered. A one-criterion Nelder-Mead method is used to optimize the generator des...

  • Article
  • Open Access
26 Citations
3,557 Views
18 Pages

2 January 2019

In large-area wireless sensor networks with hierarchical cluster-based routing protocols, the average number of clusters, k, and the transmission range for the control messages, R, significantly affect the network lifespan. We analyze energy consumpt...

  • Article
  • Open Access
3 Citations
5,125 Views
18 Pages

Permanent Magnet Assisted Synchronous Reluctance Motor for Subway Trains

  • Vladimir Dmitrievskii,
  • Vadim Kazakbaev,
  • Vladimir Prakht and
  • Alecksey Anuchin

With the growing demand and projected shortage of rare earth elements in the near future, the urgent task of developing energy-efficient electrical equipment with less dependence on rare earth magnets has become paramount. The use of permanent magnet...

  • Article
  • Open Access
6 Citations
4,568 Views
16 Pages

Optimization Design of Filament Wound Composite Pressure Vessel Based on OpenSees

  • Binbin Dai,
  • Mingjue Zhou,
  • Jianye Zhang,
  • Yuebing Li and
  • Weiya Jin

13 April 2023

Composite pressure vessels have the characteristics of light weight, corrosion resistance, good sealing, and high reliability, and have been widely used in military and civilian applications. With the widespread use of composite pressure vessels toda...

  • Article
  • Open Access
2 Citations
2,256 Views
28 Pages

To enhance the performance of rigid coaxial rotors across both hovering and high-speed cruising conditions, this study develops a novel aerodynamic optimization method that differentiates between the upper and lower rotors. Utilizing the lifting line...

  • Article
  • Open Access
3 Citations
3,176 Views
9 Pages

Polarization-Independent Circulator Based on Composite Rod of Ferrite and Plasma in Photonic Crystal Structure

  • Mi Lin,
  • Lixin Fu,
  • Shakeel Ahmed,
  • Qiong Wang,
  • Yaoxian Zheng,
  • Zixian Liang and
  • Zhengbiao Ouyang

2 February 2021

We propose a type of polarization-independent circulator based on a composite rod of ferrite and plasma materials in a two-dimensional photonic crystal (PhC) slab. Only one composite rod was set at the center of the structure to provide circulation f...

  • Article
  • Open Access
10 Citations
3,324 Views
13 Pages

17 October 2022

The complex refractive index for low-loss materials is conventionally extracted by either approximate analytical formula or numerical iterative algorithm (such as Nelder-Mead and Newton-Raphson) based on the transmission-mode terahertz time domain sp...

  • Article
  • Open Access
2 Citations
763 Views
25 Pages

4 November 2025

To address the key challenges in shortest path planning for known static obstacle maps—such as the tendency to converge to local optima in U-shaped/narrow obstacle regions, unbalanced computational efficiency, and suboptimal path quality—...

of 3