Parameter Extraction for a SPICE-like Delphi4LED Multi-Domain Chip-Level LED Model with an Improved Nelder–Mead Method
Abstract
1. Introduction
2. LED Modeling: The Governing Equations
2.1. The Delphi4LED Chip-Level Multi-Domain LED Model [31]
2.2. Measurement
3. LED Model Parameter Extraction Methods
3.1. Original Extraction Strategy
3.2. A Novel Parameter Extraction Strategy and Its Benefits
- had to be set during the measurement, requiring a long settling time to meet the target value of within an error margin less than 0.5 °C by adjusting the temperature of the DUT (device under test) LED holder of the measurement system. Since the measurement system determines indirectly, relying also on an experimentally determined relationship obtained from a prior calibration procedure, the measured value of is loaded by a complex measurement uncertainty budget.
- Including the IVL characteristics measured at temperature into the global optimization would assure a better overall fit of the model, as the information contained in these characteristics would also contribute to the modeling of temperature dependence.
- The sequential extraction of the parameters leads to a set of marginal optima, but not to the global optimum for all the nine parameters for the electrical and optical branches. An algorithm is required to estimate the global optimum in the 9-dimensional parameter space.
3.3. The Nelder–Mead Method
- Let denote the number of parameters to be extracted;
- let ) denote the cost function to be minimized during the search for the best fitting parameters in the -dimensional parameter space, and;
- let denote a point in the -dimensional parameter space.
- Identify the data points for which the ) cost function provides the largest, the second largest, and the smallest values. Denote these points as follows: (, (, and (.
- Calculate the coordinates of the centroid of the N best vectors: .
- Replace with a new point in the vertex by creating a line between and , and try out different points on this line. The points are called the reflection, the expansion, and the contraction points of with respect to , calculated as follows:
- Reflection: . The reflection point replaces the maximum point if
- Expansion: If , there is a chance to find a better point if we move elsewhere on the line, so . If is better than , the maximum point is replaced with that value; otherwise, we keep the reflection point.
- Contraction: If , the contraction point will be ; otherwise, if , then . If , the condition holds.
- If no replacement point is found, shuffle all the vectors except the best, .
- A lack of improvement after numerous iterations.
- If the minimum of ) is close enough to 0.
- The number of function evaluations or iteration steps reaches its preset maximum number.
3.4. Modified Nelder–Mead Method
- Including more random vectors in the simplex increases the success rate of the parameter extraction process, but involves an increased computational cost.
- Using points from the parameter space with values much less than those forming a valid parameter set for a typical LED chip decreases the success rate of the parameter extraction process.
- An initial parameter set with parameter values not too far above the values from the expected solution of the parameter extraction process increases the success rate, involving only a slight increase in the computational cost.
- The above heuristic modifications result in high success rates for the parameter extraction, but do not assure high robustness.
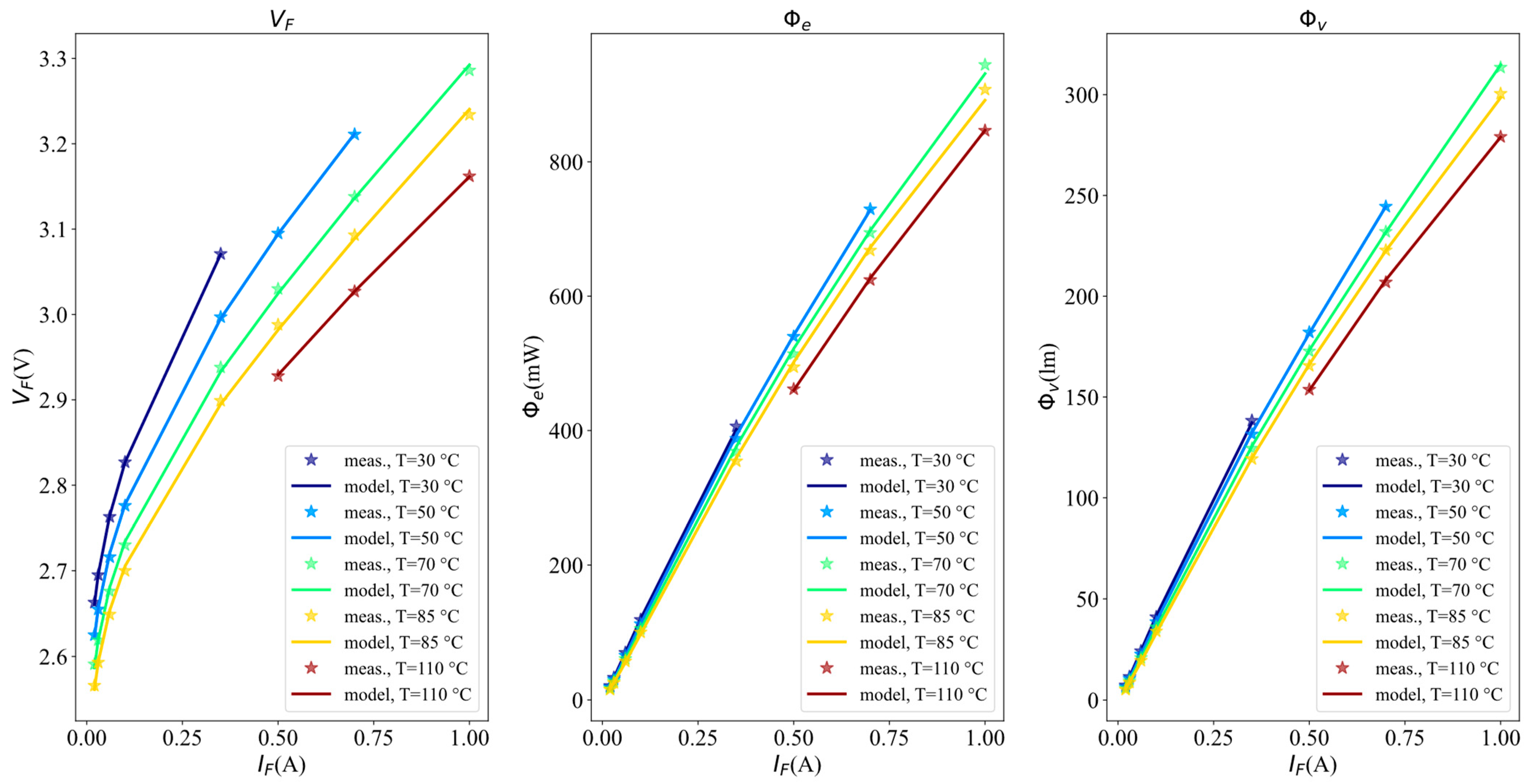
4. Results Obtained with the Modified Nelder–Mead Method
- The old method requires predefined junction temperatures, so the measurement points that do not meet this requirement are not taken into account.
- Slight differences in junction temperatures (±0.5 °C) are neglected in the old method.
- The old and the new parameter extraction methods also differ in the objective functions that they minimize during the fitting process. The old method uses the sum of square errors as the objective function to be minimized, while in the new method, the sum of the relative square error is used. Therefore, for the used figure of merit for the comparison of the two methods, the maximal relative error is much higher at low forward currents when applied to evaluate the fit error of the old method.
- For the forward voltage, errors are below 0.5%.
- For simulated radiant fluxes, errors are below 5%.
- For the luminous flux, errors are below 8%.
5. Conclusions
Author Contributions
Funding
Data Availability Statement
Acknowledgments
Conflicts of Interest
References
- AI-TWILIGHT—AI Powered Digital Twin for Lighting Infrastructure in the Context of Front-End Industry 4.0 Website of the AI-TWILIGHT H2020 ECSEL Project of the EU. Available online: https://ai-twilight.eu (accessed on 15 January 2024).
- Sharma, M.; Pandey, D.; Khosla, D.; Goyal, S.; Pandey, B.K.; Gupta, A.K. Design of a GaN-based Flip Chip Light Emitting Diode (FC-LED) with au Bumps & Thermal Analysis with different sizes and adhesive materials for performance considerations. Silicon 2022, 14, 7109–7120. [Google Scholar] [CrossRef]
- Ye, J.; Mo, S.; Jia, L.; Chen, Y. Experimental performance of a LED thermal management system with suspended microencapsulated phase change material. Appl. Therm. Eng. 2022, 207, 118155. [Google Scholar] [CrossRef]
- Wang, Y.; Alonso, J.M.; Ruan, X. A review of LED drivers and related technologies. IEEE Trans. Ind. Electron. 2017, 64, 5754–5765. [Google Scholar] [CrossRef]
- Zhang, X.; Yin, L.; Ren, K.; Zhang, J. Research on Simulation Design of MOS Driver for Micro-LED. Electronics 2022, 11, 2044. [Google Scholar] [CrossRef]
- Zhu, Y.; Tang, T.; Zhao, S.; Joralmon, D.; Poit, Z.; Ahire, B.; Li, X. Recent advancements and applications in 3D printing of functional optics. Addit. Manuf. 2022, 52, 102682. [Google Scholar] [CrossRef]
- Sun, C.C.; Lee, T.X. Optical Design for LED Solid-State Lighting: A Guide; IOP Publishing: Bristol, UK, 2022; pp. 1–34. [Google Scholar] [CrossRef]
- Thermal Management for LED Applications; Springer: New York, NY, USA; Volume 2. Lasance, C.J.; Poppe, A. (Eds.) Springer: New York, NY, USA; Volume 2. [CrossRef]
- Lasance, C.J. Ten years of boundary-condition-independent compact thermal modeling of electronic parts: A review. Heat Transf. Eng. 2008, 29, 149–168. [Google Scholar] [CrossRef]
- Martin, G.; Marty, C.; Bornoff, R.; Poppe, A.; Onushkin, G.; Rencz, M.; Yu, J. Luminaire Digital Design Flow with Multi-Domain Digital Twins of LEDs. Energies 2019, 12, 2389. [Google Scholar] [CrossRef]
- Rosten, H.I.; Parry, J.D.; Lasance, C.J.M.; Vinke, H.; Temmerman, W.; Nelemans, W.; Assouad, Y.; Gautier, T.; Slattery, O.; Cahill, C.; et al. Final report to SEMITHERM XIII on the European-funded project DELPHI-the development of libraries and physical models for an integrated design environment. In Proceedings of the Thirteenth Annual IEEE. Semiconductor Thermal Measurement and Management Symposium, Austin, TX, USA, 28–30 January 1997; pp. 73–91. [Google Scholar] [CrossRef]
- Rosten, H.I.; Lasance, C.J.M.; Parry, J.D. The world of thermal characterization according to DELPHI-Part I: Background to DELPHI. IEEE Trans. Compon. Packag. Manuf. Technol. Part A 1997, 20, 384–391. [Google Scholar] [CrossRef]
- Lasance, C.J.M.; Rosten, H.I.; Parry, J.D. The world of thermal characterization according to DELPHI-Part II: Experimental and numerical methods. IEEE Trans. Compon. Packag. Manuf. Technol. Part A 1997, 20, 392–398. [Google Scholar] [CrossRef]
- Pape, H.; Noebauer, G. Generation and verification of boundary independent compact thermal models for active components according to the DELPHI/SEED methods. In Proceedings of the 15th IEEE Semiconductor Thermal Measurement and Management Symposium (SEMI-THERM’99, San Diego, CA, USA, 9–11 March 1999; pp. 201–211. [Google Scholar] [CrossRef]
- Rosten, H.I.; Lasance, C.J. DELPHI: The development of libraries of physical models of electronic components for an integrated design environment. In Model Generation in Electronic Design; Springer: Boston, MA, USA, 1995; pp. 63–90. [Google Scholar] [CrossRef]
- JEDEC Standard JESD15-1.01; Compact Thermal Model Overview. JEDEC: Arlington County, VI, USA, 2008. Available online: https://www.jedec.org/system/files/docs/JESD15-1.01.pdf (accessed on 15 January 2024).
- JEDEC Standard JESD15-4; DELPHI Compact Thermal Model Guideline. JEDEC: Arlington County, VI, USA, 2008. Available online: https://www.jedec.org/system/files/docs/JESD15-4.pdf (accessed on 15 January 2024).
- Lasance, C.J.M. Final report on the EC-funded thermal project PROFIT. In Proceedings of the 9th International Workshop on THERMal INvestigations of ICs and Systems, Aix-en-Provence, France, 24–26 September 2003; pp. 283–289. [Google Scholar] [CrossRef]
- Poppe, A.; Farkas, G.; Szekely, V.; Horvath, G.; Rencz, M. Multi-domain simulation and measurement of power LED-s and power LED assemblies. In Proceedings of the 22nd IEEE SEMI-THERM Symposium, Dallas, TX, USA, 14–16 March 2006; pp. 191–198. [Google Scholar] [CrossRef]
- Website of the Delpi4LED H2020 ECSEL Project. Available online: https://delphi4led.org (accessed on 15 January 2024).
- Public Deliverable Report D3.2 of the Delph4LED Project, “Report on SPICE-Like Multi-Domain Modelling of LEDs on Chip Level”. Available online: https://delphi4led.org/pydio/public/c4a8bb (accessed on 15 January 2024).
- Poppe, A. Simulation of LED Based Luminaires by Using Multi-Domain Compact Models of LEDs and Compact Thermal Models of their Thermal Environment. Microelectron. Reliab. 2017, 72, 65–74. [Google Scholar] [CrossRef]
- Merelle, T.; Sari, J.; Di Bucchianico, A.; Onushkin, G.; Bornoff, R.; Farkas, G.; Gaal, L.; Hantos, G.; Hegedus, J.; Poppe, A. Does a single LED bin really represent a single LED type? In Proceedings of the 29th Session of the CIE, Washington, DC, USA, 14–22 June 2019; pp. 1204–1214. [Google Scholar] [CrossRef]
- Piprek, J. Efficiency models for GaN-based light-emitting diodes: Status and challenges. Materials 2020, 13, 5174. [Google Scholar] [CrossRef] [PubMed]
- Pohl, L.; Kollár, E.; Poppe, A.; Kohári, Z. Nonlinear electro-thermal modeling and field-simulation of OLEDs for lighting applications I: Algorithmic fundamentals. Microelectron. J. 2012, 43, 624–632. [Google Scholar] [CrossRef]
- Kordt, P.; van der Holst, J.J.M.; Al Helwi, M.; Kowalsky, W.; May, F.; Badinski, A.; Lennartz, C.; Andrienko, D. Modeling of organic light emitting diodes: From molecular to device properties. Adv. Funct. Mater. 2015, 25, 1955–1971. [Google Scholar] [CrossRef]
- Bender, V.C.; Marchesan, T.B.; Alonso, J.M. Solid-state lighting: A concise review of the state of the art on LED and OLED modeling. IEEE Ind. Electron. Mag. 2015, 9, 6–16. [Google Scholar] [CrossRef]
- Kamalakis, T.; Walewski, J.W.; Ntogari, G.; Mileounis, G. Empirical Volterra-series modeling of commercial light-emitting diodes. J. Light. Technol. 2011, 29, 2146–2155. [Google Scholar] [CrossRef]
- Padmasali, A.; Kini, S. Experimental investigation and empirical modelling of thermal and drive current effect on optical performance of commercial LEDs. Light. Res. Technol. 2020, 53, 581–593. [Google Scholar] [CrossRef]
- Van der Schans, M.; Yu, J.; Martin, G. Digital Luminaire Design Using LED Digital Twins—Accuracy and Reduced Computation Time: A Delphi4LED Methodology. Energies 2020, 13, 4979. [Google Scholar] [CrossRef]
- Poppe, A.; Farkas, G.; Gaál, L.; Hantos, G.; Hegedüs, J.; Rencz, M. Multi-Domain Modelling of LEDs for Supporting Virtual Prototyping of Luminaires. Energies 2019, 12, 1909. [Google Scholar] [CrossRef]
- Bornoff, R. Extraction of boundary condition independent dynamic compact thermal models of LEDs—A Delphi4LED methodology. Energies 2019, 12, 1628. [Google Scholar] [CrossRef]
- JEDEC Standard JESD 51-51A; Implementation of the Electrical Test Method for the Measurement of Real Thermal Resistance and Impedance of Light-Emitting Diodes with Exposed Cooling Surface. JEDEC: Arlington County, VI, USA, 2022. Available online: https://www.jedec.org/system/files/docs/JESD51-51A.pdf (accessed on 15 January 2024).
- JEDEC Standard JESD 51-52A; Guidelines for Combining CIE 127:-2007/CIE 225:2017 Total Flux Measurements with Thermal Measurements of LEDs with Exposed Cooling Surface Guidelines For Combining CIE 127-2007 total Flux Measurements with Thermal Measurements of Leds with Exposed Cooling Surface. JEDEC: Arlington County, VI, USA, 2022. Available online: https://www.jedec.org/system/files/docs/JESD51-52A.pdf (accessed on 15 January 2024).
- CIE 225:2017 Technical Report: “Optical Measurement of High-Power LEDs”. 2017. Available online: https://cie.co.at/publications/optical-measurement-high-power-leds (accessed on 2 July 2024). [CrossRef]
- Zahara, E.; Kao, Y.-T. Hybrid Nelder–Mead simplex search and particle swarm optimization for constrained engineering design problems. Expert Syst. Appl. 2009, 36, 3880–3886. [Google Scholar] [CrossRef]
- Mesbahi, T.; Khenfri, F.; Rizoug, N.; Bartholomeus, P.; Moigne, P.L. Combined Optimal Sizing and Control of Li-Ion Battery/Supercapacitor Embedded Power Supply Using Hybrid Particle Swarm–Nelder–Mead Algorithm. IEEE Trans. Sustain. Energy 2017, 8, 59–73. [Google Scholar] [CrossRef]
- Fakhouri, H.N.; Hudaib, A.; Sleit, A. Hybrid Particle Swarm Optimization with Sine Cosine Algorithm and Nelder–Mead Simplex for Solving Engineering Design Problems. Arab. J. Sci. Eng. 2020, 45, 3091–3109. [Google Scholar] [CrossRef]
- Chelouah, R.; Siarry, P. A hybrid method combining continuous tabu search and Nelder–Mead simplex algorithms for the global optimization of multiminima functions. Eur. J. Oper. Res. 2005, 161, 636–654. [Google Scholar] [CrossRef]
- Chelouah, R.; Siarry, P. Genetic and Nelder–Mead algorithms hybridized for a more accurate global optimization of continuous multiminima functions. Eur. J. Oper. Res. 2003, 148, 335–348. [Google Scholar] [CrossRef]
- Public Deliverable Report 3.3 of the Delph4LED Project. “Report on Parameter Extraction for SPICE-like Chip Level Multi-Domain LED Models”. Available online: https://delphi4led.org/pydio/public/abef7a (accessed on 15 January 2024).










| Number of Vectors | Success Rate [%] |
|---|---|
| N = 10 (original method) | 51.4 |
| N = 20 | 86.8 |
| N = 30 | 92.4 |
| N = 40 | 95.8 |
| N = 50 | 98.5 |
| Simplex Size | Success Rate with an Increased Central Point (10×) [%] | Success Rate with a Decreased Central Point (10×) [%] | Success Rate with a Decreased Central Point (5×) [%] |
|---|---|---|---|
| N = 10 | 58.1 | 0 | 15.7 |
| N = 20 | 89.3 | 15.2 | 37.5 |
| N = 30 | 94.5 | 41.4 | 59.9 |
| N = 40 | 95.2 | 55.8 | 72.3 |
| N = 50 | 98.8 | 78.2 | 95.1 |
| Method | Avg. of REs, Electric [%] | Variance of REs, Electric [10−4] | Avg. of REs, Optic [%] |
Variance of REs, Optic [10−4] | Avg. of REs, Luminous [%] |
Variance of REs Luminous [10−4] |
|---|---|---|---|---|---|---|
| A | 0.11 | 0.002 | 0.88 | 0.427 | 5.19 | 12.48 |
| A | 0.11 | 0.001 | 0.43 | 0.029 | 0.62 | 0.053 |
| Brute force, all currents | 1.55 | 0.289 | 12.48 | 18.84 | 10.68 | 14.60 |
| Nelder–Mead, all currents | 0.25 | 0.005 | 2.69 | 1.40 | 3.89 | 1.93 |
Disclaimer/Publisher’s Note: The statements, opinions and data contained in all publications are solely those of the individual author(s) and contributor(s) and not of MDPI and/or the editor(s). MDPI and/or the editor(s) disclaim responsibility for any injury to people or property resulting from any ideas, methods, instructions or products referred to in the content. |
© 2024 by the authors. Licensee MDPI, Basel, Switzerland. This article is an open access article distributed under the terms and conditions of the Creative Commons Attribution (CC BY) license (https://creativecommons.org/licenses/by/4.0/).
Share and Cite
Németh, M.; Hegedüs, J.; Hantos, G.; Abdulrazzaq, A.K.; Poppe, A. Parameter Extraction for a SPICE-like Delphi4LED Multi-Domain Chip-Level LED Model with an Improved Nelder–Mead Method. Appl. Sci. 2024, 14, 7186. https://doi.org/10.3390/app14167186
Németh M, Hegedüs J, Hantos G, Abdulrazzaq AK, Poppe A. Parameter Extraction for a SPICE-like Delphi4LED Multi-Domain Chip-Level LED Model with an Improved Nelder–Mead Method. Applied Sciences. 2024; 14(16):7186. https://doi.org/10.3390/app14167186
Chicago/Turabian StyleNémeth, Márton, János Hegedüs, Gusztáv Hantos, Ali Kareem Abdulrazzaq, and András Poppe. 2024. "Parameter Extraction for a SPICE-like Delphi4LED Multi-Domain Chip-Level LED Model with an Improved Nelder–Mead Method" Applied Sciences 14, no. 16: 7186. https://doi.org/10.3390/app14167186
APA StyleNémeth, M., Hegedüs, J., Hantos, G., Abdulrazzaq, A. K., & Poppe, A. (2024). Parameter Extraction for a SPICE-like Delphi4LED Multi-Domain Chip-Level LED Model with an Improved Nelder–Mead Method. Applied Sciences, 14(16), 7186. https://doi.org/10.3390/app14167186

