Journal Description
Acoustics
Acoustics
is an international, peer-reviewed, open access journal on acoustics science and engineering, published quarterly online by MDPI.
- Open Access— free for readers, with article processing charges (APC) paid by authors or their institutions.
- High Visibility: indexed within ESCI (Web of Science), Scopus, and other databases.
- Journal Rank: CiteScore - Q2 (Acoustics and Ultrasonics)
- Rapid Publication: manuscripts are peer-reviewed and a first decision is provided to authors approximately 22.3 days after submission; acceptance to publication is undertaken in 4.6 days (median values for papers published in this journal in the first half of 2025).
- Recognition of Reviewers: reviewers who provide timely, thorough peer-review reports receive vouchers entitling them to a discount on the APC of their next publication in any MDPI journal, in appreciation of the work done.
Impact Factor:
1.2 (2024);
5-Year Impact Factor:
1.7 (2024)
Latest Articles
Acoustic Conditions and Listening Performance in High-Stakes EFL Tests: An Observational Study of Real-World Data
Acoustics 2025, 7(4), 80; https://doi.org/10.3390/acoustics7040080 - 9 Dec 2025
Abstract
This study investigated how test room acoustic conditions relate to listening comprehension performance in a high-stakes English as a foreign language (EFL) assessment context. Using score data (n = 2532) from five TOEFL ITP test sessions conducted between 2021 and 2025 at
[...] Read more.
This study investigated how test room acoustic conditions relate to listening comprehension performance in a high-stakes English as a foreign language (EFL) assessment context. Using score data (n = 2532) from five TOEFL ITP test sessions conducted between 2021 and 2025 at a private university in Chiba, Japan, we compared performance across three lecture halls with documented differences in reverberation time (RT) and Speech Transmission Index (STI). Each listening score was linked to an approximated seat-based STI value, while grammar/reading scores were used to account for baseline proficiency. Linear mixed-effects modeling analyses indicated that examinees in the least favorable acoustic environment (RT0.5–2kHz 1.51 s, STI 0.60) obtained lower listening scores than those in rooms with shorter RT (0.93 s, 0.79 s) and higher STI (0.69, 0.67), respectively. Subgroup analyses revealed a significant effect at the CEFR-J B1.1 level, though the room and B1.1 effects showed modest estimated marginal mean differences (EMMDiff) roughly corresponding to 2–3 points on the total scale. Seat-based STI analyses also showed significant EMMDiff, with approximately 3–7 total score point differences observed between categories F (0.52–0.55) and ≥D (≥0.60). While the dataset was limited to one institution and the sample distribution limited generalizability of the findings, the study offers empirical findings that can inform future research and discussions on equitable listening assessment practices.
Full article
(This article belongs to the Special Issue Indoor Soundscape: Integrating Sound, Experience and Architecture (2nd Edition))
►
Show Figures
Open AccessArticle
Inverse Problem Solving for a Porous Acoustical Multilayered System Based on the Transfer Matrix Approach
by
Yassine Moradi, Julien Bustillo, Lionel Haumesser, Marc Lethiecq and Khalid Chikh
Acoustics 2025, 7(4), 79; https://doi.org/10.3390/acoustics7040079 - 5 Dec 2025
Abstract
►▼
Show Figures
The acoustical modelling of multilayered systems is crucial for researchers and engineers aiming to evaluate and control the behaviour of complex media and to determine their internal properties. In this work, we first develop a forward model describing the propagation of acoustic waves
[...] Read more.
The acoustical modelling of multilayered systems is crucial for researchers and engineers aiming to evaluate and control the behaviour of complex media and to determine their internal properties. In this work, we first develop a forward model describing the propagation of acoustic waves through various types of materials, including fluids, solids, and poroelastic media. The model relies on the classical theoretical frameworks of Thomson and Haskell for non-porous layers, while Biot’s theory is employed to describe wave propagation in poroelastic materials. The propagation is mathematically treated using the transfer matrix method, which links the acoustic displacement and stress at the extremities of each layer. Appropriate boundary conditions are applied at each interface to assemble all local matrices into a single global matrix representing the entire multilayer system. This forward model allows the calculation of theoretical transmission coefficients, which are then compared to experimental measurements to validate the approach proposed. Secondly, this modelling framework is used as the basis for solving inverse problems, where the goal is to retrieve unknown internal parameters, such as mechanical or acoustic properties, by minimizing the discrepancy between simulated and experimental transmission spectra. This inverse problem approach is essential in non-destructive evaluation applications, where direct measurements are often unfeasible.
Full article

Figure 1
Open AccessArticle
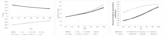
Estimation of Sound Transmission Loss for Elastic Closed-Cell Porous Material in Mass Control Region
by
Jun Cai, Yining Yang, Lin Xu and Junyu Zhou
Acoustics 2025, 7(4), 78; https://doi.org/10.3390/acoustics7040078 - 3 Dec 2025
Abstract
Elastic closed-cell porous material is widely applied as a class of light sound insulation product. However, it is difficult to accurately predict its soundproof property due to the occurrence of the closed cells. Therefore, a combined theoretical model of Biot’s theory and acoustic
[...] Read more.
Elastic closed-cell porous material is widely applied as a class of light sound insulation product. However, it is difficult to accurately predict its soundproof property due to the occurrence of the closed cells. Therefore, a combined theoretical model of Biot’s theory and acoustic field equations has been developed to predict the sound transmission loss (STL) in the mass control region. Five NBR-PVC closed-cell composites with different parameters were selected to verify the prediction model. Their STL measurement values were compared with the data calculated separately by the theoretical model and the Mass Law, whether under normal incidence or under random incidence. The results show that the Mass Law overestimates the sound insulation values of closed-cell porous material. STL prediction values from the theoretical model have more acceptable agreements to the measurement data than those from the Mass Law. The average deviation rates of the theoretical model are less than 4% under the normal incidence condition and are about 2.9% under the random incidence condition.
Full article
(This article belongs to the Special Issue Vibration and Noise (2nd Edition))
►▼
Show Figures

Figure 1
Open AccessArticle
Evaluation of the Acoustic Noise Performance of a Switched Reluctance Motor Under Different Current Control Techniques
by
Francisco Juarez-Leon, Moien Masoumi, Babak Nahid-Mobarakeh and Berker Bilgin
Acoustics 2025, 7(4), 77; https://doi.org/10.3390/acoustics7040077 - 30 Nov 2025
Abstract
►▼
Show Figures
In recent years, switched reluctance motors have emerged as a promising option for various applications due to their low manufacturing cost, rare-earth-free construction, and mechanical robustness. However, their widespread adoption is often limited by high torque ripple and acoustic noise. To address these
[...] Read more.
In recent years, switched reluctance motors have emerged as a promising option for various applications due to their low manufacturing cost, rare-earth-free construction, and mechanical robustness. However, their widespread adoption is often limited by high torque ripple and acoustic noise. To address these challenges, this paper presents a comparative study of the acoustic noise performance of an 18/12 switched reluctance motor under various current control techniques. This comparison offers valuable insight into the motor’s vibroacoustic characteristics, which is essential for optimizing SRM performance, particularly in applications where noise reduction is critical. Dynamic simulations of an SRM are carried out in MATLAB/Simulink, and multi-physics analyses are performed in ANSYS Workbench. The multi-physics modeling includes electromagnetic, modal, and harmonic response analyses for four current control techniques evaluated across different operating speeds under light-load conditions. The simulation results are validated experimentally using an actual motor mounted on a dynamometer setup. The corresponding acoustic signatures for each control technique are presented as 2D plots of equivalent radiated power from simulations and sound power level from experimental tests. In addition, experimental waterfall diagrams are provided for each control technique.
Full article

Figure 1
Open AccessArticle
A Recursive Generative Adversarial Denoising Learning Method for Acoustic-Based Gear Fault Diagnosis Under Non-Stationary Noise Interference
by
Zhiqun E, Xingjiang Ma, Yong Yao and Lei Sun
Acoustics 2025, 7(4), 76; https://doi.org/10.3390/acoustics7040076 - 21 Nov 2025
Abstract
►▼
Show Figures
Acoustic-based diagnosis (ABD) technology demonstrates promising application prospects for rotating machinery such as gears. However, non-stationary background noise may obscure or distort the target acoustic signal, potentially resulting in misdiagnosis or inadequate diagnosis in practical application. Therefore, preserving the inherent periodicity and sparsity
[...] Read more.
Acoustic-based diagnosis (ABD) technology demonstrates promising application prospects for rotating machinery such as gears. However, non-stationary background noise may obscure or distort the target acoustic signal, potentially resulting in misdiagnosis or inadequate diagnosis in practical application. Therefore, preserving the inherent periodicity and sparsity features of mechanical sound signals from non-stationary background noise constitutes a critical challenge to facilitating the effective application of ABD in practical industrial environments. To address the shortcoming, this paper proposes an ABD method based on Recursive Generative Adversarial Denoising (RGAD). Specifically, a Global Window-aware Attention Module (GWAM)-based generator is first designed to reconstruct periodic structural features of gear rotational acoustic signals by adaptively representing non-stationary noise components and recursively capturing global dependencies in the time–frequency domain. Subsequently, a generative adversarial mechanism is established through developing a recursive discriminative architecture, which enables the model to effectively alleviate the vanishing gradients during adversarial learning and recover the texture details of gear acoustic features in a coarse-to-fine manner through progressive guidance. Finally, combined with a fault diagnosis network (FDN), a complete RGAD-based ABD framework is constructed. Experimental results demonstrate that the proposed method effectively suppresses noise components while simultaneously reconstructing the periodic characteristics and fine texture details of gear rotational acoustic signals, thereby significantly improving the accuracy and reliability for gear acoustic diagnosis in real industrial scenarios.
Full article

Figure 1
Open AccessArticle
Physical Bounds on Underwater Sound Absorption by Coatings
by
James McDaniel, Gerson Amaya, Lisa Dangora and Elizabeth Magliula
Acoustics 2025, 7(4), 75; https://doi.org/10.3390/acoustics7040075 - 20 Nov 2025
Abstract
►▼
Show Figures
The development of sound-absorbing coatings for underwater structures has attracted significant attention due to their critical role in stealth and noise mitigation. While much of the recent research has focused on novel materials and complex configurations, the present study adopts a fundamentally different
[...] Read more.
The development of sound-absorbing coatings for underwater structures has attracted significant attention due to their critical role in stealth and noise mitigation. While much of the recent research has focused on novel materials and complex configurations, the present study adopts a fundamentally different approach by establishing theoretical bounds on acoustic absorption that are independent of specific designs. Assuming only linearity and viscous damping, we model coatings using discrete mechanical elements characterized by mass, stiffness, and damping parameters. These models incorporate practical design constraints on added mass and hydrostatic compression of the coating. To identify configurations that maximize average acoustic absorption over a frequency range, we employ a Particle Swarm Optimization Algorithm that performs a global search over the constrained parameter space. A method for constraining the search space, which can be extended to any optimization algorithm, is presented and illustrated by examples. Perhaps surprisingly, our findings reveal that complex topologies yield only marginal performance gains compared to simpler configurations. For the canonical mass-spring-damper model, we derive closed-form approximations for absorption in the low-, mid-, and high-frequency regimes. These results establish performance ceilings for each topology, providing a benchmark for evaluating and guiding future material and structural innovations in underwater acoustic coatings.
Full article

Figure 1
Open AccessArticle
Noise-Reducing Structure Optimization of Inverted Bucket Steam Valves Based on SVM-NOA
by
Shuxun Li, Yiting Wang, Dan Liu, Wei Li, Yuhao Tian and Jianwei Wang
Acoustics 2025, 7(4), 74; https://doi.org/10.3390/acoustics7040074 - 13 Nov 2025
Abstract
The inverted bucket steam valve is a key piece of equipment in steam systems. Optimizing its noise reduction performance via intelligent algorithms is crucial for enhancing the stability of steam systems. In this study, the nutcracker optimization algorithm (NOA) was investigated and improved.
[...] Read more.
The inverted bucket steam valve is a key piece of equipment in steam systems. Optimizing its noise reduction performance via intelligent algorithms is crucial for enhancing the stability of steam systems. In this study, the nutcracker optimization algorithm (NOA) was investigated and improved. A simulation method coupling computational fluid dynamics (CFD) with acoustic software was employed to characterize the acoustic properties of inverted bucket steam valves equipped with noise-reducing elements of different structures. Subsequently, the structural dimensions of the valve’s noise-reducing element were optimized using a support vector machine (SVM)-based surrogate model and the improved NOA. Concurrently, experimental tests were conducted on the inverted bucket steam valve before and after optimization to validate the simulation accuracy. The experimental results demonstrate that the SVM-NOA increases the maximum transmission loss (TL) of the valve’s noise-reducing element by 44.14 dB, with the error between experimental and simulation results being less than 3%. This verifies the accuracy of the acoustic simulation method and confirms the practicality and versatility of the SVM-NOA for solving real-world engineering problems.
Full article
(This article belongs to the Special Issue Vibration and Noise (2nd Edition))
►▼
Show Figures

Figure 1
Open AccessArticle
Enhancing the Accuracy of Monopole and Dipole Source Identification with Vision Transformer
by
Junwen Chen, Bohan Ma, Cheng Wei Lee, Xun Liu and Wei Ma
Acoustics 2025, 7(4), 73; https://doi.org/10.3390/acoustics7040073 - 10 Nov 2025
Abstract
►▼
Show Figures
The identification of mixed monopole and dipole sound sources under highly randomized acoustic environments is of interest in many industrial applications. The DAMAS–MS method is one of the few methods that has been explicitly developed to address this problem. However, it suffers from
[...] Read more.
The identification of mixed monopole and dipole sound sources under highly randomized acoustic environments is of interest in many industrial applications. The DAMAS–MS method is one of the few methods that has been explicitly developed to address this problem. However, it suffers from a critical constraint in that it consistently exhibits limited accuracy in identifying monopole sources, which leads to their underestimation in the final results. To overcome this constraint, this paper proposed a novel identification framework that integrates vision transformer (ViT) with beamforming techniques. The framework leverages preliminary beamforming results to construct input features by extracting the real and imaginary components of the cross-spectral matrix at target frequencies and incorporating spatial position encodings derived from estimated source locations. To ensure adaptability to varying source densities, multiple ViT sub-models are trained on representative scenarios. This strategy enables effective generalization across the target range and supports multi-label identification of monopole and dipole sources with varied configurations. Furthermore, anechoic chamber experiments with synthesized monopole and dipole emitters validate the method’s stability under single-frequency excitation. Compared to the DAMAS–MS method, the proposed method achieves improved identification accuracy for monopole sources, while maintaining comparable performance in dipole source identification, underscoring its potential for practical applications.
Full article

Figure 1
Open AccessOpinion
Envisioning the Future of Machine Learning in the Early Detection of Neurodevelopmental and Neurodegenerative Disorders via Speech and Language Biomarkers
by
Georgios P. Georgiou
Acoustics 2025, 7(4), 72; https://doi.org/10.3390/acoustics7040072 - 10 Nov 2025
Abstract
Speech and language offer a rich, non-invasive window into brain health. Advances in machine learning (ML) have enabled increasingly accurate detection of neurodevelopmental and neurodegenerative disorders through these modalities. This paper envisions the future of ML in the early detection of neurodevelopmental disorders
[...] Read more.
Speech and language offer a rich, non-invasive window into brain health. Advances in machine learning (ML) have enabled increasingly accurate detection of neurodevelopmental and neurodegenerative disorders through these modalities. This paper envisions the future of ML in the early detection of neurodevelopmental disorders like autism spectrum disorder and attention-deficit/hyperactivity disorder, and neurodegenerative disorders, such as Parkinson’s disease and Alzheimer’s disease, through speech and language biomarkers. We explore the current landscape of ML techniques, including deep learning and multimodal approaches, and review their applications across various conditions, highlighting both successes and inherent limitations. Our core contribution lies in outlining future trends across several critical dimensions. These include the enhancement of data availability and quality, the evolution of models, the development of multilingual and cross-cultural models, the establishment of regulatory and clinical translation frameworks, and the creation of hybrid systems enabling human–artificial intelligence (AI) collaboration. Finally, we conclude with a vision for future directions, emphasizing the potential integration of ML-driven speech diagnostics into public health infrastructure, the development of patient-specific explainable AI, and its synergistic combination with genomics and brain imaging for holistic brain health assessment. Overcoming substantial hurdles in validation, generalization, and clinical adoption, the field is poised to shift toward ubiquitous, accessible, and highly personalized tools for early diagnosis.
Full article
(This article belongs to the Special Issue Artificial Intelligence in Acoustic Phonetics)
►▼
Show Figures

Figure 1
Open AccessReview
Dependencies of Underwater Noise from Offshore Wind Farms on Distance, Wind Speed, and Turbine Power
by
Qitong Ge, Haoran Yao, Sihao Qian, Xuguang Zhang and Hongyi Guo
Acoustics 2025, 7(4), 71; https://doi.org/10.3390/acoustics7040071 - 4 Nov 2025
Abstract
►▼
Show Figures
The operational phase of offshore wind farms, lasting up to 20–25 years, exceeds the construction phase in duration. The ecological effects of underwater noise demand serious consideration, necessitating urgent research into its acoustic characteristics. This review conducts a systematic analysis of measurements of
[...] Read more.
The operational phase of offshore wind farms, lasting up to 20–25 years, exceeds the construction phase in duration. The ecological effects of underwater noise demand serious consideration, necessitating urgent research into its acoustic characteristics. This review conducts a systematic analysis of measurements of underwater noise from operational offshore wind farms, considering the correlations between turbine noise and distance, wind speed, turbine power, and foundation type. Propagation distance is the most critical factor influencing the underwater sound pressure level (SPL) of wind turbines, exhibiting a negative correlation with the SPL, with an attenuation of approximately 20.4 dB/decade. In contrast, wind speed and turbine power show a positive correlation with the SPL, with increase rates of 18.5 dB/decade and 12.4 dB/decade, respectively. Further analysis shows that foundation type and drive technology also have a significant impact on underwater SPL. With technological innovation, specifically the upgrade from conventional geared drive to direct-drive technology, the level of underwater noise can be reduced by approximately 9 dB, with the primary peak frequency being shifted to a lower range. Moreover, significant variations in SPLs were noted with the utilization of various types of foundation structures, with monopile foundations exhibiting the highest SPLs of underwater noise. These conclusions have important reference value for the scientific assessment of the health of aquatic organisms and ecosystems.
Full article

Figure 1
Open AccessArticle
Spatial Sound Modeling and Optimization of Flight Simulator with Multiple Off-Center Listening Positions
by
Yang Yang, Shuling Dai, Xiaoyong Lei and Yu Jia
Acoustics 2025, 7(4), 70; https://doi.org/10.3390/acoustics7040070 - 31 Oct 2025
Abstract
►▼
Show Figures
Accurate spatial sound localization is critical in flight simulators for enhancing situational awareness and pilot training effectiveness, particularly for diagnosing severe faults like engine surge which emit directional sound cues. However, existing spatial audio systems are primarily optimized for a single central listening
[...] Read more.
Accurate spatial sound localization is critical in flight simulators for enhancing situational awareness and pilot training effectiveness, particularly for diagnosing severe faults like engine surge which emit directional sound cues. However, existing spatial audio systems are primarily optimized for a single central listening position, failing to provide consistent localization accuracy for pilots seated in naturally off-center positions within the cockpit. To bridge this gap, this paper proposes a novel compensation method incorporating near-field loudspeakers. A comprehensive mathematical model for multiple off-center listening points is established based on acoustic velocity and energy vector theory. We further formulate a dual-phase optimization framework: a multi-objective model employing the NSGA-II algorithm to Pareto-optimize the trade-off between minimizing localization error and maximizing spatial stability, followed by a maximin model that guarantees robustness during head movements. A formal listening experiment demonstrates that the proposed optimized design significantly improves both localization accuracy and stability over conventional uniform layouts, thereby enhancing the fidelity and safety of flight simulation training.
Full article

Figure 1
Open AccessArticle
A Low-Cost Detection Method for Acoustic Defects in Building Components: Compressed Nearfield Acoustic Holography
by
Chenxi Yang, Hongwei Wang, Qiaochu Wang and Shujie Li
Acoustics 2025, 7(4), 69; https://doi.org/10.3390/acoustics7040069 - 30 Oct 2025
Abstract
►▼
Show Figures
The accurate diagnosis of acoustic defects and the precise assessment of the performance of building components are highly dependent on massive amounts of sampling data. In this study, we try to combine the compressed sensing theory with the nearfield acoustic holographic sound insulation
[...] Read more.
The accurate diagnosis of acoustic defects and the precise assessment of the performance of building components are highly dependent on massive amounts of sampling data. In this study, we try to combine the compressed sensing theory with the nearfield acoustic holographic sound insulation measurement method and introduce a noise reduction algorithm so as to realize the sound pressure distribution accuracy similar to that of the conventional sampling under low-density data conditions. Numerical simulation results show that the reconstruction error of the method proposed in this paper is only 8.21% higher than that of the complete sampling under the condition of 20% sampling rate, and the reconstruction error is only 2.50% higher than that of the complete sampling under the condition of 40% sampling rate. The reconstruction error under 50% sampling rate and 6.65 dB SNR is only 4.81% higher than the complete sampling, which is basically consistent with the numerical simulation; the sound insulation is only 1 dB lower than that measured by the sound pressure method, and the acoustic defects of the components can basically be identified. The results of this study have a positive significance in simplifying the process of sound insulation measurement in most scenarios.
Full article

Figure 1
Open AccessSystematic Review
Virtual Reality Application in Evaluating the Soundscape in Urban Environment: A Systematic Review
by
Özlem Gök Tokgöz, Margret Sibylle Engel, Cherif Othmani and M. Ercan Altinsoy
Acoustics 2025, 7(4), 68; https://doi.org/10.3390/acoustics7040068 - 17 Oct 2025
Abstract
►▼
Show Figures
Urban soundscapes are complex due to the interaction of different sound sources and the influence of structures on sound propagation. Moreover, the dynamic nature of sounds over time and space adds to this complexity. Virtual reality (VR) has emerged as a powerful tool
[...] Read more.
Urban soundscapes are complex due to the interaction of different sound sources and the influence of structures on sound propagation. Moreover, the dynamic nature of sounds over time and space adds to this complexity. Virtual reality (VR) has emerged as a powerful tool to simulate acoustic and visual environments, offering users an immersive sense of presence in controlled settings. This technology facilitates more accurate and predictive assessment of urban environments. It serves as a flexible tool for exploring, analyzing, and interpreting them under repeatable conditions. This study presents a systematic literature review focusing on research that integrates VR technology for the audiovisual reconstruction of urban environments. This topic remains relatively underrepresented in the existing literature. A total of 69 peer-reviewed studies were analyzed in this systematic review. The studies were classified according to research goals, selected urban environments, VR technologies used, technical equipment, and experimental setups. In this study, the relationship between the tools used in urban VR representations is examined, and experimental setups are discussed from both technical and perceptual perspectives. This paper highlights existing challenges and opportunities in using VR to assess soundscapes and offers practical insights for future applications of VR in urban environments.
Full article

Figure 1
Open AccessArticle
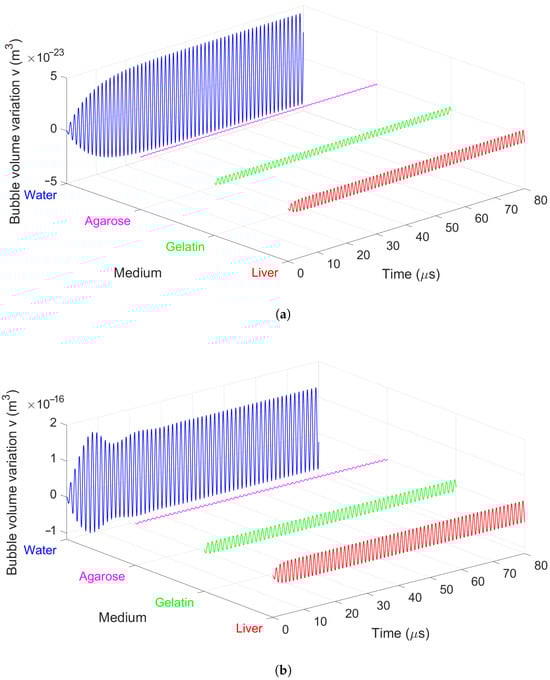
A Model for the Dynamics of Stable Gas Bubbles in Viscoelastic Fluids Based on Bubble Volume Variation
by
Elena V. Carreras-Casanova and Christian Vanhille
Acoustics 2025, 7(4), 67; https://doi.org/10.3390/acoustics7040067 - 16 Oct 2025
Abstract
►▼
Show Figures
We present a novel formulation of the Rayleigh–Plesset equation to describe stable gas bubble dynamics in viscoelastic media, using bubble volume variation, rather than radius, as the primary variable of the resulting nonlinear ordinary differential equation. This formulation incorporates the linear Kelvin–Voigt model
[...] Read more.
We present a novel formulation of the Rayleigh–Plesset equation to describe stable gas bubble dynamics in viscoelastic media, using bubble volume variation, rather than radius, as the primary variable of the resulting nonlinear ordinary differential equation. This formulation incorporates the linear Kelvin–Voigt model as the constitutive relation for the surrounding fluid, capturing both viscous and elastic contributions, to track the oscillations of a gas bubble subjected to an ultrasonic field over time. The proposed model is solved numerically, subjected to a convergence analysis, and validated by comparisons with theoretical and experimental results from the literature. We systematically investigate the nonlinear oscillations of a single spherical gas bubble in various viscoelastic environments, each modeled with varying levels of rheological complexity. The influence of medium properties, specifically shear elasticity and viscosity, is examined in detail across both linear and nonlinear regimes. This work improves our understanding of stable cavitation dynamics by emphasizing key differences from Newtonian fluid behavior, resonance frequency, phase shifts, and oscillation damping. Elasticity has a pronounced effect in low-viscosity media, whereas viscosity emerges as the dominant factor modulating the amplitude of oscillations in both the linear and nonlinear regimes. The model equation developed here provides a robust tool for analyzing how viscoelastic properties affect bubble dynamics, contributing to improved the prediction and control of stable cavitation phenomena in complex media.
Full article

Figure 1
Open AccessProject Report
Vaulted Harmonies: Archaeoacoustic Concert in Notre-Dame de Paris
by
David Poirier-Quinot, Jean-Marc Lyzwa, Jérôme Mouscadet and Brian F. G. Katz
Acoustics 2025, 7(4), 66; https://doi.org/10.3390/acoustics7040066 - 15 Oct 2025
Abstract
This paper presents Vaulted Harmonies, a 66-min animated feature film created as part of the scientific outreach effort of the Past Has Ears at Notre-Dame project (ANR-PHEND). The project investigates the historical acoustics of Notre-Dame de Paris and their influence on music over
[...] Read more.
This paper presents Vaulted Harmonies, a 66-min animated feature film created as part of the scientific outreach effort of the Past Has Ears at Notre-Dame project (ANR-PHEND). The project investigates the historical acoustics of Notre-Dame de Paris and their influence on music over the centuries. The film is structured around eleven musical pieces spanning the 12th to 20th centuries, each chosen for its relevance to the cathedral’s history and musical heritage. Details include how each piece was recorded and auralised using a calibrated geometric acoustic model that reflects the acoustics of the corresponding historical period. Further details describe the creation of the CGI renderings of Notre-Dame, which feature animated musicians synchronised with the music they perform, enhancing the immersive quality of the experience. These musical performances are interwoven with short documentary-style segments that provide historical and musicological context. The film adopts a first-person perspective in which the acoustics and visuals dynamically follow the camera’s movement, offering a virtual reality-like experience in a cinematic format. Vaulted Harmonies thus functions both as an engaging archaeoacoustic outreach project and as a standalone virtual concert rooted in historically informed performance and production.
Full article
(This article belongs to the Special Issue The Past Has Ears: Archaeoacoustics and Acoustic Heritage)
►▼
Show Figures

Figure 1
Open AccessArticle
Berlage Oscillator as a Mathematical Model of High-Frequency Geoacoustic Emission with One Dislocation Source
by
Darya Sergienko and Roman Parovik
Acoustics 2025, 7(4), 65; https://doi.org/10.3390/acoustics7040065 - 14 Oct 2025
Abstract
►▼
Show Figures
A mathematical model of high-frequency geoacoustic emission for a single dislocation radiation source is suggested in the papper. The mathematical model is a linear Berlage oscillator with non-constant coefficients whose solution is the Berlage function momentum. Further, the values of the parameters of
[...] Read more.
A mathematical model of high-frequency geoacoustic emission for a single dislocation radiation source is suggested in the papper. The mathematical model is a linear Berlage oscillator with non-constant coefficients whose solution is the Berlage function momentum. Further, the values of the parameters of the Berlage pulse are specified using experimental data. For this purpose, the problem of multidimensional optimization is solved, which consists of two stages: global optimization using the differential evolution method and local optimization according to the Nelder-Mead method. Statistics are given to confirm the correctness of the obtained results: standard error and coefficient of determination. It is shown that two-stage multivariate optimization makes it possible to refine the parameters of the Berlage pulse with a sufficiently high accuracy to describe high-frequency geoacoustic emission.
Full article

Figure 1
Open AccessArticle
The Impact of Soundscape on Pedestrian Comfort, Perception and Walking Experience in Béjaïa, Algeria
by
Yacine Mansouri, Mohamed Elhadi Matallah, Abdelghani Attar, Waqas Ahmed Mahar and Shady Attia
Acoustics 2025, 7(4), 64; https://doi.org/10.3390/acoustics7040064 - 13 Oct 2025
Abstract
►▼
Show Figures
This study explores the influence of the urban soundscape on pedestrian perception and walking experience in the historic and lower parts of Béjaïa, Algeria. More precisely, the analysis investigates how variations in soundscape configuration relate to perceived comfort, safety, and walking pleasantness across
[...] Read more.
This study explores the influence of the urban soundscape on pedestrian perception and walking experience in the historic and lower parts of Béjaïa, Algeria. More precisely, the analysis investigates how variations in soundscape configuration relate to perceived comfort, safety, and walking pleasantness across five morphologically distinct urban zones. A mixed-method approach combining quantitative tools (LAeq acoustic measurements) and qualitative methods (soundwalks, sound diaries, and mental maps) was applied in accordance with ISO 12913. The study involved 50 participants for the sound diaries and 58 for the soundwalks. Results show that natural and social sounds enhance perceived comfort and safety, while mechanical noise is associated with discomfort and avoidance behaviors. In the morning, moderate to strong correlations were observed between sound comfort and visual perception (ρ = 0.58, p = 0.001, 95% CI [0.27; 0.80]), as well as between sound comfort and walking pleasantness (ρ = 0.40, p = 0.033, 95% CI [0.05; 0.67]). The study highlights the need to integrate soundscape considerations into urban planning and heritage conservation strategies.
Full article

Figure 1
Open AccessArticle
Predictive Torque Control for Induction Machine Fed by Voltage Source Inverter: Theoretical and Experimental Analysis on Acoustic Noise
by
Bouyahi Henda and Adel Khedher
Acoustics 2025, 7(4), 63; https://doi.org/10.3390/acoustics7040063 - 11 Oct 2025
Abstract
►▼
Show Figures
Induction motors piloted by voltage source inverters constitute a major source of acoustic noise in industry. The discrete tonal bands generated by induction motor stator current spectra controlled by the fixed Pulse Width Modulation (PWM) technique have damaging effects on the electronic noise
[...] Read more.
Induction motors piloted by voltage source inverters constitute a major source of acoustic noise in industry. The discrete tonal bands generated by induction motor stator current spectra controlled by the fixed Pulse Width Modulation (PWM) technique have damaging effects on the electronic noise source. Nowadays, the investigation of new advanced control techniques for variable speed drives has developed a potential investigation field. Finite state model predictive control has recently become a very popular research focus for power electronic converter control. The flexibility of this control shows that the switching times are generated using all the information on the drive status. Predictive Torque Control (PTC), space vector PWM and random PWM are investigated in this paper in terms of acoustic noise emitted by an induction machine fed by a three-phase two-level inverter. A comparative study based on electrical and mechanical magnitudes, as well as harmonic analysis of the stator current, is presented and discussed. An experimental test bench is also developed to examine the effect of the proposed PTC and PWM techniques on the acoustic noise of an induction motor fed by a three-phase two-level voltage source converter.
Full article

Figure 1
Open AccessArticle
Fitting Methods for Empirical Models of Open-Pore Foams
by
Jesús Alba, Romina del Rey and Juan C. Rodríguez
Acoustics 2025, 7(4), 62; https://doi.org/10.3390/acoustics7040062 - 30 Sep 2025
Abstract
►▼
Show Figures
Sound-absorbing materials in the frequency range can be characterised upon the basis of their propagation constant and characteristic impedance. For a number of years, there have been empirical models, such as that of Delany and Bazley, which adjust these parameters to the flow
[...] Read more.
Sound-absorbing materials in the frequency range can be characterised upon the basis of their propagation constant and characteristic impedance. For a number of years, there have been empirical models, such as that of Delany and Bazley, which adjust these parameters to the flow resistivity and frequency, defining fitting coefficients. Based on the Delany–Bazley model, further adjustments of these coefficients have been proposed to improve the prediction of specific materials. The most commonly used adjustments are based on a quadratic error function for the normal incidence sound absorption coefficient or the surface impedance. Three adjustment methods are displayed in this paper to obtain new open-pore foam coefficients. The propagation constant and characteristic impedance measurements are adjusted, with different error functions and minimisation algorithms. New and improved models are obtained upon the basis of these three methods. The results obtained display satisfactory adjustments of all the material variables.
Full article

Figure 1
Open AccessArticle
Bifurcation in Stick–Slip-Induced Low-Frequency Brake Noises: Experimental and Numerical Study
by
Deborah Audretsch, Daniel Wallner, Michael Frey and Frank Gauterin
Acoustics 2025, 7(4), 61; https://doi.org/10.3390/acoustics7040061 - 26 Sep 2025
Abstract
►▼
Show Figures
The term honk noise describes a low-frequency brake noise from approximately 400 Hz to 500 Hz which arises at extremely low speeds and low brake pressures. Manoeuvres like slowly releasing the brake at a hill or gently braking against the drag torque of
[...] Read more.
The term honk noise describes a low-frequency brake noise from approximately 400 Hz to 500 Hz which arises at extremely low speeds and low brake pressures. Manoeuvres like slowly releasing the brake at a hill or gently braking against the drag torque of an automatic gearbox lead to honk noise. Under the same conditions, we observed creep groan at about 80 Hz. It has been shown that honk noise usually occurs after or alternates with creep groan. For this reason, it is assumed that honk noise—like creep groan—is a stick–slip-induced phenomenon and therefore shows highly nonlinear behaviour. In this paper, we present an approach for explaining the onset of honk noise under stick–slip excitation. A minimal model consisting of coupled mass oscillators excited by stick–slip is investigated. The model was able to reproduce the phenomena observed in the experiments. Thus, it is suitable for explaining the mechanisms leading to honk and estimate the influence of basic parameter variations. The lessons learned are a crucial step towards more realistic finite element or multi-body simulation methods, which have high potential for saving costs in the noise, vibration, and harshness (NVH) development process of brake systems.
Full article

Figure 1
Highly Accessed Articles
Latest Books
E-Mail Alert
News
Topics
Special Issues
Special Issue in
Acoustics
Soundscape in Urban Forests - 2nd Edition
Guest Editors: Xin-Chen Hong, Jiang Liu, Guangyu WangDeadline: 31 December 2025
Special Issue in
Acoustics
Indoor Soundscape: Integrating Sound, Experience and Architecture (2nd Edition)
Guest Editors: Papatya Nur Dökmeci Yörükoğlu, Jian KangDeadline: 22 June 2026
Special Issue in
Acoustics
Artificial Intelligence in Acoustic Phonetics
Guest Editor: Georgios P. GeorgiouDeadline: 15 July 2026
Special Issue in
Acoustics
Advancing Audio/Speech Machine Learning: From Static to Continual Learning
Guest Editor: Kele XuDeadline: 22 July 2026



