-
How Will Environmental Conditions Affect Species Distribution and Survival in the Coming Decades—A Review -
New Records of Marine Mollusca from the Culuccia Peninsula (NW Sardinia, Italy) -
Pseudoscorpions from Motu Motiro Hiva, a Remote Polynesian Island, with the Description of a New Genus of Chernetidae (Pseudoscorpiones)
Journal Description
Diversity
Diversity
is a peer-reviewed, open access journal on the science of biodiversity (from molecules, genes, populations, and species to ecosystems), and is published monthly online by MDPI.
- Open Access— free for readers, with article processing charges (APC) paid by authors or their institutions.
- High Visibility: indexed within Scopus, SCIE (Web of Science), PubAg, GEOBASE, CAPlus / SciFinder, and other databases.
- Journal Rank: JCR - Q2 (Biodiversity Conservation) / CiteScore - Q1 (Agricultural and Biological Sciences (miscellaneous))
- Rapid Publication: manuscripts are peer-reviewed and a first decision is provided to authors approximately 17.1 days after submission; acceptance to publication is undertaken in 2.9 days (median values for papers published in this journal in the first half of 2025).
- Recognition of Reviewers: reviewers who provide timely, thorough peer-review reports receive vouchers entitling them to a discount on the APC of their next publication in any MDPI journal, in appreciation of the work done.
- Diversity is a companion journal of Fossil Studies.
- Journal Cluster of Ecosystem and Resource Management: Forests, Diversity, Fire, Conservation, Ecologies, Biosphere and Wild.
Impact Factor:
2.1 (2024);
5-Year Impact Factor:
2.3 (2024)
Latest Articles
Climate Refugia of Endangered Mammals in South Korea Under SSP Climate Scenarios: An Ensemble Species Distribution Modeling Approach
Diversity 2026, 18(1), 19; https://doi.org/10.3390/d18010019 - 26 Dec 2025
Abstract
Climate change is expected to alter the distribution of many threatened mammals, yet national-scale identification of climate refugia and conservation priorities remains limited for South Korea. This study aimed to map current hotspots and future refugia for 10 endangered mammal species and evaluate
[...] Read more.
Climate change is expected to alter the distribution of many threatened mammals, yet national-scale identification of climate refugia and conservation priorities remains limited for South Korea. This study aimed to map current hotspots and future refugia for 10 endangered mammal species and evaluate conservation implications under SSP climate scenarios. We compiled occurrence records from nationwide field surveys and protected-area monitoring and fitted ten species distribution models (GLM, GAM, GBM, CTA, ANN, SRE, FDA, MARS, RF, and MaxEnt) using biomod2 with climatic, topographic, and anthropogenic predictors at 1 km resolution. A weighted ensemble model achieved strong predictive performance (mean AUC = 0.840). Current richness hotspots were concentrated along the Baekdudaegan mountain range, and several national parks emerged as core multi-species areas. Variable-importance analysis indicated that topographic constraints (elevation and slope) dominated for most species, consistent with mountain-dependent habitat use. Future projections showed relatively stable richness patterns under SSP2–4.5 but pronounced contractions under SSP5–8.5 by the 2070s, with persistent high-suitability areas converging in the northern Baekdudaegan. The resulting suitability and richness layers provide spatial decision-support for protected-area strengthening, connectivity-oriented management, and targeted monitoring to support national climate-adaptation planning.
Full article
(This article belongs to the Special Issue Bison and Beyond: Achievements and Problems in Wildlife Conservation)
►
Show Figures
Open AccessArticle
Resolving the Taxonomic Status of Chukotkan Snow Sheep (Ovis nivicola) Using Genome-Wide Single-Nucleotide Polymorphism (SNP) and Mitochondrial Data
by
Arsen V. Dotsev, Dennis I. Litovka, Innokentiy M. Okhlopkov, Tatiana E. Deniskova, Veronika R. Kharzinova, Olga A. Koshkina, Neckruz F. Bakoev, Nikolai V. Mamaev, Taras P. Sipko, Andrey A. Sitsko, Maria N. Semerikova, Darren K. Griffin, Michael N. Romanov and Natalia A. Zinovieva
Diversity 2026, 18(1), 18; https://doi.org/10.3390/d18010018 - 25 Dec 2025
Abstract
The intraspecific taxonomy of snow sheep (Ovis nivicola) is one of the most controversial issues in Caprinae systematics. Although eight subspecies have been described using morphological traits, the validity of several taxa, particularly those in the eastern part of their geographical
[...] Read more.
The intraspecific taxonomy of snow sheep (Ovis nivicola) is one of the most controversial issues in Caprinae systematics. Although eight subspecies have been described using morphological traits, the validity of several taxa, particularly those in the eastern part of their geographical range, remains disputed. We investigated the phylogenetic relationships and genetic diversity of snow sheep in the Chukotka Autonomous Okrug using genome-wide single-nucleotide polymorphism (SNP) data (935 loci after filtering) and complete mitochondrial genomes from 57 individuals collected across the Russian Far East (Chukotka Autonomous Okrug, Kamchatka Krai, Magadan Oblast, and Republic of Sakha (Yakutia)). Post SNP-genotyping nuclear genomic studies using principal component analysis (PCA), ADMIXTURE, pairwise FST and Neighbor-Net revealed two clearly differentiated groups within Chukotka. One included individuals from the Koryak Mountains that are genetically indistinguishable from the Koryak subspecies (O. n. koriakorum) of northern Kamchatka. The other one encompassed individuals from the Anadyr Plateau and the Chukotka Mountains cluster with the Okhotsk subspecies (O. n. alleni) of the Kolyma Mountains. Bayesian phylogeny of complete mitochondrial genomes fully corroborated the nuclear results: Koryak Mountains samples formed a monophyletic clade, while Anadyr–Chukotka samples grouped with Kolyma Mountains individuals. Genetic diversity indices (UHE, AR, FIS) in both Chukotka groups were comparable to other studied populations and showed no signs of inbreeding depression. Our results provide important insights and can be used to develop science-based strategies for preserving the population-genetic diversity of snow sheep.
Full article
(This article belongs to the Special Issue 15th Anniversary of Diversity—Biodiversity, Conservation and Ecology of Animals, Plants and Microorganisms)
►▼
Show Figures

Graphical abstract
Open AccessArticle
Response of Rodent Metacommunities in Desert Areas to Fluctuations in Climatic Conditions
by
Rong Zhang, Xin Li, Suwen Yang, Yongling Jin, Linlin Li, Shuai Yuan, Heping Fu and Xiaodong Wu
Diversity 2026, 18(1), 17; https://doi.org/10.3390/d18010017 - 25 Dec 2025
Abstract
Rodents, as a core component of desert ecosystems and an important indicator of environmental changes, are ideal subjects for studying the impacts of fluctuations in climatic conditions on wildlife. Based on field data from the southern Alxa Desert (2014–2020), this study constructed an
[...] Read more.
Rodents, as a core component of desert ecosystems and an important indicator of environmental changes, are ideal subjects for studying the impacts of fluctuations in climatic conditions on wildlife. Based on field data from the southern Alxa Desert (2014–2020), this study constructed an ecosystem structure network integrating local/metacommunities, climate, soil, and plant communities. Combined with structural equation modeling, we explored the response mechanisms of rodent communities to climatic conditions across multiple scales. The results showed the following: the α-diversity of local and metacommunities exhibited convergent seasonal patterns, with greater impacts from human disturbances than interannual effects, as well as coexisting species turnover and nesting in metacommunities. Precipitation directly affected metacommunity abundance and diversity and indirectly influenced both community types via vegetation, while temperature directly regulated community characteristics; metacommunities were formed via the coupling of local communities through species migration and habitat filtering, reflecting complex links between local and regional processes. This research provides scientific support for predicting desert ecosystem dynamics and guiding conservation management.
Full article
(This article belongs to the Collection Feature Papers in Animal Diversity)
►▼
Show Figures

Graphical abstract
Open AccessArticle
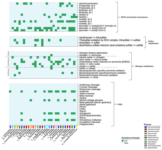
Genome-Resolved Metagenomics of Microbes from the Atoud Dam, Southwestern Saudi Arabia
by
Fatmah M. Alqahtani
Diversity 2026, 18(1), 16; https://doi.org/10.3390/d18010016 - 25 Dec 2025
Abstract
Artificial freshwater bodies receive elemental inputs and face environmental stressors, posing a risk of wetland pollution that could threaten ecological health. In such an inland backwater, its microbial diversity and functional potentials remain uncharacterized. Here, shotgun metagenomic sequencing was performed on environmental DNA
[...] Read more.
Artificial freshwater bodies receive elemental inputs and face environmental stressors, posing a risk of wetland pollution that could threaten ecological health. In such an inland backwater, its microbial diversity and functional potentials remain uncharacterized. Here, shotgun metagenomic sequencing was performed on environmental DNA samples collected from the Atoud Dam reservoir in southwestern Saudi Arabia. The taxonomic assignments of the sequencing reads identified Pseudomonadota and Actinomycetota as the dominant phyla, while the most prevalent species was Microcystis aeruginosa. Binning assembled contigs recovered 30 metagenome-assembled genomes representing 11 phyla, suggesting potentially novel bacterial taxa and metabolic functions. Functional analysis of gene-coding sequences identified genes associated with mobile genetic elements and xenobiotic biodegradation pathways as the main factors driving the spread of antibiotic resistance genes. Additionally, a community-wide analysis of enzyme-encoding genes involved in regulating the carbon, nitrogen, and sulfur cycles revealed significant annotation of denitrification and thiosulfate oxidation pathways under anoxic conditions, suggesting early signs of eutrophication and a potential risk of algal blooms. Overall, our study provides detailed insights into the genomic capabilities of the microbial community in this previously understudied ecosystem and establishes baseline data for future assessments of microbial biodiversity in other, less-explored ecosystems, thereby facilitating more effective biomonitoring and discovery.
Full article
(This article belongs to the Special Issue Microbial Community Dynamics and Ecological Functions in Wetlands)
►▼
Show Figures

Figure 1
Open AccessArticle
The Influence of Prey Distribution on the Search Strategies for Foraging Desert Grassland Whiptails, Aspidoscelis uniparens
by
Douglas A. Eifler, Margaret C. Stanley, Darren F. Ward, Makenna M. Orton and Maria A. Eifler
Diversity 2026, 18(1), 15; https://doi.org/10.3390/d18010015 - 25 Dec 2025
Abstract
The optimal search strategy for foraging animals can vary based on environmental parameters, which can include information about the spatial distribution of prey. We tested the hypothesis that natural populations of foraging desert grassland whiptails (Aspidoscelis uniparens) structure their search strategies
[...] Read more.
The optimal search strategy for foraging animals can vary based on environmental parameters, which can include information about the spatial distribution of prey. We tested the hypothesis that natural populations of foraging desert grassland whiptails (Aspidoscelis uniparens) structure their search strategies according to resource distribution. We experimentally provisioned prey in uniform, aggregated, and random distributions to characterize search effort (moves per minute and percent time moving) and search path (turn angles, movement duration, path straightness, step length, and two-step sequences). The search effort did not vary with treatment but animals adjusted their search path based on the presence and distribution of supplemental prey. With uniformly distributed prey, foragers took longer step lengths and more frequently engaged in two-step sequences that included long step lengths. When prey were randomly distributed, foragers made more moves of long duration and fewer straight moves, often pairing short step lengths with large turns. With an aggregated prey distribution, foragers had more moves of very short duration. Examining detailed search path characteristics can identify responses to environmental changes. Under experimental conditions, the search strategies of A. uniparens indicated behavioral responses to food distribution that could improve search efficiency.
Full article
(This article belongs to the Special Issue Biogeography, Ecology and Conservation of Reptiles)
►▼
Show Figures

Figure 1
Open AccessArticle
Foraging Environment Shapes the Gut Microbiota of Two Crane Species in the Yellow River Delta Wetland
by
Xiaodong Gao, Yunpeng Liu, Bo Zhou, Jingyi Yu, Lei Li, Qingming Wu, Jun Wang and Shuai Shang
Diversity 2026, 18(1), 14; https://doi.org/10.3390/d18010014 - 25 Dec 2025
Abstract
The foraging environment is a critical source of microbes for wild birds, yet its role in shaping the gut microbiota of sympatric crane species remains poorly understood. This study investigated this relationship in the Yellow River Delta wetland by analyzing the microbial communities
[...] Read more.
The foraging environment is a critical source of microbes for wild birds, yet its role in shaping the gut microbiota of sympatric crane species remains poorly understood. This study investigated this relationship in the Yellow River Delta wetland by analyzing the microbial communities of paired foraging environments and fecal samples from Common Cranes (Grus grus) and White Cranes (Grus leucogeranus) via 16S rRNA gene sequencing. Significant inter-group differences in alpha diversity (ACE, Chao1, Shannon, Simpson) indicated strong environmental filtering effects. Beta diversity (PCoA) revealed pronounced segregation between foraging and fecal samples (PC1 = 25.0%), underscoring a significant microbial turnover between the environment and the gut. Dominant phyla included Proteobacteria (24.6–37.4%), Firmicutes (4.8–29.0%), and Actinobacteriota (12.4–23.3%). LEfSe identified genus-level biomarkers highly specific to sample type and host, including Ligilactobacillus (12.1% in Common Crane feces) and Cryobacterium (9.2% in White Crane feces). SourceTracker analysis indicated that >70% of gut microbial sources remained unknown, suggesting a vast uncharacterized environmental reservoir. Functional prediction highlighted group-specific adaptations, such as elevated amino acid transport metabolism in Common Cranes (9.8% vs. 7.1%; p < 0.05), potentially linked to local dietary resources. Our findings demonstrate that the gut microbiota of cranes is synergistically shaped by host-specific factors and the unique saline–alkaline foraging environment of the wetland.
Full article
(This article belongs to the Topic Ecology, Management and Conservation of Vertebrates: 2nd Edition)
►▼
Show Figures

Figure 1
Open AccessArticle
Drivers of Variation in Avian Community Composition Across a Tropical Island Montane Elevational Gradient
by
Hannah Woods, Alan Barclay and Huw Lloyd
Diversity 2026, 18(1), 13; https://doi.org/10.3390/d18010013 - 24 Dec 2025
Abstract
Elevational variation in avian community composition can be significantly influenced by habitat degradation, fragmentation and secondary forest growth. Few studies have identified the drivers of changes in bird community composition across disturbed montane elevational gradients of smaller tropical islands. We examined patterns of
[...] Read more.
Elevational variation in avian community composition can be significantly influenced by habitat degradation, fragmentation and secondary forest growth. Few studies have identified the drivers of changes in bird community composition across disturbed montane elevational gradients of smaller tropical islands. We examined patterns of avian diversity using long-term mist-net data (2008–2014) across three different forest elevations along a tropical montane elevational gradient in the Northern Range of Trinidad, West Indies. All three sites (lowland mature secondary forest, mid-elevation highly disturbed secondary forest, and undisturbed high elevation forest) were found to have distinctive bird communities. Turnover rather than nestedness explained most of the total dissimilarity between sites. Whilst some turnover could be attributed to elevation, changes to diversity at the mid-elevation site result more from local habitat heterogeneity related to human activities and secondary growth, with increased species richness attributable to habitat-generalist species indicative of disturbance. Significant anti-nestedness in species occupancy was observed, underpinned by the loss of ground-dwelling and understory insectivores from the mid-elevation site. Differences in bird community composition, in contrast, were driven by the abundance of specialist nectarivores in the highest elevation undisturbed montane forest, and by generalist nectarivores and frugivores at lower elevations.
Full article
(This article belongs to the Special Issue Avian Ecology and Diversity, Population Monitoring and Conservation II: Recent Advances and New Challenges)
►▼
Show Figures

Figure 1
Open AccessArticle
Spring Detection Patterns of Eurasian Woodcock (Scolopax rusticola) in Hungary Between 2009–2024: Long-Term Trends of Distribution and Conservation Implications
by
Itumeleng Kwena Malatji, Mabel Narh, Sándor Csányi and Gergely Schally
Diversity 2026, 18(1), 12; https://doi.org/10.3390/d18010012 - 24 Dec 2025
Abstract
The Eurasian woodcock (Scolopax rusticola) is a migratory game bird of ecological, cultural, and hunting importance in Europe. While globally listed as Least Concern, concerns remain over hunting pressure and limited ecological data. In Hungary, the species occurs regularly during spring
[...] Read more.
The Eurasian woodcock (Scolopax rusticola) is a migratory game bird of ecological, cultural, and hunting importance in Europe. While globally listed as Least Concern, concerns remain over hunting pressure and limited ecological data. In Hungary, the species occurs regularly during spring and autumn migration and breeds in low numbers. To provide evidence-based management, the Hungarian Woodcock Monitoring Program was launched in 2009. This study evaluates spatial and temporal patterns of woodcock presence in Hungary using standardized roding surveys conducted between 2009 and 2024. Observations were assigned to 10 × 10 km grid cells, with 180 cells consistently sampled over the 16-year period. Detection rates were analyzed, defining “high-abundance” as five or more individuals recorded per session. Interannual dynamics were tested using correlation analyses, and spatial clustering was assessed with spatial autocorrelation. Woodcocks were detected in an average of 94.38% of surveyed cells annually (±3.88% SD), indicating a stable and widespread presence. High-abundance detections were lower ( = 50.56%) and more variable (±10.71% SD) but consistently concentrated in specific areas, highlighting the importance of regional stopover habitats. No significant long-term trend was observed, suggesting population stability. These results confirm Hungary’s key role in the spring migration corridor and underline the value of long-term monitoring for reconciling traditional hunting with conservation objectives.
Full article
(This article belongs to the Special Issue Perspectives on Small Game Research for Biodiversity Conservation and Sustainable Resource Management)
►▼
Show Figures

Graphical abstract
Open AccessArticle
Bird Species Diversity and Community Structure Across Southern African Grassland Types
by
Grzegorz Kopij
Diversity 2026, 18(1), 11; https://doi.org/10.3390/d18010011 (registering DOI) - 23 Dec 2025
Abstract
Grasslands occupy 24% of the Earth’s surface. In most areas of the world these are either destroyed, fragmented or converted into cultivated fields. In Africa, their biodiversity is still insufficiently known. This study reports on the avian assemblages associated with grasslands in South
[...] Read more.
Grasslands occupy 24% of the Earth’s surface. In most areas of the world these are either destroyed, fragmented or converted into cultivated fields. In Africa, their biodiversity is still insufficiently known. This study reports on the avian assemblages associated with grasslands in South African Highveld and Lesotho Drakensberg. Special attention was paid to the species richness, diversity, and population densities and dominance of particular species. Birds were counted by means of the Line Transect Method in three distinguished grassland types: Dry Cymbopogon-Themeda Grassland (transect length: 28 km), Wet Cymbopogo-Themeda Grassland (27 km) km, and Mountain Themeda-Festuca Grassland (31 km). In total, 86 bird species were recorded. While cumulative dominance was similar between the Dry and Wet Grassland (61–65%), these two were much different from that in the Mountain Grassland (46%). However the dominance index was similar in all three grassland types compared (0.25–0.33). Only one species, the long-tailed widow Euplectes orix was a common dominant species for all three grassland types. African stonechat, wing-snapping cisticola Cisticola ayresii, Levaillant’s cisticola Cisticola tinniens and yellow bishop Euplectes capensis were dominant only in the Mountain Grassland; northern black korhaan Afrotis afroides and the eastern clapper lark Mirafra fasciolata—only in the Dry and Wet Grassland; ostrich Struthio camelus, cloud cisticola Cisticola textrix, African quailfinch Ortygozpiza atricollis and pied starling Spreo bicolor—only in the Dry Grassland, while the helmeted guineafowl Numida meleagris, zitting cisticola Cisticola juncidis and African pipit Anthus cinnamomeus—only in the Wet Grassland. Despite these obvious differences in dominance and population densities of species, Diversity and evenness indices were similar in all three grassland types. Shannon’s Diversity Index (H′) varied between 1.22 and 1.35; Simpson Diversity Index between 0.91 and 0.94, while Pielou’s Evenness Index (J′) varied between 0.33 and 0.36. However, Sørensen Similarity Index between the three grassland types was low, ranging between 0.07 and 0.26. Proportions of ecological guilds were similar in the Dry and Wet Grassland but differed from mountain Grassland. In comparison with other tropical grassland, avian communities in southern Africa are characterized by higher species richness and higher its variance between particular grassland types.
Full article
(This article belongs to the Special Issue Avian Diversity in Forest and Grassland—2nd Edition)
►▼
Show Figures

Figure 1
Open AccessArticle
Species-Specific Transcriptome in Xerophytes Atriplex halimus (L.) and Atriplex leucoclada (Boiss.)
by
Monther T. Sadder, Mohammad Brake, Mohammad K. Al-Rifaee, Mahfouz M. Abu-Zanat, Saeid Abu-Romman, Anas Musallam, Mohammad A. Alabdallah, Bayan Alkharabsheh, Fatima A. Bani Khaled, Abdulrahman K. Kharouf, Seif D. Alsuraikhat, Hutheyfah Al-Sawalmah and Hassan R. Hamasha
Diversity 2026, 18(1), 10; https://doi.org/10.3390/d18010010 - 23 Dec 2025
Abstract
Climate change and global warming are deeply impacting natural foraging dependent upon rain fall. To understand how xerophytes cope with these dramatic changes, comparative transcriptomic profiling of Atriplex halimus and Atriplex leucoclada was investigated under drought stress. The data revealed both shared and
[...] Read more.
Climate change and global warming are deeply impacting natural foraging dependent upon rain fall. To understand how xerophytes cope with these dramatic changes, comparative transcriptomic profiling of Atriplex halimus and Atriplex leucoclada was investigated under drought stress. The data revealed both shared and species-specific adaptive mechanisms. Differentially expressed genes (DEGs) clustered into major conserved gene families, including stress signaling, transcriptional regulation, antioxidant defense, metabolism, transport, and hormone signaling. In A. halimus, drought tolerance was characterized by strong transcriptional regulation, redox balance, and energy homeostasis, highlighted by the up-regulation of WRKY, MYB, and SET-domain transcription factors, calcium transporters, SnRK1 kinases, and stress-protective proteins such as HSPs and LEAs. On the other hand, A. leucoclada exhibited broader signaling flexibility and structural reinforcement through enrichment of MAPKs, CDPKs, 14-3-3 proteins, and cell wall-modifying enzymes (XTHs, expansins, chitinase-like proteins), as well as high expression of transporters and hormone-responsive genes. Such patterns indicated distinct drought adaptation strategies: A. halimus relied on rapid transcriptional and redox adjustments suited for fluctuating moisture regimes, while A. leucoclada employed multi-layered, constitutive defenses for persistent arid conditions. Together, these results elucidate complementary molecular strategies enabling ecological divergence and drought resilience among closely related halophytes.
Full article
(This article belongs to the Special Issue Genetic Diversity, Breeding and Adaption Evolution of Plants)
►▼
Show Figures

Graphical abstract
Open AccessArticle
Phytoplankton Diversity and Community Stability Under Nutrient Reduction and Early-Stage Ecological Regulation in a Large Eutrophic Lake
by
Fen Zhang, Ruiying Yang, Haiyan Liu, Chenhao Dong, Zhan Hao, Zhaosheng Chu and Tianhao Wu
Diversity 2026, 18(1), 9; https://doi.org/10.3390/d18010009 - 22 Dec 2025
Abstract
Many lakes worldwide, including in China’s Yangtze River Basin, face eutrophication, which reduces phytoplankton diversity and increases bloom risk. Following severe pollution, these Chinese lakes have undergone substantial control and regulation. However, the efficacy of these measures is still unclear. Focusing on Lake
[...] Read more.
Many lakes worldwide, including in China’s Yangtze River Basin, face eutrophication, which reduces phytoplankton diversity and increases bloom risk. Following severe pollution, these Chinese lakes have undergone substantial control and regulation. However, the efficacy of these measures is still unclear. Focusing on Lake Chaohu as a representative case, this study investigated the seasonal phytoplankton dynamics (2022–2023) under concurrent nutrient reduction and a fishing ban. The annual mean concentrations of total nitrogen, total phosphorus, and chlorophyll a were 1.57 mg/L, 0.184 mg/L, and 21.21 μg/L, respectively. The phytoplankton community was dominated by Cyanobacteria, which constituted approximately 75% of the total biomass. Co-occurrence network analysis revealed lower community stability during these warm, Cyanobacteria-dominated periods. Statistical analyses identified total phosphorus and temperature as key drivers, confirming bottom-up control via nutrient limitation as the fundamental mechanism. However, extreme heat events may have partly offset the benefits of nutrient reduction by promoting cyanobacterial dominance, which can decrease phytoplankton diversity. A recorded decrease in phytoplankton phosphorus use efficiency after the fishing ban suggests a potential strengthening of top-down control. These findings highlight that sustained nutrient load reduction is essential to reduce cyanobacterial bloom risk, while continued enforcement of the fishing ban may enhance the regulatory effect of top-down control on cyanobacterial blooms, thereby improving the stability and diversity of phytoplankton communities.
Full article
(This article belongs to the Section Freshwater Biodiversity)
►▼
Show Figures

Figure 1
Open AccessArticle
Molecular and Morphological Analyses of the Ichthyoplankton Community in Yueqing Bay, China, Reveal High Species Diversity and Variation in Fish Spawning Activity
by
Rijin Jiang, Amiri Rajabu Mohamedi, Rui Yin, Tereza M. Magati, Yehoshafati Elton Anton, James Leonard Lusana and Yongjiu Chen
Diversity 2026, 18(1), 8; https://doi.org/10.3390/d18010008 - 22 Dec 2025
Abstract
Yueqing Bay in China supports important marine resources that sustain local fisheries and food security, but increasing anthropogenic pressures and natural environmental changes threaten its biodiversity. This study used morphological identification, COI DNA barcoding, and 12S DNA metabarcoding to assess ichthyoplankton composition and
[...] Read more.
Yueqing Bay in China supports important marine resources that sustain local fisheries and food security, but increasing anthropogenic pressures and natural environmental changes threaten its biodiversity. This study used morphological identification, COI DNA barcoding, and 12S DNA metabarcoding to assess ichthyoplankton composition and fish spawning patterns. A total of 13,415 eggs and 17,291 larvae were collected using horizontal and vertical plankton nets. Morphological analysis identified 58 taxa, while molecular methods detected 21 species (COI) and 48 species (12S), with an overall total of 105 species from 78 genera and 42 families. Spawning activity showed clear seasonal and spatial patterns, with the highest abundance and diversity in spring and summer, particularly around Ximen Island and the Bay mouth. These areas function as key spawning and nursery grounds. 12S DNA metabarcoding contributed strongly to species detection, especially for cryptic and morphologically indistinguishable larvae, complementing traditional surveys. The findings provide essential baseline information for monitoring fish stocks, protecting critical habitats, and improving fishery management strategies under increasing anthropogenic and climate-related pressures in Yueqing Bay.
Full article
(This article belongs to the Special Issue Marine Zooplankton and Ichthyoplankton Ecology: Patterns, Processes, and Perspective)
►▼
Show Figures

Figure 1
Open AccessArticle
Water Quality Assessment and Spatial Heterogeneity Distribution of Freshwater Shellfish in Wutong River
by
Haitao Wang, Le Wang, Tangbin Huo and Wang Zhang
Diversity 2026, 18(1), 7; https://doi.org/10.3390/d18010007 - 22 Dec 2025
Abstract
The Wutong River, located in northeastern China’s Heilongjiang Province, serves as an important habitat and spawning ground for fish and freshwater shellfish. To investigate the influence of geographic and geomorphic changes on the river basin ecology, the water environment and spatial heterogeneity of
[...] Read more.
The Wutong River, located in northeastern China’s Heilongjiang Province, serves as an important habitat and spawning ground for fish and freshwater shellfish. To investigate the influence of geographic and geomorphic changes on the river basin ecology, the water environment and spatial heterogeneity of freshwater shellfish distribution were monitored in both summer and autumn of 2024. Key water quality indicators were analyzed, including basic parameters (pH and dissolved oxygen), eutrophication indices (nitrogen, phosphorus, and chlorophyll), and pollutant levels (nitrite nitrogen, petroleum, and volatile phenol). Water quality was assessed using the single-factor index method and the Nemerow pollution index method. Results indicated that in 2024, the Wutong River was weakly acidic in summer and weakly alkaline in autumn, with overall high dissolved oxygen levels. The Guanmenzuizi Dam site exhibited the best water quality. According to the single-factor evaluation, water quality in autumn was better than in summer, with iron, manganese, and volatile phenol as the primary pollutants, followed by total nitrogen and permanganate index. Based on the Nemerow index, the river generally met China’s Class III surface water standards. Water quality showed a trend of initial improvement followed by deterioration along the river course. Among 100 sampling points, Unio douglasiae had the highest occurrence rate (76%), followed by Cipangopaludina cahayensis (66%). Other species occurred in ≤50% of samples, with Polypylis hemisphaerula being the rarest (3%). The average species occurrence rate increased from upstream to downstream. This study provides a data baseline for understanding the water environment of the Wutong River and supports research on biodiversity and ecological conservation.
Full article
(This article belongs to the Special Issue Ecology and Conservation of Freshwater Bivalves)
►▼
Show Figures

Figure 1
Open AccessArticle
Climate and Landscape Drivers of Endangered Bird Distributions and Richness in South Korea: Random Forest Projections Across Municipalities and National Parks Under SSP Scenarios
by
Jae-Ho Lee, Man-Seok Shin, Eun-Seo Lee, Jae-Seok Lee and Chang-Wan Seo
Diversity 2026, 18(1), 6; https://doi.org/10.3390/d18010006 - 21 Dec 2025
Abstract
Climate change poses an unprecedented threat to global biodiversity, with birds serving as critical indicators of ecosystem responses. This study assessed the impacts of climate change on 29 endangered bird species in South Korea, a critical stopover region within the East Asian-Australasian Flyway
[...] Read more.
Climate change poses an unprecedented threat to global biodiversity, with birds serving as critical indicators of ecosystem responses. This study assessed the impacts of climate change on 29 endangered bird species in South Korea, a critical stopover region within the East Asian-Australasian Flyway (EAAF). Using Random Forest models, we predicted current (2010 baseline) and future species distributions under two climate scenarios (SSP2-4.5 and SSP5-8.5) for four time periods (2030s, 2050s, 2070s, and 2090s). Model performance was robust, with a mean AUC of 0.844 ± 0.122 across all species and 72.4% of species achieving AUC ≥ 0.80. Elevation emerged as the most influential predictor for 44.8% of species, followed by precipitation of the driest month (17.2%) and distance to water bodies (10.3%). Current species richness patterns showed spatial heterogeneity, with higher concentrations along coastal wetlands, particularly in the western and southern coasts and Jeju Island. Under SSP2-4.5, species richness patterns remained relatively stable through 2090, while SSP5-8.5 projected more dramatic shifts, particularly after 2070. Coastal regions and national parks exhibited differential responses, with some areas showing increases and others experiencing declines in species richness. High-elevation national parks, including Mt. Hallasan, Mt. Seoraksan, and Mt. Odaesan, demonstrated potential to serve as climate refugia, maintaining relatively stable species richness under both scenarios. Our spatial analysis at municipality and national park levels identified priority conservation areas and emphasized the need for climate refugium identification, habitat connectivity along elevational gradients, and adaptive management strategies. The findings provide actionable guidance for science-based conservation planning and contribute to international efforts to protect migratory birds along the EAAF. Urgent conservation measures are needed to safeguard coastal wetlands and establish ecological corridors to facilitate species range shifts under changing climatic conditions.
Full article
(This article belongs to the Section Biodiversity Conservation)
►▼
Show Figures

Figure 1
Open AccessArticle
Unrecognized Ant Megadiversity in the Australian Monsoonal Tropics: The Meranoplus berrimah Schödl and Meranoplus snellingi Schödl Complexes
by
Alan N. Andersen, François Brassard and Benjamin D. Hoffmann
Diversity 2026, 18(1), 5; https://doi.org/10.3390/d18010005 - 19 Dec 2025
Abstract
We integrate morphological variation, CO1 distance and clustering, and geographic distribution to document unrecognized diversity within Meranoplus ‘berrimah’ and M. ‘snellingi’, members of the M. diversus group of specialist seed harvesters from Australia’s monsoonal (seasonal) tropics. This follows similar
[...] Read more.
We integrate morphological variation, CO1 distance and clustering, and geographic distribution to document unrecognized diversity within Meranoplus ‘berrimah’ and M. ‘snellingi’, members of the M. diversus group of specialist seed harvesters from Australia’s monsoonal (seasonal) tropics. This follows similar analyses of two other monsoonal ‘species’ of the group, M. ajax and M. unicolor, showing that both represent highly diverse complexes comprising an estimated 100 species each. We recognize eleven species among the 34 sequenced specimens attributable to M. berrimah and ten species among the 29 sequenced specimens attributable to M. snellingi. Images of all these species are provided. The M. berrimah complex has a far broader geographic range than was apparent when M. berrimah was originally described, occurring in the Kimberley region of Western Australia in addition to the Top End of the Northern Territory, whereas the M. snellingi complex appears to be restricted to the Top End. The limited geographic representation of our sequenced specimens suggests that many additional species occur in both complexes. We estimate that the M. snellingi complex contains 15–20 species in total, and that this number is considerably higher in the M. berrimah complex because of its broader distributional range. Our study provides further evidence that monsoonal Australia is a global centre of ant diversity, but it is not formally recognized as such because the great majority of its species is undescribed.
Full article
(This article belongs to the Section Animal Diversity)
►▼
Show Figures

Figure 1
Open AccessArticle
Prolonged Summer Coccolithophore Blooms in the Northeastern Black Sea: Anomaly or Emerging Trend?
by
Vladimir Silkin, Larisa Pautova, Valeryi Chasovnikov, Oleg Podymov and Viacheslav Kremenetskiy
Diversity 2026, 18(1), 4; https://doi.org/10.3390/d18010004 - 19 Dec 2025
Abstract
In the summer of 2022 and 2023, a shift was detected in the biological carbon pump system in the northeastern Black Sea, deviating from the traditional seasonal pattern: carbonate pump (late spring–early summer) → organic pump (summer–autumn). The coccolithophore Gephyrocapsa (=Emiliania)
[...] Read more.
In the summer of 2022 and 2023, a shift was detected in the biological carbon pump system in the northeastern Black Sea, deviating from the traditional seasonal pattern: carbonate pump (late spring–early summer) → organic pump (summer–autumn). The coccolithophore Gephyrocapsa (=Emiliania) huxleyi (Lohmann) P. Reinhardt, 1972, responsible for the carbonate pump, dominated until the end of July, while the intensive growth of large diatom species representing the organic pump was shifted to August–September. These changes were associated with deviations in meteorological conditions from long-term averages. The absence of strong wind-induced mixing led to water column stabilization and the formation of a shallow thermocline. Low nitrogen and high phosphorus concentrations promoted a coccolithophore bloom in July, while low nitrogen levels prevented intensive diatom growth during summer. Thermocline deepening in September 2022 and August 2023 enhanced organic pump operation via a short-term bloom of the large diatom Pseudosolenia calcar-avis (Schultze) B.G. Sundström, 1986.
Full article
(This article belongs to the Section Marine Diversity)
►▼
Show Figures

Figure 1
Open AccessArticle
Two New Pseudochromadora Species and the First Korean Record of Metachromadora itoi Kito, 1978, with SEM-Based Insights into Buccal Cavity Morphology
by
Hyo Jin Lee, Heegab Lee, Seungyeop Han, Ji-Hoon Kihm and Hyun Soo Rho
Diversity 2026, 18(1), 3; https://doi.org/10.3390/d18010003 - 19 Dec 2025
Abstract
Three free-living marine nematode species of the family Desmodoridae are described and illustrated based on light and scanning electron microscopy. Pseudochromadora paraparva sp. nov. was collected from muddy sand sediments at Eulwangri Beach, Incheon, Korea, and P. capitata sp. nov. from sublittoral muddy
[...] Read more.
Three free-living marine nematode species of the family Desmodoridae are described and illustrated based on light and scanning electron microscopy. Pseudochromadora paraparva sp. nov. was collected from muddy sand sediments at Eulwangri Beach, Incheon, Korea, and P. capitata sp. nov. from sublittoral muddy sediments off Jindo Island, Korea. Metachromadora itoi Kito, 1978, is also recorded for the first time from Korean waters, based on specimens from sandy sediments off Jeju Island. Pseudochromadora paraparva sp. nov. is distinguished from P. parva Gagarin & Thanh, 2008 and related congeners by having a tripartite cephalic region consisting of a jar-shaped main capsule, an anterior transition zone with weaker cuticle bearing the cephalic setae, and a highly elevated hat-shaped labial region. It additionally shows a sexually dimorphic amphideal fovea, a unique arrangement of precloacal thorns, a gubernaculum with a dorsal apophysis, and ventral thorns lacking cuticular hillocks. Pseudochromadora capitata sp. nov. is characterized by a cephalic region composed of a rounded labial region and a thickly cuticularized main capsule, together with a sexually dimorphic amphideal fovea, arcuate spicules with a large hammer-shaped capitulum, a gubernaculum with a dorsal apophysis, and 3–8 precloacal and 3–5 postcloacal thorns arranged in a row. Molecular data (18S and 28S rRNA) were generated for both new species, and phylogenetic analyses support their placement within the genus Pseudochromadora and provide molecular evidence distinguishing them from closely related congeners. Scanning Electron Microscope (SEM) observations of M. itoi also revealed multiple configurations of the buccal cavity, providing additional morphological information useful for understanding structural variation within the genus. These findings refine the taxonomic framework within the Desmodoridae and expand current knowledge of morphological diversity in free-living marine nematodes.
Full article
(This article belongs to the Special Issue Distribution, Biodiversity, and Ecology of Nematodes)
►▼
Show Figures

Figure 1
Open AccessArticle
Analysis of the Distribution of Epiphytic Corticolous Lichens in the Forests Along an Altitudinal Gradient in Barluk Mountain National Nature Reserve in Xinjiang, China
by
Nasima Ablimit, Reyhangul Mamatali, Dolathan Toksun, Muhammad Shahid Iqbal and Anwar Tumur
Diversity 2026, 18(1), 2; https://doi.org/10.3390/d18010002 - 19 Dec 2025
Abstract
Epiphytic corticolous lichens are vital components of forest ecosystems, yet their species composition and distribution patterns along altitudinal gradients in the Populus tremula forests of Barluk Mountain National Nature Reserve, Xinjiang, China, remain understudied. This study analyzes the diversity and distribution of epiphytic
[...] Read more.
Epiphytic corticolous lichens are vital components of forest ecosystems, yet their species composition and distribution patterns along altitudinal gradients in the Populus tremula forests of Barluk Mountain National Nature Reserve, Xinjiang, China, remain understudied. This study analyzes the diversity and distribution of epiphytic corticolous lichens in these forests along an altitudinal gradient. Field research was conducted at six sites (940–1450 m) from June to July 2023–2024, with samples collected from 576 quadrats on 48 Populus tremula trees. Lichen identification involved morphological, anatomical, and chemical analyses. Data on cover and frequency were analyzed to calculate importance values (IV), diversity indices, and floristic similarity (Sørensen’s index). NMDS and TWINSPAN were used to explore distribution patterns along the altitude gradient. In total, 28 epiphytic lichen species were identified, with diversity indices peaking at 1040 m. Dominant species exhibited significant variations in IV across altitudes (P < 0.05), and NMDS/TWINSPAN revealed distinct community clustering associated with elevation. Sørensen’s index indicated a low similarity (<30%) between the highest and lowest altitude sites. This study provides a baseline for biodiversity conservation and forest management in arid and semi-arid land mountain ecosystems.
Full article
(This article belongs to the Section Microbial Diversity and Culture Collections)
►▼
Show Figures

Graphical abstract
Open AccessArticle
Latitudinal Patterns and Macroalgal Diversity in Marine Protected Areas Along the Southwest Atlantic
by
Cláudia Santiago Karez, Edlin Guerra-Castro, Valéria Cassano, Carolina Cezar da Silva, Pedro Smith Menandro, Ricardo da Gama Bahia, Carlos Frederico Deluqui Gurgel, José Marcos de Castro Nunes, Gabriel do Nascimento Santos, Mutue Toyota Fujii, Frederico Tapajós de Souza Tâmega, Aryane Vitória Curvelo de Oliveira, Rodrigo Tomazetto de Carvalho, Fernando Coreixas de Moraes and Leonardo Tavares Salgado
Diversity 2026, 18(1), 1; https://doi.org/10.3390/d18010001 - 19 Dec 2025
Abstract
Macroalgae provide key ecosystem services, forming habitats such as kelp and fucoid forests, rhodolith beds, and coralline reefs that sustain high biodiversity. However, multiple stressors, including climate change, harmful fishery practices, and pollution and coastal urbanization are driving macroalgal diversity loss and changing
[...] Read more.
Macroalgae provide key ecosystem services, forming habitats such as kelp and fucoid forests, rhodolith beds, and coralline reefs that sustain high biodiversity. However, multiple stressors, including climate change, harmful fishery practices, and pollution and coastal urbanization are driving macroalgal diversity loss and changing species composition and abundance. This study aims to assess macroalgal representativeness, richness and endemism in 16 Marine Protected Areas (MPAs), including four oceanic islands, and test if macroalgal assemblages in MPAs are distributed along a latitudinal gradient (0–29° S) in the Southwest Atlantic. To investigate the processes underlying community patterns, β-diversity was decomposition turnover and nestedness components. The complexity of taxonomic structure was measured by taxonomic distinctness. Overall, the studied MPAs comprised 695 macroalgal taxa, about 69% of Brazilian taxa, and 36% of the endemics. Rhodophyta were dominant (449 species) in most studied areas, except at Trindade and Martim Vaz Archipelago MPA, followed by Chlorophyta (158 species) and Ochrophyta (88 species). Macroalgal species composition in MPAs varied with latitude, and not with area size. They were continuously distributed across northeastern, eastern and southeastern Brazil and oceanic island ecoregions, between Fernando de Noronha (3° S) and São Paulo Litoral Norte (23° S) MPAs. Macroalgal diversity dissimilarity among MPAs was 92%, dominated by the turnover component (88%) and nestedness as a minor component (4%), indicating that dissimilarities are mainly driven by the replacement of species, rather than a gradual loss or gain of species. Effective protection of these MPAs should be prioritized as they harbor highly diverse, unique, and heterogeneous macroalgal assemblages along the SWA, surrounded by heavily impacted areas. Assessment of human impacts on macroalgal habitats in MPAs would contribute to defining effective management actions. Mid- and offshore shelf macroalgal habitats, particularly rhodolith beds, which harbor rare kelp species and mesophotic reefs, remain underprotected, and should be integrated into marine spatial planning for biodiversity conservation.
Full article
(This article belongs to the Special Issue Ecology and Biogeography of Marine Benthos—2nd Edition)
►▼
Show Figures

Graphical abstract
Open AccessCommunication
A Multidimensional Framework for Understanding Microbial Mutualisms
by
Matan Shelomi
Diversity 2025, 17(12), 871; https://doi.org/10.3390/d17120871 - 18 Dec 2025
Abstract
Microbial mutualisms are still commonly described as obligate or facultative, but this dichotomy is insufficient to describe the complexity of host–microbe interactions. A multi-dimensional conceptual framework that accounts for asymmetry in dependency and taxonomic membership flexibility is introduced. This framework allows the classification
[...] Read more.
Microbial mutualisms are still commonly described as obligate or facultative, but this dichotomy is insufficient to describe the complexity of host–microbe interactions. A multi-dimensional conceptual framework that accounts for asymmetry in dependency and taxonomic membership flexibility is introduced. This framework allows the classification of mutualisms by how they are structured and for whom the interaction is necessary. The dimensions include dependency considered independently for both organisms, and both the global/potential and individual/actual microbiome diversities. Examples are given primarily from the field of insect–microbe interactions, showing how past frameworks cannot fully encompass the diversity of symbioses. This new framework integrates symbiont community complexity and highlights functional redundancy, which is useful for understanding host plasticity, vulnerability, invasiveness, and resilience.
Full article
(This article belongs to the Section Microbial Diversity and Culture Collections)
►▼
Show Figures

Figure 1
Journal Menu
► ▼ Journal Menu-
- Diversity Home
- Aims & Scope
- Editorial Board
- Reviewer Board
- Topical Advisory Panel
- Instructions for Authors
- Special Issues
- Topics
- Sections & Collections
- Article Processing Charge
- Indexing & Archiving
- Editor’s Choice Articles
- Most Cited & Viewed
- Journal Statistics
- Journal History
- Journal Awards
- Conferences
- Editorial Office
Journal Browser
► ▼ Journal BrowserHighly Accessed Articles
Latest Books
E-Mail Alert
News
Topics
Topic in
Diversity, Forests, Land, Plants, Sustainability
Nature-Based Solutions-2nd Edition
Topic Editors: Panayiotis G. Dimitrakopoulos, Miklas Scholz, Mario A. Pagnotta, Arshiya NooraniDeadline: 31 December 2025
Topic in
Animals, Arthropoda, Diversity, Insects, Life, Pathogens
Arthropod Biodiversity: Ecological and Functional Aspects, 2nd Edition
Topic Editors: Paolo Solari, Roberto M. Crnjar, Anita Giglio, Gianluca TettamantiDeadline: 31 January 2026
Topic in
Diversity, JMSE, Sustainability, Taxonomy, Water
Taxonomy and Ecology of Zooplankton
Topic Editors: Manuel Elias-Gutierrez, Alexey A. KotovDeadline: 30 June 2026
Topic in
Animals, Biology, Conservation, Diversity, Ecologies, Forests, Land
Conservation at the Crossroads: Forest Ecology, Wildlife Dynamics, and Emerging Challenges for Ecosystem Resilience
Topic Editors: Yiannis G. Zevgolis, Triantaphyllos Akriotis, Anastasia Christopoulou, Panayiotis G. Dimitrakopoulos, Dimitra-Lida Rammou, Dionisios YoulatosDeadline: 31 July 2026
Conferences
Special Issues
Special Issue in
Diversity
Animal Diversity Hot Topics in 2025
Guest Editor: Luc LegalDeadline: 30 December 2025
Special Issue in
Diversity
Diversity and Ecology of Freshwater Benthic Macroinvertebrates
Guest Editor: Diego Marcel Parreira De CastroDeadline: 30 December 2025
Special Issue in
Diversity
Chemical Diversity of Plant Bioactives: Ecological Functions, Organismal Interactions, and Environmental Adaptations
Guest Editor: Jesus Fernando Ayala-ZavalaDeadline: 31 December 2025
Special Issue in
Diversity
Cephalopod Resilience in Changing Marine Ecosystems
Guest Editors: Xiaodong Zheng, Ran XuDeadline: 31 December 2025
Topical Collections
Topical Collection in
Diversity
Disturbance Ecology: A New Emerging Field in Basic/Applied Ecology and Conservation
Collection Editors: Corrado Battisti, Luca Luiselli
Topical Collection in
Diversity
Marine Invasive Species
Collection Editors: Bert W. Hoeksema, Adriaan Gittenberger





