Sign in to use this feature.

Years

Between: -

Subjects

remove_circle_outline
remove_circle_outline
remove_circle_outline
remove_circle_outline
remove_circle_outline
remove_circle_outline
remove_circle_outline
remove_circle_outline
remove_circle_outline

Journals

remove_circle_outline
remove_circle_outline
remove_circle_outline
remove_circle_outline
remove_circle_outline
remove_circle_outline
remove_circle_outline
remove_circle_outline
remove_circle_outline
remove_circle_outline
remove_circle_outline
remove_circle_outline
remove_circle_outline
remove_circle_outline
remove_circle_outline
remove_circle_outline
remove_circle_outline
remove_circle_outline
remove_circle_outline
remove_circle_outline
remove_circle_outline
remove_circle_outline
remove_circle_outline
remove_circle_outline
remove_circle_outline
remove_circle_outline
remove_circle_outline
remove_circle_outline

Article Types

Countries / Regions

remove_circle_outline
remove_circle_outline
remove_circle_outline
remove_circle_outline
remove_circle_outline
remove_circle_outline
remove_circle_outline
remove_circle_outline
remove_circle_outline

Search Results (2,269)

Search Parameters:
Keywords = waiting time

Order results
Result details
Results per page
Select all
Export citation of selected articles as:
42 pages, 2598 KB  
Article
Integrating Adaptive Constraints with an Enhanced Metaheuristic for Zero-Latency Trajectory Planning in Robotic Manufacturing Processes
by Houxue Xia, Zhenyu Sun, Huagang Tong and Liusan Wu
Processes 2026, 14(8), 1282; https://doi.org/10.3390/pr14081282 - 17 Apr 2026
Abstract
In flexible manufacturing systems, the composite mobile manipulator (CMM) is subject to nonlinear inertial disturbances arising from the dynamic coupling between the mobile platform and the robotic arm. These disturbances significantly impair positioning precision during grasping tasks. This paper addresses the dynamic decoupling [...] Read more.
In flexible manufacturing systems, the composite mobile manipulator (CMM) is subject to nonlinear inertial disturbances arising from the dynamic coupling between the mobile platform and the robotic arm. These disturbances significantly impair positioning precision during grasping tasks. This paper addresses the dynamic decoupling of multi-body nonlinear inertial disturbances within CMM systems. Departing from the conventional “stop-then-plan” serial execution paradigm, we propose a full-cycle spatiotemporally coupled trajectory optimization method. The operation cycle is bifurcated into two synergistic stages: “dynamic calibration” and “static execution.” The dynamic calibration trajectory is pre-planned and executed synchronously during platform movement to actively compensate for inertial-induced pose deviations. Concurrently, the static execution trajectory is optimized and then triggered immediately upon platform standstill, ensuring a seamless and precise transition to the “Grasping Pose”. It is worth noting that the temporal characteristic central to this framework lies in the concurrent execution of static trajectory optimization and platform transit: by the time the platform reaches its destination, the pre-planned trajectory is already available for immediate triggering, achieving zero task-switching wait time at the planning layer. The term “zero-latency” here does not imply a fixed-cycle real-time response at the control layer, but rather the complete elimination of decision latency afforded by the parallel planning architecture. This framework eliminates computational latency, markedly enhancing operational efficiency. Key innovations include two novel constraints. First, the Adaptive Task-space Bounded Search Constraint (ATBSC) framework restricts optimization to a geometry-inspired search region, thereby enhancing search efficiency and ensuring controllable deviations. Second, the Multi-Rigid-Body Coupling Constraint (MRBCC) system explicitly models inertial transmission across motion phases to suppress pose fluctuations. The proposed framework is developed and validated within an obstacle-free workspace. In simulation-based validation on a UR10 6 degree-of-freedom manipulator model, experimental results indicate that ATBSC increases valid solution density to 84.7% and reduces average deviation by 72.8%. Furthermore, under the tested conditions, MRBCC mitigates end-effector position errors by 79.7–81.0% with a 97.5% constraint satisfaction rate. The improved Cuckoo Search algorithm (ICSA), serving as the solver component of the proposed framework, achieves an 11.9% lower fitness value and a 13.1% faster convergence rate compared to the standard Cuckoo Search algorithm in the tested scenarios, suggesting its effectiveness as a reliable solver for the constrained multi-objective trajectory optimisation problem. Full article
(This article belongs to the Section AI-Enabled Process Engineering)
12 pages, 244 KB  
Article
On Wrinkles, Laughter, and the Self-Reflexivity of Joris Ivens’s A Tale of the Wind
by Nélio Conceição
Arts 2026, 15(4), 85; https://doi.org/10.3390/arts15040085 - 17 Apr 2026
Abstract
In his swan song A Tale of the Wind (1988), Joris Ivens undertakes the seemingly impossible task of capturing the invisible—the wind—on film. At the same time, the film looks back over the director’s own career, in a spirit that is at once [...] Read more.
In his swan song A Tale of the Wind (1988), Joris Ivens undertakes the seemingly impossible task of capturing the invisible—the wind—on film. At the same time, the film looks back over the director’s own career, in a spirit that is at once self-reflective and youthful. Set mainly in China, it functions both as an allegory of the wind and as a search for a middle ground between realism and more poetic approaches to cinema. This article examines the film through the lenses of self-reflexivity, the cinematic portrayal of old age, and the relation between life and death. It first delves into Stanley Cavell’s ontological understanding of self-reflexivity, before examining how this self-reflexivity unfolds in A Tale of the Wind. In this regard, it analyses the relationship between technique and magic, the search for a “theory of cinema”, and the importance of imagination and childhood. Taking into consideration the Deleuzian correlation between face and landscape and the notion of “any space whatever”, the article concludes by analysing old age through its marks and gestures: wrinkles, laughter, waiting, and searching—elements that contribute decisively to the film’s self-reflexivity. Full article
6 pages, 1788 KB  
Proceeding Paper
DroneDeep RL (DDR): A Traffic Congestion Control Strategy Using Prioritization LLM Agent and Circular Deep Q-Network
by Md. Mujahid Hasan, Afsana Siddika, Maria Akter Khushi, Salman Md Sultan, Tahira Alam and Shajedul Hasan Arman
Eng. Proc. 2026, 129(1), 30; https://doi.org/10.3390/engproc2026129030 - 16 Apr 2026
Abstract
Traffic congestion is a problem in urban traffic that needs to be monitored and managed intelligently. In this study, a hybrid traffic management system is designed based on a combination of drone vision, large language model (LLM) inferences, and deep reinforcement learning (DRL). [...] Read more.
Traffic congestion is a problem in urban traffic that needs to be monitored and managed intelligently. In this study, a hybrid traffic management system is designed based on a combination of drone vision, large language model (LLM) inferences, and deep reinforcement learning (DRL). Using drones videos of real-time traffic, the lightweight You Only Look Once v11 model detects vehicles, and after, traffic flow levels are identified by the proposed LLM agent. A Circular-Deep Q-Networks-based DRL controller is proposed to reduce the average waiting time of vehicles. Simulation experiments validate improved congestion detection, reduced delay, and more effective communication for smart city traffic control. Full article
Show Figures

Figure 1

14 pages, 727 KB  
Article
A Novel Pre-Kidney Transplant Risk Score to Optimize Waiting List Management
by Lino Henkel, Katharina Könemann, Alison Kane, Göran R. Boeckel, Amélie F. Menke, Ana Harth, Philipp Houben, Hermann Pavenstädt, Wolfgang Arns and Stefan Reuter
J. Clin. Med. 2026, 15(8), 3045; https://doi.org/10.3390/jcm15083045 - 16 Apr 2026
Abstract
Background: Clinical tools to structure kidney transplant waitlist management at the time of listing are limited. We evaluated a simple, donor-independent clinical grading applied at waitlist registration to stratify patients according to post-transplant risk. Methods: We retrospectively analyzed 465 adult kidney [...] Read more.
Background: Clinical tools to structure kidney transplant waitlist management at the time of listing are limited. We evaluated a simple, donor-independent clinical grading applied at waitlist registration to stratify patients according to post-transplant risk. Methods: We retrospectively analyzed 465 adult kidney transplant recipients from two German centers (2018–2023). Patients were assigned to three clinical grading groups based on age and comorbidities, and to three immunologic groups based on pre-immunization. One-year outcomes included mortality, graft loss, eGFR, albuminuria, and rejection. Results: Higher clinical grades were associated with worse one-year outcomes, including lower eGFR and higher rates of death or graft loss, whereas immunologic grading was associated with waiting time but not short-term post-transplant outcomes. These associations appeared robust to donor characteristics in sensitivity analyses. Conclusions: A simple, listing-time clinical grading may support structured waitlist management before donor information is available. External validation is required. Full article
(This article belongs to the Special Issue Clinical Advances in Kidney Transplantation)
Show Figures

Figure 1

13 pages, 248 KB  
Article
Beyond the Future: Protentional Friction and Suspended Sense in the Lived Time of Illness
by Donald A. Landes and Kathleen Hulley
Philosophies 2026, 11(2), 62; https://doi.org/10.3390/philosophies11020062 - 16 Apr 2026
Abstract
From hours spent in waiting rooms amidst uncertainty to the experience of recovering from medical treatments, the lived time of illness is marked by intervals of suspended sense. By disorienting our relation to the future, illness disrupts and reconfigures lived time from within, [...] Read more.
From hours spent in waiting rooms amidst uncertainty to the experience of recovering from medical treatments, the lived time of illness is marked by intervals of suspended sense. By disorienting our relation to the future, illness disrupts and reconfigures lived time from within, shaping how we navigate our intersubjective milieu and make sense of our unfolding lives. In this paper, we introduce the phenomenological concept of “protentional friction” as a way of understanding these experiences. Drawing upon Simone de Beauvoir’s work on subjectivity and becoming, alongside Henri Bergson’s and Eugène Minkowski’s emphasis on durée and élan, we demonstrate how protentional friction allows us to negotiate the tensions of our situation, orient ourselves toward the future through projects, and gear into the ongoing work of sense-making. As a counterbalance to normalizing cultural discourses surrounding illness, we reinterpret the idea of the “quotidian” as the everyday practice of sense-making to find and sustain an equilibrium. Full article
(This article belongs to the Special Issue Critical Phenomenologies of Illness and Normality)
16 pages, 783 KB  
Article
The Role of Noise in Tumor–Immune Interactions: A Stochastic Simulation Study
by Yamen Alharbi
Mathematics 2026, 14(8), 1336; https://doi.org/10.3390/math14081336 - 16 Apr 2026
Abstract
In this article, we numerically investigate the effects of noise and heterogeneity on a model of immune–tumor cell interactions. We focus on stochastic dynamics and simulation-based analysis of the time required for tumor elimination. We identify the existence of a bistable response, which [...] Read more.
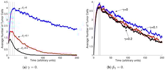
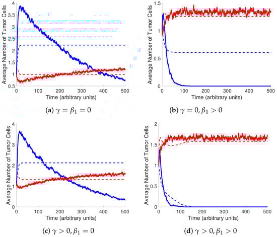
In this article, we numerically investigate the effects of noise and heterogeneity on a model of immune–tumor cell interactions. We focus on stochastic dynamics and simulation-based analysis of the time required for tumor elimination. We identify the existence of a bistable response, which is disrupted by the introduction of intrinsic noise into the system. In particular, we characterize noise-induced transitions using first-passage time statistics and waiting-time distributions. We discuss various scenarios of tumor elimination, including the impact of vitamin intake and chemotherapy on tumor cell count, mean elimination time, and the duration of tumor dominance. Our results show that increasing chemotherapy reduces the maximum tumor count and decreases the average tumor elimination time, while intrinsic noise promotes memoryless switching toward the tumor-free state. This behavior is explained by the emergence of a quasi-stationary distribution governing the metastable tumor-present regime, leading to exponentially distributed extinction times. Furthermore, this framework enables the decay rate λ to be estimated from simulation data and related to treatment parameters (β1,γ). These findings provide a theoretical and statistical justification for memoryless tumor elimination dynamics and offer quantitative insights into stochastic treatment outcomes. Full article
(This article belongs to the Special Issue Advances in Control of Stochastic Dynamical Systems)
Show Figures

Figure 1

18 pages, 2962 KB  
Article
Freight Truck Turnaround Time Prediction at Container Ports Using Transfer Learning
by Yusung Min, Byongchan Shin, Zion Park, Joonha Kim and Gunwoo Lee
J. Mar. Sci. Eng. 2026, 14(8), 727; https://doi.org/10.3390/jmse14080727 - 15 Apr 2026
Viewed by 231
Abstract
In South Korea, 99.7% of international freight is transported through ports. At ports handling massive cargo volumes, prolonged truck waiting times have become a significant social concern. To enhance port operational efficiency and ensure driver safety, systematic congestion management is required, which can [...] Read more.
In South Korea, 99.7% of international freight is transported through ports. At ports handling massive cargo volumes, prolonged truck waiting times have become a significant social concern. To enhance port operational efficiency and ensure driver safety, systematic congestion management is required, which can be facilitated by predicting truck turnaround time (TAT) in advance. However, existing TAT prediction studies have focused on individual ports where data collection is feasible, limiting the applicability of these models to other ports. The objective of this study was to evaluate the transferability of TAT prediction models to different ports. For the analysis, digital tachograph data capturing the trajectories of heavy-duty trucks were employed. The results indicate that a long short-term memory-based model effectively captures the complex operational characteristics of ports and demonstrates high predictive accuracy at Busan New Port and Busan North Port. By applying transfer learning from the best-performing Busan New Port model, the predictive accuracy for Gunsan Port, a target port with limited data, was substantially improved. This study confirms the feasibility of applying transfer learning in ports with constrained data availability, demonstrating that practical TAT prediction models can be developed under realistic operational constraints. Full article
(This article belongs to the Special Issue Deep Learning Applications in Port Logistics Systems)
Show Figures

Figure 1

34 pages, 12252 KB  
Article
Toward Sustainable Smart Last-Mile Logistics: A Machine Learning-Enabled Framework for Adaptive Control and Dynamic Prediction
by Walaa N. Ismail, Wadea Ameen, Murtadha Aldoukhi, Mohammed A. Noman and Abdulrahman M. Al-Ahmari
Sustainability 2026, 18(8), 3877; https://doi.org/10.3390/su18083877 - 14 Apr 2026
Viewed by 236
Abstract
Food delivery logistics sustainability includes environmental impact, economic efficiency, and service quality. Traditional logistics models mainly rely on fixed ''pickup buffer'' policies (such as a set 10 min wait). These systems do not account for the changing nature of restaurant operations and delivery [...] Read more.
Food delivery logistics sustainability includes environmental impact, economic efficiency, and service quality. Traditional logistics models mainly rely on fixed ''pickup buffer'' policies (such as a set 10 min wait). These systems do not account for the changing nature of restaurant operations and delivery conditions, leading to higher operating costs, driver idle time, and poorer food quality. To move delivery systems from reactive decision-making to proactive, dynamically forecasted operations, an adaptive control mechanism is needed. In on-demand food delivery, this offers a clear path to sustainability through better dispatch accuracy, order prep, and pickup coordination. To resolve these bottlenecks, this study examines how a smart logistics framework based on a dynamic Gradient Boosting Regressor (GBR) and policy-sensitive GBR can provide more accurate estimates of drivers' waiting times in light of contextual factors such as rush hour, time of day, and operational constraints. In last-mile food delivery, the proposed method aims to reduce operational costs, improve scheduling effectiveness, and maximize resource utilization by moving beyond static, predefined waiting periods to adaptive, context-aware decisions. The developed framework analyzes a proprietary dataset of 368,250 instant orders from a major Saudi Arabian logistics provider to evaluate the efficacy of static thresholds versus a proposed predictive, dynamic machine-learning-based approach. After rigorous data cleaning and temporal-logic adjustments, a ''High-Fidelity Ground-Truth'' subset of 1842 verified orders is used to simulate policy performance. This 99.5% reduction is necessitated by the widespread absence of the ''Order Ready'' timestamp in operational logs, which is the critical target variable for supervised learning; comparative analysis confirms the subset remains representative of the parent population’s spatiotemporal dynamics. The baseline analysis reveals severe inefficiencies in the static model, with a 61.67% violation rate for driver wait times, particularly in Riyadh (p < 0.001) and during late-night operations. The simulation results demonstrate that the dynamic policy reduces the ''Buffer Miss Rate'' (premature driver arrivals) from 59.08% to 7.32%, resulting in a 68.5% reduction in total operational waste costs. Full article
(This article belongs to the Special Issue Sustainable Management of Logistics and Supply Chain)
19 pages, 2946 KB  
Article
Design and Simulation of Automated Pod Handling for Modular Rail-Based Transport Systems
by Karel Ráž, Martin Stejskal and Weldu Subagadis
Logistics 2026, 10(4), 87; https://doi.org/10.3390/logistics10040087 - 13 Apr 2026
Viewed by 163
Abstract
Background: Modular and autonomous rail-based transport concepts promise increased flexibility and efficiency, but their feasibility strongly depends on reliable and scalable terminal handling operations. In such systems, transport units must be safely and rapidly coupled to carrier units without manual intervention. Methods [...] Read more.
Background: Modular and autonomous rail-based transport concepts promise increased flexibility and efficiency, but their feasibility strongly depends on reliable and scalable terminal handling operations. In such systems, transport units must be safely and rapidly coupled to carrier units without manual intervention. Methods: This study presents a structured pod-handling concept for a modular rail transport system, covering transport unit preparation, crane-based lifting and positioning, mechanical coupling via twist-lock interfaces, and automated electrical and media connections. To evaluate operational performance, a discrete-event simulation model was developed in AnyLogic that represents the complete loading process from order reception to pod dispatch. Results: Simulation results show that a single crane is sufficient under low-demand conditions, maintaining an average processing time of approximately 12 min per order. As demand increases, system performance becomes highly sensitive to crane availability; insufficient resources lead to excessive waiting times. For high-frequency demand, scalable crane allocation is required to preserve stable throughput. Conclusions: The results confirm that automated pod-handling mechanisms, combined with demand-adaptive terminal resources, are essential for the viability of modular rail pod systems. The proposed process model and simulation framework guide terminal design and support the integration of decentralised rail pods into future multimodal mobility and logistics networks. Full article
26 pages, 1967 KB  
Article
EV Dynamic Charging and Discharging Strategy Considering Integrated Energy Station Congestion and Electricity Trading
by Xiang Liao, Haiwei Wang, Yujie Cheng and Dianling Zhan
Energies 2026, 19(8), 1879; https://doi.org/10.3390/en19081879 - 12 Apr 2026
Viewed by 304
Abstract
As the electrification of transportation systems accelerates, incentivizing electric vehicle (EV) participation in vehicle-to-grid (V2G) operations is becoming increasingly crucial. This paper introduces a dynamic EV charging and discharging strategy that incorporates integrated energy station (IES) congestion and electricity purchase and sale scenarios. [...] Read more.
As the electrification of transportation systems accelerates, incentivizing electric vehicle (EV) participation in vehicle-to-grid (V2G) operations is becoming increasingly crucial. This paper introduces a dynamic EV charging and discharging strategy that incorporates integrated energy station (IES) congestion and electricity purchase and sale scenarios. The proposed strategy seeks to facilitate orderly EV charging and discharging within a real-time simulation framework that integrates the transportation network (TN), IES, and the external grid (EG). First, we develop a real-time collaborative simulation framework that combines microscopic traffic flow (MTL) and IES–grid energy interaction models to account for mutual feedback among these components. Second, we propose an EV IES selection strategy aimed at maximizing discharge revenue, which takes into account various factors, including driving distance, time costs, battery degradation, discharge benefits, and government subsidies. Finally, we design a dynamic discharge pricing model based on real-time vehicle arrival patterns at the IES and the status of electricity purchases and sales. Simulation results show that the EV IES selection strategy, optimized for discharge revenue, reduces average user waiting time by 5.36%, decreases network time loss by 3.86%, and increases EV discharge revenue by 6.79%. Furthermore, the introduction of dynamic pricing leads to additional reductions in waiting time and network time loss by 3.46% and 4.80%, respectively. The proposed mechanism and pricing strategy effectively mitigate traffic congestion, enhance user discharge revenue, and provide flexible scheduling options for IES operations. Full article
(This article belongs to the Section E: Electric Vehicles)
13 pages, 2447 KB  
Data Descriptor
Electric Vehicle Routing with Time Windows and Heterogeneous Charging-Station Attribute Dataset
by Ayoub Hanif, Meryem Abid, Mohamed Tabaa, Hassna Bensag and Mohamed Youssfi
Data 2026, 11(4), 83; https://doi.org/10.3390/data11040083 - 12 Apr 2026
Viewed by 260
Abstract
This paper describes the benchmark dataset for the electric vehicle routing problem with time windows. It is designed to facilitate the large-scale and reproducible evaluation of routing approaches under diverse charging scenarios. It is an extension of the Homberger 1000-customer vehicle-routing benchmark dataset [...] Read more.
This paper describes the benchmark dataset for the electric vehicle routing problem with time windows. It is designed to facilitate the large-scale and reproducible evaluation of routing approaches under diverse charging scenarios. It is an extension of the Homberger 1000-customer vehicle-routing benchmark dataset through the incorporation of computationally derived charging-station data. For the 60 base instances included in the dataset, charging-station locations are randomly generated within the customer-coordinate bounds, and two variants are provided, resulting in 120 benchmark problems used in the validation and baseline analyses. A normalized local customer-density score is derived for each station. It is used to determine charging rates and log-normal parameters for prices and waiting times. Two variants are included in the dataset. Variant A maintains the original customer time-window constraints, while Variant B relaxes customer due dates based on the distance from the depot, subject to the depot closing time. The dataset is complemented by instance files, station attributes, parameters, and scripts. It also includes the results of feasibility tests, baseline solver tests, difficulty analyses, and sensitivity tests. These results show that the benchmark includes both easier and harder instance classes under different charging settings. Overall, the dataset is intended to support its use as a reproducible benchmark. Full article
Show Figures

Figure 1

22 pages, 891 KB  
Article
Ensemble Learning with Systematic Hyperparameter Optimization for Urban-Bike-Sharing Demand Prediction
by Ivona Brajevic, Eva Tuba and Milan Tuba
Sustainability 2026, 18(8), 3766; https://doi.org/10.3390/su18083766 - 10 Apr 2026
Viewed by 264
Abstract
Bike sharing is an established component of urban mobility infrastructure, offering a low-emission alternative to motorized transport for short trips in cities worldwide. Accurate demand forecasting is essential for efficient system operation: it enables better bike redistribution, reduces user wait times, and lowers [...] Read more.
Bike sharing is an established component of urban mobility infrastructure, offering a low-emission alternative to motorized transport for short trips in cities worldwide. Accurate demand forecasting is essential for efficient system operation: it enables better bike redistribution, reduces user wait times, and lowers the operational costs associated with rebalancing. This study evaluated multiple ensemble strategies for hourly bike-sharing demand prediction, comparing bagging methods (Random Forest, Extra Trees), boosting methods (AdaBoost, Gradient Boosting Regressor, Histogram-based Gradient Boosting Regressor), and a Voting ensemble, while systematically investigating the impact of hyperparameter optimization. A repeated hold-out protocol was used, in which the dataset was randomly divided into 80% training and 20% test subsets across 10 random splits; 5-fold cross-validation was applied within each training fold exclusively for hyperparameter tuning, ensuring the test set remained unseen during model selection. Random Search and Bayesian Optimization were compared under identical budgets of 60 configurations per model. Results show that optimization substantially improves all models, with the most pronounced gains for AdaBoost (58% RMSE reduction) and Gradient Boosting Regressor (45% RMSE reduction). A Voting ensemble combining a Random Search-tuned Gradient Boosting Regressor and a Bayesian-optimized Histogram-based Gradient Boosting Regressor achieves the best overall performance (RMSE of 38.48, R2 of 0.955) with the lowest variance among all repeated splits. Feature importance analysis confirms that hour of day and temperature are the dominant demand drivers, consistent with the operational patterns of urban bike-sharing systems. The performance difference between Random Search and Bayesian Optimization is negligible for most models, suggesting that well-designed search spaces allow simpler strategies to achieve competitive results. A controlled comparison conducted under identical experimental conditions shows that the Voting ensemble is statistically equivalent to XGBoost and nominally better than LightGBM, while CatBoost achieves a statistically significant advantage, highlighting it as a strong individual alternative. Full article
(This article belongs to the Special Issue Artificial Intelligence and Sustainable Development)
Show Figures

Figure 1

34 pages, 3638 KB  
Article
Multi-Station UAV–UGV Cooperative Delivery Scheduling Problem with Temporally Discontinuous Service Availability Under Diverse Urban Scenarios
by Yinying Liu, Jianmeng Liu, Xin Shi and Cheng Tang
Drones 2026, 10(4), 269; https://doi.org/10.3390/drones10040269 - 8 Apr 2026
Viewed by 387
Abstract
Urban logistics systems face growing delivery demand and complex traffic and operational constraints, which make unmanned delivery carriers, including unmanned aerial vehicles (UAVs) and unmanned ground vehicles (UGVs), a promising solution. Existing studies typically focus on a single delivery carrier type and rely [...] Read more.
Urban logistics systems face growing delivery demand and complex traffic and operational constraints, which make unmanned delivery carriers, including unmanned aerial vehicles (UAVs) and unmanned ground vehicles (UGVs), a promising solution. Existing studies typically focus on a single delivery carrier type and rely on idealized assumptions, overlooking heterogeneous cooperation under multiple stations, multiple time windows, and real-world transport conditions. To address these gaps, we propose the Multi-Station UAV–UGV Cooperative Delivery Scheduling Problem with Temporally Discontinuous Service Availability (MSUUCDSP) to minimize the total travel and waiting time of UAVs and UGVs. To solve the problem, we propose a mixed-integer linear programming (MILP) model with a novel mathematical approach and a Hybrid Large Neighborhood Search (HLNS) algorithm. Additionally, we adopt a Hidden Markov Model (HMM)-based map-matching method and big data techniques to capture realistic operational characteristics. Computational experiments are conducted on various realistic instances under four diverse scenarios. Results show that UAV–UGV cooperation significantly improves efficiency, reducing total time cost by 17.12% compared with single-mode delivery, and they reveal substantial discrepancies between idealized assumptions and realistic scenarios. We further develop an ArcGIS-based simulation to support practical implementation. The findings provide valuable insights for decision-making and engineering applications for logistics operators. Full article
(This article belongs to the Special Issue Advances in Drone Applications for Last-Mile Delivery Operations)
Show Figures

Figure 1

26 pages, 4210 KB  
Article
Joint Optimization of Berth and Shore Power Allocation Considering Vessel Priority Under the Dual Carbon Goals
by Yongfeng Zhang, Wenya Wang and Houjun Lu
J. Mar. Sci. Eng. 2026, 14(7), 688; https://doi.org/10.3390/jmse14070688 - 7 Apr 2026
Viewed by 327
Abstract
Against the backdrop of the dual-carbon strategy promoting the green and low-carbon transformation of the shipping industry, pollutant emissions generated during vessel berthing operations have become a critical challenge in port environmental governance. To address the combined effects of the priority berthing policy [...] Read more.
Against the backdrop of the dual-carbon strategy promoting the green and low-carbon transformation of the shipping industry, pollutant emissions generated during vessel berthing operations have become a critical challenge in port environmental governance. To address the combined effects of the priority berthing policy for new energy vessels and time-of-use electricity pricing, a joint optimization model for berth and shore power allocation is developed with the objectives of minimizing the total economic cost of vessels and the environmental tax cost associated with pollutant emissions. An improved Adaptive Large Neighborhood Search algorithm (ALNS-II) is further designed to solve the model. Numerical experiments based on actual port data verify the effectiveness of the proposed model and the superiority of the algorithm. The results indicate that, under time-of-use electricity pricing, the priority berthing policy for new energy vessels can shorten their waiting time at anchorage and encourage fuel-powered vessels to shift toward electrification. When the peak-to-valley electricity price ratio increases from 4.1:1 to 7.5:1, the environmental tax cost of pollutant emissions decreases slightly, whereas the total economic cost of vessels rises by 4.17%, suggesting that the peak-to-valley electricity price ratio should not be set excessively high. In addition, increasing the proportion of new energy vessels to 70% is more conducive to improving the overall economic and environmental performance of ports. The findings provide a theoretical basis and decision support for the optimal allocation of port resources under the coordination of multiple policies. Full article
(This article belongs to the Special Issue Maritime Ports Energy Infrastructure)
Show Figures

Figure 1

31 pages, 3106 KB  
Article
Display Slot Competition and Multi-Homing in Ride-Hailing Aggregator Platforms: A Game-Theoretic Analysis of Profit and Welfare Implications
by Xuepan Guo and Guangnian Xiao
Sustainability 2026, 18(7), 3625; https://doi.org/10.3390/su18073625 - 7 Apr 2026
Viewed by 199
Abstract
The rise in aggregation platforms has reshaped the competitive ride-hailing market. Display slots (i.e., platform-determined ranking priority) have become a key tool for influencing order allocation. Their interaction with drivers’ multi-homing behavior poses new challenges for platform sustainability. This paper constructs a two-stage [...] Read more.
The rise in aggregation platforms has reshaped the competitive ride-hailing market. Display slots (i.e., platform-determined ranking priority) have become a key tool for influencing order allocation. Their interaction with drivers’ multi-homing behavior poses new challenges for platform sustainability. This paper constructs a two-stage Stackelberg game model with one aggregator and two underlying ride-hailing platforms. Display slots enhance supply-side lock-in, while a waiting time function links passenger utility to demand allocation. Building on theoretical analysis of two-sided market competition and multi-homing effects, we propose two hypotheses: (H1) under specific conditions, competition for display slots may lead to a Prisoner’s Dilemma equilibrium, and (H2) the proportion of multi-homing drivers positively moderates this dilemma, thereby expanding its occurrence range. Numerical simulation results under baseline parameter settings reveal that display slots generate a supply-side amplification effect by locking in multi-homing drivers. In symmetric markets, a prisoner’s dilemma range exists where mutual purchase erodes collective profits; this range expands with the share of multi-homing drivers. Higher driver profit sensitivity raises the threshold required for display slots to be profitable. In asymmetric markets, dominant platforms (strong brands, low costs) gain more from display slots, potentially leading to unilateral purchasing. Social welfare effects of display slot competition depend on a critical threshold of waiting-time sensitivity: social welfare improves above the threshold and declines below it. This study clarifies the boundaries of display slots as supply-side non-price competitive tools, offering quantitative insights for aggregator platform design and regulatory policy. The findings carry managerial implications for platform strategy and policy aimed at sustainable development. Full article
(This article belongs to the Section Economic and Business Aspects of Sustainability)
Show Figures

Figure 1

Back to TopTop