Next Article in Journal
Statistical Estimation of Common Percentile in Birnbaum–Saunders Distributions: Insights from PM2.5 Data in Thailand
Previous Article in Journal
Dynamic Analysis of a Symmetrical Frustum-Shaped Metal Rubber Isolator Under Random Vibration
 
 
Font Type:
Arial Georgia Verdana
Font Size:
Aa Aa Aa
Line Spacing:
Column Width:
Background:
Article

Waiting Time in an MSP Queue with Active Management

by
Andrzej Chydzinski
Department of Computer Networks and Systems, Silesian University of Technology, Akademicka 16, 44-100 Gliwice, Poland
Symmetry 2026, 18(1), 101; https://doi.org/10.3390/sym18010101
Submission received: 16 December 2025 / Revised: 31 December 2025 / Accepted: 3 January 2026 / Published: 6 January 2026
(This article belongs to the Section Mathematics)

Abstract

We study waiting times in a queue with active management and correlated job/packet sizes, which induce correlated service times. In the transient case, formulae for the distribution tail, the probability density, and the expected virtual waiting time at any time t, are found. Then, grounded on these results, stationary versions of the probability density and the expected value are obtained. The correlation of service times resulting from correlated job sizes is modeled through an MSP (Markovian service process). Theoretical results are reinforced by numerical examples, in which we examine the impact of symmetric positive and negative correlation of service times, and the impact of symmetric weak and strong active management, on transient and stationary waiting times. We also compare the effects of these factors on the waiting time with their effects on the queue length. In these examples, we can see a surprisingly large expected virtual waiting time, much greater than the product of the expected service time and the queue length. This effect is observed for both weak and strong management functions when the correlation is positive, but it vanishes when a symmetric negative correlation is applied. We also observe a weaker effect of active management on virtual waiting times than that of service time correlation, as well as a weaker impact of active management on virtual waiting time densities than on queue length distributions.

1. Introduction

Virtual waiting time is among the most crucial performance characteristics of a queueing model. For a particular time t, it is defined as the time a job would spend in a queue, should it arrive at t. For a few reasons, it is even a more important characteristic than the celebrated queue length.
Namely, it gives precise information about the state of the system at t, in terms of the amount of work already planned at t to be carried out. Interestingly, the bare queue length does not provide such precise information. If at time t the queue length is q, while the expected service time of a job is s, then a naive expectation is that the waiting time of a job arriving at t should be roughly q s , on average. However, it is known that such an intuition is wrong, and the waiting time of such a job can be, on average, many times more than q s .
One of the factors that can cause this effect is a large service time variance. Namely, when choosing an arbitrary t, it is more likely that t belongs to an exceptionally long service interval, rather than to a typical one, simply because it is much longer than a typical interval. Hence, service of the job already receiving service at t can take much longer than s, making the total waiting time much longer than q s . This effect is well understood and described in renewal theory.
However, there are more factors that can deeply influence the waiting time. As we will see here, one of the conditions that may lead to an expected waiting time much longer than q s is a positive correlation of job sizes, which induces a positive correlation of service times. This can happen even if the service time variance is relatively small. Another feature of queueing systems that may severely affect the waiting time is active management. In its basic form, active management is carried out by randomly denying service to arriving jobs, with the probability growing as the queue expands.
Hence, in this paper we examine the virtual waiting time in a queueing model that incorporates both these features: active management and correlation of service times. We start with the transient case, for which we derive the distribution tail, the probability density, and the expected virtual waiting time at any t. Then, taking the limit t , we obtain the probability density and expected virtual waiting time in the stationary case. These theoretical results are partnered with numerical examples, in which we show the influence of various system parameters on transient and stationary waiting times. Especially interesting is the comparison of the case of positively correlated service times with the symmetric case of negatively correlated service times (i.e., having exactly the same strength, but opposite sign). We also compare the effect of symmetric weak and strong active management on transient and stationary waiting times, and evaluate the impact of initial conditions. In addition to waiting times, queue lengths are also calculated, to allow a comparison between the two characteristics.
The primary motivation for studying a model with active management and correlated job sizes is computer networking. Specifically, the Internet Engineering Task Force recommends using active management for packet queues in Internet routers [1]. Its main purpose is to reduce the waiting time of packets in routers’ queues. Besides that, active management has some other positive effects, such as desynchronization of TCP control algorithms, leading to better usage of physical link capacities, and improvement of fairness of bandwidth allocation between flows contributing to aggregated traffic. Moreover, successive packets in TCP/IP traffic often have correlated sizes, which leads to analogous correlation of their service/transmission times through output links.
However, computer networking is not the only area where we can find active management and correlated job sizes. In fact, both of these features are quite common in queues in everyday life. Specifically, in everyday life we can often observe that people opt out of joining a queue of some sort with the probability rising as the queue grows. The mathematical model for this phenomenon is the very same as for deletion of packets in a router with probability growing with buffer occupancy. Then, service times of people or other objects in queues can be correlated on account of some external circumstances. In a logistics company, an extended trip time of a truck on a particular route becomes more likely to happen after a previous such incident, because both of them may arise from the same reason, e.g., snowfall and bad road conditions, and so on.
The queueing model considered here, incorporating active management and correlated service times, is as broad as possible. Specifically, the successive service times are modeled by a Markovian service process (MSP). It is known to be able to mimic an arbitrary distribution of service times and, at once, arbitrary correlation between successive service times. The active management function d ( n ) , which relates the packet/job rejection probability to the queue length, is general, i.e., it may be of any form. Finally, the packet/job interarrival time may also assume an arbitrary form.
To sum up, the paper consists of the following original contributions:
  • theorem on distribution tail of the virtual waiting time at arbitrary t—Theorem 1;
  • theorem on density of the virtual waiting time at arbitrary t—Corollary 1;
  • theorem on stationary density of the virtual waiting time—Corollary 2;
  • theorem on expected virtual waiting time at arbitrary t—Theorem 2;
  • theorem on stationary expected virtual waiting time—Corollary 3;
  • numeric examples revealing the effects on virtual waiting times of symmetric positive and negative correlation of service times, weak and strong active management, and initial conditions.
This paper’s later sections are arranged as outlined below. In Section 2, the relevant earlier literature is described. Section 3 presents in full detail the model under analysis. In Section 4, the actual derivations begin. Namely, the distribution tail of the virtual waiting time at arbitrary t is derived first, followed by the transient and stationary density. In Section 5, the expected virtual waiting time at arbitrary t is obtained, followed by its stationary counterpart. Then, in Section 6, numeric calculations are provided. Specifically, in Section 6.1, the effect of symmetric weak and strong active management on the transient and stationary waiting time is demonstrated and accompanied by calculations of queue length distributions. In Section 6.2, the influence of initial conditions on the progression of the waiting time is illustrated. In Section 6.3, the impact of a symmetric negative correlation of the same strength but opposite sign is depicted and discussed. Lastly, Section 7 consolidates this paper’s closing statements.

2. Related Work

From what the author knows, the findings reported here are fully original. No earlier mathematical research has addressed the virtual waiting time in a queue with active management and correlated service times.
Each of these two crucial system features has had its effect studied in isolation, instead of being combined. However, correlation of service may indirectly influence the operation of active management, by influencing queue lengths. Hence, the combined effect of the two features may be far from any simple combination of separate effects of each of them.
As for active management, here it is assumed that the packet/job drop probability is directly related to buffer occupancy through function d ( n ) . Such an approach was initially put forward for Internet routers in [2] with a linear management function d ( n ) . After that, many other management functions were studied, e.g., exponential [3,4], trigonometric [5], polynomial [6,7], Gaussian [8], beta [9], mixed [10,11,12,13], and others [14].
In these strictly networking-oriented studies, computer simulation was the main tool of performance evaluation. More formal, mathematical investigations of queueing models with management function d ( n ) are to be found, e.g., in [15,16,17,18,19,20,21].
Moreover, in the networking literature we can find work on active management in which the packet drop probability is not directly related to buffer occupancy, e.g., [22,23,24,25,26,27,28,29,30,31,32,33,34]. In these propositions, the packet drop probability is calculated using algorithms based on fuzzy logic [22,23,24], control theory [25,26,27,28], machine learning [29,30,31,32], and other approaches [33,34].
Now, it should be emphasized that none of the mentioned work on active management [2,3,4,5,6,7,8,9,10,11,12,13,14,15,16,17,18,19,20,21,22,23,24,25,26,27,28,29,30,31,32,33,34] encompasses a mathematical model of correlated packet/job service times.
Modelling of correlated service times has a separate literature, in which only passive queue management is considered. The most popular approach is exploiting the Markovian service process [35], to model successive, correlated service intervals. The popularity of this approach is due to three crucial features of the MSP. First, it is able to mimic an arbitrary service time distribution. Second, it can mimic an arbitrary strength of correlation between successive service times. Third, it is mathematically workable.
Queues with the MSP service times are studied, e.g., in [35,36,37,38,39,40,41,42,43]. These studies differ with respect to the performance characteristic investigated, buffer capacity, batch structure, and other details. Specifically, in [35,36,37,39,43], the queue length is investigated. The waiting time is analyzed in [35,38,40,41], the idle period is analyzed in [39], whereas the busy period is analyzed in [39,41]. An infinite buffer is postulated in [35,36,37,38,39,40,43], while its finite version is used in [35,41,42]. Additionally, batch arrivals are allowed in the models of [39,40,41], whereas batch services appear in [36,42,43].
Nevertheless, in none of the works [35,36,37,38,39,40,41,42,43] was active management incorporated into the queueing system.
Basing on the presented state of the art, the rationale for this paper has three key components. Firstly, as argued in the introduction, the virtual waiting time is an important characteristic, which provides information on the system performance not present in the bare queue length. Secondly, the features of the analyzed model are deeply motivated not only by computer networking, but also by real-life queueing systems. Finally, and crucially, it is interesting to see the combined effect of active management and correlated service times on the waiting time. It is known that both of these features severely impact the performance of the queueing model. However, when both of them are present simultaneously, their combined impact cannot be simply added up. This is because one of them influences the other, altering its operation. Namely, correlated service times influence queue lengths, which are taken as inputs of active management. Therefore, correlated service times alter the operation of active management.

3. Queueing Model

We assume that jobs/packets arrive at a queueing system of capacity K jobs, which includes a buffering space for K 1 jobs and a service position. The jobs are queued up according to arrival time. The queue is drained from the head, one job at a time, by some service process (e.g., transmission in networking).
The system implements active management, relying on the buffer occupancy. Namely, an arriving job/packet can be rejected on arrival, i.e., blocked access to the buffer, with probability d ( n ) , where the argument n stands for the queue size at the arrival time of this job. The function d ( n ) may take any form for 0 n < K , but for n K it must hold that d ( n ) = 1 , because a job cannot enter the buffer when it is full.
Job interarrival times are i.i.d. random variates, with the distribution function G ( t ) , of a general form.
Jobs sizes can be correlated, which causes correlation of service times. Correlated service times are modeled via an MSP [35]. To parameterize an MSP, we have to give the number of service phases, M, and two matrices of size M × M : L 0 and L 1 , for which the sum L = L 0 + L 1 establishes an infinitesimal generator for a Markov chain on the phase space { 1 , , M } . Additionally, L 0 has to be negative on its diagonal and elsewhere nonnegative; L 1 has to be nonnegative.
The MSP evolves in time as described hereafter. If at time t a job is being served and the service phase is u, then shortly after, i.e., at t + Δ , the service phase may change to v with probability ( L 0 ) u v Δ + o ( Δ ) and the service goes on, or the service phase may change to v with probability ( L 1 ) u v Δ + o ( Δ ) and the service is completed, which means that the job may leave the system. If after that there is a job in the buffer, the evolution of the MSP carries on in the same manner. However, if the buffer is empty, the service phase freezes—it remains unaltered until the next successful arrival of a job. When this happens, the MSP reassumes the evolution as described above.
Active management only controls effective arrivals and does not affect the associated MSP.
The expected service time is 1 μ , where
μ = π L 1 e ,
whereas π denotes the stationary vector for generator L. Two consecutive service times have the following coefficient of correlation:
R = μ π L 0 1 L 1 L 0 1 e 1 2 μ π L 0 1 e + 1 ,
where
e = [ 1 , , 1 ] T .
By N ( t ) and S ( t ) , we represent the queue length and service phase at time t, respectively. We follow a convention that N ( t ) includes the job in service, if applicable. Similarly, the argument n of active management function d ( n ) includes the job in service and K includes the service position.
Moreover, in the derivations, we will be using two more characteristics of the MSP: r u , v , n ( y ) and q u , v , n ( y ) . Specifically, r u , v , n ( y ) stands for probability that n services are completed in ( 0 , y ) and the service phase is v at the n-th service completion time, assuming N ( 0 ) n and S ( 0 ) = u . Then, q u , v , n ( y ) stands for the probability that n services are completed in ( 0 , y ) and S ( y ) = v , assuming N ( 0 ) n and S ( 0 ) = u .
By c ( n ) , we denote job acceptance probability:
c ( n ) = 1 d ( n ) .
Without affecting generality, we let t = 0 correspond to the arrival epoch if N ( 0 ) > 0 and the earliest job after t = 0 arrives according to the distribution G ( t ) if N ( 0 ) = 0 .
When dealing with an MSP, there are two main choices regarding what can happen with the service phase when the system becomes empty. Namely, the service phase can be frozen during an idle period and used unaltered at the next arrival time, or it can be reset according to some arbitrary discrete distribution. In the majority of papers, the former approach is taken, including works [35,37,38,39,40,41,42,43]. The latter approach is taken, as the sole choice, only in [36], while in [37,38] the latter is considered as an optional scheme. In this paper, we use the most popular setting with the frozen service phase.

4. Tail of Distribution and Density

Let ω ( t ) denote the virtual waiting time at t. Namely, ω ( t ) is the time a job would spend in a queue before entering the service, should it arrive at t.
Let F j ( n , t , x ) denote the distribution tail of ω ( t ) under initial conditions N ( 0 ) = n , S ( 0 ) = j , i.e.,
F j ( n , t , x ) = P { ω ( t ) > x | N ( 0 ) = n , S ( 0 ) = j } ,
where t 0 , x 0 , n = 0 , , K and j = 1 , , M .
The following analytical approach will be exploited hereafter.
First, we will design a system of ( K + 1 ) M integral equations of the Volterra type for F j ( n , t , x ) by varying n = 0 , , K and j = 1 , , M . This will be accomplished using the law of total probability.
Second, the Laplace transform will be applied to all of these equations, converting convolution integrals into products of transforms of F j ( n , t , x ) . The resulting system will become linear and will be solved using standard linear algebra.
Third, to obtain the transform of the density of the virtual waiting time at t, the Leibniz integral rule will be applied, together with some well-known properties of the MSP.
Fourth, to obtain the stationary density of the virtual waiting time, the Final Value Theorem will be exploited.
Finally, in numerical examples, the results expressed as Laplace transforms will be inverted to the time domain by utilizing a transform inversion method.
First, assume that N ( 0 ) = K , S ( 0 ) = j . We have the following:
F j ( K , t , x ) = k = 1 M 0 t F k ( 1 , t y , x ) c ( 0 ) r j , k , K ( y ) d G ( y ) + k = 1 M 0 t F k ( 0 , t y , x ) d ( 0 ) r j , k , K ( y ) d G ( y ) + l = 1 K 1 k = 1 M 0 t F k ( K l + 1 , t y , x ) c ( K l ) q j , k , l ( y ) d G ( y ) + l = 0 K 1 k = 1 M 0 t F k ( K l , t y , x ) d ( K l ) q j , k , l ( y ) d G ( y ) + l = 0 K 1 k = 1 M q j , k , l ( t ) ( 1 G ( t ) ) a = 0 K l 1 i = 1 M q k , i , a ( x ) .
Equation (6) is derived by employing the law of total probability regarding the joint distribution of the earliest arrival time y, the number of services performed by y, the service phase at y, and the acceptance/rejection of the first arrival. Specifically, with probability c ( 0 ) r j , k , K ( y ) d G ( y ) , the earliest arrival happens at y, the buffer is flushed completely by y, the service phase when this happens is k, and the first incoming job is accepted. In such a case, at time y, we have P { ω ( t ) > x } = F k ( 1 , t y , x ) , which is handled by the initial component of (6). The second component differs from the first only in that the earliest arrival is rejected. Hence, we have P { ω ( t ) > x } = F k ( 0 , t y , x ) starting from time y.
In the third component of (6), with probability c ( K l ) q j , k , l ( y ) d G ( y ) , the earliest arrival happens at y, l > 0 jobs are completed by y, the service phase at time y is k, and the first incoming job is accepted. In such a case, at time y, we have P { ω ( t ) > x } = F k ( K l + 1 , t y , x ) . Note that l cannot be 0 in this case, because the earliest arrival cannot be accepted when the buffer is full. The fourth component differs from the third in that the earliest arrival is rejected. Therefore, now it can be l = 0 and we have P { ω ( t ) > x } = F k ( K l , t y , x ) , starting from time y.
In the fifth component of (6), with probability q j , k , l ( t ) ( 1 G ( t ) ) the earliest arrival occurs after t, l jobs are completed by t, and the service phase at time t is k. Hence, we simply have the following:
P { ω ( t ) > x } = a = 0 K l 1 i = 1 M q k , i , a ( x ) .
Assuming N ( 0 ) = 0 and S ( 0 ) = j , we obtain the following equation for F j ( 0 , t , x ) :
F j ( 0 , t , x ) = 0 t F j ( 1 , t y , x ) c ( 0 ) d G ( y ) + 0 t F j ( 0 , t y , x ) d ( 0 ) d G ( y ) ,
which is designed by employing the law of total probability regarding the joint distribution of the earliest arrival time y and accpetance/rejection of the first arrival. Namely, with probability c ( 0 ) d G ( y ) , the earliest arrival is at y and it is accepted, so we have P { ω ( t ) > x } = F j ( 1 , t y , x ) at time y, whereas with probability d ( 0 ) d G ( y ) , the earliest arrival is at y and it is rejected, so we have P { ω ( t ) > x } = F j ( 0 , t y , x ) at y. If the earliest arrival occurs after t, then we have P { ω ( t ) > x } = 0 for every x 0 . Therefore, the component corresponding to such a case vanishes.
Now, assume S ( 0 ) = j and N ( 0 ) = n , where 0 < n < K . We have the following:
F j ( n , t , x ) = k = 1 M 0 t F k ( 1 , t y , x ) c ( 0 ) r j , k , n ( y ) d G ( y ) + k = 1 M 0 t F k ( 0 , t y , x ) d ( 0 ) r j , k , n ( y ) d G ( y ) + l = 0 n 1 k = 1 M 0 t F k ( n l + 1 , t y , x ) c ( n l ) q j , k , l ( y ) d G ( y ) + l = 0 n 1 k = 1 M 0 t F k ( n l , t y , x ) d ( n l ) q j , k , l ( y ) d G ( y ) + l = 0 n 1 k = 1 M q j , k , l ( t ) ( 1 G ( t ) ) a = 0 n l 1 i = 1 M q k , i , a ( x ) .
In general, Equation (9) is derived similarly to (6). The crucial difference is in the third components of (9) and (6). Specifically, in the third component of (9) it is permitted that no job is completed by time y and a new job is allowed to enter the buffer at y. This is possible now because it is presumed that the buffer is not completely filled at the beginning. In (6), it was prohibited, because the earliest arrival could not be accepted when the buffer was full at the beginning.
Noticing that all integrals in system (6), (8), and (9) are of a convolution type, a natural way to solve this system is via the Laplace transform, which converts convolutions of functions into products of their transforms.
Specifically, denoting
f j ( n , s , x ) = 0 e s y F j ( n , y , x ) d y , s > 0 ,
from (6), we obtain the following:
f j ( K , s , x ) = c ( 0 ) k = 1 M p j , k , K ( s ) f k ( 1 , s , x ) + d ( 0 ) k = 1 M p j , k , K ( s ) f k ( 0 , s , x ) + l = 1 K 1 c ( K l ) k = 1 M a j , k , l ( s ) f k ( K l + 1 , s , x ) + l = 0 K 1 d ( K l ) k = 1 M a j , k , l ( s ) f k ( K l , s , x ) + l = 0 K 1 a = 0 K l 1 k = 1 M i = 1 M h j , k , l ( s ) q k , i , a ( x ) , j = 1 , , M ,
where
p j , k , l ( s ) = 0 e s y r j , k , l ( y ) d G ( y ) , s > 0 ,
a j , k , l ( s ) = 0 e s y q j , k , l ( y ) d G ( y ) , s > 0 ,
h j , k , l ( s ) = 0 e s y q j , k , l ( y ) 1 G ( y ) d y , s > 0 .
Similarly, from (8), we obtain the following:
f j ( 0 , s , x ) = c ( 0 ) G ^ ( s ) f j ( 1 , s , x ) + d ( 0 ) G ^ ( s ) f j ( 0 , s , x ) , j = 1 , , M ,
with
G ^ ( s ) = 0 e s y d G ( y ) , s > 0 ,
whereas (9) yields the following:
f j ( n , s , x ) = c ( 0 ) k = 1 M p j , k , n ( s ) f k ( 1 , s , x ) + d ( 0 ) k = 1 M p j , k , n ( s ) f k ( 0 , s , x ) + l = 0 n 1 c ( n l ) k = 1 M a j , k , l ( s ) f k ( n l + 1 , s , x ) + l = 0 n 1 d ( n l ) k = 1 M a j , k , l ( s ) f k ( n l , s , x ) + l = 0 n 1 a = 0 n l 1 i = 1 M k = 1 M h j , k , l ( s ) q k , i , a ( x ) , n = 1 , , K 1 ; j = 1 , , M .
It is more convenient to rewrite Equations (11), (15) and (17) using vectors and matrices. We will consequently use the convention that non-bold letters denote scalars, bold lowercase letters denote column vectors, and bold uppercase letters denote square matrices.
Now, denoting
f ( n , s , x ) = [ f 1 ( n , s , x ) , , f M ( n , s , x ) ] T ,
from (11), we have the following:
f ( K , s , x ) = c ( 0 ) P K ( s ) f ( 1 , s , x ) + d ( 0 ) P K ( s ) f ( 0 , s , x ) + l = 1 K 1 c ( K l ) A l ( s ) f ( K l + 1 , s , x ) + l = 0 K 1 d ( K l ) A l ( s ) f ( K l , s , x ) + y K ( s , x ) ,
with
P l ( s ) = [ p j , k , l ( s ) ] j = 1 , , M ; k = 1 , , M ,
A l ( s ) = [ a j , k , l ( s ) ] j = 1 , , M ; k = 1 , , M ,
y n ( s , x ) = l = 0 n 1 H l ( s ) a = 0 n l 1 Q a ( x ) e ,
where
H l ( s ) = [ h j , k , l ( s ) ] j = 1 , , M ; k = 1 , , M ,
Q l ( x ) = [ q j , k , l ( x ) ] j = 1 , , M ; k = 1 , , M .
Then, (15) yields the following:
f ( 0 , s , x ) = c ( 0 ) G ^ ( s ) f ( 1 , s , x ) + d ( 0 ) G ^ ( s ) f ( 0 , s , x ) ,
while from (17), we obtain the following:
f ( n , s , x ) = c ( 0 ) P n ( s ) f ( 1 , s , x ) + d ( 0 ) P n ( s ) f ( 0 , s , x ) + l = 0 n 1 c ( n l ) A l ( s ) f ( n l + 1 , s , x ) + l = 0 n 1 d ( n l ) A l ( s ) f ( n l , s , x ) + y n ( s , x ) , n = 1 , , K 1 .
As we see, system (19), (25) and (26) is linear with respect to f ( n , s , x ) . Accordingly, it can be solved with the help of standard linear algebra. The outcome can be given in a concatenated vector f ¯ ( s , x ) of length M ( K + 1 ) :
f ¯ ( s , x ) = [ f ( 0 , s , x ) T , f ( 1 , s , x ) T , , f ( K , s , x ) T ] T .
Specifically, moving all unknown f ( n , s , x ) to left-hand sides of (19), (25) and (26), while the remaining known coefficients are moved to the right-hand sides, we may achieve the final result:
Theorem 1.
Tail of distribution of the virtual waiting time at t has the following transform:
f ¯ ( s , x ) = R 1 ( s ) z ( s , x ) ,
where
R ( s ) = R n , l ( s ) n = 0 , , K ; l = 0 , , K ,
R n , l ( s ) = G ^ ( s ) d ( 0 ) I I , if n = 0 , l = 0 , G ^ ( s ) c ( 0 ) I , if n = 0 , l = 1 , c ( 0 ) P n ( s ) + d ( 1 ) A n 1 ( s ) I , if n = 1 , l = 1 , d ( 0 ) P n ( s ) , if 0 < n K , l = 0 , c ( 0 ) P n ( s ) + d ( 1 ) A n 1 ( s ) , if 1 < n K , l = 1 , c ( l 1 ) A n l + 1 ( s ) + d ( l ) A n l ( s ) I , if 1 < n K , l = n , c ( n ) A 0 ( s ) , if 0 < n < K , l = n + 1 , c ( l 1 ) A n l + 1 ( s ) + d ( l ) A n l ( s ) , if 1 < n K , 1 < l n 1 , 0 , o t h e r w i s e ,
and
z ( s , x ) = [ 0 T , y 1 ( s , x ) T , , y K ( s , x ) T ] T ,
while0andIdenote the zero matrix and identity matrices, respectively, each of dimension M × M .
Now, we can turn to derivation of the probability density at t, i.e.,
F j ( n , t , x ) = d F j ( n , t , x ) d x , x > 0 .
When dealing with the density F j ( n , t , x ) , we have to remember that it may be defective, i.e., it may not integrate to 1. Indeed, when the buffer contains nothing, the virtual waiting time is 0, so ω ( t ) has an atom at x = 0 . Its size equals 1 F j ( n , t , 0 ) and can be computed from Theorem 1.
Bearing this in mind, we can obtain the transform of the virtual waiting time density. First, we define the following:
f j ( n , s , x ) = 0 e s y F j ( n , y , x ) d y , s > 0 ,
f ( n , s , x ) = [ f 1 ( n , s , x ) , , f M ( n , s , x ) ] T ,
and
f ¯ ( s , x ) = [ f ( 0 , s , x ) T , f ( 1 , s , x ) T , , f ( K , s , x ) T ] T .
Using the Leibniz integral rule, we then have the following:
f ¯ ( s , x ) = d f ¯ ( s , x ) d x ,
where f ¯ ( s , x ) is given in Theorem 1. Therefore, to obtain f ¯ ( s , x ) from (36) and Theorem 1, we ought to calculate first the derivative of z ( s , x ) with respect to x, i.e.,
z ( s , x ) = d z ( s , x ) d x = [ 0 T , y 1 ( s , x ) T , , y K ( s , x ) T ] T ,
with
y n ( s , x ) = d y n ( s , x ) d x .
Combining (22) with the well-known properties of the MSP, i.e.,
Q 0 ( x ) = e L 0 x , d Q 0 ( x ) d x = L 0 e L 0 x ,
d Q n ( x ) d x = Q n 1 ( x ) L 1 + Q n ( x ) L 0 , n > 0 ,
we obtain the following:
y n ( s , x ) = k = 0 n 1 H k ( s ) L 0 e L 0 x e + k = 0 n 1 H k ( s ) m = 1 n k 1 Q m ( x ) L 0 e + k = 0 n 1 H k ( s ) m = 1 n k 1 Q m 1 ( x ) L 1 e ,
which completes the derivations.
Corollary 1.
The probability density of the virtual waiting time at t has the following transform:
f ¯ ( s , x ) = R 1 ( s ) z ( s , x ) ,
where R ( s ) is given in Theorem 1, while z ( s , x ) is given in (37) and (41).
Finally, the stationary density of the virtual waiting time is defined as follows:
F * ( x ) = lim t F 1 ( 0 , t , x ) .
This can be easily obtained by applying Corollary 1 and the FVT theorem on the Laplace transform. After that, we obtain the following:
Corollary 2.
The stationary probability density of the virtual waiting time is as follows:
F * ( x ) = lim s 0 + s R 1 ( s ) z ( s , x ) 1 ,
where [ · ] 1 indicates the initial element of a vector.
It is important to point out that all the results obtained in the current section can be easily exploited to obtain numeric values of the virtual waiting time.
Specifically, the matrices A l ( s ) , H l ( s ) , Q l ( x ) needed in the theorems can be obtained via the uniformization method, which is a well-known approach (see [44]). A formula for P l ( s ) is available, e.g., in [45] (see formula (41) of [45]). Lastly, the results of Theorem 1 and Corollary 1, expressed as Laplace transforms, can be inverted with ease to the time domain, by utilizing one of the methods for the transform inversion.

5. Expected Value

Let V j ( n , t ) denote the expected virtual waiting time at t under initial conditions N ( 0 ) = n , S ( 0 ) = j , i.e.,
V j ( n , t ) = E { ω ( t ) | N ( 0 ) = n , S ( 0 ) = j } ,
where t 0 , n = 0 , , K and j = 1 , , M .
First, assume N ( 0 ) = K , S ( 0 ) = j . We have the following:
V j ( K , t ) = k = 1 M 0 t V k ( 1 , t y ) c ( 0 ) r j , k , K ( y ) d G ( y ) + k = 1 M 0 t V k ( 0 , t y ) d ( 0 ) r j , k , K ( y ) d G ( y ) + l = 1 K 1 k = 1 M 0 t V k ( K l + 1 , t y ) c ( K l ) q j , k , l ( y ) d G ( y ) + l = 0 K 1 k = 1 M 0 t V k ( K l , t y ) d ( K l ) q j , k , l ( y ) d G ( y ) + l = 0 K 1 k = 1 M q j , k , l ( t ) ( 1 G ( t ) ) a = 0 K l 1 i = 1 M 0 q k , i , a ( u ) d u .
Equation (46) can be justified like (6), except for the last part, in which with probability q j , k , l ( t ) ( 1 G ( t ) ) , the earliest arrival occurs after t, l jobs are completed by t, and the service phase at t is k. Hence, we have the following:
E { ω ( t ) } = a = 0 K l 1 i = 1 M 0 q k , i , a ( u ) d u .
Assuming N ( 0 ) = 0 and S ( 0 ) = j yields the following:
V j ( 0 , t ) = 0 t V j ( 1 , t y ) c ( 0 ) d G ( y ) + 0 t V j ( 0 , t y ) d ( 0 ) d G ( y ) ,
which can be justified exactly as (8). Assuming S ( 0 ) = j and 0 < N ( 0 ) = n < K , we obtain the following:
V j ( n , t ) = k = 1 M 0 t V k ( 1 , t y ) c ( 0 ) r j , k , n ( y ) d G ( y ) + k = 1 M 0 t V k ( 0 , t y ) d ( 0 ) r j , k , n ( y ) d G ( y ) + l = 0 n 1 k = 1 M 0 t V k ( n l + 1 , t y ) c ( n l ) q j , k , l ( y ) d G ( y ) + l = 0 n 1 k = 1 M 0 t V k ( n l , t y ) d ( n l ) q j , k , l ( y ) d G ( y ) + l = 0 n 1 k = 1 M q j , k , l ( t ) ( 1 G ( t ) ) a = 0 n l 1 i = 1 M 0 q k , i , a ( u ) d u .
It has the same form as (46), except for the third component of (49), in which l = 0 , for the same reason as explained below in Equation (9).
Denoting
v j ( n , s ) = 0 e s y V j ( n , y ) d y , s > 0 ,
v ( n , s ) = [ v 1 ( n , s ) , , v M ( n , s ) ] T ,
from (46), (48) and (49), we obtain the following:
v ( K , s ) = c ( 0 ) P K ( s ) v ( 1 , s ) + d ( 0 ) P K ( s ) v ( 0 , s ) + l = 1 K 1 c ( K l ) A l ( s ) v ( K l + 1 , s ) + l = 0 K 1 d ( K l ) A l ( s ) v ( K l , s ) + x K ( s ) ,
v ( 0 , s ) = c ( 0 ) G ^ ( s ) v ( 1 , s ) + d ( 0 ) G ^ ( s ) v ( 0 , s ) ,
and
v ( n , s ) = c ( 0 ) P n ( s ) v ( 1 , s ) + d ( 0 ) P n ( s ) v ( 0 , s ) + l = 0 n 1 c ( n l ) A l ( s ) v ( n l + 1 , s ) + l = 0 n 1 d ( n l ) A l ( s ) v ( n l , s ) + x n ( s ) , n = 1 , , K 1 ,
respectively, where
x n ( s ) = l = 0 n 1 H l ( s ) a = 0 n l 1 D a e ,
D l = 0 q j , k , l ( x ) d x j = 1 , , M ; k = 1 , , M .
As previously, system (52), (53) and (54) can be solved using linear algebra and the outcome may be presented using a concatenated vector:
v ¯ ( s ) = [ v ( 0 , s ) T , v ( 1 , s ) T , , v ( K , s ) T ] T .
After that, we acquire the final result as summarized hereafter.
Theorem 2.
The expected virtual waiting time at t has the following transform:
v ¯ ( s ) = R 1 ( s ) h ( s ) ,
where
h ( s ) = [ 0 T , x 1 ( s ) T , , x K ( s ) T ] T ,
R ( s ) is shown in Theorem 1, while x n ( s ) is presented in (55).
Lastly, the stationary counterpart of V j ( n , t ) , defined as
V = lim t V 1 ( 0 , t ) ,
can be easily derived by applying Theorem 2 and the FVT theorem on the Laplace transform. We obtain the following:
Corollary 3.
The stationary expected virtual waiting time is as follows:
V = lim s 0 + [ s R 1 ( s ) h ( s ) ] 1 .
Finally, note that each proven theorem and corollary requires the inversion of a matrix of size ( K + 1 ) M . The time complexity of this operation is of order O ( K 3 M 3 ) if one of the classic methods is used. Modern techniques enable a reduction in this complexity to O ( K 2.372 M 2.372 ) [46]. In practice, when using Mathematica software (version 14), on a modern PC, it takes a few seconds to invert a matrix of size 5000 × 5000.

6. Numeric Examples

We will begin numeric examples with the following MSP matrices:
L 0 = 1.952284 0.018411 0.009703 0.154702 0.208419 0.018923 0.003663 0.003660 1.461138 ,
L 1 = 0.009929 1.901710 0.012531 0.017651 0.010087 0.007056 0.004134 0.003111 1.446570 .
Matrices (62) and (63) were generated to provide the expected service time of 1.0, while the correlation coefficient between two service times is 0.3. Therefore, it is a positive correlation of moderate strength. The standard deviation of the service time is 1.8. Matrices (62) and (63) will be used in Section 6.1 and Section 6.2. In Section 6.3, new matrices providing a symmetric negative correlation will be exploited.
Two active management functions will be employed in all examples, d w ( n ) (weak) and d s ( n ) (strong), as follows:
d w ( n ) = 0 , if n < 10 , ( ( n 10 ) / 10 ) 4 if 10 n < 20 , 1 , if n 20 ,
d s ( n ) = 0 , if n < 10 , ( ( n 10 ) / 10 ) 0.25 if 10 n < 25 , 1 , if n 25 .
Functions d w ( n ) and d s ( n ) are depicted in Figure 1 over their operating interval, [10, 20]. As we see, they have a symmetric form. Furthermore, d s ( n ) is much stronger than d w ( n ) , i.e., it drops job/packets with much higher probabilities.
Finally, the interarrival distribution function in all examples will be as follows:
G ( t ) = 1 0.43 e 8.6 t 0.57 e 0.6 t .
This gives the arrival rate of 1.0 and the interarrival time standard deviation of 1.5, which is moderate, but clearly far from Poisson arrivals.

6.1. Effect of Active Management

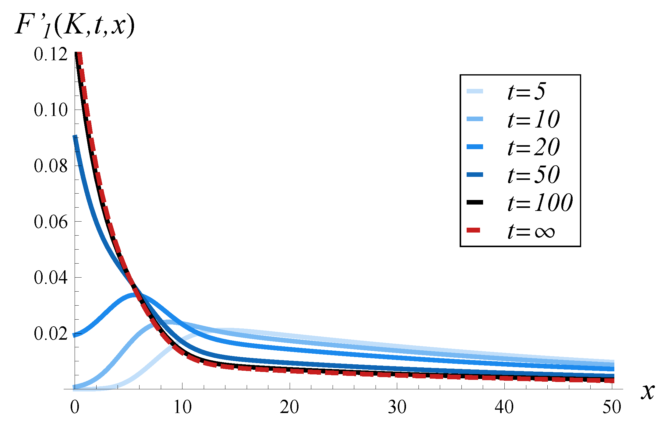
In Figure 2, the virtual waiting time density is presented at specific moments in time for the weak management function d w . In Figure 3, the continuous evolution of this density in the time interval t ( 0 ,   60 ) is depicted for the same weak management. An empty buffer is assumed when the system begins operating.
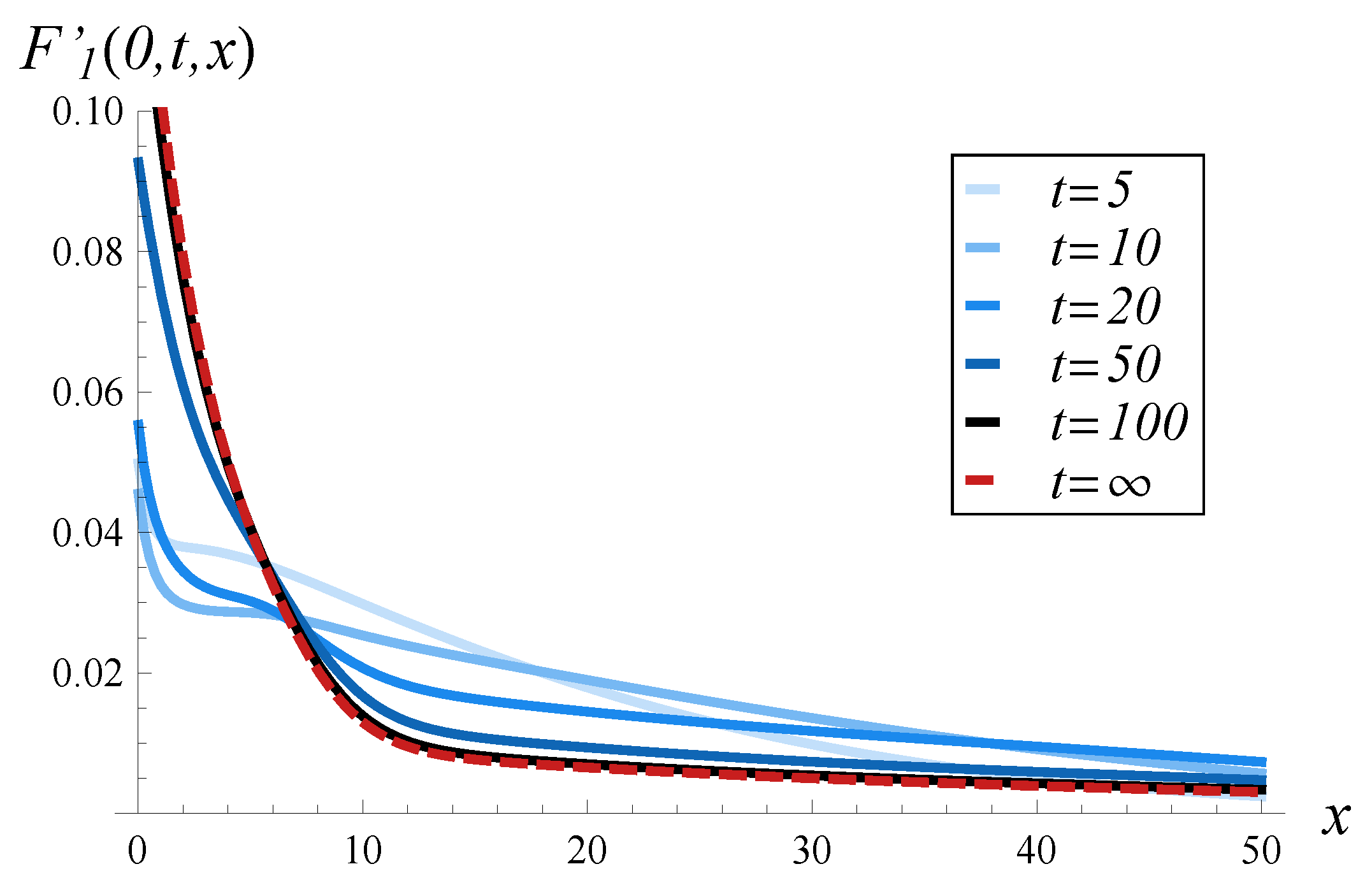
As we see in Figure 2 and Figure 3, in the early, transient stage of operation, the density of the virtual waiting time varies significantly. Then, it stabilizes at about t = 100 (see Figure 2). After that, the density seems to be very close to the stationary one (red dashed line in Figure 2).
It is striking that the distribution tail of the virtual waiting time is rather heavy in Figure 2 and Figure 3, for every considered t. Namely, at x = 50 , the density is still far above 0. This is significant and rather counterintuitive, taking into consideration that the maximum allowed queue length is 20, while the expected service time is 1.0.
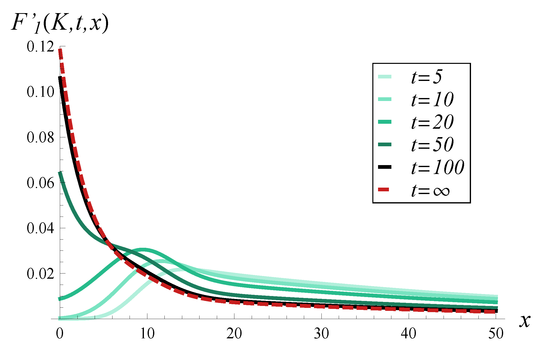
In Figure 4, the virtual waiting time density is shown at specific points in time for the strong management function d s . In Figure 5, the continuous evolution of this density in the time interval t ( 0 , 60 ) is depicted for the same strong management.
Naturally, Figure 4 should be compared with Figure 2, while Figure 5 should be compared with Figure 3. In this way, we can compare the impact of strong versus weak management.
It is remarkable how little difference the application of strong versus weak management makes to the density of the virtual waiting time. Namely, Figure 4 is quite similar to Figure 2, while Figure 5 is similar to Figure 3. All the shapes are similar; the convergence time to the stationary density is about the same.
At this moment, it may be interesting to check what the impact of weak versus strong active management on the queue size distribution is. Is it also that modest? Denote the (transient) queue length distribution as
P j ( n , t , x ) = P { N ( t ) = x | N ( 0 ) = n , S ( 0 ) = j } ,
and its expected value as
Q j ( n , t ) = E { N ( t ) | N ( 0 ) = n , S ( 0 ) = j } .
In Figure 6 and Figure 7, the queue length distribution vs. time is shown, for weak and strong management functions, respectively. These figures were obtained using a formula for the queue length distribution, which was proven in [45].
We see a much more considerable effect of active management on the shape of distribution of the queue length than on the shape of distribution of the virtual waiting time. Namely, Figure 6 differs from Figure 7 much more than Figure 5 differs from Figure 3. It seems that in the case of positive correlation, the impact of active management on queue length distribution is significantly greater than on the virtual waiting time density.
Now, we can shift to observations of the expected virtual waiting times and queue lengths, rather than their full distributions.
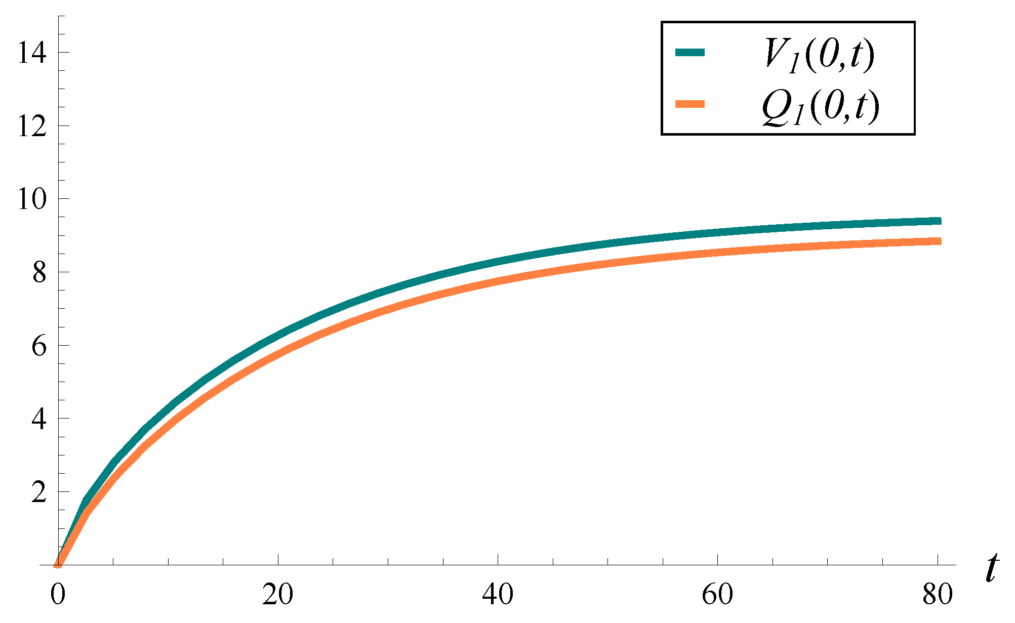
Specifically, in Figure 8, the evolution of the expected virtual waiting time, accompanied by the expected queue length, is depicted for weak active management. Similarly, in Figure 9, the evolution for strong active management is shown.
It is noteworthy that in both Figure 8 and Figure 9, for practically every t, the expected virtual waiting time is about twice as large as the expected queue length. Considering that the expected service time is 1.0, a naive expectation would be that both lines, orange and green, are near each other. Apparently, this is not the outcome—the virtual waiting time is much longer than could have been anticipated. Furthermore, this effect does not depend on the management function, i.e., it is equally profound in Figure 8 and in Figure 9. As we shall observe later, this effect depends strongly on the service time correlation.
Concerning the time of convergence to the stationary expected value, we see in Figure 8 and Figure 9 that it is similar for both the virtual waiting time and the expected queue length, and for both strong and weak management functions.
When comparing the influence of strong versus weak active management on the expected virtual waiting time (i.e., when comparing the green lines in Figure 8 and Figure 9), we see that the much stronger d s has only a moderately stronger impact than d w . For instance, the stationary value of the expected virtual waiting time is 14.9 in the case of d w , while it is 12.0 in the case of d s . In other words, the reduction in the virtual waiting time is about 19% when strong management, rather than weak management, is applied.

6.2. Effect of Initial Conditions

In this section, we will check what effect on the virtual waiting time is caused by the situation in which the buffer is full when the system starts its operation.
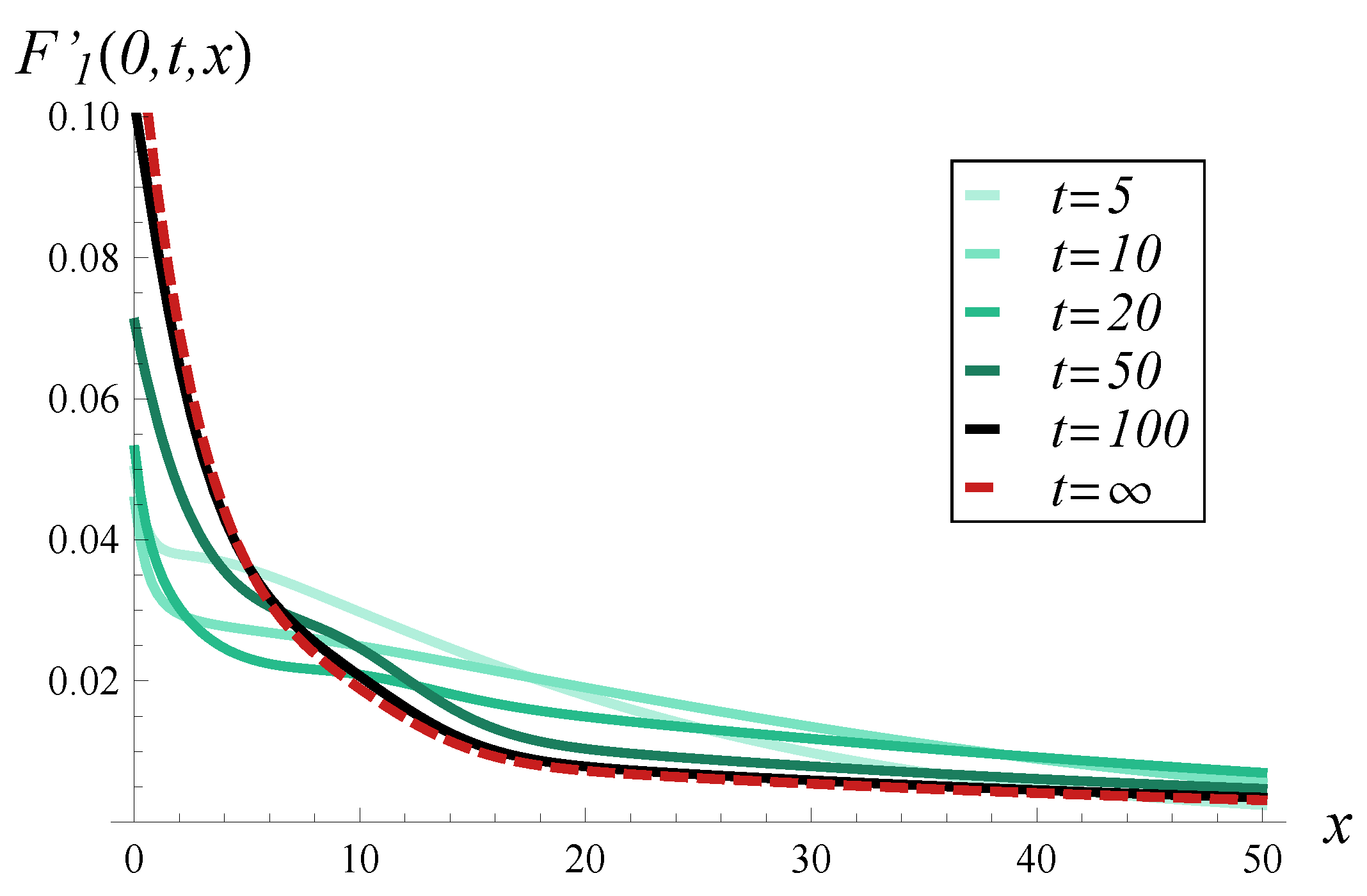
Specifically, in Figure 10, the virtual waiting time density is presented at specific points in time for the weak management function d w . In Figure 11, the continuous evolution of this density in the time interval t ( 0 , 60 ) is depicted for the same weak management. A full buffer is assumed at t = 0 .
Figure 10 should be compared with Figure 2, and Figure 11 with Figure 3. As one could expect, shortly after the system starts, there is a great difference between the distributions of the virtual waiting time for N ( 0 ) = K and N ( 0 ) = 0 . However, relatively quickly, say at t = 50 , the difference becomes minor, while the total time of convergence to the stationary distribution is practically the same in Figure 10 and Figure 2.
In Figure 12, the virtual waiting time density is shown at specific points in time for the strong management function d s , while in Figure 5 the continuous evolution of this density in time is shown for the same management.
As we see, Figure 12 differs greatly from Figure 4 due to different initial buffer occupancies, at least for t up to 50. Similarly, Figure 13 differs greatly from Figure 5.
Conversely, when we compare Figure 12 with Figure 10 and Figure 13 with Figure 11, we can conclude that the strength of active management is much less impactful than the initial buffer occupancy.

6.3. Effect of Symmetric, Negative Correlation

In the previous calculations, the service was parameterized by (62) and (63), inducing the expected service time of 1.0, the correlation between consecutive services of 0.3, and the service time standard deviation of 1.8.
In this section, we shall exploit the following service matrices:
L 0 = 585.489234 0.544887 0.012862 0.003214 0.469422 0.439230 0.001349 0.013265 58.428792 ,
L 1 = 68.622700 516.293000 0.015785 0.014845 0.000355 0.011778 58.404500 0.005985 0.003693 .
Parameterization (69) and (70) are designed in such a way that the expected service time and the standard deviation are unaltered, i.e., equal to 1.0 and 1.8, respectively. However, (69) and (70) induce a symmetric negative correlation coefficient of consecutive services equal to −0.3.
In Figure 14, the evolution of the expected virtual waiting time and queue length is depicted for weak active management. Similarly, in Figure 15, the evolution for strong active management is shown. Both figures are obtained for a negative correlation of 0.3 .
Figure 14 ought to be compared with Figure 8, while Figure 15 ought to be compated with Figure 9. In both cases, the difference is profound. Namely, in Figure 14 and Figure 15, the expected virtual waiting times and expected queue lengths are very near each other, whereas in Figure 8 and Figure 9 they differ by a factor of about 2. This can be attributed mainly to the correlation, because in all Figure 8, Figure 9, Figure 14 and Figure 15, the expected service time is the same and its standard deviation is the same as well.
Negative correlation has one more effect, which is visible in Figure 15. Specifically, stabilization at the stationary value is achieved at about t = 40 , which is much sooner than in all the other considered scenarios. This effect is observed only for a combination of negative correlation 0.3 and strong active management, d s . It is not present in Figure 14, where the negative correlation is combined with weak management.

7. Conclusions

In this study, formulae for the distribution tail, probability density, and expected virtual waiting time at any t have been obtained for a queue with active management and correlated job sizes that induce correlated service times. Additionally, the density and the expected virtual waiting time in the stationary case were found. The MSP was used as a model for correlated service times.
Theoretical results were partnered with numerical results, in which the impact of the symmetric positive and negative correlation of service times and the impact of weak and strong active management on transient and stationary waiting times were demonstrated and discussed. Additionally, the effect of such model parameters on the queue length was compared with their effect on the waiting time.
Given these numeric results, we observed that under a positive correlation, the effect of active management on virtual waiting time densities is much smaller than its effect on queue length distributions.
Then, we observed a surprisingly large expected virtual waiting time, about twice greater than the product of the expected service time and queue length. This effect was present for both weak and strong management functions when the correlation was positive, but vanished when a symmetric negative correlation was applied. In the case of negative correlation, the expected virtual waiting time was close to the product of the expected service time and queue length, no matter what active management function was used. A combination of negative correlation and strong management made the convergence to the stationary regime much faster than in any other situation.
We also checked the effect of the initial condition with a full buffer on the virtual waiting time. In the short term, this had a great effect on the density of the virtual waiting time. However, it did not impact the convergence time to the stationary distribution.

Funding

This research was funded by National Science Centre, Poland, grant number 2025/57/B/ST6/00083.

Data Availability Statement

The original contributions presented in this study are included in the article. Further inquiries can be directed to the corresponding author.

Conflicts of Interest

The author declares no conflicts of interest.

References

  1. Baker, F.; Fairhurst, G. (Eds.) Internet Engineering Task Force. Request for Comments 7567: ETF Recommendations Regarding Active Queue Management; RFC Production Center: Marina del Rey, CA, USA, 2015. [Google Scholar]
  2. Floyd, S.; Jacobson, V. Random early detection gateways for congestion avoidance. IEEE/ACM Trans. Netw. 1993, 1, 397–413. [Google Scholar] [CrossRef]
  3. Athuraliya, S.; Li, V.H.; Low, S.H.; Yin, Q. REM: Active queue management. IEEE Netw. 2001, 15, 48–53. [Google Scholar] [CrossRef]
  4. Hussein, A.-J. An Exponential Active Queue Management Method Based on Random Early Detection. J. Comput. Netw. Commun. 2020, 2020, 8090468. [Google Scholar]
  5. Zhang, S.; Sa, J.; Liu, J.; Wu, S. An improved RED algorithm with sinusoidal packet-marking probability and dynamic weight. In Proceedings of the 2011 International Conference on Electric Information and Control Engineering, Wuhan, China, 15–17 April 2011; pp. 1160–1163. [Google Scholar]
  6. Domanska, J.; Augustyn, D.; Domanski, A. The choice of optimal 3-rd order polynomial packet dropping function for NLRED in the presence of self-similar traffic. Bulletin of the Polish Academy of Sciences. Tech. Sci. 2012, 60, 779–786. [Google Scholar] [CrossRef]
  7. Augustyn, D.R.; Domanski, A.; Domanska, J. A choice of optimal packet dropping function for active queue management. Commun. Comput. Inf. Sci. 2010, 79, 199–206. [Google Scholar] [CrossRef]
  8. Mahajan, M.; Singh, T.P. The Modified Gaussian Function based RED (MGF-RED) Algorithm for Congestion Avoidance in Mobile Ad Hoc Networks. Int. J. Comput. Appl. 2014, 91, 39–44. [Google Scholar] [CrossRef]
  9. Gimenez, A.; Murcia, M.A.; Amigó, J.M.; Martínez-Bonastre, O.; Valero, J. New RED-Type TCP-AQM Algorithms Based on Beta Distribution Drop Functions. Appl. Sci. 2022, 12, 11176. [Google Scholar] [CrossRef]
  10. Feng, C.; Huang, L.; Xu, C.; Chang, Y. Congestion Control Scheme Performance Analysis Based on Nonlinear RED. IEEE Syst. J. 2017, 11, 2247–2254. [Google Scholar] [CrossRef]
  11. Patel, S.; Karmeshu. A New Modified Dropping Function for Congested AQM Networks. Wirel. Pers. Commun. 2019, 104, 37–55. [Google Scholar] [CrossRef]
  12. Hassan, S.O.; Nwaocha, V.O.; Rufai, A.U.; Odule, T.J.; Enem, T.A.; Ogundele, L.A.; Usman, S.A. Random early detection-quadratic linear: An enhanced active queue management algorithm. Bull. Electr. Eng. Inform. 2022, 11, 2262–2272. [Google Scholar] [CrossRef]
  13. Hassan, S.O.; Rufai, A. Modified dropping-random early detection (MD-RED): A modified algorithm for controlling network congestion. Int. J. Inf. Technol. 2023, 15, 1499–1508. [Google Scholar] [CrossRef]
  14. Barczyk, M.; Chydzinski, A. AQM based on the queue length: A real-network study. PLoS ONE 2022, 17, e0263407. [Google Scholar] [CrossRef] [PubMed]
  15. Bonald, T.; May, M.; Bolot, J.-C. Analytic evaluation of RED performance. In Proceedings IEEE INFOCOM 2000. Conference on Computer Communications, Proceedings of the Nineteenth Annual Joint Conference of the IEEE Computer and Communications Societies (Cat. No.00CH37064), Tel Aviv, Israel, 26–30 March 2000; IEEE: New York, NY, USA, 2000; pp. 1415–1424. [Google Scholar]
  16. Hao, W.; Wei, Y. An Extended GIX/M/1/N Queueing Model for Evaluating the Performance of AQM Algorithms with Aggregate Traffic. In Networking and Mobile Computing; Lecture Notes in Computer Science; Springer: Berlin/Heidelberg, Germany, 2005; Volume 3619, pp. 395–414. [Google Scholar]
  17. Kempa, W.M. Time-dependent queue-size distribution in the finite GI/M/1 model with AQM-type dropping. Acta Electrotech. Inform. 2013, 13, 85–90. [Google Scholar] [CrossRef]
  18. Mrozowski, P.; Chydzinski, A. Queues with Dropping Functions and Autocorrelated Arrivals. Methodol. Comput. Appl. Probab. 2018, 20, 97–115. [Google Scholar] [CrossRef]
  19. Tikhonenko, O.; Kempa, W.M. Performance evaluation of an M/G/N-type queue with bounded capacity and packet dropping. Appl. Math. Comput. Sci. 2016, 26, 841–854. [Google Scholar] [CrossRef]
  20. Tikhonenko, O.; Kempa, W.M. Erlang service system with limited memory space under control of AQM mechanizm. Commun. Comput. Inf. Sci. 2017, 718, 366–379. [Google Scholar]
  21. Chydzinski, A. Queues with the dropping function and non-Poisson arrivals. IEEE Access 2020, 8, 39819–39829. [Google Scholar] [CrossRef]
  22. Weijie, C.; Wanliang, W.; Yibo, J.; Guisen, L.; Qingli, C. PFL: Proactive Fuzzy-logic-based AQM Algorithm for Best-effort Networks. In Proceedings of the 2010 International Conference on Computational Aspects of Social Networks, Taiyuan, China, 26–28 September 2010; pp. 315–318. [Google Scholar]
  23. Chen, J.V.; Chen, F.C.; Tarn, J.M.; Yen, D.C. Improving network congestion: A RED-based fuzzy PID approach. Comput. Stand. Interfaces 2012, 34, 426–438. [Google Scholar] [CrossRef]
  24. Shen, J.; Jing, Y.; Ren, T. Adaptive finite time congestion tracking control for TCP/AQM system with input saturation. Int. J. Syst. Sci. 2022, 53, 253–264. [Google Scholar] [CrossRef]
  25. Kahe, G.; Jahangir, A.H. A self-tuning controller for queuing delay regulation in TCP/AQM networks. Telecommun. Syst. 2019, 71, 215–229. [Google Scholar] [CrossRef]
  26. Alaoui, S.B.; Alaoui, S.; Tissir, E.H.; Chaibi, N. Analysis and design of robust guaranteed cost Active Queue Management. Comput. Commun. 2020, 159, 124–1321. [Google Scholar] [CrossRef]
  27. Wang, H. Trade-off queuing delay and link utilization for solving bufferbloat. ICT Express 2020, 6, 269–272. [Google Scholar] [CrossRef]
  28. Hotchi, R.; Chibana, H.; Iwai, T.; Kubo, R. Active queue management supporting TCP flows using disturbance observer and Smith predictor. IEEE Access 2020, 8, 173401–173413. [Google Scholar] [CrossRef]
  29. Li, F.; Sun, J.; Zukerman, M.; Liu, Z.; Xu, Q.; Chan, S.; Chen, G.; Ko, K.T. A comparative simulation study of TCP/AQM systems for evaluating the potential of neuron-based AQM schemes. J. Netw. Comput. Appl. 2014, 41, 274–299. [Google Scholar] [CrossRef]
  30. Chrost, L.; Chydzinski, A. On the deterministic approach to active queue management. Telecommun. Syst. 2016, 63, 27–44. [Google Scholar] [CrossRef]
  31. Wang, C.; Chen, X.; Cao, J.; Qiu, J.; Liu, Y.; Luo, Y. Neural Network-Based Distributed Adaptive Pre-Assigned Finite-Time Consensus of Multiple TCP/AQM Networks. IEEE Trans. Circuits Syst. 2021, 68, 387–395. [Google Scholar] [CrossRef]
  32. Song, T.; Kyung, Y. Deep-Reinforcement-Learning-Based Age-of-Information-Aware Low-Power Active Queue Management for IoT Sensor Networks. IEEE Internet Things J. 2024, 11, 16700–16709. [Google Scholar] [CrossRef]
  33. Nichols, K.; Jacobson, V. Controlling Queue Delay. Queue 2012, 55, 42–50. [Google Scholar]
  34. Lhamo, O.; Ma, M.; Doan, T.V.; Scheinert, T.; Nguyen, G.T.; Reisslein, M.; Fitzek, F.H. RED-SP-CoDel: Random early detection with static priority scheduling and controlled delay AQM in programmable data planes. Comput. Commun. 2024, 214, 149–166. [Google Scholar] [CrossRef]
  35. Bocharov, P.P.; D’Apice, C.; Pechinkin, A.V.; Salerno, S. The stationary characteristics of the G/MSP/1/r queueing system. Autom. Remote Control 2003, 64, 288–301. [Google Scholar] [CrossRef]
  36. Banik, A.D. Analyzing state-dependent arrival in GI/BMSP/1/ queues. Math. Comput. Model. 2011, 53, 1229–1246. [Google Scholar]
  37. Chaudhry, M.L.; Samanta, S.K.; Pacheco, A. Analytically explicit results for the GI/C-MSP/1/ queueing system using roots. Probab. Eng. Informational Sci. 2012, 26, 221–244. [Google Scholar]
  38. Samanta, S.K. Sojourn-time distribution of the GI/MSP/1 queueing system. Opsearch 2015, 52, 756–770. [Google Scholar]
  39. Chaudhry, M.L.; Banik, A.D.; Pacheco, A. A simple analysis of the batch arrival queue with infinite-buffer and Markovian service process using roots method: GIX/C-MSP/1/. Ann. Oper. Res. 2017, 252, 135–173. [Google Scholar]
  40. Banik, A.D.; Chaudhry, M.L.; Kim, J.J. A Note on the Waiting-Time Distribution in an Infinite-Buffer GI[X]/C-MSP/1 Queueing System. J. Probab. Stat. 2018, 2018, 7462439. [Google Scholar]
  41. Banik, A.D.; Ghosh, S.; Chaudhry, M.L. On the consecutive customer loss probabilities in a finite-buffer renewal batch input queue with different batch acceptance/rejection strategies under non-renewal service. In Soft Computing for Problem Solving: SocProS 2017; Springer: Singapore, 2019; Volume 1, pp. 45–62. [Google Scholar]
  42. Banik, A.D.; Ghosh, S.; Chaudhry, M.L. On the optimal control of loss probability and profit in a GI/C-BMSP/1/N queueing system. Opsearch 2020, 57, 144–162. [Google Scholar] [CrossRef]
  43. Samanta, S.K.; Bank, B. Modelling and Analysis of GI/BMSP/1 Queueing System. Bull. Malays. Math. Sci. Soc. 2021, 44, 3777–3807. [Google Scholar] [CrossRef]
  44. Dudin, A.N.; Klimenok, V.I.; Vishnevsky, V.M. The Theory of Queuing Systems with Correlated Flows; Springer: Cham, Swizterland, 2020. [Google Scholar]
  45. Chydzinski, A.; Adamczyk, B. Buffer with Dropping Function and Correlated Packet Lengths. Appl. Syst. Innov. 2025, 8, 135. [Google Scholar] [CrossRef]
  46. Williams, V.V.; Xu, Y.; Xu, Z.; Zhou, R. New Bounds for Matrix Multiplication: From Alpha to Omega. In Proceedings of the 2024 Annual ACM-SIAM Symposium on Discrete Algorithms (SODA), Alexandria, VA, USA, 7–10 January 2024; pp. 3792–3835. [Google Scholar]
Figure 1. Weak and strong active management, d w and d s , used in examples.
Figure 1. Weak and strong active management, d w and d s , used in examples.
Symmetry 18 00101 g001
Figure 2. Virtual waiting time density at specific moments t for active management d w .
Figure 2. Virtual waiting time density at specific moments t for active management d w .
Symmetry 18 00101 g002
Figure 3. Virtual waiting time density versus t for active management d w .
Figure 3. Virtual waiting time density versus t for active management d w .
Symmetry 18 00101 g003
Figure 4. Virtual waiting time density at specific moments t for active management d s .
Figure 4. Virtual waiting time density at specific moments t for active management d s .
Symmetry 18 00101 g004
Figure 5. Virtual waiting time density versus t for active management d s .
Figure 5. Virtual waiting time density versus t for active management d s .
Symmetry 18 00101 g005
Figure 6. Queue length distribution vs. t for active management d w .
Figure 6. Queue length distribution vs. t for active management d w .
Symmetry 18 00101 g006
Figure 7. Queue length distribution vs. t for active management d s .
Figure 7. Queue length distribution vs. t for active management d s .
Symmetry 18 00101 g007
Figure 8. Expected virtual waiting time and expected queue length vs. t for active management d w .
Figure 8. Expected virtual waiting time and expected queue length vs. t for active management d w .
Symmetry 18 00101 g008
Figure 9. Expected virtual waiting time and expected queue length vs. t for active management d s .
Figure 9. Expected virtual waiting time and expected queue length vs. t for active management d s .
Symmetry 18 00101 g009
Figure 10. Virtual waiting time density at specific moments t for active management d w and initially full buffer.
Figure 10. Virtual waiting time density at specific moments t for active management d w and initially full buffer.
Symmetry 18 00101 g010
Figure 11. Virtual waiting time density versus t for active management d w and initially full buffer.
Figure 11. Virtual waiting time density versus t for active management d w and initially full buffer.
Symmetry 18 00101 g011
Figure 12. Virtual waiting time density at specific moments t for active management d s and initially full buffer.
Figure 12. Virtual waiting time density at specific moments t for active management d s and initially full buffer.
Symmetry 18 00101 g012
Figure 13. Virtual waiting time density versus t for active management d s and initially full buffer.
Figure 13. Virtual waiting time density versus t for active management d s and initially full buffer.
Symmetry 18 00101 g013
Figure 14. Expected virtual waiting time and expected queue length vs. t for active management d w and negative correlation.
Figure 14. Expected virtual waiting time and expected queue length vs. t for active management d w and negative correlation.
Symmetry 18 00101 g014
Figure 15. Expected virtual waiting time and expected queue length vs. t for active management d s and negative correlation.
Figure 15. Expected virtual waiting time and expected queue length vs. t for active management d s and negative correlation.
Symmetry 18 00101 g015
Disclaimer/Publisher’s Note: The statements, opinions and data contained in all publications are solely those of the individual author(s) and contributor(s) and not of MDPI and/or the editor(s). MDPI and/or the editor(s) disclaim responsibility for any injury to people or property resulting from any ideas, methods, instructions or products referred to in the content.

Share and Cite

MDPI and ACS Style

Chydzinski, A. Waiting Time in an MSP Queue with Active Management. Symmetry 2026, 18, 101. https://doi.org/10.3390/sym18010101

AMA Style

Chydzinski A. Waiting Time in an MSP Queue with Active Management. Symmetry. 2026; 18(1):101. https://doi.org/10.3390/sym18010101

Chicago/Turabian Style

Chydzinski, Andrzej. 2026. "Waiting Time in an MSP Queue with Active Management" Symmetry 18, no. 1: 101. https://doi.org/10.3390/sym18010101

APA Style

Chydzinski, A. (2026). Waiting Time in an MSP Queue with Active Management. Symmetry, 18(1), 101. https://doi.org/10.3390/sym18010101

Note that from the first issue of 2016, this journal uses article numbers instead of page numbers. See further details here.

Article Metrics

Back to TopTop