Sign in to use this feature.

Years

Between: -

Subjects

remove_circle_outline
remove_circle_outline
remove_circle_outline
remove_circle_outline
remove_circle_outline
remove_circle_outline
remove_circle_outline
remove_circle_outline
remove_circle_outline

Journals

remove_circle_outline
remove_circle_outline
remove_circle_outline
remove_circle_outline
remove_circle_outline
remove_circle_outline
remove_circle_outline
remove_circle_outline
remove_circle_outline

Article Types

Countries / Regions

remove_circle_outline
remove_circle_outline
remove_circle_outline
remove_circle_outline
remove_circle_outline

Search Results (601)

Search Parameters:
Keywords = physiological memory

Order results
Result details
Results per page
Select all
Export citation of selected articles as:
35 pages, 1147 KB  
Review
Neurovascular Signaling at the Gliovascular Interface: From Flow Regulation to Cognitive Energy Coupling
by Stefan Oprea, Cosmin Pantu, Daniel Costea, Adrian Vasile Dumitru, Catalina-Ioana Tataru, Nicolaie Dobrin, Mugurel Petrinel Radoi, Octavian Munteanu and Alexandru Breazu
Int. J. Mol. Sci. 2026, 27(1), 69; https://doi.org/10.3390/ijms27010069 - 21 Dec 2025
Viewed by 93
Abstract
Thought processes in the brain occur as it continually modifies its use of energy. This review integrates research findings from molecular neurology, vascular physiology and non-equilibrium thermodynamics to create a comprehensive perspective on thinking as a coordinated energy process. Data shows that there [...] Read more.
Thought processes in the brain occur as it continually modifies its use of energy. This review integrates research findings from molecular neurology, vascular physiology and non-equilibrium thermodynamics to create a comprehensive perspective on thinking as a coordinated energy process. Data shows that there is a relationship between the processing of information and metabolism throughout all scales, from the mitochondria’s electron transport chain to the rhythmic changes in the microvasculature. Through the cellular level of organization, mitochondrial networks, calcium (Ca2+) signals from astrocytes and the adaptive control of capillaries work together to maintain a state of balance between order and dissipation that maintains function while also maintaining the ability to be flexible. The longer-term regulatory mechanisms including redox plasticity, epigenetic programs and organelle remodeling may convert short-lived states of metabolism into long-lasting physiological “memory”. As well, data indicates that the cortical networks of the brain appear to be operating close to their critical regimes, which will allow them to respond to stimuli but prevent the brain from reaching an unstable energetic state. It is suggested that cognition occurs as the result of the brain’s ability to coordinate energy supply with neural activity over both time and space. Providing a perspective of the functional aspects of neurons as a continuous thermodynamic process creates a framework for making predictive statements that will guide future studies to measure coherence as a key link between energy flow, perception, memory and cognition. Full article
(This article belongs to the Special Issue The Function of Glial Cells in the Nervous System: 2nd Edition)
Show Figures

Figure 1

26 pages, 4873 KB  
Article
Research on Lightweight Multi-Modal Behavior-Driven Methods for Pig Models
by Jun Yang and Bo Liu
Appl. Sci. 2026, 16(1), 19; https://doi.org/10.3390/app16010019 - 19 Dec 2025
Viewed by 80
Abstract
With the in-depth development of digital twin technology in modern agriculture, smart pig farm construction is evolving from basic environmental modeling toward refined, bio-behavior-driven approaches. This study addresses the non-standard body configurations and complex behavioral patterns of pig models by proposing a binding [...] Read more.
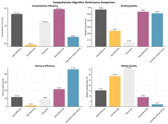
With the in-depth development of digital twin technology in modern agriculture, smart pig farm construction is evolving from basic environmental modeling toward refined, bio-behavior-driven approaches. This study addresses the non-standard body configurations and complex behavioral patterns of pig models by proposing a binding method that combines lightweight skeletal design with automated weight allocation strategies. The method optimizes skeletal layout schemes based on pig physiological structures and behavioral patterns, replacing manual painting processes through geometry-driven weight calculation strategies to achieve a balance between efficiency and animation naturalness. The research constructs a motion template library containing common behaviors such as walking and foraging, conducting quantitative testing and comprehensive evaluation in simulation systems. Experimental results demonstrate that the proposed method achieves significant improvements: it demonstrated superior computational efficiency with 95.2% reduction in computation time, memory storage space reduced by 91.7% through weight matrix sparsification (density controlled at 8.3%), and weight smoothness was maintained at 0.955 while cross-region weight leakage reduced from 15.3% to 2.1%. The method effectively supports animation expression of eight typical pig behavioral patterns with key joint angle errors controlled within 2.3 degrees, providing a technically viable and economically feasible pathway for virtual modeling and intelligent interaction in smart agriculture. Full article
(This article belongs to the Special Issue Digital Technologies in Smart Agriculture)
Show Figures

Figure 1

20 pages, 653 KB  
Article
Longitudinal Monitoring of Brain Volume Changes After COVID-19 Infection Using Artificial Intelligence-Based MRI Volumetry
by Zeynep Bendella, Catherine Nichols Widmann, Christine Kindler, Robert Haase, Malte Sauer, Michael T. Heneka, Alexander Radbruch and Frederic Carsten Schmeel
Diagnostics 2025, 15(24), 3244; https://doi.org/10.3390/diagnostics15243244 - 18 Dec 2025
Viewed by 249
Abstract
Background/Objectives: SARS-CoV-2 infection has been linked to long-term neurological sequelae and structural brain alterations. Previous analyses, including baseline results from the COVIMMUNE-Clin study, showed brain volume reductions in COVID-19 patients. Longitudinal data on progression are scarce. This study examined brain volume changes [...] Read more.
Background/Objectives: SARS-CoV-2 infection has been linked to long-term neurological sequelae and structural brain alterations. Previous analyses, including baseline results from the COVIMMUNE-Clin study, showed brain volume reductions in COVID-19 patients. Longitudinal data on progression are scarce. This study examined brain volume changes 12 months after baseline MRI in individuals who have recovered from mild or severe COVID-19 compared with controls. Methods: In this IRB-approved cohort study, 112 out of 172 recruited age- and sex-matched participants (38 controls, 36 mild/asymptomatic 38 severe COVID-19) underwent standardized brain MRI 12 months after baseline. Volumetric analysis was performed using AI-based software (mdbrain). Regional volumes were compared between groups with respect to absolute and normalized values. Multivariate regression controlled for demographics. Results: After 12 months, a significant decline in right hippocampal volume was observed across all groups, most pronounced in severe COVID-19 (SEV: Δ = −0.32 mL, p = 0.001). Normalized to intracranial volume, the reduction remained significant (SEV: Δ = −0.0003, p = 0.001; ASY: Δ = −0.0001, p = 0.001; CTL: minimal reduction, Δ ≈ 0, p = 0.005). Minor reductions in frontal and parietal lobes (e.g., right frontal SEV: Δ = −1.35 mL, p = 0.001), largely fell within physiological norms. These mild regional changes are consistent with expected ageing-related variability and do not suggest pathological progression. No widespread progressive atrophy was detected. Conclusions: This study demonstrates delayed, severity-dependent right hippocampal atrophy in recovered COVID-19 patients, suggesting long-term vulnerability of this memory-related region. In contrast, no progression of atrophy in other areas was observed. These findings highlight the need for extended post-COVID neurological monitoring, particularly of hippocampal integrity and its cognitive relevance. Full article
Show Figures

Figure 1

24 pages, 2210 KB  
Article
Deep Transfer Learning for UAV-Based Cross-Crop Yield Prediction in Root Crops
by Suraj A. Yadav, Yanbo Huang, Kenny Q. Zhu, Rayyan Haque, Wyatt Young, Lorin Harvey, Mark Hall, Xin Zhang, Nuwan K. Wijewardane, Ruijun Qin, Max Feldman, Haibo Yao and John P. Brooks
Remote Sens. 2025, 17(24), 4054; https://doi.org/10.3390/rs17244054 - 17 Dec 2025
Viewed by 332
Abstract
Limited annotated data often constrain accurate yield prediction in underrepresented crops. To address this challenge, we developed a cross-crop deep transfer learning (TL) framework that leverages potato (Solanum tuberosum L.) as the source domain to predict sweet potato (Ipomoea batatas L.) [...] Read more.
Limited annotated data often constrain accurate yield prediction in underrepresented crops. To address this challenge, we developed a cross-crop deep transfer learning (TL) framework that leverages potato (Solanum tuberosum L.) as the source domain to predict sweet potato (Ipomoea batatas L.) yield using multi-temporal uncrewed aerial vehicle (UAV)-based multispectral imagery. A hybrid convolutional–recurrent neural network (CNN–RNN–Attention) architecture was implemented with a robust parameter-based transfer strategy to ensure temporal alignment and feature-space consistency across crops. Cross-crop feature migration analysis showed that predictors capturing canopy vigor, structure, and soil–vegetation contrast exhibited the highest distributional similarity between potato and sweet potato. In comparison, pigment-sensitive and agronomic predictors were less transferable. These robustness patterns were reflected in model performance, as all architectures showed substantial improvement when moving from the minimal 3 predictor subset to the 5–7 predictor subsets, where the most transferable indices were introduced. The hybrid CNN–RNN–Attention model achieved peak accuracy (R20.64 and RMSE ≈ 18%) using time-series data up to the tuberization stage with only 7 predictors. In contrast, convolutional neural network (CNN), bidirectional gated recurrent unit (BiGRU), and bidirectional long short-term memory (BiLSTM) baseline models required 11–13 predictors to achieve comparable performance and often showed reduced or unstable accuracy at higher dimensionality due to redundancy and domain-shift amplification. Two-way ANOVA further revealed that cover crop type significantly influenced yield, whereas nitrogen rate and the interaction term were not significant. Overall, this study demonstrates that combining robustness-aware feature design with hybrid deep TL model enables accurate, data-efficient, and physiologically interpretable yield prediction in sweet potato, offering a scalable pathway for applying TL in other underrepresented root and tuber crops. Full article
(This article belongs to the Special Issue Application of UAV Images in Precision Agriculture)
Show Figures

Graphical abstract

26 pages, 11926 KB  
Article
STC-DeepLAINet: A Transformer-GCN Hybrid Deep Learning Network for Large-Scale LAI Inversion by Integrating Spatio-Temporal Correlations
by Huijing Wu, Ting Tian, Qingling Geng and Hongwei Li
Remote Sens. 2025, 17(24), 4047; https://doi.org/10.3390/rs17244047 - 17 Dec 2025
Viewed by 255
Abstract
Leaf area index (LAI) is a pivotal biophysical parameter linking vegetation physiological processes and macro-ecological functions. Accurate large-scale LAI estimation is indispensable for agricultural management, climate change research, and ecosystem modeling. However, existing methods fail to efficiently extract integrated spatial-spectral-temporal features and lack [...] Read more.
Leaf area index (LAI) is a pivotal biophysical parameter linking vegetation physiological processes and macro-ecological functions. Accurate large-scale LAI estimation is indispensable for agricultural management, climate change research, and ecosystem modeling. However, existing methods fail to efficiently extract integrated spatial-spectral-temporal features and lack targeted modeling of spatio-temporal dependencies, compromising the accuracy of LAI products. To address this gap, we propose STC-DeepLAINet, a Transformer-GCN hybrid deep learning architecture integrating spatio-temporal correlations via the following three synergistic modules: (1) a 3D convolutional neural networks (CNNs)-based spectral-spatial embedding module capturing intrinsic correlations between multi-spectral bands and local spatial features; (2) a spatio-temporal correlation-aware module that models temporal dynamics (by “time periods”) and spatial heterogeneity (by “spatial slices”) simultaneously; (3) a spatio-temporal pattern memory attention module that retrieves historically similar spatio-temporal patterns via an attention-based mechanism to improve inversion accuracy. Experimental results demonstrate that STC-DeepLAINet outperforms eight state-of-the-art methods (including traditional machine learning and deep learning networks) in a 500 m resolution LAI inversion task over China. Validated against ground-based measurements, it achieves a coefficient of determination (R2) of 0.827 and a root mean square error (RMSE) of 0.718, outperforming the GLASS LAI product. Furthermore, STC-DeepLAINet effectively captures LAI variability across typical vegetation types (e.g., forests and croplands). This work establishes an operational solution for generating large-scale high-precision LAI products, which can provide reliable data support for agricultural yield estimation and ecosystem carbon cycle simulation, while offering a new methodological reference for spatio-temporal correlation modeling in remote sensing inversion. Full article
Show Figures

Figure 1

11 pages, 2100 KB  
Article
Catalytic Effect of Amyloid-β on Native Tau Aggregation at Physiologically Relevant Concentrations
by Rakhi Chowdhury, Apu Chandra Das, Ruan van Deventer, Luda S. Shlyakhtenko and Yuri L. Lyubchenko
Int. J. Mol. Sci. 2025, 26(24), 12128; https://doi.org/10.3390/ijms262412128 - 17 Dec 2025
Viewed by 177
Abstract
Alzheimer’s disease (AD) is characterized by the accumulation and aggregation of tau and amyloid-β (Aβ). The pathophysiology and progression of AD are facilitated by the neurotoxic effects of these aggregated proteins, resulting in neurodegeneration and memory loss. In this context, the interaction between [...] Read more.
Alzheimer’s disease (AD) is characterized by the accumulation and aggregation of tau and amyloid-β (Aβ). The pathophysiology and progression of AD are facilitated by the neurotoxic effects of these aggregated proteins, resulting in neurodegeneration and memory loss. In this context, the interaction between tau and Aβ42 is considered, but the mechanism underlying their pathogenic interplay remains unclear. Here, we addressed this question by studying the aggregation of full-length, unmodified tau and Aβ42 at physiologically low concentrations using atomic force microscopy (AFM). AFM imaging and data analyses demonstrate an increase in tau aggregation in the presence of Aβ42, characterized by increased sizes and number of aggregates. Importantly, tau aggregation occurs without the need for phosphorylation or any other post-translational changes. The analysis of the data demonstrates that tau and Aβ42 form co-aggregates, with no visible accumulation of Aβ42 aggregates alone. Given that the catalysis of tau aggregation by Aβ42 is observed at physiological low nanomolar concentrations of Aβ42, the finding suggests that such aggregation catalysis of tau by Aβ42 can be a molecular mechanism underlying the pathological tau aggregation process associated with the onset and development of Alzheimer’s disease. Full article
Show Figures

Figure 1

15 pages, 279 KB  
Article
Linking Motor and Cognitive Decline in Aging: Gait Variability and Working Memory as Early Markers of Frailty
by Elisa Valeriano-Paños, Mª Nieves Moro-Tejedor, Mª Jesús Santamaria-Martin, Susana Vega-Albala, María Valeriano-Paños, Juan Francisco Velarde-García and Luis Enrique Roche-Seruendo
Healthcare 2025, 13(24), 3201; https://doi.org/10.3390/healthcare13243201 - 7 Dec 2025
Viewed by 373
Abstract
Background/Objectives: Frailty is an age-related clinical syndrome characterized by diminished physiological reserves and increased vulnerability to adverse outcomes. Growing evidence suggests that frailty involves shared brain networks that regulate both gait and cognitive functions. This study aimed to examine the relationship between frailty [...] Read more.
Background/Objectives: Frailty is an age-related clinical syndrome characterized by diminished physiological reserves and increased vulnerability to adverse outcomes. Growing evidence suggests that frailty involves shared brain networks that regulate both gait and cognitive functions. This study aimed to examine the relationship between frailty status, spatiotemporal gait parameters, and cognitive functions in community-dwelling older adults. Methods: A cross-sectional study was conducted with 99 adults aged ≥70 years, classified as non-frail, prefrail, or frail according to the Fried phenotype. Gait parameters were measured under usual and fast walking conditions using the OptoGait® photoelectric system. Cognitive status was assessed with the Montreal Cognitive Assessment (MoCA) and a comprehensive neuropsychological battery. Multivariate logistic regression analyses were performed to identify factors associated with transitions between frailty stages. Results: The prevalence of frailty was 9.1%, with 51.5% prefrail and 39.4% non-frail. The transition from non-frail to prefrail was associated with shorter stride length at fast pace (OR = 0.92, 95% CI: 0.88–0.96), mild cognitive impairment (OR = 3.71, 95% CI: 1.08–12.69), depressive symptoms (OR = 1.82, 95% CI: 1.26–2.62), and female sex (OR = 4.94, 95% CI: 1.20–16.77). The transition from prefrail to frail was linked to increased stride time variability at fast pace (OR = 2.94, 95% CI: 1.34–6.44) and poorer working memory (OR = 0.40, 95% CI: 0.16–0.97). Conclusions: Shorter stride length, mild cognitive impairment, and depressive symptoms emerged as key markers of the transition from non-frailty to prefrailty, whereas increased stride time variability and poorer working memory distinguished prefrail from frail individuals. These findings highlight gait- and executive-function-related markers as sensitive early indicators of vulnerability. Incorporating quantitative gait assessment and brief cognitive screening into routine geriatric evaluations may substantially enhance early detection and support targeted preventive strategies for healthy aging. Full article
19 pages, 842 KB  
Review
Multimodal Imaging in Epilepsy Surgery for Personalized Neurosurgical Planning
by Joaquin Fiallo Arroyo and Jose E. Leon-Rojas
J. Pers. Med. 2025, 15(12), 601; https://doi.org/10.3390/jpm15120601 - 5 Dec 2025
Viewed by 503
Abstract
Drug-resistant epilepsy affects nearly one-third of individuals with epilepsy and remains a major cause of neurological morbidity worldwide. Surgical intervention offers a potential cure, but its success critically depends on the precise identification of the epileptogenic zone and the preservation of eloquent cortical [...] Read more.
Drug-resistant epilepsy affects nearly one-third of individuals with epilepsy and remains a major cause of neurological morbidity worldwide. Surgical intervention offers a potential cure, but its success critically depends on the precise identification of the epileptogenic zone and the preservation of eloquent cortical and subcortical regions. This review aims to provide a comprehensive synthesis of current evidence on the role of multimodal neuroimaging in the personalized presurgical evaluation and planning of epilepsy surgery. We analyze how structural, functional, metabolic, and electro-physiological imaging modalities contribute synergistically to improving localization accuracy and surgical outcomes. Structural MRI remains the cornerstone of presurgical assessment, with advanced sequences, post-processing techniques, and ultra-high-field (7 T) MRI enhancing lesion detection in previously MRI-negative cases. Functional and metabolic imaging, including FDG-PET, ictal/interictal SPECT, and arterial spin labeling MRI, offer complementary insights by revealing regions of altered metabolism or perfusion associated with seizure onset. Functional MRI enables non-invasive mapping of language, memory, and motor networks, while diffusion tensor imaging and tractography delineate critical white-matter pathways to minimize postoperative deficits. Electrophysiological integration through EEG source imaging and magnetoencephalography refines localization when combined with MRI and PET data, forming the basis of multimodal image integration platforms used for surgical navigation. Our review also briefly explores emerging intraoperative applications such as augmented and virtual reality, intraoperative MRI, and laser interstitial thermal therapy, as well as advances driven by artificial intelligence, such as automated lesion detection and predictive modeling of surgical outcomes. By consolidating recent developments and clinical evidence, this review underscores how multimodal imaging transforms epilepsy surgery from a lesion-centered to a patient-centered discipline. The purpose is to highlight best practices, identify evidence gaps, and outline future directions toward precision-guided, minimally invasive, and function-preserving neurosurgical strategies for patients with drug-resistant focal epilepsy. Full article
(This article belongs to the Section Personalized Therapy in Clinical Medicine)
Show Figures

Figure 1

18 pages, 4065 KB  
Article
Physiological Responses of Tomato Plants with Varied Susceptibility to Multiple Drought Stress
by Hong Chen, Yi Liu, Fei Ding, Yankai Li, Carl-Otto Ottosen, Xiaoming Song, Fangling Jiang, Zhen Wu, Xiaqing Yu and Rong Zhou
Antioxidants 2025, 14(12), 1448; https://doi.org/10.3390/antiox14121448 - 1 Dec 2025
Viewed by 501
Abstract
Frequent extreme weather events exacerbate agricultural abiotic stress, with drought causing widespread yield loss. Tomato, a globally important vegetable sensitive to water deficit, has been predominantly studied under single-drought scenarios that poorly reflect recurrent field conditions. This study investigated physiological and molecular responses [...] Read more.
Frequent extreme weather events exacerbate agricultural abiotic stress, with drought causing widespread yield loss. Tomato, a globally important vegetable sensitive to water deficit, has been predominantly studied under single-drought scenarios that poorly reflect recurrent field conditions. This study investigated physiological and molecular responses of two tomato genotypes to repeated drought stress. Results showed that the drought-sensitive genotype ‘TGTB’ exhibited faster ABA accumulation and more pronounced ABA-mediated stomatal closure. During the second drought cycle, stomatal pore length and width were significantly smaller than during the first drought, indicating a strong stress memory effect. In contrast, the drought-tolerant ‘LA1598’ showed minimal memory responses. Under extreme drought stress, primed and non-primed ‘TGTB’ plants showed significantly lower H2O2 content than controls, whereas primed ‘LA1598’ plants maintained a significantly lower O2·− production rate than non-primed plants during both extreme drought cycles. Antioxidant enzyme systems contributed to ROS homeostasis, supported by the regulation of key drought-responsive genes. This study demonstrates genotype-dependent memory capacity and reveals that drought priming enhances repeated drought tolerance through ABA-regulated stomatal adjustment. These findings provide a theoretical basis for improving tomato resilience to recurrent drought and supporting breeding of drought-tolerant varieties. Full article
Show Figures

Figure 1

28 pages, 29419 KB  
Article
Complex Sound Discrimination in Zebrafish: Auditory Learning Within a Novel “Go/Go” Decision-Making Paradigm
by Anna Patel, Sai Mattapalli and Jagmeet S. Kanwal
Animals 2025, 15(23), 3452; https://doi.org/10.3390/ani15233452 - 29 Nov 2025
Viewed by 431
Abstract
Previous anatomic and physiologic studies of the peripheral and central auditory system, with rare exceptions, have relied on the use of tonal stimuli. Here, we test the hypothesis that zebrafish, Danio rerio, can detect and discriminate between two 6 s long complex [...] Read more.
Previous anatomic and physiologic studies of the peripheral and central auditory system, with rare exceptions, have relied on the use of tonal stimuli. Here, we test the hypothesis that zebrafish, Danio rerio, can detect and discriminate between two 6 s long complex sounds—a sequence of five multi-harmonic, noise-embedded constant frequency (NCF) tone pips and a chirp sequence consisting of six rapid downward frequency-modulated (DFM) sweeps. To test our hypothesis, we develop an associative conditioning assay, requiring prediction of an unconditioned stimulus (US). A video clip of a shoal of free-swimming zebrafish presented on an LCD screen serves as a desirable or rewarding US and a bullfrog with inflating and deflating vocal sacs serves as an aversive or fearful US. Within our novel “Go-to/Go-away” (or Go/Go) assay, sound discrimination allows an animal to decide to go/swim towards the desirable US and away from the undesirable US within a short time window preceding each US. We use markerless tracking of fish locations following twelve training runs and six test runs to determine if zebrafish can discriminate between the two sounds. We discovered that on average, fish move closer to the LCD screen in response to the sound paired to the rewarding CS and farther away from the screen in response to the sound paired with the aversive US. Differences in locations and longest swim trajectories occur in the 3 s time window between the CS and the US. These differences are largely retained on the second day of testing, suggesting overnight memory consolidation. We conclude that adult zebrafish can both perceive and rapidly learn to discriminate between complex sounds and that our novel assay can be implemented for high throughput screening of drugs targeted for alleviating memory and attention deficits as well as other neurodegenerative disorders. Full article
(This article belongs to the Special Issue Fish Cognition and Behaviour)
Show Figures

Graphical abstract

20 pages, 506 KB  
Article
Physical Activity, Cognitive Function, and Learning Processes: The Role of Environmental Context
by Francesca Latino, Giovanni Tafuri, Giulia Amato and Generoso Romano
Behav. Sci. 2025, 15(12), 1630; https://doi.org/10.3390/bs15121630 - 27 Nov 2025
Viewed by 550
Abstract
A growing body of evidence highlights the beneficial role of physical activity in supporting cognitive functions and learning outcomes. Yet, recent studies indicate that these effects may be shaped by environmental conditions, conceptualized within the framework of the urban exposome. The present study [...] Read more.
A growing body of evidence highlights the beneficial role of physical activity in supporting cognitive functions and learning outcomes. Yet, recent studies indicate that these effects may be shaped by environmental conditions, conceptualized within the framework of the urban exposome. The present study explores the interaction between physical activity, cognitive enhancement, and environmental exposures such as air pollution, noise, sensory overstimulation, and access to green spaces. A multi-method experimental design was implemented with 60 participants randomly assigned to either an experimental or a control group. The experimental group engaged in moderate-intensity physical activity across diverse urban settings, including green parks, high-traffic streets, and indoor facilities, while the control group performed the same activity in a stable indoor environment without environmental variability. Cognitive performance was assessed before and after physical activity through standardized measures of attention, memory, and executive function. Psychological and physiological stress responses were also monitored using the Perceived Stress Scale (PSS) and heart rate variability (HRV). Results suggest that the cognitive benefits of physical activity are not exclusively attributable to internal physiological mechanisms but are significantly moderated by environmental exposures. These findings underscore the relevance of considering contextual factors when examining the links between physical activity, cognition, and academic performance. Full article
Show Figures

Figure 1

31 pages, 9718 KB  
Article
Beyond “One-Size-Fits-All”: Estimating Driver Attention with Physiological Clustering and LSTM Models
by Juan Camilo Peña, Evelyn Vásquez, Guiselle A. Feo-Cediel, Alanis Negroni and Juan Felipe Medina-Lee
Electronics 2025, 14(23), 4655; https://doi.org/10.3390/electronics14234655 - 26 Nov 2025
Viewed by 387
Abstract
In the dynamic and complex environment of highly automated vehicles, ensuring driver safety is the most critical task. While automation promises to reduce human error, the driver’s role is shifting to that of a teammate who must remain vigilant and ready to intervene, [...] Read more.
In the dynamic and complex environment of highly automated vehicles, ensuring driver safety is the most critical task. While automation promises to reduce human error, the driver’s role is shifting to that of a teammate who must remain vigilant and ready to intervene, making it essential to monitor their attention level. However, a significant challenge in this domain is the considerable inter-individual variability in how people physiologically respond to cognitive states, such as distraction. This study addresses this by developing a methodology that first groups drivers into distinct physiology-based clusters before training a predictive model. The study was conducted in a high-fidelity driving simulator, where multimodal data streams, including heart rate variability and electrodermal activity, were collected from 30 participants during conditional-automated driving experiments. Using a time-series k-means clustering algorithm, the researchers successfully partitioned the drivers into clusters based on their physiological and behavioral patterns, which did not correlate with demographic factors. Then, a Long Short-Term Memory model was trained for each cluster, which achieved similar predictive performance compared to a single, generalized model. This finding demonstrates that a personalized, cluster-based approach is feasible for physiology-based driver monitoring, providing a robust and replicable solution for developing accurate and reliable attention estimation systems. Full article
(This article belongs to the Special Issue Wearable Sensors for Human Position, Attitude and Motion Tracking)
Show Figures

Figure 1

36 pages, 2334 KB  
Article
Fair and Explainable Multitask Deep Learning on Synthetic Endocrine Trajectories for Real-Time Prediction of Stress, Performance, and Neuroendocrine States
by Abdullah, Zulaikha Fatima, Carlos Guzman Sánchez Mejorada, Muhammad Ateeb Ather, José Luis Oropeza Rodríguez and Grigori Sidorov
Computers 2025, 14(12), 515; https://doi.org/10.3390/computers14120515 - 25 Nov 2025
Viewed by 447
Abstract
Cortisol and testosterone are key digital biomarkers reflecting neuroendocrine activity across the hypothalamic–pituitary–adrenal (HPA) and hypothalamic–pituitary–gonadal (HPG) axes, encoding stress adaptation and behavioral regulation. Continuous real-world monitoring remains challenging due to the sparsity of sensing and the complexity of multimodal data. This study [...] Read more.
Cortisol and testosterone are key digital biomarkers reflecting neuroendocrine activity across the hypothalamic–pituitary–adrenal (HPA) and hypothalamic–pituitary–gonadal (HPG) axes, encoding stress adaptation and behavioral regulation. Continuous real-world monitoring remains challenging due to the sparsity of sensing and the complexity of multimodal data. This study introduces a synthetic sensor-driven computational framework that models hormone variability through data-driven simulation and predictive learning, eliminating the need for continuous biosensor input. A hybrid deep ensemble integrates biological, behavioral, and contextual data using bidirectional multitask learning with one-dimensional convolutional neural network (1D-CNN) and long short-term memory (LSTM) branches, meta-gated expert fusion, Bayesian variational layers with Monte Carlo Dropout, and adversarial debiasing. Synthetically derived longitudinal hormone profiles that were validated by Kolmogorov–Smirnov (KS), Wasserstein, maximum mean discrepancy (MMD), and dynamic time warping (DTW) metrics account for class imbalance and temporal sparsity. Our framework achieved up to 99.99% macro F1-score on augmented samples and more than 97% for unseen data with ECE below 0.001. Selective prediction further maximized the convergence of predictions for low-confidence cases, achieving 99.9992–99.9998% accuracy on 99.5% of samples, which were smaller than 5 MB in size so that they can be employed in real time when mounted on wearable devices. Explainability investigations revealed the most important features on both the physiological and behavioral levels, demonstrating framework capabilities for adaptive clinical or organizational stress monitoring. Full article
(This article belongs to the Special Issue Wearable Computing and Activity Recognition)
Show Figures

Figure 1

20 pages, 3180 KB  
Article
Hierarchical Bayesian Modeling for Physiological Data in Small-N Aviation Human Factors Research
by Ainsley Kyle, Brock Rouser, Ryan C. Paul and Katherina A. Jurewicz
Aerospace 2025, 12(11), 1004; https://doi.org/10.3390/aerospace12111004 - 11 Nov 2025
Viewed by 746
Abstract
Monitoring pilot cognitive state in real time is becoming increasingly important as automation plays a larger role in aviation. Traditional workload assessments, such as questionnaires or task-based performance metrics, provide useful insights but can be limited in rapidly changing flight environments. Physiological measures, [...] Read more.
Monitoring pilot cognitive state in real time is becoming increasingly important as automation plays a larger role in aviation. Traditional workload assessments, such as questionnaires or task-based performance metrics, provide useful insights but can be limited in rapidly changing flight environments. Physiological measures, including heart rate, respiration, and electroencephalogram (EEG), offer continuous data streams, yet their variability and complexity present challenges for analysis. This study explores the use of a hierarchical Bayesian framework to quantify patterns from physiological signals recorded during high-fidelity flight simulations. Five certified pilots flew scenarios that varied in automation level and working memory demand while heart rate, respiration rate, and EEG-derived workload estimates were monitored. The model generated individualized and condition-specific estimates, quantified uncertainty, and remained stable with a small participant pool. Heart rate appeared to be the most consistent indicator, followed by EEG-derived workload, while respiration rate was less reliable across conditions. These results suggest that Bayesian inference may provide a promising way to interpret physiological data in aviation settings and could support the development of adaptive automation that responds to pilot workload. The approach emphasizes transparency and efficiency, offering complementary value to existing modeling techniques for aerospace human factors and flight deck applications. Full article
(This article belongs to the Section Aeronautics)
Show Figures

Figure 1

33 pages, 3008 KB  
Article
Interpretable Adaptive Graph Fusion Network for Mortality and Complication Prediction in ICUs
by Mehmet Akif Cifci, Batuhan Öney, Fazli Yildirim, Hülya Yilmaz Başer and Metin Zontul
Diagnostics 2025, 15(22), 2825; https://doi.org/10.3390/diagnostics15222825 - 7 Nov 2025
Viewed by 664
Abstract
Background: This study introduces the Adaptive Graph Fusion Network, an interpretable graph-based learning framework developed for large-scale prediction of intensive care outcomes. The proposed model dynamically constructs patient similarity networks through a density-aware kernel that adjusts neighborhood size based on local data distribution, [...] Read more.
Background: This study introduces the Adaptive Graph Fusion Network, an interpretable graph-based learning framework developed for large-scale prediction of intensive care outcomes. The proposed model dynamically constructs patient similarity networks through a density-aware kernel that adjusts neighborhood size based on local data distribution, thereby representing both frequent and rare clinical patterns. Methods: To characterize physiological evolution over time, the framework integrates a short-horizon convolutional encoder that captures acute variations in vital signs and laboratory results with a long-horizon recurrent memory unit that models gradual temporal trends. The approach was trained and internally validated on the publicly available eICU Collaborative Research Database, which includes more than 200,000 admissions from 208 hospitals across the United States. Results: The model achieved a mean area under the receiver operating characteristic curve of 0.91 across six critical outcomes, with in-hospital mortality reaching 0.96, outperforming logistic regression, temporal long short-term memory networks, and calibrated Transformer-based architectures. Feature attribution analysis using SHAP and temporal contribution mapping identified lactate trajectories, creatinine fluctuations, and vasopressor administration as dominant determinants of risk, consistent with established clinical understanding while revealing additional temporal dependencies overlooked by existing scoring systems. Conclusions: These findings demonstrate that adaptive graph construction combined with multi-horizon temporal reasoning improves predictive reliability and interpretability in heterogeneous intensive care populations, offering a transparent and reproducible foundation for future research in clinical machine learning. Full article
(This article belongs to the Section Machine Learning and Artificial Intelligence in Diagnostics)
Show Figures

Figure 1

Back to TopTop